Главная // Актуальные документы // ГОСТ (Государственный стандарт)СПРАВКА
Источник публикации
М.: ИПК Издательство стандартов, 1998
Примечание к документу
С 1 июля 2003 года до вступления в силу технических регламентов акты федеральных органов исполнительной власти в сфере технического регулирования носят рекомендательный характер и подлежат обязательному исполнению только в части, соответствующей целям, указанным в
пункте 1 статьи 46 Федерального закона от 27.12.2002 N 184-ФЗ.
Документ
введен в действие с 1 января 1977 года.
Взамен ГОСТ 4518-60.
Название документа
"ГОСТ 4518-75. Государственный стандарт Союза ССР. Реактивы. Аммоний фтористый. Технические условия"
(утв. и введен в действие Постановлением Госстандарта СССР от 30.09.1975 N 2539)
(ред. от 01.05.1991)
"ГОСТ 4518-75. Государственный стандарт Союза ССР. Реактивы. Аммоний фтористый. Технические условия"
(утв. и введен в действие Постановлением Госстандарта СССР от 30.09.1975 N 2539)
(ред. от 01.05.1991)
Утвержден и введен в действие
Постановлением
Государственного комитета
стандартов Совета Министров СССР
от 30 сентября 1975 г. N 2539
ГОСУДАРСТВЕННЫЙ СТАНДАРТ СОЮЗА ССР
РЕАКТИВЫ
АММОНИЙ ФТОРИСТЫЙ
ТЕХНИЧЕСКИЕ УСЛОВИЯ
Reagents. Ammonium fluoride. Specifications
ГОСТ 4518-75
| | Список изменяющих документов (в ред. Изменения N 1, утв. в январе 1981 г., Изменения N 2, утв. в феврале 1986 г. Изменения N 3, утв. в мае 1991 г.) | |
ОКП 26 2116 0880 03
Дата введения
1 января 1977 года
1. РАЗРАБОТАН И ВНЕСЕН Министерством химической промышленности СССР
РАЗРАБОТЧИКИ
Г.В. Грязнов, В.Г. Брудзь, И.Л. Ротенберг, Е.Н. Яковлева, Т.К. Палдина, Л.В. Кидиярова, С.А. Назаров, В.П. Лопаткина, З.Е. Северюхина, Л.Г. Волковая, Л.Ф. Булгакова
2. УТВЕРЖДЕН И ВВЕДЕН В ДЕЙСТВИЕ Постановлением Государственного комитета стандартов Совета Министров СССР от 30.09.75 N 2539
3. Срок проверки - 1996 г. Периодичность проверки - 5 лет
4. ВЗАМЕН ГОСТ 4518-60
5. ССЫЛОЧНЫЕ НОРМАТИВНО-ТЕХНИЧЕСКИЕ ДОКУМЕНТЫ
Обозначение НТД, на который дана ссылка | Номер пункта, подпункта |
| |
| |
| |
| |
| |
| |
| |
| |
| |
| |
| |
| |
| |
| |
| | ИС МЕГАНОРМ: примечание. ГОСТ 10671.1-74 утратил силу с 1 января 2018 года в связи с введением в действие ГОСТ 10671.1-2016 (Приказ Росстандарта от 07.11.2016 N 1599-ст). | |
|
ГОСТ 10671.1-74 | |
| |
| |
| |
| |
| |
| |
| |
| |
6. Ограничение срока действия снято Постановлением Госстандарта СССР от 17.05.91 N 705
7. ПЕРЕИЗДАНИЕ (июнь 1998 г.) с Изменениями N 1, 2, 3, утвержденными в январе 1981 г., феврале 1986 г., мае 1991 г. (ИУС 4-81, 6-86, 8-91)
Настоящий стандарт распространяется на фтористый аммоний, который представляет собой бесцветные кристаллы, легко растворимые в воде; разъедает стекло.
Формула NH4F.
Относительная молекулярная масса (по международным атомным массам 1985 г.) - 37,04.
Требования настоящего стандарта являются обязательными.
(Измененная редакция, Изм. N 3).
1. ТЕХНИЧЕСКИЕ ТРЕБОВАНИЯ
1.1а. Фтористый аммоний должен быть изготовлен в соответствии с требованиями настоящего стандарта по технологическому регламенту, утвержденному в установленном порядке.
(Введен дополнительно, Изм. N 1).
1.1. По физико-химическим показателям фтористый аммоний должен соответствовать нормам, указанным в таблице.
