Главная // Актуальные документы // ГОСТ (Государственный стандарт)СПРАВКА
Источник публикации
В данном виде документ опубликован не был.
Первоначальный текст документа опубликован в издании
М.: Издательство стандартов, 1985.
Информацию о публикации документов, создающих данную редакцию, см. в справке к этим документам.
Примечание к документу
С 1 июля 2003 года до вступления в силу технических регламентов акты федеральных органов исполнительной власти в сфере технического регулирования носят рекомендательный характер и подлежат обязательному исполнению только в части, соответствующей целям, указанным в
пункте 1 статьи 46 Федерального закона от 27.12.2002 N 184-ФЗ.
Ограничение срока действия снято по Протоколу N 4-93 Межгосударственного совета по стандартизации, метрологии и сертификации ("ИУС", N 4, 1994).
Срок действия
продлен до 1 января 1990 года Постановлением Госстандарта СССР от 09.08.1984 N 2820.
Изменение N 4, утв. Постановлением Госстандарта СССР от 29.06.1989 N 2237, введено в действие с 1 января 1990 года.
Название документа
"ГОСТ 21907-76*. Государственный стандарт Союза ССР. Циркония двуокись. Технические условия"
(введен Постановлением Госстандарта СССР от 01.06.1976 N 1355)
(ред. от 29.06.1989)
"ГОСТ 21907-76*. Государственный стандарт Союза ССР. Циркония двуокись. Технические условия"
(введен Постановлением Госстандарта СССР от 01.06.1976 N 1355)
(ред. от 29.06.1989)
Введен
Постановлением
Государственного комитета стандартов
Совета Министров СССР
от 1 июня 1976 г. N 1355
ГОСУДАРСТВЕННЫЙ СТАНДАРТ СОЮЗА ССР
ЦИРКОНИЯ ДВУОКИСЬ
ТЕХНИЧЕСКИЕ УСЛОВИЯ
Zirconium dioxide. Specifications
ГОСТ 21907-76*
| | Список изменяющих документов (в ред. Изменения N 1, утв. в декабре 1978 г., Изменения N 2, утв. в апреле 1980 г., Изменения N 3, утв. в августе 1984 г. Госстандарта СССР от 29.06.1989 N 2237) | |
Постановлением Государственного комитета стандартов Совета Министров СССР от 1 июня 1976 г. N 1355 срок введения установлен
с 1 января 1977 года
| | ИС МЕГАНОРМ: примечание. Текст абзаца приведен в соответствии с официальным текстом документа. | |
Проверен в 1984 г. Постановлением Госстандарта от 09.08.84 N 2820 срок действия продлен
с 1 января 1990 года
Переиздание (май 1985 г.) с Изменениями N 1, 2, 3, утвержденными в декабре 1978 г., апреле 1980 г., августе 1984 г. (ИУС 2-79, 7-80, 11-84).
Настоящий стандарт распространяется на двуокись циркония, предназначенную для производства огнеупорных материалов, пьезокерамики, керамических пигментов, эмалей и других целей.
Формула ZrO2.
Молекулярная масса (по международным атомным массам 1971 г.) - 123,22.
Абзац исключен с 1 января 1990 года. -
Изменение N 4, утв. Постановлением Госстандарта СССР от 29.06.1989 N 2237.
1. МАРКА И ТЕХНИЧЕСКИЕ ТРЕБОВАНИЯ
1.1а. Двуокись циркония должна быть изготовлена в соответствии с требованиями настоящего стандарта по технологической документации, утвержденной в установленном порядке.
(в ред.
Изменения N 4, утв. Постановлением Госстандарта СССР от 29.06.1989 N 2237)
(Введен дополнительно, Изм. N 3).
1.1. В зависимости от применения двуокись циркония выпускается марок ЦрО и ЦрО-К:
ЦрО - применяется в производстве огнеупоров, керамических пигментов, эмалей, глазурей, пьезокерамики и абразивов.
ЦрО-К - применяется в производстве радио и пьезокерамики.
1.2. По физико-химическим показателям двуокись циркония должна соответствовать нормам, указанным в табл. 1.
Наименование показателя | Норма для марки |
ЦрО | ЦрО-К |
1-го сорта | 2-го сорта |
(в ред. Изменения N 4, утв. Постановлением Госстандарта СССР от 29.06.1989 N 2237) |
1. Внешний вид | Порошок белого цвета с желтоватым или сероватым оттенком, не содержащий посторонних механических включений, окалины, спека, окатышей |
2. Массовая доля суммы двуокисей циркония и гафния, %, не менее | 99,3 | 99 | 96,5 |
3. Массовая доля окиси алюминия, %, не более | 0,03 | 0,05 | Не нормируется |
4. Массовая доля окиси железа, %, не более | 0,05 | 0,1 | 0,08 |
5. Массовая доля окиси кальция, %, не более | 0,03 | 0,05 | 0,3 |
(в ред. Изменения N 4, утв. Постановлением Госстандарта СССР от 29.06.1989 N 2237) |
6. Массовая доля окиси магния, %, не более | 0,02 | 0,03 | 0,2 |
7. Массовая доля двуокиси кремния, %, не более | 0,2 | 0,3 | 0,6 |
8. Массовая доля двуокиси титана, %, не более | 0,1 | 0,2 | В пределах 1,0 - 1,5 |
9. Массовая доля пятиокиси фосфора, %, не более | 0,15 | 0,2 | 0,3 |
(в ред. Изменения N 4, утв. Постановлением Госстандарта СССР от 29.06.1989 N 2237) |
10. Массовая доля серы в пересчете на SO3, %, не более | 0,18 | 0,25 | 0,3 |
11. Массовая доля суммы окисей натрия и калия, %, не более | 0,02 | 0,05 | Не нормируется |
12. Потери при прокаливании, %, не более | 0,5 | 0,5 | 0,5 |
13. Остаток при просеве на сите с сеткой N 0315 по ГОСТ 4601-73, %, не более | 0,5 | 0,5 | 40 |
14. Остаток при просеве на сите с сеткой N 056 по ГОСТ 4601-73 | Отсутствие | Не нормируется |
15. Остаток при просеве на сите с сеткой N 08 по ГОСТ 4601-73, %, не более | Не нормируется | 18 |
16. Массовая доля темных включений в "огневой пробе", шт. на 1 дм2, не более | | |
