Главная // Актуальные документы // ГОСТ (Государственный стандарт)СПРАВКА
Источник публикации
М.: Стандартинформ, 2015
Примечание к документу
Отдельные положения данного документа включены в
Перечень международных и региональных (межгосударственных) стандартов, а в случае их отсутствия - национальных (государственных) стандартов, содержащих правила и методы исследований (испытаний) и измерений, в том числе правила отбора образцов, необходимые для применения и исполнения требований технического
регламента Таможенного союза "О безопасности машин и оборудования" (ТР ТС 010/2011) и осуществления оценки соответствия объектов технического регулирования (
Решение Коллегии Евразийской экономической комиссии от 09.03.2021 N 28).
Документ
введен в действие с 01.11.2015.
Взамен ГОСТ 31273-2003 (ИСО 3745:2003).
Название документа
"ГОСТ ISO 3745-2014. Межгосударственный стандарт. Акустика. Определение уровней звуковой мощности и звуковой энергии источников шума по звуковому давлению. Точные методы для заглушенных и полузаглушенных камер"
(введен в действие Приказом Росстандарта от 29.12.2014 N 2147-ст)
"ГОСТ ISO 3745-2014. Межгосударственный стандарт. Акустика. Определение уровней звуковой мощности и звуковой энергии источников шума по звуковому давлению. Точные методы для заглушенных и полузаглушенных камер"
(введен в действие Приказом Росстандарта от 29.12.2014 N 2147-ст)
по техническому регулированию
и метрологии
от 29 декабря 2014 г. N 2147-ст
МЕЖГОСУДАРСТВЕННЫЙ СТАНДАРТ
АКУСТИКА
ОПРЕДЕЛЕНИЕ УРОВНЕЙ ЗВУКОВОЙ МОЩНОСТИ
И ЗВУКОВОЙ ЭНЕРГИИ ИСТОЧНИКОВ ШУМА ПО ЗВУКОВОМУ ДАВЛЕНИЮ
ТОЧНЫЕ МЕТОДЫ ДЛЯ ЗАГЛУШЕННЫХ И ПОЛУЗАГЛУШЕННЫХ КАМЕР
Acoustics. Determination of sound power levels and sound
energy levels of noise sources using sound pressure.
Precision methods for anechoic rooms
and hemi-anechoic rooms
(ISO 3745:2012, IDT)
ГОСТ ISO 3745-2014
Дата введения
1 ноября 2015 года
Цели, основные принципы и основной порядок проведения работ по межгосударственной стандартизации установлены в
ГОСТ 1.0-92 "Межгосударственная система стандартизации. Основные положения" и
ГОСТ 1.2-2009 "Межгосударственная система стандартизации. Стандарты межгосударственные, правила и рекомендации по межгосударственной стандартизации. Порядок разработки, принятия, применения, обновления и отмены"
1 ПОДГОТОВЛЕН Открытым акционерным обществом "Научно-исследовательский центр контроля и диагностики технических систем" (ОАО "НИЦ КД") на основе собственного аутентичного перевода на русский язык международного стандарта, указанного в
пункте 5
2 ВНЕСЕН Федеральным агентством по техническому регулированию и метрологии (Росстандарт)
3 ПРИНЯТ Межгосударственным советом по стандартизации, метрологии и сертификации (протокол от 14 ноября 2014 г. N 72-П)
За принятие проголосовали:
Краткое наименование страны по МК (ИСО 3166) 004-97 | Код страны по МК (ИСО 3166) 004-97 | Сокращенное наименование национального органа по стандартизации |
Азербайджан | AZ | Азстандарт |
Армения | AM | Минэкономики Республики Армения |
Беларусь | BY | Госстандарт Республики Беларусь |
Казахстан | KZ | Госстандарт Республики Казахстан |
Киргизия | KG | Кыргызстандарт |
Молдова | MD | Молдова-Стандарт |
Россия | RU | Росстандарт |
Таджикистан | TJ | Таджикстандарт |
Узбекистан | UZ | Узстандарт |
4
Приказом Федерального агентства по техническому регулированию и метрологии от 29 декабря 2014 г. N 2147-ст межгосударственный стандарт ГОСТ ISO 3745-2014 введен в действие в качестве национального стандарта Российской Федерации с 1 ноября 2015 г.
5 Настоящий стандарт идентичен международному стандарту ISO 3745:2012 Acoustics - Determination of sound power levels and sound energy levels of noise sources using sound pressure - Precision methods for anechoic rooms and hemi-anechoic rooms (Акустика. Определение уровней звуковой мощности и звуковой энергии источников шума по звуковому давлению. Точные методы для заглушенных и полузаглушенных камер).
Международный стандарт разработан подкомитетом ISO/TC 43/SC 1 "Шум" Технического комитета по стандартизации ISO/TC 43 "Акустика" Международной организации по стандартизации (ISO).
Перевод с английского языка (en).
Степень соответствия - идентичная (IDT).
Сведения о соответствии межгосударственных стандартов ссылочным международным стандартам приведены в дополнительном
приложении ДА
6 ВЗАМЕН ГОСТ 31273-2003 (ИСО 3745:2003)
Информация о введении в действие (прекращении действия) настоящего стандарта публикуется в ежемесячно издаваемом указателе "Национальные стандарты".
Информация об изменениях к настоящему стандарту публикуется в ежегодно издаваемом информационном указателе "Национальные стандарты", а текст изменений - в информационных указателях "Национальные стандарты". В случае пересмотра или отмены настоящего стандарта соответствующая информация будет опубликована в информационном указателе "Национальные стандарты"
Настоящий стандарт входит в серию стандартов (см.
[3] -
[8]), устанавливающих методы определения уровней звуковой мощности и звуковой энергии источников шума, таких как машины, оборудование и их узлы. Выбор конкретного метода зависит от целей испытаний по определению уровня звуковой мощности (звуковой энергии) и от имеющегося в распоряжении испытательного оборудования. Общее руководство по выбору метода испытаний установлено в
[2]. Стандарты
[3] -
