Главная // Актуальные документы // ГОСТ (Государственный стандарт)СПРАВКА
Источник публикации
М.: ИПК Издательство стандартов, 2004
Примечание к документу
С 1 июля 2003 года до вступления в силу технических регламентов акты федеральных органов исполнительной власти в сфере технического регулирования носят рекомендательный характер и подлежат обязательному исполнению только в части, соответствующей целям, указанным в
пункте 1 статьи 46 Федерального закона от 27.12.2002 N 184-ФЗ.
Документ
введен в действие с 1 июля 1985 года.
Взамен ГОСТ 13997.2-78.
Название документа
"ГОСТ 13997.4-84. Межгосударственный стандарт. Материалы и изделия огнеупорные цирконийсодержащие. Методы определения двуокиси циркония"
(утв. и введен в действие Постановлением Госстандарта СССР от 18.09.1984 N 3242)
(ред. от 01.11.1989)
"ГОСТ 13997.4-84. Межгосударственный стандарт. Материалы и изделия огнеупорные цирконийсодержащие. Методы определения двуокиси циркония"
(утв. и введен в действие Постановлением Госстандарта СССР от 18.09.1984 N 3242)
(ред. от 01.11.1989)
Утвержден и введен в действие
Постановлением Государственного
комитета СССР по стандартам
от 18 сентября 1984 г. N 3242
МЕЖГОСУДАРСТВЕННЫЙ СТАНДАРТ
МАТЕРИАЛЫ И ИЗДЕЛИЯ ОГНЕУПОРНЫЕ ЦИРКОНИЙСОДЕРЖАЩИЕ
МЕТОДЫ ОПРЕДЕЛЕНИЯ ДВУОКИСИ ЦИРКОНИЯ
Zirconium containing refractory materials and products.
Methods for determination of zirconium dioxide
ГОСТ 13997.4-84
| | Список изменяющих документов (в ред. Изменения N 1, утв. в ноябре 1989 г.) | |
Дата введения
1 июля 1985 года
1. РАЗРАБОТАН И ВНЕСЕН Министерством черной металлургии СССР
РАЗРАБОТЧИКИ
Л.А. Коробка, Г.И. Дмитриенко, Л.А. Павлова
2. УТВЕРЖДЕН И ВВЕДЕН В ДЕЙСТВИЕ Постановлением Государственного комитета СССР по стандартам от 18.09.84 N 3242
3. ВЗАМЕН ГОСТ 13997.2-78
4. Стандарт соответствует СТ СЭВ 4426-83, СТ СЭВ 4427-83
5. ССЫЛОЧНЫЕ НОРМАТИВНО-ТЕХНИЧЕСКИЕ ДОКУМЕНТЫ
Обозначение НТД, на который дана ссылка | Номер пункта |
| |
| |
| |
| |
| |
| |
| |
| |
| |
| |
| |
| |
| |
| |
| |
| |
| |
| |
| |
| |
| |
| |
| |
| |
| |
| |
| |
| |
| |
| |
ТУ 6-09-5346-87 | |
6. Ограничение срока действия снято по протоколу N 7-95 Межгосударственного совета по стандартизации, метрологии и сертификации (ИУС 11-95)
7. ИЗДАНИЕ с Изменением N 1, утвержденным в ноябре 1989 г. (ИУС 2-90)
Настоящий стандарт устанавливает методы определения двуокиси циркония в материалах и изделиях огнеупорных цирконийсодержащих: прямой комплексонометрический с использованием индикатора ксиленолового оранжевого и обратный методы - с использованием индикатора ПАН (при массовой доле двуокиси циркония от 7 до 99%); комплексонометрический метод с индикатором ксиленоловым оранжевым (при массовой доле двуокиси циркония от 5 до 65%); гравиметрический фосфатный метод (при массовой доле двуокиси циркония до 65%); прямой комплексонометрический метод с использованием индикатора ксиленолового оранжевого в сернокислой среде (при массовой доле двуокиси циркония от 60 до 94%).
Стандарт соответствует СТ СЭВ 4426-83 в части гравиметрического метода определения двуокиси циркония и СТ СЭВ 4427-83 в части прямого комплексонометрического метода с использованием индикатора ксиленолового оранжевого (при массовой доле двуокиси циркония от 5 до 65%).
(Измененная редакция, Изм. N 1).
2. КОМПЛЕКСОНОМЕТРИЧЕСКИЙ МЕТОД
ОПРЕДЕЛЕНИЯ ДВУОКИСИ ЦИРКОНИЯ
2.1. Сущность метода
Метод основан на комплексонометрическом определении двуокиси циркония путем прямого титрования раствором трилона Б в присутствии индикатора ксиленолового оранжевого в солянокислой среде.
Смесь для сплавления, состоящая из безводного углекислого натрия, безводного тетраборнокислого натрия и углекислого калия в соотношении 1:1:1.
