Главная // Актуальные документы // ГОСТ (Государственный стандарт)СПРАВКА
Источник публикации
М.: ФГБУ "Институт стандартизации", 2024
Примечание к документу
Документ
введен в действие с 01.06.2024.
Название документа
"ГОСТ 35045-2023 (ISO 6926:2016). Межгосударственный стандарт. Акустика. Образцовый источник шума для определения уровней звуковой мощности машин. Требования к характеристикам и калибровке"
(введен в действие Приказом Росстандарта от 28.12.2023 N 1734-ст)
"ГОСТ 35045-2023 (ISO 6926:2016). Межгосударственный стандарт. Акустика. Образцовый источник шума для определения уровней звуковой мощности машин. Требования к характеристикам и калибровке"
(введен в действие Приказом Росстандарта от 28.12.2023 N 1734-ст)
Приказом Федерального
агентства по техническому
регулированию и метрологии
от 28 декабря 2023 г. N 1734-ст
МЕЖГОСУДАРСТВЕННЫЙ СТАНДАРТ
АКУСТИКА
ОБРАЗЦОВЫЙ ИСТОЧНИК ШУМА ДЛЯ ОПРЕДЕЛЕНИЯ
УРОВНЕЙ ЗВУКОВОЙ МОЩНОСТИ МАШИН
ТРЕБОВАНИЯ К ХАРАКТЕРИСТИКАМ И КАЛИБРОВКЕ
Acoustics. Reference sound source used
for the determination of sound power levels of machines.
Requirements for the performance and calibration
(ISO 6926:2016 + Amd.1:2020, Acoustics - Requirements for
the performance and calibration of reference sound sources
used for the determination of sound power levels, MOD)
ГОСТ 35045-2023
(ISO 6926:2016)
Дата введения
1 июня 2024 года
Цели, основные принципы и общие правила проведения работ по межгосударственной стандартизации установлены
ГОСТ 1.0 "Межгосударственная система стандартизации. Основные положения" и
ГОСТ 1.2 "Межгосударственная система стандартизации. Стандарты межгосударственные, правила и рекомендации по межгосударственной стандартизации. Правила разработки, принятия, обновления и отмены"
1 ПОДГОТОВЛЕН Закрытым акционерным обществом "Научно-исследовательский центр контроля и диагностики технических систем" (ЗАО "НИЦ КД") на основе собственного перевода на русский язык англоязычной версии стандарта, указанного в
пункте 5
2 ВНЕСЕН Федеральным агентством по техническому регулированию и метрологии
3 ПРИНЯТ Межгосударственным советом по стандартизации, метрологии и сертификации (протокол от 15 декабря 2023 г. N 64)
За принятие проголосовали:
Краткое наименование страны по МК (ИСО 3166) 004-97 | Код страны по МК (ИСО 3166) 004-97 | Сокращенное наименование национального органа по стандартизации |
Армения | AM | ЗАО "Национальный орган по стандартизации и метрологии" Республики Армения |
Беларусь | BY | Госстандарт Республики Беларусь |
Киргизия | KG | Кыргызстандарт |
Россия | RU | Росстандарт |
Таджикистан | TJ | Таджикстандарт |
Узбекистан | UZ | Узстандарт |
4 Приказом Федерального агентства по техническому регулированию и метрологии от 28 декабря 2023 г. N 1734-ст межгосударственный стандарт ГОСТ 35045-2023 (ISO 6926:2016) введен в действие в качестве национального стандарта Российской Федерации с 1 июня 2024 г.
5 Настоящий стандарт является модифицированным по отношению к международному стандарту ISO 6926:2016 "Акустика. Требования к характеристикам и калибровке образцовых источников шума, применяемых для определения уровней звуковой мощности" ("Acoustics - Requirements for the performance and calibration of reference sound sources used for the determination of sound power levels", MOD), включая изменение Amd.1:2020, путем изменения отдельных фраз (слов, значений показателей, ссылок), которые выделены в тексте курсивом, а также внесения технических отклонений, объяснение которых приведено во введении к настоящему стандарту.
Наименование настоящего стандарта изменено относительно наименования указанного международного стандарта для приведения в соответствие с ГОСТ 1.5
(подраздел 3.6).
| | ИС МЕГАНОРМ: примечание. В документе, видимо, допущена опечатка: текст, выделенный двойной вертикальной линией, отсутствует. | |
Изменение к указанному международному стандарту, принятое после его официальной публикации, внесено в текст настоящего стандарта и выделено двойной вертикальной линией, расположенной на полях напротив соответствующего текста, а обозначение и год его принятия приведены в скобках после соответствующего текста.
Международный стандарт разработан Техническим комитетом по стандартизации TC 43 "Акустика" Международной организации по стандартизации (ISO).
При применении настоящего стандарта рекомендуется использовать вместо ссылочных международных стандартов соответствующие им межгосударственные стандарты, сведения о которых приведены в дополнительном
приложении ДА
6 ВВЕДЕН ВПЕРВЫЕ
Информация о введении в действие (прекращении действия) настоящего стандарта и изменений к нему на территории указанных выше государств публикуется в указателях национальных стандартов, издаваемых в этих государствах, а также в сети Интернет на сайтах соответствующих национальных органов по стандартизации.
В случае пересмотра, изменения или отмены настоящего стандарта соответствующая информация будет опубликована на официальном интернет-сайте Межгосударственного совета по стандартизации, метрологии и сертификации в каталоге "Межгосударственные стандарты"
Образцовый источник шума с известным (паспортным) значением шумовой характеристики (звуковой мощности в широкой и узких полосах частот) применяют, в первую очередь, для определения звуковой мощности излучения стационарных источников акустического шума методом сравнения. Таким образом, образцовый источник шума выступает в качестве меры, воспроизводящей заданное значение звуковой мощности. В связи с отсутствием эталонов звуковой мощности метрологическая прослеживаемость калибровки меры обеспечивается посредством метрологической прослеживаемости результатов измерений звуковых давлений и расстояний, через которые по известным соотношениям для заданных условий измерений рассчитывают звуковую мощность. Из этого следует, что применение образцового источника шума требует создания фиксированных условий измерений, воспроизводимых при его калибровке. Отклонение от этих условий приводит к появлению погрешностей измерений и необходимости введения соответствующих поправок.
Настоящий стандарт устанавливает требования к характеристикам и калибровке образцового источника шума, используемого для определения характеристик излучения источников шума методом сравнения (см.
[1]).
Помимо их основного назначения образцовые источники шума используют также в целях испытаний на пригодность акустических условий испытательного пространства и оценки влияния этих условий на уровни звукового давления одного или нескольких источников. Примерами такого применения являются
[15] и
[16]. Использование образцового источника шума не в соответствии с его основным назначением может потребовать предъявления к нему требований, отличных от указанных в настоящем стандарте.
В настоящий стандарт внесены следующие технические отклонения по отношению к примененному ISO 6926:2016 (с учетом Amd.1:2020).
Из
раздела 1 исключены абзац и примечание следующего содержания:
"Хотя в соответствии со своим наименованием настоящий стандарт устанавливает метод калибровки, его пользователями обычно являются испытательные лаборатории. Используемые при калибровке результаты измерений уровня звукового давления и расстояния прослеживаются к национальным эталонам, в то время как непосредственно для уровня звуковой мощности такая прямая прослеживаемость к соответствующему эталону отсутствует. Предполагается, что испытательные лаборатории, применяющие установленный настоящим стандартом метод калибровки, могут не строго соответствовать всем требованиям, предъявляемым к калибровочным лабораториям.
Примечание - ISO/IEC 17025 устанавливает разные требования для испытательных и калибровочных лабораторий. Обычно испытания образцовых источников шума на соответствие требованиям настоящего стандарта могут быть проведены испытательными лабораториями.".
Причины исключения состоят в том, что:
- указанные положения носят разъяснительный характер в отношении образцового источника шума как меры и не относятся к области применения настоящего стандарта, поэтому их содержание перенесено в первый абзац введения;
- требования к компетентности и подтверждению компетентности лабораторий, выполняющих калибровку средств измерений (к которым относится и образцовый источник шума), определяются национальными законодательствами в области единства измерений, разными в разных странах.
Кроме того, IEC 60942, IEC 61094-1, IEC 61094-4, IEC 61183, IEC 61260-1, IEC 61672-3 и IEC 62585, ссылки на которые носят справочный характер, перенесены из
раздела 2 в структурный
элемент "Библиография".
В
5.6.2 -
5.6.4 приведено более точное значение коэффициента: 2,77 вместо 2,83. В
"Библиографию" добавлен
ГОСТ ISO 3740, описывающий определение уровней звуковой мощности машин методом сравнения с использованием образцового источника шума, на который распространяется настоящий стандарт.
Из
"Библиографии" исключены источники, на которые отсутствуют ссылки в тексте стандарта; перечень источников приведен в соответствии с порядком их упоминания в тексте стандарта.
