Главная // Актуальные документы // ГОСТ (Государственный стандарт)СПРАВКА
Источник публикации
М.: Стандартинформ, 2013
Примечание к документу
Документ
введен в действие с 1 января 2014 года.
Название документа
"ГОСТ 31854-2012 (UNECE STANDARD FFV-21:2002). Межгосударственный стандарт. Лук порей свежий, реализуемый в розничной торговле. Технические условия"
(введен в действие Приказом Росстандарта от 29.11.2012 N 1849-ст)
"ГОСТ 31854-2012 (UNECE STANDARD FFV-21:2002). Межгосударственный стандарт. Лук порей свежий, реализуемый в розничной торговле. Технические условия"
(введен в действие Приказом Росстандарта от 29.11.2012 N 1849-ст)
агентства по техническому
регулированию и метрологии
от 29 ноября 2012 г. N 1849-ст
МЕЖГОСУДАРСТВЕННЫЙ СТАНДАРТ
ЛУК ПОРЕЙ СВЕЖИЙ, РЕАЛИЗУЕМЫЙ В РОЗНИЧНОЙ ТОРГОВЛЕ
ТЕХНИЧЕСКИЕ УСЛОВИЯ
Fresh leek for retail. Specifications
(UNECE STANDARD FFV-21:2002, MOD)
ГОСТ 31854-2012
(UNECE STANDARD FFV-21:2002)
Дата введения <1>
1 января 2014 года
--------------------------------
<1> Дату введения стандарта в действие на территории государств устанавливают их национальные органы по стандартизации.
Цели, основные принципы и основной порядок проведения работ по межгосударственной стандартизации установлены
ГОСТ 1.0-92 "Межгосударственная система стандартизации. Основные положения" и
ГОСТ 1.2-2009 "Межгосударственная система стандартизации. Стандарты межгосударственные, правила и рекомендации по межгосударственной стандартизации. Правила разработки, принятия, применения, обновления и отмены".
1. Подготовлен Автономной некоммерческой организацией "Научно-исследовательский центр "Кубаньагростандарт" (АНО "НИЦ "Кубаньагростандарт").
2. Внесен Федеральным агентством по техническому регулированию и метрологии.
3. Принят Межгосударственным советом по стандартизации, метрологии и сертификации (протокол от 15 ноября 2012 г. N 42).
За принятие проголосовали:
Краткое наименование страны по МК (ИСО 3166) 004-97 | Код страны по МК (ИСО 3166) 004-97 | Сокращенное наименование национального органа по стандартизации |
Беларусь | BY | Госстандарт Республики Беларусь |
Казахстан | KZ | Госстандарт Республики Казахстан |
Кыргызстан | KG | Кыргызстандарт |
Российская Федерация | RU | Росстандарт |
Таджикистан | TJ | Таджикстандарт |
Узбекистан | UZ | Узстандарт |
4.
Приказом Федерального агентства по техническому регулированию и метрологии от 29 ноября 2012 г. N 1849-ст межгосударственный стандарт ГОСТ 31854-2012 (UNECE STANDARD FFV-21:2002) введен в действие в качестве национального стандарта Российской Федерации с 1 января 2014 г.
5. Настоящий стандарт модифицирован по отношению к стандарту UNECE STANDARD FFV-21:2002 Concerning the marketing and commercial quality control of leeks (Касающемуся сбыта и контроля товарного качества лука порея, разработанный Европейской экономической комиссией Организации Объединенных Наций (ЕЭК ООН)), путем изменения
разделов 4 -
7, отдельных структурных элементов и слов в
разделах 1 -
6. Стандарт дополнен
разделами 8 -
10 и
библиографией.
Наименование настоящего стандарта изменено относительно наименования указанного европейского регионального стандарта для приведения в соответствие с ГОСТ 1.5 (
подразделы 3.5,
3.6).
Официальные экземпляры европейского регионального стандарта, на основе которого подготовлен настоящий межгосударственный стандарт, и международных стандартов, на которые даны ссылки, имеются в Федеральном агентстве по техническому регулированию и метрологии (Росстандарте).
