Главная // Актуальные документы // ГОСТ (Государственный стандарт)СПРАВКА
Источник публикации
М.: Стандартинформ, 2011
Примечание к документу
Документ включен в
Перечень единых методов определения посевных (посадочных) качеств семян сельскохозяйственных растений, применяемых государствами - членами Евразийского экономического союза при обращении семян сельскохозяйственных растений в рамках Евразийского экономического союза (
Решение Совета Евразийской экономической комиссии от 18.04.2018 N 40).
С 1 июля 2003 года до вступления в силу технических регламентов акты федеральных органов исполнительной власти в сфере технического регулирования носят рекомендательный характер и подлежат обязательному исполнению только в части, соответствующей целям, указанным в
пункте 1 статьи 46 Федерального закона от 27.12.2002 N 184-ФЗ.
Документ
введен в действие с 1 января 1995 года.
Взамен ГОСТ 12044-81.
Название документа
"ГОСТ 12044-93. Межгосударственный стандарт. Семена сельскохозяйственных культур. Методы определения зараженности болезнями"
(введен в действие Постановлением Госстандарта России от 02.06.1994 N 160)
"ГОСТ 12044-93. Межгосударственный стандарт. Семена сельскохозяйственных культур. Методы определения зараженности болезнями"
(введен в действие Постановлением Госстандарта России от 02.06.1994 N 160)
Постановлением Комитета
Российской Федерации
по стандартизации,
метрологии и сертификации
от 2 июня 1994 г. N 160
МЕЖГОСУДАРСТВЕННЫЙ СТАНДАРТ
СЕМЕНА СЕЛЬСКОХОЗЯЙСТВЕННЫХ КУЛЬТУР
МЕТОДЫ ОПРЕДЕЛЕНИЯ ЗАРАЖЕННОСТИ БОЛЕЗНЯМИ
Agricultural seeds.
Methods for determination of diesease infestation
ГОСТ 12044-93
Дата введения
1 января 1995 года
1 РАЗРАБОТАН Госстандартом России
ВНЕСЕН Техническим секретариатом Межгосударственного совета по стандартизации, метрологии и сертификации
2 ПРИНЯТ Межгосударственным советом по стандартизации, метрологии и сертификации 21 октября 1993 г.
За принятие проголосовали:
Наименование государства | Наименование национального органа по стандартизации |
Кыргызская Республика | Кыргызстандарт |
Республика Молдова | Молдовастандарт |
Российская Федерация | Госстандарт России |
Республика Таджикистан | Таджикстандарт |
Туркменистан | Туркменглавгосинспекция |
3 Постановлением Комитета Российской Федерации по стандартизации, метрологии и сертификации от 02.06.94 N 160 межгосударственный стандарт ГОСТ 12044-93 введен в действие непосредственно в качестве государственного стандарта Российской Федерации с 1 января 1995 г.
4 ВЗАМЕН ГОСТ 12044-81
5 ПЕРЕИЗДАНИЕ. Июль 2011 г.
Настоящий стандарт распространяется на семена аниса, гороха, кориандра, кукурузы, льна, лука, моркови, овса, подсолнечника, проса, пшеницы, риса, ржи, свеклы, тмина, сои, фасоли, фенхеля, шалфея мускатного, ячменя и устанавливает следующие методы определения их зараженности болезнями: макроскопический, обмывки семян (суспензии спор) и центрифугирования, отпечатков, анализа зародышей (эмбрионов), биологический и люминесцентный.
При определении зараженности семян болезнями устанавливают наличие или отсутствие грибных и бактериальных возбудителей, их видовой состав и степень зараженности. Результаты заносят в рабочую карточку, а для зерновых культур при определении зараженности всеми методами - в таблицу
(приложение А).
В настоящем стандарте использованы ссылки на следующие стандарты:
ГОСТ 908-2004 Кислота лимонная моногидрат пищевая. Технические условия
ГОСТ 975-88 Глюкоза кристаллическая гидратная. Технические условия
ГОСТ 1277-75 Реактивы. Серебро азотнокислое. Технические условия
ГОСТ 1770-74 Посуда мерная лабораторная стеклянная. Цилиндры, мензурки, колбы, пробирки. Общие технические условия
ГОСТ 2184-77 Кислота серная техническая. Технические условия
ГОСТ 2874-82 <*> Вода питьевая. Гигиенические требования и контроль за качеством
--------------------------------
ГОСТ 4233-77 Реактивы. Натрий хлористый. Технические условия
ГОСТ 5962-67 <**> Спирт этиловый ректификованный. Технические условия
--------------------------------
ГОСТ 6672-75 Стекла покровные для микропрепаратов. Технические условия
ГОСТ 9284-75 Стекла предметные для микропрепаратов. Технические условия
ГОСТ 12026-76 Бумага фильтровальная лабораторная. Технические условия
ГОСТ 12036-85 Семена сельскохозяйственных культур. Правила приемки и методы отбора проб
ГОСТ 12037-81 Семена сельскохозяйственных культур. Методы определения чистоты и отхода семян
ГОСТ 12038-84 Семена сельскохозяйственных культур. Методы определения всхожести
ГОСТ 13805-76 Пептон сухой ферментативный для бактериологических целей. Технические условия
ГОСТ 17206-96 Агар микробиологический. Технические условия
ГОСТ 19569-89 <*> Стерилизаторы паровые медицинские. Общие технические требования и методы испытаний
--------------------------------
ГОСТ 19908-90 Тигли, чаши, стаканы, колбы, воронки, пробирки и наконечники из прозрачного кварцевого стекла. Общие технические условия
ГОСТ 20290-74 Семена сельскохозяйственных культур. Определение посевных качеств семян. Термины и определения
ГОСТ 20490-75 Реактивы. Калий марганцовокислый. Технические условия
ГОСТ 21241-89 Пинцеты медицинские. Общие технические требования и методы испытаний
| | ИС МЕГАНОРМ: примечание. ГОСТ 21507-81 утратил силу с 1 июля 2015 года в связи с введением в действие ГОСТ 21507-2013 (Приказ Росстандарта от 27.05.2014 N 454-ст). | |
ГОСТ 21507-81 Защита растений. Термины и определения
--------------------------------
ГОСТ 30556-98 Семена эфиромасличных культур. Методы определения всхожести
| | ИС МЕГАНОРМ: примечание. В официальном тексте документа, видимо, допущена опечатка: имеется в виду таблица 1 приложения Б, а не приложение Б.1. | |
Рабочая проба - определенное количество семян, используемое для данного анализа.
4 Аппаратура, оборудование, материалы и реактивы
Весы аналитические.
Шкаф сушильный лабораторный.
Автоклавы по ГОСТ 19569
Центрифуга ЦВР-1.
Термостат для проращивания семян с диапазоном температур 20 °C - 40 °C.
Холодильник.
Лампа бактерицидная.
Камера бактериологическая (бокс для посева чистых культур).
Осветитель УФ.
Лампа ЛД 40 или ЛБ 40.
Микроскопы биологические.
Микрометры окулярный и объективный (линейки).
Штатив с набором луп ШНЛ-1.
Пробирки центрифужные.
Чашки Петри и Коха.
Растильни фаянсовые, пластмассовые, полистироловые.
Камера Горяева.
Спиртовка.
Скальпель.
Игла препаровальная и для посева культур грибов.
Баня водяная.
Прибор нагревательный (электроплитка).
Кипятильник.
Набор лабораторных решет.
Ситечко чайное.
Плитки керамические или их заменяющие.
Совки лабораторные.
Линейка (планка) для разделения анализируемой пробы.
Часы песочные.
Щетка капроновая.
Бумага лакмусовая.
Бумага миллиметровая.
Марля.
Пленка полиэтиленовая, коррекс.
Клейкая лента.
Вата.
Глюкоза кристаллическая гидратная по
ГОСТ 975.
Декстроза.
Кислота молочная.
Анилиновый краситель голубой или синий для хлопчатобумажных тканей или синий трипановый "для микро".
Агар по ГОСТ 17206.
Картофель.
Сухой агар Чапека.
Спирт этиловый ректификат по
ГОСТ 5962 96%-ный или спирт этиловый гидролизный высшей очистки по
ГОСТ 17299 96%-ный.
Известь хлорная.
Стрептомицин.
Песок кварцевый с размером частиц от 0,5 до 2 мм.
Метод применяют для визуального обнаружения в семенах головневых образований, склероциев спорыньи и других грибов, а также галлов пшеничной нематоды (
приложения В и
Г).
6.1 Анализ проводят одновременно с определением чистоты семян по
ГОСТ 12037.
7 Метод обмывки семян (суспензии спор) и центрифугирования
Метод применяют для определения наличия спор головни на поверхности семян злаковых культур и лука; спор возбудителей болезни пасмо на семенах льна; спор рамуляриоза - на семенах кориандра; спор ржавчины на клубочках свеклы и семенах аниса; спор и мицелий церкоспороза на семенах фенхеля. На зерновых культурах этим способом можно определить зараженность семян ржи стеблевой и твердой головней, пшеницы - стеблевой и твердой головней, ячменя - каменной и черной (ложной пыльной) головней, кукурузы - пыльной головней, проса - обыкновенной мелкоспоровой головней, риса - гельминтоспориозом, фузариозом, головней (
приложения Г,
Д,
Ж,
Л,
М и
П).
7.1 Отбор проб
7.1.1 Для проведения анализа из семян основной культуры отсчитывают подряд две рабочие пробы по 100 семян в каждой.
7.2 Проведение анализа
7.2.1 Каждую рабочую пробу помещают в пробирку, заливают 10 см3 воды и взбалтывают. Семена с гладкой поверхностью (пшеница, рожь) взбалтывают в течение 5 мин, семена с шероховатой поверхностью (свекла и др.) - 10 мин, семена льна - 1 мин. Полученные суспензии можно обследовать непосредственно под микроскопом для идентификации патогенов или можно выделить споры путем центрифугирования. В случае центрифугирования промывную воду от каждой пробы семян сливают в отдельные пробирки центрифуги и центрифугируют в течение 10 - 15 мин при скорости 2000 - 2500 об/мин. Если в центрифуге не все пробирки заняты суспензией, то свободные заполняют для равновесия чистой водой до того же уровня. По окончании центрифугирования из пробирок осторожно отбирают 9 см3 надосадочной жидкости. Оставшийся осадок взмучивают пипеткой и из каждой пробирки готовят по пять препаратов. Для установления вида гриба препараты просматривают под микроскопом.
Количественный учет спор проводят в камере Горяева.
Зараженность спорами одного семени (X) в штуках вычисляют по формулам:
при подсчете в камере Горяева без предварительного центрифугирования

; (1)
при подсчете в камере Горяева с предварительным центрифугированием

, (2)
где Nс - количество спор в 1 см3 суспензии, шт.;
10 - объем воды, взятой для смыва, см3;
100 - количество семян, взятых для анализа, шт.
Величину Nс в 1 см3 суспензии рассчитывают, умножая обнаруженное число спор на 250 тыс., если подсчет спор ведут в больших квадратах камеры Горяева, и на 400 тыс., если споры подсчитывают в малых квадратах камеры; если же подсчет ведут по всей площади камеры, то обнаруженное число спор умножают на 1111.
За результат анализа принимают среднеарифметическое результатов двух проб.
Метод применяют вместо центрифугирования для определения поверхностей заспоренности семян зерновых культур головневыми грибами.
8.1 Отбор проб
8.1.1 Из семян основной культуры отсчитывают 10 семян.
8.2 Проведение анализа
8.2.1 Каждое семя обертывают отрезком прозрачной клейкой ленты размером 1 см2, плотно прижимая его по всей поверхности семени. Затем с помощью пинцета ленту отклеивают и помещают на предметном стекле под микроскоп для идентификации патогена и подсчета спор. Подсчет спор проводят в 10 полях микроскопа в соприкасавшихся с семенем частях отрезка ленты и устанавливают среднеарифметическое количество спор в одном поле зрения микроскопа.
Для пшеницы и ячменя с помощью окуляр-линейки под микроскопом при однократном увеличении объектива измеряют длину и ширину семени с точностью до 0,1 мм.
На основании данных измерения длины и ширины определяют площадь поверхности семени (
приложения С и
Т).
Для семян других зерновых культур площадь поверхности семени измеряют наложением отпечатка на миллиметровую бумагу или посредством окулярной сетки микроскопа.
8.3 Обработка результатов
8.3.1 Количество спор, приходящееся на площадь отпечатка семени, (X3) вычисляют по формуле

, (3)
где N - среднеарифметическое количество спор в поле зрения микроскопа;
S - площадь зрения микроскопа, мм2;
S1 - площадь поверхности семени, мм2.
Пример. Площадь поверхности семян пшеницы при длине 6 мм и ширине 3,5 мм равна 57,7 мм. Если в одном поле зрения микроскопа МБС-9 при 42-кратном увеличении насчитывается, в среднем, 10 спор, то количество их на одном семени составляет:
Примечание - По паспортным данным площадь зрения микроскопа МБС-9 при 42-кратном увеличении равна 3,2 мм2.
8.3.2 Среднеарифметическое количество спор, приходящееся на одно семя (Y), вычисляют по формуле

, (4)
где

- сумма количества спор, обнаруженных на всех исследованных семенах;
10 - количество исследованных семян, шт.
9 Метод анализа зародышей (эмбрионов)
9.1 Метод применяют для обнаружения мицелия пыльной головни (Ustilago sp.) в эмбрионах семян пшеницы и ячменя, отделенных от эндосперма.
9.1.1 Отбор проб
Для анализа используют семена основной культуры, выделенные из навески массой 100 г для пшеницы и 120 г для ячменя.
9.1.2 Проведение анализа
9.1.2.1 Перед отделением зародышей (эмбрионов) семена ячменя для отделения пленок помещают на 40 мин в 50%-ный раствор серной кислоты. (Концентрированную химически чистую кислоту разбавляют вдвое, наливая кислоту в воду).
Затем семена тщательно перемешивают, промывают проточной водой, а остатки пленок оттирают на решете капроновой щеткой.
9.1.2.2 Эмбрионы семян пшеницы и ячменя отделяют от эндосперма двумя способами.
Первый способ. Семена замачивают в стеклянной или эмалированной посуде в 1 дм3 горячего свежеприготовленного раствора щелочи (KOH или NaOH, 100 г на 1 дм3 воды), в котором растворен анилиновый синий краситель для хлопчатобумажных тканей в количестве 1 г на 1 дм3 щелочи, и оставляют в термостате при 24 °C на 12 - 24 ч. Содержимое изредка перемешивают стеклянной палочкой; при этом зародыши отделяются у 80% - 90% семян. В раствор щелочи вместо анилинового синего красителя можно добавлять трипановый синий "для микро" в такой же концентрации. Затем содержимое из посуды пропускают через лабораторные решета, вставленные одно в другое, диаметром отверстий 5, 3 и 1 мм и промывают проточной водой. Зародыши оседают на последнем решете диаметром отверстий 1 мм. Отделившиеся окрашенные зародыши переносят в колбу вместимостью 250 см3 с 20%-ным раствором щелочи (200 г на 1 дм3 воды), взятой в количестве 200 см3, и кипятят в течение 10 - 15 мин. Затем зародыши переносят в чайное ситечко, тщательно промывают проточной водой, переносят в колбу с 50%-ной молочной кислотой и снова кипятят 1 мин.
Второй способ. Семена помещают в эмалированную или стеклянную посуду, заливают 3%-ным раствором щелочи и кипятят около 1 ч до полного отделения зародышей от эндосперма. Затем содержимое из посуды пропускают через набор лабораторных решет с диаметром отверстий 5, 3 и 1 мм с последующей промывкой их проточной водой. Зародыши, оставшиеся на последнем решете, переносят в колбу вместимостью 250 см3 и кипятят 40 мин в 15% - 20%-ном растворе щелочи, взятой в количестве 200 см3, после чего их тщательно отмывают от щелочи. Отмытые зародыши помещают в стеклянный бюкс или колбу, где налито небольшое количество раствора анилинового синего или трипанового синего красителя в концентрации 0,1%, доводят до кипения на электроплитке или спиртовке и кипятят в течение 10 - 20 с. При работе с химикатами следует соблюдать меры предосторожности. Потеря зародышей после всех операций не должна превышать 20%. Зародыши можно хранить в 50%-ном водном растворе глицерина. После кипячения каждый зародыш просматривают под микроскопом или бинокулярной лупой при увеличении (12x - 15x). В поле зрения должен быть виден один зародыш. Покровным стеклом зародыш накрывать не следует.
9.1.2.3 Зародыши располагают в рядки, очерченные восковым карандашом, с помощью препаровальных игл или небольшого скальпеля, и просматривают под микроскопом на предметном стекле или в чашках Петри. Зародыши необходимо просматривать в основном со стороны зародышевой почки, корешков и колеоптиля
(приложение Е), где может располагаться мицелий, и со стороны щитка. Грибница головни при малом увеличении микроскопа представляет собой комочки спутанных гифов мицелия. Гифы окрашены в сине-голубой цвет, имеют толщину 3 мкм. Встречаются редкие случаи, когда в ткани щитка находятся другие грибы помимо головни, но они имеют другое строение и ясно различимы.
9.1.3 Обработка результатов
Подсчитывают все инфицированные зародыши независимо от места локализации мицелия в органах эмбриона и вычисляют их содержание в процентах к числу просмотренных зародышей. Например, всего проанализировано 2000 зародышей, из них пораженных оказалось 10; процент поражения составляет 0,5%.
Метод применяют для выявления внешней и внутренней зараженности семян болезнями. Он основан на стимуляции развития и роста микроорганизмов в зараженных семенах.
Зараженность семян определяют при проращивании их во влажной камере, на питательных средах, песке или в рулонах фильтровальной бумаги.
10.1 Анализ семян во влажной камере
При проращивании семян во влажной камере заболевания, вызываемые бактериями, выявляют по размягчению и ослизнению тканей семени. Заболевания, вызываемые грибами на проросших и непроросших семенах, проявляются в виде пятен различной формы и окраски, налета грибницы, пикнид, уродливости, деформации или отмирания частей проростков.
Для контроля правильности идентификации патогенов применяют микроскопирование.
10.1.1 Отбор проб
10.1.1.1 Из средней пробы, предназначенной для анализа семян на зараженность болезнями, выделяют навеску. Из семян основной культуры отбирают четыре рабочие пробы по 50 или 100 семян в зависимости от вида анализируемых культур.
10.1.2 Подготовка к анализу
10.1.2.1 Для проращивания семян во влажной камере применяют стерильные сухие чашки Петри, Коха или стеклянные стаканы, накрытые стеклом. На дно чашек (стаканов) помещают марлю в три слоя или фильтровальную бумагу в два слоя, или фильтровальную бумагу, положенную на гигроскопическую вату, толщиной слоя не более 0,25 см.
Марлю, комбинированный субстрат или фильтровальную бумагу в чашках Петри или Коха увлажняют с помощью пипетки, слегка приоткрывая при этом с одного края крышку чашки. Увлажнение считают нормальным, если при наклоне чашки с марлевых кружочков или фильтровальной бумаги стекает несколько капель воды.
Семена раскладывают на ложе с помощью пинцета на расстоянии 1 - 2 см друг от друга в зависимости от их крупности.
Закрытые чашки Петри, Коха или стаканы с заложенными в них семенами помещают в термостат для проращивания.
10.1.2.2 Термостаты предварительно тщательно моют горячей водой с моющими средствами и дезинфицируют 1%-ным раствором марганцовокислого калия через каждые 10 дней. Перед каждым фитоанализом их дезинфицируют спиртом или бактерицидной лампой в течение 30 мин. Один раз в месяц термостаты дезинфицируют с помощью бактерицидных ламп в течение 8 ч.
10.1.2.3 Чашки Петри, марля, фильтровальная бумага, вата, пипетки, применяемые для анализа, должны быть стерильными. Стекло, на котором выделяют навески и отсчитывают семена, совки, чашки весов, растильни и другие предметы дезинфицируют спиртом. Чашки Петри и Коха с марлевыми кружочками, ватой или фильтровальной бумагой, а также пипетки заворачивают в оберточную бумагу и стерилизуют в сушильном шкафу при температуре 130 °C в течение 1 ч (при немедленном использовании их стерилизуют без завертывания в бумагу) или в автоклаве под давлением 0,09807 МПа (1 атм) в течение 40 - 50 мин. Металлические предметы (пинцеты, препаровальные иглы и другое оборудование) стерилизуют над пламенем спиртовой или газовой горелки в процессе работы. Воду стерилизуют в автоклаве в течение 30 мин под давлением 0,09807 МПа (1 атм). Допускается применять свежекипяченую воду. Воду кипятят в химических колбах, закрытых ватными пробками, в течение 30 мин, считая с момента закипания.
10.1.3 Проведение анализа
10.1.3.1 Просмотр семян пшеницы, ржи, ячменя, кукурузы, льна, сои, эфиромасличных культур, подсолнечника, гороха, овощной фасоли, моркови проводят в сроки, установленные настоящим стандартом; просмотр семян остальных культур проводят в сроки, установленные для определения всхожести по
ГОСТ 12038,
ГОСТ 30556. Виды болезней семян, выявляемые при проращивании во влажной камере, указаны в таблице 1.
Таблица 1
Виды болезней семян, выявляемые
при проращивании во влажной камере
Наименование культуры | Болезни |
1 Пшеница и ячмень | Фузариоз, гельминтоспориозы, полосатая пятнистость, сетчатая пятнистость, альтернариоз, септориоз, плесени |
2 Рожь | Фузариоз, гельминтоспориоз, септориоз |
3 Овес | Фузариоз, красно-бурая пятнистость |
4 Кукуруза | Фузариоз, диплодиоз, серая гниль |
5 Соя | Фузариоз, бактериоз, белая гниль, аскохитоз, церкоспороз, пероноспороз |
6 Рис | Гельминтоспориоз, пирикуляриоз, фузариоз, альтернариоз |
7 Горох | Аскохитоз, бактериоз, белая и серая гнили |
8 Фасоль | Антракноз, бактериоз, белая и серая гнили, аскохитоз |
9 Подсолнечник | Белая и серая гнили |
10 Лен | Фузариоз, антракноз, бактериоз, крапчатость, плесени |
11 Морковь | Фомоз |
12 Кориандр | Бактериоз, фузариоз, фомоз, септориоз |
13 Фенхель | Бактериоз |
14 Шалфей | Бактериоз |
10.1.3.2 Для стимуляции образования конидиеносцев и конидий с целью идентификации патогенов некоторых грибов, например Drechslera graminea (полосатая пятнистость), Dr. teres (сетчатая пятнистость), Fusarium nivale (снежная плесень) и др., необходимо 12 ч чередование света и темноты при проращивании семян в чашках Петри, Коха или стеклянных стаканах с фильтровальной бумагой (освещенность 750 - 1250 люкс).
10.2 Анализ семян на питательных средах
10.2.1 Отбор проб
10.2.1.1. Из средней пробы, предназначенной для определения зараженности, выделяют навеску семян основной культуры, из которой отбирают четыре рабочие пробы по 50 семян в каждой и помещают их в стерильную посуду с питательной средой.
10.2.2 Подготовка к анализу
10.2.2.1 Приготовление картофельного агара:
200 г вымытого, очищенного, нарезанного ломтиками картофеля заливают 1000 см3 воды и кипятят в течение 40 мин, затем жидкость фильтруют. В отфильтрованную жидкость доливают воду до 1000 см3, добавляют 20 г агара и подогревают до его полного растворения. После растворения агара раствор фильтруют в горячем состоянии через несколько слоев марли с ватной прокладкой и стерилизуют под давлением 0,09807 МПа (1 атм) в течение 30 мин или текучим паром два раза по 1 ч через сутки. После стерилизации в питательную среду добавляют стерильный 50%-ный раствор лимонной кислоты из расчета 0,1 - 0,05 см3 (одна капля) на 10 см3 или концентрированную молочную кислоту (4 см3 кислоты на 1000 см3 среды) и жидкость разливают по чашкам.
10.2.2.2 Приготовление картофельно-глюкозного агара:
На 1 дм
3 приготовленного агара
(10.2.2.1) перед стерилизацией добавляют 20 - 30 г глюкозы, а после стерилизации лимонную или молочную кислоту
(10.2.2.1).
10.2.2.3 Приготовление среды из сухого агара Чапека
На 1 дм3 берут 45 - 50 г сухого агара Чапека и стерилизуют под давлением 0,09807 МПа (1 атм) в течение 30 мин.
10.2.2.4 Стерилизация питательных сред
Стерилизацию питательных сред проводят в автоклаве под давлением, без давления (текучим паром) или в кипятильнике.
Питательные среды без глюкозы стерилизуют под давлением 0,09807 МПа (1 атм) в течение 30 мин, питательные среды с глюкозой стерилизуют под давлением 0,04904 МПа (0,5 атм) в течение 25 мин.
Стерилизацию питательных сред текучим паром проводят в два приема по 1 ч через сутки. В перерыве между первым и вторым приемами стерилизуемые жидкости держат при температуре 25 °C - 30 °C.
10.2.3 Проведение анализа
10.2.3.1 В стерильные чашки Петри диаметром 9,5 - 10 см наливают 10 см3 простерилизованного агара. Толщина слоя среды в чашке Петри должна быть 3 - 4 мм. Разливку питательных сред в чашки и закладку семян проводят в бактериологической камере (стерильном боксе). Раскладку семян проводят на застывшую питательную среду пинцетом, периодически стерилизуя его обжиганием на спиртовке.
10.2.3.2 Семена промывают струей воды под водопроводным краном в течение 1 - 2 ч и дезинфицируют 1%-ным раствором марганцовокислого калия или 0,1%-ным раствором азотнокислого серебра, или 96%-ным спиртом в течение 1 - 2 мин. Затем семена промывают в стерильной или прокипяченной воде и просушивают между листами стерильной фильтровальной бумаги. Семена помещают в чашки Петри по 10 - 25 шт. в зависимости от культуры и ставят их для проращивания в термостат при температуре 22 °C - 25 °C. Проращивание семян проводят в течение срока, указанного для определения всхожести семян по
ГОСТ 12038.
10.2.3.3 Для контроля правильности определения болезней при просмотре семян небольшую часть развившейся колонии исследуют в капле воды под микроскопом.
10.3 Анализ семян в рулонах фильтровальной бумаги
10.3.2 Проведение анализа
10.3.2.1 Для проращивания семян используют два слоя увлажненной до полной влагоемкости фильтровальной бумаги.
Если анализируют четыре рабочих пробы по 100 семян, то размер полосок фильтровальной бумаги для каждой пробы должен быть 10 x 110 см (+/- 2 см), если анализируют четыре рабочих пробы по 50 семян, то 10 x 55 см (+/- 2 см).
Семена раскладывают в одну линию с интервалом 1 (2) см и на расстоянии 2 - 3 см от верхнего и боковых краев бумаги зародышами вниз. (Округлые семена - без ориентации зародыша).
Разложенные на бумаге семена накрывают такой же полоской увлажненной фильтровальной бумаги, поверх которой накладывают коррекс или полоску полиэтилена, и сворачивают в рулон. Рулоны ставят вертикально в сосуды и помещают в термостат при температуре 22 °C - 25 °C.
При проращивании семян не допускать подсыхания рулонов. Воду в поддоне термостата менять каждые 3 - 5 сут.
10.4 Обработка результатов
10.4.1 Данные анализа семян заносят в рабочую карточку. По каждой из четырех проб подсчитывают количество семян, зараженных каждой болезнью, и общее количество зараженных семян.