Настоящий стандарт устанавливает требования к следующим акустическим характеристикам образцовых источников шума,
используемых в методах сравнения для определения уровней звуковой мощности машин (см. [1]):
- временной стабильности излучаемой звуковой мощности;
- спектральным характеристикам излучаемого шума;
- направленности излучения.
Временную стабильность определяют через стандартное отклонение повторяемости (см.
5.2). Спектральные характеристики могут быть проверены в полузаглушенной
<1> или реверберационной камере путем измерений уровней звуковой мощности в полосах частот согласно
5.4. Соответствие требованиям к индексу направленности проверяют в полузаглушенной камере (см.
5.5).
--------------------------------
<1> Условия измерений, относящиеся к полузаглушенной акустической камере, могут быть обеспечены также в заглушенной камере.
Настоящий стандарт устанавливает также методы получения и представления результатов калибровки вместе с соответствующими неопределенностями измерений в отношении уровней звуковой мощности в октавных и в третьоктавных полосах частот, а также в широком диапазоне частот с частотной коррекцией по характеристике A для источника, применяемого в качестве образцового источника шума в нормальных условиях измерений, установленных в
разделе 4.
Методы испытаний в соответствии с настоящим стандартом могут быть реализованы в условиях свободного поля над звукоотражающей плоскостью или диффузного поля на некотором расстоянии от ограждающих поверхностей. При размещении образцового источника шума на звукоотражающей плоскости два вида упомянутых выше испытательных пространств считают эквивалентными для частотных полос со среднегеометрическими частотами, равными или превышающими 200 Гц. При частотах 160 Гц и ниже в указанных испытательных пространствах могут возникать систематические расхождения результатов измерений (см.
11.2). Для частот ниже 100 Гц приведен альтернативный метод испытаний на основе измерения интенсивности звука.
Образцовый источник шума может быть размещен непосредственно на полу или на подставке (стойке) на определенной высоте над полом. Согласно настоящему стандарту испытания для источников, установленных на стойке, проводят в реверберационных камерах. Испытания напольных источников проводят в полузаглушенных или реверберационных камерах. Размеры напольного источника, устанавливаемого в полузаглушенной камере, не должны превышать 0,5 м по вертикали и 0,8 м по горизонтали. Согласно настоящему стандарту измерения с использованием измерительной поверхности применяют только для напольных источников шума. Для источников, калибруемых и применяемых в условиях диффузного поля, такие ограничения на максимальные размеры отсутствуют.
В настоящем стандарте использованы нормативные ссылки на следующие межгосударственные стандарты:
ГОСТ 17187 (IEC 61672-1:2002) Шумомеры. Часть 1. Технические требования
<*>
--------------------------------
<*> В Российской Федерации действует
ГОСТ Р 53188.1-2019 "Государственная система обеспечения единства измерений. Шумомеры. Часть 1. Технические требования".
ГОСТ 30457.3 (ИСО 9614-3:2002) Акустика. Определение уровней звуковой мощности источников шума по интенсивности звука. Часть 3. Точный метод для измерения сканированием
ГОСТ 31274-2004 (ИСО 3741:1999) Шум машин. Определение уровней звуковой мощности по звуковому давлению. Точные методы для реверберационных камер
<**>
--------------------------------
<**> В Российской Федерации действует
ГОСТ Р ИСО 3741-2013 "Акустика. Определение уровней звуковой мощности и звуковой энергии источников шума по звуковому давлению. Точные методы для реверберационных камер".
ГОСТ 31275-2002 (ИСО 3744:1994) Шум машин. Определение уровней звуковой мощности источников шума по звуковому давлению. Технический метод в существенно свободном звуковом поле над звукоотражающей плоскостью
<***>
--------------------------------
<***> В Российской Федерации действует
ГОСТ Р ИСО 3744-2013 "Акустика. Определение уровней звуковой мощности и звуковой энергии источников шума по звуковому давлению. Технический метод в существенно свободном звуковом поле над звукоотражающей плоскостью".
ГОСТ 31295.1-2005 (ИСО 9613-1:1993) Шум. Затухание звука при распространении на местности. Часть 1. Расчет поглощения звука атмосферой
ГОСТ 34100.3/ISO/IEC Guide 98-3:2008 Неопределенность измерения. Часть 3. Руководство по выражению неопределенности измерения
ГОСТ ISO 3745-2014 Акустика. Определение уровней звуковой мощности и звуковой энергии источников шума по звуковому давлению. Точные методы для заглушенных и полузаглушенных камер
Примечание - При пользовании настоящим стандартом целесообразно проверить действие ссылочных стандартов и классификаторов на официальном интернет-сайте Межгосударственного совета по стандартизации, метрологии и сертификации (www.easc.by) или по указателям национальных стандартов, издаваемым в государствах, указанных в предисловии, или на официальных сайтах соответствующих национальных органов по стандартизации. Если на документ дана недатированная ссылка, то следует использовать документ, действующий на текущий момент, с учетом всех внесенных в него изменений. Если заменен ссылочный документ, на который дана датированная ссылка, то следует использовать указанную версию этого документа. Если после принятия настоящего стандарта в ссылочный документ, на который дана датированная ссылка, внесено изменение, затрагивающее положение, на которое дана ссылка, то это положение применяется без учета данного изменения. Если ссылочный документ отменен без замены, то положение, в котором дана ссылка на него, применяется в части, не затрагивающей эту ссылку.
В настоящем стандарте применены следующие термины с соответствующими определениями:
3.1 образцовый источник шума [reference sound source (RSS)]: Переносной (мобильный), обычно электроакустический или аэродинамический источник звука или другое устройство, генерирующее акустический шум, и связанные с ним устройства управления, обеспечивающие стабильный широкополосный выходной сигнал, соответствующий требованиям настоящего стандарта.
3.2 свободное (звуковое) поле над звукоотражающей плоскостью (acoustic free field over a reflecting plane): Свободное звуковое поле в полупространстве над бесконечной звукоотражающей плоскостью при отсутствии других объектов, влияющих на распространение звуковых волн.
3.3 полузаглушенная камера (hemi-anechoic room): Испытательное помещение, в котором созданы условия свободного звукового поля над звукоотражающей плоскостью.
3.4
реверберационная камера (reverberation test room): Испытательное помещение, удовлетворяющее требованиям
ГОСТ 31274.
3.5 измерительная поверхность (measurement surface): Воображаемая поверхность площадью S, охватывающая испытуемый источник шума, пересечение которой со звукоотражающей(ими) плоскостью(ями) имеет вид замкнутой кривой и на которой располагают точки установки микрофонов (точки измерений).
Примечание - Площадь измерительной поверхности выражают в квадратных метрах, м2.
3.6
уровень звукового давления на поверхности 
(surface sound pressure level): Усредненный (методом энергетического усреднения) по точкам измерений или траекториям сканирования на измерительной поверхности эквивалентный уровень звукового давления после внесения коррекций на фоновый шум
K1.
Примечание 1 - Выражают в децибелах, дБ.
Примечание 2 - Определение коррекции на фоновый шум
K1 приведено в
ГОСТ ISO 3745.
3.7 уровень звуковой мощности LW (sound power level): Десятикратный десятичный логарифм отношения звуковой мощности P к опорной звуковой мощности P0 (P0 = 1 пВт), выраженный в децибелах по формуле
Примечание - При измерениях с применением коррекции по одной из частотных характеристик, установленных
ГОСТ 17187, или в заданной полосе частот в обозначение уровня звуковой мощности добавляют соответствующий подстрочный индекс, например
LWA обозначает корректированный по A уровень звуковой мощности.
3.8 измерительный радиус r (measurement radius): Радиус полусферической измерительной поверхности.
3.9 индекс направленности DIi (directivity index): Величина, характеризующая степень направленности излучения звука источником шума в направлении i-й точки измерения (в случае фиксированных положений микрофона) или в направлении точки на траектории сканирования, где регистрируется наибольший уровень звукового давления относительно усредненного по всей измерительной поверхности.
Примечание 1 - Индекс направленности рассчитывают на основе результатов измерений в полузаглушенной камере по формуле
где
Lpi - уровень звукового давления для каждой третьоктавной полосы в
i-м положении микрофона (для неподвижных микрофонов) на измерительной поверхности, дБ, или максимальный уровень звукового давления для каждой третьоктавной полосы, который регистрируют во время
i-го прохода микрофона по траектории (при сканировании микрофоном - см.
8.2) на измерительной поверхности, дБ;