Сведения о соответствии межгосударственных стандартов ссылочным международным стандартам приведены в справочном
Приложении ДА.
Сравнение структуры стандарта UNECE STANDARD FFV-21:2002 со структурой межгосударственного стандарта приведено в дополнительном
Приложении ДБ.
Степень соответствия - модифицированная (MOD).
Настоящий стандарт подготовлен на основе применения
ГОСТ Р 53088-2008 (ЕЭК ООН FFV-21:2002).
6. Введен впервые.
Информация о введении в действие (прекращении действия) настоящего стандарта публикуется в ежемесячном указателе "Национальное стандарты".
Информация об изменениях к настоящему стандарту публикуется в ежегодно издаваемом информационном указателе "Национальные стандарты", а текст изменений и поправок - в ежемесячно издаваемом информационном указателе "Национальные стандарты". В случае пересмотра или отмены настоящего стандарта соответствующая информация будет опубликована в ежемесячно издаваемом информационном указателе "Национальные стандарты".
Настоящий стандарт распространяется на лук порей культурных сортов (Allium porrum L.) свежий (далее - лук порей), предназначенный для поставки предприятиям общественного питания и реализации потребителю в свежем виде в розничной торговле. Настоящий стандарт не распространяется на лук порей, предназначенный для промышленной переработки.
| | ИС МЕГАНОРМ: примечание. В официальном тексте документа, видимо, допущена опечатка: имеется в виду пункт 5.4, а не пункт 5.3. | |
Требования, обеспечивающие безопасность лука порея для здоровья человека, изложены в
5.3, требования к качеству - в
5.2, к маркировке - в
разделе 7.
В настоящем стандарте использованы нормативные ссылки на следующие стандарты:
ГОСТ 8.579-2002 Государственная система обеспечения единства измерений. Требования к количеству фасованных товаров в упаковках любого вида при их производстве, расфасовке, продаже и импорте
ГОСТ 166-89 (ISO 3599-76) Штангенциркули. Технические условия
ГОСТ 427-75 Линейки измерительные металлические. Технические условия
ГОСТ 7502-98 Рулетки металлические измерительные. Технические условия
ГОСТ 9142-90 Ящики из гофрированного картона. Общие технические условия
ГОСТ 10131-93 Ящики из древесины и древесных материалов для продукции пищевых отраслей промышленности, сельского хозяйства и спичек. Технические условия
ГОСТ 11354-93 Ящики из древесины и древесных материалов многооборотные для продукции пищевых отраслей промышленности и сельского хозяйства. Технические условия
ГОСТ 12301-2006 Коробки из картона, бумаги и комбинированных материалов. Общие технические условия
ГОСТ 13511-2006 Ящики из гофрированного картона для пищевых продуктов, спичек, табачных изделий и моющих средств. Технические условия
| | ИС МЕГАНОРМ: примечание. В официальном тексте документа, видимо, допущена опечатка: стандарт имеет номер ГОСТ 14192-96, а не ГОСТ 14192-86. | |
ГОСТ 17812-72 Ящики дощатые многооборотные для овощей и фруктов. Технические условия
ГОСТ 23285-78 Пакеты транспортные для пищевых продуктов и стеклянной тары. Технические условия
ГОСТ 26929-94 Сырье и продукты пищевые. Подготовка проб. Минерализация для определения содержания токсичных элементов
ГОСТ 26930-86 Сырье и продукты пищевые. Метод определения мышьяка
ГОСТ 26932-86 Сырье и продукты пищевые. Методы определения свинца
ГОСТ 26933-86 Сырье и продукты пищевые. Методы определения кадмия
ГОСТ 27519-87 (ISO 1956-1-82) Фрукты и овощи. Морфологическая и структуральная терминология. Часть 1
ГОСТ 29329-92 Весы для статического взвешивания. Общие технические требования
ГОСТ 30178-96 Сырье и продукты пищевые. Атомно-абсорбционный метод определения токсичных элементов
ГОСТ 30349-96 Плоды, овощи и продукты их переработки. Методы определения остаточных количеств хлорорганических пестицидов
ГОСТ 30538-97 Продукты пищевые. Методика определения токсичных элементов атомно-эмиссионным методом
Примечание. При пользовании настоящим стандартом целесообразно проверить действие ссылочных стандартов по указателю "Национальные стандарты", составленному по состоянию на 1 января текущего года, и по соответствующим информационным указателям, опубликованным в текущем году. Если ссылочный документ заменен (изменен), то при пользовании настоящим стандартом следует руководствоваться заменяющим (измененным) стандартом. Если ссылочный стандарт отменен без замены, то положение, в котором дана ссылка на него, применяется в части, не затрагивающей эту ссылку.