Смесь для сплавления, состоящая из безводного углекислого натрия и безводного тетраборнокислого натрия в соотношении 2:1. (Рекомендуется для разложения проб наряду с тройной смесью для материалов с массовой долей двуокиси циркония до 65%).
Кислота соляная по
ГОСТ 3118, раствор молярной концентрации эквивалента соляной кислоты, равной 1,5 моль/дм
3, и раствор 1:1.
Кислота серная по
ГОСТ 4204, раствор молярной концентрации эквивалента 0,5 моль/дм
3.
Гидроксиламин гидрохлорид по
ГОСТ 5456, раствор с массовой долей 20%.
Индикатор ксиленоловый оранжевый, водный раствор с массовой долей 0,5% или сухая смесь с хлористым калием; индикатор смешивают в фарфоровой ступке в соотношении 1:100. Полученную смесь хранят в стеклянном сосуде из темного стекла.
Соль динатриевая этилендиамин-N,N,N',N'-тетрауксусной кислоты, 2-водная (трилон Б) по
ГОСТ 10652, раствор молярной концентрации эквивалента трилона Б, равной 0,05 моль/дм
3.
Аммиак водный по
ГОСТ 3760, раствор с массовой долей 25%.
Аммоний азотнокислый по
ГОСТ 22867, раствор с массовой долей 2%, к которому добавляют несколько капель аммиака до изменения цвета по индикатору метиловому красному.
Индикатор метиловый красный, спиртовой раствор с массовой долей 0,1%.
Серебро азотнокислое по
ГОСТ 1277, раствор с массовой долей 1%.
Циркония хлорокись, х.ч.
Стандартный раствор циркония: навеску хлорокиси циркония 13 - 14 г растворяют в 50 - 80 см3 раствора соляной кислоты 1,5 моль/дм3 в стакане вместимостью 200 см3. Раствор переводят в мерную колбу вместимостью 1000 см3, доливают этим же раствором до метки и перемешивают.
Стандартный раствор циркония с массовой концентрацией двуокиси циркония около 0,005 г/см3.
Точную массовую концентрацию двуокиси циркония устанавливают гравиметрическим методом. Для этого в стакан вместимостью 250 - 300 см3 отбирают 20 см3 стандартного раствора, разбавляют водой до 100 см3, добавляют 2 г хлористого аммония, нагревают до 50 - 60 °C и осаждают избытком аммиака гидроокись циркония. Раствор с осадком нагревают до кипения, дают осадку осесть и отфильтровывают на фильтр диаметром 11 см "красная" или "белая лента". Осадок промывают горячим раствором азотнокислого аммония с массовой долей 2% до отрицательной реакции на ион хлора (реакция с раствором азотнокислого серебра).
Фильтр с осадком помещают во взвешенный платиновый тигель, подсушивают, озоляют и прокаливают до постоянной массы в муфельной печи при 1200 °C. Массовую концентрацию двуокиси циркония в 1 см3 (C) стандартного раствора находят делением массы осадка двуокиси циркония в граммах на 20.
Для приготовления стандартного раствора двуокиси циркония используют также двуокись циркония ос.ч. 7 - 2 или спектрально чистую, которые прокаливают перед взятием навески при 1200 °C в течение 2 ч.
2.2.1. Установка массовой концентрации раствора трилона Б по двуокиси циркония
В коническую колбу вместимостью 250 - 300 см3 отбирают 20 см3 стандартного раствора соли циркония, добавляют 30 - 40 см3 раствора соляной кислоты 1,5 моль/дм3, кипятят в течение 5 мин, прибавляют 2 - 3 капли индикатора ксиленолового оранжевого и титруют раствором трилона Б до перехода малиновой окраски раствора в желтую. Перед концом титрования необходимо снова нагреть раствор до кипения и прокипятить 3 - 5 мин. Если появилась малиновая окраска, титрование продолжают, раствор трилона Б прибавляют медленно, по каплям, до устойчивой желтой окраски. Проводят три параллельных титрования.
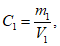
Массовую концентрацию раствора трилона Б (C1), выраженную в граммах двуокиси циркония, вычисляют по формуле
где C - массовая концентрация стандартного раствора соли циркония, выраженная в г/см3 двуокиси циркония;
20 - объем стандартного раствора циркония, взятый для титрования, см3;
V - объем раствора трилона Б, израсходованный на титрование, см3.