диаметром 0,5 - 2 мм | Не нормируется | 15 |
в том числе диаметром 1 - 2 мм | Не нормируется | 5 |
Примечание. При поставке на экспорт массовая доля в продукте двуокиси гафния не должна быть более 2,2%.
(Измененная редакция, Изм. N 2, 3).
1.3. Коды ОКП двуокиси циркония приведены в табл. 1а.
Таблица 1а
Наименование продукта | Код ОКП |
Циркония двуокись | |
марка ЦрО 1-й сорт | 17 6221 0001 01 |
2-й сорт | 17 6221 0002 00 |
марка ЦрО-К | 17 6221 0003 10 |
(в ред. Изменения N 4, утв. Постановлением Госстандарта СССР от 29.06.1989 N 2237) |
(Измененная редакция, Изм. N 3).
1а. ТРЕБОВАНИЯ БЕЗОПАСНОСТИ
1а.1. Двуокись циркония - мелкодисперсный порошок, пожаро- взрыво- и радиационнобезопасен, вызывает раздражение слизистой оболочки дыхательных путей.
1а.2. Предельно допустимая концентрация (ПДК) двуокиси циркония в воздухе рабочей зоны по
ГОСТ 12.1.005-88 составляет 6 мг/м
3.
(в ред.
Изменения N 4, утв. Постановлением Госстандарта СССР от 29.06.1989 N 2237)
По степени воздействия на организм человека двуокись циркония относится по
ГОСТ 12.1.007-76 к 3-му классу опасности.
1а.3. Производственные и лабораторные помещения, в которых проводятся работы с двуокисью циркония, должны быть оснащены приточно-вытяжной вентиляцией по
ГОСТ 12.4.021-75, обеспечивающей состояние воздушной среды в соответствии с требованиями
ГОСТ 12.1.005-88.
(в ред.
Изменения N 4, утв. Постановлением Госстандарта СССР от 29.06.1989 N 2237)
1а.4. При работе с двуокисью циркония обслуживающий персонал должен пользоваться средствами индивидуальной защиты: специальной одеждой по
ГОСТ 12.4.103-83 и респираторами типа "Лепесток" по
ГОСТ 12.4.034-85.
Разд. 1а. (Введен дополнительно, Изм. N 3).
2.1. Двуокись циркония предъявляют к приемке партиями. Партией считают количество продукта, однородного по своим качественным показателям, массой не менее 5 т, сопровождаемого одним документом о качестве.
По соглашению с потребителем допускается поставка партий двуокиси циркония марки ЦрО-К массой не менее 2 т.
Документ о качестве должен содержать:
наименование предприятия-изготовителя или наименование предприятия-изготовителя и товарный знак предприятия-изготовителя;
(в ред.
Изменения N 4, утв. Постановлением Госстандарта СССР от 29.06.1989 N 2237)
наименование продукта или его шифр и марку;
номер партии;
количество единиц продукта в партии;
массу нетто;
результаты проведенных анализов;
дату изготовления;
обозначение настоящего стандарта;
штамп технического контроля.
(Измененная редакция, Изм. N 3).
2.2. Для проверки соответствия качества двуокиси циркония требованиям настоящего стандарта отбирают пробу механическим пробоотборником или вручную от 20% упаковочных единиц.
(п. 2.2 в ред.
Изменения N 4, утв. Постановлением Госстандарта СССР от 29.06.1989 N 2237)
2.3. Массовые доли окиси кальция, окиси магния, суммы окислов натрия и калия для марки ЦрО изготовитель определяет один раз в 3 мес.
При получении неудовлетворительных результатов периодических испытаний испытания переводят в приемо-сдаточные до получения удовлетворительных результатов на 5 партиях
(п. 2.3 в ред.
Изменения N 4, утв. Постановлением Госстандарта СССР от 29.06.1989 N 2237)
2.4. При получении неудовлетворительных результатов анализа хотя бы по одному из показателей проводят повторный анализ проб, отобранных от удвоенного количества упаковочных единиц той же партии.
(в ред.
Изменения N 4, утв. Постановлением Госстандарта СССР от 29.06.1989 N 2237)
Результаты повторного анализа распространяются на всю партию.
3.1. Пробы двуокиси циркония отбирают по
ГОСТ 3885-73. Масса точечной пробы не должна быть менее 50 г. Масса средней пробы - не менее 500 г.
3.2. Внешний вид двуокиси циркония определяют визуально
3.3. Определение массовой доли суммы двуокисей циркония и гафния
Массовую долю суммы двуокисей циркония и гафния (X) в процентах вычисляют условно по разности между 100% и суммой определяемых примесей по формуле
X = 100 - (X1 + X2 + X3 + X4 + X5 + X6 + X7 + X8 + X11),
где X1 - массовая доля Al2O3, %;
X2 - массовая доля Fe2O3, %;
X3 - массовая доля CaO, %;
X4 - массовая доля MgO, %;
X5 - массовая доля SiO2, %;
X6 - массовая доля TiO2, %;
X7 - массовая доля P2O5, %;
X8 - массовая доля SO3, %;
X11 - массовая доля суммы окисей натрия и калия, %.
Допускаемые расхождения между найденными значениями не должны превышать 0,08, 0,24 и 0,3% для марок ЦрО 1, 2-го сортов и ЦрО-К соответственно.
3.4. Определение массовой доли окисей алюминия, железа, кальция, магния и двуокисей кремния и титана
3.4.1. Применяемые аппаратура, реактивы и растворы:
спектрограф дифракционный типа ДФС-8 с трехлинзовой системой освещения щели или другой аналогичный прибор;
генератор активизированной дуги переменного тока типа ДГ-2 или другой аналогичной системы, обеспечивающей силу тока не менее 20 А;
микрофотометр нерегистрирующий типа МФ-2 или аналогичного типа;
спектропроектор типа ПС 18;
весы аналитические типа ВЛА-200-М или аналогичного типа; весы типа ВТ-500 или аналогичного типа;
печь муфельная с терморегулятором от 300 до 1200 °C;