Наименование показателя | Норма |
Чистый для анализа (ч.д.а.) ОКП 26 2116 0882 01 | Чистый (ч.) ОКП 26 2116 0881 02 |
1. Массовая доля фтористого аммония (NH4F), %, не менее | 98,5 | 96,0 |
2. Массовая доля нерастворимых в воде веществ, %, не более | 0,005 | 0,010 |
3. Массовая доля остатка после прокаливания в виде сульфатов, %, не более | 0,008 | 0,030 |
4. Массовая доля сульфатов (SO4), %, не более | 0,005 | 0,005 |
5. Массовая доля хлоридов (Cl), %, не более | 0,0005 | 0,0010 |
6. Массовая доля кремния (Si), %, не более | 0,01 | 0,02 |
7. Массовая доля железа (Fe), %, не более | 0,0005 | 0,0030 |
8. Массовая доля тяжелых металлов (Pb), %, не более | 0,0005 | 0,0010 |
9. Массовая доля кислого фтористого аммония (NH4F · HF), %, не более | 1,0 | 3,0 |
(Измененная редакция, Изм. N 2).
2а. ТРЕБОВАНИЯ БЕЗОПАСНОСТИ
2а.1. Фтористый аммоний по степени воздействия на организм человека относится к веществам 2-го класса опасности по
ГОСТ 12.1.005. Предельно допустимая концентрация его (в пересчете на F) в воздухе рабочей зоны производственных помещений 0,2 мг/м
3 - среднесменная и 1 мг/м
3 - максимально разовая. Фтористый аммоний вызывает острые и хронические отравления с поражением центральной нервной системы, желудочно-кишечного тракта, нарушает обмен веществ, раздражает слизистые оболочки глаз и кожу, верхние дыхательные пути.
(Измененная редакция, Изм. N 3).
2а.2. Определение предельно допустимой концентрации фтористого аммония в воздухе основано на поглощении фтористого водорода раствором ализаринкомплексоната лантана с последующим измерением оптической плотности образовавшегося тройного комплексного соединения синего цвета.
2а.3. При работе с препаратом следует применять индивидуальные средства защиты, соблюдать правила личной гигиены, не допускать попадания препарата вовнутрь организма и на кожу.
2а.4. Помещения, в которых проводятся работы с препаратом, должны быть оборудованы общей приточно-вытяжной вентиляцией; в местах наибольшего пыления необходимо предусмотреть местные отсосы.
Анализ препарата следует проводить в вытяжном шкафу лаборатории.
(Измененная редакция, Изм. N 3).
Разд. 2а. (Введен дополнительно, Изм. N 2).
3.1а. Общие указания по проведению анализа - по
ГОСТ 27025.
При взвешивании применяют лабораторные весы общего назначения типа ВЛР-200г и ВЛКТ-500г-М или ВЛЭ-200г.
Допускается применение других средств измерения с метрологическими характеристиками и оборудования с техническими характеристиками не хуже, а также реактивов по качеству не ниже указанных в настоящем стандарте.
3.1. Пробы отбирают по
ГОСТ 3885. Масса средней пробы должна быть не менее 165 г. Перед проведением анализа препарат растирают в агатовой ступке.
3.1а, 3.1. (Измененная редакция, Изм. N 3).
3.2. Определение массовой доли фтористого аммония
3.2.1.
Реактивы, растворы, аппаратура и посуда:
вода дистиллированная, не содержащая углекислоты, готовят по
ГОСТ 4517;
натрия гидроксид по
ГОСТ 4328, растворы концентраций
c (NaOH) = 0,1 моль/дм
3 (0,1 н.) и
c (NaOH) = 0,5 моль/дм
3 (0,5 н.), готовят по
ГОСТ 25794.1 (хранят в банке из полиэтилена);
спирт этиловый ректификованный технический по
ГОСТ 18300, высшего сорта;
фенолфталеин (индикатор), спиртовой раствор с массовой долей 1%, готовят по
ГОСТ 4919.1;
формалин по
ГОСТ 1625, раствор 1:1, нейтрализованный по фенолфталеину раствором гидроокиси натрия концентрации 0,1 моль/дм
3 до появления не исчезающей в течение 20 с розовой окраски, наблюдаемой на фоне молочного стекла;
бюретка 1-2-50-0,1 по НТД;
пипетки 4(5)-2-1 по НТД;
(Измененная редакция, Изм. N 2, 3).