В настоящем стандарте применены термины по
ГОСТ 27519,
ГОСТ 27523, а также следующие термины с соответствующими определениями:
3.1. Поперечный диаметр ножки лука порея: наибольший поперечный диаметр, измеряемый по сечению, проведенному перпендикулярно осевой линии ножки над ее утолщением.
3.2. Излишняя внешняя влажность: наличие влаги на луке порее от промывки, дождя, росы, полива.
Примечание. Конденсат, вызванный разностью температур, не считают излишней внешней влажностью.
4.1. Лук порей, в зависимости от качества, подразделяют на два товарных сорта: первый и второй.
4.2. По срокам уборки выделяют лук порей ранних сортов.
5. Технические требования
5.1. Лук порей должен быть подготовлен и фасован в соответствии с требованиями настоящего стандарта по технологической инструкции в соответствии с требованиями, установленными нормативными правовыми актами государства, принявшего стандарт <1>.
--------------------------------
<1> Для государств - участников Таможенного союза - по
[1],
[2],
[3].
5.2.1. Лук порей должен соответствовать требованиям и нормам, указанным в таблице 1.
Наименование показателя | Характеристика и норма для сорта |
первого | второго |
Внешний вид | Стебли лука порея свежие, чистые, здоровые, без повреждений болезнями и/или вредителями, без излишней поверхностной влажности. Допускаются: легкие примятости, наличие приставшей земли на корнях; незначительные следы грунта на ножке: аккуратно подрезанные корни и кончики листьев; повреждения трипсами на листьях |
| Допускаются незначительные следы ржавчины на листьях |
Запах и вкус | Свойственный данному ботаническому сорту без постороннего запаха и/или привкуса |
Цвет | Зеленый, свойственный данному ботаническому сорту с белой или белой с зеленоватым оттенком частью, составляющей не менее одной четверти общей длины растения или одной трети общей длины ножки и луковицы для ранних сортов, для других сортов не менее |
одной трети длины растения или половины общей длины ножки и луковицы | одной четверти длины растения или одной трети общей длины ножки и луковицы |
Степень развития растений | Потребительская зрелость, обеспечивающая сохранение качества при транспортировке, погрузке, разгрузке и доставке продукции |
Содержание растений лука порея, подверженных гниению или порче | Не допускается |
Содержание растений с цветущей стрелкой в ножке, по количеству или массе, %, не более | |
ранних сортов | 10,0 |
других сортов | Не допускается | 10,0 |
Поперечный диаметр ножки, мм, не менее | |
ранних сортов | 8,0 |
других сортов | 10,0 |
Примечание. В одной упаковочной единице или связке поперечный диаметр самой большой ножки лука порея не должен превышать диаметр самой маленькой для первого сорта более чем в два раза; для второго сорта - не нормируется. |
| | ИС МЕГАНОРМ: примечание. Нумерация пунктов дана в соответствии с официальным текстом документа. | |
5.4. Микробиологические показатели, содержание токсичных элементов, пестицидов, нитратов, радионуклидов, яиц гельминтов и цист кишечных патогенных простейших в луке порее не должны превышать норм, установленных нормативными правовыми актами государства, принявшего стандарт <1>.
--------------------------------
<1> Для государств - участников Таможенного союза - по
[1].