ступки с пестиками из органического стекла;
ступки с пестиками агатовые или яшмовые;
бокс из органического стекла типа 8БП1-ОС или другого аналогичного типа;
порошок графитовый марки ос.ч. 7-4 с частицами размером менее 90 мкм;
угли графитированные для спектрального анализа марки ос.ч. 7-3;
фотопластинки спектральные, типа II, чувствительностью 15 - 20 единиц и типа ЭС, чувствительностью 5 - 6 относительных единиц или другого аналогичного типа;
станок для заточки графитовых электродов;
циркония двуокись с содержанием окисей алюминия, железа, кальция, магния и двуокисей титана и кремния менее 0,002% каждой;
алюминия окись безводная, ч.д.а.;
железа окись, ч.д.а.;
(в ред.
Изменения N 4, утв. Постановлением Госстандарта СССР от 29.06.1989 N 2237)
титана (IV) окись, ос. ч. 6-2;
(в ред.
Изменения N 4, утв. Постановлением Госстандарта СССР от 29.06.1989 N 2237)
| | ИС МЕГАНОРМ: примечание. Взамен ГОСТ 123-78 Постановлением Госстандарта России от 11.11.1998 N 726 с 1 июля 1999 года введен в действие ГОСТ 123-98. | |
кобальт по ГОСТ 123-78, марки К-0;
натрий сернистокислый (сульфит натрия) кристаллический, ч.д.а.;
(в ред.
Изменения N 4, утв. Постановлением Госстандарта СССР от 29.06.1989 N 2237)
натрий углекислый безводный по
ГОСТ 83-79, ч.д.а. или натрий углекислый кристаллический по
ГОСТ 84-76;
натрий серноватистокислый (тиосульфат натрия) по
ГОСТ 27068-86, ч.д.а.;
(в ред.
Изменения N 4, утв. Постановлением Госстандарта СССР от 29.06.1989 N 2237)
проявитель; готовят следующим образом: 2 г метола, 10 г гидрохинона и 104 г сернистокислого натрия растворяют в воде, доводят объем раствора водой до 1000 см3, перемешивают и, если раствор мутный, фильтруют (раствор А);
16 г безводного углекислого натрия (или 40 г кристаллического углекислого натрия), 2 г бромистого калия растворяют в воде, доводят объем раствора до 1000 см3, перемешивают и, если раствор мутный, фильтруют (раствор Б).
Растворы А и Б смешивают в равных объемах непосредственно перед проявлением;
фиксаж; готовят следующим образом: 300 г серноватистокислого натрия и 60 г хлористого аммония растворяют в воде, доводят объем водой до 1000 см3 и перемешивают.
3.4.2. Подготовка к анализу
3.4.2.1. "Внутренний эталон" (кобальт) буферной смеси и спектроскопический буфер (хлористый натрий), готовят следующим образом: 100 мг кобальта взвешивают с погрешностью не более 1 мг и растворяют при нагревании в 5 см3 азотной кислоты, разбавленной 1:1. Полученный раствор переносят в мерную колбу вместимостью 500 см3, доводят объем раствора водой до метки и перемешивают. 10 г графитового порошка помещают в кварцевую чашку, смачивают 10 см3 приготовленного раствора и содержимое чашки упаривают на водяной бане почти досуха. Остатки со стенок чашки смывают небольшими порциями воды. Упаривание повторяют досуха и затем смесь прокаливают при 300 - 350 °C до удаления окислов азота. Полученный порошок небольшими порциями добавляют к 300 мг хлористого натрия и смесь тщательно растирают в ступке из органического стекла в течение 1 ч.
3.4.2.2. Приготовление образцов сравнения
Образцы сравнения готовят в боксе механическим смешиванием двуокиси циркония с углекислым кальцием и окислами определяемых элементов, предварительно прокаленными до постоянной массы: углекислый кальций при 300 - 350 °C, окиси железа, алюминия, магния и двуокиси циркония, кремния и титана при 1000 °C.
Готовят два идентичных набора образцов сравнения. Для этого подготавливают два основных образца следующим образом: взвешивают 65,075 г двуокиси циркония с погрешностью не более 0,0002 г, 8,925 г углекислого кальция, 6,000 г двуокиси кремния и по 5,000 г окисей железа, алюминия, магния и титана. Все это тщательно смешивают и растирают в течение 1 ч в агатовой ступке в присутствии этилового спирта, затем спирт выжигают, а смесь переносят в кварцевую чашку и прокаливают в муфельной печи при 1100 - 1200 °C в течение 1 ч и по охлаждении снова измельчают в агатовой ступке.
Каждый основной образец разбавляют двуокисью циркония сначала в пять, затем в два раза и получают образец сравнения 1, из которого последовательным разбавлением двуокисью циркония в 2,5 и 2 раза получают набор образцов сравнения, состав которых приведен в табл. 2.
Таблица 2
Номера образцов | Массовая доля, % |
Al2O3 | Fe2O3 | SiO2 | CaO | MgO | TiO2 |
1 | 0,5 | 0,5 | 0,6 | 0,5 | 0,5 | 0,5 |
2 | 0,2 | 0,2 | 0,24 | 0,2 | 0,2 | 0,2 |
3 | 0,1 | 0,1 | 0,12 | 0,1 | 0,1 | 0,1 |
4 | 0,05 | 0,05 | 0,06 | 0,05 | 0,05 | 0,05 |
5 | 0,02 | 0,02 | 0,024 | 0,02 | 0,02 | 0,02 |
6 | 0,01 | 0,01 | 0,012 | 0,01 | 0,01 | 0,01 |
Так получают два идентичных набора образцов сравнения, которые хранят в полиэтиленовых или фторопластовых сосудах.
Перед использованием образцы сравнения проверяют на точность их приготовления. Для этого по
п. 3.4.3 фотографируют на одной и той же пластинке по два спектра каждого из шести образцов сравнения обоих наборов. Эту операцию повторяют пять раз. После обработки и фотометрирования всех фотопластинок по
п. 3.4.4 получают по 10 значений разности почернений

