Главная // Актуальные документы // ГОСТ (Государственный стандарт)СПРАВКА
Источник публикации
М.: Стандартинформ, 2014
Примечание к документу
Текст данного документа приведен с учетом
поправки, опубликованной в "ИУС", N 6, 2019.
Документ
введен в действие с 1 июля 2014 года.
Название документа
"ГОСТ 32042-2012. Межгосударственный стандарт. Премиксы. Методы определения витаминов группы B"
(введен в действие Приказом Росстандарта от 28.06.2013 N 304-ст)
"ГОСТ 32042-2012. Межгосударственный стандарт. Премиксы. Методы определения витаминов группы B"
(введен в действие Приказом Росстандарта от 28.06.2013 N 304-ст)
по техническому регулированию
и метрологии
от 28 июня 2013 г. N 304-ст
МЕЖГОСУДАРСТВЕННЫЙ СТАНДАРТ
ПРЕМИКСЫ
МЕТОДЫ ОПРЕДЕЛЕНИЯ ВИТАМИНОВ ГРУППЫ B
Premixes. Methods for determination of vitamin B complex
ГОСТ 32042-2012
Дата введения
1 июля 2014 года
Цели, основные принципы и основной порядок проведения работ по межгосударственной стандартизации установлены
ГОСТ 1.0-92 "Межгосударственная система стандартизации. Основные положения" и
ГОСТ 1.2-2009 "Межгосударственная система стандартизации. Стандарты межгосударственные, правила и рекомендации по межгосударственной стандартизации. Правила разработки, принятия, применения, обновления и отмены".
1. Разработан Открытым акционерным обществом "Всероссийский научно-исследовательский институт комбикормовой промышленности" (ОАО "ВНИИКП").
2. Внесен Федеральным агентством по техническому регулированию и метрологии (ТК 004).
3. Принят Межгосударственным советом по стандартизации, метрологии и сертификации (протокол от 3 декабря 2012 г. N 54-П).
За принятие проголосовали:
Краткое наименование страны по МК (ИСО 3166) 004-97 | Код страны по МК (ИСО 3166) 004-97 | Сокращенное наименование национального органа по стандартизации |
Армения | AM | Минэкономразвития Республики Армения |
Беларусь | BY | Госстандарт Республики Беларусь |
Казахстан | KZ | Госстандарт Республики Казахстан |
Киргизия | KG | Кыргызстандарт |
Молдова | MD | Молдова-Стандарт |
Россия | RU | Росстандарт |
Таджикистан | TJ | Таджикстандарт |
Узбекистан | UZ | Узстандарт |
4.
Приказом Федерального агентства по техническому регулированию и метрологии от 28 июня 2013 г. N 304-ст межгосударственный стандарт ГОСТ 32042-2012 введен в действие в качестве национального стандарта Российской Федерации с 1 июля 2014 г.
5. Введен впервые.
Информация об изменениях к настоящему стандарту публикуется в ежегодном информационном указателе "Национальные стандарты", а текст изменений и поправок - в ежемесячном информационном указателе "Национальные стандарты". В случае пересмотра (замены) или отмены настоящего стандарта соответствующее уведомление будет опубликовано в ежемесячном информационном указателе "Национальные стандарты". Соответствующая информация, уведомление и тексты размещаются также в информационной системе общего пользования - на официальном сайте Федерального агентства по техническому регулированию и метрологии в сети Интернет.
Настоящий стандарт распространяется на премиксы и устанавливает методы определения содержания витаминов группы B (

,

, холинхлорида,

).
Содержание витаминов

и

определяют методом измерения интенсивности флуоресценции, витаминов

,

и

- методом высокоэффективной жидкостной хроматографии, холинхлорида и витамина

- колориметрическим методом.
Используемые методы обеспечивают сопоставимость результатов испытаний.
В настоящем стандарте использованы нормативные ссылки на следующие межгосударственные стандарты:
ГОСТ 12.2.007.0-75 Система стандартов безопасности труда. Изделия электротехнические. Общие требования безопасности
ГОСТ 61-75 Реактивы. Кислота уксусная. Технические условия
ГОСТ 246-76 Гидросульфит натрия технический. Технические условия
ГОСТ 1770-74 (ИСО 1042-83, ИСО 4788-80) Посуда мерная лабораторная стеклянная. Цилиндры, мензурки, колбы, пробирки. Общие технические условия
ГОСТ 4139-75 Реактивы. Калий роданистый. Технические условия
ГОСТ 4166-76 Реактивы. Натрий сернокислый. Технические условия
ГОСТ 4174-77 Реактивы. Цинк сернокислый 7-водный. Технические условия
ГОСТ 4201-79 Реактивы. Натрий углекислый кислый. Технические условия
ГОСТ 4206-75 Реактивы. Калий железосинеродистый. Технические условия
ГОСТ 4328-77 Реактивы. Натрия гидроокись. Технические условия
ГОСТ 4530-76 Реактивы. Кальций углекислый. Технические условия
ГОСТ 6016-77 Реактивы. Спирт изобутиловый. Технические условия
ГОСТ 6217-74 Уголь активный древесный дробленый. Технические условия
ГОСТ 6552-80 Реактивы. Кислота ортофосфорная. Технические условия
ГОСТ 9147-80 Посуда и оборудование лабораторные фарфоровые. Технические условия
ГОСТ 9337-79 Реактивы. Натрий фосфорнокислый 12-водный. Технические условия
ГОСТ 12026-76 Бумага фильтровальная лабораторная. Технические условия
ГОСТ 18300-87 Спирт этиловый ректификованный технический. Технические условия
ГОСТ 19908-90 Тигли, чаши, стаканы, колбы, воронки, пробирки и наконечники из прозрачного кварцевого стекла. Общие технические условия
ГОСТ 24104-2001 Весы лабораторные общего назначения и образцовые. Общие технические условия
ГОСТ 25336-82 Посуда и оборудование лабораторные стеклянные. Типы, основные параметры и размеры
ГОСТ 25664-83 Метол (4-метиламинофенол сульфат). Технические условия
ГОСТ 29227-91 (ИСО 835-1-81) Посуда лабораторная стеклянная. Пипетки градуированные. Часть 1. Общие требования
ГОСТ 29228-91 (ИСО 835-2-81) Посуда лабораторная стеклянная. Пипетки градуированные. Часть 2. Пипетки градуированные без установленного времени ожидания
ГОСТ 31218-2003 (ИСО 6498:1998) Корма, комбикорма, комбикормовое сырье. Подготовка испытуемых проб
Примечание. При пользовании настоящим стандартом целесообразно проверить действие ссылочных стандартов в информационной системе общего пользования - на официальном сайте Федерального агентства по техническому регулированию и метрологии в сети Интернет или по ежегодному информационному указателю "Национальные стандарты", который опубликован по состоянию на 1 января текущего года, и по выпускам ежемесячного информационного указателя "Национальные стандарты" за текущий год. Если ссылочный стандарт заменен (изменен), то при пользовании настоящим стандартом следует руководствоваться заменяющим (измененным) стандартом. Если ссылочный стандарт отменен без замены, то положение, в котором дана ссылка на него, применяется в части, не затрагивающей эту ссылку.
4. Подготовка проб для испытания
Подготовка проб - по ГОСТ 31218.
5. Определение содержания витамина

(тиамина) методом
измерения интенсивности флуоресценции
5.1. Сущность метода заключается в извлечении витамина

(тиамина) из анализируемой пробы премикса раствором серной кислоты, окислении его раствором железосинеродистого калия в тиохром, экстракции окисленной формы из водной фазы изобутиловым спиртом и измерении интенсивности флуоресценции.
Метод применим в диапазоне измерений содержания витамина

в премиксе от 50 до 5000 г/т.
Примечание. Данный метод не рекомендуется для определения содержания витамина

в премиксах, выработанных на основе минерального наполнителя, который дает завышенную ошибку при измерении флуоресценции.
5.2. Средства измерений, оборудование, материалы и реактивы
Весы лабораторные по
ГОСТ 24104 с наибольшим пределом взвешивания 200 г и допускаемой погрешностью +/- 0,001 г.
Флуориметр любого типа с комплектом светофильтров и пределом допускаемой погрешности измерения от максимального значения шкалы +/- 2%.
Аппарат для встряхивания жидкости типа АВУ-1.
Воронки стеклянные В-36(56)-50(80) ХС по
ГОСТ 25336.
Цилиндры 1(2, 3, 4)-25(50, 100) по
ГОСТ 1770.
Фильтры обеззоленные (красная лента).
Кислота серная по
ГОСТ 4204, раствор молярной концентрации