[8] дают только общие рекомендации по установке машин и условиям их работы при испытаниях. Подробные требования к установке машины, режиму ее работы и нагрузке при испытаниях, а также по выбору измерительных поверхностей и установки микрофонов должны быть установлены в стандартах по испытаниям на шум для машин разных видов (так называемых испытательных кодах по шуму).
Методы настоящего стандарта требуют установки испытуемой машины в заглушенной или полузаглушенной камере с заданными акустическими характеристиками. Эти методы основаны на допущении, что звуковая мощность (звуковая энергия) источника шума пропорциональна среднеквадратичному звуковому давлению на воображаемой измерительной поверхности, охватывающей машину, а коэффициент пропорциональности зависит только от физических констант воздуха.
Методы, установленные настоящим стандартом, предполагают определение уровней звуковой мощности (звуковой энергии) в полосах частот или с коррекцией по частотной характеристике A.
Методы настоящего стандарта относятся к точным методам по классификации ISO 12001. Результаты измерений уровней звуковой мощности и звуковой энергии включают в себя поправки на отклонение от нормальных атмосферных условий. В случаях, когда допускается проведение измерений с меньшей точностью или когда условия работы источника шума связаны с большой неопределенностью измерения, можно применить методы измерений, установленные в
[6] или
[7].
1.1 Общие положения
Настоящий стандарт устанавливает методы измерения уровней звуковой мощности источника шума или, в случае если шум источника имеет импульсный характер или форму переходного процесса, то уровней звуковой энергии в третьоктавных полосах частот или в широкой полосе частот с коррекцией по частотной характеристике A (далее - корректированные по A) по результатам измерений уровней звукового давления на измерительной поверхности в заглушенной или полузаглушенной камере. Методы включают в себя внесение поправок на отклонение атмосферных условий во время испытаний от нормальных, соответствующих характеристическому акустическому импедансу воздушной среды.
Диапазон частот измерений указанными методами включает в себя третьоктавные полосы со среднегеометрическими частотами от 100 до 10 000 Гц. Диапазон частот измерений может быть расширен или сокращен при условии подтверждения пригодности камеры для проведения измерений в данном расширенном (сокращенном) диапазоне.
1.2 Вид шума и источники шума
Настоящий стандарт распространяется на все виды шума (постоянный, непостоянный, флуктуирующий, единичные импульсы и др.) по классификации ISO 12001.
Источники шума могут представлять собой устройства, машины и их узлы. Максимальный размер источника шума зависит от заданных требований к радиусу сферической (полусферической) измерительной поверхности.
1.3 Испытательное помещение
Испытательным помещением для проведения испытаний в соответствии с настоящим стандартом может быть заглушенная либо полузаглушенная камера.
1.4 Неопределенность измерения
В настоящем стандарте приведены сведения о неопределенности измерения уровней звуковой мощности (звуковой энергии) в третьоктавных полосах частот и корректированных по A уровней звуковой мощности. Неопределенность измерения соответствует установленной ISO 12001 для точных методов измерений.
Для применения настоящего стандарта необходимы следующие ссылочные документы. Для датированной ссылки применяют только указанное издание ссылочного документа. Для недатированной ссылки применяют последнее издание ссылочного документа (включая все его изменения).
ISO 5725 (все части) Accuracy (trueness and precision) of measurement methods and results [Точность (правильность и прецизионность) методов и результатов измерений]
ISO 9613-1:1993 Acoustics-Attenuation of sound during propagation outdoors - Part 1: Calculation of the absorption of sound by the atmosphere (Акустика. Ослабление звука при его распространении на местности. Часть 1. Расчет поглощения звука атмосферой)
ISO 12001:1996 Acoustics - Noise emitted by machinery and equipment - Rules for the drafting and presentation of a noise test code (Акустика. Шум, излучаемый машинами и оборудованием. Правила составления испытательных кодов по шуму)
ISO/IEC Guide 98-3 Uncertainty in measurement - Part 3: Guide to the expression of uncertainty in measurement (GUM:1995) [Неопределенность измерения. Часть 3. Руководство по выражению неопределенности измерения (GUM)]
IEC 60942:2003 Electroacoustics - Sound calibrators (Электроакустика. Калибраторы акустические)
IEC 61183 Electroacoustics - Random-incidence and diffuse-field calibration of sound level meters (Электроакустика. Калибровка шумомеров в диффузном звуковом поле)
IEC 61260:1995 Electroacoustics - Octave-band and fractional-octave-band filters (Электроакустика. Фильтры полосовые октавные и на доли октавы)
IEC 61672-1:2002 Electroacoustics - Sound level meters - Part 1: Specifications (Электроакустика, Шумомеры. Часть 1. Технические требования)
В настоящем стандарте применены следующие термины с соответствующими определениями.
3.1 звуковое давление (sound pressure), p: Разность между мгновенным и статическим давлениями воздушной среды.
Примечание 1 - Определение термина модифицировано по отношению к статье 8-9.2 в
[22].
Примечание 2 - p выражают в паскалях (Па).
3.2 уровень звукового давления (sound pressure level), Lp: Десятикратный десятичный логарифм отношения квадрата звукового давления p к квадрату опорного звукового давления p0 (p0 = 20 мкПа), выраженный в децибелах (дБ):