Навеску материала массой 0,1 г смешивают в платиновом тигле N 100-7 или 100-9 с 3 - 4 г смеси для сплавления и сплавляют в муфельной печи при 950 - 1000 °C в течение 10 - 15 мин. Остывший сплав опускают вместе с тиглем в стакан вместимостью 500 - 600 см3, в который предварительно наливают 180 - 200 см3 раствора соляной кислоты 1,5 моль/дм3, подогретой до 70 - 80 °C. Растворение сплава заканчивают на закрытой электроплитке со слабым нагревом. Полученный прозрачный раствор охлаждают до 40 - 50 °C, переводят в коническую колбу вместимостью 500 - 700 см3, обмывают тигель и стакан раствором соляной кислоты 1,5 моль/дм3, приливают 5 - 10 см3 раствора гидрохлорида гидроксиламина, нагревают и умеренно кипятят 3 - 5 мин, добавляют 2 - 3 капли раствора индикатора ксиленолового оранжевого и титруют раствором трилона Б до перехода малиновой окраски раствора в желтую.
Перед концом титрования колбу с анализируемым раствором вновь нагревают до кипения, кипятят 3 - 6 мин. Если появилась малиновая окраска, титрование продолжают, раствор трилона Б прибавляют медленно, по каплям, до устойчивой в течение 30 с желтой окраски. Допускается сплавление навески материала с 5 г калия пиросернокислого при температуре 800 - 850 °C до получения прозрачного расплава, растворение сплава в 180 - 200 см3 раствора серной кислоты. Далее анализ ведут, как описано выше, начиная с операции приливания раствора гидроксиламина гидрохлорида.
При проведении полного анализа цирконовых концентратов и огнеупоров на его основе навеску материала массой 0,25 г сплавляют и разлагают сплав, как указано ранее. Полученный прозрачный раствор, охлажденный до комнатной температуры, переводят в мерную колбу вместимостью 250 см3, доливают до метки раствором соляной кислоты 1 моль/дм3, перемешивают (раствор 1).
При проведении полного анализа бадделеитовых порошков и циркониевых огнеупорных материалов и изделий (окисного типа) навеску материала массой 0,5 г сплавляют с 4 - 5 г калия пиросернокислого при 750 - 800 °C в муфельной печи в течение 15 - 20 мин. Полученный остывший сплав растворяют в 40 - 45 см3 раствора соляной кислоты 1:1 при нагревании. Остывший до комнатной температуры раствор переводят в мерную колбу вместимостью 250 см3, доводят до метки водой, перемешивают (раствор 2).
Для определения массовой доли двуокиси циркония отбирают аликвотную часть раствора, равную 50 - 100 см3, в коническую колбу вместимостью 500 - 700 см3 и проводят определение по методике, приведенной ранее.
Оставшийся раствор 1 используют для определения окиси железа и двуокиси титана.
2.2, 2.2.1, 2.3. (Измененная редакция, Изм. N 1).
2.4. Обработка результатов
2.4.1. Массовую долю двуокиси циркония (X) в процентах вычисляют по формуле
где V - объем раствора трилона Б, израсходованный на титрование, см3;
C1 - массовая концентрация раствора трилона Б, выраженная в г/см3 двуокиси циркония;
m - масса навески, г.
Массовая доля двуокиси циркония (X) представлена суммой двуокисей циркония и гафния. Массовая доля двуокиси гафния в сырьевых материалах, используемых для производства огнеупоров, не превышает 1 - 2%.
2.4.2. Нормы точности и нормативы контроля точности измерений массовой доли двуокиси циркония приведены в табл. 1.
Массовая доля двуокиси циркония, % |  , % | Допускаемое расхождение, % |
dк | d2 | |
От 5 до 10 включ. | 0,2 | 0,3 | 0,2 | 0,1 |
Св. 10 " 20 " | 0,3 | 0,4 | 0,3 | 0,2 |
" 20 " 50 " | 0,5 | 0,6 | 0,5 | 0,3 |
" 50 " 99 " | 0,7 | 0,8 | 0,7 | 0,4 |
(Измененная редакция, Изм. N 1).
3. КОМПЛЕКСОНОМЕТРИЧЕСКИЙ МЕТОД ОПРЕДЕЛЕНИЯ
ДВУОКИСИ ЦИРКОНИЯ С ИНДИКАТОРОМ ПАН
3.1. Сущность метода
Метод основан на определении двуокиси циркония по разности после комплексонометрического титрования его в сумме с алюминием, железом и титаном в среде ацетатного буферного раствора при pH 4,8 - 5,0 с использованием индикатора 1-(2-пиридил-азо)-2-нафтола (ПАН), а в качестве титранта - раствора сернокислой меди. Метод применяется при проведении полного анализа.
3.2. Аппаратура, реактивы и растворы
Печи муфельные с нагревом до 950 - 1000 °C, 1100 - 1200 °C.
Тигли платиновые по
ГОСТ 6563, N 100-7, 100-9, 100-10.
Кислота серная по
ГОСТ 4204, раствор с массовой долей 5 и 10%.
Кислота соляная по
ГОСТ 3118, разбавленная 1:1.
Кислота уксусная по
ГОСТ 61, раствор молярной концентрации эквивалента уксусной кислоты, равной 2 моль/дм
3.