6.1. Лук порей фасуют по 0,2 - 1,0 кг в потребительскую упаковку из полимерных и комбинированных материалов по
ГОСТ 12301 или другую упаковку, использование которой в контакте с продуктами данного вида обеспечивает их качество и безопасность <2>.
--------------------------------
<2> Для государств - участников Таможенного союза - по
[2].
Допускается фасовать лук порей произвольной массой нетто.
В потребительской упаковке лук порей укладывается равномерно или связками.
Допускается реализовать лук порей связками без потребительской упаковки произвольной массой нетто.
6.2. Содержимое каждой упаковки или связки в одной и той же упаковке должно быть однородным и состоять из лука порея одного происхождения, разновидности, ботанического и товарного сорта и размера (в случае калибровки), одной степени зрелости и окраски.
6.3. Фасованный лук порей или связки лука порея упаковывают в ящики из древесины или картона по
ГОСТ 9142,
ГОСТ 10131,
ГОСТ 11354,
ГОСТ 13511,
ГОСТ 17812, мешки по
ГОСТ 30090 или другие виды тары из других материалов, использование которых в контакте с продуктом данного вида обеспечивает их качество и безопасность.
Укладка в тару свежего лука порея должна быть рыхлой, с легким нажимом, не вызывающим повреждения, послойно, зелень к зелени, ножка к ножке, на 3 см ниже края тары.
6.4. Материалы, применяемые для упаковки, должны быть новыми, чистыми, сухими, не зараженными сельскохозяйственными вредителями, и не должны иметь постороннего запаха.
6.5. Масса нетто лука порея в потребительской упаковке должна соответствовать номинальной, указанной в маркировке.
Пределы допускаемых отрицательных отклонений содержимого нетто от номинального количества - по
ГОСТ 8.579.
7.1. Маркировку на упаковку наносят несмываемой, непахнущей, нетоксичной краской.
7.2. Для изготовления и наклеивания этикеток используют нетоксичные бумагу и клей.
7.3. Информация, наносимая на каждую единицу потребительской тары с луком пореем, должна содержать
<1>:
- наименования продукта;
- наименования и местонахождения изготовителя (юридический адрес, включая страну, и при несовпадении с юридическим адресом, адрес производства), наименования и местонахождения организации, уполномоченной изготовителем на принятие претензий от потребителей на ее территории (при наличии);
- товарного знака изготовителя (при наличии);
- массы нетто;
- ботанического и товарного сорта;
- указание на особые способы обработки продукта (при необходимости);
- дата сбора и дата упаковывания;
- сведений о выращивании в защищенном грунте (для продукции, выращенной в защищенном грунте);
- срока годности;
- условий хранения;
- обозначения настоящего стандарта;
- информации о подтверждении соответствия.
--------------------------------
<1> Для государств - участников Таможенного союза - по
[3].
7.4. Транспортная маркировка - по
ГОСТ 14192 с нанесением манипуляционного знака "Скоропортящийся груз".
7.5. Маркировка продукции, отправляемой в районы Крайнего Севера и приравненные к ним местности, - по
ГОСТ 15846.
8.1. Лук порей принимают партиями. Под партией понимают любое количество лука порея одного товарного сорта, поступившее в одном транспортном средстве и оформленное одним документом, удостоверяющим качество и безопасность продукции.
8.2. Документ, удостоверяющий качество и безопасность продукта, должен содержать следующую информацию:
- номер документа и дата его выдачи;
- наименование продукта;
- наименование и местонахождение изготовителя [юридический адрес, включая страну и, при несовпадении с юридическим адресом, адрес производства и организации на территории государства, принявшего стандарт, уполномоченной изготовителем на принятие претензий от потребителей на ее территории (при наличии)];
- товарный знак изготовителя (при наличии);
- массу нетто;
- число упаковочных единиц;
- ботанический и товарный сорт;
- дату сбора и дату упаковывания;
- условия хранения;
- данные об использованных пестицидах и дату последней обработки;
- обозначение настоящего стандарта;
- информация о подтверждении соответствия.