.
Кислота соляная по
ГОСТ 3118, раствор в соотношении 1:1 по объему и раствор молярной концентрации c(HCl) = 0,01 моль/дм3.
Натрия гидроокись по
ГОСТ 4328, раствор с массовой долей 10%.
Калий железосинеродистый (красная кровяная соль) по
ГОСТ 4206, раствор с массовой долей 1%.
Хининсульфат или хининхлорид.
Витамин

(тиаминхлорид гидрохлорид) с массовой долей не менее 99,0%.
Примечания
1. Допускается использование других средств измерений и оборудования с техническими и метрологическими характеристиками не ниже указанных.
2. Все реактивы должны быть квалификации х.ч. или ч.д.а.
5.3. Подготовка к испытанию
5.3.1. Приготовление окислительной смеси
1 см3 свежеприготовленного раствора железосинеродистого калия смешивают с 49 см3 раствора гидроокиси натрия.
Смесь готовят в день проведения испытания.
5.3.2. Приготовление основного стандартного раствора хининсульфата (или хининхлорида)
10 мг хининсульфата (или хининхлорида) растворяют в мерной колбе вместимостью 100 см3 в растворе серной кислоты и доводят этой кислотой объем до метки.
Срок хранения раствора в холодильнике при температуре 4 °C - 5 °C в склянке из темного стекла - не более одного года.
5.3.3. Приготовление рабочего стандартного раствора хининсульфата (или хининхлорида)
1 см3 основного стандартного раствора (см.
5.3.2) переносят в мерную колбу вместимостью 100 см3 и доводят объем до метки раствором серной кислоты.
Массовая концентрация рабочего раствора хининсульфата (или хининхлорида) - 1 мкг/см3.
Раствор готовят непосредственно перед проведением испытания.
5.3.4. Приготовление основного стандартного раствора витамина

10 мг витамина

растворяют в мерной колбе вместимостью 100 см3
в растворе соляной кислоты молярной концентрации c(HCl) = 0,01 моль/дм3
и доводят соляной кислотой объем до метки.
Массовая концентрация основного стандартного раствора витамина

- 100 мкг/см3.
Срок хранения раствора в склянке из темного стекла в прохладном месте - не более 1 мес.
5.3.5. Контроль за содержанием витамина

в основном стандартном растворе проводят по
7.3.4.
5.3.6. Приготовление рабочего стандартного раствора витамина

1 см3 основного стандартного раствора витамина

(см.
5.3.4) переносят в мерную колбу вместимостью 100 см3 и доводят дистиллированной водой объем до метки.
Массовая концентрация рабочего стандартного раствора витамина

- 1 мкг/см3.
Раствор готовят непосредственно перед проведением испытания.
5.4. Проведение испытания
Анализируемую пробу премикса массой от 2 до 5 г, взвешенную с записью результата до третьего десятичного знака, помещают в мерную колбу вместимостью 100 см3, добавляют 5 г хлористого калия и приливают 70 см3 раствора серной кислоты. Затем колбу с реактивами встряхивают на аппарате в течение 10 мин, доводят объем в колбе до метки раствором серной кислоты, перемешивают и фильтруют через бумажный фильтр, отбросив первую порцию фильтрата. Переносят 2 см3 фильтрата в мерную колбу вместимостью 50 см3 и доводят раствором серной кислоты объем до метки.
Примечание. При необходимости допускаются другие разведения.
Отбирают 20 см3 разбавленного фильтрата и переносят в делительную воронку, приливают 20 см3 изобутилового спирта, тщательно перемешивают в течение 2 мин. После расслоения верхний слой сливают, а нижний переносят в градуированную пробирку и доводят до объема 20 см3 раствором серной кислоты, затем перемешивают.
Из пробирки берут 8 см3 полученного раствора и переносят в делительную воронку, приливают 6 см3 окислительной смеси (см.
5.3.1), перемешивают, добавляют 20 см3 изобутилового спирта и встряхивают в течение 2 мин. После расслоения нижний (водный) слой отбрасывают, а верхний (спиртовый) фильтруют через обеззоленный фильтр (красная лента), пропуская через слой безводного сернокислого натрия (4 - 5 г) во флуориметрическую пробирку и флуориметрируют.
Берут 8 см3 рабочего стандартного раствора витамина

(см.
5.3.6) и проводят его окисление, как с анализируемой пробой.
Для гашения флуоресценции в анализируемом и рабочем стандартном растворах к ним добавляют по 1 - 2 капли раствора соляной кислоты в соотношении 1:1 по объему, перемешивают и измеряют остаточную флуоресценцию.
Если в качестве рабочего стандартного раствора используют раствор хининсульфата (или хининхлорида), то его не окисляют и не гасят, т.к. он имеет одно и то же значение по флуориметру, равное 72.
По рабочему стандартному раствору хининсульфата (или хининхлорида) (см.
5.3.3) или витамина

(см.
5.3.6) в соответствии с инструкцией настраивают флуориметр на деление шкалы 80.
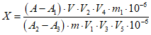
5.5. Обработка результатов
Массовую долю витамина

в премиксе, X, г/т, вычисляют по формуле

, (1)
где A,

- показания флуориметра для анализируемого раствора до и после гашения соответственно, усл. ед.;
V - первоначальный объем анализируемого раствора, см3;

- объем фильтрата, взятый для разведения, см3;

- масса витамина

или хининсульфата (хининхлорида) в 8 см3 рабочего стандартного раствора, мкг;
F,

- показания флуориметра для рабочего стандартного раствора витамина

до и после гашения соответственно, усл. ед.;
m - масса анализируемой пробы премикса, г;

- объем разбавленного фильтрата, см3;

- объем анализируемого раствора, взятый на испытание, 8 см3;

- коэффициенты пересчета микрограммов в граммы и граммов в тонну.
Примечание. При использовании в качестве рабочего стандартного раствора хининсульфата (хининхлорида) в расчетную формулу вместо выражения

подставляют цифру 72.
Вычисления проводят до первого десятичного знака с последующим округлением до целого числа.
За окончательный результат принимают среднеарифметическое значение двух параллельных определений, выполненных в условиях повторяемости и удовлетворяющих условию приемлемости
11.1 настоящего стандарта.
6. Определение содержания витамина

(рибофлавина)
методом измерения интенсивности флуоресценции
6.1. Сущность метода заключается в извлечении витамина

(рибофлавина) из анализируемой пробы премикса путем кислотного гидролиза и измерении интенсивности флуоресценции.
Метод применим в диапазоне измерений содержания витамина

в премиксе от 50 до 5000 г/т.
6.2. Средства измерений, оборудование, материалы и реактивы
Весы лабораторные по
ГОСТ 24104 с наибольшим пределом взвешивания 200 г и допускаемой погрешностью +/- 0,001 г.
Флуориметр любого типа с комплектом светофильтров и пределом допускаемой погрешности измерения от максимального значения шкалы +/- 2%.
pH-метр любого типа с пределом допускаемой погрешности +/- 0,1 ед. pH.
Баня водяная.
Центрифуга лабораторная с числом оборотов не менее 8000 в мин.
Фильтры обеззоленные (синяя лента).
Колбы мерные 2-50(100, 1000)-1(2) по
ГОСТ 1770.
Витамин

(рибофлавин) с массовой долей не менее 99,0%.
Кислота соляная по
ГОСТ 3118, раствор с массовой долей 5% и раствор молярной концентрации c(HCl) = 0,1 моль/дм3.
Натрия гидроокись по
ГОСТ 4328, раствор с массовой долей 15%.
Натрия гидросульфит по ГОСТ 246.
Склянки из темного стекла.
Примечания
1. Допускается использование других средств измерений и оборудования с техническими и метрологическими характеристиками не ниже указанных.
2. Все реактивы должны быть квалификации х.ч. или ч.д.а.
6.3. Подготовка к испытанию
6.3.1. Приготовление основного стандартного раствора витамина