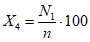
Зараженность семян (X4) в процентах вычисляют по формуле

, (5)
где N1 - суммарное количество зараженных семян в четырех пробах, шт.;
n - общее количество семян, взятых для анализа, шт.
10.4.2 Достоверность результатов анализа вычисляют по формуле

, (6)
где A1, A2, A3, A4 - количество зараженных семян в каждой из четырех проб;
N1 = A1 + A2 + A3 + A4;
n - общее количество семян, взятых для анализа, шт.
Анализ считают законченным, если

меньше 16,27. Если

больше или равен 16,27, то анализ повторяют до получения достоверного результата. Если количество зараженных семян во всех пробах 5 и меньше, проверку достоверности анализа не проводят.
Пример. В четырех пробах по 100 семян найдено следующее число зараженных семян:
A1 = 0; A2 = 10; A3 = 1; A4 = 11; N1 = 0 + 10 + 1 + 11 = 22;
n = 4·100 = 400;

.
Полученное значение 19,43 превышает значение 16,27, следовательно, анализ требуется повторить.
Если в сумме по всем пробам зараженных семян больше чем здоровых, то в формулу подставляют число здоровых семян по пробам.
10.5 Анализ семян пшеницы и ржи
10.5.1 Для анализа берут четыре рабочие пробы по 100 семян, не дезинфицируя их.
10.5.1.1 Зараженность семян пшеницы и ржи фузариозом, темно-бурым гельминтоспориозом, альтернариозом определяют, проращивая семена в рулонах из фильтровальной бумаги
(10.3) или на питательных средах
(10.2).
10.5.1.2 Признаки фузариоза (Fusarium sp.)
При проращивании семян в рулонах развивается очень тонкий, нежный, пушистый быстро разрастающийся мицелий вначале снежно-белого или ярко-малинового с прожилками цвета. Нередко семена окрашиваются в розовый или малиновый цвет и на них проявляются коростинки из спороношения гриба. Грибы этого рода характеризуются образованием микроконидий и макроконидий. Микроконидии одноклеточные, реже с 1 - 2 перегородками, овальные, яйцевидные. Макроконидии с 3 - 9 перегородками, разной формы, кривизны, изогнутости и размеров
(приложение Ж).
10.5.1.3 Признаки темно-бурого гельминтоспориоза (корневая гниль), (Bipolaris sorokiniana Shoem Syn. Helminthosporium sativum Pamm, King, et Bakke.).
Для зараженных семян характерна бурая пигментация различных оттенков, вплоть до коричневого цвета. Семена покрываются густым черным налетом, состоящим из спороношения гриба. Конидиеносцы одиночные или в пучках по 2 - 3, бурые, длиной 110 - 150 мкм и шириной 6 - 8 мкм, обычно с 5 - 6 перегородками. Конидии веретенообразные, слегка изогнутые, темно-оливковые с 3 - 10 перегородками, на концах закругленные, длиной 60 - 120 мкм и шириной 15 - 20 мкм
(приложение Ж).
10.5.1.4 Признаки альтернариоза (Alternaria sp.)
На семенах образуется паутинистый мицелий, придающий семенам темно-серый цвет. Часто на зародышевой части развивается темно-оливковый налет, состоящий из конидиеносцев и конидий. Конидии оливковые или черно-бурые, обратно-булавовидные, в цепочках, с 3 - 6 поперечными перегородками и с одной или несколькими продольными перегородками, длиной 30 - 50 мкм и шириной 14 - 18 мкм, неодинаковой формы, чаще цилиндрические или овальные
(приложение Ж).
10.5.1.5 Признаки септориоза (Septoria sp.)
Зараженность семян пшеницы и ржи септориозом определяют, проращивая семена во влажной камере
(10.1), в песке без дезинфекции или на питательных средах
(10.2) (приложение Ж).
Проращивание семян во влажной камере. Семена раскладывают в чашки Петри без дезинфекции. Инкубация идет 14 сут при 10 °C в темноте. Признаки инфекции: отдельные коричневые пятна на колеоптиле, колеоптиле при этом часто укорачиваются; на ростках появляются мелкие черные бугорки. Иногда отмечается скручивание проростков.
Проращивание семян во влажном песке. Подготовку песка к анализу проводят по
ГОСТ 12038. Семена раскладывают в песок на глубину 2 - 3 см без дезинфекции. Инкубация идет 14 сут при 14 °C. Признаки инфекции: отдельные коричневые пятна на колеоптиле, при этом проростки могут быть искривленными. Иногда на оболочке семян образуются пикниды.
Проращивание семян на питательной среде. Семена дезинфицируют
(10.2.3.2). Для проращивания используют картофельно-декстрозный агар, содержащий 500 мг стрептомицина на 1 дм
3 воды. Картофельно-декстрозный агар готовят так же как картофельно-глюкозный
(10.2.2.2), только вместо глюкозы берут 15 г декстрозы на 1 дм
3 расплавленного картофельного агара. Инкубация идет 7 сут при 20 °C в темноте. Колонии гриба правильно-концентрические, покрывающие семена, медленно растущие, мицелий тонкий, белый, кремовый, воздушный. Обратная сторона колоний желтого (коричневого) цвета, темнеющего со временем.
10.5.2 Обработка результатов - по
10.4.
10.6 Анализ семян ячменя и овса
10.6.1 Анализ проводят путем проращивания семян во влажной камере на свету и в темноте, где определяют зараженность семян ячменя полосатой и сетчатой пятнистостью, овса - красно-бурой пятнистостью.
Зараженность семян ячменя и овса темно-бурым гельминтоспориозом (Bipolaris sorokiniana Shoem.) определяют, проращивая семена в рулонах из фильтровальной бумаги по
10.3.2.1 и
10.5.1.2.
10.6.2 Для анализа используют четыре рабочие пробы по 50 семян без дезинфекции.
10.6.3. Семена предварительно замачивают в воде комнатной температуры в течение 3 ч и раскладывают бороздкой кверху на стекло или керамические плитки, обернутые фильтровальной бумагой. Стекло или плитки помещают в растильни и наливают воду, следя за тем, чтобы вода не смыла семена. (Можно использовать обычные строительные керамические плитки без ячеек). Во время инкубации воду подливают, не допуская подсыхания бумаги и семян. Инкубацию проводят в течение первых 2 сут при освещении лампами дневного света ЛД-40 или ЛБ-40 при температуре 22 °C - 25 °C.
10.6.3.1 Возбудители полосатой пятнистости ячменя и красно-бурой пятнистости овса образуют спороношение только при инкубации семян в открытых растильнях (не накрытых стеклом).
Для идентификации возбудителей сетчатой пятнистости две растильни с семенами каждой пробы ячменя закрывают стеклом, две оставляют открытыми. Возбудитель сетчатой пятнистости образует спороношение в том и другом случае.
Последующую инкубацию (в течение суток) проводят в темноте, в закрытых растильнях при температуре 12 °C - 16 °C (в холодильнике). В этих условиях хорошо формируется конидиальное спороношение патогенов.
Просмотр семян проводят на 4-е сутки со дня закладки во влажную камеру. Зараженные семена просматривают под микроскопом типа МБС при 24-кратном увеличении. Семена вместе со стеклом (плиткой) переносят под микроскоп. Около зараженных семян делают отметку на бумаге цветным карандашом или фломастером, а затем подсчитывают число отметок. Одновременно подсчитывают число семян, пораженных темно-бурым гельминтоспориозом, который также может проявиться при анализе этим методом.
10.6.3.2 Признаки возбудителя полосатой пятнистости (Drechslera graminea Ito)
Гриб образует спороношение на зерновках во влажной камере на свету (солнечный свет или лампы дневного освещения). Стекло задерживает часть спектра, стимулирующего образование спороношения.
Конидиеносцы с конидиями образуются преимущественно на нижней цветковой чешуе, с зародышевого конца (иногда по гифам переходят на бумагу) и легко обнаруживаются под бинокулярной лупой или микроскопом.
Конидиеносцы одиночные, слегка изогнутые или прямые, у основания светлые, расширенные, длиной 150 - 350 мкм и шириной 15 - 25 мкм (чаще 210 - 270 и 18 мкм), количество перегородок 3 - 8 (чаще 4 - 6). На конидиеносцах могут образовываться цепочки конидий.
Конидии почти цилиндрические, иногда несколько расширенные у основания, вначале почти бесцветные, при созревании светло-оливковые или желто-бурые, сильно варьируют по длине 60 - 70 мкм и ширине 15 - 35 мкм и количеству перегородок - от 0 до 6, чаще 3
(приложение И).
10.6.3.3 Признаки возбудителя сетчатой пятнистости (Drechslera teres Ito)
На зерновках спороношение внешне мало отличается от спороношения возбудителя полосатой пятнистости, но образуется оно на свету под стеклом почти так же хорошо, как и без стекла.
Конидиеносцы на зерновках чаще одиночные длиной 88 - 189 мкм и шириной 8 - 10,5 мкм с 4 - 9 перегородками. Конидии цилиндрические, количество перегородок от 2 до 8. Вначале они бесцветные, в зрелом состоянии зеленовато-бурые или желтоватые длиной 46 - 134 мкм и шириной 12,6 - 21 мкм
(приложение И).
10.6.3.4 Признаки красно-бурой пятнистости (Drechslera avenae Ito)
Спороношение гриба обнаруживается на 4-е сутки инкубации под бинокулярным микроскопом. Конидиеносцы зеленовато-оливковые, с многочисленными перегородками. Длина их 200 - 400 мкм, ширина - 8 - 9 мкм. Конидии зеленовато-оливковые с 2 - 7 перегородками, длиной 55 - 151 мкм и шириной 13 - 18 мкм
(приложение И).
10.6.4 Обработка результатов - по
10.4.
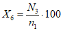
10.6.4.1 При зараженности полосатой и сетчатой пятнистостью обработку результатов проводят по формулам:

; (7)

, (8)
где X5 - зараженность полосатой пятнистостью, %;
X6 - зараженность сетчатой пятнистостью, %;
N2 - количество зерновок со спороношением возбудителей полосатой и сетчатой пятнистости в растильнях без стекла;
N3 - количество зерновок со спороношением возбудителя сетчатой пятнистости в растильнях под стеклом;
n1 - всего зерновок в анализе;
N2 - N3 - количество зерновок, зараженных полосатой пятнистостью.
10.7 Анализ развития болезней проростков зерновых культур
10.7.1 Анализ проводят с целью выявления болезней колоса и корневых гнилей по баллам поражения.
10.7.2 Отбор проб
10.7.2.1 Из семян основной культуры отбирают четыре рабочие пробы по 50 семян.
10.7.3 Проведение анализа - по
10.3.2.1.
10.7.4 Обработка результатов
10.7.4.1 В каждой из четырех рабочих проб подсчитывают количество проростков семян и относят их к следующим баллам заражения:
0 - семена нормально и ненормально проросли, болезни на семенах и проростках отсутствуют;
1 - семена нормально и ненормально проросли, имеются слабые налеты грибницы и спороношения гриба, корешки и росток без изменения окраски, без пятен и бурых штрихов или они выражены очень слабо;
2 - семена нормально и ненормально проросли, помимо налетов грибницы или без них отмечается побурение в виде штрихов или пятен на корешках или ростке;
3 - проростки с дефектами, корешки и росток отстают в росте, сильный налет грибницы, спороношение грибов, сильное побурение корешков, ростка и колеоптиля, местами ткань загнивает;
4 - загнившие семена, ненормально проросшие семена, росток и корешки которых загнивают и погибают от грибов и бактерий.
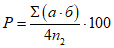
10.7.4.2 Показатель развития болезни проростков семян (P) вычисляют по формуле

, (9)
где а - среднеарифметическое значение количества пораженных семян по каждому баллу;
б - соответствующий балл заражения;
n2 - количество семян в одной рабочей пробе;
4 - наихудший балл.
Пример вычисления показателя развития болезни проростков (P) представлен в таблице 2.
Таблица 2
Вычисление показателя (P)
Рабочие пробы | Количество проростков семян по баллам заражения, шт | Показатель развития болезни проростков, P, % |
0 | 1 | 2 | 3 | 4 |
1 | 22 | 19 | 7 | 1 | 1 | |
2 | 21 | 17 | 12 | 1 | 0 | - |
3 | 17 | 18 | 12 | 2 | 1 | |
4 | 23 | 12 | 9 | 2 | 3 | |
Среднеарифметическое значение из 4 проб | 20,75 | 16,5 | 10,0 | 1,5 | 1,25 | 23,0 |
|
10.8 Анализ семян кукурузы
10.8.1 Зараженность семян кукурузы красной гнилью, бактериозом, белью и нигроспорозом выявляют внешним осмотром семян, при необходимости микроскопируя грибницу.
Для этого навеску семян массой 200 г, предназначенную для анализа на зараженность, просматривают и выделяют семена с явными признаками зараженности болезнями
(приложение К).
10.8.1.1 Признаки красной гнили (Fusarium graminearum Shw.)
Семя целиком или частично красно-коричневое, хрупкое, часто с пустотами, заполненными сплетением грибницы. На поверхности его ярко-розовый грибной налет.
Макроконидии гриба веретеновидно-серповидные, слегка изогнутые, в массе беловато-розовые, охряно-розовые, золотисто-желтые, с 3 - 5 иногда и больше перегородками. Микроконидии обычно отсутствуют.
10.8.1.2 Признаки бактериоза (Bacillus mesentericus-vulgatus

)
На верхней части семян одно или несколько вдавленных пятен бледно-серого цвета, диаметром 2 - 3 мм. Пятна ограничены узкой темно-серой каймой, хорошо обозначенной у белых зерен и слабовыраженной у желтых. При сильном развитии болезни пятна становятся морщинистыми сплошь покрывают зерновку
(приложение К).
10.8.1.3 Признаки бели (непаразитарное заболевание)
На семенах глубокие, сильно развороченные трещины с выступающим из них эндоспермом мучнисто-белого цвета. Реже треснувшей оказывается только семенная оболочка и из нее выступает эндосперм.
Как вторичное явление на трещине может развиваться налет фузариума или другого гриба
(приложение К).
10.8.1.4 Признаки нигроспороза (Nigrospora orizae Pech)
Пораженные семена тусклого цвета, слегка сероватые, сморщенные, недоразвитые. У основания, в местах прикрепления семени к початку (со стороны зародыша), видны черные кучки спор гриба, заметные простым глазом
(приложение К). Под микроскопом споры округлые, почти шаровидные, в незрелом состоянии полупрозрачные, в зрелом - черные, непрозрачные.
10.8.2 Зараженность семян диплодиозом, фузариозом, серой гнилью выявляют, проращивая семена во влажной камере по
10.1.
Для этого из навески семян, после выделения семян с явными признаками зараженности, отсчитывают четыре рабочие пробы по 50 семян в каждой. Отсчитанные семена взвешивают и проращивают при температуре 25 °C - 30 °C. В каждую чашку Петри, Коха помещают по 10 семян.
Для выявления фузариоза и серой гнили семена проращивают в течение 7 сут, для выявления диплодиоза - в течение 10 сут.
Семена перед закладкой на проращивание не дезинфицируют.
10.8.2.1 Признаки диплодиоза (сухой гнили) (Diplodia zeae (Shw) Lev.)
На зараженных семенах белый, пушистый налет грибницы. В дальнейшем на семенах (реже на проростках) мелкие, заметные невооруженным глазом черные точки - округлые пикниды (спороношение гриба). Образующиеся в пикнидах споры продолговатые, двуклеточные. Проростки зараженных семян загнивают
(приложение К).
10.8.2.2 Признаки фузариоза (Fusarium moniliforme Sheld.)
На семенах грибной налет белого или бледно-розового цвета. Сильно зараженные сухие семена легко ломаются и крошатся, на изломе они грязно-белого цвета.
Микроконидии мелкие, бесцветные. Макроконидии отсутствуют или имеются в небольшом количестве, бесцветные, слабо серповидные, с 3 - 5 перегородками
(приложение К).
10.8.2.3 Признаки серой гнили (Phizopus maydis Burd)
На семенах густой плотный налет грибницы серого цвета, иногда пленкообразный. Сильно пораженные семена бурые, легко крошатся. Мицелий с одиночными или групповыми спорангиями с хорошо выраженными столонами и ризоидами. Споры гладкие, эллиптические, желто-бурого цвета
(приложение К).
10.8.3 Обработка результатов
Подсчитывают количество пораженных семян, выявленных при внешнем осмотре, и пересчитывают их содержимое в штуках на килограмм семян. По истечении срока проращивания подсчитывают зараженные семена, выявленные во влажной камере, и также пересчитывают их содержание в штуках на килограмм семян. Результаты вычисления зараженности семян по внешним признакам и во влажной камере суммируют.
10.9.1 Для определения зараженности семян риса твердой головней пользуются методом обмывки и центрифигурирования.
Для определения зараженности семян другими болезнями семена проращивают во влажной камере. Для анализа используют четыре рабочие пробы семян основной культуры по 100 шт. каждая без дезинфекции.
Семена предварительно замачивают в течение суток в воде комнатной температуры, затем раскладывают в чашки Петри. В каждую чашку Петри закладывают по 25 семян.
Проращивание проводят в термостате при температуре 26 °C - 28 °C, в темноте, в течение 7 сут.
10.9.1.1 Признаки пирикуляриоза (Piricularia oryzae Br. et Cav.)
При проращивании семян во влажной камере появляется спороношение гриба, имеющее вид светло-серого налета.
Спороношение состоит из прямых, неразветвленных конидиеносцев оливкового или дымчатого цвета длиной 90 - 100 мкм и шириной 4,6 мкм. На конидиеносцах развиваются конидии грушевидной формы с более или менее вытянутой верхушкой, с 1 - 3 поперечными перегородками, длиной 24 - 32 мкм и шириной 8 - 9 мкм. К конидиеносцу они прикреплены широким концом. Конидии могут развиваться одиночно, но обычно располагаются по 3 - 5 и более шт., образуя головки
(приложение Л).
10.9.1.2 Признаки гельминтоспориоза (Helmintosporium sp.)
На пораженных семенах развивается темно-оливковый налет гриба. Заболевание вызывается двумя патогенами из рода Helmintosporium, которые и образуют спороношение, состоящее из конидиеносцев и конидий. Конидиеносцы в пучках, по 2 - 5 шт, светло- и темно-бурые, слегка согнуты, длиной 150 - 350 мкм, шириной 6 - 8,5 мкм, с 2 - 8 перегородками. H. sativum образует конидии крупные, темно-оливковые, удлиненно-яйцевидные, веретеновидные, на концах закругленные, длиной 56 - 90 мкм и шириной 19 - 22 мкм, с 5 - 7 перегородками. H. zizania образует конидии сигаровидные, цилиндрические, светло-оливковые, на концах закругленные, длиной 40 - 118 мкм, шириной 11 - 20 мкм, с 5 - 11 поперечными перегородками.
10.9.1.3 Признаки фузариоза (Fusarium sp.)
Пораженные семена меняют окраску. Цветковые чешуи становятся грязно-серыми, чаще буроватыми, как бы опаленными, или пестрыми. При повышенной влажности семена загнивают, на них развивается пышный белый, светло-розовый, кремовый, желтоватый (в зависимости от вида гриба) мицелий с обильным спороношением. Заболевание вызывается двумя патогенами из рода Fusarium. Fusarium oxysporum образует микроконидии длиной 2,1 - 2,4 мкм, шириной 1 мкм и длиной 30 - 35 мкм, шириной 3 - 5 мкм, серповидные с поперечными перегородками. Fusarium graminearum образует в основном макроконидии веретеновидные, серповидные, эллиптические, изогнутые, с равномерно суживающейся конической, несколько удлиненной верхней клеткой, с ясно выраженной ножкой у основания, с 3 - 5 перегородками. Размер макроконидий длиной 25 - 75 мкм и шириной 3,5 - 6 мкм
(приложение Л).
10.9.1.4 Признаки альтернариоза (Alternaria sp.)
Зараженные семена при проращивании покрываются дерновинками темно-серого цвета. Конидиеносцы простые или разветвленные коленчатые, оливково-бурые, с перегородками. Конидии в цепочках обратно-булавовидные, оливково-бурые с 3 - 7 поперечными и несколькими продольными перегородками, длиной 16 - 35 мкм и шириной 8 - 16 мкм.
10.9.2 Обработка результатов - по
10.4.
10.10.1 Зараженность семян льна болезнями определяют проращиванием семян во влажной камере и при посеве семян на питательные среды
(приложение М).
Из семян основной культуры отбирают четыре рабочие пробы по 50 семян в каждой.
10.10.2 Проращивание во влажной камере
Для определения зараженности семян льна фузариозом, антракнозом, крапчатостью и бактериозом во влажной камере семена проращивают в течение 7 - 8 сут, при температуре 22 °C - 25 °C. Перед закладкой на проращивание семена не дезинфицируют. Используют комбинированное ложе - марлю в три слоя и фильтровальную бумагу в один слой. Допускается использовать фильтровальную бумагу в три слоя. По истечении срока проращивания просматривают каждое проросшее семя (семядоли, стебель, корешок) и все непроросшие семена. Если семядоли проростков не освободились от семенной кожуры, то ее удаляют иглой, а семядоли тщательно рассматривают с наружной и внутренней сторон.
10.10.2.1 Признаки фузариоза (Fusarium lini Bolley)
На проросших и непроросших семенах фузариоз обнаруживается в зависимости от вида патогена в виде нежной белой, розовой или желтой грибницы (мицелий гриба), похожей на клочок ваты, на которой образуются серповидные с перегородками макроконидии, одноклеточные микроконидии и иногда округлые хламидоспоры.
На проросших семенах грибница образуется на семядолях или она окутывает весь проросток, ткани которого под грибницей загнивают. Иногда загнивание наблюдается без развития мицелия. В отличие от бактериальной гнили отсутствует ослизнение.
10.10.2.2 Признаки антракноза (Colletotrichum lini Manns et Bolley)
При заболевании семян антракнозом на семядолях образуются четко окаймленные ржаво-оранжевые пятна, часто с присохшей к семядолям семенной кожурой.
На корнях и корневой шейке проростков проявляются штрихи оранжевого цвета, которые позднее засыхают. Пораженные ткани не размягчаются и не ослизняются, и несут тесно скученные конидиальные ложа, часто со щетинками, в которых образуются одиночные, продолговатые, с притупленными концами конидии.
10.10.2.3 Признаки крапчатости проростка (Fungus sterilis)
Возбудитель крапчатости образует только грибницу. На семядолях наблюдается кирпично-красная точечность (крапчатость). На стеблях и корешках - штрихи такой же окраски.
При сильном заражении проростков виден сплошной красноватый узор, состоящий из штрихов, точечных пятен и образований снаружи рыхлого сероватого мицелия. Под микроскопом видны довольно грубые разветвленные нити мицелия, богатые маслом, с перегородками между клетками или вздутиями неправильной формы.
10.10.2.4 Признаки бактериоза (Bacillus macerans Schard.)
Бактериоз - это болезнь семян, вызываемая различными бактериями.
На проростках (семядолях и корешках), пораженных бактериозом, образуются стекловидные буроватые пятна, ткани ослизняются, буреют и загнивают.
На семядолях с краев или посередине наблюдается образование язв различных размеров, часто с темно-красной каймой, уродливость и утолщение корня, задержка в росте, отмирание и окрашивание кончика корня в темно-красный цвет, ложное прорастание (прорастание семядолей без корня).
На непроросших семенах образуется слизь различных оттенков, возникает гниение и размягчение семян.
10.10.2.5 Признаки плесеней
Грибы-сапротрофы (сапрофиты) образуют различно окрашенные плесени
(приложение Р).
Черную плесень вызывают альтернариозные (Alternaria sp.) и кладоспориозные (Cladosporium sp.) грибы.
На пораженных семенах альтернариозные грибы образуют колонии вначале темно-серые, а затем темные, даже черные. Споры крупные, обратно-булавовидные, с продольными и поперечными перегородками. Кладоспориозные грибы образуют темно-оливковые или коричневые колонии: 1 - 5-клеточные, яйцевидные, цилиндрические оливковые или коричневые споры.
Зеленая плесень вызывается пенициллезными грибами (Penicillium sp.)
Колонии этих грибов вначале белые, затем постепенно зеленеют и быстро распространяются по всему субстрату. Грибница бесцветная, с перегородками. Конидиеносцы разветвляются кверху вертикально или под острым углом в виде кисточки. Споры одноклеточные, мелкие, шаровидные, гладкие, бесцветные или слегка зеленоватые.
Серую плесень вызывают мукоровые (Mucor sp.) грибы. Грибница светло-серая, нити мицелия утолщенные, быстро распространяющиеся во влажной камере. Споры гриба развиваются в спорангиях - черные тела, заметные простым глазом. Споры шаровидные или угловатые.
Розовую плесень вызывают грибы из рода Trichothecium. На пораженных семенах гриб образует розовый налет, который состоит из грибницы и конидиеносцев с конидиями. Конидиеносцы простые, удлиненные и имеют на вершине по несколько конидий, собранных в небольшие головки. Конидии яйцевидные или грушевидные, двуклеточные с перетяжками, разнобокие.
10.10.3 Определение зараженности семян льна болезнями на питательных средах
10.10.3.1 Для определения зараженности семян льна полиспорозом, аскохитозом, фузариозом и антракнозом их проращивают в чашках Петри на картофельном подкисленном агаре. Для определения зараженности семян льна септориозом (или пасмо) их проращивают на картофельно-глюкозном агаре в течение 7 сут в термостате при температуре 22 °C - 25 °C.
10.10.3.2 Признаки полиспороза (Polyspora lini Laff)
При просмотре зараженных семян под микроскопом обнаруживаются колонии патогена полиспороза: слизистые, кремово-молочного или телесного цвета, иногда темные, похожие на бактериальные. Но в отличие от последних они более матовые, нежные и имеют по краям кайму из лучисто расходящихся нитей мицелия. Конидии гриба бесцветные, одноклеточные, мелкие, разнообразной формы - овально-продолговатые, цилиндрические, на концах закругленные.
10.10.3.3 Признаки аскохитоза (Ascochyta linicola N. Naum, et Vass.)
Колонии возбудителя аскохитоза коричнево-бурые, звездчатые, резко ограниченные, с лучеобразно расходящимися нитями грибницы. На 7-е сутки на колониях образуются пикниды - вместилища спор. Пикниды шаровидные, приплюснутые или удлиненные, темно-окрашенные, конидии сначала одноклеточные, затем становятся двуклеточными. При просмотре под микроскопом видно, что споры соединены слизью, которая выходит из устьица пикниды большой змеевидной лентой.
10.10.3.4 Признаки фузариоза (Fusarium lini Bolley)
Колонии гриба, вызывающего фузариоз, развиваются в виде нежной бело-розовой или лиловой пушистой грибницы. Микроконидии одноклеточные, макроконидии - серповидные, удлиненные, с перегородками, иногда развиваются хламидоспоры.
10.10.3.5 Признаки антракноза (Colletotrichum lini Mann.)
Колонии патогена антракноза слизистые или слегка опушенные, оранжевого цвета, постепенно темнеющие. Конидии одноклеточные, бесцветные, одиночные, овальные, с окрашенными капельками масла.
10.10.3.6 Признаки септориоза (пасмо) (Septoria linicola Sped)
Колонии гриба, вызывающего болезнь пасмо, мелкие, приподнятые, с белым или сероватым мицелием и оранжевыми каплями, содержащими споры.