Натрий уксуснокислый 3-водный по
ГОСТ 199.
Раствор ацетатный буферный с pH 4,8 - 5,0: 1000 см3 раствора, 2 моль/дм3 уксусной кислоты смешивают с 1000 см3 раствора, содержащего 540 г 3-водного уксуснокислого натрия.
Медь сернокислая по
ГОСТ 4165, раствор молярной концентрации эквивалента меди сернокислой, равной 0,1 моль/дм
3: 12,5 г медного купороса (CuSO
4·5H
2O) растворяют в воде, приливают 2 см
3 серной кислоты плотностью 1,84 г/см
3 и доводят водой до 1000 см
3.
Спирт этиловый ректификованный технический по
ГОСТ 18300.
Индикатор 1,2-(пиридил-азо)-2-нафтол (ПАН), спиртовой раствор с массовой долей 0,2%.
Индикаторная бумага конго.
Титана двуокись, ос.ч.
Стандартный раствор двуокиси титана: навеску двуокиси титана массой 0,2 г, предварительно прокаленную при 1000 °C, сплавляют в кварцевом или платиновом тигле с 6 г пиросернокислого калия при 800 °C до получения прозрачного расплава. Остывший сплав растворяют в 150 см3 раствора серной кислоты с массовой долей 10% при нагревании на электроплитке с закрытой спиралью. Холодный прозрачный раствор переводят в мерную колбу вместимостью 250 см3 и доводят до метки раствором серной кислоты с массовой долей 5%, перемешивают.
Стандартный раствор сернокислого титана с массовой концентрацией двуокиси титана 0,0008 г/см3.
Железа окись по ТУ 6-09-5346, х.ч.
Стандартный раствор железа: навеску массой 1 г, высушенную при 105 - 110 °C в течение 1 ч окиси железа, помещают в коническую колбу вместимостью 500 см3, приливают 100 см3 соляной кислоты (1:1) и, накрыв колбу стеклянным шариком, нагревают на водяной бане до полного растворения. Затем раствор охлаждают, переводят в мерную колбу вместимостью 500 см3, доводят водой до метки и перемешивают.
Стандартный раствор железа с массовой концентрацией окиси железа 0,002 г/см3.
Циркония двуокись, стандартный раствор: готовят и устанавливают массовую концентрацию стандартного раствора циркония в г/см
3 двуокиси циркония по
п. 2.2.
Остальные реактивы и растворы по
п. 2.2.
(Измененная редакция, Изм. N 1).
3.2.1. Установка массовой концентрации раствора трилона Б по двуокиси циркония
В коническую колбу вместимостью 250 - 300 см3 помещают 25 см3 стандартного раствора циркония, приливают 70 - 80 см3 раствора соляной кислоты 1 моль/дм3 и 20 см3 раствора трилона Б 0,05 моль/дм3. Содержимое колбы нагревают и умеренно кипятят 3 - 5 мин, после чего нейтрализуют раствором аммиака по индикаторной бумаге конго до слабо-розового цвета, приливают 20 - 25 см3 буферного раствора с pH 4,8 - 5,0, 5 - 6 капель раствора индикатора ПАН и оттитровывают избыток раствора трилона Б раствором сернокислой меди до перехода окраски раствора из желто-зеленой в сине-фиолетовую. Проводят три параллельных титрования.
Массовую концентрацию раствора трилона Б (C1), выраженную в г/см3 двуокиси циркония, вычисляют по формуле
где C - массовая концентрация стандартного раствора циркония, выраженная в г/см3 двуокиси циркония;
25 - объем стандартного раствора циркония, взятый для титрования, см3;
V - объем прилитого раствора трилона Б, см3;
V1 - объем раствора сернокислой меди, израсходованный на титрование избытка раствора трилона Б, см3;
K - соотношение между раствором трилона Б и сернокислой меди.
3.2.2. Устанавливают соотношение между растворами трилона Б и сернокислой меди (K): 10 см3 раствора трилона Б 0,05 моль/дм3 помещают в коническую колбу вместимостью 250 - 300 см3, приливают примерно 100 см3 воды, нагревают до 70 - 80 °C, приливают 15 - 20 см3 ацетатного буферного раствора, 5 - 6 капель индикатора ПАН и титруют раствором сернокислой меди до перехода окраски из желто-зеленой в сине-фиолетовую. Для оценки соотношения растворов проводят не менее трех титрований и берут среднее арифметическое значение результатов.
Соотношение между растворами трилона Б и сернокислой меди (K) вычисляют по формуле
где V - объем раствора трилона Б, взятый для установки соотношения, см3;
V1 - объем раствора сернокислой меди, израсходованный на титрование, см3.