40 мг витамина

помещают в мерную колбу вместимостью 1000 см3, добавляют до 1/2 объема дистиллированной воды, подкисленной 10 см3 ледяной уксусной кислоты. Колбу нагревают на водяной бане при температуре до 50 °C до полного растворения витамина. Объем доводят дистиллированной водой до метки.
Массовая концентрация основного стандартного раствора витамина

- 40 мкг/см3.
Срок хранения раствора в склянке из темного стекла в прохладном, темном месте - не более 2 мес.
6.3.2. Контроль за содержанием витамина

в основном стандартном растворе проводят по
7.3.4.
6.3.3. Приготовление рабочего стандартного раствора витамина

1 см3 основного стандартного раствора витамина

(см.
6.3.1) переносят в мерную колбу вместимостью 100 см3 и доводят объем до метки дистиллированной водой, подкисленной раствором соляной кислоты с массовой долей 5% до 5,5 - 6,0 ед. pH.
Массовая концентрация рабочего стандартного раствора витамина

- 0,4 мкг/см3.
Раствор готовят непосредственно перед проведением испытания.
6.4. Проведение испытания
Анализируемую пробу премикса массой от 2 до 5 г, взвешенную с записью результата до третьего десятичного знака, помещают в мерную колбу вместимостью 100 см3, приливают 75 см3 раствора соляной кислоты молярной концентрации c(HCl) = 0,1 моль/дм3, смывая частицы премикса со стенок колбы. Колбу помещают в кипящую водяную баню на 20 мин. Содержимое колбы периодически перемешивают.
После охлаждения колбы pH раствора доводят до значения 5,5 - 6,0 ед. pH раствором гидроокиси натрия. Затем объем в колбе доводят дистиллированной водой до метки, хорошо перемешивают и центрифугируют в течение 15 мин при 8000 об./мин.
Из полученного фильтрата готовят раствор с нужным разведением (например, 1 см3 фильтрата разводят дистиллированной водой в мерной колбе вместимостью 50 см3) и определяют интенсивность флуоресценции, помещая в одну флуориметрическую пробирку от 12 до 15 см3 анализируемого раствора, в другую - такое же количество рабочего стандартного раствора витамина

(см.
6.3.3). Затем в эти пробирки добавляют 2 - 3 раза по 0,1 г двууглекислого натрия и по 0,1 г гидросульфита натрия или 4 - 6 капель раствора гидроокиси натрия. Содержимое пробирок осторожно перемешивают, фильтруют, если раствор мутный, и снова измеряют интенсивность флуоресценции.
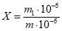
6.5. Обработка результатов
Массовую долю витамина

в премиксе, X, г/т, вычисляют по формуле

, (2)
где A,

- показания флуориметра для анализируемого раствора до и после гашения флуоресценции соответственно, усл. ед.;
C - массовая концентрация витамина

в рабочем стандартном растворе, мкг/см3;
V - первоначальный объем анализируемого раствора, см3;

- окончательный объем разведения анализируемого раствора, см3;
F,

- показания флуориметра для рабочего стандартного раствора витамина

до и после гашения флуоресценции соответственно, усл. ед.;
m - масса анализируемой пробы премикса, г;

- объем анализируемого раствора, взятый для разведения, см3;

- коэффициенты пересчета микрограммов в граммы и граммов в тонну.
Вычисления проводят до первого десятичного знака с последующим округлением до целого числа.
За окончательный результат принимают среднеарифметическое значение двух параллельных определений, выполненных в условиях повторяемости и удовлетворяющих условию приемлемости
11.1 настоящего стандарта.
7. Определение содержания витаминов

(тиамина)
и

(рибофлавина) методом высокоэффективной
жидкостной хроматографии
7.1. Сущность метода заключается в экстракции витаминов

(тиамина) и

(рибофлавина) из анализируемой пробы премикса раствором соляной кислоты и определении их содержания на жидкостном хроматографе со спектрофотометрическим детектором с использованием обращенно-фазного режима элюирования.
Метод применим при содержании витамина

в премиксе в диапазоне измерений от 50 до 500 г/т, витамина

- в диапазоне измерений от 100 до 2000 г/т.
7.2. Средства измерений, оборудование, материалы и реактивы
Хроматограф жидкостный, укомплектованный спектрофотометрическим детектором, пригодным для измерения оптической плотности при длине волны 254 нм, самописцем или интегратором, позволяющим измерять высоту и площадь пиков, и компьютером с установленным программным обеспечением для обработки результатов измерений.
Колонка хроматографическая стальная или стеклянная высотой 150 мм и диаметром 4 мм с числом теоретических тарелок не менее 2000, заполненная сорбентом "Силасорб С-18" или "Сепарон С-18".
Спектрофотометр со спектральным диапазоном от 186 до 1100 нм.
Весы лабораторные по
ГОСТ 24104 с наибольшим пределом взвешивания 200 г и допускаемой погрешностью +/- 0,001 г.
pH-метр любого типа с пределом допускаемой погрешности +/- 0,1 ед. pH.
Мешалка магнитная типа ММ-5.
Центрифуга лабораторная с числом оборотов не менее 6000 в мин.
Иономер со стеклянным электродом с пределом допускаемой погрешности +/- 0,05 ед. pH.
Баня водяная.
Микрошприц или микропипетка.
Колбы конические со шлифом Кн-2-100-14/23 ТХС по
ГОСТ 25336.
Колбы мерные 2-25(50, 100, 200)-1(2) по
ГОСТ 1770.
Воронка для фильтрования ВФ-1-56(75) ХС со стеклянным фильтром ФКП-56(75) ПОР 100 ХС или ВФ-2-75(110) ХС со стеклянным фильтром ФКП-75(110) ПОР 100 ХС по
ГОСТ 25336.
Ацетонитрил с массовой долей не менее 99,98%.
Натрия октилсульфонат, хроматографически чистый.
Кислота соляная по
ГОСТ 3118, концентрированная и раствор молярной концентрации c(HCl) = 0,01 моль/дм3.
Витамин

(тиаминхлорид гидрохлорид) с массовой долей не менее 99,0%.
Триэтиламин с массовой долей не менее 99,5%.
Витамин

(рибофлавин) с массовой долей не менее 99,0%.
Примечания
1. Допускается использование других средств измерений и оборудования с техническими и метрологическими характеристиками не ниже указанных.
2. Все реактивы должны быть квалификации х.ч. или ч.д.а.
7.3. Подготовка к испытанию
7.3.1. Приготовление элюента
В мерной колбе вместимостью 1000 см3 смешивают 700 - 800 см3 дистиллированной воды и 120 см3 ацетонитрила, добавляют 2,5 см3 триэтиламина, 0,5 г октилсульфоната натрия и приливают ортофосфорную кислоту до pH, равного 7,6 ед. pH. Объем доводят дистиллированной водой до метки. Полученную смесь фильтруют через стеклянный фильтр для удаления механических примесей.
Срок хранения элюента - не более 1 мес.
7.3.2. Приготовление раствора-экстрагента
В мерной колбе вместимостью 1000 см3 смешивают небольшое количество дистиллированной воды с 0,8 см3 концентрированной (37%-ной) соляной кислоты. Объем доводят дистиллированной водой до метки. pH раствора (2,0 +/- 0,2) ед. pH.
7.3.3. Приготовление основных стандартных растворов витаминов

и

Для приготовления основных стандартных растворов витаминов

и

берут 0,1 г витамина

и 0,01 г витамина

. Витамины растворяют в дистиллированной воде при нагревании на водяной бане до температуры 70 °C - 80 °C в мерных колбах вместимостью 100 см3 и 200 см3 для витаминов

и

соответственно. Объемы в колбах доводят дистиллированной водой до метки.
Массовые концентрации основных стандартных растворов:
- витамина

- 1 мг/см3,
- витамина

- 0,05 мг/см3.
Срок хранения основных стандартных растворов витаминов

и

в холодильнике при температуре 4 °C - 5 °C - не более 2 недель.
7.3.4. Контроль за содержанием витаминов