3.2.2. Проведение анализа
Около 0,5000 г препарата, взвешенного в платиновой (или фторопластовой) чашке, растворяют в 25 см3 воды, прибавляют 25 см3 раствора формалина, тщательно перемешивают, прибавляют 0,2 см3 раствора фенолфталеина и титруют раствором гидроксида натрия концентрации 0,5 моль/дм3 (при перемешивании платиновым или фторопластовым шпателем) до розовой окраски раствора.
(Измененная редакция, Изм. N 2).
3.2.3. Обработка результатов
Массовую долю фтористого аммония (X) в процентах вычисляют по формуле

,
где V - объем раствора гидроксида натрия концентрации точно 0,5 моль/дм3, израсходованный на титрование, см3;
X1 - массовая доля кислого фтористого аммония, определяемая по
п. 3.10, %;
m - масса навески препарата, г;
0,01852 - масса фтористого аммония, соответствующая 1 см3 раствора гидроксида натрия концентрации точно 0,5 моль/дм3, г;
1,298 - коэффициент пересчета кислого фтористого аммония на фтористый аммоний.
За результат анализа принимают среднее арифметическое результатов двух параллельных определений, абсолютное расхождение между которыми не превышает 0,2%.
Допускаемая абсолютная суммарная погрешность результата анализа +/- 0,4% при доверительной вероятности P = 0,95.
3.3. Определение массовой доли нерастворимых в воде веществ
3.2.3, 3.3. (Измененная редакция, Изм. N 2, 3).
3.3.1.
Реактивы, аппаратура и посуда:
3.3.2. Проведение анализа
20,00 г препарата, взвешенного в платиновой чашке, растворяют в 200 см3 дистиллированной воды. Раствор фильтруют через платиновый тигель, заправленный обеззоленным фильтром "синяя лента" и предварительно промытый горячей водой, высушенный до постоянной массы и взвешенный (результат взвешивания в граммах записывают с точностью до четвертого десятичного знака). Остаток на фильтре промывают 50 см3 воды и сушат в сушильном шкафу при температуре 105 - 110 °C до постоянной массы.
3.3.1, 3.3.2. (Измененная редакция, Изм. N 3).
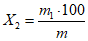
3.3.3. Обработка результатов
Массовую долю не растворимых в воде веществ (X2) в процентах вычисляют по формуле

,
где m1 - масса остатка на тигле, г;
m - масса навески препарата, г.
За результат анализа принимают среднее арифметическое результатов двух параллельных определений, абсолютное расхождение между которыми не превышает 0,001%.
Допускаемая абсолютная суммарная погрешность результата анализа +/- 0,002% при доверительной вероятности P = 0,95.
(Введен дополнительно, Изм. N 3).
3.4. Определение массовой доли остатка после прокаливания в виде сульфатов
Определение проводят по
ГОСТ 27184 из навески препарата массой 12,50 г. Полученный после удаления на песчаной бане основной массы препарата остаток смачивают 0,5 см
3 серной кислоты. Прокаливание проводят при (700 +/- 20) °C.
За результат анализа принимают среднее арифметическое результатов двух параллельных определений, абсолютное расхождение между которыми не превышает 0,003%.
Допускаемая абсолютная суммарная погрешность результата анализа +/- 0,003% при доверительной вероятности P = 0,95.
(Измененная редакция, Изм. N 3).
3.5. Определение массовой доли сульфатов
Определение проводят по
ГОСТ 10671.5 фототурбидиметрическим или визуально-нефелометрическим методом (способ 1).
При этом 1,00 г препарата, взвешенного в платиновой чашке, смачивают 1 см
3 раствора углекислого натрия
(ГОСТ 83) с массовой долей 1% и нагревают на электроплитке, покрытой слоем асбеста, или на песчаной бане до прекращения выделения аммонийных солей (белый дым). К сухому остатку приливают 1 см
3 углекислого натрия и вновь выпаривают досуха. Остаток растворяют в 3 см
3 раствора борной кислоты
(ГОСТ 9656) с массовой долей 3% и 1 см
3 раствора соляной кислоты и переносят в стакан или коническую колбу вместимостью 100 см
3. Объем раствора доводят водой до 26 см
3 и далее определение проводят по
ГОСТ 10671.5, без прибавления раствора соляной кислоты.
Контрольный раствор готовят так же, как анализируемый, и с теми же массами реактивов.
Препарат считают соответствующим требованиям настоящего стандарта, если масса сульфатов не будет превышать:
- для препарата чистый для анализа - 0,050 мг,
- для препарата чистый - 0,050 мг.
За результат анализа принимают среднее арифметическое результатов двух параллельных определений, относительное расхождение между которыми не превышает 30%.