8.3. Порядок и периодичность контроля
8.3.1. Контроль качества, массы нетто, качества упаковки и маркировки проводят для каждой партии лука порея.
8.3.2. Порядок и периодичность контроля за содержанием токсичных элементов, пестицидов, радионуклидов и содержанием яиц гельминтов и цист кишечных патогенных простейших устанавливает изготовитель в программе производственного контроля.
8.4. Для определения качества лука порея, правильности упаковывания и маркирования, массы нетто упаковочной единицы на соответствие требованиям настоящего стандарта от партии продукции из разных мест отбирают выборку, объем которой указан в таблице 2.
Объем партии, число упаковочных единиц, шт. | Объем выборки, число отбираемых упаковочных единиц, шт. |
До 500 включ. | 15 |
Св. 500 до 1000 | 20 |
Св. 1000 до 5000 | 25 |
Св. 5000 до 10000 | 30 |
Св. 10000 | 30 и дополнительно на каждые 500 полных и неполных упаковочных единиц по одной упаковочной единице |
Примечание. При объеме партии менее 15 упаковочных единиц в выборку отбирают все упаковочные единицы. |
8.5. Проверяют всю продукцию, содержащуюся в выборке, отобранной в соответствии с
таблицей 2.
8.6. Результаты проверки распространяются на всю партию.
8.7. После проверки отобранные упаковочные единицы присоединяют к партии лука порея.
8.8. Качество лука порея в поврежденных упаковочных единицах проверяют отдельно, и результаты распространяют только на продукцию, находящуюся в этих упаковочных единицах.
8.9. При приемке партии лука порея соблюдают следующие требования:
- если в партии первого сорта содержится более 10,0% (по количеству или массе) лука порея, не отвечающего требованиям к качеству этого сорта, но отвечающего требованиям второго сорта (в исключительных случаях отвечающих допускам для второго сорта), всю партию переводят во второй сорт;
- если в партии первого сорта лука порея ранних сортов содержится более 10,0% (по количеству или массе) лука порея со стрелкой, находящейся в ножке, и более 10,0% (по количеству или массе) лука порея, не отвечающего требованиям к качеству этого сорта, но отвечающего требованиям второго сорта (в исключительных случаях допускам для второго сорта), всю партию переводят во второй сорт;
- если в партии второго сорта лука порея содержится более 10,0% (по количеству или массе) лука порея, не соответствующего требованиям этого сорта, всю партию считают не соответствующей требованиям настоящего стандарта;
- если в партии всех сортов лука порея содержится более 10,0% растений, не соответствующих минимальному поперечному диаметру ножки, всю партию считают не соответствующей требованиям настоящего стандарта;
- если в партии всех сортов содержится лук порей, подверженный гниению или порче, всю партию считают непригодной к употреблению.
9.1. Отбор проб - по
8.4.
Подготовка и минерализация проб для определения содержания токсичных элементов - по
ГОСТ 26929.
9.2. Качество упаковки и маркировки упаковочных единиц, отобранных по
8.4, оценивают на соответствие требованиям настоящего стандарта визуально.
9.3. Порядок проведения контроля
9.3.1. Средства измерений
Применяют следующие средства измерений.
Весы для статического взвешивания среднего класса точности с наибольшим пределом взвешивания 25 кг, ценой поверочного деления e = 50 г и пределом допускаемой погрешности +/- 0,5e по
ГОСТ 29329.
Весы среднего класса точности с наибольшим пределом взвешивания не более 3 кг и ценой поверочного деления e <= 2 г по
ГОСТ 29329.
Линейка металлическая длиной 300 мм, ценой деления 1 мм, с погрешностью измерений +/- 0,1 мм по
ГОСТ 427 или рулетка металлическая из нержавеющей стали номинальной длины 1 м с прямоугольным торцом на вытяжном конце ленты 2 класса точности по
ГОСТ 7502.