и

в основных стандартных растворах
Контроль за содержанием витаминов в основных стандартных растворах осуществляют спектрофотометрически по значениям молярных коэффициентов светопоглощения.
Для этого основные стандартные растворы (см.
7.3.3) разбавляют дистиллированной водой в объемном соотношении 1:49 и измеряют оптическую плотность растворов на спектрофотометре в кювете толщиной поглощающего свет слоя 10 мм.
Массовую концентрацию витамина

или

, C, мг/см3, в основных стандартных растворах вычисляют по формуле

, (3)
где

- массовая концентрация витамина

или

в рабочем стандартном растворе, мг/см3;

- объем разведенного стандартного раствора

или

, см3;
D - оптическая плотность витамина

или

, е.о.п.;

- объем рабочего стандартного раствора витамина

или

, взятый для разведения, см3;
E - молярный коэффициент светопоглощения при рабочей длине волны 268 нм для витамина

и 445 нм для витамина

, значение которого соответственно 205 и 324 е.о.п./см;
l - толщина слоя раствора в кювете, см.
7.3.5. Приготовление рабочего стандартного раствора витаминов

и

В мерную колбу вместимостью 50 см3 помещают 1 см3 и 25 см3 основных стандартных растворов витамина

и витамина

(см.
7.3.3), объем доводят дистиллированной водой до метки и перемешивают.
Массовые концентрации витаминов в рабочем стандартном растворе составляют 20 мкг/см3 - для витамина

и 25 мкг/см3 - для витамина

.
Рабочий стандартный раствор готовят в день проведения испытаний.
7.4. Проведение испытания
7.4.1. Экстракция витаминов

и

Для определения содержания витамина

и

в премиксе проводят два параллельных испытания, начиная со взвешивания анализируемой пробы.
(1,000 +/- 0,002) г анализируемой пробы премикса помещают в коническую колбу со шлифом вместимостью 100 см3 и приливают 10 см3 раствора соляной кислоты молярной концентрации c(HCl) = 0,01 моль/дм3.
Колбу ставят на магнитную мешалку с включением нагрева. Перемешивание и нагрев осуществляют в течение 10 мин. Полученную суспензию переливают в центрифужную пробирку и центрифугируют при 5000 - 6000 об./мин в течение 3 мин. Центрифугат сливают в мерную колбу вместимостью 25 см3. Коническую колбу с остатком раствора ополаскивают небольшим количеством (4 - 5 см3) раствора соляной кислоты молярной концентрации c(HCl) = 0,01 моль/дм3, сливают раствор в центрифужную пробирку и снова центрифугируют. Центрифугат соединяют с первым в той же мерной колбе. Промывание центрифугированием повторяют 2 - 3 раза, каждый раз сливая промывные воды в ту же колбу. После этого раствор в мерной колбе доводят дистиллированной водой до метки и перемешивают.
Полученный раствор фильтруют или дополнительно центрифугируют для очищения от механических примесей и взвешенных частиц. Приготовленный раствор используют для хроматографирования.
7.4.2. Хроматографирование
Хроматографирование осуществляют при следующих условиях:
- колонка размером 4 x 150 мм, заполненная сорбентом;
- подвижная фаза - элюент (см.
7.3.1);
- рабочая длина волны спектрофотометрического детектора хроматографа - 254 нм;
- скорость элюирования - 1,2 см3/мин;
- время удерживания для витамина

составляет 6 мин, для витамина

- 8 мин;
- объем загрузки анализируемого раствора - 10 мм3.
Для насыщения колонки в начале работы проводят от трех до пяти загрузок рабочего стандартного раствора и отмечают высоты пиков. При достижении постоянной высоты можно приступить к испытаниям. Анализируемый раствор и рабочий стандартный раствор витаминов

и

хроматографируют каждый по три раза в одинаковых условиях и находят среднее арифметическое значение высот пиков (Приложение А,
рисунки А.1,
А.2).
7.5. Обработка результатов
Массовую долю витамина

или

в премиксе, X, г/т, вычисляют по формуле

, (4)
где

,

- высоты пиков витамина на хроматограммах экстракта из премикса и рабочего стандартного раствора соответственно, е.о.п. или мм;

- массовая концентрация витамина в рабочем стандартном растворе (см.
7.3.5), мкг/см3;
V - объем экстракта витамина из премикса (см.
7.4.1), см3;
m - масса анализируемой пробы премикса, г;

- коэффициенты пересчета микрограммов в граммы и граммов в тонну.
Вычисления проводят до первого десятичного знака с последующим округлением до целого числа.
За окончательный результат принимают среднеарифметическое значение двух параллельных определений, выполненных в условиях повторяемости и удовлетворяющих условию приемлемости
11.1 настоящего стандарта.
8. Определение содержания холинхлорида
колориметрическим методом
8.1. Сущность метода заключается в экстракции холинхлорида дистиллированной водой, образовании в присутствии трехзамещенного фосфата натрия комплекса рейнеката холинхлорида и колориметрическом измерении интенсивности окраски его ацетоновых растворов.
Метод применим в диапазоне измерений содержания холинхлорида в премиксе от 1000 до 100000 г/т.
8.2. Средства измерений, оборудование, материалы и реактивы
Весы лабораторные по
ГОСТ 24104 с наибольшим пределом взвешивания 200 г и допускаемой погрешностью +/- 0,001 г.
Фотоэлектроколориметр со спектральным диапазоном от 200 до 2000 нм или спектрофотометр со спектральным диапазоном от 186 до 1100 нм.
Колбы конические Кн-2-50(100)-14/23 ХС по
ГОСТ 25336.
Стаканы химические В(Н)-1(2)-200(250) ХС по
ГОСТ 25336.
Баня водяная.
Аппарат для встряхивания жидкости.
Колбы конические с притертой пробкой Кн-2-100(250)-29/32 ХС по
ГОСТ 25336.
Фильтры обеззоленные (синяя лента).
Холинхлорид кристаллический с массовой долей не менее 98,0%.
Спирт этиловый ректификованный технический объемной долей 96% по
ГОСТ 18300.
Натрий фосфорнокислый 12-водный по
ГОСТ 9337, раствор с массовой долей 0,1%.
Рейнекат аммония с массовой долей не менее 93%.
Примечания
1. Допускается использование других средств измерений и оборудования с техническими и метрологическими характеристиками не ниже указанных.
2. Все реактивы должны быть квалификации х.ч. или ч.д.а.
8.3. Подготовка к испытанию
8.3.1. Приготовление осаждающего реактива
2 г рейнеката аммония растворяют в 100 см3 этилового спирта в конической колбе при нагревании на водяной бане при температуре (40 +/- 2) °C в течение 20 мин. После охлаждения раствор фильтруют через обеззоленный складчатый фильтр.
Раствор готовят в день проведения испытания.
8.3.2. Приготовление стандартного раствора холинхлорида
0,1 г кристаллического холинхлорида высушивают до постоянной массы в вакуумном эксикаторе и растворяют его в дистиллированной воде в мерной колбе вместимостью 100 см3. Доводят объем до метки дистиллированной водой.
Массовая концентрация стандартного раствора холинхлорида - 1 мг/см3.
Допускается приготовление стандартного раствора из раствора холинхлорида с массовой долей 70% с пересчетом на 100%.
8.3.3. Построение градуировочного графика
В пять конических колб вместимостью 50 см3 помещают 1, 2, 5, 7, 10 см3 стандартного раствора холинхлорида, содержащих соответственно 1, 2, 5, 7 и 10 мг холинхлорида. В каждую колбу добавляют 10 см3 раствора фосфорнокислого натрия и 5 см3 раствора рейнеката аммония и далее проводят все испытания по
8.4.2. Интенсивность окрашенных растворов измеряют на фотоэлектроколориметре с зеленым светофильтром или на спектрофотометре при длине волны 526 нм в кюветах с толщиной поглощающего свет слоя 10 мм относительно ацетона и на основании его показаний строят градуировочный график, откладывая по оси абсцисс соответствующие массы холинхлорида в каждом стандартном растворе в миллиграммах, а по оси ординат - показания прибора.
Градуировочный график контролируют каждый раз перед выполнением испытания. Для этого готовят 1 - 2 стандартных рабочих растворов холинхлорида, добавляя в каждую колбу 10 см3 раствора фосфорнокислого натрия и 5 см3 раствора рейнеката аммония, и далее проводят все испытания по
8.4.2. При отклонении полученных результатов от измеренных в момент построения градуировочного графика более чем на 5% строят новый градуировочный график по свежеприготовленным рабочим растворам холинхлорида.
8.4. Проведение испытания
8.4.1. Анализируемую пробу премикса массой 1 - 5 г, взвешенную с погрешностью +/- 0,002 г, вносят в мерную колбу вместимостью 100 см3, приливают 50 см3 дистиллированной воды, нагревают до 80 °C и встряхивают на аппарате 15 мин. Охлаждают колбу, объем доводят до метки дистиллированной водой и фильтруют через обеззоленный складчатый фильтр в стакан. Отбирают 5 - 20 см3 фильтрата в колбу с притертой пробкой вместимостью 25 - 100 см3, приливают 10 см3 раствора фосфорнокислого натрия и 5 см3 раствора рейнеката аммония.
8.4.2. Колбу с содержимым встряхивают и оставляют на 2 ч в холодильнике при температуре 4 °C. После выпадения кристаллов холинхлорида раствор фильтруют на воронке Шотта N 2 с асбестовым слоем, используя вакуумный насос. Кристаллы, оставшиеся на фильтре, промывают 4 - 5 раз порциями по 5 см3 охлажденного изопропилового спирта. Воронку переставляют в другую колбу и растворяют кристаллы ацетоном, приливая его в три приема по 7 см3, каждый раз осторожно размешивая верхний асбестовый слой с осадком.
Содержимое колбы фильтруют в мерную колбу вместимостью 25 см3. Доводят объем в колбе до метки ацетоном. Интенсивность окрашенных растворов измеряют на фотоэлектроколориметре с зеленым светофильтром или на спектрофотометре при длине волны 526 нм в кюветах с толщиной поглощающего свет слоя 10 мм относительно ацетона.
8.5. Обработка результатов
Массовую долю холинхлорида в премиксе, X, г/т, вычисляют по формуле