каждой пары аналитических линий для каждого образца сравнения первого и второго наборов.
Средние значения (

,

и

) вычисляют по формулам

;

;

.
По значениям

и соответствующим значениям lg
C строят средний для обоих наборов градуировочный график в координатах (

, lg
C) для указанного в
табл. 3 интервала массовых долей примесей, соответствующего каждой аналитической паре линий.
Номинальные значения концентраций примесей в образцах сравнения считают правильными, если:
отклонение величины lgC, найденной для каждого образца сравнения (1 - 6) по среднему градуировочному графику, не превышает 0,05 единиц логарифмической шкалы и
разность логарифмов концентраций (lgC1 - lgC2), установленных по среднему градуировочному графику для двух образцов сравнения одного и того же номинала из разных наборов, не превышает 0,09 единиц логарифмической шкалы.
3.4.3. Проведение анализа
30 мг анализируемой двуокиси циркония (или образца сравнения), взвешенной с погрешностью не более 1 мг, смешивают с 90 г буферной смеси, взвешенной с той же погрешностью, растирают в ступке из органического стекла в течение 10 мин.
Полученную смесь плотно набивают в кратеры четырех заточенных угольных электродов, предварительно обожженных в дуге переменного тока при 10 А в течение 5 с. Наружный диаметр заточенной части электрода 3,0 мм, высота 10,0 мм, диаметр кратера 1,5 мм, глубина - 3,0 мм. Торцы электродов затирают анализируемой смесью до получения блестящей поверхности. При анализе используют область спектра от 230,0 до 330,0 нм; при работе со спектрографом с решеткой 600 штрихов на 1 мм указанные спектры фотографируют за один прием на двух фотопластинках: область спектра от 230,0 до 304,0 нм на пластинках типа II; область спектра от 304,0 до 330,0 нм на фотопластинках типа ЭС. При работе со спектрографом с решеткой 1200 штрихов на 1 мм спектры фотографируют в два приема: область спектра от 235,0 до 285,0 нм на фотопластинках типа II, область спектра от 285,0 до 335,0 нм - на фотопластинках типа ЭС. В этом случае при использовании аналитических линий, отмеченных в
табл. 3 звездочкой, вместо линии кобальта для сравнения используют фон рядом с аналитической линией. Спектры каждой анализируемой пробы и каждого образца сравнения фотографируют по два раза при ширине щели спектрографа ДФС-8 0,015 мм. При фотографировании спектров электроды устанавливают вертикально в зажимах держателей. Дугу переменного тока зажигают с помощью активизатора при расстоянии между концами электродов 3 мм, затем высокочастотный контур отключают. В течение экспозиции - 60 с поддерживают постоянную силу тока 10 А и расстояние между электродами 3 мм. Фотопластинки проявляют при 20 °C в качающейся кювете в течение 4 мин. Пластинки моют в проточной воде 10 мин и в течение 10 мин закрепляют раствором фиксажа, после этого вновь промывают 10 мин в проточной воде и сушат.
3.4.4. Обработка результатов
На полученных спектрограммах измеряют почернения аналитических линий и линий сравнения и вычисляют их разность

. Используемые аналитические линии и определяемые массовые доли примесей указаны в табл. 3.
Примеси | Аналитические линии | Аналитические линии "внутреннего эталона" | Интервалы массовой доли примесей, % |
Элемент | Длина волны, нм | Элемент | Длина волны, нм |
Окись алюминия | Алюминий | 309,27 | Кобальт | 306,18 | 0,01 - 0,1 |
То же | 266,04 | То же | 242,49 | 0,02 - 0,2 |
Окись железа | Железо | 305,91 | Кобальт | 306,18 | 0,01 - 0,1 |
То же | 259,84 | То же | 242,49 | 0,02 - 0,2 |
Окись кальция | Кальций | 317,93 | Кобальт | 306,18 | 0,02 - 0,2 |
То же | 317,93 | То же | 314,70 | 0,1 - 0,5 |
Двуокись кремния | Кремний | 251,61 | Кобальт | 242,49 | 0,01 - 0,3 |
То же | 251,43 | То же | 252,13 | 0,12 - 0,6 |
Окись магния | Магний | 279,55* | Кобальт | 306,18 | 0,01 - 0,05 |
То же | 278,14* | То же | 306,18 | 0,01 - 0,1 |
" | 277,98 | " | 252,13 | 0,05 - 0,2 |
Двуокись титана | Титан | 307,87 | Фон | Рядом с линиями титана | 0,01 - 0,1 |
То же | 264,66 | То же | 0,02 - 0,5 |
В качестве "внутреннего эталона" для всех указанных в
табл. 3 аналитических линий определяемых элементов допускается использование близлежащего фона. По полученным для каждого образца сравнения двум величинам

пары аналитических линий вычисляют среднюю разность почернений

и строят градуировочный график в координатах

, где
C - массовая доля определяемой примеси в образце сравнения в процентах. По значениям

той же аналитической пары, полученным для спектров анализируемых проб, находят по графику массовой доли определяемой примеси. За результат анализа принимают среднее арифметическое двух параллельных определений, полученных по двум спектрам.
Допускаемые расхождения между результатами двух параллельных определений не должны превышать значений величин, указанных в табл. 4 (при этом один результат параллельного определения получают по градуировочному графику и значению