Штангенциркуль 1-го или 2-го класса точности с погрешностью измерений 0,05 - 0,1 мм по
ГОСТ 166.
Допускается применение других средств измерений, утвержденных в установленном порядке типов и внесенных в Государственный реестр средств измерений, с метрологическими характеристиками не ниже указанных.
9.3.2. Проверке по качеству подлежит весь лук порей в отобранных по
8.4 упаковочных единицах, из которых составлена объединенная проба.
9.3.3. Отобранные в объединенную выборку упаковочные единицы продукции поочередно взвешивают, определяют массу брутто, нетто и массу тары в килограммах. Для определения средней массы нетто упаковочной единицы фасованного лука порея по
6.5 взвешивают без выбора 10 упаковочных единиц.
Отобранную выборку лука порея в транспортной таре взвешивают одновременно.
Результаты взвешивания записывают с точностью до второго десятичного знака.
9.3.4. Общую массу лука порея в объединенной пробе m в килограммах определяют суммированием значений, полученных по
9.3.3.
9.3.5. Общее количество растений лука порея в объединенной пробе K в единицах определяют их подсчетом и записывают до единицы.
9.3.6. Лук порей в объединенной пробе рассортировывают на фракции по показателям, установленным в
таблице 1.
9.3.7. Внешний вид; степень развития растений; наличие растений, поврежденных сельскохозяйственными вредителями, пораженных болезнями; с цветущей стрелкой в ножке; наличие насекомых-вредителей определяют визуально, запах и вкус оценивают органолептически и рассортировывают лук порей на фракции в соответствии с показателями, установленными в
таблице 1.
9.3.8. Длину растения; общую длину ножки и луковицы; длину белой или белой с зеленоватым оттенком части лука порея, см, измеряют линейкой или металлической рулеткой и записывают результаты до первого десятичного знака.
9.3.9. Поперечный диаметр ножки измеряют штангенциркулем или линейкой.
9.3.10. Взвешивают каждую фракцию лука порея

. Значение массы записывают до второго десятичного знака.
9.3.11. По результатам взвешиваний по
9.3.10 или подсчета количества единиц лука порея с цветущей стрелкой в ножке определяют в процентах массовое или количественное содержание лука порея с отклонениями от значений показателей, установленных в
таблице 1.
9.4. Обработка результатов
9.4.1. Содержание растений лука порея с отклонениями по качеству и размерам каждой фракции в процентах от общей массы лука порея объединенной пробы K, %, вычисляют по формуле

, (1)
где

- масса фракции лука порея с отклонениями по качеству и размерам, кг;
m - общая масса головок в объединенной выборке, кг.
9.4.2. Белую или белую с зеленоватым оттенком часть лука порея K вычисляют по формуле

, (2)
где

- длина белой или белой с зеленоватым оттенком части лука порея, см;

- длина растения или общая длина ножки и луковицы, см.
Полученный результат сравнивают с требованиями, установленными в
таблице 1.
Взвешивают или подсчитывают количество растений с отклонениями по качеству, установленному в
таблице 1.
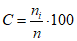
9.4.3. Содержание лука порея с отклонениями по качеству в процентах от общего количества лука порея объединенной пробы C, %, вычисляют по формуле

, (3)
где

- количество растений лука порея с отклонениями по качеству, единиц;
n - общее количество растений лука порея в объединенной пробе, единиц.
9.4.4. Вычисления проводят с точностью до второго десятичного знака с последующим округлением результата до первого десятичного знака. Полученные результаты сравнивают со значениями, указанными в
таблице 1. Результаты распространяют на всю партию.
9.4.5. Массу нетто лука порея в упаковочной единице фасованной продукции определяют на весах по
ГОСТ 29329, среднего класса точности с ценой поверочного деления e <= 2 г и наибольшим пределом взвешивания не более 3 кг.
Массу нетто каждой упаковочной единицы, фасованной произвольной массой нетто, определяют при отпуске продукции в розничной торговле.