, (5)
где

- масса холинхлорида, найденная по градуировочному графику, мг;
V - общий объем экстракта, см3;

- коэффициент пересчета миллиграммов в граммы;
m - масса анализируемой пробы премикса, г;

- объем анализируемого раствора, взятый для испытания, см3;

- коэффициент пересчета граммов в тонну.
Вычисления проводят до первого десятичного знака с последующим округлением до целого числа.
За окончательный результат принимают среднеарифметическое значение двух параллельных определений, выполненных в условиях повторяемости и удовлетворяющих условию приемлемости
11.1 настоящего стандарта.
9. Определение содержания витамина

(никотиновой кислоты)
колориметрическим методом
9.1. Сущность метода заключается в кислотном гидролизе связанных форм витамина

(никотиновой кислоты), очистке гидролизата, получении окрашенного раствора и колориметрическом определении в сравнении со стандартным раствором.
Метод применим в диапазоне измерений содержания витамина

в премиксе от 100 до 3000 г/т.
9.2. Средства измерений, оборудование, материалы и реактивы
Фотоэлектроколориметр со спектральным диапазоном от 200 до 2000 нм или спектрофотометр со спектральным диапазоном от 186 до 1100 нм.
Баня водяная.
Весы лабораторные по
ГОСТ 24104 с наибольшим пределом взвешивания 200 г и допускаемой погрешностью +/- 0,001 г.
Баня ледяная.
Палочки стеклянные.
Стаканы химические В(Н)-1-1000(2000) по
ГОСТ 25336.
Склянки из темного стекла.
Фильтры обеззоленные (красная и синяя ленты).
Колбы мерные 2-100(500, 1000)-1(2) по
ГОСТ 1770.
Пробирки с притертой пробкой П-1(2)-15-0,2 ХС по
ГОСТ 1770.
Цилиндры 1(2, 3, 4)-50(100, 500) по
ГОСТ 1770.
Калий роданистый по
ГОСТ 4139 или аммоний роданистый по
ГОСТ 27067, растворы с массовой долей 1% и 10%.
Кислота соляная по
ГОСТ 3118, раствор молярной концентрации c(HCl) = 0,5 моль/дм3 (0,5 н.).
Кислота серная по
ГОСТ 4204, растворы с молярными концентрациями

и

.
Витамин

(никотиновая кислота) с массовой долей не менее 99,0%.
Натрия гидроокись по
ГОСТ 4328, растворы молярных концентраций c(NaOH) = 4 моль/дм3 и c(NaOH) = 10 моль/дм3.
Спирт этиловый ректификованный технический объемной долей 96% по
ГОСТ 18300.
Фенолфталеин.
Цинк сернокислый по
ГОСТ 4174, раствор с массовой долей 80%.
Примечания
1. Допускается использование других средств измерений и оборудования с техническими и метрологическими характеристиками не ниже указанных.
2. Все реактивы должны быть квалификации х.ч. или ч.д.а.
9.3. Подготовка к испытанию
9.3.1. Перекристаллизация метола
500 см3 раствора серной кислоты молярной концентрации

нагревают до кипения, добавляют 100 г метола и снова доводят до кипения. Если раствор сильно окрашен, к нему добавляют 10 г активного угля. Кипящий раствор быстро фильтруют через предварительно нагретую (кипящей водой) воронку Бюхнера, фильтрат переносят в химический стакан вместимостью 2000 см3, приливают 700 см3 этилового спирта, размешивают, помещают в ледяную баню и оставляют на несколько часов в темном месте.
Выпавшие в осадок кристаллы отфильтровывают на воронке Бюхнера, промывают на фильтре 2 - 3 раза этиловым спиртом порциями по 30 - 40 см3 и высушивают на воздухе в темном месте.
Подготовленный метол хранят в склянке из темного стекла в холодильнике при температуре 4 °C - 5 °C до тех пор, пока он сохраняет свою окраску.
9.3.2. Приготовление раствора метола
(8,000 +/- 0,001) г перекристаллизированного метола вносят в мерную колбу вместимостью 100 см3 и доводят объем до метки раствором соляной кислоты молярной концентрации c(HCl) = 0,5 моль/дм3.
Раствор готовят непосредственно перед проведением испытания.
9.3.3. Приготовление бромной воды
В темную склянку с притертой пробкой наливают 100 см3 дистиллированной воды, добавляют в вытяжном шкафу от 4 до 5 см3 брома, хорошо встряхивают и оставляют на 1 - 3 сут. для лучшего насыщения воды бромом. Бромную воду охлаждают в ледяной бане в течение 30 мин.
Срок хранения бромной воды в склянке из темного стекла в защищенном от света эксикаторе в вытяжном шкафу - 3 мес.
9.3.4. Приготовление роданбромидного раствора
К 30 см3 охлажденной бромной воды (см.
9.3.3) по каплям прибавляют раствор роданистого калия или роданистого аммония с массовой долей 10% до светло-желтого окрашивания. Затем по каплям прибавляют растворы этого же реактива с массовой долей 1% до полного обесцвечивания бромной воды. К обесцвеченному раствору постепенно, небольшими порциями, по 20 - 50 мг, добавляют углекислый кальций до прекращения выделения пузырьков газа.
Раствор фильтруют от осадка через обеззоленный фильтр с синей лентой в склянку из темного стекла с притертой пробкой и хранят в холодильнике.
Раствор готовят непосредственно перед проведением испытания.
9.3.5. Приготовление основного стандартного раствора витамина

(0,500 +/- 0,001) г витамина

помещают в мерную колбу вместимостью 500 см3, добавляют 200 см3 дистиллированной воды, 5 см3 раствора серной кислоты молярной концентрации

и после растворения кристаллов доводят объем дистиллированной водой до метки.
Массовая концентрация основного стандартного раствора витамина

- 1000 мкг/см3.
Срок хранения раствора в холодильнике при температуре 4 °C - 5 °C - не более 6 мес.
9.3.6. Приготовление рабочего стандартного раствора витамина

5 см3 основного стандартного раствора витамина

(см.
9.3.5) разводят дистиллированной водой в колбе вместимостью 1000 см3, объем доводят до метки дистиллированной водой и тщательно перемешивают.
Массовая концентрация рабочего стандартного раствора витамина