. (1)
Примечание 1 - В случае применения коррекций по частотным или временным характеристикам, а также в случае измерений в заданной полосе частот это отражают применением соответствующего подстрочного индекса. Например, LpA - уровень звука (т.е. уровень корректированного по частотной характеристике A звукового давления).
Примечание 2 - Определение содержательно совпадает со статьей 8-22 в
[22].
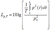
3.3 эквивалентный уровень звукового давления (time-averaged sound pressure level), Lp,T: Десятикратный десятичный логарифм отношения усредненного на заданном временном интервале T (с началом t1 и окончанием t2) квадрата звукового давления p к квадрату опорного звукового давления p0 (p0 = 20 мкПа), выраженный в децибелах (дБ) по формуле:

. (2)
Примечание 1 - Обычно подстрочный индекс T опускают, поскольку из названия термина следует, что величину Lp,T определяют на заданном временном интервале.
Примечание 2 - В большинстве применений интегрирование на временном интервале T сопровождается использованием коррекции по частотной характеристике A. Соответствующую величину обозначают LpA,T, или сокращенно LpA.
Примечание 3 - Определение термина модифицировано по отношению к статье 2.3 в
[20].
3.4 уровень экспозиции однократного шумового процесса (single event time-integrated sound pressure level), LE: Десятикратный десятичный логарифм отношения интегрированного на заданном временном интервале T (с началом t1 и окончанием t2) квадрата звукового давления p отдельного шумового события (звукового импульса или переходного процесса) к опорному значению дозы шума E0 [E0 = (20 кПа)2 с = 4 x 10-10 Па2 с], выраженный в децибелах (дБ) по формуле:

. (3)
[ISO 3741:2010, 3.4]
Примечание 1 - Данная величина может быть выражена через эквивалентный уровень звукового давления по формуле

, где
T0 = 1 с.
Примечание 2 - В случае описания звуковой эмиссии (см.
[19]) данную величину обычно называют "уровень звукового воздействия" (см.
[20]).
3.5 продолжительность измерений (measurement time interval), T: Интервал времени, включающий в себя часть операционного цикла (или несколько операционных циклов) источника шума, в течение которого выполняют измерения эквивалентного уровня звукового давления.
Примечание - T выражают в секундах (с).
[ISO 3741:2010, 3.5]
3.6 свободное (звуковое) поле (acoustic free field): Звуковое поле в однородной изотропной безграничной среде.
Примечание - На практике свободным полем можно считать звуковое поле, в котором влияние отражения от границ или других объектов в диапазоне частот измерений пренебрежимо мало.
[ISO/TR 25417:2007, 2.17]
3.7 (полностью) заглушенная камера (anechoic room, anechoic test room, free-field test room): Испытательное помещение, в котором созданы условия свободного звукового поля.
3.8 свободное (звуковое) поле над звукоотражающей плоскостью (acoustic free field over a reflecting plane): Свободное звуковое поле в полупространстве над бесконечной звукоотражающей плоскостью при отсутствии других объектов, влияющих на распространение звуковых волн.
3.9 звукоотражающая плоскость (reflecting plane): Отражающая звук плоская поверхность, на которую устанавливают испытуемый источник шума.
3.10 полузаглушенная камера (hemi-anechoic room, hemi-anechoic test room, hemi-free-field test room): Испытательное помещение, в котором созданы условия свободного звукового поля над звукоотражающей плоскостью.
3.11 диапазон частот измерений (frequency range of interest): В общем случае диапазон частот, включающий в себя третьоктавные полосы со среднегеометрическими частотами (номинальными) от 100 до 10 000 Гц.
Примечание - В отдельных случаях диапазон частот измерений может быть расширен или сокращен, если при этом условия испытаний и применяемые средства измерений удовлетворяют требованиям настоящего стандарта. Любое расширение или сокращение диапазона частот измерений отражают в протоколе испытаний. Если в определяемый корректированный по A уровень звуковой мощности основной вклад вносят низкочастотные или высокочастотные составляющие, то диапазон частот измерений должен быть расширен, чтобы включить в себя эти составляющие.
3.12 измерительный радиус (measurement radius), r: Радиус измерительной поверхности, имеющей вид сферы или полусферы.
Примечание - Выражают в метрах (м).
3.13 измерительная поверхность (measurement surface): Воображаемая поверхность площадью S, на которой располагают точки измерений (установки микрофонов) уровней звукового давления и которая охватывает испытуемый источник шума, а в случае испытаний в полузаглушенной камере имеет замкнутую линию пересечения со звукоотражающей плоскостью.
Примечание - Площадь измерительной поверхности выражают в квадратных метрах (м2).
3.14 характеристический размер (источника) (characteristic source dimension),
d0: Расстояние от начала системы координат до самой дальней вершины огибающего параллелепипеда, представляющего собой воображаемую поверхность в форме прямоугольного параллелепипеда минимального размера, охватывающего испытуемый источник шума, включая все его основные звукоизлучающие элементы и испытательный стол (при его наличии), на который источник установлен, а в случае полузаглушенной камеры имеющего замкнутую линию пересечения со звукоотражающей плоскостью.
Примечание 1 - d0 выражают в метрах (м).
Примечание 2 - Примеры определения характеристических размеров источника показаны на
рисунке 1.
a) Заглушенная камера,