10.10.4 Обработка результатов - по
10.4
10.10.4.1 Количество семян, зараженных каждой болезнью, записывают в рабочую карточку. По каждой пробе подсчитывают общее количество семян, зараженных паразитными бактериями. При наличии на семенах и проростках двух или нескольких болезней учет зараженности проводят по болезни, признаки которой преобладают. Если болезни выражены в равной степени, то учет их производят по наиболее вредоносному заболеванию. Болезни льна по их вредоносности располагают в следующем порядке: фузариоз, антракноз, крапчатость, бактериоз.
Зараженность семян сапротрофными грибами родов мукор, трихотециум, монилия и др. учитывают отдельно и в общую зараженность не включают.
10.11.1 Для определения зараженности семян сои фузариозом, бактериозом, аскохитозом, белой гнилью, церкоспорозом и пероноспорозом из семян основной культуры отсчитывают четыре рабочие пробы по 50 семян и проращивают их во влажной камере в пластмассовых или фаянсовых растильнях с песком. Растильни можно помещать в полиэтиленовые пакеты. Семена закладывают в песок на глубину 2 - 2,5 см, с интервалом 2 см, помещая не более 25 семян в растильню. Проращивание проводят в термостате при температуре 23 °C - 28 °C. Просмотр проводят на 9-е сутки. Подготовку песка проводят по
ГОСТ 12038,
ГОСТ 30556.
10.11.2 При необходимости уточнения полученных результатов семена проращивают в чашках Коха на двух слоях увлажненной фильтровальной бумаги, положенной на гигроскопическую вату толщиной 0,25 см, в течение 8 сут при температуре 23 °C - 28 °C или в рулонах, как указано в
10.3.
Перед закладкой в чашки Коха семена должны быть продезинфицированы 96%-ным раствором спирта в течение 1 мин или 1%-ным раствором марганцовокислого калия в течение 1 мин, промыты стерилизованной или свежекипяченой водой, а затем просушены между слоями стерильной фильтровальной бумаги.
10.11.3 С целью более быстрого проведения анализа семена проращивают в растильнях на керамических плитках.
Керамические плитки перед закладкой на них семян должны быть простерилизованы в сушильном шкафу при температуре 130 °C - 140 °C. После этого их помещают в растильни, заполненные дистиллированной или свежекипяченой водой. Воду наливают в таком количестве, чтобы плитки были погружены в нее на 3/4 своей высоты. На каждую плитку помещают по 50 семян сои. Семена предварительно должны быть продезинфицированы 1%-ным раствором марганцовокислого калия в течение 1 мин и промыты в стерилизованной воде. Растильни накрывают продезинфицированными спиртом стеклами и ставят в термостат при температуре 24 °C - 28 °C. Семена просматривают на 4-е сутки. По истечении указанного срока семена прорастают и на них проявляются характерные признаки болезней
(приложение Н).
10.11.3.1 Признаки фузариоза (Fusarium sp.)
В случае поражения семян фузариозом они приобретают белый цвет, становятся щуплыми. При сильной степени заражения семена теряют всхожесть, загнивают, покрываются беловато-розовым налетом грибницы. Проростки имеют буро-коричневые круглые язвы, обычно располагающиеся по краям семядолей.
Часто кожура плотно прилипает к семядолям, мешая их раскрытию. На язвах образуется бело-розовый налет гриба. Пораженное подсемядольное колено неравномерно утолщается, закручивается вокруг семени и растрескивается вдоль.
10.11.3.2 Признаки бактериоза (Pseudomonas solanacearum E. F. Sm. syn. Ps. sojae Stapp)
На проросших семенах бактериоз проявляется в виде округлых или угловатых вдавленных пятен сероватого цвета. На семядолях образуются различного размера и формы пятна буро-коричневого, серого или темно-серого цвета, сквозные или глубоко вдавленные, язвообразные, мягкие, часто с очень характерной коричневой или темно-коричневой узкой каймой.
Бактериоз может проявляться и в виде почернения краев семядолей. На подсемядольном колене иногда возникают широкие продолговатые светло-коричневые вдавленные полосы.
При сильной степени заражения семена загнивают, ослизняются и издают неприятный запах.
10.11.3.3 Признаки белой гнили (Sclerotinia sclerotiorum (Lib.) d. By.)
Заболевание проявляется в виде склероций гриба или в виде грибницы внутри семени. Склероции черные, различного размера и формы, на изломе белые.
Во влажной камере семена загнивают, покрываются грибницей белого цвета в виде пушистых хлопьев. Позже образуются черные склероции гриба.
10.11.3.4 Признаки аскохитоза (Ascochyta sojaecola Abramov)
При заболевании аскохитозом семена становятся щуплыми, трухлявыми с черными точками пикнид гриба. На пораженной ткани семядолей возникают глубокие пятна темно-коричневого или серого цвета, покрытые белым пушком грибницы, иногда на месте пятен образуются сквозные отверстия.
На пораженных частях семядолей видны темно-коричневые приплюснутые шаровидные пикниды гриба. Под микроскопом видны отверстия, из которых выходят споры гриба сплошной лентой.
Споры бесцветные, цилиндрические, с округлыми концами, сначала одноклеточные, затем с перегородкой.
10.11.3.5 Признаки церкоспороза (Cercospora sojaena Hara)
Заболевание церкоспорозом проявляется на семенах в виде неправильно округлых светло-коричневых пятен с резким коричневым ободком или в виде темно-коричневых пятен без ясно выраженного ободка, с расплывчатыми краями в форме подтеков; поверхность пораженной ткани как бы выдается над общей поверхностью семян. На семядолях церкоспороз проявляется в виде язв с темно-коричневым ободком, располагающихся обычно по краям. На язвах образуется темно-серый налет спороношений гриба.
10.11.3.6 Признаки пероноспороза (Peronospora manshurica (N. Naumov) Syd.)
При заболевании пероноспорозом на семенах появляется серо-фиолетовый паутинный или войлочный налет. Споры гриба одноклеточные, шаровидные, серо-фиолетового цвета, длиной 17 - 30 мкм и шириной 14 - 27 мкм.
10.11.4 Обработка результатов - по
10.4.
10.12 Анализ семян эфиромасличных культур
10.12.1 Для определения зараженности семян кориандра фузариозом, бактериозом, фомозом, септориозом, семян тмина септориозом и фузариозом, семян фенхеля и шалфея бактериозом и фузариозом из семян основной культуры отсчитывают четыре рабочие пробы по 50 семян.
10.12.2 Семена проращивают во влажной камере в чашках Петри на фильтровальной бумаге или на питательной среде, в качестве которой используется агар Чапека.
Семена предварительно стерилизуют: кориандра - 1%-ным раствором хлорной извести в течение 25 мин; семена тмина и фенхеля - 96%-ным раствором спирта в течение 1 мин и промывают в стерильной воде с последующим обсушиванием стерильной фильтровальной бумагой.
Проращивание проводят в термостате при температуре 22 °C - 25 °C в течение 7 сут.
Анализу подвергают каждое семя.
10.12.2.1 Признаки фузариоза (Fusarium sp.)
В случае зараженности семян кориандра, тмина, фенхеля, шалфея фузариозом на семенах образуется пушистый, белый или бледно-розовый налет грибницы со спорами.
10.12.2.2 Признаки бактериоза (бактерии из родов Erwinia, Pseudomonas, Xanthomonas)
На поверхности семян кориандра, шалфея и фенхеля с темными вдавленными и маслянистыми пятнами выделяются капли бактериального экссудата. На проростках образуются штрихи, язвочки, уродливость, побурение, стекловидность, загнивание или перетяжки гипокотиля и первичного корня.
10.12.2.3 Признаки фомоза (Phoma anethi Sacc.)
На семенах кориандра гриб образует черные пикниды шаровидные или приплюснутые, тонкостенные с выраженным отверстием. Конидии одноклеточные, бесцветные, яйцеподобные или цилиндрические.
10.12.2.4 Признаки септориоза (Septoria petroselini Desm.)
На семенах кориандра и тмина образуются черные пикниды гриба чечевицеобразной формы. Пикниды тонкостенные с выраженным отверстием и выходящей лентой конидий. Конидии бесцветные, одно- двухклеточные, нитевидные, изогнутые.
10.12.3 Обработка результатов - по
10.4.
10.13 Анализ семян гороха
(Ascochyta pisi Lib.; Ascochyta pinodes (Berk, et Bl.) L.K. Jones; Fusarium sp.; Alternaria sp.; Xanthomonas sp.)
(приложение П).
10.13.1 Определяют зараженность семян гороха аскохитозом, фузариозом, альтернариозом, бактериозом, проращивая их на гофрированной фильтровальной бумаге.
10.13.2 Из семян основной культуры отбирают четыре рабочие пробы по 50 семян.
10.13.3 Подготовка к анализу
Фильтровальную бумагу режут на полоски шириной 120 мм и длиной 1000 - 1050 мм. Полоски бумаги, сложенные по две, гофрируют, то есть складывают гармошкой с высотой одного зубца (20 +/- 1) мм.
Таких зубцов на полоске длиной 1000 мм должно получиться (25 +/- 2) шт.
Гофрированную бумагу обмакивают в свежекипяченую воду, дают воде стечь и укладывают в растильню.
Проводят предварительную поверхностную дезинфекцию семян 0,5%-ным марганцовокислым калием в течение 5 мин, затем промывают стерильной водой и раскладывают в гофрированную бумагу. В каждую складку помещают по два семени. Растильни с семенами ставят в термостат при температуре 22 °C - 25 °C. На шестые сутки проводят просмотр семян. Признаки бактериоза: на семенах появляется экссудат желтого цвета. Признаки альтернариоза: на семенах образуется бархатистый войлок темно-серого цвета, состоящий из конидий гриба. На семенах, пораженных аскохитозом, образуется белый пушистый мицелий, иногда наблюдается загнивание ростка, при сильном поражении семена не прорастают. Семена, пораженные фузариозом, покрыты хорошо развитым пушистым белым или розово-белым мицелием, с тонкими серповидно-удлиненными конидиями.
Для уточнения вида гриба проводят микроскопирование.
10.13.4 Обработка результатов - по
10.4.
10.14 Анализ семян фасоли
10.14.1 При определении зараженности семян фасоли болезнями выявляют бактериоз, антракноз, белую и серую гниль
(приложение П).
10.14.2 Зараженность семян определяют, проращивая их во влажной камере или на питательных средах.
10.14.3 Для анализа из семян основной культуры отбирают четыре рабочие пробы по 50 семян.
10.14.4 Проращивание во влажной камере
10.14.4.1 Для проращивания семян во влажной камере применяют чашки Петри или Коха. На дно чашек помещают кружки из фильтровальной бумаги в два слоя, положенные на гигроскопическую вату толщиной слоя 0,25 см.
Предварительно семена фасоли дезинфицируют 1%-ным раствором марганцовокислого калия в течение 1 ч или 1,5 - 2%-ным раствором гипохлорита натрия в течение 15 мин. После обработки семена промывают 5 - 6 раз стерильной водой.
10.14.4.1.1 Получение гипохлорита натрия
Гипохлорит натрия можно получить в лаборатории следующим образом: 100 г хлорной извести в течение 15 - 20 мин энергично перемешивают с водопроводной водой (170 см3). К полученной суспензии прибавляют раствор углекислого натрия из расчета 70 г на 170 см3, тщательно перемешивают и дают отстояться в течение 30 мин. Раствор фильтруют через двойной фильтр из двух слоев полотна на воронке Бюхнера, а затем через стеклянный фильтр N 3. Фильтрат имеет зеленоватый цвет, должен быть прозрачным, содержит 4% гипохлорита натрия в концентрации по хлору. Гипохлорит натрия готовят непосредственно перед употреблением, хранят его в банке из темного стекла в холодильнике.
10.14.4.2 Проведение анализа
Семена раскладывают на увлажненную фильтровальную бумагу в чашки Петри по 10 семян в каждую чашку и проращивают при 22 °C - 28 °C. Просмотр семян проводят на 9 - 10-е сутки, при необходимости оставляют на 16-е сутки.
10.14.4.2.1 Признаки бактериоза (Xanthomonas phaseoli E. F. Sm. Dowson)
Семена, больные бактериозом, часто бывают щуплыми и недоразвитыми, могут иметь различные пятна буроватого, желтоватого, ржаво-коричневого, кремового или розоватого цвета разного размера и очертаний, иногда с черными прожилками на пораженных участках.
На проростках (семядолях и корешках) образуются стекловидные буроватые или красноватые пятна, на семядолях появляются язвы различных размеров, наблюдается уродливость или утолщение корня, ослизнение и отмирание кончика корня. Затем на пораженных участках начинает выделяться бактериальный экссудат, проростки покрываются бактериальной слизью, становятся мягкими.
На непроросших семенах образуется слизь различных оттенков, возникает гниение и размягчение семян.
10.14.4.2.2 Признаки антракноза (Colletotrichum Lindemuthianum Br. et. Cav.)
При заболевании антракнозом на семядолях образуются коричневато-красные пятна, чаще всего имеющие четкие очертания. Позже в центре пятна образуются розоватые или беловатые подушечки, состоящие из конидиеносцев и конидий гриба. На подсемядольном колене появляются несколько вдавленные, бурые или коричневые пятна неправильной формы с розоватой слизью на их поверхности.
Конидиеносцы гриба бесцветные или слабоокрашенные, цилиндрические, на обоих концах закругленные, прямые или согнутые, иногда в середине суженные. Между конидиеносцами располагаются прямые или слегка изогнутые щетинки с 1 - 4 перегородками.
10.14.4.2.3 Признаки белой гнили (Sclerotinia sp.)
Во влажной камере на зараженных семенах проявляется белый налет грибницы. Позже могут образовываться черные, крупные (до 1 см в диаметре) склероции, белые на изломе.
10.14.4.2.4 Признаки серой гнили (Botrytis cinerea Pers.)
Зараженные семена во влажной камере покрываются густым плотным налетом серого цвета, с последующим образованием на нем мелких черных склероциев неправильной формы. Под лупой видно спороношение гриба в виде булавовидных головок. Семена буреют и загнивают.
10.14.5 Проращивание семян на питательных средах
10.14.5.1 Определение зараженности семян фасоли при проращивании их на питательных средах проводят при необходимости уточнения результатов, полученных при проращивании семян во влажной камере, а также с целью выявления внутренней инфекции семян.
Для определения зараженности семян фасоли бактериозом их проращивают на фасолевом или картофельном агаре. Для определения зараженности семян антракнозом, белой и серой гнилью их проращивают на подкисленном картофельном агаре
(10.2.2.1).
10.14.5.1.1 Приготовление фасолевого агара
50 г семян фасоли заливают 1 дм3 водопроводной воды и оставляют на 10 - 12 ч для набухания. Затем кипятят 20 - 30 мин, после остывания фильтруют. В полученную жидкость добавляют 2,5 г пептона, 10 г сахара и 15 - 20 г агара; после этого среду следует прокипятить, профильтровать и разлить по колбам. Полученную среду стерилизуют при 0,04904 МПа (0,5 атм) в течение 30 мин.
10.14.5.1.2 Перед анализом семена фасоли дезинфицируют. Сначала их обрабатывают 1,5% - 2%-ным раствором гипохлорита натрия в течение 10 мин или формалином в течение 30 мин, промывают 5 - 6 раз стерильной водой, а затем обрабатывают в течение 10 мин 30%-ным раствором пероксида водорода.
После обработки пероксидом водорода семена опять промывают 5 - 6 раз стерильной водой.
10.14.5.2 Проведение анализа
Продезинфицированные семена помещают в стерильные колбы, заливают 30 см3 стерильной воды и оставляют их до полного набухания. Набухшие семена пересыпают в стерильные чашки Петри с 6 - 7 слоями фильтровальной бумаги, чтобы удалить излишек воды с поверхности семян. Затем семена раскладывают по 10 шт. в каждую чашку Петри на поверхность агара так, чтобы семена не соприкасались друг с другом.
Чашки с разложенными семенами ставят в термостат для проращивания при 22 °C - 28 °C.
Просмотр проводят на 9-е сутки проращивания.
Для контроля правильности определения болезней проводят микроскопирование.
10.14.5.2.1 Признаки бактериоза
Вокруг семян на агаре и на поверхности самих семян появляются колонии бактерий. Количество их увеличивается, и семена, часто не успев наклюнуться, полностью покрываются бактериальной слизью различных оттенков. Особенно сильно бактериальной слизью покрываются семена, потерявшие способность прорастать. На семядолях, пораженных бактериозом, появляются различные пятна и язвы, с которых бактериальная масса переходит на весь проросток, и проросшее семя через 5 - 6 сут проращивания становится мягким, полностью сгнившим, с неприятным запахом.
10.14.5.2.2 Признаки антракноза
На семенах и вокруг на агаре гриб образует бесцветный мицелий. Конидиальное спороношение типа ложа. Ложа сначала темно-бурые, позднее светло- или грязно-бурые, расположенные концентрическими кругами, нередко сливающиеся, позднее покрывающиеся мясо-красной, бледно-красной или светло-бурой слизью, состоящей из массы конидий; щетинки заостренные темно-оливкового, серого или черного цвета, прямые или слегка изогнутые, кверху утончаются, с 1 - 4 перегородками, длиной 40 - 110 мкм и шириной 4 - 6 мкм.
Конидиеносцы бесцветные или в нижней части слабо окрашенные, большей частью цилиндрические, неразветвленные, длиной 20 - 55 мкм и шириной 3,5 - 5 мкм. Конидии большей частью продолговато-цилиндрические, бесцветные, на обоих концах закругленные, иногда в середине суженные или неправильные, прямые или согнутые, длиной 10,5 - 23 мкм и шириной 3,5 - 6,5 мкм.
10.14.5.2.3 Признаки белой гнили
Семена, зараженные белой гнилью, покрываются плотным белым налетом мицелия, на котором позже развиваются склероции с белой сердцевиной, неправильной формы, крупных размеров. Мицелий гриба быстро распространяется по агару, поэтому учет зараженности семян надо проводить до появления склероциев на семенах.
10.14.5.2.4 Признаки серой гнили
На семенах, а несколько позже на агаре образуется пушистый пепельный налет мицелия. Под лупой видны на нем утолщения в виде булавовидных головок - спороношение гриба.
Конидиеносцы древовидно-разветвленные, коричневые, на вершине почти бесцветные. Конидии яйцевидные или округлые, светло-дымчатые, расположенные группами на вершине конидиеносцев, длиной 9 - 12 мкм и шириной 7 - 10 мкм. Позже на грибнице образуются черные склероции гриба. Они отличаются от склероциев белой гнили меньшими размерами и образуются не всегда.
10.14.6 Обработка результатов - по
10.4.
10.15 Анализ семян моркови
Определяют зараженность семян фомозом (Phoma rostrupii Sacc.)
(приложение П).
Для определения зараженности семян моркови фомозом применяют следующие методы: макроскопический, биологический.
10.15.1 Макроскопический метод
Для анализа используют четыре рабочие пробы по 100 семян основной культуры. Метод применяют для обнаружения на семенах признаков поражения фомозом в виде пикнид гриба на поверхности семян. Семена моркови просматривают под бинокуляром (МБС-1) при 12,5-кратном увеличении.
Семена раскладывают на увлажненную фильтровальную бумагу по 25 шт. в чашки Петри. Инкубация идет 1 - 2 ч при 15 °C. Исследование семян на зараженность фомозом проводится под бинокуляром при 12,5-кратном увеличении. Каждое семя просматривают со всех сторон на наличие пикнид этого гриба. Пикниды черные, шарообразные до 0,5 мм в диаметре. При травмировании оболочек пикнид из них выходят конидии в виде произвольно закручивающейся нити, склеенные слизью розового цвета.
10.15.2 Биологический метод
Из семян основной культуры отбирают четыре рабочие пробы по 50 семян.
Зараженность семян определяют путем проращивания их во влажной камере.
10.15.2.1 Подготовка к анализу
Для проращивания семян используют чашки Петри, на дно которых кладут кружки из фильтровальной бумаги в два слоя.
Перед анализом семена моркови стерилизуют. Сначала семена обрабатывают спиртом в течение 1 мин, затем 2%-ным водным раствором гипохлорита натрия в течение 5 мин, после чего промывают четыре раза по 1 мин в 50 см3 стерильной дистиллированной воды и подсушивают в чашках Петри с 6 - 7 слоями сухой фильтровальной бумаги.
10.15.2.2 Проведение анализа
Простерилизованные семена раскладывают в чашки Петри на увлажненную фильтровальную бумагу по 25 семян в каждую чашку и помещают на проращивание в термостат при температуре 22 °C.
Просмотр проводят на 10-е сут, при необходимости чашки оставляют для второго просмотра на 16-е сут. Во время каждого просмотра отмечают внешние признаки фомоза на семенах, ведут подсчет количества семян, зараженных фомозом.
10.15.2.2.1 Признаки фомоза
На пораженных семенах появляется темно-серый налет, на котором просматриваются темные полосы, с начала плодоношения пятна приобретают розовый оттенок. Для уточнения возбудителя производят пересев мицелия иглой на агаровую среду, где он растет до момента образования пикнид.
10.15.2.3 Определение зараженности семян моркови фомозом при проращивании их на питательной среде
Для анализа берут четыре рабочие пробы семян по 50 шт. в каждой.
10.15.2.3.1 Подготовка к анализу
Приготовление морковного агара. На 1 дм3 воды берут 500 г моркови. Морковь измельчают и варят до мягкого состояния, затем фильтруют и добавляют 15 г агар-агара, заранее замоченного в воде. Жидкость с агар-агаром помещают на медленный огонь, чтобы агар-агар постепенно растворился. Полученную среду разливают в колбы и стерилизуют в автоклаве под давлением 0,09807 МПа (1 атм) в течение 30 мин или текучим паром два раза по 1 ч через сутки.
Перед анализом семена моркови стерилизуют, как указано в
10.15.2.
Простерилизованный агар разливают в стерильные чашки Петри. В каждую чашку Петри помещают 10 семян и ставят для проращивания в термостат при температуре 22 °C.
10.15.2.3.2 Проведение анализа
Просмотр (не открывая чашки) проводят по колониям на 5 - 7-е сут.
Признаки заболевания. Мицелий гриба обычно развивается на 5-е сут после раскладки семян в чашки Петри. Он вначале ярко-белый, затем постепенно утрачивает яркость и со временем (примерно на 10 - 15-е сут со дня посева) становится грязно-кремово-желтым, уплотненным.
Чашки, в которых (на 5 - 7-е сут) обнаружен мицелий, нужно выставить на свет при комнатной температуре (около 20 °C). На свету на 10 - 14-е сут со дня высева на мицелии образуются пикниды гриба в виде мелких черных точек. Иногда пикниды лучше просматриваются со дна чашки. Для установления точного диагноза пикниды просматривают под микроскопом при малом увеличении. Под микроскопом будет видна темная пикнида с массой выходящих из нее мелких спор.
10.15.2.4 Обработка результатов - по
10.4.
10.16 Анализ семян подсолнечника
10.16.1 Зараженность семян белой и серой гнилью определяют при проращивании их в рулонах фильтровальной бумаги, помещенных в стеклянные сосуды.
10.16.2 Отбор проб
Из семян основной культуры отбирают четыре рабочие пробы по 50 семян.
10.16.3 Подготовка к анализу
Перед закладкой в рулоны семена промывают под струей воды в течение 20 - 30 мин, затем дезинфицируют 1%-ным раствором марганцовокислого калия в течение 10 - 15 мин. После дезинфекции семена тщательно промывают стерилизованной или свежекипяченой водой.
10.16.4 Проведение анализа
Для проращивания используют полоски фильтровальной бумаги размером 73 x 20 см, смоченные стерильной водой до полной влагоемкости (избытку воды дают стечь). Семена каждой пробы раскладывают острым концом книзу на полоску бумаги, отступая от верхнего края на 2 см. Затем ее накрывают второй смоченной полоской фильтровальной бумаги, коррексом и сворачивают в рулон. Рулон помещают в стеклянный сосуд. Для поддержания рулонов во влажном состоянии сосуд закрывают сверху стеклянной пластинкой, оставляя зазор для доступа воздуха. Сосуды с рулонами помещают в термостат при температуре 22 °C - 23 °C.
Просмотр семян проводят на 10-е сут. При необходимости просмотр повторяют на 14-е сут.
Для контроля правильности определения возбудителя серой гнили небольшую часть развившейся колонии со спороношением исследуют в капле воды под микроскопом.
10.16.4.1 Признаки белой гнили (Sclerotinia sp.)
Заболевание проявляется в виде белой плотной грибницы. На семядолях в области главного корня и подсемядольного колена появляются светло-коричневые размытые пятна, которые покрываются белым пушком грибницы. В дальнейшем образуются черные склероции различной величины и конфигурации, белые на изломе.
10.16.4.2 Признаки серой гнили (Botrytis cinerea Pers).
На семядолях заболевание проявляется в области корня и подсемядольного колена в виде размытых пятен коричневого цвета с буроватым оттенком, которые покрываются пепельно-серым пушистым мицелием. Мицелий с одиночными прямостоящими древовидно-разветвленными оливково-бурыми конидиеносцами, отчетливо видными через лупу. Конидии яйцевидные или округлые, светло-дымчатые, длиной 8 - 15 мкм и шириной 6 - 10 мкм (в среднем 10 и 8 мкм). Склероции образуются редко.
10.16.5 Обработка результатов - по
10.4.
Люминесцентный метод применяется для предварительного анализа зараженности семян болезнями.
11.1 Проведение анализа
11.1.1 Из навески семян, отобранной из средней пробы, выделяют семена основной культуры, которые раскладывают на черную бумагу, помещают под ультрафиолетовый осветитель и просматривают.
Здоровые семена пшеницы светятся сине-голубым или сине-фиолетовым светом, а зараженные пыльной головней остаются темными, тусклыми.
11.1.2 Семена гороха в местах заражения аскохитозом, фузариозом светятся тусклым коричнево-красным светом.
11.1.3 При зараженности семян свеклы фомозом пикниды гриба, находящиеся на поверхности семян, светятся белым матовым светом.
11.1.4 Семена кукурузы, зараженные фузариозом, светятся ярким оранжевым или малиновым светом.
11.1.5 Здоровые семена сои светятся светло-голубым светом, а места поражения - тусклым коричневато-красным или темным светом.
11.2 По свечению семян делают предварительное заключение о наличии или отсутствии заболеваний семян.
(справочное)
Таблица 1
Условная форма результатов фитопатологической
экспертизы семян и проростков зерновых культур
Показатель | Результаты фитоэкспертизы |
1 Культура, сорт, репродукция, партия семян, год урожая | |
2 Всхожесть, % | |
3 Склероции спорыньи, % | |
4 Галлы пшеничной нематоды, шт. на 1 кг | |
5 Пыльная головня, % зародышей | |
6 Головневые мешочки, г и % | |
7 Твердая головня: спор на одно зерно, шт., | |
спор в одном поле зрения, шт. | |
8 Болезни проростков, %: фузариоз | |
гельминтоспориоз | |
альтернариоз | |
септориоз | |
плесени | |
бактериоз | |
| Общая зараженность болезнями | | |
| Развитие болезней | | |
Примечание - Если определение какой-либо болезни не проводилось, то в соответствующей графе ставят знак "-", если заболевание не обнаружено, то ставят цифру "0".