Допускаемая относительная суммарная погрешность результата анализа +/- 25% при доверительной вероятности P = 0,95.
При разногласиях в оценке массовой доли сульфатов анализ проводят фототурбидиметрическим методом.
3.6. Определение массовой доли хлоридов
Определение проводят по
ГОСТ 10671.7 визуально-нефелометрическим методом в объеме 25 см
3 (способ 1). При этом 2,00 г препарата, взвешенного в платиновой чашке
(ГОСТ 6563), растворяют в 9 см
3 воды и далее определение проводят по
ГОСТ 10671.7, прибавляя 15 см
3 раствора азотной кислоты (вместо 1 см
3) и выдерживая раствор после прибавления раствора азотнокислого серебра в течение 10 мин в платиновой чашке. Сравнение опалесценции анализируемого раствора с раствором сравнения проводят немедленно после переноса раствора в коническую колбу вместимостью 100 см
3.
Препарат считают соответствующим требованиям настоящего стандарта, если наблюдаемая опалесценция анализируемого раствора не будет интенсивнее опалесценции раствора, приготовленного одновременно с анализируемым и содержащего в таком же объеме:
- для препарата чистый для анализа - 0,010 мг Cl,
- для препарата чистый - 0,020 мг Cl,
1 см3 раствора азотной кислоты и 1 см3 раствора азотнокислого серебра.
При необходимости в результат определения вносят поправку на массу хлоридов в 14 см3 раствора азотной кислоты, определяемую контрольным опытом.
3.7. Определение массовой доли кремния
| | ИС МЕГАНОРМ: примечание. ГОСТ 10671.1-74 утратил силу с 1 января 2018 года в связи с введением в действие ГОСТ 10671.1-2016 (Приказ Росстандарта от 07.11.2016 N 1599-ст). | |
Определение проводят по ГОСТ 10671.1 с применением в качестве восстановителя двойной сернокислой соли закиси железа и аммония (соль Мора). При этом 0,10 г препарата, взвешенного в платиновой чашке
(ГОСТ 6563), растворяют в 20 см
3 раствора борной кислоты
(ГОСТ 9656) с массовой долей 3%, переносят в мерную колбу вместимостью 50 см
3 и далее определение проводят по ГОСТ 10671.1, применяя для построения градуировочного графика раствор, содержащий кремний
(ГОСТ 4212), вместо раствора, содержащего кремнекислоту.
Контрольный раствор готовят так же, как анализируемый, и с теми же массами реактивов.
Препарат считают соответствующим требованиям настоящего стандарта, если масса кремния не будет превышать:
- для препарата чистый для анализа - 0,010 мг,
- для препарата чистый - 0,020 мг.
За результат анализа принимают среднее арифметическое результатов двух параллельных определений, относительное расхождение между которыми не превышает 20%.
Допускаемая относительная суммарная погрешность результата анализа +/- 25% при доверительной вероятности P = 0,95.
Допускается проводить визуальное определение.
При разногласиях в оценке массовой доли кремния проводят фотометрическое определение.
3.8. Определение массовой доли железа
Определение проводят по
ГОСТ 10555 сульфосалициловым методом. При этом 2,00 г препарата, взвешенного в платиновой чашке
(ГОСТ 6563) смачивают 1 см
3 раствора углекислого натрия
(ГОСТ 83) с массовой долей 1% и нагревают на электроплитке, покрытой слоем асбеста, или на песчаной бане до прекращения выделения аммонийных солей (белый дым). Остаток растворяют в 1 см
3 раствора соляной кислоты и 3 см
3 раствора борной кислоты
(ГОСТ 9656) с массовой долей 3%, затем переносят в мерную колбу вместимостью 50 см
3 и доводят объем раствора водой до 20 см
3. Далее определение проводят по
ГОСТ 10555 не прибавляя раствор соляной кислоты.
Контрольный раствор готовят так же, как анализируемый, и с теми же массами реактивов.
Препарат считают соответствующим требованиям настоящего стандарта, если масса железа не будет превышать:
- для препарата чистый для анализа - 0,010 мг,
- для препарата чистый - 0,060 мг.
За результат анализа принимают среднее арифметическое результатов двух параллельных определений, относительное расхождение между которыми не превышает 20%.
Допускаемая относительная суммарная погрешность результата анализа +/- 20% при доверительной вероятности P = 0,95.
При разногласиях в оценке массовой доли железа анализ заканчивают фотометрически.