- 5 мкг/см3.
Раствор готовят в день проведения испытания.
9.4. Проведение испытания
Анализируемую пробу премикса массой (5,000 +/- 0,001) г помещают в мерную колбу вместимостью 100 см3, омывая горлышко колбы 60 - 65 см3 раствором серной кислоты молярной концентрации

. Содержимое перемешивают и колбу помещают в кипящую водяную баню на 40 мин, периодически перемешивая содержимое. По окончании гидролиза колбу охлаждают до комнатной температуры, доводят объем до метки дистиллированной водой, перемешивают и фильтруют через бумажный складчатый фильтр, отбрасывая первые 5 - 10 см3 фильтрата.
Отбирают 10 - 20 см3 фильтрата в мерную колбу вместимостью 100 см3 и доводят объем до метки дистиллированной водой. Затем 25 см3 полученного раствора помещают в цилиндр вместимостью 50 см3, добавляют 1 - 2 капли раствора фенолфталеина и нейтрализуют, внося по каплям раствор гидроокиси натрия молярной концентрации c(NaOH) = 10 моль/дм3 до получения слабо-розового окрашивания. Избыток щелочи нейтрализуют раствором серной кислоты молярной концентрации

, добавляя по каплям до исчезновения розового окрашивания. Раствор охлаждают, добавляют 2 см3 раствора сернокислого цинка и 1 - 2 капли этилового спирта (для устранения пены).
Из пипетки по каплям добавляют раствор гидроокиси натрия молярной концентрацией c(NaOH) = 4 моль/дм3, одновременно перемешивая палочкой до образования осадка и появления бледно-розового окрашивания раствора. Избыток щелочи нейтрализуют, внося по каплям раствор серной кислоты молярной концентрации

до исчезновения розового окрашивания, и оставляют стоять в течение 10 мин, периодически перемешивая. Палочку вынимают, обмывают над цилиндром дистиллированной водой и доводят объем раствора до 50 см3, перемешивают и фильтруют через бумажный складчатый фильтр.
Цветную реакцию проводят в восьми пробирках с притертыми пробками:
- в пробирку 1 вносят 5 см3 дистиллированной воды (контроль на реактивы);
- в пробирки 2 - 4 вносят по 5 см3 рабочего стандартного раствора витамина

(см.
9.3.6);
- в пробирки 5, 6 вносят по 5 см3 полученного фильтрата;
- в пробирки 7, 8 вносят по 5 см3 полученного фильтрата с поправкой на аминореагирующие вещества.
Все пробирки, кроме 7, 8, помещают на 5 мин в водяную баню при температуре (50 +/- 2) °C. После этого в пробирки 7, 8 вносят по 2 см3 дистиллированной воды, а во все остальные пробирки - по 2 см3 роданбромидного раствора (см.
9.3.4) в вытяжном шкафу. Пробирки закрывают пробками, перемешивают и помещают в водяную баню при температуре (50 +/- 2) °C на 10 мин. По истечении этого времени пробирки вынимают, охлаждают водой до комнатной температуры и ставят на 10 мин в темное место. Затем в каждую пробирку приливают по 3 см3 раствора метола (см.
9.3.2), перемешивают и оставляют на 1 ч в темном месте при комнатной температуре. По истечении этого времени растворы фильтруют через бумажный складчатый фильтр, если они мутные, и колориметрируют на фотоэлектроколориметре (синий светофильтр) или спектрофотометре при длине волны 400 - 440 нм в кювете толщиной поглощающего свет слоя 10 мм относительно дистиллированной воды.
9.5. Обработка результатов
Массовую долю витамина

в премиксе, X, г/т, вычисляют по формуле

, (6)
где A,

- оптические плотности анализируемых растворов 5, 6 и растворов 7, 8 соответственно (среднеарифметические значения двух определений), е.о.п. или мм;
V - объем гидролизата, см3;

- объем разведенного фильтрата, см3;

- объем раствора после обработки сернокислым цинком, см3;

- масса витамина

в измеряемом рабочем стандартном растворе, мкг;

- оптическая плотность стандартных растворов 2, 3, 4 (среднее арифметическое значение трех определений), е.о.п. или мм;

- оптическая плотность раствора 1, е.о.п. или мм;
m - масса анализируемой пробы премикса, г;

- объем фильтрата, взятый на разведение, см3;

- объем гидролизата, взятый на обработку сернокислым цинком, см3;

- объем фильтрата, взятый для проведения цветной реакции, см3;

- коэффициенты пересчета микрограммов в граммы и граммов в тонну.
Вычисления проводят до первого десятичного знака с последующим округлением до целого числа.
За окончательный результат принимают среднее арифметическое значение двух параллельных определений, выполненных в условиях повторяемости и удовлетворяющих условию приемлемости
11.1 настоящего стандарта.
10. Определение содержания витамина

(никотиновой кислоты)
методом высокоэффективной жидкостной хроматографии
10.1. Сущность метода заключается в экстракции витамина

(никотиновой кислоты) из анализируемой пробы премикса раствором соляной кислоты и последующем определении его содержания с помощью жидкостного хроматографа.
Метод применим в диапазоне измерений содержания витамина

в премиксе от 200 до 4000 г/т.
10.2. Метод с использованием раствора соляной кислоты молярной концентрации c(HCl) = 0,01 моль/дм3
10.2.1. Средства измерений, оборудование, материалы и реактивы
Хроматограф жидкостный, укомплектованный спектрофотометрическим детектором, пригодным для измерения оптической плотности в диапазоне длин волн от 200 до 300 нм, самописцем или интегратором, позволяющим измерять высоту и площадь пиков, и компьютером с установленным программным обеспечением для обработки результатов измерений. Допускается использовать детектор при постоянной длине волны 254 нм.
Колонка хроматографическая стальная или стеклянная высотой 150 - 200 мм и диаметром 2,6 - 4,6 мм с числом теоретических тарелок не менее 3000 на 1 м, заполненная одним из следующих сорбентов: Силасорб С-18 или Сепарон С-18 с зернением 7,5 мкм.
Весы лабораторные по
ГОСТ 24104 с наибольшим пределом взвешивания 200 г и допускаемой погрешностью +/- 0,001 г.
Центрифуга лабораторная с числом оборотов не менее 6000 в мин.
Иономер со стеклянным электродом с пределом допускаемой погрешности +/- 0,05 ед. pH.
Ацетонитрил.
Тетрабутиламмоний хлористый или тетрабутиламмоний бромистый.
Витамин

(никотиновая кислота) с массовой долей не менее 99,0%.
Кислота соляная по
ГОСТ 3118, раствор молярной концентрации c(HCl) = 0,01 моль/дм3.
Склянка с притертой пробкой.
Примечания
1. Допускается использование других средств измерений и оборудования с техническими и метрологическими характеристиками не ниже указанных.
2. Все реактивы должны быть квалификации х.ч. или ч.д.а.
10.2.2. Подготовка к испытанию
10.2.2.1. Приготовление элюента для хроматографии
В колбе вместимостью 1000 см3 смешивают 120 см3 ацетонитрила с 880 см3 дистиллированной воды, добавляют (2,000 +/- 0,001) г хлористого (бромистого) тетрабутиламмония. Полученную смесь фильтруют через бумажный фильтр для удаления механических примесей и переносят в склянку с притертой пробкой. Срок хранения элюента - не более 1 мес.
10.2.2.2. Приготовление раствора экстрагента по
7.3.2
10.2.2.3. Приготовление основного стандартного раствора витамина

(0,100 +/- 0,001) г витамина

растворяют в дистиллированной воде в мерной колбе вместимостью 100 см3 и доводят объем до метки дистиллированной водой.
Массовая концентрация основного стандартного раствора витамина

- 1 мг/см3.
Срок хранения раствора в холодильнике при температуре 4 °C - 5 °C - не более одного года.
10.2.2.4. Приготовление рабочего стандартного раствора витамина

Рабочий стандартный раствор витамина

готовят из основного стандартного раствора (см.
10.2.2.3), разбавляя его дистиллированной водой в зависимости от предполагаемого содержания витамина