для первого спектра пробы, другой - по значению

второго спектра пробы).
Таблица 4
Определяемая примесь | Массовая доля, % | Допускаемые расхождения между результатами двух параллельных определений, % |
Окись алюминия (X1) | 0,03 | 0,01 |
0,05 | 0,015 |
Окись железа (X2) | 0,05 | 0,015 |
0,08 | 0,03 |
0,1 | 0,03 |
Окись кальция (X3) | 0,04 | 0,015 |
0,05 | 0,015 |
0,5 | 0,20 |
Окись магния (X4) | 0,02 | 0,01 |
0,03 | 0,01 |
0,2 | 0,07 |
Двуокись кремния (X5) | 0,2 | 0,06 |
0,3 | 0,10 |
0,6 | 0,20 |
Двуокись титана (X6) | 0,1 | 0,03 |
0,2 | 0,07 |
Если результат анализа находится в интервалах 0,065 - 0,08% для окиси железа и 0,12 - 0,15% для двуокиси кремния, то необходимо провести еще по два дополнительных определения.
За результат анализа принимают среднее арифметическое из четырех параллельных определений, допускаемые расхождения между крайними значениями которых не должны превышать 0,04% для окиси железа и 0,08% для двуокиси кремния.
3.4.5. Массовую долю двуокиси титана для марки ЦрО-К определяют по ГОСТ 13997.6-84,
разд. 3.
3.5. Определение массовой доли пятиокиси фосфора
3.5.1. Применяемые аппаратура, реактивы и растворы:
фотоэлектроколориметр типа ФЭК-60;
кислота серная по
ГОСТ 4204-77, х.ч., плотностью 1,84 г/см
3, разбавленная 1:1 и 0,9 моль/дм
3 раствор;
аскорбиновая кислота (витамин C), 1%-ный раствор, хранят в склянке из темного стекла, годен к применению 14 суток;
циркония хлорокись высокочистая;
раствор сернокислого циркония; готовят следующим образом: 13,1 г хлорокиси циркония, взвешенной с погрешностью не более 0,01 г, помещают в стакан вместимостью 300 см3, смачивают водой и прибавляют 25 см3 концентрированной серной кислоты. Раствор упаривают до начала выделения паров серного ангидрида и продолжают нагревание 3 мин. Раствор охлаждают, осторожно прибавляют 5 - 10 см3 воды, смывая стенки стакана, и снова упаривают до паров серного ангидрида. После охлаждения содержимое стакана растворяют в 200 см3 воды, фильтруют в мерную колбу вместимостью 500 см3. Объем раствора доводят до метки водой и перемешивают (раствор А);
1 см3 раствора А содержит 0,01 г двуокиси циркония;
раствор, содержащий 0,2 мг/см3 пятиокиси фосфора; готовят следующим образом: 0,383 г перекристаллизованного однозамещенного фосфорнокислого калия, высушенного в эксикаторе в течение суток над концентрированной серной кислотой и взвешенного с погрешностью не более 0,001 г, растворяют в воде в мерной колбе вместимостью 1000 см3, доводят водой до метки и перемешивают.
10 см3 полученного раствора пятиокиси фосфора помещают в мерную колбу вместимостью 100 см3, доводят объем раствора до метки 0,9 моль/дм3 раствором серной кислоты и перемешивают (раствор Б).
1 см3 раствора Б содержит фосфора в пересчете на пятиокись фосфора 0,02 мг;
аммоний молибденовокислый по
ГОСТ 3765-78, ч.д.а., 5%-ный сернокислый раствор; готовят следующим образом: 5,0 г перекристаллизованного и высушенного при 105 - 110 °C до постоянной массы молибденовокислого аммония взвешивают с погрешностью не более 0,02 г, растворяют в 50 - 60 см
3 воды при нагревании. Раствор фильтруют в мерную колбу вместимостью 100 см
3, прибавляют 10 см
3 серной кислоты, разбавленной 1:1, доводят объем водой до метки и перемешивают (раствор В). Раствор годен к применению в течение месяца.
3.5.2. Построение градуировочного графика
Для построения градуировочного графика в мерные колбы вместимостью 50 см3 вводят по 4 см3 раствора сернокислого циркония (раствор А), приливают от 1,0 до 10,0 см3 (с интервалом 1 см3) раствора пятиокиси фосфора (раствор Б), содержащих 0,02 - 0,20 г пятиокиси фосфора соответственно. Растворы в колбах разбавляют 0,9 моль/дм3 серной кислотой до 30 см3, затем добавляют по 5 см3 раствора В, стенки колб обмывают 1 см3 аскорбиновой кислоты и, при непрерывном перемешивании, объем раствора доводят 0,9 моль/дм3 раствором серной кислоты до метки. Колбу с раствором помещают в кипящую водяную баню на 15 мин.
Одновременно проводят контрольный опыт в тех же условиях и с тем же количеством реагента, но без добавления стандартного раствора пятиокиси фосфора и раствора сернокислого циркония.
Измеряют оптическую плотность приготовленных растворов по отношению к раствору сравнения на фотоэлектроколориметре с красным светофильтром (длина волны около 760 нм) в кювете с толщиной поглощающего свет слоя 10 или 20 мм.
(в ред.
Изменения N 4, утв. Постановлением Госстандарта СССР от 29.06.1989 N 2237)
В качестве раствора сравнения при измерении оптической плотности используют раствор контрольного опыта. По полученным данным строят градуировочный график, откладывая по оси абсцисс массовую долю пятиокиси фосфора в миллиграммах, по оси ординат - соответствующие им значения оптических плотностей.
3.5.3. Навеску двуокиси циркония массой 0,0500 г помещают в фарфоровый тигель N 4, добавляют 3 г пиросернокислого калия. Смесь расплавляют при 500 - 600 °C, перемешивают вращательным движением тигля и сплавляют при температуре 750 - 800 °C в течение 10 - 12 мин до получения прозрачного плава. После охлаждения к содержимому тигля добавляют раствор серной кислоты концентрации 0,9 моль/дм3 и плав растворяют при нагревании. Прозрачный раствор из тигля через воронку переносят в мерную колбу вместимостью 50 см3. К охлажденному раствору прибавляют 5 см3 молибденовокислого аммония, стенки колбы обмывают раствором серной кислоты концентрации 0,9 моль/дм3, добавляют при перемешивании 1 см3 раствора аскорбиновой кислоты и доводят объем до метки раствором серной кислоты концентрации 0,9 моль/дм3. Раствор перемешивают и помещают в кипящую водяную баню на 15 мин (время замечают с момента закипания). Раствор охлаждают и измеряют его оптическую плотность по отношению к контрольному опыту, который проводят параллельно с пробой, в тех же случаях и с теми же реактивами.
Массовую долю пятиокиси фосфора находят по градуировочному графику.
(п. 3.5.3 в ред.
Изменения N 4, утв. Постановлением Госстандарта СССР от 29.06.1989 N 2237)
3.5.1 - 3.5.3. (Измененная редакция, Изм. N 3).
3.5.4. Массовую долю пятиокиси фосфора (X7) в процентах вычисляют по формуле