- уровень звукового давления, усредненный по измерительной поверхности, дБ.
Примечание 2 - Согласно вышеприведенному "практическому" определению, индекс направленности является мерой однородности звукового излучения источника по используемой измерительной поверхности при его установке в конкретном испытательном пространстве. Определения "теоретического" индекса направленности, встречающиеся в учебниках и технической литературе, обычно характеризуют однородностью звукового излучения испытуемого источника в его испытательном пространстве по сравнению с точечным источником такой же звуковой мощности, излучающим в полную сферу в идеальном свободном поле. Применение таких определений направленности излучения к источникам, расположенным в свободном поле над звукоотражающей плоскостью, требует учета излучения в полусферическое пространство добавлением константы "+3 дБ". В связи с этим следует проявлять осторожность при сравнении или использовании различных определений индекса направленности.
3.10 диапазон частот измерений (frequency range of interest): Диапазон частот, включающий в себя третьоктавные полосы с номинальными среднегеометрическими частотами от 100 до 10 000 Гц.
Примечание - Диапазон частот измерений может быть расширен вверх до 20 000 Гц или вниз до 50 Гц, если при этом условия испытаний и применяемые средства измерений будут удовлетворять требованиям настоящего стандарта.
3.11 метод сравнения (comparison method): Метод, при котором уровень звуковой мощности испытуемого источника рассчитывают путем сравнения измеренных уровней создаваемого им в испытательном пространстве звукового давления с уровнями звукового давления, создаваемого образцовым источником шума с известной выходной звуковой мощностью в том же испытательном пространстве.
3.12 прямой метод (direct method): Метод расчета уровня звуковой мощности испытуемого источника в реверберационной камере с использованием эквивалентной площади звукопоглощения, определенной на основе измерений времени реверберации.
3.13 время реверберации T (reverberation time): Время, необходимое для снижения уровня звукового давления на 60 дБ после прекращения работы источника звука.
Примечание 1 - Если время реверберации оценивают по затуханию звука на 10 или 15 дБ от момента прекращения работы источника звука, то его обозначают T10 или T15 соответственно.
Примечание 2 - Выражают в секундах, с.
3.14 условие повторяемости (repeatability condition): Условия, при которых независимые результаты испытаний получены одним и тем же методом на идентичных объектах испытаний в одной и той же лаборатории одним и тем же оператором с использованием одного и того же оборудования в короткие промежутки времени.
4 Нормальные условия измерений
Нормальными условиями измерений для целей расчета уровня звуковой мощности, соответствующими характеристическому импедансу воздуха