b) Заглушенная камера со звукоотражающим полом
(полузаглушенная камера),
d0 - характеристический размер источника;
l1, l2, l3 - ширина, длина и высота огибающего
параллелепипеда; O - начало координат
Рисунок 1 - Огибающий параллелепипед с указанием центра
измерительной поверхности (для случая, когда акустический
центр неизвестен) и характеристических размеров
источника шума
3.15 фоновый шум (background noise): Шум от всех источников, кроме испытуемого.
Примечание - Фоновый шум может включать в себя воздушный шум, шум излучения вибрирующих поверхностей, электрический шум средств измерений.
3.16 коррекция на фоновый шум (background noise correction), K1: Поправка к измеренному уровню звукового давления в точке измерительной поверхности камеры, вносимая для учета влияния фонового шума.
Примечание 1 - K1 выражают в децибелах (дБ).
Примечание 2 - Коррекция на фоновый шум зависит от частоты. При измерениях в полосе частот коррекцию на фоновый шум обозначают K1f, где f - среднегеометрическая частота полосы, а при измерениях в широкой полосе частот с коррекцией по частотной характеристике A - K1A.
3.17 эквивалентный уровень звукового давления на поверхности (surface time-averaged sound pressure level),

: Усредненный (методом энергетического суммирования) по точкам измерений или траекториям сканирования на измерительной поверхности эквивалентный уровень звукового давления после внесения коррекций на фоновый шум
K1 (для каждой точки измерения или траектории сканирования), выраженный по формуле:

, (4)
где | Lpi(ST) | - | скорректированный на фоновый шум эквивалентный уровень звукового давления в третьоктавной полосе частот в i точке измерения (месте установки микрофона) или для i траектории сканирования при работающем испытуемом источнике шума, дБ; |
| NM | - | число точек измерений или траекторий сканирования. |
Примечание -

выражают в децибелах (дБ).
3.18 уровень экспозиции однократного шумового процесса на поверхности (surface single event time-integrated sound pressure level),

: Усредненный (методом энергетического суммирования) по точкам измерений на измерительной поверхности уровень экспозиции однократного шумового процесса после внесения коррекций на фоновый шум
K1 (для каждой точки измерения или траектории сканирования), выраженный по формуле:

, (5)
где | Lpi(ST) | - | корректированный на фоновый шум уровень экспозиции однократного шумового процесса в i точке измерения (месте установки микрофона) при работающем испытуемом источнике шума, дБ; |
| NM | - | число точек измерений. |
Примечание -

выражают в децибелах (дБ).
3.19 звуковая мощность (sound power), P: Интеграл по поверхности от произведения звукового давления p и составляющей скорости колебаний точки поверхности, нормальной к этой поверхности, un.
[ISO 80000-8:2007, 8-16]
Примечание 1 - P выражают в ваттах (Вт).
Примечание 2 - Данная величина характеризует скорость излучения звуковой энергии источником в воздушную среду.
3.20 уровень звуковой мощности (sound power level), LW: Десятикратный десятичный логарифм отношения звуковой мощности P к опорной звуковой мощности P0 (P0 = 1 пВт), выраженный в децибелах по формуле:

. (6)
Примечание 1 - При измерениях с применением коррекции по одной из частотных характеристик, установленных МЭК 61672-1, или в заданной полосе частот в обозначение уровня звуковой мощности добавляют соответствующий подстрочный индекс. Например, LWA обозначает корректированный по A уровень звуковой мощности.
Примечание 2 - Определение содержательно совпадает со статьей 8-23 в
[22].
3.21 звуковая энергия (sound power), J: Интеграл от звуковой мощности P на заданном временном интервале T (с началом t1 и окончанием t2), выраженный по формуле:

. (7)
Примечание 1 - J выражают в джоулях (Дж).
Примечание 2 - Данную величину обычно используют для описания нестационарных процессов и перемежающихся звуковых событий.
3.22 уровень звуковой энергии (sound energy level), LJ: Десятикратный десятичный логарифм отношения звуковой энергии J к опорной звуковой энергии J0 (J0 = 1 пДж), выраженный в децибелах по формуле:

. (8)
Примечание - При измерениях с применением коррекции по одной из частотных характеристик, установленных МЭК 61672-1, или в заданной полосе частот в обозначение уровня звуковой энергии добавляют соответствующий подстрочный индекс. Например, LJA обозначает корректированный по A уровень звуковой энергии.
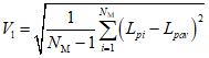
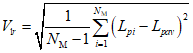
3.23 показатель направленности (directivity index), Di. Величина, характеризующая степень направленности излучения звука испытуемым источником шума в направлении i точки измерения (места установки микрофона) на измерительной поверхности относительно излучения, усредненного по всей измерительной поверхности, и определяемая по формуле:

, (9)
где | Lpi | - | эквивалентный уровень звукового давления (или уровень экспозиции однократного шумового процесса) с внесенной коррекцией на фоновый шум в i точке измерения (месте установки микрофона) на измерительной поверхности при работающем испытуемом источнике шума, дБ; |
| | - | эквивалентный уровень звукового давления (уровень экспозиции однократного шумового процесса) на поверхности, дБ. |
Примечание - Выражают в децибелах (дБ).
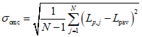
3.24 показатель неравномерности уровня звукового давления (на поверхности) (surface sound pressure level non-uniformity index): Величина, характеризующая неравномерность распределения полученных значений уровня звукового давления по точкам измерительной поверхности и определяемая по формуле:

, (10)
где | Lpi | - | эквивалентный уровень звукового давления (или уровень экспозиции однократного шумового процесса) с внесенной коррекцией на фоновый шум в i точке измерения (месте установки микрофона) на измерительной поверхности при работающем испытуемом источнике шума, дБ; |
| Lpav | - | среднее арифметическое Lpi(ST), i = 1,..., NpM, дБ; |
| NM | - | число точек измерений (мест установки микрофонов). |
Примечание 1 - Vl выражают в децибелах (дБ).
Примечание 2 - Если измерительная поверхность задана измерительным радиусом r, то показатель неравномерности уровня звукового давления обозначают Vlr.
4. Нормальные атмосферные условия
Нормальными атмосферными условиями для определения уровней звуковой мощности и звуковой энергии, соответствующими нормальному характеристическому импедансу воздушной среды

(

- плотность воздуха;
с - скорость звука в воздухе), являются:
a) температура воздуха - 23,0 °C;
b) статическое давление - 101,325 кПа;
c) относительная влажность - 50%.
5. Испытательное помещение
5.1 Требования к акустическим свойствам испытательного помещения
Пригодность заглушенных и полузаглушенных камер, используемых для проведения измерений в соответствии с настоящим стандартом, должна быть подтверждена во всем диапазоне частот измерений в соответствии с
приложением A, если испытуемый источник шума неизвестен, или
приложения B, если измерения выполняют для конкретного источника шума.
Приложения A и
B устанавливают методы, позволяющие оценить степень отклонения условий испытательных помещений от условий идеального свободного звукового поля или свободного звукового поля над звукоотражающей плоскостью, а также критерии пригодности помещений.
Для источников, у которых определяющий вклад в корректированный по A уровень звуковой мощности (звуковой энергии) вносят высокочастотные или низкочастотные составляющие вне номинального диапазона частот измерений (см.
3.11), последний следует расширить, чтобы включить в него указанные составляющие. Сведения об этом приводят в протоколе испытаний.
Примечание - При необходимости выполнения измерений в испытательном помещении или в испытательном пространстве помещения, не аттестованного в соответствии с
приложением A или
B, можно использовать методы, установленные в
[6],
[7],
[15] или
[16].
5.2 Требования к уровню фонового шума
5.2.1 Критерий по относительным значениям
Требования настоящего стандарта к фоновому шуму считают выполненными, если усредненные по точкам измерений или по траекториям сканирования (см.
9.4.3) эквивалентные уровни звукового давления фонового шума ниже соответствующего эквивалентного уровня звукового давления испытуемого источника шума на величину

, равную 6 дБ и более для всех частотных полос и 10 дБ и более для третьоктавных полос со среднегеометрическими частотами от 250 до 5000 Гц.
Примечание 1 - Этот критерий применяют также при сравнении с уровнем экспозиции однократного шумового процесса. При этом время интегрирования при измерении фонового шума должно совпадать с продолжительностью измерения для этого шумового процесса.
Примечание 2 - Если для перемещения микрофона по заданной траектории используют специальный механизм, то шум механизма во время работы рассматривают как составляющую фонового шума, и измерения фонового шума для проверки соответствия критерию проводят при работающем механизме.
5.2.1.2 Критерий по относительным значениям для отдельных полос
Даже если фоновый шум в камере низок, требование, установленное в
5.2.1.1, может не соблюдаться для какой-то полосы диапазона частот измерений. Допускается из проверки по критерию фонового шума исключать полосы частот, для которых корректированный по
A уровень звуковой мощности (звуковой энергии) (см.
приложение C) испытуемого источника шума после внесения поправки на фоновый шум будет не менее чем на 15 дБ ниже максимального значения этой величины по всем полосам диапазона частот измерений.
5.2.1.3 Критерий по относительным значениям для измерений с коррекцией по частотной характеристике A
Если целью испытаний является определение корректированного по A уровня звуковой мощности (звуковой энергии) по результатам измерений в полосах частот, то для проверки соответствия условий измерений критерию по фоновому шуму настоящего стандарта выполняют следующие действия:
a) в соответствии с настоящим стандартом вычисляют корректированный по A уровень звуковой мощности (звуковой энергии) по данным измерений в каждой полосе диапазона частот измерений;
b) повторяют вычисления, исключив третьоктавные полосы, для которых