(справочное)
Таблица 1
Указатель русских и латинских названий
возбудителей болезней растений
Русское название | Латинское название |
Альтернариоз сельскохозяйственных культур | Alternaria sp. |
Антракноз: | |
льна-долгунца | Colletotrichum lini Manns et Bolley |
фасоли | Colletotrichum lindemuthianum Br. et cav. |
Аскохитоз: | |
гороха | Ascochyta pisi Lib., A. pinodes |
льна-долгунца | Ascochyta linicola N. Naum, et Wass. |
сои | Ascochyta sojaecola Abramov |
Бактериоз: | |
фасоли | Xanthomonas phaseoli (E. F. Sm.) Dows. |
кукурузы | Bacillus mesentericus-vulgatus Fl. |
льна-долгунца | Bacillus macerans Schard. |
сои | Pseudomonas solanacearum E. F. Sm. |
эфиромасличных культур, гороха | Erwinia, Pseudomonas, Xanthomonas |
Белая гниль подсолнечника, сои, фасоли | Sclerotinia sp. |
Гельминтоспориоз: | |
пшеницы, ржи (корневая гниль), ячменя | Bipolaris sorokiniana Shoem. syn. Helminthosporium sativum Pamm |
риса | Drachslera oryzea (Breda de Haan) Subram and Jain, syn. |
Диплодиоз (сухая гниль) кукурузы | Diplodia zeae (Schw) Lev. |
Крапчатость льна-долгунца | Fungus sterilis |
Красная гниль кукурузы | Fusarium graminearum Shwabe |
Нигроспороз кукурузы | Nigrospora orizae Pech. |
Пероноспороз сои | Pernospora manshurica (N. Naum.) Syd. |
Пирикуляриоз риса | Piricularia oryzae Br. et Cav. |
Полиспороз льна-долгунца | Polyspora lini Laff. |
Полосатая пятнистость ячменя | Drachslera graminea Ito |
Септориоз: | |
пшеницы, | Septoria nodorum  , S. tritici D. |
ржи эфиромасличных культур | Septoria umbelliferarum Kalchbr. |
льна | Septoria linicola Speg. |
Серая гниль кукурузы | Rhizopus maydis Burd. |
подсолнечника, фасоли | Botrytis cinerea Pers. |
Сетчатая пятнистость ячменя | Drechslera teres Ito. |
Фомоз: | |
моркови | Phoma rostrupii Sacc. |
эфиромасличных культур | Phoma anethi Sacc. |
Фузариоз: | |
гороха, риса, ржи, сои | Fusarium sp. |
кукурузы | Fusarium moniliforme Sheldon |
льна-долгунца | Fusarium lini Bolley |
пшеницы | Fusarium graminearum Shwabe |
эфиромасличных культур | Fusarium sp. |
Церкоспороз сои | Cereospora sojaena Hara |
(справочное)
Склероции грибов и галлы пшеничной нематоды
Склероции спорыньи
а - пшеница; б - рожь; в - ячмень
Рисунок 1
Склероции белой гнили
Рисунок 2
Склероции серой гнили
Рисунок 3
Галлы пшеничной нематоды
а - пораженные зерна; б - здоровое зерно;
Рисунок 4
справочное)
а - здоровые зерна; б - пораженные зерна
(справочное)
Твердая головня пшеницы
Рисунок 1
Карликовая головня пшеницы
Рисунок 2
Мокрая головня пшеницы
Рисунок 3
Стеблевая головня ржи
Рисунок 4
(справочное)
ЗДОРОВЫЙ И ПОРАЖЕННЫЙ ГОЛОВНЕЙ ЗАРОДЫШ ПШЕНИЦЫ
Здоровый зародыш:
а - вид со стороны щитка; б - вид
со стороны зародышевой почки;
1 - щиток; 2 - колеоптиле; 3 - зародышевая почка;
4 - эпибласт; 5 - корешки
Пораженный зародыш:
а - поражена часть щитка; б - поражена часть щитка,
все остальные органы свободны от мицелия
(справочное)
ПРИЗНАКИ ЗАРАЖЕННОСТИ СЕМЯН ПШЕНИЦЫ И РЖИ
Фузариоз
Рисунок 1
Темно-бурый гельминтоспориоз (корневая гниль)
Рисунок 2
Альтернариоз
Рисунок 3
Септориоз
Рисунок 4
(справочное)
ПРИЗНАКИ ЗАРАЖЕННОСТИ СЕМЯН ЯЧМЕНЯ И ОВСА
Полосатая пятнистость
Рисунок 1
Сетчатая пятнистость
Рисунок 2
Красно-бурая пятнистость
Рисунок 3
(справочное)
Фузариоз
а, б - споры грибов; в, г - пораженный початок
Рисунок 1
Диплодиоз
а - пораженный початок; б - споры гриба; в - зерновка
с пикандами; г - поперечный разрез пораженного початка
Рисунок 2
Нигроспороз
а - грибница и споры гриба; б - пораженный початок
Рисунок 3
Серая гниль
а - пораженный початок; б - споры гриба
Рисунок 4
Бель
а - пораженный початок; б - пораженная зерновка
Рисунок 5
Бактериоз
а - пораженный початок; б - пораженная зерновка
Рисунок 6
(справочное)
Признаки пирикуляриоза
Спороношение гриба
Рисунок 1
Признаки фузариоза
Спороношение гриба
Рисунок 2
(справочное)
1 - ржавчина льна на мертвом соре в семенах: а - пятна
зимней стадии на обломках веточек; б - вид под микроскопом
коростинки зимней стадии ржавчины льна; в - зимние споры
ржавчины льна; 2 - фузариоз льна: а - на семенах льна;
б - конидии гриба; 3 - антракноз льна: а - на семенах льна;
б - спороношение гриба; 4 - крапчатость льна: а - на семенах
льна; б - мицелий гриба; 5 - бактериоз льна: а - на семенах
льна; б - бактерии и их споры; 6 - аскохита льна:
а - колония на агаре; б - пикнида аскохиты с выходящими
спорами; 7 - полиспороз льна: а - колония на агаре;
б - конидии полиспоры
(справочное)
1 - церкоспороз сои: а - семена сои, пораженные
церкоспорозом; б - спороношение гриба; 2 - семядольный
бактериоз сои: а - семена сои, пораженные семядольным
бактериозом; б - бактериальные пятна на семядолях
при прорастании
(справочное)
БОЛЕЗНИ БОБОВЫХ И ОВОЩНЫХ КУЛЬТУР
1 - аскохитоз гороха; 2 - антракноз бобовых; 3 - серая гниль
бобовых; 4 - южная склероциальная гниль арахиса (склероции
и грибница); 5 - корнеед свеклы; 6 - корнеед свеклы
(клубочек с пикнидами); 7 - ржавчина свеклы
(справочное)
ТИПЫ СПОР САПРОФИТНЫХ ГРИБКОВ, ВСТРЕЧАЮЩИХСЯ НА СЕМЕНАХ
1 - пенициллиум; 2 - ризопус; 3 - трихотециум;
4 - кладоспориум; 5 - аспергиллюс; 6 - альтернариа;
7 - макроспориум; 8 - монилия; 9 - мукор (спорангии и споры)
(справочное)
Таблица 1
Площадь поверхности семян пшеницы (мм2)
в зависимости от их длины и ширины
В миллиметрах
Ширина b | Длина l |
3,1 | 3,2 | 3,3 | 3,4 | 3,5 | 3,6 | 3,7 | 3,8 | 3,9 | 4,0 |
1,5 | 12,4 | 12,8 | 13,1 | 13,5 | 13,8 | 14,2 | 14,5 | 14,9 | 15,2 | 15,6 |
1,6 | 13,4 | 13,7 | 14,1 | 14,5 | 14,9 | 15,2 | 15,6 | 16,0 | 16,4 | 16,7 |
1,7 | 14,3 | 14,7 | 15,1 | 15,5 | 15,9 | 16,3 | 16,7 | 17,1 | 17,5 | 17,9 |
1,8 | 15,3 | 15,7 | 16,2 | 16,6 | 17,0 | 17,4 | 17,8 | 18,2 | 18,7 | 19,1 |
1,9 | 16,3 | 16,8 | 17,2 | 17,6 | 18,1 | 18,5 | 18,9 | 19,4 | 19,8 | 20,3 |
2,0 | 17,4 | 17,8 | 18,3 | 18,7 | 19,2 | 19,6 | 20,1 | 20,6 | 21,0 | 21,5 |
2,1 | 18,4 | 18,9 | 19,4 | 19,8 | 20,3 | 20,8 | 21,3 | 21,7 | 22,2 | 22,7 |
2,2 | 19,5 | 20,0 | 20,5 | 21,0 | 21,5 | 22,0 | 22,5 | 23,0 | 23,5 | 24,0 |
2,3 | 20,6 | 21,1 | 21,6 | 22,1 | 22,6 | 23,1 | 23,7 | 24,2 | 24,7 | 25,2 |
2,4 | 21,7 | 22,2 | 22,8 | 23,3 | 23,8 | 24,4 | 24,9 | 25,4 | 26,0 | 26,5 |
2,5 | 22,8 | 23,4 | 23,9 | 24,5 | 25,0 | 25,6 | 26,2 | 26,7 | 27,3 | 27,8 |
2,6 | 24,0 | 24,6 | 25,1 | 25,7 | 26,3 | 26,9 | 27,4 | 28,0 | 28,6 | 29,2 |
2,7 | 25,2 | 25,8 | 26,4 | 26,9 | 27,5 | 28,1 | 28,7 | 29,3 | 29,9 | 30,5 |
2,8 | 26,4 | 27,0 | 27,6 | 28,2 | 28,8 | 29,4 | 30,1 | 30,7 | 31,3 | 31,9 |
2,9 | 27,6 | 28,3 | 28,9 | 29,5 | 30,1 | 30,8 | 31,4 | 32,0 | 32,7 | 33,3 |
3,0 | 28,9 | 29,5 | 30,2 | 30,8 | 31,5 | 32,1 | 32,8 | 33,4 | 34,1 | 34,7 |
3,1 | 30,2 | 30,8 | 31,5 | 32,2 | 32,8 | 33,5 | 34,2 | 34,8 | 35,5 | 36,2 |
3,2 | - | 32,2 | 32,8 | 33,5 | 34,2 | 34,9 | 35,6 | 36,3 | 37,0 | 37,6 |
3,3 | - | - | 34,2 | 34,9 | 35,6 | 36,3 | 37,0 | 37,7 | 38,4 | 39,1 |
3,4 | - | - | - | 36,3 | 37,0 | 37,7 | 38,5 | 39,2 | 39,9 | 40,7 |
3,5 | - | - | - | - | 38,5 | 39,2 | 40,0 | 40,7 | 41,4 | 42,2 |
3,6 | - | - | - | - | - | 40,7 | 41,5 | 42,2 | 43,0 | 43,8 |
3,7 | - | - | - | - | - | - | 43,0 | 43,8 | 44,6 | 45,4 |
3,8 | - | - | - | - | - | - | - | 45,4 | 46,2 | 47,0 |
3,9 | - | - | - | - | - | - | - | - | 47,8 | 48,6 |
4,0 | - | - | - | - | - | - | - | - | - | 50,3 |
4,1 | - | - | - | - | - | - | - | - | - | - |
4,2 | - | - | - | - | - | - | - | - | - | - |
4,3 | - | - | - | - | - | - | - | - | - | - |
4,4 | - | - | - | - | - | - | - | - | - | - |
4,5 | - | - | - | - | - | - | - | - | - | - |
4,6 | - | - | - | - | - | - | - | - | - | - |
4,7 | - | - | - | - | - | - | - | - | - | - |
4,8 | - | - | - | - | - | - | - | - | - | - |
4,9 | - | - | - | - | - | - | - | - | - | - |
5,0 | - | - | - | - | - | - | - | - | - | - |
5,1 | - | - | - | - | - | - | - | - | - | - |
5,2 | - | - | - | - | - | - | - | - | - | - |
5,3 | - | - | - | - | - | - | - | - | - | - |
5,4 | - | - | - | - | - | - | - | - | - | - |
5,5 | - | - | - | - | - | - | - | - | - | - |
5,6 | - | - | - | - | - | - | - | - | - | - |
5,7 | - | - | - | - | - | - | - | - | - | - |
5,8 | - | - | - | - | - | - | - | - | - | - |
5,9 | - | - | - | - | - | - | - | - | - | - |
6,0 | - | - | - | - | - | - | - | - | - | - |
Продолжение таблицы 1
В миллиметрах
Ширина b | Длина l |
4,1 | 4,2 | 4,3 | 4,4 | 4,5 | 4,6 | 4,7 | 4,8 | 4,9 | 5,0 |
1,5 | 16,0 | 16,3 | 16,7 | 17,0 | 17,4 | 17,7 | 18,1 | 18,5 | 18,8 | 19,2 |
1,6 | 17,1 | 17,5 | 17,9 | 18,2 | 18,6 | 19,0 | 19,4 | 19,8 | 20,2 | 20,5 |
1,7 | 18,3 | 18,7 | 19,1 | 19,5 | 19,9 | 20,3 | 20,7 | 21,1 | 21,5 | 21,9 |
1,8 | 19,5 | 19,9 | 20,3 | 20,8 | 21,2 | 21,6 | 22,0 | 22,5 | 22,9 | 23,3 |
1,9 | 20,7 | 21,2 | 21,6 | 22,0 | 22,5 | 22,9 | 23,4 | 23,8 | 24,3 | 24,7 |
2,0 | 21,9 | 22,4 | 22,9 | 23,3 | 23,8 | 24,3 | 24,7 | 25,2 | 25,7 | 26,2 |
2,1 | 23,2 | 23,7 | 24,2 | 24,7 | 25,1 | 25,6 | 26,1 | 26,6 | 27,1 | 27,6 |
2,2 | 24,5 | 25,0 | 25,5 | 26,0 | 26,5 | 27,0 | 27,5 | 28,0 | 28,5 | 29,1 |
2,3 | 25,8 | 26,3 | 26,8 | 27,3 | 27,9 | 28,4 | 28,9 | 29,5 | 30,0 | 30,5 |
2,4 | 27,1 | 27,6 | 28,2 | 28,7 | 29,3 | 29,8 | 30,4 | 30,9 | 31,5 | 32,0 |
2,5 | 28,4 | 29,0 | 29,5 | 30,1 | 30,7 | 31,3 | 31,8 | 32,4 | 33,0 | 33,6 |
2,6 | 29,8 | 30,3 | 30,9 | 31,5 | 32,1 | 32,7 | 33,3 | 33,9 | 34,5 | 35,1 |
2,7 | 31,1 | 31,7 | 32,4 | 33,0 | 33,6 | 34,2 | 34,8 | 35,4 | 36,0 | 36,7 |
2,8 | 32,5 | 33,2 | 33,8 | 34,4 | 35,0 | 35,7 | 36,3 | 37,0 | 37,6 | 38,2 |
2,9 | 34,0 | 34,6 | 35,2 | 35,9 | 36,5 | 37,2 | 37,9 | 38,5 | 39,2 | 39,8 |
3,0 | 35,4 | 36,1 | 36,7 | 37,4 | 38,1 | 38,7 | 39,4 | 40,1 | 40,8 | 41,4 |
3,1 | 36,9 | 37,5 | 38,2 | 38,9 | 39,6 | 40,3 | 41,0 | 41,7 | 42,4 | 43,1 |
3,2 | 38,3 | 39,0 | 39,8 | 40,5 | 41,2 | 41,9 | 42,6 | 43,3 | 44,0 | 44,7 |
3,3 | 39,9 | 40,6 | 41,3 | 42,0 | 42,8 | 43,5 | 44,2 | 45,0 | 45,7 | 46,4 |
3,4 | 41,4 | 42,1 | 42,9 | 43,6 | 44,4 | 45,1 | 45,9 | 46,6 | 47,4 | 48,1 |
3,5 | 43,0 | 43,7 | 44,5 | 45,2 | 46,0 | 46,8 | 47,5 | 48,3 | 49,1 | 49,9 |
3,6 | 44,5 | 45,3 | 46,1 | 46,9 | 47,6 | 48,4 | 49,2 | 50,0 | 50,8 | 51,6 |
3,7 | 46,1 | 46,9 | 47,7 | 48,5 | 49,3 | 50,1 | 50,9 | 51,7 | 52,6 | 53,4 |
3,8 | 47,8 | 48,6 | 49,4 | 50,2 | 51,0 | 51,9 | 52,7 | 53,5 | 54,3 | 55,2 |
3,9 | 49,4 | 50,3 | 51,1 | 51,9 | 52,8 | 53,6 | 54,4 | 55,3 | 56,1 | 57,0 |
4,0 | 51,1 | 51,9 | 52,8 | 53,6 | 54,5 | 55,4 | 56,2 | 57,1 | 58,0 | 58,8 |
4,1 | 52,8 | 53,7 | 54,5 | 55,4 | 56,3 | 57,2 | 58,0 | 58,9 | 59,8 | 60,7 |
4,2 | - | 55,4 | 56,3 | 57,2 | 58,1 | 59,0 | 59,9 | 60,8 | 61,7 | 62,6 |
4,3 | - | - | 58,1 | 59,0 | 59,9 | 60,8 | 61,7 | 62,6 | 63,6 | 64,5 |
4,4 | - | - | - | 60,8 | 61,7 | 62,7 | 63,6 | 64,5 | 65,5 | 66,4 |
4,5 | - | - | - | - | 63,6 | 64,6 | 65,5 | 66,5 | 67,4 | 68,4 |
4,6 | - | - | - | - | - | 66,5 | 67,4 | 68,4 | 69,4 | 70,4 |
4,7 | - | - | - | - | - | - | 69,4 | 70,4 | 71,4 | 72,4 |
4,8 | - | - | - | - | - | - | - | 72,4 | 73,4 | 74,4 |
4,9 | - | - | - | - | - | - | - | - | 75,4 | 76,5 |
5,0 | - | - | - | - | - | - | - | - | - | 78,5 |
5,1 | - | - | - | - | - | - | - | - | - | - |
5,2 | - | - | - | - | - | - | - | - | - | - |
5,3 | - | - | - | - | - | - | - | - | - | - |
5,4 | - | - | - | - | - | - | - | - | - | - |
5,5 | - | - | - | - | - | - | - | - | - | - |
5,6 | - | - | - | - | - | - | - | - | - | - |
5,7 | - | - | - | - | - | - | - | - | - | - |
5,8 | - | - | - | - | - | - | - | - | - | - |
5,9 | - | - | - | - | - | - | - | - | - | - |
6,0 | - | - | - | - | - | - | - | - | - | - |
Продолжение таблицы 1
В миллиметрах
Ширина b | Длина l |
5,1 | 5,2 | 5,3 | 5,4 | 5,5 | 5,6 | 5,7 | 5,8 | 5,9 | 6,0 |
1,5 | 19,5 | 19,9 | 20,2 | 20,6 | 21,0 | 21,3 | 21,7 | 22,1 | 22,4 | 22,8 |
1,6 | 20,9 | 21,3 | 21,7 | 22,1 | 22,5 | 22,8 | 23,2 | 23,6 | 24,0 | 24,4 |
1,7 | 22,3 | 22,7 | 23,1 | 23,5 | 23,9 | 24,4 | 24,8 | 25,2 | 25,6 | 26,0 |
1,8 | 23,7 | 24,2 | 24,6 | 25,0 | 25,5 | 25,9 | 26,3 | 26,7 | 27,2 | 27,6 |
1,9 | 25,2 | 25,6 | 26,1 | 26,5 | 27,0 | 27,4 | 27,9 | 28,3 | 28,8 | 29,2 |
2,0 | 26,6 | 27,1 | 27,6 | 28,0 | 28,5 | 29,0 | 29,5 | 29,9 | 30,4 | 30,9 |
2,1 | 28,1 | 28,6 | 29,1 | 29,6 | 30,1 | 30,6 | 31,1 | 31,6 | 32,1 | 32,6 |
2,2 | 29,6 | 30,1 | 30,6 | 31,1 | 31,6 | 32,2 | 32,7 | 33,2 | 33,7 | 34,2 |
2,3 | 31,1 | 31,6 | 32,2 | 32,7 | 33,2 | 33,8 | 34,3 | 34,9 | 35,4 | 35,9 |
2,4 | 32,6 | 33,2 | 33,7 | 34,3 | 34,8 | 35,4 | 36,0 | 36,5 | 37,1 | 37,7 |
2,5 | 34,1 | 34,7 | 35,3 | 35,9 | 36,5 | 37,0 | 37,6 | 38,2 | 38,8 | 39,4 |
2,6 | 35,7 | 36,3 | 36,9 | 37,5 | 38,1 | 38,7 | 39,3 | 39,9 | 40,5 | 41,1 |
2,7 | 37,3 | 37,9 | 38,5 | 39,1 | 39,8 | 40,4 | 41,0 | 41,7 | 42,3 | 42,9 |
2,8 | 38,9 | 39,5 | 40,2 | 40,8 | 41,4 | 42,1 | 42,7 | 43,4 | 44,0 | 44,7 |
2,9 | 40,5 | 41,2 | 41,8 | 42,5 | 43,1 | 43,8 | 44,5 | 45,2 | 45,8 | 46,5 |
3,0 | 42,1 | 42,8 | 43,5 | 44,2 | 44,9 | 45,6 | 46,2 | 46,9 | 47,6 | 48,3 |
3,1 | 43,8 | 44,5 | 45,2 | 45,9 | 46,6 | 47,3 | 48,0 | 48,7 | 49,5 | 50,2 |
3,2 | 45,5 | 46,2 | 46,9 | 47,6 | 48,4 | 49,1 | 49,8 | 50,6 | 51,3 | 52,0 |
3,3 | 47,2 | 47,9 | 48,7 | 49,4 | 50,2 | 50,9 | 51,7 | 52,4 | 53,2 | 53,9 |
3,4 | 48,9 | 49,7 | 50,4 | 51,2 | 52,0 | 52,7 | 53,5 | 54,3 | 55,0 | 55,8 |
3,5 | 50,6 | 51,4 | 52,2 | 53,0 | 53,8 | 54,6 | 55,4 | 56,1 | 56,9 | 57,7 |
3,6 | 52,4 | 53,2 | 54,0 | 54,8 | 55,6 | 56,4 | 57,2 | 58,1 | 58,9 | 59,7 |
3,7 | 54,2 | 55,0 | 55,8 | 56,7 | 57,5 | 58,3 | 59,1 | 60,0 | 60,8 | 61,6 |
3,8 | 56,0 | 56,8 | 57,7 | 58,5 | 59,4 | 60,2 | 61,1 | 61,9 | 62,8 | 63,6 |
3,9 | 57,8 | 58,7 | 59,6 | 60,4 | 61,3 | 62,2 | 63,0 | 63,9 | 64,8 | 65,6 |
4,0 | 59,7 | 60,6 | 61,5 | 62,3 | 63,2 | 64,1 | 65,0 | 65,9 | 66,8 | 67,7 |
4,1 | 61,6 | 62,5 | 63,4 | 64,3 | 65,2 | 66,1 | 67,0 | 67,9 | 68,8 | 69,7 |
4,2 | 63,5 | 64,4 | 65,3 | 66,2 | 67,2 | 68,1 | 69,0 | 69,9 | 70,9 | 71,8 |
4,3 | 65,4 | 66,3 | 67,3 | 68,2 | 69,2 | 70,1 | 71,0 | 72,0 | 72,9 | 73,9 |
4,4 | 67,4 | 68,3 | 69,3 | 70,2 | 71,2 | 72,1 | 73,1 | 74,1 | 75,0 | 76,0 |
4,5 | 69,3 | 70,3 | 71,3 | 72,3 | 73,2 | 74,2 | 75,2 | 76,2 | 77,2 | 78,1 |
4,6 | 71,3 | 72,3 | 73,3 | 74,3 | 75,3 | 76,3 | 77,3 | 78,3 | 79,3 | 80,3 |
4,7 | 73,4 | 74,4 | 75,4 | 76,4 | 77,4 | 78,4 | 79,4 | 80,4 | 81,5 | 82,5 |
4,8 | 75,4 | 76,4 | 77,5 | 78,5 | 79,5 | 80,5 | 81,6 | 82,6 | 83,7 | 84,7 |
4,9 | 77,5 | 78,5 | 79,6 | 80,6 | 81,7 | 82,7 | 83,8 | 84,8 | 85,9 | 86,9 |
5,0 | 79,6 | 80,6 | 81,7 | 82,8 | 83,8 | 84,9 | 86,0 | 87,0 | 88,1 | 89,2 |
5,1 | 81,7 | 82,8 | 83,9 | 84,9 | 86,0 | 87,1 | 88,2 | 89,3 | 90,4 | 91,5 |
5,2 | - | 84,9 | 86,0 | 87,1 | 88,2 | 89,3 | 90,4 | 91,6 | 92,7 | 93,8 |
5,3 | - | - | 88,2 | 89,4 | 90,5 | 91,6 | 92,7 | 93,8 | 95,0 | 96,1 |
5,4 | - | - | - | 91,6 | 92,7 | 93,9 | 95,0 | 96,2 | 97,3 | 98,5 |