3.2.3. Установка массовой концентрации раствора трилона Б по окиси железа
В коническую колбу вместимостью 250 - 300 см
3 помещают 10 см
3 стандартного раствора железа, прибавляют 50 - 70 см
3 воды, 20 - 25 см
3 раствора трилона Б, нагревают до 60 - 70 °C, нейтрализуют раствором аммиака по индикаторной бумаге конго до слабо-розового цвета, далее поступают, как при установке массовой концентрации раствора трилона Б по двуокиси циркония по
п. 3.2.1.
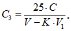
Массовую концентрацию раствора трилона Б (C2), выраженную в г/см3 окиси железа, вычисляют по формуле
где C - массовая концентрация стандартного раствора железа, выраженная в г/см3 окиси железа;
10 - объем стандартного раствора железа, взятый для титрования, см3;
V - объем прилитого раствора трилона Б, см3;
V1 - объем раствора сернокислой меди, израсходованный на титрование избытка раствора трилона Б, см3;
K - соотношение между растворами трилона Б и сернокислой меди.
3.2.4. Установка массовой концентрации раствора трилона Б по двуокиси титана
В коническую колбу вместимостью 250 - 300 см
3 помещают 25 см
3 стандартного раствора двуокиси титана, прибавляют 50 см
3 воды, 20 - 25 см
3 раствора трилона Б, нагревают до 60 - 70 °C, нейтрализуют раствором аммиака по индикаторной бумаге конго до слабо-розового цвета, далее поступают, как при установке массовой концентрации раствора трилона Б по двуокиси циркония по
п. 3.2.1.
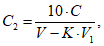
Массовую концентрацию раствора трилона Б (C3), выраженную в г/см3 двуокиси титана, вычисляют по формуле
где C - массовая концентрация стандартного раствора титана, выраженная в г/см3 двуокиси титана;
25 - объем стандартного раствора титана, взятый для титрования, см3;
V - объем прилитого раствора трилона Б, см3;
V1 - объем раствора сернокислой меди, израсходованный на титрование избытка раствора трилона Б, см3;
K - соотношение между растворами трилона Б и сернокислой меди.
Навески анализируемого материала сплавляют и растворяют сплав по
п. 2.3 или используют аликвотные части раствора 1 после гравиметрического отделения двуокиси кремния по
ГОСТ 13997.3.
Отбирают аликвотную часть раствора 1
(п. 2.3) 50 - 100 см
3 в коническую колбу вместимостью 250 - 300 см
3, прибавляют 40 - 45 см
3 раствора трилона Б, нагревают и умеренно кипятят 3 - 5 мин, после чего нейтрализуют раствором аммиака по индикаторной бумаге конго до слабо-розового цвета, приливают 20 - 25 см
3 буферного раствора с pH 4,8 - 5,0, 5 - 6 капель раствора индикатора ПАН и оттитровывают избыток раствора трилона Б раствором сернокислой меди до перехода окраски раствора из желто-зеленой в сине-фиолетовую.
Массовую долю двуокиси титана определяют из отдельной навески материала по
ГОСТ 13997.6.
3.4. Обработка результатов
3.4.1. Массовую долю двуокиси циркония (
X1) в процентах при определении его из суммы окислов циркония, алюминия, железа и титана вычисляют по формуле
где V - объем раствора трилона Б, см3;
V1 - объем раствора сернокислой меди, пошедший на титрование избытка раствора трилона Б, см3;
K - соотношение между растворами трилона Б и сернокислой меди;
m - масса навески, соответствующая аликвотной части раствора, г;
m1 - массовая доля окиси железа в пробе, определенная по
ГОСТ 13997.5, %;
C2 - массовая концентрация раствора трилона Б, выраженная в г/см3 окиси железа;
m2 - массовая доля двуокиси титана, определенная по
ГОСТ 13997.6, %;
C3 - массовая концентрация раствора трилона Б, выраженная в г/см3 двуокиси титана;
m3 - массовая доля окиси алюминия, определенная по
ГОСТ 13997.7, %;
C4 - массовая концентрация раствора трилона Б, выраженная в г/см
3 окиси алюминия, установленная по
ГОСТ 13997.7;
C1 - массовая концентрация раствора трилона Б, выраженная в г/см3 двуокиси циркония.
3.4.2. Нормы точности и нормативы контроля точности измерений массовой доли двуокиси циркония приведены в
табл. 1.
(Измененная редакция, Изм. N 1).
4. КОМПЛЕКСОНОМЕТРИЧЕСКИЙ МЕТОД
ОПРЕДЕЛЕНИЯ ДВУОКИСИ ЦИРКОНИЯ
(в огнеупорных материалах и изделиях с массовой долей
двуокиси циркония до 65%, кроме бадделеитовых)
4.1. Сущность метода
Метод основан на сплавлении пробы со смесью тетраборнокислого и углекислого натрия, растворении полученного сплава в соляной кислоте и титровании циркония в кислой среде раствором трилона Б в присутствии индикатора ксиленолового оранжевого при 100 °C.