(где

- плотность воздуха, а
c - скорость звука), являются:
- температура воздуха: 23,0 °C;
- статическое давление: 1,01325·105 Па;
- относительная влажность воздуха: 50%.
5 Требования к техническим характеристикам
Изготовитель образцового источника шума может заявить, что его изделие соответствует настоящему стандарту при условии выполнения всех требований, изложенных в настоящем разделе.
5.2 Временная стабильность звуковой мощности
Уровень звуковой мощности образцового источника шума должен быть стабильным во времени настолько, чтобы измеренные в условиях повторяемости стандартные отклонения

(см.
8.3.3 и
9.3.2) не превышали значений, указанных в
таблице 1.
Таблица 1
Максимальное значение стандартного отклонения уровня
звуковой мощности образцового источника
шума в условиях повторяемости
Среднегеометрическая частота октавной полосы, Гц | Стандартное отклонение повторяемости, дБ |
От 50 до 80 | 0,8 |
От 100 до 160 | 0,4 |
От 200 до 20 000 | 0,2 |
Примечание 1 - Образцовый источник шума, предназначенный для специальных целей, может иметь ограниченный частотный диапазон.
Техническая документация образцового источника шума, отвечающего требованиям настоящего стандарта, должна включать информацию о допусках на параметры источника электрической или механической энергии (например, сетевого напряжения), в пределах которых уровень звуковой мощности в любой третьоктавной полосе в пределах диапазона частот измерений не должен изменяться более чем на +/- 0,3 дБ.
Примечание 2 - Уровень звуковой мощности образцового источника шума зависит от статического давления и температуры воздуха. Для использования образцового источника шума при различных температурах или на различных высотах в техническую документацию включают информацию о соответствующих поправках и их неопределенностях для учета влияния температуры и статического давления на звуковую мощность, излучаемую источником. Для образцового источника шума аэродинамического типа скорость вращения и ее отклонения из-за изменения внешних условий при калибровке - по
8.4 и
9.4.
5.3 Общий уровень звуковой мощности в диапазоне частот измерений
Общий уровень звуковой мощности образцового источника шума во всем диапазоне частот измерений не регламентируется. Однако если в технической документации он указывается в виде корректированного по частоте уровня или уровня без частотной коррекции, то должен быть указан также соответствующий диапазон частот.
5.4 Спектральные характеристики
Образцовый источник шума должен создавать стабильное широкополосное излучение в требуемом диапазоне частот, включающем в себя как минимум третьоктавные полосы со среднегеометрическими частотами от 100 до 10 000 Гц. Неравномерность третьоктавного спектра уровня звуковой мощности, измеренного в соответствии с требованиями
разделов 8 или
9, должна быть не более 12 дБ. Уровень звуковой мощности в каждой третьоктавной полосе не должен отклоняться более чем на 3 дБ от уровня звуковой мощности в соседних третьоктавных полосах (для полосы 100 Гц имеется в виду только соседняя верхняя полоса, для полосы 10 000 Гц - только соседняя нижняя полоса). Если частотный диапазон расширен за пределы 100 и 10 000 Гц, то для расширенного диапазона указанные отклонения не должны превышать 16 и 4 дБ соответственно.
Специальные источники звука, создающие излучение в расширенном диапазоне частот или излучение с другой формой спектра, не могут декларироваться как образцовые источники шума, соответствующие требованиям настоящего стандарта, если такие источники звука не соответствуют его требованиям по крайней мере в диапазоне частот третьоктавных полос от 100 до 10 000 Гц.
5.5 Направленность излучения
Максимальный индекс направленности источника в любой третьоктавной полосе со среднегеометрической частотой от 100 до 10 000 Гц не должен превышать +6 дБ при измерении в полузаглушенной камере в соответствии с
разделом 8.
Для образцовых источников шума, предназначенных для использования исключительно в реверберационных помещениях, соответствующих
ГОСТ 31274, указанное требование неприменимо. В таком случае в технической документации на образцовый источник шума и на его этикетке должна присутствовать фраза "Для использования в качестве образцового источника шума в реверберационных помещениях, соответствующих ISO 3741".
5.6 Подтверждение характеристик
5.6.1 При получении образцовым источником шума механических повреждений необходимо подтвердить неизменность его характеристик и при необходимости провести повторную калибровку. Для источников аэродинамического типа измеряют скорость вращения колеса вентилятора. Если стабилизировавшаяся скорость вращения не отличается от значения, полученного во время предыдущих испытаний, более чем на 1%, то считают, что электрические повреждения в образцовом источнике шума отсутствуют.
5.6.2 Изготовителю образцового источника шума рекомендуется на основе результатов регулярных наблюдений устанавливать максимальный временной интервал между испытаниями на подтверждение характеристик источника (поверками) так, чтобы результаты измерения уровней звуковой мощности в двух последовательных испытаниях не различались между собой более чем на значения, указанные в
таблице 1, умноженные на коэффициент
2,77. Эту рекомендацию изготовителя принимают в качестве максимально допустимого межповерочного интервала. При отсутствии такой рекомендации максимальный межповерочный интервал не должен превышать двух лет.
Примечание - Если разность между результатами двух последовательных измерений звуковой мощности менее стандартного отклонения, указанного в
таблице 1, умноженного на
2,77, то можно предположить с вероятностью 95% (см., например,
[2]), что уровень звуковой мощности источника шума на интервале времени между этими измерениями оставался неизменным.
5.6.3 Образцовый источник шума может потребовать повторной калибровки до истечения межповерочного интервала. Чтобы определить необходимость повторной калибровки, выполняют регулярные измерения уровня звукового давления в третьоктавных полосах при заданном расположении источника в одной или нескольких фиксированных контрольных точках испытательного пространства. Интервал между измерениями выбирают в соответствии с рекомендациями изготовителя. При отсутствии таких рекомендаций время между двумя последовательными измерениями не должно превышать 6 мес. Если результаты двух последовательных измерений (с введенными коррекциями на условия испытательного пространства согласно указаниям изготовителя) различаются более чем на значение стандартного отклонения, указанного в
таблице 1, умноженного на коэффициент
2,77, то это является свидетельством необходимости выполнения повторной калибровки.
Примечание - Если выполнение процедуры проверки свидетельствует о необходимости повторной калибровки, то все результаты испытаний по определению уровней звуковой мощности источников шума, полученные с применением данного образцового источника шума, могут быть поставлены под сомнение. С учетом этого лаборатория, проводящая подобные испытания, может посчитать целесообразным сократить интервал между поверками или выполнять эти поверки с разной периодичностью, зависящей от числа проведенных испытаний.
5.6.4 Если лаборатория проводит испытания объектов в контролируемых условиях при постоянном фиксированном положении образцового источника шума без его транспортирования между испытаниями, то интервал между поверками может быть увеличен по сравнению с указанным в
5.6.2. Это допускается, если полученные в ходе испытаний с применением образцового источника шума с интервалом, не превышающим один год, результаты измерений усредненных по времени уровней звукового давления, создаваемых образцовым источником шума, в точках измерительной поверхности (позициях микрофона) 1 - 10 согласно
ГОСТ 31275-2002 (
таблица Б.1) при измерительном расстоянии не менее 1 м в условиях испытательного пространства, аттестованного в соответствии с
ГОСТ ISO 3745-2014 (приложение А) для определения уровня звуковой мощности источника широкополосного шума, не превышают значений, указанных в
таблице 1, умноженных на
2,77. Другим способом проверки являются измерения уровней звукового давления образцового источника шума, устанавливаемого в реверберационном помещении в одной фиксированной позиции, в соответствии с
ГОСТ 31274. Измерения выполняют при одних и тех же значениях атмосферного давления, температуры и относительной влажности воздуха в пределах допусков, установленных
ГОСТ 31274. Изменение уровней звукового давления оценивают по сравнению с результатами измерений, проведенных в тех же условиях непосредственно после получения образцового источника шума от аккредитованной лаборатории после его последней калибровки, выполненной в соответствии с требованиями настоящего стандарта. Все результаты проверок, связанные с увеличением межповерочного интервала, должны быть задокументированы.
В любом случае межповерочный интервал не должен составлять более 10 лет.
После этого образцовый источник шума должен пройти повторную калибровку в соответствии с требованиями настоящего стандарта, которую выполняет лаборатория с подтвержденной компетентностью (см. [3]). |
(Amd.1:2020)
Для измерений, выполняемых с помощью шумомера, все средства измерений, включая микрофоны, а также кабели, ветрозащитные экраны, самописцы уровня и другие аксессуары, если они используются, должны соответствовать требованиям
ГОСТ 17187 для шумомеров 1-го класса.
Для измерений, выполняемых с использованием компьютеризированных систем сбора данных, поверяют всю измерительную систему, включая компоненты аппаратного и программного обеспечения (см.
[4]). Поверку выполняют для тех условий, в которых будут проведены измерения.
Полосовые фильтры для шумомеров или компьютеризированных систем сбора данных с шириной в октаву или долю октавы должны быть 1-го класса (см.
[5]).
6.2 Микрофон для измерений в полузаглушенной камере
Применяют микрофон с плоской частотной характеристикой чувствительности (
далее - частотной характеристикой), калиброванный при нормальном падении звука (при установке рабочая ось должна быть направлена к центру измерительной полусферы) или при скользящем падении звука (при установке рабочая ось должна быть перпендикулярна направлению на центр измерительной полусферы). Микрофоны, входящие в состав шумомера, должны соответствовать требованиям
ГОСТ 17187 для шумомера 1-го класса. Микрофоны, используемые с компьютеризированными системами сбора данных, должны быть LS или WS типа с частотной характеристикой, калиброванной в свободном поле (F), поле давления (P) или диффузном поле (D), как определено в
[6] и
[7] соответственно. Характеристики микрофонов, удовлетворяющих требованиям к шумомерам 1-го класса, должны быть подтверждены (см.
[4]) и включать поправки в соответствии с
6.4.
6.3 Микрофон для измерений в реверберационной камере
Шумомер с установленным микрофоном должен быть снабжен микрофоном диффузного поля (или применяться с соответствующей поправкой при использовании микрофона другого типа). Характеристики микрофона, отвечающего требованиям
ГОСТ 17187 к шумомерам 1-го класса, должны быть подтверждены (см.