9.10. Порядок и периодичность контроля за содержанием токсичных элементов, пестицидов, радионуклидов, содержанием яиц гельминтов и цист кишечных патогенных простейших проводят в соответствии с порядком, установленным изготовителем продукции согласно нормативным правовым актам государства, принявшего стандарт <1>.
--------------------------------
<1> Для государств - участников Таможенного союза - по
[1].
10. Транспортирование и хранение
10.1. Лук порей транспортируют в чистых, сухих, без постороннего запаха транспортных средствах в соответствии с правилами перевозки скоропортящихся грузов, действующими на транспорте конкретных видов.
Пакетирование грузовых мест проводят по
ГОСТ 23285.
10.2. Лук порей хранят в чистых, сухих, без постороннего запаха помещениях в соответствии с установленными правилами в условиях, обеспечивающих их сохранность.
Срок годности и условия хранения устанавливает изготовитель.
(справочное)
СВЕДЕНИЯ О СООТВЕТСТВИИ МЕЖГОСУДАРСТВЕННЫХ СТАНДАРТОВ
ССЫЛОЧНЫМ МЕЖДУНАРОДНЫМ СТАНДАРТАМ
Таблица ДА.1
Обозначение ссылочного международного стандарта | Степень соответствия | Обозначение и наименование ссылочного межгосударственного стандарта |
ISO 3599-76 Штангенциркули с ценой деления 0,1 и 0,05 мм | IDT | ГОСТ 166-89 (ISO 3599-76) Штангенциркули. Технические условия |
ISO 1956-1-82 Фрукты и овощи. Морфологическая и структуральная терминология. Часть 1 | IDT | ГОСТ 27519-87 (ISO 1956-1-82) Фрукты и овощи. Морфологическая и структуральная терминология. Часть 1 |
ISO 1991-1-82 Овощи. Номенклатура. Первый список | IDT | |
Примечание. В настоящей таблице использовано следующее условное обозначение степени соответствия стандарта: IDT - идентичный стандарт. |
(справочное)
СРАВНЕНИЕ СТРУКТУРЫ СТАНДАРТА UNECE STANDARD FFV-21:2002
СО СТРУКТУРОЙ МЕЖГОСУДАРСТВЕННОГО СТАНДАРТА
Таблица ДБ.1
Структура стандарта UNECE STANDARD FFV-21:2002 | Структура межгосударственного стандарта ГОСТ 31854-2012 (UNECE STANDARD FFV-21:2002) |
Раздел | Раздел | подраздел, пункт |
I. Определение продукта | |
- | |
II. Положения, касающиеся качества | |
A. Минимальные требования B. Классификация | | |
III. Положения, касающиеся калибровки | 5. Технические требования | |
IV. Положения, касающиеся допусков | | |
V. Положения, касающиеся товарного вида | | |
A. Однородность | | |
B. Упаковка | | |
VI. Положения, касающиеся маркировки A. Опознавательные обозначения B. Характер продукта C. Происхождение продукта D. Товарные характеристики E. Официальная пометка о контроле | | |
- | | |
- | | |
- | 10. Транспортирование и хранение | |
- | Приложение ДА. Сведения о соответствии межгосударственных стандартов ссылочным международным стандартам |
- | Приложение ДБ. Сравнение структуры стандарта UNECE STANDARD FFV-21:2002 со структурой межгосударственного стандарта |
- | |
Примечания. 1. Сравнение структур стандартов приведено по всем разделам. 2. Внесены разделы 8 "Правила приемки", 9 "Методы контроля", 10 "Транспортирование и хранение", а также дополнительные Приложения ДА и ДБ в соответствии с требованиями, установленными к оформлению межгосударственного стандарта, модифицированного со стандартом UNECE STANDARD, и библиография. |
[1] Технический
регламент Таможенного союза ТР ТС 021/2011 "О безопасности пищевой продукции"
[2] Технический
регламент Таможенного союза ТР ТС 005/2011 "О безопасности упаковки"
[3] Технический
регламент Таможенного союза ТР ТС 022/2011 "Пищевая продукция в части ее маркировки"