5,5 | - | - | - | - | 95,0 | 96,2 | 97,3 | 98,5 | 99,7 | 100,8 |
5,6 | - | - | - | - | - | 98,5 | 99,7 | 100,9 | 102,1 | 103,2 |
5,7 | - | - | - | - | - | - | 102,1 | 103,3 | 104,5 | 105,7 |
5,8 | - | - | - | - | - | - | - | 105,7 | 106,9 | 108,1 |
5,9 | - | - | - | - | - | - | - | - | 109,4 | 110,6 |
6,0 | - | - | - | - | - | - | - | - | - | 113,1 |
Продолжение таблицы 1
В миллиметрах
Ширина b | Длина l |
6,1 | 6,2 | 6,3 | 6,4 | 6,5 | 6,6 | 6,7 | 6,8 | 6,9 | 7,0 |
1,5 | 23,1 | 23,5 | 23,9 | 24,2 | 24,6 | 25,0 | 25,3 | 25,7 | 26,0 | 26,4 |
1,6 | 24,8 | 25,1 | 25,5 | 25,9 | 26,3 | 26,7 | 27,1 | 27,5 | 27,9 | 28,2 |
1,7 | 26,4 | 26,8 | 27,2 | 27,6 | 28,0 | 28,4 | 28,8 | 29,3 | 29,7 | 30,1 |
1,8 | 28,0 | 28,5 | 28,9 | 29,3 | 29,8 | 30,2 | 30,6 | 31,1 | 31,5 | 31,9 |
1,9 | 29,7 | 30,2 | 30,6 | 31,1 | 31,5 | 32,0 | 32,4 | 32,9 | 33,3 | 33,8 |
2,0 | 31,4 | 31,8 | 32,3 | 32,8 | 33,3 | 33,8 | 34,2 | 34,7 | 35,2 | 35,7 |
2,1 | 33,1 | 33,6 | 34,1 | 34,6 | 35,1 | 35,6 | 36,1 | 36,6 | 37,1 | 37,6 |
2,2 | 34,8 | 35,3 | 35,8 | 36,3 | 36,9 | 37,4 | 37,9 | 38,4 | 39,0 | 39,5 |
2,3 | 36,5 | 37,0 | 37,6 | 38,1 | 38,7 | 39,2 | 39,8 | 40,3 | 40,9 | 41,4 |
2,4 | 38,2 | 38,8 | 39,4 | 39,9 | 40,5 | 41,1 | 41,6 | 42,2 | 42,8 | 43,3 |
2,5 | 40,0 | 40,6 | 41,2 | 41,7 | 42,3 | 42,9 | 43,5 | 44,1 | 44,7 | 45,3 |
2,6 | 41,8 | 42,4 | 43,0 | 43,6 | 44,2 | 44,8 | 45,4 | 46,0 | 46,7 | 47,3 |
2,7 | 43,5 | 44,2 | 44,8 | 45,4 | 46,1 | 46,7 | 47,3 | 48,0 | 48,6 | 49,3 |
2,8 | 45,3 | 46,0 | 46,7 | 47,3 | 48,0 | 48,6 | 49,3 | 49,9 | 50,6 | 51,3 |
2,9 | 47,2 | 47,8 | 48,5 | 49,2 | 49,9 | 50,6 | 51,2 | 51,9 | 52,6 | 53,3 |
3,0 | 49,0 | 49,7 | 50,4 | 51,1 | 51,8 | 52,5 | 53,2 | 53,9 | 54,6 | 55,3 |
3,1 | 50,9 | 51,6 | 52,3 | 53,0 | 53,8 | 54,5 | 55,2 | 55,9 | 56,6 | 57,4 |
3,2 | 52,8 | 53,5 | 54,2 | 55,0 | 55,7 | 56,5 | 57,2 | 58,0 | 58,7 | 59,4 |
3,3 | 54,7 | 55,4 | 56,2 | 56,9 | 57,7 | 58,5 | 59,2 | 60,0 | 60,8 | 61,5 |
3,4 | 56,6 | 57,4 | 58,2 | 58,9 | 59,7 | 60,5 | 61,3 | 62,1 | 62,9 | 63,6 |
3,5 | 58,5 | 59,3 | 60,1 | 60,9 | 61,7 | 62,5 | 63,4 | 64,2 | 65,0 | 65,8 |
3,6 | 60,5 | 61,3 | 62,1 | 63,0 | 63,8 | 64,6 | 65,4 | 66,3 | 67,1 | 67,9 |
3,7 | 62,5 | 63,3 | 64,2 | 65,0 | 65,9 | 66,7 | 67,5 | 68,4 | 69,2 | 70,1 |
3,8 | 64,5 | 65,4 | 66,2 | 67,1 | 67,9 | 68,8 | 69,7 | 70,5 | 71,4 | 72,3 |
3,9 | 66,5 | 67,4 | 68,3 | 69,2 | 70,0 | 70,9 | 71,8 | 72,7 | 73,6 | 74,5 |
4,0 | 68,6 | 69,5 | 70,4 | 71,3 | 72,2 | 73,1 | 74,0 | 74,9 | 75,8 | 76,7 |
4,1 | 70,6 | 71,6 | 72,5 | 73,4 | 74,3 | 75,2 | 76,2 | 77,1 | 78,0 | 79,0 |
4,2 | 72,7 | 73,7 | 74,6 | 75,5 | 76,5 | 77,4 | 78,4 | 79,3 | 80,3 | 81,2 |
4,3 | 74,8 | 75,8 | 76,8 | 77,7 | 78,7 | 79,6 | 80,6 | 81,6 | 82,6 | 83,5 |
4,4 | 77,0 | 78,0 | 78,9 | 79,9 | 80,9 | 81,9 | 82,9 | 83,9 | 84,8 | 85,8 |
4,5 | 79,1 | 80,1 | 81,1 | 82,1 | 83,1 | 84,1 | 85,1 | 86,2 | 87,2 | 88,2 |
4,6 | 81,3 | 82,3 | 83,4 | 84,4 | 85,4 | 86,4 | 87,4 | 88,5 | 89,5 | 90,5 |
4,7 | 83,5 | 84,6 | 85,6 | 86,6 | 87,7 | 88,7 | 89,8 | 90,8 | 91,9 | 92,9 |
4,8 | 85,8 | 86,8 | 87,9 | 88,9 | 90,0 | 91,0 | 92,1 | 93,2 | 94,2 | 95,3 |
4,9 | 88,0 | 89,1 | 90,1 | 91,2 | 92,3 | 93,4 | 94,5 | 95,5 | 96,6 | 97,7 |
5,0 | 90,3 | 91,4 | 92,5 | 93,6 | 94,6 | 95,7 | 96,8 | 98,0 | 99,1 | 100,2 |
5,1 | 92,6 | 93,7 | 94,8 | 95,9 | 97,0 | 98,1 | 99,3 | 100,4 | 101,5 | 102,6 |
5,2 | 94,9 | 96,0 | 97,2 | 98,3 | 99,4 | 100,5 | 101,7 | 102,8 | 104,0 | 105,1 |
5,3 | 97,2 | 98,4 | 99,5 | 100,7 | 101,8 | 103,0 | 104,1 | 105,3 | 106,5 | 107,6 |
5,4 | 99,6 | 100,8 | 101,9 | 103,1 | 104,3 | 105,4 | 106,6 | 107,8 | 109,0 | 110,2 |
5,5 | 102,0 | 103,2 | 104,4 | 105,6 | 106,7 | 107,9 | 109,1 | 110,3 | 111,5 | 112,7 |
5,6 | 104,4 | 105,6 | 106,8 | 108,0 | 109,2 | 110,4 | 111,6 | 112,9 | 114,1 | 115,3 |
5,7 | 106,9 | 108,1 | 109,3 | 110,5 | 111,7 | 113,0 | 114,2 | 115,4 | 116,7 | 117,9 |
5,8 | 109,3 | 110,6 | 111,8 | 113,0 | 114,3 | 115,5 | 116,8 | 118,0 | 119,3 | 120,5 |
5,9 | 111,8 | 113,1 | 114,3 | 115,6 | 116,8 | 118,1 | 119,4 | 120,6 | 121,9 | 123,2 |
6,0 | 114,4 | 115,6 | 116,9 | 118,2 | 119,4 | 120,7 | 122,0 | 123,3 | 124,6 | 125,9 |
Продолжение таблицы 1
В миллиметрах
Ширина b | Длина l |
7,1 | 7,2 | 7,3 | 7,4 | 7,5 | 7,6 | 7,7 | 7,8 | 7,9 | 8,0 |
1,5 | - | - | - | - | - | - | - | - | - | - |
1,6 | - | - | - | - | - | - | - | - | - | - |
1,7 | - | - | - | - | - | - | - | - | - | - |
1,8 | 32,4 | 32,8 | - | - | - | - | - | - | - | - |
1,9 | 34,3 | 34,7 | 35,2 | 35,6 | 36,1 | 36,5 | - | - | - | - |
2,0 | 36,2 | 36,6 | 37,1 | 37,6 | 38,1 | 38,6 | 39,0 | 39,5 | 40,0 | 40,5 |
2,1 | 38,1 | 38,6 | 39,1 | 39,6 | 40,1 | 40,6 | 41,1 | 41,6 | 42,1 | 42,6 |
2,2 | 40,0 | 40,5 | 41,1 | 41,6 | 42,1 | 42,6 | 43,2 | 43,7 | 44,2 | 44,8 |
2,3 | 42,0 | 42,5 | 43,1 | 43,6 | 44,2 | 44,7 | 45,3 | 45,8 | 46,4 | 46,9 |
2,4 | 43,9 | 44,5 | 45,1 | 45,6 | 46,2 | 46,8 | 47,4 | 47,9 | 48,5 | 49,1 |
2,5 | 45,9 | 46,5 | 47,1 | 47,7 | 48,3 | 48,9 | 49,5 | 50,1 | 50,7 | 51,3 |
2,6 | 47,9 | 48,5 | 49,1 | 49,7 | 50,4 | 51,0 | 51,6 | 52,2 | 52,8 | 53,4 |
2,7 | 49,9 | 50,5 | 51,2 | 51,8 | 52,4 | 53,1 | 53,7 | 54,4 | 55,0 | 55,7 |
2,8 | 51,9 | 52,6 | 53,2 | 53,9 | 54,6 | 55,2 | 55,9 | 56,6 | 57,2 | 57,9 |
2,9 | 54,0 | 54,6 | 55,3 | 56,0 | 56,7 | 57,4 | 58,1 | 58,8 | 59,4 | 60,1 |
3,0 | 56,0 | 56,7 | 57,4 | 58,1 | 58,8 | 59,5 | 60,3 | 61,0 | 61,7 | 62,4 |
3,1 | 58,1 | 58,8 | 59,5 | 60,3 | 61,0 | 61,7 | 62,5 | 63,2 | 63,9 | 64,7 |
3,2 | 60,2 | 60,9 | 61,7 | 62,4 | 63,2 | 63,9 | 64,7 | 65,4 | 66,2 | 66,9 |
3,3 | 62,3 | 63,1 | 63,8 | 64,6 | 65,4 | 66,2 | 66,9 | 67,7 | 68,5 | 69,3 |
3,4 | 64,4 | 65,2 | 66,0 | 66,8 | 67,6 | 68,4 | 69,2 | 70,0 | 70,8 | 71,6 |
3,5 | 66,6 | 67,4 | 68,2 | 69,0 | 69,8 | 70,7 | 71,5 | 72,3 | 73,1 | 73,9 |
3,6 | 68,8 | 69,6 | 70,4 | 71,3 | 72,1 | 72,9 | 73,8 | 74,6 | 75,4 | 76,3 |
3,7 | 70,9 | 71,8 | 72,7 | 73,5 | 74,4 | 75,2 | 76,1 | 76,9 | 77,8 | 78,7 |
3,8 | 73,2 | 74,0 | 74,9 | 75,8 | 76,7 | 77,5 | 78,4 | 79,3 | 80,2 | 81,1 |
3,9 | 75,4 | 76,3 | 77,2 | 78,1 | 79,0 | 79,9 | 80,8 | 81,7 | 82,6 | 83,5 |
4,0 | 77,6 | 78,5 | 79,5 | 80,4 | 81,3 | 82,2 | 83,1 | 84,1 | 85,0 | 85,9 |
4,1 | 79,9 | 80,8 | 81,8 | 82,7 | 83,7 | 84,6 | 85,5 | 86,5 | 87,4 | 88,4 |
4,2 | 82,2 | 83,1 | 84,1 | 85,1 | 86,0 | 87,0 | 87,9 | 88,9 | 89,9 | 90,8 |
4,3 | 84,5 | 85,5 | 86,5 | 87,4 | 88,4 | 89,4 | 90,4 | 91,4 | 92,3 | 93,3 |
4,4 | 86,8 | 87,8 | 88,8 | 89,8 | 90,8 | 91,8 | 92,8 | 93,8 | 94,8 | 95,8 |
4,5 | 89,2 | 90,2 | 91,2 | 92,2 | 93,3 | 94,3 | 95,3 | 96,3 | 97,4 | 98,4 |
4,6 | 91,6 | 92,6 | 93,6 | 94,7 | 95,7 | 96,8 | 97,8 | 98,8 | 99,9 | 100,9 |
4,7 | 94,0 | 95,0 | 96,1 | 97,1 | 98,2 | 99,2 | 100,3 | 101,4 | 102,4 | 103,5 |
4,8 | 96,4 | 97,4 | 98,5 | 99,6 | 100,7 | 101,8 | 102,8 | 103,9 | 105,0 | 106,1 |
4,9 | 98,8 | 99,9 | 101,0 | 102,1 | 103,2 | 104,3 | 105,4 | 106,5 | 107,6 | 108,7 |
5,0 | 101,3 | 102,4 | 103,5 | 104,6 | 105,7 | 106,9 | 108,0 | 109,1 | 110,2 | 111,4 |
5,1 | 103,8 | 104,9 | 106,0 | 107,2 | 108,3 | 109,4 | 110,6 | 111,7 | 112,9 | 114,0 |
5,2 | 106,3 | 107,4 | 108,6 | 109,7 | 110,9 | 112,0 | 113,2 | 114,4 | 115,5 | 116,7 |
5,3 | 108,8 | 110,0 | 111,1 | 112,3 | 113,5 | 114,7 | 115,8 | 117,0 | 118,2 | 119,4 |
5,4 | 111,3 | 112,5 | 113,7 | 114,9 | 116,1 | 117,3 | 118,5 | 119,7 | 120,9 | 122,1 |
5,5 | 113,9 | 115,1 | 116,3 | 117,5 | 118,8 | 120,0 | 121,2 | 122,4 | 123,6 | 124,9 |
5,6 | 116,5 | 117,7 | 119,0 | 120,2 | 121,4 | 122,7 | 123,9 | 125,1 | 126,4 | 127,6 |
5,7 | 119,1 | 120,4 | 121,6 | 122,9 | 124,1 | 125,4 | 126,6 | 127,9 | 129,2 | 130,4 |
5,8 | 121,8 | 123,0 | 124,3 | 125,6 | 126,8 | 128,1 | 129,4 | 130,7 | 132,0 | 133,2 |
5,9 | 124,5 | 125,7 | 127,0 | 128,3 | 129,6 | 130,9 | 132,2 | 133,5 | 134,8 | 136,1 |
6,0 | 127,1 | 128,4 | 129,7 | 131,0 | 132,4 | 133,7 | 135,0 | 136,3 | 137,6 | 138,9 |
Продолжение таблицы 1
В миллиметрах
Ширина b | Длина l |
8,1 | 8,2 | 8,3 | 8,4 | 8,5 | 8,6 | 8,7 | 8,8 | 8,9 | 9,0 |
1,5 | - | - | - | - | - | - | - | - | - | - |
1,6 | - | - | - | - | - | - | - | - | - | - |
1,7 | - | - | - | - | - | - | - | - | - | - |
1,8 | - | - | - | - | - | - | - | - | - | - |
1,9 | - | - | - | - | - | - | - | - | - | - |
2,0 | - | - | - | - | - | - | - | - | - | - |
2,1 | 43,1 | 43,6 | 44,1 | 44,6 | - | - | - | - | - | - |
2,2 | 45,3 | 45,8 | 46,3 | 46,9 | 47,4 | 47,9 | 48,5 | 49,0 | - | - |
2,3 | 47,5 | 48,0 | 48,6 | 49,1 | 49,7 | 50,2 | 50,8 | 51,3 | 51,9 | 52,4 |
2,4 | 49,7 | 50,2 | 50,8 | 51,4 | 52,0 | 52,5 | 53,1 | 53,7 | 54,3 | 54,8 |
2,5 | 51,9 | 52,5 | 53,1 | 53,6 | 54,2 | 54,8 | 55,4 | 56,0 | 56,7 | 57,3 |
2,6 | 54,1 | 54,7 | 55,3 | 55,9 | 56,6 | 57,2 | 57,8 | 58,4 | 59,1 | 59,7 |
2,7 | 56,3 | 56,9 | 57,6 | 58,2 | 58,9 | 59,5 | 60,2 | 60,8 | 61,5 | 62,1 |
2,8 | 58,6 | 59,2 | 59,9 | 60,6 | 61,2 | 61,9 | 62,6 | 63,2 | 63,9 | 64,6 |
2,9 | 60,8 | 61,5 | 62,2 | 62,9 | 63,6 | 64,3 | 65,0 | 65,6 | 66,3 | 67,0 |
3,0 | 63,1 | 63,8 | 64,5 | 65,2 | 65,9 | 66,7 | 67,4 | 68,1 | 68,8 | 69,5 |
3,1 | 65,4 | 66,1 | 66,9 | 67,6 | 68,3 | 69,1 | 69,8 | 70,5 | 71,3 | 72,0 |
3,2 | 67,7 | 68,5 | 69,2 | 70,0 | 70,7 | 71,5 | 72,2 | 73,0 | 73,8 | 74,5 |
3,3 | 70,0 | 70,8 | 71,6 | 72,4 | 73,1 | 73,9 | 74,7 | 75,5 | 76,3 | 77,0 |
3,4 | 72,4 | 73,2 | 74,0 | 74,8 | 75,6 | 76,4 | 77,2 | 78,0 | 78,8 | 79,6 |
3,5 | 74,7 | 75,6 | 76,4 | 77,2 | 78,0 | 78,9 | 79,7 | 80,5 | 81,3 | 82,2 |
3,6 | 77,1 | 78,0 | 78,8 | 79,7 | 80,5 | 81,3 | 82,2 | 83,0 | 83,9 | 84,7 |
3,7 | 79,5 | 80,4 | 81,3 | 82,1 | 83,0 | 83,9 | 84,7 | 85,6 | 86,5 | 87,3 |
3,8 | 81,9 | 82,8 | 83,7 | 84,6 | 85,5 | 86,4 | 87,3 | 88,2 | 89,0 | 89,9 |
3,9 | 84,4 | 85,3 | 86,2 | 87,1 | 88,0 | 88,9 | 89,8 | 90,7 | 91,7 | 92,6 |
4,0 | 86,8 | 87,8 | 88,7 | 89,6 | 90,6 | 91,5 | 92,4 | 93,3 | 94,3 | 95,2 |
4,1 | 89,3 | 90,3 | 91,2 | 92,2 | 93,1 | 94,1 | 95,0 | 96,0 | 96,9 | 97,9 |
4,2 | 91,8 | 92,8 | 93,7 | 94,7 | 95,7 | 96,7 | 97,6 | 98,6 | 99,6 | 100,6 |
4,3 | 94,3 | 95,3 | 96,3 | 97,3 | 98,3 | 99,3 | 100,3 | 101,3 | 102,3 | 103,3 |
4,4 | 96,9 | 97,9 | 98,9 | 99,9 | 100,9 | 101,9 | 102,9 | 104,0 | 105,0 | 106,0 |
4,5 | 99,4 | 100,4 | 101,5 | 102,5 | 103,5 | 104,6 | 105,6 | 106,7 | 107,7 | 108,7 |
4,6 | 102,0 | 103,0 | 104,1 | 105,1 | 106,2 | 107,3 | 108,3 | 109,4 | 110,4 | 111,5 |
4,7 | 104,6 | 105,7 | 106,7 | 107,8 | 108,9 | 110,0 | 111,0 | 112,1 | 113,2 | 114,3 |
4,8 | 107,2 | 108,3 | 109,4 | 110,5 | 111,6 | 112,7 | 113,8 | 114,9 | 116,0 | 117,1 |
4,9 | 109,8 | 110,9 | 112,1 | 113,2 | 114,3 | 115,4 | 116,5 | 117,6 | 118,8 | 119,9 |
5,0 | 112,5 | 113,6 | 114,8 | 115,9 | 117,0 | 118,2 | 119,3 | 120,4 | 121,6 | 122,7 |
5,1 | 115,2 | 116,3 | 117,5 | 118,6 | 119,8 | 120,9 | 122,1 | 123,3 | 124,4 | 125,6 |
5,2 | 117,9 | 119,0 | 120,2 | 121,4 | 122,6 | 123,7 | 124,9 | 126,1 | 127,3 | 128,5 |
5,3 | 120,6 | 121,8 | 123,0 | 124,2 | 125,4 | 126,6 | 127,8 | 129,0 | 130,2 | 131,4 |
5,4 | 123,3 | 124,5 | 125,8 | 127,0 | 128,2 | 129,4 | 130,6 | 131,8 | 133,1 | 134,3 |
5,5 | 126,1 | 127,3 | 128,6 | 129,8 | 131,0 | 132,3 | 133,5 | 134,7 | 136,0 | 137,2 |
5,6 | 128,9 | 130,1 | 131,4 | 132,6 | 133,9 | 135,1 | 136,4 | 137,7 | 138,9 | 140,2 |
5,7 | 131,7 | 133,0 | 134,2 | 135,5 | 136,8 | 138,1 | 139,3 | 140,6 | 141,9 | 143,2 |
5,8 | 134,5 | 135,8 | 137,1 | 138,4 | 139,7 | 141,0 | 142,3 | 143,6 | 144,9 | 146,2 |
5,9 | 137,4 | 138,7 | 140,0 | 141,3 | 142,6 | 143,9 | 145,2 | 146,6 | 147,9 | 149,2 |
6,0 | 140,3 | 141,6 | 142,9 | 144,2 | 145,6 | 146,9 | 148,2 | 149,6 | 150,9 | 152,3 |
Продолжение таблицы 1
В миллиметрах
Ширина b | Длина l |
9,1 | 9,2 | 9,3 | 9,4 | 9,5 | 9,6 | 9,7 | 9,8 | 9,9 | 10,0 |
1,5 | - | - | - | - | - | - | - | - | - | - |
1,6 | - | - | - | - | - | - | - | - | - | - |
1,7 | - | - | - | - | - | - | - | - | - | - |
1,8 | - | - | - | - | - | - | - | - | - | - |
1,9 | - | - | - | - | - | - | - | - | - | - |
2,0 | - | - | - | - | - | - | - | - | - | - |
2,1 | - | - | - | - | - | - | - | - | - | - |
2,2 | - | - | - | - | - | - | - | - | - | - |
2,3 | 53,0 | 53,6 | - | - | - | - | - | - | - | - |
2,4 | 55,4 | 56,0 | 56,6 | 57,2 | 57,7 | 58,3 | - | - | - | - |
2,5 | 57,9 | 58,5 | 59,1 | 59,7 | 60,3 | 60,9 | 61,5 | 62,1 | 62,7 | 63,3 |
2,6 | 60,3 | 60,9 | 61,5 | 62,2 | 62,8 | 63,4 | 64,1 | 64,7 | 65,3 | 65,9 |
2,7 | 62,8 | 63,4 | 64,1 | 64,7 | 65,4 | 66,0 | 66,6 | 67,3 | 67,9 | 68,6 |
2,8 | 65,2 | 65,9 | 66,6 | 67,2 | 67,9 | 68,6 | 69,3 | 69,9 | 70,6 | 71,3 |
2,9 | 67,7 | 68,4 | 69,1 | 69,8 | 70,5 | 71,2 | 71,9 | 72,6 | 73,3 | 74,0 |
3,0 | 70,2 | 70,9 | 71,7 | 72,4 | 73,1 | 73,8 | 74,5 | 75,2 | 76,0 | 76,7 |
3,1 | 72,7 | 73,5 | 74,2 | 75,0 | 75,7 | 76,4 | 77,2 | 77,9 | 78,7 | 79,4 |
3,2 | 75,3 | 76,0 | 76,8 | 77,6 | 78,3 | 79,1 | 79,8 | 80,6 | 81,4 | 82,1 |
3,3 | 77,8 | 78,6 | 79,4 | 80,2 | 81,0 | 81,7 | 82,5 | 83,3 | 84,1 | 84,9 |
3,4 | 80,4 | 81,2 | 82,0 | 82,8 | 83,6 | 84,4 | 85,2 | 86,0 | 86,9 | 87,7 |
3,5 | 83,0 | 83,8 | 84,6 | 85,5 | 86,3 | 87,1 | 88,0 | 88,8 | 89,6 | 90,4 |
3,6 | 85,6 | 86,4 | 87,3 | 88,1 | 89,0 | 89,8 | 90,7 | 91,5 | 92,4 | 93,2 |
3,7 | 88,2 | 89,1 | 89,9 | 90,8 | 91,7 | 92,6 | 93,4 | 94,3 | 95,2 | 96,1 |
3,8 | 90,8 | 91,7 | 92,6 | 93,5 | 94,4 | 95,3 | 96,2 | 97,1 | 98,0 | 98,9 |
3,9 | 93,5 | 94,4 | 95,3 | 96,2 | 97,1 | 98,1 | 99,0 | 99,9 | 100,8 | 101,7 |
4,0 | 96,2 | 97,1 | 98,0 | 99,0 | 99,9 | 100,8 | 101,8 | 102,7 | 103,7 | 104,6 |
4,1 | 98,8 | 99,8 | 100,8 | 101,7 | 102,7 | 103,6 | 104,6 | 105,6 | 106,5 | 107,5 |
4,2 | 101,5 | 102,5 | 103,5 | 104,5 | 105,5 | 106,4 | 107,4 | 108,4 | 109,4 | 110,4 |
4,3 | 104,3 | 105,3 | 106,3 | 107,3 | 108,3 | 109,3 | 110,3 | 111,3 | 112,3 | 113,3 |
4,4 | 107,0 | 108,0 | 109,1 | 110,1 | 111,1 | 112,1 | 113,2 | 114,2 | 115,2 | 116,2 |
4,5 | 109,8 | 110,8 | 111,9 | 112,9 | 114,0 | 115,0 | 116,0 | 117,1 | 118,1 | 119,2 |
4,6 | 112,6 | 113,6 | 114,7 | 115,7 | 116,8 | 117,9 | 119,0 | 120,0 | 121,1 | 122,2 |
4,7 | 115,4 | 116,4 | 117,5 | 118,6 | 119,7 | 120,8 | 121,9 | 123,0 | 124,1 | 125,2 |
4,8 | 118,2 | 119,3 | 120,4 | 121,5 | 122,6 | 123,7 | 124,8 | 125,9 | 127,0 | 128,2 |
4,9 | 121,0 | 122,1 | 123,3 | 124,4 | 125,5 | 126,7 | 127,8 | 128,9 | 130,1 | 131,2 |
5,0 | 123,9 | 125,0 | 126,2 | 127,3 | 128,5 | 129,6 | 130,8 | 131,9 | 133,1 | 134,2 |
5,1 | 126,8 | 127,9 | 129,1 | 130,3 | 131,4 | 132,6 | 133,8 | 135,0 | 136,1 | 137,3 |
5,2 | 129,7 | 130,8 | 132,0 | 133,2 | 134,4 | 135,6 | 136,8 | 138,0 | 139,2 | 140,4 |
5,3 | 132,6 | 133,8 | 135,0 | 136,2 | 137,4 | 138,6 | 139,8 | 141,1 | 142,3 | 143,5 |
5,4 | 135,5 | 136,7 | 138,0 | 139,2 | 140,4 | 141,7 | 142,9 | 144,1 | 145,4 | 146,6 |
5,5 | 138,5 | 139,7 | 141,0 | 142,2 | 143,5 | 144,7 | 146,0 | 147,2 | 148,5 | 149,8 |
5,6 | 141,5 | 142,7 | 144,0 | 145,3 | 146,5 | 147,8 | 149,1 | 150,4 | 151,6 | 152,9 |