в премиксе в соответствии таблице 1. Рабочий стандартный раствор готовят в день проведения испытания.
Таблица 1
Предполагаемое содержание витамина  в 1 кг премикса, г | Массовая концентрация рабочего стандартного раствора, мг/см3 | Объем основного стандартного раствора, необходимый для разбавления, см3 | Вместимость мерной колбы для разбавления, см3 |
Менее 1 | 0,01 | 1 | 100 |
От 1 до 2 включ. | 0,02 | 1 | 50 |
Св. 2 до 3 " | 0,04 | 2 | 50 |
10.2.3. Проведение испытания
10.2.3.1. Экстрагирование
Для определения содержания витамина

в премиксе проводят два параллельных испытания, начиная со взвешивания пробы.
(1,000 +/- 0,001) г анализируемой пробы премикса помещают в мерную колбу вместимостью 50 см3, приливают до 2/3 объема колбы раствор соляной кислоты молярной концентрации c(HCl) = 0,01 моль/дм3, перемешивают и оставляют стоять в течение 20 мин, несколько раз при этом перемешивая, после чего доводят объем до метки тем же раствором. Полученную суспензию перемешивают и часть отливают в центрифужную пробирку, центрифугируют в течение 5 мин при 6000 об./мин. Полученный экстракт используют для хроматографирования.
10.2.3.2. Хроматографирование
Хроматографирование осуществляют при следующих условиях:
- колонка хроматографическая, заполненная сорбентом;
- рабочая длина волны спектрофотометрического детектора 262 нм (или 254 нм);
- скорость элюирования - 1,5 см3/мин.
При данных условиях проводят 3 - 5 загрузок рабочего стандартного раствора (см.
10.2.2.4) по 5 мм3, отмечая время выхода пика витамина

в секундах и высоту пика относительно линии, проведенной в основании пика. При достижении постоянной высоты пика приступают к проведению испытания.
Загружают экстракт премикса (см.
10.2.3.1) и рабочий стандартный раствор витамина

(см.
10.2.2.4) в зависимости от предполагаемого содержания его в премиксе в следующих объемах:
- 5 мм3 - при массовой концентрации раствора 0,040 мг/см3;
- 10 мм3 - при массовой концентрации от 0,01 до 0,02 мг/см3.
По времени выхода определяют пики витамина

в экстракте и в рабочем стандартном растворе, измеряют высоту пиков как расстояние от вершины пика до линии, проведенной в основании пика (см. Приложение А,
рисунок А.3). Загрузку экстракта премикса и рабочего стандартного раствора осуществляют по три раза и находят среднеарифметическое значение высоты пиков.
10.2.4. Обработка результатов
Массовую долю витамина

в премиксе, X, г/т, вычисляют по формуле

, (7)
где

- массовая концентрация витамина

в рабочем стандартном растворе, мкг/см3;

,

- высоты пиков витамина

на хроматограммах анализируемого и рабочего стандартного раствора соответственно, е.о.п. или мм;
V - общий объем экстракта, см3;
m - масса анализируемой пробы премикса, г;

- коэффициенты пересчета микрограммов в граммы и граммов в тонну.
Вычисления проводят до первого десятичного знака с последующим округлением до целого числа.
За окончательный результат принимают среднеарифметическое значение двух параллельных определений, выполненных в условиях повторяемости и удовлетворяющих условию приемлемости
11.1 настоящего стандарта.
10.3. Метод с использованием раствора соляной кислоты молярной концентрации c(HCl) = 0,1 моль/дм3
10.3.1. Средства измерений, оборудование, материалы и реактивы
Хроматограф жидкостный микроколоночный типа "Милихром", укомплектованный спектрофотометрическим детектором, пригодным для измерения оптической плотности в диапазоне длин волн от 190 до 360 нм, самописцем или интегратором, позволяющим измерять высоту и площадь пиков, и компьютером с установленным программным обеспечением для обработки результатов измерений.
Колонка хроматографическая размером 2 x 120 мм с числом теоретических тарелок не менее 4000, заполненная одним из сорбентов: Силасорб С-18, Силасорб SPHC-18, Сепарон С-18.
Весы лабораторные по
ГОСТ 24104 с наибольшим пределом взвешивания 200 г и допускаемой погрешностью +/- 0,001 г.
Баня водяная с терморегулятором.
Колбы мерные 2-50(100, 200)-1(2) по
ГОСТ 1770.
Склянки с притертыми пробками.
pH-метр любого типа с пределом допускаемой погрешности +/- 0,1 ед. pH.
Натрия гидроокись по
ГОСТ 4328, раствор с массовой долей 40%.
Кислота серная по
ГОСТ 4204, раствор молярной концентрации

.
Кислота уксусная по
ГОСТ 61, с массовой долей 95%.
Кислота соляная по
ГОСТ 3118, раствор молярной концентрации c(HCl) = 0,1 моль/дм3.
Витамин

(никотиновая кислота) с массовой долей не менее 99,0%.
Фенолфталеин.
Триметиламин.
Примечания
1. Допускается использование других средств измерений и оборудования с техническими и метрологическими характеристиками не ниже указанных.
2. Все реактивы должны быть квалификации х.ч. или ч.д.а.
10.3.2. Подготовка к испытанию
10.3.2.1. Приготовление элюента для хроматографии
Трехкомпонентный элюент готовят смешиванием уксусной кислоты, дистиллированной воды и триметиламина в соотношении 3:95:2 по объему. Для этого в мерную колбу вместимостью 500 см3 вносят пипеткой 15 см3 концентрированной уксусной кислоты, затем цилиндром вносят 100 см3 дистиллированной воды и перемешивают. Добавляют 10 см3 триметиламина, перемешивают, доводят объем до метки дистиллированной водой и снова тщательно перемешивают. Приготовленный раствор фильтруют через стеклянный фильтр ПОР 16 и помещают в склянку с притертой пробкой.
Срок хранения элюента в холодильнике при температуре 4 °C - 5 °C - не более 1 мес.
10.3.2.2. Подготовка хроматографической колонки
Через колонку пропускают элюент в количестве 20 - 30 свободных объемов колонки, т.е. два полных шприца насоса хроматографа при расходе элюента сначала 50 мм3/мин, а затем 100 мм3/мин. Промывку колонки заканчивают при получении стабильной нулевой линии.
После стабилизации колонки проводят ее насыщение витамином

. Для насыщения колонки в начале работы проводят от трех до пяти загрузок рабочего стандартного раствора и отмечают высоты пиков. При достижении постоянной высоты приступают к испытаниям.
10.3.2.3. Приготовление раствора серной кислоты молярной концентрации

В мерную колбу вместимостью 100 см3 помещают 30 - 40 см3 дистиллированной воды и добавляют 14,2 см3 концентрированной серной кислоты. Осторожно перемешивают и добавляют еще 35 - 40 см3 дистиллированной воды. Когда раствор остынет до комнатной температуры, осторожно доводят объем дистиллированной водой до метки.
10.3.2.4. Построение градуировочного графика
В коническую колбу вместимостью 200 см3 помещают 0,1 г витамина

и приливают 70 см3 раствора соляной кислоты молярной концентрации c(HCl) = 0,1 моль/дм3. Колбу помещают в водяную баню и нагревают в течение 10 мин при температуре 75 °C. Затем ее охлаждают, добавляют 1 - 2 капли 1%-ного спиртового раствора фенолфталеина, по каплям раствор гидроокиси натрия с массовой долей 40% до образования розового окрашивания. Избыток щелочи нейтрализуют раствором серной кислоты молярной концентрации

. Раствор фильтруют через бумажный фильтр с синей лентой в мерную колбу вместимостью 100 см3 и доводят объем до метки дистиллированной водой. Получают основной стандартный раствор витамина

массовой концентрации 1 мг/см3.
Из этого раствора готовят рабочие стандартные растворы, содержащие 0,4; 0,8; 1,0; 1,5; 2,0 и 3,0 мг витамина

в 50 см3. Для этого соответственно 0,4; 0,8; 1,0; 1,5; 2,0 и 3,0 см3 основного стандартного раствора помещают в шесть мерных колб вместимостью 50 см3 и доводят их объемы до метки дистиллированной водой.
Срок хранения рабочих стандартных растворов в холодильнике в склянках с притертыми пробками при температуре 4 °C - 5 °C - не более 1 мес.
Рабочие стандартные растворы анализируют на жидкостном хроматографе при следующих условиях:
- хроматографическая колонка размером 2 x 120 мм, заполненная сорбентом;
- трехкомпонентный элюент на основе уксусной кислоты (см.
10.3.2.1);
- объем пробы - 6 мм3;
- длина волны - 260 нм;
- скорость подачи элюента - 80 - 100 мм3/мин;
- постоянная времени - 0,2 с.
Удерживаемый объем пика витамина