[8]). Микрофоны, используемые с компьютеризированными системами сбора данных, должны быть типа WS с калибровкой частотной характеристики в диффузном поле (D), как определено
[7]. Характеристики микрофонов должны быть подтверждены (см.
[4]) и включать поправки в соответствии с
6.4.
6.4 Поправки к частотной характеристике микрофона
Частотные характеристики микрофонов должны включать в себя соответствующие поправки (см.
[9] для измерений в полузаглушенной камере и
[8] для измерений в реверберационной камере).
Внесение поправок в частотную характеристику (обычно третьоктавную) выполняют при поверке микрофона в соответствующей лаборатории (см. [3]) для получения номинально ровной частотной характеристики с точностью до 0,1 дБ в диапазоне частот измерения в полузаглушенной камере при нормальном или скользящем падении звука и в реверберационной камере при падении звука под случайным углом. |
(Amd.1:2020)
Если частотный диапазон расширен за пределы 1/3 октавной полосы со среднегеометрической частотой 10 000 Гц, то два указанных типа микрофонов могут иметь небольшое отличие в точности частотной характеристики. Данные о неопределенности измерений (см.
таблицу 2) основаны на измерениях с использованием микрофонов с номинально плоской частотной характеристикой при скользящем падении звука.
6.5 Подтверждение соответствия
Соответствие применяемого средства измерений (шумомера в комплекте с фильтрами, микрофоном и акустическим калибратором) требованиям настоящего стандарта должно быть подтверждено действующим свидетельством о поверке с указанием действительных характеристик средства измерений, полученных во время поверки.
Свидетельство о поверке должно подтверждать, что испытания выполнены лабораторией, аккредитованной или иным образом уполномоченной в соответствии с национальным законодательством на проведение данного вида работ, с обеспечением метрологической прослеживаемости к соответствующим национальным стандартам. |
(Amd.1:2020)
Если национальным законодательством не установлено иное, то рекомендуется выполнять периодическую поверку:
- акустического калибратора - не реже одного раза в год;
- всей измерительной системы в целом для подтверждения соответствия требованиям
6.1 - не реже одного раза в два года;
- аналоговых фильтров для подтверждения соответствия оборудованию 1-го класса 1 (см.
[5]) - не реже одного раза в два года. Цифровые фильтры должны иметь свидетельство, подтверждающее их соответствие 1-му классу (см.
[5]), и проходить поверку каждый раз при внесении изменений в алгоритм цифровой обработки.
Периодическую поверку осуществляет лаборатория, аккредитованная или иным образом уполномоченная в соответствии с национальным законодательством на проведение данного вида работ. |
(Amd.1:2020)
6.6 Проверка калибровки измерительной системы
В начале и в конце каждой серии измерений всю систему измерений уровня звукового давления проверяют на одной или нескольких частотах с помощью акустического калибратора, отвечающего требованиям к калибратору 1-го класса (см.
[10]). Без какой-либо дополнительной регулировки разность между показаниями двух последовательных проверок не должна превышать 0,2 дБ. Если это значение превышено, результаты всех измерений, полученные после предыдущей удовлетворительной проверки, считают недостоверными.
7 Установка и работа образцового источника шума при калибровке
Испытуемый образцовый источник шума должен работать в соответствии с инструкциями изготовителя. Следует зарегистрировать основные параметры системы питания электрической или механической энергией (например, сетевые напряжение и частоту) и рабочие параметры испытуемого источника (например, скорость вращения для источника аэродинамического типа).
Примечание - Для измерения соответствующих рабочих параметров может потребоваться вспомогательное оборудование (например, стробоскоп для определения скорости вращения).
Выполнение измерений акустических характеристик или рабочих параметров выполняют при работе образцового источника шума в установившемся режиме.
7.2 Установка образцового источника шума в полузаглушенной камере
На звукоотражающую плоскость в полузаглушенной камере помещают испытуемый образцовый источник шума на расстоянии не менее 1,0 м от ближайшей стены в положении нормального использования.
Калибровку образцового источника шума при расположении на высоте более 0,5 м от звукоотражающей плоскости полузаглушенной камеры не проводят.
7.3 Установка образцового источника шума в реверберационной камере
Образцовый источник шума размещают на полу реверберационной камеры несимметрично относительно стен на расстоянии не менее 1,5 м от ближайшей из них. В целях калибровки используют четыре местоположения источника, каждое из которых находится на расстоянии не менее 2 м от других. Образцовый источник шума может быть также калиброван в заданном положении относительно стен и пола.
8 Калибровка в полузаглушенной камере
8.1 Испытательное пространство
Полузаглушенная камера должна соответствовать требованиям
ГОСТ ISO 3745-2014 (приложение A) в диапазоне частот измерений.
8.2.1 Общие положения
В качестве измерительной поверхности применяют полусферу радиусом 2 м с центром, совпадающим с проекцией геометрического центра верхней плоскости образцового источника шума на звукоотражающую плоскость. Используют одну из позиций микрофона, указанных в
8.2.2,
8.2.3,
8.2.4 или
8.2.5. Обеспечивают отсутствие влияния на измерения звука механических приспособлений для фиксации или перемещения микрофона по измерительной поверхности.
8.2.2 Меридианные траектории
Выполняют процедуры
ГОСТ ISO 3745-2014 (9.3.5 и приложение G). Для источников с осевой симметрией используют три траектории, смещенные на 120° относительно друг друга вокруг вертикальной оси измерительной поверхности. Для других источников используют не менее восьми траекторий.
Примечание 1 - При постоянной вертикальной скорости перемещения микрофона его угловая скорость теоретически будет бесконечной в верхней части полусферы. На практике эта проблема решается прекращением усреднения шума при приближении микрофона к верхней точке полусферы.
Примечание 2 - Могут быть использованы другие режимы изменения скорости движения микрофона по измерительной поверхности, отличные от приведенных в
ГОСТ ISO 3745-2014 (9.3.5), при условии, что выполнены требования
ГОСТ ISO 3745-2014 (9.4.3.3).
8.2.3 Спиральные траектории
Следуют процедурам
ГОСТ ISO 3745-2014 (9.3.6 и приложение H). При этом используют три траектории, смещенные относительно друг друга на 120° вокруг вертикальной оси измерительной поверхности.
8.2.4 Ряд фиксированных позиций микрофона
Для полусферической измерительной поверхности выбирают положения в соответствии с
ГОСТ ISO 3745-2014 (9.3.3 и приложение E). Для источников с осевой симметрией в горизонтальной плоскости используют 20 фиксированных позиций микрофона, пронумерованных от 1 до 20. Для других источников добавляют 20 позиций с 21 по 40.
8.2.5 Коаксиальные круговые траектории
Следуют процедурам
ГОСТ ISO 3745-2014 (9.3.4), но используют 20 круговых траекторий для полусферической измерительной поверхности. Период кругового сканирования должен быть не менее 60 с. Если для вращения калибруемого источника применяют поворотный стол, его поверхность должна лежать в звукоотражающей плоскости с отклонением от нее не более 15 мм. В качестве альтернативы траекториям, соответствующим равным площадям поверхности на равноотстоящих высотах по
ГОСТ ISO 3745, можно применять траектории, смещенные на одинаковый угол, при условии, что количество траекторий одинаково и что поправки на неравные площади, связанные с каждой траекторией, выполняют в соответствии с процедурой по
ГОСТ ISO 3745-2014 (9.4.3.2).
8.3.1 Общие положения
В каждой позиции микрофона или вдоль каждой траектории сканирования измеряют уровни звукового давления в третьоктавной полосе в соответствии с
ГОСТ ISO 3745. Для фиксированных позиций микрофона длительность измерения в каждой позиции должна быть не менее 30 с. Для перемещаемых микрофонов длительность измерения должна быть не менее 200 с для каждой четверти окружности меридианных траекторий и не менее 600 с для каждой спиральной траектории. Для коаксиальных круговых траекторий длительность измерения должна соответствовать целому числу оборотов микрофона или источника и должна быть не менее 60 с.
Измеряют скорость вращения калибруемого источника и напряжение электропитания до начала и по окончании измерений шума. Усредняют и регистрируют результаты измерений и наблюдаемые отклонения. Регистрируют частоту и измеренное напряжение электропитания во время испытаний.
8.3.2 Индекс направленности
Измерения индекса направленности являются обязательными при первичной поверке образцового источника шума, если только он не предназначен для использования исключительно в реверберационных камерах, соответствующих
ГОСТ 31274. Измерений характеристик направленности при последующих поверках не требуется, если есть уверенность в том, что параметры образцового источника шума не изменились вследствие механических повреждений или по другим причинам.
Для определения индекса направленности при использовании подвижного микрофона необходимо выполнить одно из следующих дополнительных измерений. Во время движения микрофона вдоль меридианной траектории непрерывно измеряют третьоктавный уровень звукового давления с использованием временной коррекции S, фиксируя его максимальное значение для расчета индекса направленности для данной траектории. В качестве альтернативы не менее 20 раз с регулярными интервалами измеряют эквивалентный уровень звукового давления в каждой октавной полосе во время движения микрофона вдоль меридианной траектории, отмечая максимальное значение для расчета индекса направленности для данной траектории. Фактическое положение вдоль траектории, при котором достигается максимальное значение, контролировать или регистрировать не требуется. Процедура измерений будет аналогичной, если испытуемый источник вращается, а позиция микрофона фиксирована.
Примечание - Уровни звукового давления в октавной полосе и корректированные по характеристике A можно измерять непосредственно или рассчитать на основе среднеквадратического значения звукового давления в третьоктавных полосах частот.
8.3.3 Временная стабильность
Измерение временной стабильности не является обязательным, за исключением испытаний в целях утверждения типа.
Для проверки временной стабильности выходной звуковой мощности (см.
5.2) следует использовать один из следующих методов:
a) последовательно выполняют три измерения уровня звуковой мощности образцового источника шума методом измерений в полузаглушенной камере настоящего стандарта;
b) с интервалом не менее 5 мин между измерениями выполняют пять измерений эквивалентного уровня звукового давления образцового источника шума с одним неподвижным микрофоном или на одной из траекторий методом измерений в полузаглушенной камере настоящего стандарта.
Рассчитанное по результатам измерений стандартное отклонение повторяемости сравнивают с предельными значениями, приведенными в
таблице 1.
Стандартное отклонение повторяемости