5,7 | 144,5 | 145,8 | 147,0 | 148,3 | 149,6 | 150,9 | 152,2 | 153,5 | 154,8 | 156,1 |
5,8 | 147,5 | 148,8 | 150,1 | 151,4 | 152,7 | 154,0 | 155,4 | 156,7 | 158,0 | 159,3 |
5,9 | 150,5 | 151,9 | 153,2 | 154,5 | 155,9 | 157,2 | 158,5 | 159,9 | 161,2 | 162,5 |
6,0 | 153,6 | 155,0 | 156,3 | 157,7 | 159,0 | 160,4 | 161,7 | 163,1 | 164,4 | 165,8 |
(справочное)
Таблица 1
Площадь поверхности семян ячменя (мм2)
в зависимости от их длины и ширины
В миллиметрах
Ширина b | Длина l |
3,1 | 3,2 | 3,3 | 3,4 | 3,5 | 3,6 | 3,7 | 3,8 | 3,9 | 4,0 |
1,5 | 10,9 | 11,2 | 11,5 | 11,8 | 12,1 | 12,5 | 12,8 | 13,1 | 13,4 | 13,7 |
1,6 | 11,7 | 12,1 | 12,4 | 12,7 | 13,0 | 13,4 | 13,7 | 14,0 | 14,4 | 14,7 |
1,7 | 12,6 | 12,9 | 13,3 | 13,6 | 14,0 | 14,3 | 14,7 | 15,0 | 15,4 | 15,7 |
1,8 | 13,5 | 13,8 | 14,2 | 14,5 | 14,9 | 15,3 | 15,6 | 16,0 | 16,4 | 16,7 |
1,9 | 14,3 | 14,7 | 15,1 | 15,5 | 15,9 | 16,3 | 16,6 | 17,0 | 17,4 | 17,8 |
2,0 | 15,2 | 15,6 | 16,0 | 16,4 | 16,8 | 17,2 | 17,6 | 18,0 | 18,5 | 18,9 |
2,1 | 16,2 | 16,6 | 17,0 | 17,4 | 17,8 | 18,3 | 18,7 | 19,1 | 19,5 | 19,9 |
2,2 | 17,1 | 17,5 | 18,0 | 18,4 | 18,8 | 19,3 | 19,7 | 20,2 | 20,6 | 21,0 |
2,3 | 18,1 | 18,5 | 19,0 | 19,4 | 19,9 | 20,3 | 20,8 | 21,2 | 21,7 | 22,2 |
2,4 | 19,1 | 19,5 | 20,0 | 20,5 | 20,9 | 21,4 | 21,9 | 22,3 | 22,8 | 23,3 |
2,5 | 20,1 | 20,5 | 21,0 | 21,5 | 22,0 | 22,5 | 23,0 | 23,5 | 23,9 | 24,4 |
2,6 | 21,1 | 21,6 | 22,1 | 22,6 | 23,1 | 23,6 | 24,1 | 24,6 | 25,1 | 25,6 |
2,7 | 22,1 | 22,6 | 23,1 | 23,7 | 24,2 | 24,7 | 25,2 | 25,8 | 26,3 | 26,8 |
2,8 | 23,2 | 23,7 | 24,2 | 24,8 | 25,3 | 25,8 | 26,4 | 26,9 | 27,5 | 28,0 |
2,9 | 24,3 | 24,8 | 25,4 | 25,9 | 26,5 | 27,0 | 27,6 | 28,1 | 28,7 | 29,2 |
3,0 | 25,4 | 25,9 | 26,5 | 27,1 | 27,6 | 28,2 | 28,8 | 29,3 | 29,9 | 30,5 |
3,1 | 26,5 | 27,1 | 27,7 | 28,2 | 28,8 | 29,4 | 30,0 | 30,6 | 31,2 | 31,8 |
3,2 | - | 28,2 | 28,8 | 29,4 | 30,0 | 30,6 | 31,2 | 31,8 | 32,4 | 33,1 |
3,3 | - | - | 30,0 | 30,6 | 31,3 | 31,9 | 32,5 | 33,1 | 33,7 | 34,4 |
3,4 | - | - | - | 31,9 | 32,5 | 33,1 | 33,8 | 34,4 | 35,1 | 35,7 |
3,5 | - | - | - | - | 33,8 | 34,4 | 35,1 | 35,7 | 36,4 | 37,1 |
3,6 | - | - | - | - | - | 35,7 | 36,4 | 37,1 | 37,8 | 38,4 |
3,7 | - | - | - | - | - | - | 37,8 | 38,4 | 39,1 | 39,8 |
3,8 | - | - | - | - | - | - | - | 39,8 | 40,5 | 41,2 |
3,9 | - | - | - | - | - | - | - | - | 42,0 | 42,7 |
4,0 | - | - | - | - | - | - | - | - | - | 44,1 |
4,1 | - | - | - | - | - | - | - | - | - | - |
4,2 | - | - | - | - | - | - | - | - | - | - |
4,3 | - | - | - | - | - | - | - | - | - | - |
4,4 | - | - | - | - | - | - | - | - | - | - |
4,5 | - | - | - | - | - | - | - | - | - | - |
4,6 | - | - | - | - | - | - | - | - | - | - |
4,7 | - | - | - | - | - | - | - | - | - | - |
4,8 | - | - | - | - | - | - | - | - | - | - |
4,9 | - | - | - | - | - | - | - | - | - | - |
5,0 | - | - | - | - | - | - | - | - | - | - |
5,1 | - | - | - | - | - | - | - | - | - | - |
5,2 | - | - | - | - | - | - | - | - | - | - |
5,3 | - | - | - | - | - | - | - | - | - | - |
5,4 | - | - | - | - | - | - | - | - | - | - |
5,5 | - | - | - | - | - | - | - | - | - | - |
5,6 | - | - | - | - | - | - | - | - | - | - |
5,7 | - | - | - | - | - | - | - | - | - | - |
5,8 | - | - | - | - | - | - | - | - | - | - |
5,9 | - | - | - | - | - | - | - | - | - | - |
6,0 | - | - | - | - | - | - | - | - | - | - |
Продолжение таблицы 1
В миллиметрах
Ширина b | Длина l |
4,1 | 4,2 | 4,3 | 4,4 | 4,5 | 4,6 | 4,7 | 4,8 | 4,9 | 5,0 |
1,5 | 14,0 | 14,3 | 14,6 | 14,9 | 15,3 | 15,6 | 15,9 | 16,2 | 16,5 | 16,8 |
1,6 | 15,0 | 15,4 | 15,7 | 16,0 | 16,4 | 16,7 | 17,0 | 17,4 | 17,7 | 18,0 |
1,7 | 16,1 | 16,4 | 16,8 | 17,1 | 17,5 | 17,8 | 18,2 | 18,5 | 18,9 | 19,2 |
1,8 | 17,1 | 17,5 | 17,9 | 18,2 | 18,6 | 19,0 | 19,3 | 19,7 | 20,1 | 20,5 |
1,9 | 18,2 | 18,6 | 19,0 | 19,4 | 19,7 | 20,1 | 20,5 | 20,9 | 21,3 | 21,7 |
2,0 | 19,3 | 19,7 | 20,1 | 20,5 | 20,9 | 21,3 | 21,7 | 22,1 | 22,5 | 23,0 |
2,1 | 20,4 | 20,8 | 21,2 | 21,6 | 22,1 | 22,5 | 22,9 | 23,4 | 23,8 | 24,2 |
2,2 | 21,5 | 21,9 | 22,4 | 22,8 | 23,3 | 23,7 | 24,2 | 24,6 | 25,1 | 25,5 |
2,3 | 22,6 | 23,1 | 23,5 | 24,0 | 24,5 | 24,9 | 25,4 | 25,9 | 26,3 | 26,8 |
2,4 | 23,8 | 24,3 | 24,7 | 25,2 | 25,7 | 26,2 | 26,7 | 27,2 | 27,6 | 28,1 |
2,5 | 24,9 | 25,4 | 25,9 | 26,4 | 26,9 | 27,4 | 27,9 | 28,5 | 29,0 | 29,5 |
2,6 | 26,1 | 26,6 | 27,2 | 27,7 | 28,2 | 28,7 | 29,2 | 29,8 | 30,3 | 30,8 |
2,7 | 27,3 | 27,9 | 28,4 | 28,9 | 29,5 | 30,0 | 30,6 | 31,1 | 31,6 | 32,2 |
2,8 | 28,6 | 29,1 | 29,7 | 30,2 | 30,8 | 31,3 | 31,9 | 32,4 | 33,0 | 33,6 |
2,9 | 29,8 | 30,4 | 30,9 | 31,5 | 32,1 | 32,7 | 33,2 | 33,8 | 34,4 | 35,0 |
3,0 | 31,1 | 31,7 | 32,2 | 32,8 | 33,4 | 34,0 | 34,6 | 35,2 | 35,8 | 36,4 |
3,1 | 32,4 | 33,0 | 33,6 | 34,2 | 34,8 | 35,4 | 36,0 | 36,6 | 37,2 | 37,8 |
3,2 | 33,7 | 34,3 | 34,9 | 35,5 | 36,1 | 36,8 | 37,4 | 38,0 | 38,7 | 39,3 |
3,3 | 35,0 | 35,6 | 36,3 | 36,9 | 37,5 | 38,2 | 38,8 | 39,5 | 40,1 | 40,8 |
3,4 | 36,3 | 37,0 | 37,6 | 38,3 | 39,0 | 39,6 | 40,3 | 40,9 | 41,6 | 42,3 |
3,5 | 37,7 | 38,4 | 39,0 | 39,7 | 40,4 | 41,1 | 41,7 | 42,4 | 43,1 | 43,8 |
3,6 | 39,1 | 39,8 | 40,5 | 41,1 | 41,8 | 42,5 | 43,2 | 43,9 | 44,6 | 45,3 |
3,7 | 40,5 | 41,2 | 41,9 | 42,6 | 43,3 | 44,0 | 44,7 | 45,4 | 46,2 | 46,9 |
3,8 | 41,9 | 42,7 | 43,4 | 44,1 | 44,8 | 45,5 | 46,3 | 47,0 | 47,7 | 48,4 |
3,9 | 43,4 | 44,1 | 44,9 | 45,6 | 46,3 | 47,1 | 47,8 | 48,5 | 49,3 | 50,0 |
4,0 | 44,9 | 45,6 | 46,4 | 47,1 | 47,9 | 48,6 | 49,4 | 50,1 | 50,9 | 51,7 |
4,1 | 46,4 | 47,1 | 47,9 | 48,6 | 49,4 | 50,2 | 51,0 | 51,7 | 52,5 | 53,3 |
4,2 | - | 48,7 | 49,4 | 50,2 | 51,0 | 51,8 | 52,6 | 53,4 | 54,1 | 54,9 |
4,3 | - | - | 51,0 | 51,8 | 52,6 | 53,4 | 54,2 | 55,0 | 55,8 | 56,6 |
4,4 | - | - | - | 53,4 | 54,2 | 55,0 | 55,8 | 56,7 | 57,5 | 58,3 |
4,5 | - | - | - | - | 55,9 | 56,7 | 57,5 | 58,4 | 59,2 | 60,0 |
4,6 | - | - | - | - | - | 58,4 | 59,2 | 60,1 | 60,9 | 61,8 |
4,7 | - | - | - | - | - | - | 60,9 | 61,8 | 62,7 | 63,5 |
4,8 | - | - | - | - | - | - | - | 63,6 | 64,4 | 65,3 |
4,9 | - | - | - | - | - | - | - | - | 66,2 | 67,1 |
5,0 | - | - | - | - | - | - | - | - | - | 69,0 |
5,1 | - | - | - | - | - | - | - | - | - | - |
5,2 | - | - | - | - | - | - | - | - | - | - |
5,3 | - | - | - | - | - | - | - | - | - | - |
5,4 | - | - | - | - | - | - | - | - | - | - |
5,5 | - | - | - | - | - | - | - | - | - | - |
5,6 | - | - | - | - | - | - | - | - | - | - |
5,7 | - | - | - | - | - | - | - | - | - | - |
5,8 | - | - | - | - | - | - | - | - | - | - |
5,9 | - | - | - | - | - | - | - | - | - | - |
6,0 | - | - | - | - | - | - | - | - | - | - |
Продолжение таблицы 1
В миллиметрах
Ширина b | Длина l |
5,1 | 5,2 | 5,3 | 5,4 | 5,5 | 5,6 | 5,7 | 5,8 | 5,9 | 6,0 |
1,5 | 17,1 | 17,5 | 17,8 | 18,1 | 18,4 | 18,7 | 19,0 | 19,4 | 19,7 | 20,0 |
1,6 | 18,4 | 18,7 | 19,0 | 19,4 | 19,7 | 20,1 | 20,4 | 20,7 | 21,1 | 21,4 |
1,7 | 19,6 | 20,0 | 20,3 | 20,7 | 21,0 | 21,4 | 21,7 | 22,1 | 22,5 | 22,8 |
1,8 | 20,8 | 21,2 | 21,6 | 22,0 | 22,3 | 22,7 | 23,1 | 23,5 | 23,9 | 24,2 |
1,9 | 22,1 | 22,5 | 22,9 | 23,3 | 23,7 | 24,1 | 24,5 | 24,9 | 25,3 | 25,7 |
2,0 | 23,4 | 23,8 | 24,2 | 24,6 | 25,0 | 25,5 | 25,9 | 26,3 | 26,7 | 27,1 |
2,1 | 24,7 | 25,1 | 25,5 | 26,0 | 26,4 | 26,8 | 27,3 | 27,7 | 28,2 | 28,6 |
2,2 | 26,0 | 26,4 | 26,9 | 27,3 | 27,8 | 28,2 | 28,7 | 29,2 | 29,6 | 30,1 |
2,3 | 27,3 | 27,8 | 28,2 | 28,7 | 29,2 | 29,7 | 30,1 | 30,6 | 31,1 | 31,6 |
2,4 | 28,6 | 29,1 | 29,6 | 30,1 | 30,6 | 31,1 | 31,6 | 32,1 | 32,6 | 33,1 |
2,5 | 30,0 | 30,5 | 31,0 | 31,5 | 32,0 | 32,5 | 33,0 | 33,6 | 34,1 | 34,6 |
2,6 | 31,3 | 31,9 | 32,4 | 32,9 | 33,5 | 34,0 | 34,5 | 35,1 | 35,6 | 36,1 |
2,7 | 32,7 | 33,3 | 33,8 | 34,4 | 34,9 | 35,5 | 36,0 | 36,6 | 37,1 | 37,7 |
2,8 | 34,1 | 34,7 | 35,3 | 35,8 | 36,4 | 37,0 | 37,5 | 38,1 | 38,7 | 39,2 |
2,9 | 35,6 | 36,1 | 36,7 | 37,3 | 37,9 | 38,5 | 39,1 | 39,7 | 40,2 | 40,8 |
3,0 | 37,0 | 37,6 | 38,2 | 38,8 | 39,4 | 40,0 | 40,6 | 41,2 | 41,8 | 42,4 |
3,1 | 38,4 | 39,1 | 39,7 | 40,3 | 40,9 | 41,5 | 42,2 | 42,8 | 43,4 | 44,1 |
3,2 | 39,9 | 40,6 | 41,2 | 41,8 | 42,5 | 43,1 | 43,8 | 44,4 | 45,0 | 45,7 |
3,3 | 41,4 | 42,1 | 42,7 | 43,4 | 44,0 | 44,7 | 45,4 | 46,0 | 46,7 | 47,3 |
3,4 | 42,9 | 43,6 | 44,3 | 44,9 | 45,6 | 46,3 | 47,0 | 47,6 | 48,3 | 49,0 |
3,5 | 44,5 | 45,1 | 45,8 | 46,5 | 47,2 | 47,9 | 48,6 | 49,3 | 50,0 | 50,7 |
3,6 | 46,0 | 46,7 | 47,4 | 48,1 | 48,8 | 49,5 | 50,3 | 51,0 | 51,7 | 52,4 |
3,7 | 47,6 | 48,3 | 49,0 | 49,8 | 50,5 | 51,2 | 51,9 | 52,7 | 53,4 | 54,1 |
3,8 | 49,2 | 49,9 | 50,7 | 51,4 | 52,1 | 52,9 | 53,6 | 54,4 | 55,1 | 55,9 |
3,9 | 50,8 | 51,5 | 52,3 | 53,1 | 53,8 | 54,6 | 55,3 | 56,1 | 56,9 | 57,6 |
4,0 | 52,4 | 53,2 | 54,0 | 54,7 | 55,5 | 56,3 | 57,1 | 57,8 | 58,6 | 59,4 |
4,1 | 54,1 | 54,9 | 55,6 | 56,4 | 57,2 | 58,0 | 58,8 | 59,6 | 60,4 | 61,2 |
4,2 | 55,7 | 56,5 | 57,3 | 58,2 | 59,0 | 59,8 | 60,6 | 61,4 | 62,2 | 63,0 |
4,3 | 57,4 | 58,3 | 59,1 | 59,9 | 60,7 | 61,5 | 62,4 | 63,2 | 64,0 | 64,9 |
4,4 | 59,1 | 60,0 | 60,8 | 61,7 | 62,5 | 63,3 | 64,2 | 65,0 | 65,9 | 66,7 |
4,5 | 60,9 | 61,7 | 62,6 | 63,4 | 64,3 | 65,2 | 66,0 | 66,9 | 67,7 | 68,6 |
4,6 | 62,6 | 63,5 | 64,4 | 65,2 | 66,1 | 67,0 | 67,9 | 68,7 | 69,6 | 70,5 |
4,7 | 64,4 | 65,3 | 66,2 | 67,1 | 68,0 | 68,8 | 69,7 | 70,6 | 71,5 | 72,4 |
4,8 | 66,2 | 67,1 | 68,0 | 68,9 | 69,8 | 70,7 | 71,6 | 72,5 | 73,5 | 74,4 |
4,9 | 68,0 | 68,9 | 69,9 | 70,8 | 71,7 | 72,6 | 73,5 | 74,5 | 75,4 | 76,3 |
5,0 | 69,9 | 70,8 | 71,7 | 72,7 | 73,6 | 74,5 | 75,5 | 76,4 | 77,4 | 78,3 |
5,1 | 71,7 | 72,7 | 73,6 | 74,6 | 75,5 | 76,5 | 77,4 | 78,4 | 79,4 | 80,3 |
5,2 | - | 74,6 | 75,5 | 76,5 | 77,5 | 78,4 | 79,4 | 80,4 | 81,4 | 82,3 |
5,3 | - | - | 77,5 | 78,5 | 79,4 | 80,4 | 81,4 | 82,4 | 83,4 | 84,4 |
5,4 | - | - | - | 80,4 | 81,4 | 82,4 | 83,4 | 84,4 | 85,4 | 86,5 |
5,5 | - | - | - | - | 83,4 | 84,5 | 85,5 | 86,5 | 87,5 | 88,5 |
5,6 | - | - | - | - | - | 86,5 | 87,5 | 88,6 | 89,6 | 90,7 |
5,7 | - | - | - | - | - | - | 89,6 | 90,7 | 91,7 | 92,8 |
5,8 | - | - | - | - | - | - | - | 92,8 | 93,9 | 94,9 |
5,9 | - | - | - | - | - | - | - | - | 96,0 | 97,1 |
6,0 | - | - | - | - | - | - | - | - | - | 99,3 |
Продолжение таблицы 1
В миллиметрах
Ширина b | Длина l |
6,1 | 6,2 | 6,3 | 6,4 | 6,5 | 6,6 | 6,7 | 6,8 | 6,9 | 7,0 |
1,5 | 20,3 | 20,6 | 21,0 | 21,3 | 21,6 | 21,9 | 22,2 | 22,6 | 22,9 | 23,2 |
1,6 | 21,7 | 22,1 | 22,4 | 22,8 | 23,1 | 23,4 | 23,8 | 24,1 | 24,5 | 24,8 |
1,7 | 23,2 | 23,5 | 23,9 | 24,3 | 24,6 | 25,0 | 25,3 | 25,7 | 26,1 | 26,4 |
1,8 | 24,6 | 25,0 | 25,4 | 25,8 | 26,1 | 26,5 | 26,9 | 27,3 | 27,7 | 28,0 |
1,9 | 26,1 | 26,5 | 26,9 | 27,3 | 27,7 | 28,1 | 28,5 | 28,9 | 29,3 | 29,7 |
2,0 | 27,5 | 28,0 | 28,4 | 28,8 | 29,2 | 29,6 | 30,1 | 30,5 | 30,9 | 31,3 |
2,1 | 29,0 | 29,5 | 29,9 | 30,3 | 30,8 | 31,2 | 31,7 | 32,1 | 32,5 | 33,0 |
2,2 | 30,5 | 31,0 | 31,4 | 31,9 | 32,4 | 32,8 | 33,3 | 33,7 | 34,2 | 34,7 |
2,3 | 32,0 | 32,5 | 33,0 | 33,5 | 34,0 | 34,4 | 34,9 | 35,4 | 35,9 | 36,4 |
2,4 | 33,6 | 34,1 | 34,6 | 35,1 | 35,6 | 36,1 | 36,6 | 37,1 | 37,6 | 38,1 |
2,5 | 35,1 | 35,6 | 36,1 | 36,7 | 37,2 | 37,7 | 38,2 | 38,7 | 39,3 | 39,8 |
2,6 | 36,7 | 37,2 | 37,7 | 38,3 | 38,8 | 39,3 | 39,9 | 40,4 | 41,0 | 41,5 |
2,7 | 38,2 | 38,8 | 39,3 | 39,9 | 40,5 | 41,0 | 41,6 | 42,1 | 42,7 | 43,2 |
2,8 | 39,8 | 40,4 | 41,0 | 41,5 | 42,1 | 42,7 | 43,3 | 43,8 | 44,4 | 45,0 |
2,9 | 41,4 | 42,0 | 42,6 | 43,2 | 43,8 | 44,4 | 45,0 | 45,6 | 46,2 | 46,8 |
3,0 | 43,0 | 43,7 | 44,3 | 44,9 | 45,5 | 46,1 | 46,7 | 47,3 | 48,0 | 48,6 |
3,1 | 44,7 | 45,3 | 45,9 | 46,6 | 47,2 | 47,8 | 48,5 | 49,1 | 49,7 | 50,4 |
3,2 | 46,3 | 47,0 | 47,6 | 48,3 | 48,9 | 49,6 | 50,2 | 50,9 | 51,5 | 52,2 |
3,3 | 48,0 | 48,7 | 49,3 | 50,0 | 50,7 | 51,3 | 52,0 | 52,7 | 53,4 | 54,0 |
3,4 | 49,7 | 50,4 | 51,1 | 51,7 | 52,4 | 53,1 | 53,8 | 54,5 | 55,2 | 55,9 |
3,5 | 51,4 | 52,1 | 52,8 | 53,5 | 54,2 | 54,9 | 55,6 | 56,3 | 57,0 | 57,8 |
3,6 | 53,1 | 53,8 | 54,6 | 55,3 | 56,0 | 56,7 | 57,5 | 58,2 | 58,9 | 59,6 |
3,7 | 54,9 | 55,6 | 56,3 | 57,1 | 57,8 | 58,6 | 59,3 | 60,1 | 60,8 | 61,5 |
3,8 | 56,6 | 57,4 | 58,1 | 58,9 | 59,7 | 60,4 | 61,2 | 61,9 | 62,7 | 63,5 |
3,9 | 58,4 | 59,2 | 60,0 | 60,7 | 61,5 | 62,3 | 63,1 | 63,8 | 64,6 | 65,4 |
4,0 | 60,2 | 61,0 | 61,8 | 62,6 | 63,4 | 64,2 | 65,0 | 65,8 | 66,6 | 67,4 |
4,1 | 62,0 | 62,8 | 63,6 | 64,4 | 65,3 | 66,1 | 66,9 | 67,7 | 68,5 | 69,3 |
4,2 | 63,9 | 64,7 | 65,5 | 66,3 | 67,2 | 68,0 | 68,8 | 69,7 | 70,5 | 71,3 |
4,3 | 65,7 | 66,6 | 67,4 | 68,2 | 69,1 | 69,9 | 70,8 | 71,6 | 72,5 | 73,3 |
4,4 | 67,6 | 68,5 | 69,3 | 70,2 | 71,0 | 71,9 | 72,8 | 73,6 | 74,5 | 75,4 |
4,5 | 69,5 | 70,4 | 71,2 | 72,1 | 73,0 | 73,9 | 74,8 | 75,6 | 76,5 | 77,4 |
4,6 | 71,4 | 72,3 | 73,2 | 74,1 | 75,0 | 75,9 | 76,8 | 77,7 | 78,6 | 79,5 |
4,7 | 73,3 | 74,2 | 75,2 | 76,1 | 77,0 | 77,9 | 78,8 | 79,7 | 80,7 | 81,6 |
4,8 | 75,3 | 76,2 | 77,1 | 78,1 | 79,0 | 79,9 | 80,9 | 81,8 | 82,7 | 83,7 |
4,9 | 77,3 | 78,2 | 79,2 | 80,1 | 81,0 | 82,0 | 82,9 | 83,9 | 84,8 | 85,8 |
5,0 | 79,3 | 80,2 | 81,2 | 82,1 | 83,1 | 84,1 | 85,0 | 86,0 | 87,0 | 87,9 |
5,1 | 81,3 | 82,3 | 83,2 | 84,2 | 85,2 | 86,2 | 87,2 | 88,1 | 89,1 | 90,1 |
5,2 | 83,3 | 84,3 | 85,3 | 86,3 | 87,3 | 88,3 | 89,3 | 90,3 | 91,3 | 92,3 |
5,3 | 85,4 | 86,4 | 87,4 | 88,4 | 89,4 | 90,4 | 91,4 | 92,5 | 93,5 | 94,5 |
5,4 | 87,5 | 88,5 | 89,5 | 90,5 | 91,6 | 92,6 | 93,6 | 94,7 | 95,7 | 96,7 |
5,5 | 89,6 | 90,6 | 91,6 | 92,7 | 93,7 | 94,8 | 95,8 | 96,9 | 97,9 | 99,0 |
5,6 | 91,7 | 92,7 | 93,8 | 94,9 | 95,9 | 97,0 | 98,0 | 99,1 | 100,2 | 101,2 |
5,7 | 93,8 | 94,9 | 96,0 | 97,0 | 98,1 | 99,2 | 100,3 | 101,4 | 102,4 | 103,5 |
5,8 | 96,0 | 97,1 | 98,2 | 99,3 | 100,3 | 101,4 | 102,5 | 103,6 | 104,7 | 105,8 |
5,9 | 98,2 | 99,3 | 100,4 | 101,5 | 102,6 | 103,7 | 104,8 | 105,9 | 107,0 | 108,2 |
6,0 | 100,4 | 101,5 | 102,6 | 103,7 | 104,9 | 106,0 | 107,1 | 108,2 | 109,4 | 110,5 |
Продолжение таблицы 1
В миллиметрах
Ширина b | Длина l |
7,1 | 7,2 | 7,3 | 7,4 | 7,5 | 7,6 | 7,7 | 7,8 | 7,9 | 8,0 |
1,5 | 23,5 | 23,8 | 24,1 | 24,5 | 24,8 | 25,1 | 25,4 | 25,8 | 26,1 | 26,4 |
1,6 | 25,1 | 25,5 | 25,8 | 26,2 | 26,5 | 26,8 | 27,2 | 27,5 | 27,9 | 28,2 |
1,7 | 26,8 | 27,1 | 27,5 | 27,9 | 28,2 | 28,6 | 28,9 | 29,3 | 29,7 | 30,0 |
1,8 | 28,4 | 28,8 | 29,2 | 29,6 | 29,9 | 30,3 | 30,7 | 31,1 | 31,5 | 31,9 |
1,9 | 30,1 | 30,5 | 30,9 | 31,3 | 31,7 | 32,1 | 32,5 | 32,9 | 33,3 | 33,7 |
2,0 | 31,8 | 32,2 | 32,6 | 33,0 | 33,4 | 33,9 | 34,3 | 34,7 | 35,1 | 35,6 |
2,1 | 33,4 | 33,9 | 34,3 | 34,8 | 35,2 | 35,6 | 36,1 | 36,5 | 37,0 | 37,4 |
2,2 | 35,1 | 35,6 | 36,1 | 36,5 | 37,0 | 37,4 | 37,9 | 38,4 | 38,8 | 39,3 |