- 560 - 580 мм3 (может меняться в зависимости от размеров колонки и плотности ее заполнения). Каждый раствор хроматографируют два раза. После выхода пика колонку промывают, прокачивая через нее 150 - 200 мм3 элюента до выхода на нулевую линию.
Значения средних высот хроматографических пиков (в единицах оптической плотности, е.о.п., или в миллиметрах) откладывают по оси ординат градуировочного графика, а по оси абсцисс - массы витамина

в 50 см3 раствора.
Построение градуировочных графиков можно заменить расчетом коэффициента наклона K, мкг/е.о.п. или мкг/мм, по формуле

(8)
где n - количество точек, по которым строится градуировочный график;

- коэффициент наклона градуировочного графика для i-го градуировочного раствора, мкг/е.о.п. или мкг/мм.
Значение коэффициента наклона градуировочного графика для i-го градуировочного раствора

, мкг/е.о.п. или мкг/мм, вычисляют по формуле

, (9)
где

- содержание витамина в соответствующем i-ом градуировочном растворе, мкг;

- высота i-го хроматографического пика, е.о.п. или мм.
10.3.2.5. Проверка градуировочного графика
Градуировочный график контролируют не реже 1 раза в неделю. Для этого проводят процедуру построения градуировочного графика по
10.3.2.4 для 1 - 2 рабочих стандартных растворов витамина

. Отклонение полученных результатов от измеренных в момент построения градуировочного графика a, %, определяют по формуле

, (10)
где

,

- высоты хроматографических пиков, определенные при построении градуировочного графика и в момент проверки соответственно, е.о.п. или мм;
100 - коэффициент пересчета в проценты.
При отклонении результатов более чем на 5% строят новый градуировочный график.
10.3.3. Проведение испытания
10.3.3.1. Проведение кислотного гидролиза
1 - 5 г анализируемой пробы премикса, взвешенную с погрешностью +/- 0,001 г, помещают в коническую колбу вместимостью 100 см3 и добавляют 30 см3 раствора соляной кислоты молярной концентрации c(HCl) = 0,1 моль/дм3. Колбу нагревают на водяной бане при температуре (75 +/- 1) °C в течение 10 мин, затем охлаждают под струей холодной воды, добавляют 1 - 2 капли спиртового раствора фенолфталеина с массовой долей 1% и раствор гидроокиси натрия с массовой долей 40% до образования розового окрашивания. Избыток щелочи нейтрализуют раствором серной кислоты молярной концентрации

. Выдерживают раствор 10 мин, фильтруют через обеззоленный фильтр с синей лентой в мерную колбу вместимостью 50 см3 и доводят объем до метки дистиллированной водой.
10.3.3.2. Хроматографирование
Полученный экстракт хроматографируют по
10.3.2.4. Для определения содержания витамина

в премиксах проводят два параллельных определения, начиная со взвешивания анализируемой пробы. Каждый экстракт хроматографируют два раза, находят среднеарифметическое значение высоты пиков в единицах оптической плотности или миллиметрах и по градуировочному графику определяют содержание витамина

в микрограммах (см. Приложение А,
рисунок А.4).
10.3.4. Обработка результатов
Массовую долю витамина

в премиксе, X, г/т, вычисляют по формуле

, (11)
где

- содержание витамина

, найденное по градуировочному графику, мкг;
m - масса анализируемой пробы премикса, г;

- коэффициенты пересчета микрограммов в граммы и граммов в тонну.
При использовании коэффициента наклона K по
формуле (9) вместо градуировочного графика массовую долю витамина

в премиксе, г/т, вычисляют по формуле

, (12)
где K - коэффициент наклона градуировочного графика, мкг/е.о.п. или мкг/мм;
A - высота хроматографического пика, е.о.п. или мм;
m - масса анализируемой пробы премикса, г;

- коэффициенты пересчета микрограммов в граммы и граммов в тонну.
Вычисления проводят до первого десятичного знака с последующим округлением до целого числа.
За окончательный результат принимают среднее арифметическое значение двух параллельных определений, выполненных в условиях повторяемости и удовлетворяющих условию приемлемости
11.1 настоящего стандарта.
11. Контроль точности результатов определений
11.1. Приемлемость результатов определений, полученных в условиях повторяемости (сходимости)
Абсолютное расхождение между результатами двух отдельных независимых определений, полученными одним и тем же методом на одной лабораторной пробе в одной и той же лаборатории одним и тем же оператором на одном и том же экземпляре оборудования в течение короткого промежутка времени при доверительной вероятности P = 0,95, не должно превышать предела повторяемости (сходимости), r, приведенного в таблице 2.
Таблица 2
Метрологические характеристики определения содержания
витаминов

,

, холинхлорида,

В граммах на 1 т
Наименование определяемого показателя | Допускаемое расхождение между результатами двух параллельных определений (предел повторяемости), r | Допускаемое расхождение между результатами определений в двух разных лабораториях (предел воспроизводимости), R |
Массовая доля витамина  | | |
Массовая доля витамина  | | |
Массовая доля холинхлорида | | |
Массовая доля витамина  | | |
Примечания  ,  - среднеарифметические значения результатов определений содержания витамина  , г/т, в условиях повторяемости и воспроизводимости;  ,  - среднеарифметические значения результатов определений содержания витамина  , г/т, в условиях повторяемости и воспроизводимости;  ,  - среднеарифметические значения результатов определений содержания холинхлорида, г/т, в условиях повторяемости и воспроизводимости;  ,  - среднеарифметические значения результатов определений содержания витамина  , г/т, в условиях повторяемости и воспроизводимости. |
11.2. Приемлемость результатов определений, полученных в условиях воспроизводимости
Абсолютное расхождение между результатами двух отдельных определений, полученными одним и тем же методом на лабораторной пробе в разных лабораториях разными операторами на различных экземплярах оборудования при доверительной вероятности P = 0,95, не должно превышать предела воспроизводимости, R, приведенного в
таблице 2.
Если расхождение между результатами параллельных определений превышает предел повторяемости, то анализ повторяют, начиная со взвешивания анализируемой пробы.
Если расхождение между результатами параллельных определений вновь превышает предел повторяемости, выясняют и устраняют причины плохой повторяемости результатов анализа.
12. Требования безопасности при проведении испытаний
12.1. Работы с концентрированными кислотами, щелочами и др. летучими веществами проводят в вытяжном шкафу.
12.2. При проведении испытаний необходимо соблюдать требования электробезопасности по
ГОСТ 12.2.007.0.
13. Требования к условиям измерений
и квалификации операторов
13.1. При подготовке и проведении испытаний в помещении должны быть соблюдены следующие условия:
- температура окружающей среды . . . . . . . . . . . . . . . . . . . . . . . . . . | от 15 °C до 25 °C; |
- относительная влажность воздуха . . . . . . . . . . . . . . . . . . . . . . . . . | от 40% до 90%; |
- атмосферное давление . . . . . . . . . . . . . . . . . . . . . . . . . . . . . . . . . . . | от 84 до 106 кПа; |
- напряжение в электросети . . . . . . . . . . . . . . . . . . . . . . . . . . . . . . . | (220 +/- 20) °C. |
13.2. К выполнению измерений и обработке их результатов допускаются лица, имеющие высшее или среднее специальное химическое образование или опыт работы в химической лаборатории, владеющие техникой проведения анализа и изучившие инструкции по эксплуатации приборов.
(рекомендуемое)
ПРИМЕРЫ
ХРОМАТОГРАММ ОПРЕДЕЛЕНИЯ ВИТАМИНОВ ГРУППЫ B
Рисунок А.1. Хроматограмма экстракта
витаминов

и

из премикса
Рисунок А.2. Хроматограмма рабочего стандартного раствора
смеси витаминов

и

Рисунок А.3. Хроматограммы витамина

: а - рабочего
стандартного раствора, б - экстракта из премикса
Рисунок А.4. Хроматограмма экстракта
витамина

из премикса