,
где m1 - масса пятиокиси фосфора, найденная по градуировочному графику, г;
m - масса навески двуокиси циркония, г.
За результат анализа принимают среднее арифметическое результатов двух параллельных определений, допускаемые расхождения между которыми не должны превышать 0,02% при массовой доле пятиокиси фосфора 0,15 - 0,20% и 0,03% - при массовой доле 0,2 - 0,4%.
(п. 3.5.4 в ред.
Изменения N 4, утв. Постановлением Госстандарта СССР от 29.06.1989 N 2237)
3.6. Определение массовой доли серы в пересчете на SO3
3.6.1. Применяемые аппаратура, реактивы и растворы:
установка для определения массовой доли серы (см. чертеж) состоит из следующих элементов:
Установка для определения массовой доли серы
горизонтальной электрической трубчатой печи 6 типа ТК-30-300М, обеспечивающей нагрев до 1300 °C, снабженной терморегулятором, амперметром и платина-платинородиевой термопарой 8 с гальванометром 7;
фарфоровой газонепроницаемой трубки 5, внутренним диаметром 18 - 20 мм, длина трубки должна соответствовать длине печи так, чтобы выступающие концы были не короче 160 - 170 мм; перед применением трубка должна быть прокалена по всей длине при 1250 - 1300 °C;
кислородного баллона 1 с редукционным вентилем;
системы сосудов для очистки кислорода, поступающего в печь из баллона: промывной склянки 2, содержащей 4%-ный раствор марганцовокислого калия в 40%-ном растворе едкого калия, склянки 3 с концентрированной серной кислотой и U-образной трубки 4, заполненной в первой половине (по ходу кислорода) натронной известью, а во второй - гранулированным хлористым кальцием;
стеклянного шарика 10 или U-образной трубки, наполненных стеклянной ватой, для улавливания твердых частиц, увлекаемых из трубки током кислорода;
стеклянного поглотительного сосуда 12 с барботером 13, внутри которого расположен запорный клапан-поплавок;
стеклянного сосуда для контрольного раствора 14, размеры которого должны быть аналогичны размерам сосуда 12;
лодочки фарфоровой (N 2) по
ГОСТ 9147-80, предварительно прокаленной в токе кислорода при 1250 - 1300 °C (должна храниться в эксикаторе). Лодочка
9 по трубке
5 перемещается с помощью крючка из жаропрочной стали;
кислород газообразный технический и медицинский по
ГОСТ 5583-78;
кальций хлористый плавленый, ч.;
(в ред.
Изменения N 4, утв. Постановлением Госстандарта СССР от 29.06.1989 N 2237)
известь натронная;
йод 0,0025 моль/дм3 раствор; готовят из фиксанала и хранят в склянке из темного стекла;
(в ред.
Изменения N 4, утв. Постановлением Госстандарта СССР от 29.06.1989 N 2237)
раствор поглотительный (крахмальная вода) свежеприготовленный; готовят следующим образом: 0,5 г растворимого крахмала тщательно растирают в фарфоровой ступке с 50 см3 холодной воды, приготовленную суспензию при перемешивании выливают в стакан, содержащий 950 см3 нагретой до кипения воды, добавляют две капли соляной кислоты и кипятят 2 - 3 мин, затем раствор охлаждают и фильтруют.
(Измененная редакция, Изм. N 3).
3.6.2. Подготовка к анализу
Все части установки плотно соединяют друг с другом встык при помощи резиновых трубок, чтобы не было соприкосновения с сернистой кислотой и сернистым газом. Концы фарфоровой трубки закрывают (через теплоизоляционные прокладки) резиновыми пробками с вставленными в них стеклянными или латунными трубками. После проверки установки на герметичность устанавливают температуру в печи 1250 °C, сосуды 12 и 14 наполняют на 2/3 объема поглотительным раствором (крахмальная вода), окрашенным йодом в бледно-голубой цвет и пропускают ток кислорода со скоростью 3 - 5 пузырьков в секунду. Окраска раствора в поглотительном сосуде не должна изменяться в течение 3 мин.
3.6.3. Проведение анализа
0,5 г двуокиси циркония взвешивают с погрешностью не более 0,001 г, помещают в фарфоровую лодочку и смешивают с 0,5 г двуокиси кремния, распределяя тонким слоем по всей длине лодочку. Лодочку продвигают крючком в наиболее нагретую часть фарфоровой трубки со стороны баллона с кислородом, быстро закрывают отверстие трубки пробкой со стеклянной трубкой, через которую проходит кислород и быстро пропускают кислород во избежание образования вакуума в системе.
(в ред.
Изменения N 4, утв. Постановлением Госстандарта СССР от 29.06.1989 N 2237)
По мере поступления сернистого газа из печи и обесцвечивания окраски поглотительного раствора, в процессе прокаливания пробы, добавляют из микробюретки раствор йода с такой скоростью, с какой идет обесцвечивание раствора. Сжигание навески считается законченным, когда при пропускании кислорода окраска поглотительного и контрольного растворов продолжает оставаться одинаковой по интенсивности и постоянной в течение 2 - 3 мин.
3.6.4. Обработка результатов
Массовую долю серы в пересчете на SO3 (X8) в процентах вычисляют по формуле