, дБ, рассчитывают по формуле

(1)
где N - количество повторных измерений (N = 3 для уровней звуковой мощности и N = 5 для уровней звукового давления);
LX,j - уровень звуковой мощности или уровень звукового давления в j-м измерении, дБ;

- уровень звуковой мощности или уровень звукового давления, усредненные энергетическим усреднением по
N измерениям, дБ.
Рассчитывают уровни звуковой мощности
LW, дБ, в третьоктавной полосе при нормальных условиях измерений в соответствии с
ГОСТ ISO 3745 по формуле

(2)
где

- эквивалентный уровень звукового давления испытуемого источника, дБ;
S - площадь измерительной поверхности, м2;
S0 - опорное значение площади, равное 1 м2;
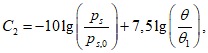
C1 - поправка, дБ, для учета опорных значений различных стандартных величин, используемых для расчета уровня звукового давления и уровня звуковой мощности, являющаяся функцией характеристического акустического импеданса воздуха при значениях параметров внешних условий во время выполнения измерений и рассчитываемая по формуле
где ps - статическое давление в условиях испытаний, Па;
ps,0 - нормальное статическое давление, равное 1,01325·105 Па;

- температура воздуха при условиях испытаний, К;

- нормальная температура (при
ps,0), равная 314 К, при которой численные значения интенсивности звука и звукового давления в плоской звуковой волне одинаковы;
C2 - поправка, дБ, на нормальные условия измерений, значение которой должно быть указано изготовителем образцового источника шума. При отсутствии такой информации следуют рекомендациям
приложения A. Чтобы минимизировать погрешность измерений с использованием образцового источника шума, формула для
C2, применяемая при калибровке для расчета
LW при нормальных условиях измерений, должна совпадать с формулой, применяемой в измерениях с использованием данного образцового источника шума для расчета
LW при фактических условиях измерений;
C3 - поправка, дБ, на поглощение воздуха, зависящая от частоты и вычисляемая по формуле
C3 = A0(1,005 3 - 0,001 2·A0)1,6,
где A0 - произведение a(f)·r, дБ;
a(
f) - коэффициент затухания при заданной температуре, влажности и статическом давлении воздуха как функция частоты в соответствии с
ГОСТ 31295.1-2005 [
формулы (3) -
(5)], дБ/м;
r - измерительное расстояние, м.
9 Калибровка в реверберационной камере
9.1 Испытательное пространство
Испытательное пространство должно соответствовать требованиям
ГОСТ 31274 в отношении широкополосного шума при наименьшем линейном размере реверберационной камеры, превышающем 4,0 м.
Используют минимум шесть фиксированных позиций микрофона или одну или несколько траекторий перемещения микрофона в соответствии с
ГОСТ 31274. Если диапазон частот измерений выходит за пределы третьоктавной полосы 10 000 Гц, то используют только фиксированные позиции микрофона, ориентируя его под случайным углом по отношению к источнику.
9.3.1 Общие положения
Применяют прямой метод в соответствии с
ГОСТ 31274.
Для каждого из четырех положений испытуемого источника, указанных в
7.3, измеряют эквивалентные уровни звукового давления в третьоктавных полосах с длительностью измерения не менее 64 с для каждой фиксированной позиции микрофона или траектории его сканирования. В соответствии с
ГОСТ 31274 интервал измерения должен включать не менее двух полных проходов по траектории.
Измеряют время реверберации T, используя не менее трех положений громкоговорителя и шести фиксированных позиций микрофона или траекторий сканируемого микрофона длиной не менее 10 м. Для каждого положения громкоговорителя измеряют не менее пяти кривых спада в каждой позиции микрофона или 30 кривых спада со сканируемым микрофоном. В зависимости от применяемого оборудования применяют кривые спада на 10 или 15 дБ и рассчитывают T10 или T15 на основе среднего значения T или усреднения по ансамблю.
Измеряют скорость вращения и напряжение электропитания образцового источника шума до начала и в конце акустических измерений. Усредняют и регистрируют результаты измерений вместе с наблюдаемыми отклонениями. Указывают величину и частоту сетевого напряжения.
9.3.2 Временная стабильность
Измерение временной стабильности не является обязательным, за исключением испытаний с целью утверждения типа.
Для проверки временной стабильности выходной звуковой мощности (см.
5.2) следует использовать один из следующих методов:
a) последовательно выполняют три измерения уровня звуковой мощности образцового источника шума методом измерений в реверберационной камере настоящего стандарта;
b) с интервалом не менее 5 мин между измерениями выполняют пять измерений эквивалентного уровня звукового давления образцового источника шума с одним неподвижным микрофоном или на одной из траекторий сканирования методом измерений в реверберационной камере настоящего стандарта.
Стандартное отклонение повторяемости

рассчитывают по
формуле (1) и сравнивают с предельными значениями, приведенными в
таблице 1.
Рассчитывают уровни звуковой мощности в третьоктавных полосах частот в соответствии с прямым методом
ГОСТ 31274, но с использованием поправки
C2, как указано в
8.4 и
приложении A.
Для каждой третьоктавной полосы рассчитывают уровень звуковой мощности на основе усредненного по энергии уровня звукового давления для четырех положений источника в соответствии с процедурой
ГОСТ 31274 для нескольких положений источников.
Корректированные по A и в октавных полосах уровни звуковой мощности рассчитывают на основе данных для третьоктавных полос в соответствии с
ГОСТ 31274-2004 (приложение F).
10 Альтернативный метод измерений на низких частотах
Для калибровки образцового источника шума в соответствии с
разделами 8 и
9 требуется испытательное пространство полузаглушенной или реверберационной камеры, соответствующей или превышающей требования
ГОСТ ISO 3745 или
ГОСТ 31274 соответственно во всем диапазоне частот измерений. Лаборатории, не аккредитованные для измерений в октавной полосе 63 Гц (в третьоктавных полосах 50, 63 и 80 Гц), тем не менее могут применять альтернативную процедуру измерений в указанном низкочастотном диапазоне согласно
приложению B.
11 Неопределенность калибровки
Определенный в соответствии с настоящим стандартом уровень звуковой мощности образцового источника шума, вероятно, будет отличаться от истинного значения в пределах неопределенности измерения уровня звуковой мощности при калибровке (далее - неопределенности калибровки). Неопределенность калибровки обусловлена влияющими факторами, частично связанными с условиями окружающей среды и свойствами испытательного пространства при калибровке, а также с применяемым методом измерений.
Неопределенность калибровки оценивают согласно
ГОСТ 34100.3. Общие указания по расчету неопределенности измерения уровня звуковой мощности приведены в
ГОСТ ISO 3745-2014 (раздел 10 и приложение I). Может также быть применен смешанный подход, который заключается в совместном использовании математической модели измерения и данных межлабораторных испытаний. В этом случае данные межлабораторных испытаний используют для формирования бюджета неопределенности, который не может быть составлен с использованием подхода на основе математической модели из-за отсутствия необходимой информации. В этих случаях лаборатория, проводящая калибровку, должна, по крайней мере, попытаться идентифицировать все источники неопределенности и адекватно оценить бюджет неопределенности, указав соответствующую неопределенность в протоколе испытаний.
11.2 Типичные значения стандартного отклонения воспроизводимости
Если экземпляр испытуемого источника транспортируют в несколько разных лабораторий и если в каждой лаборатории уровень звуковой мощности этого источника определяют в соответствии с настоящим стандартом с использованием одного и того же метода измерений, то результаты измерений, как правило, будут отличаться между собой. Рассчитанные по результатам измерений выборочные стандартные отклонения (см., например,
[11],
приложение B) могут зависеть от частоты. Практика показывает, что эти стандартные отклонения, вероятно, не будут превышать значений, указанных в
таблице 2.
Таблица 2
Расчетные значения стандартных отклонений воспроизводимости
уровней звуковой мощности образцовых источников звука,
определенных в соответствии с настоящим стандартом
Среднегеометрическая частота октавной полосы, Гц | Среднегеометрическая частота третьоктавной полосы, Гц | Стандартное отклонение воспроизводимости <a> для полузаглушенной камеры  , дБ | Стандартное отклонение воспроизводимости <a> для реверберационной камеры  , дБ |
Меридианные или спиральные траектории | 20 фиксированных позиций или коаксиальные круговые траектории |
63 | От 50 до 80 | 2,0 | 2,0 | 2,5 |
125 | От 100 до 160 | 0,8 | 0,8 | 1,0 |
От 250 до 2 000 | От 200 до 3150 | 0,3 | 0,5 | 0,3 |
От 4 000 до 8 000 | От 4000 до 10 000 | 0,3 | 1,0 | 0,3 |
16 000 | От 12 500 до 20 000 | 0,3 | 1,0 | 0,4 |
Коррекция по частотной характеристике A | | 0,5 | |
<a> Приведенные значения получены с учетом вариаций акустического излучения источника в условиях измерений ( C2 = 0 дБ, см. 8.4). Они подтверждены экспериментально. <b> Значения, корректированные по A, рассчитаны на основе данных в третьоктавных полосах. |
Значения, приведенные в
таблице 2, представляют собой стандартные отклонения воспроизводимости