3.9. Определение массовой доли тяжелых металлов
Определение проводят по
ГОСТ 17319 тиоацетамидным методом. При этом 2,00 г препарата, взвешенного в платиновой чашке
(ГОСТ 6563), смачивают 1 см
3 раствора углекислого натрия
(ГОСТ 83) с массовой долей 1% и нагревают на электроплитке, покрытой слоем асбеста или на песчаной бане до прекращения выделения аммонийных солей (белый дым). Остаток растворяют в 1 см
3 раствора уксусной кислоты
(ГОСТ 61) с массовой долей 10% при нагревании на кипящей водяной бане (чашку закрывают часовым стеклом), содержимое чашки переносят водой в коническую колбу вместимостью 50 см
3, доводят объем раствора водой до 20 см
3 и далее определение проводят по
ГОСТ 17319, прибавляя 2,5 см
3 раствора натрия гидроксида (вместо 2 см
3).
Контрольный раствор готовят так же, как анализируемый раствор, и с теми же массами реактивов. Препарат считают соответствующим требованиям настоящего стандарта, если масса тяжелых металлов не будет превышать:
- для препарата чистый для анализа - 0,010 мг,
- для препарата чистый - 0,020 мг.
При разногласиях в оценке массовой доли тяжелых металлов определение проводят фотометрически.
3.5 - 3.9. (Измененная редакция, Изм. N 2, 3).
3.10. Определение массовой доли кислого фтористого аммония
3.10.1.
Реактивы, растворы, аппаратура и посуда:
вода дистиллированная, не содержащая углекислоты, готовят по
ГОСТ 4517 и охлаждают до 0 °C;
натрия гидроксид по
ГОСТ 4328, раствор концентрации
c (NaOH) = 0,1 моль/дм
3 (0,1 н.), готовят по
ГОСТ 25794.1; раствор хранят в банке из полиэтилена;
смешанный индикатор, состоящий из бромкрезолового пурпурового и бромтимолового синего; готовят по
ГОСТ 4919.1; раствор хранят в склянке из оранжевого стекла;
бюретка 1(2)-2-5-0,02 по НТД;
пипетка 4(5)-2-1 по НТД;
(Измененная редакция, Изм. N 2, 3).
3.10.2. Проведение анализа
1,00 г препарата, взвешенного в платиновой (или фторопластовой) чашке, растворяют в 25 см3 холодной воды (температура воды от 0 до 5 °C), прибавляют 5 капель раствора индикатора и быстро титруют из бюретки (при перемешивании платиновым или фторопластовым шпателем) раствором гидроксида натрия до изменения окраски раствора от желтой до отчетливо сиреневой, сохраняющейся в течение 30 с.
(Измененная редакция, Изм. N 3).
3.10.3. Обработка результатов
Массовую долю кислого фтористого аммония (X3) в процентах вычисляют по формуле

,
где V - объем раствора гидроксида натрия концентрации точно 0,1 моль/дм3, израсходованный на титрование, см3;
m - масса навески препарата, г;
0,0057 - масса кислого фтористого аммония, соответствующая 1 см3 раствора гидроксида натрия концентрации точно 0,1 моль/дм3, г.
За результат анализа принимают среднее арифметическое результатов двух параллельных определений, абсолютное расхождение между которыми не превышает 0,2%.
Допускаемая абсолютная суммарная погрешность результата анализа +/- 0,15% при доверительной вероятности P = 0,95.
(Измененная редакция, Изм. N 2, 3).
4. УПАКОВКА, МАРКИРОВКА, ТРАНСПОРТИРОВАНИЕ И ХРАНЕНИЕ
4.1. Препарат упаковывают и маркируют в соответствии с
ГОСТ 3885.
Вид и тип тары 2-9, 11-1.
Группа фасовки: III, IV, V, VI, VII.
На тару наносят знак опасности по
ГОСТ 19433 (класс 6, подкласс 6.1, черт. 6б, классификационный шифр 6163): серийный номер ООН 2505.
(Измененная редакция, Изм. N 1, 2, 3).
4.2. Препарат перевозят всеми видами транспорта в соответствии с правилами перевозки грузов, действующими на данном виде транспорта.
4.3. Препарат хранят в упаковке изготовителя в крытых складских помещениях.
5.1. Изготовитель гарантирует соответствие фтористого аммония требованиям настоящего стандарта при соблюдении условий транспортирования и хранения.
5.2. Гарантийный срок хранения - 3 года со дня изготовления.
Разд. 5. (Измененная редакция, Изм. N 2).
Разд. 6. (Исключен, Изм. N 2).