,
где V - объем точно 0,0025 моль/дм3 (0,005 н.) раствора йода, израсходованный на титрование, см3;
0,0002 - масса SO3, соответствующая 1 см3 точно 0,0025 моль/дм3 (0,005 н.) раствора йода, г;
m - масса навески двуокиси циркония, г.
(в ред.
Изменения N 4, утв. Постановлением Госстандарта СССР от 29.06.1989 N 2237)
За результат анализа принимают среднее арифметическое трех параллельных определений, допускаемые расхождения между крайними результатами которых не должны превышать значений величин, указанных в табл. 5.
Таблица 5
Массовая доля SO3, % | Допускаемые расхождения между крайними результатами трех параллельных определений, % |
0,18 | 0,02 |
0,25 | 0,03 |
0,3 | 0,04 |
(Измененная редакция, Изм. N 3).
3.7. Определение массовой доли суммы окисей натрия и калия
3.7.1. Применяемые аппаратура, реактивы и растворы:
фотометр пламенный типа ПАЖ-1 или другого типа, не уступающий по точности данному;
(в ред.
Изменения N 4, утв. Постановлением Госстандарта СССР от 29.06.1989 N 2237)
раствор сравнения для натрия и калия; готовят следующим образом: 0,189 г хлористого натрия и 0,158 г хлористого калия, предварительно высушенных в течение 2 ч при 105 - 110 °C, взвешивают с погрешностью не более 0,001 г, растворяют в воде, раствор переносят в мерную колбу вместимостью 1000 см3 и доводят объем до метки водой; 1 см3 раствора в пересчете на окиси содержит 0,1 мг окиси натрия и 0,1 мг окиси калия. Раствор хранят в полиэтиленовых или фторопластовых сосудах.
3.7.2. Проведение анализа
0,5 - 2,0 г анализируемой двуокиси циркония, взвешенной с погрешностью не более 0,001 г, помещают в стакан вместимостью 100 см3, добавляют 30 см3 воды, 1 - 3 капли соляной кислоты и нагревают в течение 15 мин на кипящей бане. Раствор охлаждают, переносят в мерную колбу вместимостью 100 см3, добавляют 20 см3 этилового спирта, доводят объем до метки водой, перемешивают и фильтруют через фильтр "белая лента", отбрасывая первые 2 - 3 порции фильтрата. Отфильтрованный раствор используют для определения массовой доли окисей натрия и калия на пламенном фотометре. Одновременно проводят два контрольных опыта в тех же условиях и с тем же количеством реактивов, но без анализируемого продукта. После прибавления к контрольным растворам этилового спирта к ним добавляют раствор сравнения в таком количестве, чтобы в одном содержалось натрия и калия (в пересчете на окись) больше, а в другом меньше, чем в анализируемом растворе. Анализируемый раствор подносят к всасывающему соплу пламенного фотометра и определяют показания шкалы гальванометра, указанную операцию повторяют для двух ограничивающих растворов.
3.7.3. Обработка результатов
Отдельно для окиси натрия и окиси калия по точкам, соответствующим двум примененным ограничивающим растворам, строят график в координатах П - C, где П - показания шкалы гальванометра, C - массовая доля окиси натрия или окиси калия в объеме ограничивающего раствора в миллиграммах. Пользуясь графиком, по показаниям гальванометра, полученным для анализируемого раствора, находят массовую долю окиси натрия или окиси калия.
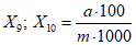
Массовую долю окиси натрия (X9) или окиси калия (X10) в процентах вычисляют по формуле

,
где a - масса окиси натрия или окиси калия, найденное по градуировочному графику, мг;
(в ред.
Изменения N 4, утв. Постановлением Госстандарта СССР от 29.06.1989 N 2237)
m - масса навески двуокиси циркония, г.
Массовую долю суммы окислов натрия и калия (X11) в процентах вычисляют по формуле
X11 = X9 + X10,
где X9 - массовая доля окиси натрия, %;
X10 - массовая доля окиси калия, %.
За результат анализа принимают среднее арифметическое двух параллельных определений, допускаемые расхождения между которыми не должны превышать 0,02%.
3.8. Определение потерь при прокаливании
3.8.1. Применяемая аппаратура:
печь муфельная, обеспечивающая температуру нагрева на 1000 - 1100 °C;
3.8.2. Проведение анализа
2 г двуокиси циркония взвешивают с погрешностью не более 0,002 г, помещают в фарфоровый тигель, предварительно прокаленный при 1000 - 1100 °C до постоянной массы, и прокаливают в муфельной печи при 1000 - 1100 °C до постоянной массы. Затем тигель с остатком охлаждают в эксикаторе и взвешивают с той же погрешностью.
3.8.3. Обработка результатов
Потери при прокаливании (X12) в процентах вычисляют по формуле

,
где m - масса навески двуокиси циркония, г;
m1 - масса тигля с навеской до прокаливания, г;
m2 - масса тигля с остатком после прокаливания, г.
За результат анализа принимают среднее арифметическое двух параллельных определений, допускаемые расхождения между которыми не должны превышать 0,1%.
3.9. Определение остатка при просеве на сите
3.9.1. Применяемая аппаратура:
сетка проволочная N 0315, 056, 08 по ГОСТ 4601-73, натянутая на обечайку диаметром около 200 мм;
пестик резиновый;
шкаф сушильный с терморегулятором;
анализатор ситовой вибрационный типа 236Б-Гр.
3.9.2. Проведение анализа
100 г двуокиси циркония, взвешенной с погрешностью не более 0,1 г, просеивают через сита с сетками N 0315, 056, 08 на ситовом вибрационном анализаторе или вручную, промывают струей воды и периодически растирают резиновым пестиком до получения прозрачного слива. Остаток на сите высушивают при 105 - 110 °C до постоянной массы, охлаждают и взвешивают.
3.9.3. Обработка результатов
Массовую долю остатка двуокиси циркония на сите (X13) в процентах вычисляют по формуле