, как определено в
[12]. Значения в
таблице 2 учитывают совокупное влияние источников неопределенности измерения при применении процедур настоящего стандарта, но исключают вариации выходной мощности, вызванные изменениями условий и режима работы (например, скорости вращения, сетевого напряжения) или условий размещения образцового источника шума.
Если отсутствуют сведения, достаточные в полном объеме для применения
ГОСТ 34100.3, то для оценки неопределенности измерения могут быть использованы значения стандартного отклонения воспроизводимости, приведенные в
таблице 2. Чтобы получить расширенную неопределенность при заданной степени достоверности, данные
таблицы 2 необходимо умножить на коэффициент охвата. Например, для нормального распределения уровней звуковой мощности и уровня доверия 95% истинное значение уровня звуковой мощности источника находится в диапазоне

измеренного значения (расширенная неопределенность).
Примечание 1 - Результаты калибровки конкретного экземпляра образцового источника шума не распространяются на другой экземпляр той же конструкции и того же изготовителя.
Примечание 2 - Значения в
таблице 2 не включают в себя систематические эффекты, связанные с разными испытательными пространствами. Эти эффекты незначительны для частот выше 160 Гц, однако на более низких частотах могут быть существенными. Для реверберационных камер объемом 200 м
3 систематические отклонения обычно составляют 1,5 дБ или менее (см.
[13]). Они могут возрастать в случае измерений в небольших реверберационных камерах, особенно для частот ниже 100 Гц.
Примечание 3 - Установленная настоящим стандартом неопределенность измерения, выраженная через стандартное отклонение воспроизводимости, основана на измерениях в семи реверберационных камерах с объемом от 197 до 238 м3 с использованием микрофонов типа WS2 (полудюймовые микрофоны).
12 Регистрируемая информация
Информация, подлежащая регистрации, должна соответствовать требованиям
ГОСТ ISO 3745-2014 (раздел 11) или
ГОСТ 31274-2004 (раздел 9) по применимости. Измеренные и рассчитанные значения должны регистрироваться с точностью до 0,1 дБ.
Регистрируют скорость вращения и напряжение питания образцового источника шума, включая обнаруженные во время испытаний отклонения, а также величину и частоту сетевого напряжения.
Общая информация, вносимая в протокол испытаний, должна соответствовать
ГОСТ ISO 3745-2014 (раздел 12) или
ГОСТ 31274-2004 (раздел 9).
В протокол испытаний вносят следующую информацию:
a) была ли калибровка выполнена в полном соответствии с процедурами настоящего стандарта. Заявляют о любых отклонениях;
b) проводилась ли калибровка в полузаглушенной или в реверберационной камере. Если использовалась полузаглушенная камера, то указывают позиции микрофонов. Если в реверберационной камере испытуемый источник располагался на некоторой высоте от пола, то подробно описывают использованный штатив или опору (размеры, материал);
c) объем реверберационной камеры или нижнюю граничную частоту измерений в полузаглушенной камере в зависимости от того, что применялось;
d) уровни звуковой мощности в полосах частот с округлением до ближайших 0,1 дБ (относительно 1 пВт) для нормальных условий измерений, установленных в
разделе 4. Приводят значение скорости вращения образцового источника шума и сетевое напряжение, включая отклонения, наблюдавшиеся во время измерений. При необходимости также могут быть приведены уровни звуковой мощности в реальных условиях измерений. Должно быть четко указано, что указанные уровни звуковой мощности применимы только к режиму работы образцового источника шума во время испытаний (например, в отношении скорости вращения для аэродинамического источника). Может быть приведен график коррекции уровня звуковой мощности при изменении скорости вращения аэродинамического источника;
e) расширенную неопределенность для уровня звуковой мощности при вероятности охвата 95%;
f) температуру, относительную влажность и статическое давление воздуха во время измерений, значение и формулу для расчета поправки
C2 (см.
8.4) и другие поправки, при их наличии, для нормальных условий измерений (см.
раздел 4), метод определения прочих поправок;
g) основные параметры источника электрической или механической энергии и соответствующие параметры образцового источника шума, в частности скорость вращения аэродинамического источника (см.
7.1). Если испытания проведены для проверки всех требований настоящего стандарта, то дополнительно предоставляют сведения о соответствии
разделу 5 спектральных характеристик, временной стабильности выходной мощности шума и индекса направленности.
(справочное)
A.1 Общие положения
Метод расчета поправки
C2 зависит от характера шума, излучаемого источником. Точные значения могут быть получены только в результате обширных исследований, которые обычно проводятся только изготовителем образцового источника шума. В отсутствие таких данных может быть полезна следующая информация (см.
[14]).
A.2 Поправка C2 для некоторых типов источников
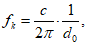
a) Для источников с монопольным характером излучения, например для конструкций, совершающих низкочастотные колебания и имеющих частоту среза, рассчитываемую по формуле

(A.1)
где c - скорость звука, м/с;
d0 - половина характерного размера источника (см.
ГОСТ ISO 3745), м:

(A.2)
Примечание - В данном случае частота среза определена как частота, на которой эффективность излучения снижается на 3 дБ относительно максимального значения на высоких частотах.
b) Для конструкций, колеблющихся как монополи с более высокими частотами f >= fk:

(A.3)
c) Для аэродинамических дипольных источников f >= fk:

(A.4)
d) Для источников с неизвестным характером излучения:

(A.5)
где ps - статическое давление при испытаниях, Па;
ps,0 - нормальное статическое давление, равное 1,01325·105 Па;

- температура воздуха при испытаниях, К;