Смеси для сплавления: безводные углекислый натрий и тетраборнокислый натрий смешивают в соотношении 1:1 или безводные углекислый натрий, углекислый калий, тетраборнокислый натрий смешивают в соотношении 1:1:1.
Кислота соляная по
ГОСТ 3118, раствор молярной концентрации эквивалента, равной 1 моль/дм
3.
Гидроксиламина гидрохлорид по
ГОСТ 5456, раствор с массовой долей 20%.
Индикатор ксиленоловый оранжевый: 0,2 г индикатора тщательно растирают с 20 г хлористого калия. Смесь хранят в стеклянном сосуде из темного стекла.
Натрий уксуснокислый 3-водный по
ГОСТ 199.
Кислота уксусная по
ГОСТ 61, раствор молярной концентрации эквивалента уксусной кислоты, равной 2 моль/дм
3.
Раствор ацетатный буферный с pH 4,8 - 5,0: 1000 см3 раствора 2 моль/дм3 уксусной кислоты смешивают с 1000 см3 раствора, содержащего 544 г 3-водного уксуснокислого натрия.
Соль динатриевая этилендиамин-N,N,N',N'-тетрауксусной кислоты, 2-водная (трилон Б) по
ГОСТ 10652, раствор молярной концентрации эквивалента трилона Б, равной 0,05 моль/дм
3: 18,6 г трилона Б растворяют в 1000 см
3 воды; если необходимо, раствор фильтруют.
4.2.1. Установка массовой концентрации раствора трилона Б по двуокиси циркония
В коническую колбу вместимостью 500 см3 помещают навеску азотнокислого свинца массой от 0,35 до 0,40 г. Навеску азотнокислого свинца растворяют в 200 см3 воды, прибавляют 15 см3 ацетатного буферного раствора и около 0,1 г сухого индикатора ксиленолового оранжевого. Титруют раствором трилона Б до перехода фиолетово-розовой окраски раствора в лимонно-желтую.
Массовую концентрацию раствора трилона Б (C1), выраженную в г/см3 двуокиси циркония, вычисляют по формуле
где m - масса навески азотнокислого свинца, г;
V - объем раствора трилона Б, израсходованный на титрование, см3;
123,22 - молекулярная масса двуокиси циркония, г;
331,21 - молекулярная масса азотнокислого свинца, г.
Допускается применение двуокиси циркония ос.ч. для установки массовой концентрации раствора трилона Б по двуокиси циркония.
В этом случае массовую концентрацию раствора трилона Б (
C1), выраженную в г/см
3 двуокиси циркония, определяют по
разд. 3 и вычисляют по формуле
где m1 - масса навески двуокиси циркония, г;
V1 - объем раствора трилона Б, израсходованный на титрование, см3.
4.3. Проведение анализа
Навеску материала массой 0,2 г при массовой доле двуокиси циркония до 50% и массой 0,1 г - при массовой доле свыше 50% сплавляют с 20-кратным количеством смеси для сплавления в течение 15 мин в муфельной печи при (1100 +/- 20) °C.
Тигель со сплавом охлаждают примерно до 100 °C и помещают в стакан вместимостью 400 см3, в который предварительно налито 200 см3 раствора соляной кислоты 1 моль/дм3, накрывают часовым стеклом. Разложение сплава проводят на электроплитке закрытого типа при слабом нагреве. После разложения сплава тигель и покровное стекло споласкивают над стаканом тем же раствором соляной кислоты. Раствор переводят в коническую колбу вместимостью 500 см3, прибавляют 5 - 10 см3 раствора солянокислого гидроксиламина, около 0,1 г сухого индикатора ксиленолового оранжевого, нагревают, умеренно кипятят 3 - 5 мин и титруют раствором трилона Б до перехода малиновой окраски раствора в желтую.
Перед окончанием титрования колбу с анализируемым раствором нагревают до кипения, кипятят 3 - 5 мин; если появилась малиновая окраска, титрование продолжают, раствор трилона Б приливают медленно, по каплям до устойчивой в течение 30 с желтой окраски.
4.4. Обработка результатов
4.4.1. Массовую долю двуокиси циркония (X2) в процентах вычисляют по формуле
где V - объем раствора трилона Б, израсходованный на титрование, см3;
C1 - массовая концентрация раствора трилона, выраженная в г/см3 двуокиси циркония;
m - масса навески, г.
4.4.2. Абсолютные допускаемые расхождения результатов параллельных определений при доверительной вероятности P = 0,95 не должны превышать значений, приведенных в табл. 2.