,
где m - масса навески двуокиси циркония, г;
m1 - масса высушенного остатка, г.
За результат анализа принимают среднее арифметическое двух параллельных определений, допускаемые расхождения между которыми не должны превышать 0,05; 0,5 и 1,0% соответственно для норм остатка на сите 0,5; 18 и 40%.
3.10. Массовую долю двуокиси гафния определяют по нормативно-технической документации, утвержденной в установленном порядке.
(Измененная редакция, Изм. N 3).
3.11. Определение количества темных включений в огневой пробе
3.11.1. Применяемая аппаратура:
электропечь с терморегулятором, обеспечивающая температуру нагрева до 1400 - 1430 °C;
кювета керамическая огнеупорная внутренним размером 100 x 100 мм, глубиной 5 - 10 мм, предварительно прокаленная при 1500 °C;
термопара платина-платинородиевая;
эпидиаскоп ЭПД-455 или аналогичный прибор, обеспечивающий, при одинаковом увеличении, не меньшую освещенность экрана;
светофильтр ОС-14 с максимумом пропускания 580 - 600 нм.
3.11, 3.11.1. (Измененная редакция, Изм. N 2).
3.11.2. Проведение анализа
Пробу двуокиси циркония засыпают в кювету, разравнивают до получения ровного слоя толщиной не менее 5 мм по всей поверхности кювета. Для получения гладкой поверхности проводят затирку пробы вручную в течение 2 мин пластинкой из органического стекла размером 95 x 95 мм, на внешней поверхности которой (в ручке) закреплен груз массой 5 кг. Кювету с пробой устанавливают в муфельную печь таким образом, чтобы проба и термопара находились на расстоянии не более 20 мм от поверхности нагревателя, и прокаливают при 1400 - 1430 °C в течение 1 ч. Затем кювету с пробой охлаждают и помещают в эпидиаскоп. Изображение поверхности пробы с 5 - 10* увеличением проектируют на экран и при помощи линейки определяют размеры темных включений по наибольшей линейной их величине, с учетом увеличения изображения, затем подсчитывают количество темных включений на всей поверхности пробы.
Темными включениями считают пятна коричневых оттенков.
Включения, изображения которых не просматриваются со светофильтром ОС-14, а также включения черного и серого цвета не являются браковочными.
Продукт считают соответствующим настоящему стандарту, если количество и размер темных включений в пробе соответствует требованиям
табл. 1.
(Введен дополнительно, Изм. N 2).
4. УПАКОВКА, МАРКИРОВКА, ТРАНСПОРТИРОВАНИЕ И ХРАНЕНИЕ
| | ИС МЕГАНОРМ: примечание. Взамен ГОСТ 2226-75 Постановлением Госстандарта СССР от 29.06.1988 N 2501 с 1 января 1990 года введен в действие ГОСТ 2226-88. | |
| | ИС МЕГАНОРМ: примечание. Взамен ГОСТ 18225-72 Постановлением Госстандарта России от 08.08.1994 N 207 с 1 января 1995 года введен в действие ГОСТ 30090-93. | |
4.1. Двуокись циркония упаковывают в мешки бумажные четырех-шестислойные марки НМ по ГОСТ 2226-75, открытые края которых, подогнув углы, два-три раза подворачивают, затем помещают в мешки льно-джуто-кенафные с основой из вискозных нитей по ГОСТ 18225-72 или в мешки вискознополипропиленовые для руды, которые прошивают машинным способом.
Двуокись циркония, транспортируемую на экспорт морским транспортом, упаковывают сначала в мешки бумажные по ГОСТ 2226-75, как указано выше, затем в мешки из пленки полиэтиленовой по
ГОСТ 17811-78, открытые края которых подворачивают, а затем помещают в мешки льно-джуто-кенафные по ГОСТ 18225-72 или в мешки вискозно-полипропиленовые для руды, которые прошивают.
Льно-джуто-кенафные или вискозно-полипропиленовые мешки с двуокисью циркония для экспорта прошивают двойным швом, отступив от верхнего края мешка не менее, чем на 50 мм.
Масса нетто мешка - (40,0 +/- 0,3) кг.
Допускается по согласованию с потребителем упаковывать двуокись циркония в резинокордные или специализированные металлические контейнеры.
Масса брутто одного резинокордного контейнера - не более 1 т, металлического - не более 3 т.
(Измененная редакция, Изм. N 3).
4.2. Маркировка транспортной тары - по
ГОСТ 14192-77 с нанесением следующих дополнительных обозначений:
а) товарного знака или наименования и товарного знака предприятия-изготовителя;
б) наименования продукта или его шифра и марки;
в) номера партии;
г) массы нетто, кг;
д) обозначения настоящего стандарта.
При поставке на экспорт и длительное хранение маркировка должна наноситься несмываемой краской непосредственно на тару.
(Измененная редакция, Изм. N 1, 3).
4.3; 4.4. (Исключены, Изм. N 3).
4.5. Двуокись циркония транспортируют железнодорожным, автомобильным и морским транспортом в соответствии с правилами перевозок грузов, действующими на транспорте данного вида.
Продукт, упакованный в мешки, должен транспортироваться пакетами по
ГОСТ 21929-76.
4.6. Двуокись циркония хранят в упакованном виде по
п. 4.1 в крытых складских помещениях. Срок хранения не ограничен.
Срок хранения двуокиси циркония в металлических контейнерах - 12 лет.
4.5; 4.6. (Измененная редакция, Изм. N 3).
Разд. 5. (Исключен, Изм. N 3).