2,3 | 36,8 | 37,3 | 37,8 | 38,3 | 38,8 | 39,3 | 39,7 | 40,2 | 40,7 | 41,2 |
2,4 | 38,6 | 39,1 | 39,6 | 40,1 | 40,6 | 41,1 | 41,6 | 42,1 | 42,6 | 43,1 |
2,5 | 40,3 | 40,8 | 41,3 | 41,9 | 42,4 | 42,9 | 43,4 | 44,0 | 44,5 | 45,0 |
2,6 | 42,0 | 42,6 | 43,1 | 43,7 | 44,2 | 44,8 | 45,3 | 45,8 | 46,4 | 46,9 |
2,7 | 43,8 | 44,4 | 44,9 | 45,5 | 46,1 | 46,6 | 47,2 | 47,7 | 48,3 | 48,9 |
2,8 | 45,6 | 46,2 | 46,7 | 47,3 | 47,9 | 48,5 | 49,1 | 49,7 | 50,2 | 50,8 |
2,9 | 47,4 | 48,0 | 48,6 | 49,2 | 49,8 | 50,4 | 51,0 | 51,6 | 52,2 | 52,8 |
3,0 | 49,2 | 49,8 | 50,4 | 51,0 | 51,7 | 52,3 | 52,9 | 53,5 | 54,2 | 54,8 |
3,1 | 51,0 | 51,6 | 52,3 | 52,9 | 53,6 | 54,2 | 54,8 | 55,5 | 56,1 | 56,8 |
3,2 | 52,9 | 53,5 | 54,2 | 54,8 | 55,5 | 56,1 | 56,8 | 57,5 | 58,1 | 58,8 |
3,3 | 54,7 | 55,4 | 56,1 | 56,7 | 57,4 | 58,1 | 58,8 | 59,4 | 60,1 | 60,8 |
3,4 | 56,6 | 57,3 | 58,0 | 58,7 | 59,4 | 60,1 | 60,8 | 61,5 | 62,2 | 62,9 |
3,5 | 58,5 | 59,2 | 59,9 | 60,6 | 61,3 | 62,0 | 62,8 | 63,5 | 64,2 | 64,9 |
3,6 | 60,4 | 61,1 | 61,8 | 62,6 | 63,3 | 64,0 | 64,8 | 65,5 | 66,2 | 67,0 |
3,7 | 62,3 | 63,0 | 63,8 | 64,5 | 65,3 | 66,0 | 66,8 | 67,6 | 68,3 | 69,1 |
3,8 | 64,2 | 65,0 | 65,8 | 66,5 | 67,3 | 68,1 | 68,9 | 69,6 | 70,4 | 71,2 |
3,9 | 66,2 | 67,0 | 67,8 | 68,5 | 69,3 | 70,1 | 70,9 | 71,7 | 72,5 | 73,3 |
4,0 | 68,2 | 69,0 | 69,8 | 70,6 | 71,4 | 72,2 | 73,0 | 73,8 | 74,6 | 75,4 |
4,1 | 70,2 | 71,0 | 71,8 | 72,6 | 73,4 | 74,3 | 75,1 | 75,9 | 76,8 | 77,6 |
4,2 | 72,2 | 73,0 | 73,8 | 74,7 | 75,5 | 76,4 | 77,2 | 78,1 | 78,9 | 79,8 |
4,3 | 74,2 | 75,1 | 75,9 | 76,8 | 77,6 | 78,5 | 79,4 | 80,2 | 81,1 | 82,0 |
4,4 | 76,2 | 77,1 | 78,0 | 78,9 | 79,7 | 80,6 | 81,5 | 82,4 | 83,3 | 84,2 |
4,5 | 78,3 | 79,2 | 80,1 | 81,0 | 81,9 | 82,8 | 83,7 | 84,6 | 85,5 | 86,4 |
4,6 | 80,4 | 81,3 | 82,2 | 83,1 | 84,0 | 85,0 | 85,9 | 86,8 | 87,7 | 88,6 |
4,7 | 82,5 | 83,4 | 84,4 | 85,3 | 86,2 | 87,1 | 88,1 | 89,0 | 89,9 | 90,9 |
4,8 | 84,6 | 85,6 | 86,5 | 87,5 | 88,4 | 89,4 | 90,3 | 91,3 | 92,2 | 93,2 |
4,9 | 86,8 | 87,7 | 88,7 | 89,6 | 90,6 | 91,6 | 92,5 | 93,5 | 94,5 | 95,5 |
5,0 | 88,9 | 89,9 | 90,9 | 91,9 | 92,8 | 93,8 | 94,8 | 95,8 | 96,8 | 97,8 |
5,1 | 91,1 | 92,1 | 93,1 | 94,1 | 95,1 | 96,1 | 97,1 | 98,1 | 99,1 | 100,1 |
5,2 | 93,3 | 94,3 | 95,3 | 96,3 | 97,4 | 98,4 | 99,4 | 100,4 | 101,4 | 102,5 |
5,3 | 95,5 | 96,6 | 97,6 | 98,6 | 99,6 | 100,7 | 101,7 | 102,8 | 103,8 | 104,8 |
5,4 | 97,8 | 98,8 | 99,9 | 100,9 | 102,0 | 103,0 | 104,1 | 105,1 | 106,2 | 107,2 |
5,5 | 100,0 | 101,1 | 102,1 | 103,2 | 104,3 | 105,3 | 106,4 | 107,5 | 108,6 | 109,6 |
5,6 | 102,3 | 103,4 | 104,5 | 105,5 | 106,6 | 107,7 | 108,8 | 109,9 | 111,0 | 112,1 |
5,7 | 104,6 | 105,7 | 106,8 | 107,9 | 109,0 | 110,1 | 111,2 | 112,3 | 113,4 | 114,5 |
5,8 | 106,9 | 108,0 | 109,2 | 110,3 | 111,4 | 112,5 | 113,6 | 114,7 | 115,9 | 117,0 |
5,9 | 109,3 | 110,4 | 111,5 | 112,7 | 113,8 | 114,9 | 116,1 | 117,2 | 118,3 | 119,5 |
6,0 | 111,6 | 112,8 | 113,9 | 115,1 | 116,2 | 117,4 | 118,5 | 119,7 | 120,8 | 122,0 |
Продолжение таблицы 1
В миллиметрах
Ширина b | Длина l |
8,1 | 8,2 | 8,3 | 8,4 | 8,5 | 8,6 | 8,7 | 8,8 | 8,9 | 9,0 |
1,5 | 26,7 | 27,0 | 27,4 | 27,7 | 28,0 | 28,3 | 28,6 | 29,0 | 29,3 | 29,6 |
1,6 | 28,5 | 28,9 | 29,2 | 29,6 | 29,9 | 30,3 | 30,6 | 30,9 | 31,3 | 31,6 |
1,7 | 30,4 | 30,8 | 31,1 | 31,5 | 31,8 | 32,2 | 32,6 | 32,9 | 33,3 | 33,7 |
1,8 | 32,2 | 32,6 | 33,0 | 33,4 | 33,8 | 34,2 | 34,5 | 34,9 | 35,3 | 35,7 |
1,9 | 34,1 | 34,5 | 34,9 | 35,3 | 35,7 | 36,1 | 36,5 | 36,9 | 37,3 | 37,7 |
2,0 | 36,0 | 36,4 | 36,8 | 37,3 | 37,7 | 38,1 | 38,5 | 39,0 | 39,4 | 39,8 |
2,1 | 37,9 | 38,3 | 38,8 | 39,2 | 39,6 | 40,1 | 40,5 | 41,0 | 41,4 | 41,9 |
2,2 | 39,8 | 40,2 | 40,7 | 41,2 | 41,6 | 42,1 | 42,6 | 43,0 | 43,5 | 44,0 |
2,3 | 41,7 | 42,2 | 42,6 | 43,1 | 43,6 | 44,1 | 44,6 | 45,1 | 45,6 | 46,1 |
2,4 | 43,6 | 44,1 | 44,6 | 45,1 | 45,6 | 46,1 | 46,6 | 47,1 | 47,6 | 48,2 |
2,5 | 45,5 | 46,1 | 46,6 | 47,1 | 47,6 | 48,2 | 48,7 | 49,2 | 49,7 | 50,3 |
2,6 | 47,5 | 48,0 | 48,6 | 49,1 | 49,7 | 50,2 | 50,8 | 51,3 | 51,8 | 52,4 |
2,7 | 49,4 | 50,0 | 50,6 | 51,1 | 51,7 | 52,3 | 52,8 | 53,4 | 54,0 | 54,5 |
2,8 | 51,4 | 52,0 | 52,6 | 53,2 | 53,8 | 54,3 | 54,9 | 55,5 | 56,1 | 56,7 |
2,9 | 53,4 | 54,0 | 54,6 | 55,2 | 55,8 | 56,4 | 57,0 | 57,6 | 58,2 | 58,9 |
3,0 | 55,4 | 56,0 | 56,6 | 57,3 | 57,9 | 58,5 | 59,2 | 59,8 | 60,4 | 61,0 |
3,1 | 57,4 | 58,1 | 58,7 | 59,3 | 60,0 | 60,6 | 61,3 | 61,9 | 62,6 | 63,2 |
3,2 | 59,4 | 60,1 | 60,8 | 61,4 | 62,1 | 62,8 | 63,4 | 64,1 | 64,8 | 65,4 |
3,3 | 61,5 | 62,2 | 62,9 | 63,5 | 64,2 | 64,9 | 65,6 | 66,3 | 67,0 | 67,7 |
3,4 | 63,6 | 64,3 | 65,0 | 65,7 | 66,4 | 67,1 | 67,8 | 68,5 | 69,2 | 69,9 |
3,5 | 65,6 | 66,3 | 67,1 | 67,8 | 68,5 | 69,2 | 70,0 | 70,7 | 71,4 | 72,1 |
3,6 | 67,7 | 68,5 | 69,2 | 69,9 | 70,7 | 71,4 | 72,2 | 72,9 | 73,7 | 74,4 |
3,7 | 69,8 | 70,6 | 71,3 | 72,1 | 72,9 | 73,6 | 74,4 | 75,1 | 75,9 | 76,7 |
3,8 | 72,0 | 72,7 | 73,5 | 74,3 | 75,1 | 75,8 | 76,6 | 77,4 | 78,2 | 79,0 |
3,9 | 74,1 | 74,9 | 75,7 | 76,5 | 77,3 | 78,1 | 78,9 | 79,7 | 80,5 | 81,3 |
4,0 | 76,2 | 77,1 | 77,9 | 78,7 | 79,5 | 80,3 | 81,1 | 82,0 | 82,8 | 83,6 |
4,1 | 78,4 | 79,3 | 80,1 | 80,9 | 81,8 | 82,6 | 83,4 | 84,3 | 85,1 | 85,9 |
4,2 | 80,6 | 81,5 | 82,3 | 83,2 | 84,0 | 84,9 | 85,7 | 86,6 | 87,4 | 88,3 |
4,3 | 82,8 | 83,7 | 84,6 | 85,4 | 86,3 | 87,2 | 88,0 | 88,9 | 89,8 | 90,7 |
4,4 | 85,0 | 85,9 | 86,8 | 87,7 | 88,6 | 89,5 | 90,4 | 91,3 | 92,2 | 93,1 |
4,5 | 87,3 | 88,2 | 89,1 | 90,0 | 90,9 | 91,8 | 92,7 | 93,6 | 94,6 | 95,5 |
4,6 | 89,5 | 90,5 | 91,4 | 92,3 | 93,2 | 94,2 | 95,1 | 96,0 | 97,0 | 97,9 |
4,7 | 91,8 | 92,8 | 93,7 | 94,7 | 95,6 | 96,5 | 97,5 | 98,4 | 99,4 | 100,3 |
4,8 | 94,1 | 95,1 | 96,0 | 97,0 | 98,0 | 98,9 | 99,9 | 100,9 | 101,8 | 102,8 |
4,9 | 96,4 | 97,4 | 98,4 | 99,4 | 100,3 | 101,3 | 102,3 | 103,3 | 104,3 | 105,3 |
5,0 | 98,8 | 99,8 | 100,8 | 101,8 | 102,8 | 103,8 | 104,8 | 105,8 | 106,8 | 107,8 |
5,1 | 101,1 | 102,1 | 103,1 | 104,2 | 105,2 | 106,2 | 107,2 | 108,2 | 109,3 | 110,3 |
5,2 | 103,5 | 104,5 | 105,6 | 106,6 | 107,6 | 108,6 | 109,7 | 110,7 | 111,8 | 112,8 |
5,3 | 105,9 | 106,9 | 108,0 | 109,0 | 110,1 | 111,1 | 112,2 | 113,2 | 114,3 | 115,3 |
5,4 | 108,3 | 109,4 | 110,4 | 111,5 | 112,6 | 113,6 | 114,7 | 115,8 | 116,8 | 117,9 |
5,5 | 110,7 | 111,8 | 112,9 | 114,0 | 115,0 | 116,1 | 117,2 | 118,3 | 119,4 | 120,5 |
5,6 | 113,2 | 114,3 | 115,4 | 116,5 | 117,6 | 118,7 | 119,8 | 120,9 | 122,0 | 123,1 |
5,7 | 115,6 | 116,7 | 117,9 | 119,0 | 120,1 | 121,2 | 122,3 | 123,5 | 124,6 | 125,7 |
5,8 | 118,1 | 119,2 | 120,4 | 121,5 | 122,7 | 123,8 | 124,9 | 126,1 | 127,2 | 128,4 |
5,9 | 120,6 | 121,8 | 122,9 | 124,1 | 125,2 | 126,4 | 127,5 | 128,7 | 129,9 | 131,0 |
6,0 | 123,1 | 124,3 | 125,5 | 126,6 | 127,8 | 129,0 | 130,2 | 131,3 | 132,5 | 133,7 |
Продолжение таблицы 1
В миллиметрах
Ширина b | Длина l |
9,1 | 9,2 | 9,3 | 9,4 | 9,5 | 9,6 | 9,7 | 9,8 | 9,9 | 10,0 |
1,5 | - | - | - | - | - | - | - | - | - | - |
1,6 | 32,0 | 32,3 | 32,7 | 33,0 | 33,3 | 33,7 | - | - | - | - |
1,7 | 34,0 | 34,4 | 34,7 | 35,1 | 35,5 | 35,8 | 36,2 | 36,6 | 36,9 | 37,3 |
1,8 | 36,1 | 36,5 | 36,9 | 37,2 | 37,6 | 38,0 | 38,4 | 38,8 | 39,2 | 39,5 |
1,9 | 38,2 | 38,6 | 39,0 | 39,4 | 39,8 | 40,2 | 40,6 | 41,0 | 41,4 | 41,8 |
2,0 | 40,2 | 40,7 | 41,1 | 41,5 | 41,9 | 42,4 | 42,8 | 43,2 | 43,6 | 44,1 |
2,1 | 42,3 | 42,8 | 43,2 | 43,7 | 44,1 | 44,6 | 45,0 | 45,5 | 45,9 | 46,3 |
2,2 | 44,4 | 44,9 | 45,4 | 45,8 | 46,3 | 46,8 | 47,2 | 47,7 | 48,2 | 48,6 |
2,3 | 46,5 | 47,0 | 47,5 | 48,0 | 48,5 | 49,0 | 49,5 | 50,0 | 50,4 | 50,9 |
2,4 | 48,7 | 49,2 | 49,7 | 50,2 | 50,7 | 51,2 | 51,7 | 52,2 | 52,7 | 53,2 |
2,5 | 50,8 | 51,3 | 51,9 | 52,4 | 52,9 | 53,4 | 54,0 | 54,5 | 55,0 | 55,6 |
2,6 | 52,9 | 53,5 | 54,0 | 54,6 | 55,1 | 55,7 | 56,2 | 56,8 | 57,3 | 57,9 |
2,7 | 55,1 | 55,7 | 56,2 | 56,8 | 57,4 | 58,0 | 58,5 | 59,1 | 59,7 | 60,2 |
2,8 | 57,3 | 57,9 | 58,5 | 59,0 | 59,6 | 60,2 | 60,8 | 61,4 | 62,0 | 62,6 |
2,9 | 59,5 | 60,1 | 60,7 | 61,3 | 61,9 | 62,5 | 63,1 | 63,7 | 64,3 | 65,0 |
3,0 | 61,7 | 62,3 | 62,9 | 63,5 | 64,2 | 64,8 | 65,4 | 66,1 | 66,7 | 67,3 |
3,1 | 63,9 | 64,5 | 65,2 | 65,8 | 66,5 | 67,1 | 67,8 | 68,4 | 69,1 | 69,7 |
3,2 | 66,1 | 66,8 | 67,4 | 68,1 | 68,8 | 69,4 | 70,1 | 70,8 | 71,5 | 72,1 |
3,3 | 68,3 | 69,0 | 69,7 | 70,4 | 71,1 | 71,8 | 72,5 | 73,2 | 73,8 | 74,5 |
3,4 | 70,6 | 71,3 | 72,0 | 72,7 | 73,4 | 74,1 | 74,8 | 75,6 | 76,3 | 77,0 |
3,5 | 72,9 | 73,6 | 74,3 | 75,0 | 75,8 | 76,5 | 77,2 | 78,0 | 78,7 | 79,4 |
3,6 | 75,1 | 75,9 | 76,6 | 77,4 | 78,1 | 78,9 | 79,6 | 80,4 | 81,1 | 81,9 |
3,7 | 77,4 | 78,2 | 79,0 | 79,7 | 80,5 | 81,3 | 82,0 | 82,8 | 83,6 | 84,3 |
3,8 | 79,8 | 80,5 | 81,3 | 82,1 | 82,9 | 83,7 | 84,5 | 85,3 | 86,0 | 86,8 |
3,9 | 82,1 | 82,9 | 83,7 | 84,5 | 85,3 | 86,1 | 86,9 | 87,7 | 88,5 | 89,3 |
4,0 | 84,4 | 85,2 | 86,1 | 86,9 | 87,7 | 88,5 | 89,4 | 90,2 | 91,0 | 91,8 |
4,1 | 86,8 | 87,6 | 88,5 | 89,3 | 90,2 | 91,0 | 91,8 | 92,7 | 93,5 | 94,4 |
4,2 | 89,2 | 90,0 | 90,9 | 91,7 | 92,6 | 93,5 | 94,3 | 95,2 | 96,1 | 96,9 |
4,3 | 91,6 | 92,4 | 93,3 | 94,2 | 95,1 | 96,0 | 96,8 | 97,7 | 98,6 | 99,5 |
4,4 | 94,0 | 94,9 | 95,8 | 96,7 | 97,6 | 98,5 | 99,4 | 100,3 | 101,2 | 102,1 |
4,5 | 96,4 | 97,3 | 98,2 | 99,1 | 100,1 | 101,0 | 101,9 | 102,8 | 103,7 | 104,7 |
4,6 | 98,8 | 99,8 | 100,7 | 101,6 | 102,6 | 103,5 | 104,4 | 105,4 | 106,3 | 107,3 |
4,7 | 101,3 | 102,2 | 103,2 | 104,1 | 105,1 | 106,1 | 107,0 | 108,0 | 108,9 | 109,9 |
4,8 | 103,8 | 104,7 | 105,7 | 106,7 | 107,7 | 108,6 | 109,6 | 110,6 | 111,6 | 112,5 |
4,9 | 106,3 | 107,2 | 108,2 | 109,2 | 110,2 | 111,2 | 112,2 | 113,2 | 114,2 | 115,2 |
5,0 | 108,8 | 109,8 | 110,8 | 111,8 | 112,8 | 113,8 | 114,8 | 115,8 | 116,9 | 117,9 |
5,1 | 111,3 | 112,3 | 113,3 | 114,4 | 115,4 | 116,4 | 117,5 | 118,5 | 119,5 | 120,6 |
5,2 | 113,8 | 114,9 | 115,9 | 117,0 | 118,0 | 119,1 | 120,1 | 121,2 | 122,2 | 123,3 |
5,3 | 116,4 | 117,5 | 118,5 | 119,6 | 120,7 | 121,7 | 122,8 | 123,9 | 124,9 | 126,0 |
5,4 | 119,0 | 120,1 | 121,1 | 122,2 | 123,3 | 124,4 | 125,5 | 126,6 | 127,6 | 128,7 |
5,5 | 121,6 | 122,7 | 123,8 | 124,9 | 126,0 | 127,1 | 128,2 | 129,3 | 130,4 | 131,5 |
5,6 | 124,2 | 125,3 | 126,4 | 127,6 | 128,7 | 129,8 | 130,9 | 132,0 | 133,2 | 134,3 |
5,7 | 126,8 | 128,0 | 129,1 | 130,2 | 131,4 | 132,5 | 133,7 | 134,8 | 135,9 | 137,1 |
5,8 | 129,5 | 130,7 | 131,8 | 133,0 | 134,1 | 135,3 | 136,4 | 137,6 | 138,7 | 139,9 |
5,9 | 132,2 | 133,3 | 134,5 | 135,7 | 136,8 | 138,0 | 139,2 | 140,4 | 141,5 | 142,7 |
6,0 | 134,9 | 136,1 | 137,2 | 138,4 | 139,6 | 140,8 | 142,0 | 143,2 | 144,4 | 145,6 |
Продолжение таблицы 1
В миллиметрах
Ширина b | Длина l |
10,1 | 10,2 | 10,3 | 10,4 | 10,5 | 10,6 | 10,7 | 10,8 | 10,9 | 11,0 |
1,5 | - | - | - | - | - | - | - | - | - | - |
1,6 | - | - | - | - | - | - | - | - | - | - |
1,7 | 37,7 | 38,0 | - | - | - | - | - | - | - | - |
1,8 | 39,9 | 40,3 | 40,7 | 41,1 | 41,5 | 41,9 | 42,2 | 42,6 | - | - |
1,9 | 42,2 | 42,6 | 43,0 | 43,4 | 43,8 | 44,2 | 44,6 | 45,1 | 45,5 | 45,9 |
2,0 | 44,5 | 44,9 | 45,4 | 45,8 | 46,2 | 46,6 | 47,1 | 47,5 | 47,9 | 48,3 |
2,1 | 46,8 | 47,2 | 47,7 | 48,1 | 48,6 | 49,0 | 49,5 | 49,9 | 50,4 | 50,8 |
2,2 | 49,1 | 49,6 | 50,0 | 50,5 | 51,0 | 51,4 | 51,9 | 52,4 | 52,9 | 53,3 |
2,3 | 51,4 | 51,9 | 52,4 | 52,9 | 53,4 | 53,9 | 54,4 | 54,8 | 55,3 | 55,8 |
2,4 | 53,8 | 54,3 | 54,8 | 55,3 | 55,8 | 56,3 | 56,8 | 57,3 | 57,8 | 58,3 |
2,5 | 56,1 | 56,6 | 57,2 | 57,7 | 58,2 | 58,7 | 59,3 | 59,8 | 60,3 | 60,9 |
2,6 | 58,4 | 59,0 | 59,5 | 60,1 | 60,6 | 61,2 | 61,7 | 62,3 | 62,9 | 63,4 |
2,7 | 60,8 | 61,4 | 61,9 | 62,5 | 63,1 | 63,7 | 64,2 | 64,8 | 65,4 | 65,9 |
2,8 | 63,2 | 63,8 | 64,4 | 65,0 | 65,5 | 66,1 | 66,7 | 67,3 | 67,9 | 68,5 |
2,9 | 65,6 | 66,2 | 66,8 | 67,4 | 68,0 | 68,6 | 69,2 | 69,8 | 70,5 | 71,1 |
3,0 | 68,0 | 68,6 | 69,2 | 69,9 | 70,5 | 71,1 | 71,8 | 72,4 | 73,0 | 73,7 |
3,1 | 70,4 | 71,0 | 71,7 | 72,3 | 73,0 | 73,6 | 74,3 | 74,9 | 75,6 | 76,2 |
3,2 | 72,8 | 73,5 | 74,1 | 74,8 | 75,5 | 76,2 | 76,8 | 77,5 | 78,2 | 78,9 |
3,3 | 75,2 | 75,9 | 76,6 | 77,3 | 78,0 | 78,7 | 79,4 | 80,1 | 80,8 | 81,5 |
3,4 | 77,7 | 78,4 | 79,1 | 79,8 | 80,5 | 81,2 | 82,0 | 82,7 | 83,4 | 84,1 |
3,5 | 80,1 | 80,9 | 81,6 | 82,3 | 83,1 | 83,8 | 84,5 | 85,3 | 86,0 | 86,7 |
3,6 | 82,6 | 83,4 | 84,1 | 84,9 | 85,6 | 86,4 | 87,1 | 87,9 | 88,6 | 89,4 |
3,7 | 85,1 | 85,9 | 86,7 | 87,4 | 88,2 | 89,0 | 89,7 | 90,5 | 91,3 | 92,1 |
3,8 | 87,6 | 88,4 | 89,2 | 90,0 | 90,8 | 91,6 | 92,4 | 93,2 | 94,0 | 94,7 |
3,9 | 90,1 | 91,0 | 91,8 | 92,6 | 93,4 | 94,2 | 95,0 | 95,8 | 96,6 | 97,4 |
4,0 | 92,7 | 93,5 | 94,3 | 95,2 | 96,0 | 96,8 | 97,7 | 98,5 | 99,3 | 100,2 |
4,1 | 95,2 | 96,1 | 96,9 | 97,8 | 98,6 | 99,5 | 100,3 | 101,2 | 102,0 | 102,9 |
4,2 | 97,8 | 98,7 | 99,5 | 100,4 | 101,3 | 102,1 | 103,0 | 103,9 | 104,7 | 105,6 |
4,3 | 100,4 | 101,3 | 102,1 | 103,0 | 103,9 | 104,8 | 105,7 | 106,6 | 107,5 | 108,4 |
4,4 | 103,0 | 103,9 | 104,8 | 105,7 | 106,6 | 107,5 | 108,4 | 109,3 | 110,2 | 111,1 |
4,5 | 105,6 | 106,5 | 107,4 | 108,4 | 109,3 | 110,2 | 111,1 | 112,1 | 113,0 | 113,9 |
4,6 | 108,2 | 109,2 | 110,1 | 111,0 | 112,0 | 112,9 | 113,9 | 114,8 | 115,8 | 116,7 |
4,7 | 110,9 | 111,8 | 112,8 | 113,7 | 114,7 | 115,7 | 116,6 | 117,6 | 118,6 | 119,5 |
4,8 | 113,5 | 114,5 | 115,5 | 116,5 | 117,4 | 118,4 | 119,4 | 120,4 | 121,4 | 122,4 |
4,9 | 116,2 | 117,2 | 118,2 | 119,2 | 120,2 | 121,2 | 122,2 | 123,2 | 124,2 | 125,2 |
5,0 | 118,9 | 119,9 | 120,9 | 121,9 | 123,0 | 124,0 | 125,0 | 126,0 | 127,0 | 128,1 |
5,1 | 121,6 | 122,6 | 123,7 | 124,7 | 125,7 | 126,8 | 127,3 | 128,9 | 129,9 | 130,9 |
5,2 | 124,3 | 125,4 | 126,4 | 127,5 | 128,5 | 129,6 | 130,7 | 131,7 | 132,8 | 133,8 |
5,3 | 127,1 | 128,1 | 129,2 | 130,3 | 131,4 | 132,4 | 133,5 | 134,6 | 135,7 | 136,7 |
5,4 | 129,8 | 130,9 | 132,0 | 133,1 | 134,2 | 135,3 | 136,4 | 137,5 | 138,6 | 139,7 |
5,5 | 132,6 | 133,7 | 134,8 | 135,9 | 137,0 | 138,2 | 139,3 | 140,4 | 141,5 | 142,6 |
5,6 | 135,4 | 136,5 | 137,7 | 138,8 | 139,9 | 141,0 | 142,2 | 143,3 | 144,4 | 145,6 |
5,7 | 138,2 | 139,4 | 140,5 | 141,7 | 142,8 | 143,9 | 145,1 | 146,3 | 147,4 | 148,6 |
5,8 | 141,0 | 142,2 | 143,4 | 144,5 | 145,7 | 146,9 | 148,0 | 149,2 | 150,4 | 151,6 |
5,9 | 143,9 | 145,1 | 146,3 | 147,4 | 148,6 | 149,8 | 151,0 | 152,2 | 153,4 | 154,6 |
6,0 | 146,8 | 148,0 | 149,2 | 150,4 | 151,6 | 152,8 | 154,0 | 155,2 | 156,4 | 157,6 |
Продолжение таблицы 1
В миллиметрах
Ширина b | Длина l |
11,1 | 11,2 | 11,3 | 11,4 | 11,5 | 11,6 | 11,7 | 11,8 | 11,9 | 12,0 |
1,5 | - | - | - | - | - | - | - | - | - | - |
1,6 | - | - | - | - | - | - | - | - | - | - |
1,7 | - | - | - | - | - | - | - | - | - | - |