- опорное значение температуры, равное 296 К.
(обязательное)
ИЗМЕРЕНИЙ НА НИЗКИХ ЧАСТОТАХ
B.1 Процедура
Чтобы в полузаглушенной камере расширить вниз диапазон частот измерений в соответствии с
разделом 10, процедуры измерений, приведенные в
разделе 8, должны быть выполнены в диапазоне частот от 50 до 10 000 Гц в третьоктавных полосах частот на основе измерений уровня звукового давления. Затем эти процедуры повторяют для третьоктавных полос от 50 до 315 Гц с использованием измерений уровня интенсивности звука. Измерения уровня интенсивности звука выполняют в соответствии с
ГОСТ 30457.3 с использованием вставки 50 мм между микрофонами зонда. Позиции и траектории измерения зонда интенсивности должны соответствовать
8.2.
Для всех измерений уровень интенсивности звука следует измерять в радиальном направлении наружу относительно измерительной поверхности. Сравнивают уровни звуковой мощности, определенные на основе измерений уровня звукового давления и уровня интенсивности звука. Если уровни звуковой мощности отличаются не более чем на допуск, указанный в
таблице B.1, то уровни звуковой мощности, определенные на основе измерений интенсивности звука, считают действительными уровнями для третьоктавных полос 50, 63 и 80 Гц.
Таблица B.1
Допуск на разницу уровней звуковой мощности
Среднегеометрическая частота третьоктавной полосы, Гц | Допуск, дБ |
От 50 до 80 | +/- 4,0 |
От 100 до 315 | +/- 1,0 |
B.2 Данные, вносимые в протокол испытаний
Уровни звуковой мощности и индекс направленности в третьоктавных полосах от 100 до 10 000 Гц и октавных полосах от 125 до 8000 Гц должны быть определены посредством измерений звукового давления в соответствии с
разделом 5.
Уровень звуковой мощности и индекс направленности в третьоктавных полосах 50, 63 и 80 Гц и октавной полосы 63 Гц должны быть определены на основе измерений уровня интенсивности звука. В протоколе испытаний должны быть явно указаны уровни, которые определены на основе измерений уровня интенсивности звука.
(справочное)
СВЕДЕНИЯ О СООТВЕТСТВИИ ССЫЛОЧНЫХ МЕЖГОСУДАРСТВЕННЫХ
СТАНДАРТОВ МЕЖДУНАРОДНЫМ СТАНДАРТАМ, ИСПОЛЬЗОВАННЫМ
В КАЧЕСТВЕ ССЫЛОЧНЫХ В ПРИМЕНЕННОМ МЕЖДУНАРОДНОМ СТАНДАРТЕ
Таблица ДА.1
Обозначение ссылочного межгосударственного стандарта | Степень соответствия | Обозначение и наименование ссылочного международного стандарта |
| MOD | IEC 61672-1 "Электроакустика. Шумомеры. Часть 1. Технические требования" |
ГОСТ 30457.3-2006 (ИСО 9614-3:2002) | MOD | ISO 9614-3 "Акустика. Определение уровней звуковой мощности источников шума по интенсивности звука. Часть 3. Точный метод для измерения сканированием" |
(ИСО 3741:1999) | NEQ | ISO 3741:2010 "Акустика. Определение уровней звуковой мощности по звуковому давлению. Точные методы для реверберационных камер" |
ГОСТ 31275-2002 (ИСО 3744:1994) | NEQ | ISO 3744:2010 "Акустика. Определение уровней звуковой мощности источников шума по звуковому давлению. Технический метод в существенно свободном звуковом поле над звукоотражающей плоскостью" |
| MOD | ISO 9613-1:1993 "Акустика. Затухание звука при распространении на местности. Часть 1. Расчет поглощения звука атмосферой" |
ISO/IEC Guide 98-3:2008 | MOD | ISO/IEC Guide 98-3 "Неопределенность измерения. Часть 3. Руководство по выражению неопределенности измерения" |
| IDT | ISO 3745:2012 "Акустика. Определение уровней звуковой мощности по звуковому давлению. Точные методы для заглушенных и полузаглушенных камер" |
Примечание - В настоящей таблице использованы следующие условные обозначения степени соответствия стандартов: - IDT - идентичный стандарт; - MOD - модифицированные стандарты; - NEQ - неэквивалентные стандарты. |
| ГОСТ ISO 3740-2023 Акустика. Определение уровней звуковой мощности источников шума. Руководство по применению базовых стандартов |
| ISO 5725-2, Accuracy (trueness and precision) of measurement methods and results - Part 2: Basic method for the determination of repeatability and reproducibility of a standard measurement method [Точность (правильность и прецизионность) методов и результатов измерений. Часть 2. Основной метод определения повторяемости и воспроизводимости стандартного метода измерений] <1> |
| ISO/IEC 17025, General requirements for the competence of testing and calibration laboratories (Общие требования к компетентности испытательных и калибровочных лабораторий) |
Примечание - Рекомендуется применять гармонизированный стандарт ГОСТ ISO/IEC 17025-2019 "Общие требования к компетентности испытательных и калибровочных лабораторий". |
| IEC 61672-3:2013, Electroacoustics - Sound level meters - Part 3: Periodic tests (Электроакустика. Шумомеры. Часть 3. Периодические испытания) <2> |
| IEC 61260-1, Electroacoustics - Octave-band and fractional-octave-band filters - Part 1: Specifications (Электроакустика. Фильтры полосовые октавные и на долю октавы. Часть 1. Технические требования) <3> |
| IEC 61094-1, Measurement microphones - Part 1: Specifications for laboratory standard microphones (Измерительные микрофоны. Часть 1. Технические требования для лабораторных стандартных микрофонов) |
| IEC 61094-4, Measurement microphones - Part 4: Specifications for working standard microphones (Измерительные микрофоны. Часть 4. Технические требования для рабочих стандартных микрофонов) |
| IEC 61183, Electroacoustics - Random-incidence and diffuse-field calibration of sound level meters (Электроакустика. Калибровка шумомеров при падении звука под случайным углом и в диффузном поле) |
| IEC 62585, Electroacoustics - Methods to determine corrections to obtain the free-field response of a sound level meter (Электроакустика. Методы определения поправок к показаниям шумомера, полученным в свободном поле) |
| IEC 60942:2003, Electroacoustics - Sound calibrators (Электроакустика. Калибраторы акустические) <4> |
| ISO 7574-4:1985, Acoustics - Statistical methods for determining and verifying stated noise emission values of machinery and equipment - Part 4: Methods for stated values for batches of machines (Акустика. Статистические методы определения и проверки установленных значений шума, производимого машинами и оборудованием. Часть 4. Методы определения установленных значений для партий машин) |
| ISO 5725-1, Accuracy (trueness and precision) of measurement methods and results - Part 1: General principles and definitions [Точность (правильность и прецизионность) методов и результатов измерений. Часть 1. Основные положения и определения] <5> |
| Campanella A.J., Calibration of reference sound sources, a US perspective, Noise-Con 96 Proceedings, 1996, pp. 931 - 936 |
|  G. Accuracy consideration on the meteorological correction for a normalized sound power level, Inter-Noise 2000 proceedings, Nice, France, 2000, INCE Conference Proceedings, August, 2000, 204, pp. 2996 - 3000 |
--------------------------------
<1> В Российской Федерации действует
ГОСТ Р ИСО 5725-2-2002 "Точность (правильность и прецизионность) методов и результатов измерений. Часть 2. Основной метод определения повторяемости и воспроизводимости стандартного метода измерений".
<2> В Российской Федерации действует
ГОСТ Р 53188.3-2019 "Государственная система обеспечения единства измерений. Шумомеры. Часть 3. Методика поверки".
<3> В Российской Федерации действует
ГОСТ Р 70024.1-2022 "Государственная система обеспечения единства измерений. Фильтры полосовые октавные и на долю октавы. Часть 1. Технические требования".
<4> В Российской Федерации действует
ГОСТ Р МЭК 60942-2009 "Калибраторы акустические. Технические требования и требования к испытаниям".
<5> В Российской Федерации действует
ГОСТ Р ИСО 5725-1-2002 "Точность (правильность и прецизионность) методов и результатов измерений. Часть 1. Основные положения и определения".
| ISO/TR 11690-3, Acoustics - Recommended practice for the design of low-noise workplaces containing machinery - Part 3: Sound propagation and noise prediction in workrooms <1> |
| ISO 14257, Acoustics - Measurement and parametric description of spatial sound distribution curves in workrooms for evaluation of their acoustical performance |
Примечание - Рекомендуется применять гармонизированный стандарт ГОСТ 31249-2004 "Акустика. Построение линий пространственного распределения звука в рабочих помещениях для оценки их акустических характеристик". |
--------------------------------
<1> В Российской Федерации действует
ГОСТ Р 52797.3-2007 (ИСО/ТО 11690-3:1997) "Акустика. Рекомендуемые методы проектирования малошумных рабочих мест производственных помещений. Часть 3. Распространение звука в производственных помещениях и прогнозирование шума".
УДК 621.3.002.5:534.635.462.001.4:006.354 | | MOD |
Ключевые слова: образцовый источник шума, уровень звукового давления, уровень звуковой мощности, реверберационная камера, полузаглушенная камера |