Таблица 2
Массовая доля двуокиси циркония, % | Абсолютное допускаемое расхождение, % |
От 5 до 15 включ. | 0,2 |
Св. 15 " 40 " | 0,3 |
" 40 " 65 " | 0,5 |
4а. КОМПЛЕКСОНОМЕТРИЧЕСКИЙ МЕТОД
ОПРЕДЕЛЕНИЯ ДВУОКИСИ ЦИРКОНИЯ
4а.1. Сущность метода
Метод основан на разложении навески в серной кислоте в присутствии сернокислого аммония и последовательном комплексонометрическом определении двуокиси циркония и окиси иттрия.
4а.2. Реактивы и растворы
Кислота серная по
ГОСТ 4204 и раствор 0,5 моль/дм
3.
Соль динатриевая этилендиамин-N,N,N
',N
'-тетрауксусной кислоты, 2-водная (трилон Б) по
ГОСТ 10652, раствор молярной концентрации эквивалента трилона Б, равной 0,05 моль/дм
3.
Индикатор ксиленоловый оранжевый, раствор с массовой долей 0,5%.
Хлорокись циркония, х.ч.
Стандартный раствор циркония готовят по
п. 2.2.
4а.2.1. Установление массовой концентрации раствора трилона Б по двуокиси циркония
В коническую колбу вместимостью 250 - 300 см3 отбирают 20 см3 стандартного раствора циркония, добавляют 40 см3 раствора серной кислоты 0,5 моль/дм3, 1,5 г сернокислого натрия и кипятят 5 - 10 мин. Затем в колбу доливают 80 см3 дистиллированной воды и снова нагревают до кипения, добавляют 2 - 3 капли раствора ксиленолового оранжевого и титруют до перехода малиновой окраски в желтую.
Массовую концентрацию (C) раствора трилона Б, выраженную в граммах двуокиси циркония, вычисляют по формуле
где C - массовая концентрация стандартного раствора соли циркония, выраженная в г/см3 двуокиси циркония;
20 - объем стандартного раствора циркония, взятый для титрования, см3;
V - объем раствора трилона Б, израсходованный на титрование, см3.
Навеску образца массой 0,1 г помещают в стакан вместимостью 100 см
3, добавляют 2,5 г сернокислого аммония, 3 - 4 см
3 серной кислоты, накрывают часовым стеклом и нагревают на плитке до полного растворения пробы. Охлажденный раствор переносят в коническую колбу вместимостью 500 см
3, прибавляют 1,5 г сернокислого натрия и кипятят 10 - 15 мин. Затем разбавляют водой примерно до 200 см
3, снова нагревают до кипения, добавляют 2 - 3 капли раствора ксиленолового оранжевого и титруют раствором трилона Б до перехода малиновой окраски в желтую (раствор А). Далее раствор А используют для определения окиси иттрия по
ГОСТ 13997.10.
4а.4. Обработка результатов
4а.4.1. Массовую долю двуокиси циркония (X) в процентах вычисляют по формуле
где V - объем раствора трилона, израсходованный на титрование, см3;
C - массовая концентрация раствора трилона Б, выраженная в г/см3 двуокиси циркония;
m - масса навески образца, г.
4а.4.2. Нормы точности и нормативы контроля точности измерений массовой доли двуокиси циркония приведены в
табл. 1.
Разд. 4а. (Введен дополнительно, Изм. N 1).
5. ГРАВИМЕТРИЧЕСКИЙ МЕТОД ОПРЕДЕЛЕНИЯ ДВУОКИСИ ЦИРКОНИЯ
(в огнеупорных материалах и изделиях с массовой долей
двуокиси циркония до 65%, кроме бадделеитовых)
5.1. Сущность метода
Метод основан на сплавлении пробы со смесью углекислого и тетраборнокислого натрия. Полученный сплав растворяют в растворе соляной кислоты. После выделения двуокиси кремния цирконий осаждают в виде фосфата и взвешивают его после прокаливания в виде осадка пирофосфата циркония.
5.2. Аппаратура, реактивы и растворы
Печь электрическая муфельная с температурой нагрева до 1100 °C.
Тигли платиновые по
ГОСТ 6563, N 100-7, 100-9.
Тигли корундовые.
Натрий тетраборнокислый 10-водный по
ГОСТ 4199.
Смесь для сплавления: углекислый и тетраборнокислый натрий смешивают в соотношении 1:1.
Кислота соляная по
ГОСТ 3118 и растворы 1:1 и 1:5.
Аммиак водный по
ГОСТ 3760, раствор с массовой долей 25%.
Кислота серная по
ГОСТ 4204, разбавленная 1:1, и раствор с массовой долей 2%.
Аммоний фосфорнокислый двузамещенный по
ГОСТ 3772, свежеприготовленный раствор с массовой долей 10%.
Спирт этиловый ректификованный технический по
ГОСТ 18300.
Аммоний азотнокислый по
ГОСТ 22867, раствор с массовой долей 5%.