1,8 | - | - | - | - | - | - | - | - | - | - |
1,9 | 46,3 | 46,7 | 47,1 | 47,5 | - | - | - | - | - | - |
2,0 | 48,8 | 49,2 | 49,6 | 50,1 | 50,5 | 50,9 | 51,3 | 51,8 | 52,2 | 52,6 |
2,1 | 51,3 | 51,7 | 52,2 | 52,6 | 53,1 | 53,5 | 54,0 | 54,4 | 54,9 | 55,3 |
2,2 | 53,8 | 54,3 | 54,7 | 55,2 | 55,7 | 56,1 | 56,6 | 57,1 | 57,6 | 58,0 |
2,3 | 56,3 | 56,8 | 57,3 | 57,8 | 58,3 | 58,8 | 59,3 | 59,8 | 60,2 | 60,7 |
2,4 | 58,9 | 59,4 | 59,9 | 60,4 | 60,9 | 61,4 | 61,9 | 62,4 | 62,9 | 63,5 |
2,5 | 61,4 | 61,9 | 62,5 | 63,0 | 63,5 | 64,1 | 64,6 | 65,1 | 65,7 | 66,2 |
2,6 | 64,0 | 64,5 | 65,1 | 65,6 | 66,2 | 66,7 | 67,3 | 67,8 | 68,4 | 68,9 |
2,7 | 66,5 | 67,1 | 67,7 | 68,2 | 68,8 | 69,4 | 70,0 | 70,5 | 71,1 | 71,7 |
2,8 | 69,1 | 69,7 | 70,3 | 70,9 | 71,5 | 72,1 | 72,7 | 73,3 | 73,9 | 74,4 |
2,9 | 71,7 | 72,3 | 72,9 | 73,5 | 74,1 | 74,8 | 75,4 | 76,0 | 76,6 | 77,2 |
3,0 | 74,3 | 74,9 | 75,6 | 76,2 | 76,8 | 77,5 | 78,1 | 78,7 | 79,4 | 80,0 |
3,1 | 76,9 | 77,6 | 78,2 | 78,9 | 79,5 | 80,2 | 80,8 | 81,5 | 82,1 | 82,8 |
3,2 | 79,5 | 80,2 | 80,9 | 81,6 | 82,2 | 82,9 | 83,6 | 84,3 | 84,9 | 85,6 |
3,3 | 82,2 | 82,9 | 83,6 | 84,2 | 84,9 | 85,6 | 86,3 | 87,0 | 87,7 | 88,4 |
3,4 | 84,8 | 85,5 | 86,2 | 87,0 | 87,7 | 88,4 | 89,1 | 89,8 | 90,5 | 91,3 |
3,5 | 87,5 | 88,2 | 88,9 | 89,7 | 90,4 | 91,2 | 91,9 | 92,6 | 93,4 | 94,1 |
3,6 | 90,1 | 90,9 | 91,7 | 92,4 | 93,2 | 93,9 | 94,7 | 95,4 | 96,2 | 97,0 |
3,7 | 92,8 | 93,6 | 94,4 | 95,2 | 95,9 | 96,7 | 97,5 | 98,3 | 99,0 | 99,8 |
3,8 | 95,5 | 96,3 | 97,1 | 97,9 | 98,7 | 99,5 | 100,3 | 101,1 | 101,9 | 102,7 |
3,9 | 98,3 | 99,1 | 99,9 | 100,7 | 101,5 | 102,3 | 103,1 | 104,0 | 104,8 | 105,6 |
4,0 | 101,0 | 101,8 | 102,7 | 103,5 | 104,3 | 105,2 | 106,0 | 106,8 | 107,7 | 108,5 |
4,1 | 103,7 | 104,6 | 105,4 | 106,3 | 107,1 | 108,0 | 108,9 | 109,7 | 110,6 | 111,4 |
4,2 | 106,5 | 107,4 | 108,2 | 109,1 | 110,0 | 110,9 | 111,7 | 112,6 | 113,5 | 114,4 |
4,3 | 109,3 | 110,2 | 111,0 | 111,9 | 112,8 | 113,7 | 114,6 | 115,5 | 116,4 | 117,3 |
4,4 | 112,0 | 113,0 | 113,9 | 114,8 | 115,7 | 116,6 | 117,5 | 118,4 | 119,4 | 120,3 |
4,5 | 114,8 | 115,8 | 116,7 | 117,6 | 118,6 | 119,5 | 120,4 | 121,4 | 122,3 | 123,2 |
4,6 | 117,7 | 118,6 | 119,6 | 120,5 | 121,5 | 122,4 | 123,4 | 124,3 | 125,3 | 126,2 |
4,7 | 120,5 | 121,5 | 122,4 | 123,4 | 124,4 | 125,4 | 126,3 | 127,3 | 128,3 | 129,2 |
4,8 | 123,3 | 124,3 | 125,3 | 126,3 | 127,3 | 128,3 | 129,3 | 130,3 | 131,3 | 132,3 |
4,9 | 126,2 | 127,2 | 128,2 | 129,2 | 130,2 | 131,3 | 132,3 | 133,3 | 134,3 | 135,3 |
5,0 | 129,1 | 130,1 | 131,1 | 132,2 | 133,2 | 134,2 | 135,3 | 136,3 | 137,3 | 138,3 |
5,1 | 132,0 | 133,0 | 134,1 | 135,1 | 136,2 | 137,2 | 138,3 | 139,3 | 140,4 | 141,4 |
5,2 | 134,9 | 136,0 | 137,0 | 138,1 | 139,2 | 140,2 | 141,3 | 142,4 | 143,4 | 144,5 |
5,3 | 137,8 | 138,9 | 140,0 | 141,1 | 142,2 | 143,2 | 144,3 | 145,4 | 146,5 | 147,6 |
5,4 | 140,8 | 141,9 | 143,0 | 144,1 | 145,2 | 146,3 | 147,4 | 148,5 | 149,6 | 150,7 |
5,5 | 143,7 | 144,9 | 146,0 | 147,1 | 148,2 | 149,3 | 150,5 | 151,6 | 152,7 | 153,8 |
5,6 | 146,7 | 147,9 | 149,0 | 150,1 | 151,3 | 152,4 | 153,6 | 154,7 | 155,8 | 157,0 |
5,7 | 149,7 | 150,9 | 152,0 | 153,2 | 154,3 | 155,5 | 156,7 | 157,8 | 159,0 | 160,1 |
5,8 | 152,7 | 153,9 | 155,1 | 156,2 | 157,4 | 158,6 | 159,8 | 161,0 | 162,1 | 163,3 |
5,9 | 155,8 | 156,9 | 158,1 | 159,3 | 160,5 | 161,7 | 162,9 | 164,1 | 165,3 | 166,5 |
6,0 | 158,8 | 160,0 | 161,2 | 162,4 | 163,6 | 164,9 | 166,1 | 167,3 | 168,5 | 169,7 |
Продолжение таблицы 1
В миллиметрах
Ширина b | Длина l |
12,1 | 12,2 | 12,3 | 12,4 | 12,5 | 12,6 | 12,7 | 12,8 | 12,9 | 13,0 |
1,5 | - | - | - | - | - | - | - | - | - | - |
1,6 | - | - | - | - | - | - | - | - | - | - |
1,7 | - | - | - | - | - | - | - | - | - | - |
1,8 | - | - | - | - | - | - | - | - | - | - |
1,9 | - | - | - | - | - | - | - | - | - | - |
2,0 | - | - | - | - | - | - | - | - | - | - |
2,1 | 55,8 | 56,2 | 56,7 | 57,1 | 57,6 | 58,0 | - | - | - | - |
2,2 | 58,5 | 59,0 | 59,4 | 59,9 | 60,4 | 60,9 | 61,3 | 61,8 | 62,3 | 62,7 |
2,3 | 61,2 | 61,7 | 62,2 | 62,7 | 63,2 | 63,7 | 64,2 | 64,7 | 65,2 | 65,7 |
2,4 | 64,0 | 64,5 | 65,0 | 65,5 | 66,0 | 66,5 | 67,1 | 67,6 | 68,1 | 68,6 |
2,5 | 66,7 | 67,3 | 67,8 | 68,3 | 68,9 | 69,4 | 69,9 | 70,5 | 71,0 | 71,5 |
2,6 | 69,5 | 70,0 | 70,6 | 71,2 | 71,7 | 72,3 | 72,8 | 73,4 | 73,9 | 74,5 |
2,7 | 72,3 | 72,8 | 73,4 | 74,0 | 74,6 | 75,1 | 75,7 | 76,3 | 76,9 | 77,4 |
2,8 | 75,0 | 75,6 | 76,2 | 76,8 | 77,4 | 78,0 | 78,6 | 79,2 | 79,8 | 80,4 |
2,9 | 77,8 | 78,5 | 79,1 | 79,7 | 80,3 | 80,9 | 81,5 | 82,2 | 82,8 | 83,4 |
3,0 | 80,6 | 81,3 | 81,9 | 82,6 | 83,2 | 83,8 | 84,5 | 85,1 | 85,7 | 86,4 |
3,1 | 83,5 | 84,1 | 84,8 | 85,4 | 86,1 | 86,7 | 87,4 | 88,1 | 88,7 | 89,4 |
3,2 | 86,3 | 87,0 | 87,6 | 88,3 | 89,0 | 89,7 | 90,4 | 91,0 | 91,7 | 92,4 |
3,3 | 89,1 | 89,8 | 90,5 | 91,2 | 91,9 | 92,6 | 93,3 | 94,0 | 94,7 | 95,4 |
3,4 | 92,0 | 92,7 | 93,4 | 94,1 | 94,8 | 95,6 | 96,3 | 97,0 | 97,7 | 98,4 |
3,5 | 94,8 | 95,6 | 96,3 | 97,1 | 97,8 | 98,5 | 99,3 | 100,0 | 100,7 | 101,5 |
3,6 | 97,7 | 98,5 | 99,2 | 100,0 | 100,7 | 101,5 | 102,3 | 103,0 | 103,8 | 104,5 |
3,7 | 100,6 | 101,4 | 102,2 | 102,9 | 103,7 | 104,5 | 105,3 | 106,1 | 106,8 | 107,6 |
3,8 | 103,5 | 104,3 | 105,1 | 105,9 | 106,7 | 107,5 | 108,3 | 109,1 | 109,9 | 110,7 |
3,9 | 106,4 | 107,2 | 108,0 | 108,9 | 109,7 | 110,5 | 111,3 | 112,1 | 113,0 | 113,8 |
4,0 | 109,3 | 110,2 | 111,0 | 111,9 | 112,7 | 113,5 | 114,4 | 115,2 | 116,1 | 116,9 |
4,1 | 112,3 | 113,1 | 114,0 | 114,9 | 115,7 | 116,6 | 117,4 | 118,3 | 119,2 | 120,0 |
4,2 | 115,2 | 116,1 | 117,0 | 117,9 | 118,7 | 119,6 | 120,5 | 121,4 | 122,3 | 123,1 |
4,3 | 118,2 | 119,1 | 120,0 | 120,9 | 121,8 | 122,7 | 123,6 | 124,5 | 125,4 | 126,3 |
4,4 | 121,2 | 122,1 | 123,0 | 123,9 | 124,9 | 125,8 | 126,7 | 127,6 | 128,5 | 129,4 |
4,5 | 124,2 | 125,1 | 126,1 | 127,0 | 127,9 | 128,9 | 129,8 | 130,7 | 131,7 | 132,6 |
4,6 | 127,2 | 128,1 | 129,1 | 130,1 | 131,0 | 132,0 | 132,9 | 133,9 | 134,8 | 135,8 |
4,7 | 130,2 | 131,2 | 132,2 | 133,1 | 134,1 | 135,1 | 136,1 | 137,0 | 138,0 | 139,0 |
4,8 | 133,3 | 134,2 | 135,2 | 136,2 | 137,2 | 138,2 | 139,2 | 140,2 | 141,2 | 142,2 |
4,9 | 136,3 | 137,3 | 138,3 | 139,4 | 140,4 | 141,4 | 142,4 | 143,4 | 144,4 | 145,4 |
5,0 | 139,4 | 140,4 | 141,4 | 142,5 | 143,5 | 144,5 | 145,6 | 146,6 | 147,7 | 148,7 |
5,1 | 142,5 | 143,5 | 144,6 | 145,6 | 146,7 | 147,7 | 148,8 | 149,8 | 150,9 | 152,0 |
5,2 | 145,6 | 146,6 | 147,7 | 148,8 | 149,9 | 150,9 | 152,0 | 153,1 | 154,1 | 155,2 |
5,3 | 148,7 | 149,8 | 150,9 | 152,0 | 153,0 | 154,1 | 155,2 | 156,3 | 157,4 | 158,5 |
5,4 | 151,8 | 152,9 | 154,0 | 155,1 | 156,3 | 157,4 | 158,5 | 159,6 | 160,7 | 161,8 |
5,5 | 155,0 | 156,1 | 157,2 | 158,3 | 159,5 | 160,6 | 161,7 | 162,9 | 164,0 | 165,1 |
5,6 | 158,1 | 159,3 | 160,4 | 161,6 | 162,7 | 163,9 | 165,0 | 166,2 | 167,3 | 168,5 |
5,7 | 161,3 | 162,5 | 163,6 | 164,8 | 166,0 | 167,1 | 168,3 | 169,5 | 170,6 | 171,8 |
5,8 | 164,5 | 165,7 | 166,9 | 168,1 | 169,2 | 170,4 | 171,6 | 172,8 | 174,0 | 175,2 |
5,9 | 167,7 | 168,9 | 170,1 | 171,3 | 172,5 | 173,7 | 174,9 | 176,1 | 177,4 | 178,6 |
6,0 | 170,9 | 172,2 | 173,4 | 174,6 | 175,8 | 177,1 | 178,3 | 179,5 | 180,7 | 182,0 |
Продолжение таблицы 1
В миллиметрах
Ширина b | Длина l |
13,1 | 13,2 | 13,3 | 13,4 | 13,5 | 13,6 | 13,7 | 13,8 | 13,9 | 14,0 |
1,5 | - | - | - | - | - | - | - | - | - | - |
1,6 | - | - | - | - | - | - | - | - | - | - |
1,7 | - | - | - | - | - | - | - | - | - | - |
1,8 | - | - | - | - | - | - | - | - | - | - |
1,9 | - | - | - | - | - | - | - | - | - | - |
2,0 | - | - | - | - | - | - | - | - | - | - |
2,1 | - | - | - | - | - | - | - | - | - | - |
2,2 | 63,2 | 63,7 | - | - | - | - | - | - | - | - |
2,3 | 66,2 | 66,6 | 67,1 | 67,6 | 68,1 | 68,6 | 69,1 | 69,6 | - | - |
2,4 | 69,1 | 69,6 | 70,1 | 70,6 | 71,2 | 71,7 | 72,2 | 72,7 | 73,2 | 73,7 |
2,5 | 72,1 | 72,6 | 73,1 | 73,7 | 74,2 | 74,7 | 75,3 | 75,8 | 76,3 | 76,9 |
2,6 | 75,0 | 75,6 | 76,1 | 76,7 | 77,3 | 77,8 | 78,4 | 78,9 | 79,5 | 80,0 |
2,7 | 78,0 | 78,6 | 79,2 | 79,7 | 80,3 | 80,9 | 81,5 | 82,0 | 82,6 | 83,2 |
2,8 | 81,0 | 81,6 | 82,2 | 82,8 | 83,4 | 84,0 | 84,6 | 85,2 | 85,8 | 86,4 |
2,9 | 84,0 | 84,6 | 85,2 | 85,9 | 86,5 | 87,1 | 87,7 | 88,3 | 88,9 | 89,6 |
3,0 | 87,0 | 87,7 | 88,3 | 88,9 | 89,6 | 90,2 | 90,8 | 91,5 | 92,1 | 92,8 |
3,1 | 90,0 | 90,7 | 91,4 | 92,0 | 92,7 | 93,3 | 94,0 | 94,6 | 95,3 | 96,0 |
3,2 | 93,1 | 93,7 | 94,4 | 95,1 | 95,8 | 96,5 | 97,1 | 97,8 | 98,5 | 99,2 |
3,3 | 96,1 | 96,8 | 97,5 | 98,2 | 98,9 | 99,6 | 100,3 | 101,0 | 101,7 | 102,4 |
3,4 | 99,2 | 99,9 | 100,6 | 101,3 | 102,0 | 102,8 | 103,5 | 104,2 | 104,9 | 105,6 |
3,5 | 102,2 | 103,0 | 103,7 | 104,4 | 105,2 | 105,9 | 106,7 | 107,4 | 108,2 | 108,9 |
3,6 | 105,3 | 106,1 | 106,8 | 107,6 | 108,3 | 109,1 | 109,9 | 110,6 | 111,4 | 112,2 |
3,7 | 108,4 | 109,2 | 110,0 | 110,7 | 111,5 | 112,3 | 113,1 | 113,9 | 114,6 | 115,4 |
3,8 | 111,5 | 112,3 | 113,1 | 113,9 | 114,7 | 115,5 | 116,3 | 117,1 | 117,9 | 118,7 |
3,9 | 114,6 | 115,4 | 116,2 | 117,1 | 117,9 | 118,7 | 119,5 | 120,4 | 121,2 | 122,0 |
4,0 | 117,7 | 118,6 | 119,4 | 120,3 | 121,1 | 121,9 | 122,8 | 123,6 | 124,5 | 125,3 |
4,1 | 120,9 | 121,7 | 122,6 | 123,5 | 124,3 | 125,2 | 126,0 | 126,9 | 127,8 | 128,6 |
4,2 | 124,0 | 124,9 | 125,8 | 126,7 | 127,6 | 128,4 | 129,3 | 130,2 | 131,1 | 132,0 |
4,3 | 127,2 | 128,1 | 129,0 | 129,9 | 130,8 | 131,7 | 132,6 | 133,5 | 134,4 | 135,3 |
4,4 | 130,4 | 131,3 | 132,2 | 133,1 | 134,1 | 135,0 | 135,9 | 136,8 | 137,7 | 138,7 |
4,5 | 133,6 | 134,5 | 135,4 | 136,4 | 137,3 | 138,3 | 139,2 | 140,2 | 141,1 | 142,0 |
4,6 | 136,8 | 137,7 | 138,7 | 139,6 | 140,6 | 141,6 | 142,5 | 143,5 | 144,5 | 145,4 |
4,7 | 140,0 | 141,0 | 141,9 | 142,9 | 143,9 | 144,9 | 145,9 | 146,9 | 147,8 | 148,8 |
4,8 | 143,2 | 144,2 | 145,2 | 146,2 | 147,2 | 148,2 | 149,2 | 150,2 | 151,2 | 152,2 |
4,9 | 146,5 | 147,5 | 148,5 | 149,5 | 150,5 | 151,6 | 152,6 | 153,6 | 154,6 | 155,7 |
5,0 | 149,7 | 150,8 | 151,8 | 152,8 | 153,9 | 154,9 | 156,0 | 157,0 | 158,0 | 159,1 |
5,1 | 153,0 | 154,1 | 155,1 | 156,2 | 157,2 | 158,3 | 159,4 | 160,4 | 161,5 | 162,5 |
5,2 | 156,3 | 157,4 | 158,5 | 159,5 | 160,6 | 161,7 | 162,8 | 163,8 | 164,9 | 166,0 |
5,3 | 159,6 | 160,7 | 161,8 | 162,9 | 164,0 | 165,1 | 166,2 | 167,3 | 168,4 | 169,5 |
5,4 | 162,9 | 164,0 | 165,2 | 166,3 | 167,4 | 168,5 | 169,6 | 170,7 | 171,9 | 173,0 |
5,5 | 166,3 | 167,4 | 168,5 | 169,7 | 170,8 | 171,9 | 173,1 | 174,2 | 175,4 | 176,5 |
5,6 | 169,6 | 170,8 | 171,9 | 173,1 | 174,2 | 175,4 | 176,6 | 177,7 | 178,9 | 180,0 |
5,7 | 173,0 | 174,2 | 175,3 | 176,5 | 177,7 | 178,9 | 180,0 | 181,2 | 182,4 | 183,6 |
5,8 | 176,4 | 177,6 | 178,8 | 179,9 | 181,1 | 182,3 | 183,5 | 184,7 | 185,9 | 187,1 |
5,9 | 179,8 | 181,0 | 182,2 | 183,4 | 184,6 | 185,8 | 187,0 | 188,3 | 189,5 | 190,7 |
6,0 | 183,2 | 184,4 | 185,6 | 186,9 | 188,1 | 189,3 | 190,6 | 191,8 | 193,0 | 194,3 |
Окончание таблицы 1
В миллиметрах
Ширина b | Длина l |
14,1 | 14,2 | 14,3 | 14,4 | 14,5 | 14,6 | 14,7 | 14,8 | 14,9 | 15,0 |
1,5 | - | - | - | - | - | - | - | - | - | - |
1,6 | - | - | - | - | - | - | - | - | - | - |
1,7 | - | - | - | - | - | - | - | - | - | - |
1,8 | - | - | - | - | - | - | - | - | - | - |
1,9 | - | - | - | - | - | - | - | - | - | - |
2,0 | - | - | - | - | - | - | - | - | - | - |
2,1 | - | - | - | - | - | - | - | - | - | - |
2,2 | - | - | - | - | - | - | - | - | - | - |
2,3 | - | - | - | - | - | - | - | - | - | - |
2,4 | 74,2 | 74,8 | 75,3 | 75,8 | - | - | - | - | - | - |
2,5 | 77,4 | 77,9 | 78,5 | 79,0 | 79,6 | 80,1 | 80,6 | 81,2 | 81,7 | 82,2 |
2,6 | 80,6 | 81,1 | 81,7 | 82,3 | 82,8 | 83,4 | 83,9 | 84,5 | 85,0 | 85,6 |
2,7 | 83,8 | 84,4 | 84,9 | 85,5 | 86,1 | 86,7 | 87,2 | 87,8 | 88,4 | 89,0 |
2,8 | 87,0 | 87,6 | 88,2 | 88,8 | 89,4 | 90,0 | 90,6 | 91,2 | 91,8 | 92,4 |
2,9 | 90,2 | 90,8 | 91,4 | 92,0 | 92,7 | 93,3 | 93,9 | 94,5 | 95,1 | 95,8 |
3,0 | 93,4 | 94,0 | 94,7 | 95,3 | 96,0 | 96,6 | 97,2 | 97,9 | 98,5 | 99,2 |
3,1 | 96,6 | 97,3 | 97,9 | 98,6 | 99,3 | 99,9 | 100,6 | 101,3 | 101,9 | 102,6 |
3,2 | 99,9 | 100,5 | 101,2 | 101,9 | 102,6 | 103,3 | 104,0 | 104,6 | 105,3 | 106,0 |
3,3 | 103,1 | 103,8 | 104,5 | 105,2 | 105,9 | 106,6 | 107,3 | 108,0 | 108,7 | 109,4 |
3,4 | 106,4 | 107,1 | 107,8 | 108,5 | 109,3 | 110,0 | 110,7 | 111,4 | 112,1 | 112,9 |
3,5 | 109,6 | 110,4 | 111,1 | 111,9 | 112,6 | 113,4 | 114,1 | 114,8 | 115,6 | 116,3 |
3,6 | 112,9 | 113,7 | 114,4 | 115,2 | 116,0 | 116,7 | 117,5 | 118,3 | 119,0 | 119,8 |
3,7 | 116,2 | 117,0 | 117,8 | 118,6 | 119,3 | 120,1 | 120,9 | 121,7 | 122,5 | 123,3 |
3,8 | 119,5 | 120,3 | 121,1 | 121,9 | 122,7 | 123,5 | 124,3 | 125,1 | 125,9 | 126,8 |
3,9 | 122,8 | 123,7 | 124,5 | 125,3 | 126,1 | 127,0 | 127,8 | 128,6 | 129,4 | 130,3 |
4,0 | 126,2 | 127,0 | 127,8 | 128,7 | 129,5 | 130,4 | 131,2 | 132,1 | 132,9 | 133,8 |
4,1 | 129,5 | 130,4 | 131,2 | 132,1 | 133,0 | 133,8 | 134,7 | 135,6 | 136,4 | 137,3 |
4,2 | 132,8 | 133,7 | 134,6 | 135,5 | 136,4 | 137,3 | 138,2 | 139,0 | 139,9 | 140,8 |
4,3 | 136,2 | 137,1 | 138,0 | 138,9 | 139,8 | 140,7 | 141,6 | 142,5 | 143,5 | 144,4 |
4,4 | 139,6 | 140,5 | 141,4 | 142,4 | 143,3 | 144,2 | 145,1 | 146,1 | 147,0 | 147,9 |
4,5 | 143,0 | 143,9 | 144,9 | 145,8 | 146,8 | 147,7 | 148,7 | 149,6 | 150,5 | 151,5 |
4,6 | 146,4 | 147,3 | 148,3 | 149,3 | 150,2 | 151,2 | 152,2 | 153,1 | 154,1 | 155,1 |
4,7 | 149,8 | 150,8 | 151,8 | 152,8 | 153,7 | 154,7 | 155,7 | 156,7 | 157,7 | 158,7 |
4,8 | 153,2 | 154,2 | 155,2 | 156,2 | 157,2 | 158,3 | 159,3 | 160,3 | 161,3 | 162,3 |
4,9 | 156,7 | 157,7 | 158,7 | 159,7 | 160,8 | 161,8 | 162,8 | 163,8 | 164,9 | 165,9 |
5,0 | 160,1 | 161,2 | 162,2 | 163,3 | 164,3 | 165,4 | 166,4 | 167,4 | 168,5 | 169,5 |
5,1 | 163,6 | 164,7 | 165,7 | 166,8 | 167,9 | 168,9 | 170,0 | 171,1 | 172,1 | 173,2 |
5,2 | 167,1 | 168,2 | 169,3 | 170,3 | 171,4 | 172,5 | 173,6 | 174,7 | 175,8 | 176,8 |
5,3 | 170,6 | 171,7 | 172,8 | 173,9 | 175,0 | 176,1 | 177,2 | 178,3 | 179,4 | 180,5 |
5,4 | 174,1 | 175,2 | 176,4 | 177,5 | 178,6 | 179,7 | 180,8 | 182,0 | 183,1 | 184,2 |
5,5 | 177,6 | 178,8 | 179,9 | 181,1 | 182,2 | 183,3 | 184,5 | 185,6 | 186,8 | 187,9 |
5,6 | 181,2 | 182,3 | 183,5 | 184,7 | 185,8 | 187,0 | 188,1 | 189,3 | 190,5 | 191,6 |
5,7 | 184,7 | 185,9 | 187,1 | 188,3 | 189,5 | 190,6 | 191,8 | 193,0 | 194,2 | 195,4 |
5,8 | 188,3 | 189,5 | 190,7 | 191,9 | 193,1 | 194,3 | 195,5 | 196,7 | 197,9 | 199,1 |
5,9 | 191,9 | 193,1 | 194,3 | 195,6 | 196,8 | 198,0 | 199,2 | 200,4 | 201,7 | 202,9 |
6,0 | 195,5 | 196,7 | 198,0 | 199,2 | 200,5 | 201,7 | 202,9 | 204,2 | 205,4 | 206,7 |