Водорода перекись по
ГОСТ 10929, раствор с массовой долей 25%.
Кислота фтористоводородная по
ГОСТ 10484, раствор с массовой долей 40%.
Барий хлористый по
ГОСТ 4108, раствор с массовой долей 10%.
В платиновом тигле сплавляют 12 г смеси для сплавления, предварительно выдерживают тигель при 360 - 380 °C до удаления кристаллизационной воды. После охлаждения добавляют в тигель от 0,5 до 1 г пробы (в зависимости от массовой доли двуокиси циркония) и сплавляют над газовой горелкой. Потом тигель со сплавом выдерживают от 60 до 90 мин в электрической печи при (1100 +/- 20) °C.
Пробу считают полностью разложенной, если жидкий сплав прозрачен.
Тигель со сплавом охлаждают примерно до 100 °C, помещают в стакан вместимостью 400 см3, накрывают часовым стеклом и обрабатывают 100 см3 раствора соляной кислоты (1:1). После растворения сплава тигель и часовое стекло ополаскивают над стаканом горячей водой. К полученному раствору добавляют 20 см3 этилового спирта и выпаривают на водяной бане досуха.
Высушенный остаток увлажняют соляной кислотой и высушивают в течение 2 ч от 110 до 120 °C. После охлаждения к остатку прибавляют 20 см3 соляной кислоты и спустя 5 - 7 мин добавляют 100 см3 горячей воды. Полученный раствор подогревают до полного растворения солей и отфильтровывают через фильтр "синяя лента" в мерную колбу вместимостью 500 см3. Осадок на фильтре промывают несколько раз горячим раствором соляной кислоты (1:5). Затем фильтр с осадком помещают в платиновый тигель, осторожно высушивают, озоляют и прокаливают в электрической муфельной печи в течение 30 - 40 мин при (1100 +/- 20) °C. После охлаждения прокаленный осадок увлажняют несколькими каплями воды, приливают 8 - 10 см3 фтористоводородной кислоты и 5 капель раствора серной кислоты (1:1). Содержимое тигля осторожно выпаривают досуха на закрытой электроплитке, не доводя до кипения.
Остаток в тигле сплавляют со смесью для сплавления. Полученный сплав растворяют в 25 см3 раствора соляной кислоты (1:1) и присоединяют его к раствору в мерной колбе вместимостью 500 см3, доводят до метки водой, перемешивают (раствор 2).
100 см3 раствора 2 переводят пипеткой в стакан вместимостью 250 см3 (при массовой доле двуокиси циркония менее 5% используют от 150 до 200 см3, которые помещают в стакан вместимостью 400 см3), прибавляют раствор аммиака до легкого помутнения; затем быстро прибавляют 12 см3 серной кислоты. Затем добавляют 5 см3 раствора перекиси водорода. После прибавляют 50 см3 раствора фосфорнокислого аммония и осаждают фосфат циркония при слабом кипении в течение 25 мин, после чего раствор осторожно фильтруют через фильтр "синяя лента" и собирают осадок.
Осадок на фильтре промывают 3 - 4 раза раствором серной кислоты с массовой долей 2% с добавкой 1 г фосфорнокислого аммония на 1000 см3 раствора. Затем смывают осадок с фильтра в стакан, в котором проводилось осаждение, горячим раствором серной кислоты, применяемой в качестве промывной жидкости, прибавляют 100 см3 раствора серной кислоты с массовой долей 2%, несколько капель раствора перекиси водорода и 5 см3 раствора фосфорнокислого аммония. Раствор с осадком нагревают, в течение 3 мин кипятят и фильтруют через тот же фильтр.
Осадок на фильтре промывают раствором азотнокислого аммония до отсутствия сульфатов, которое контролируется раствором хлористого бария.
Фильтр переносят во взвешенный корундовый тигель, высушивают, осторожно озоляют и прокаливают в электрической муфельной печи при 1150 °C до постоянной массы, охлаждают в эксикаторе и взвешивают.
Допускается определение двуокиси циркония из аликвотной части раствора 1
ГОСТ 13997.3.
5.4. Обработка результатов
5.4.1. Массовую долю двуокиси циркония (X3) в процентах вычисляют по формуле
где m1 - масса прокаленного осадка, г;
V - объем исходного раствора, см3;
0,4647 - коэффициент пересчета пирофосфата циркония на двуокись циркония;
m - масса навески, г;
V1 - объем аликвотной части исходного раствора, см3.
5.4.2. Абсолютные допускаемые расхождения результатов параллельных определений не должны превышать значений, приведенных в табл. 3.
Таблица 3
Массовая доля двуокиси циркония, % | Абсолютное допускаемое расхождение, % |
До 5 включ. | 0,1 |
Св. 5 " 15 " | 0,2 |
" 15 " 40 " | 0,3 |
" 40 " 65 " | 0,5 |