, если их среднегеометрические частоты 200 Гц и ниже или 6300 Гц и выше, и

, если их среднегеометрические частоты лежат в диапазоне от 250 до 5000 Гц.
Если разность значений, полученных в результате выполнения действий a) и b), менее 0,5 дБ, то измерение корректированного по A уровня звуковой мощности (звуковой энергии) с использованием данных по всем полосам диапазона частот измерений можно считать выполненным с соблюдением критерия по фоновому шуму.
5.2.2 Критерий по абсолютным значениям
При наличии возможности продемонстрировать, что уровни фонового шума в испытательном помещении во время измерений не превышают значений, приведенных в таблице 1 для всех полос диапазона частот измерений, считают, что требования настоящего стандарта к фоновому шуму выполнены даже в том случае, если не для всех полос выполнен критерий по относительным значениям, установленный в
5.2.1.1. В этом случае можно предположить, что в этих полосах излучение звука источником незначительно и полученные для них результаты измерений уровня звуковой мощности (звуковой энергии) являются оценками сверху.
Таблица 1
Максимально допустимые уровни фонового шума в испытательном
помещении при применении критерия по абсолютным значениям
Среднегеометрическая частота третьоктавной полосы частот, Гц | Максимальный уровень звукового давления фонового шума, дБ |
50 | 44 |
63 | 38 |
80 | 32 |
100 | 27 |
125 | 22 |
160 | 16 |
200 | 13 |
250 | 11 |
315 | 9 |
400 | 8 |
500 | 7 |
630 | 7 |
800 | 7 |
1000 | 7 |
1250 | 7 |
1600 | 7 |
2000 | 7 |
2500 | 8 |
3150 | 8 |
4000 | 8 |
5000 | 8 |
6300 | 8 |
8000 | 12 |
10000 | 14 |
12500 | 11 |
16000 | 46 |
20000 | 46 |
Если в отдельных полосах частот результаты измерений на минимально допустимом расстоянии от испытуемого источника шума (см.
раздел 8) не превышают значений, указанных в
таблице 1, то диапазон частот измерений допускается сократить таким образом, чтобы в него вошли низшая и высшая третьоктавные полосы частот, результаты измерений в которых превышают значения по
таблице 1, а также все третьоктавные полосы между ними. В этом случае в протоколе испытаний указывают, в каком диапазоне частот были выполнены измерения.
Примечание - Уровни фонового шума, приведенные в
таблице 1, превышают порог слышимости, поэтому данный критерий неприменим, если целью испытаний является оценка уровня звуковой мощности источника для подтверждения его малошумности.
5.2.3 Несоответствие критериям по фоновому шуму
Если не соблюдены критерии ни по относительному (см.
5.2.1), ни по абсолютному (см.
5.2.2) значениям, то в протоколе испытаний должно быть указано, что требования настоящего стандарта к фоновому шуму не выполнены. Если измерения выполняют в полосах частот, то указывают полосы, в которых уровень фонового шума превышает допустимые значения.
При несоответствии критериям по фоновому шуму не допускается в протоколе испытаний указывать в явном или неявном виде, что измерения выполнены в полном соответствии с настоящим стандартом.
5.3 Требования к температуре
Температура воздуха в испытательном помещении должна находиться в пределах диапазона от 15 до 30 °C.
Примечание - Формулы для расчета уровня звуковой мощности (звуковой энергии), приведенные в
разделе 9, содержат поправку
C2, которая рассчитана для источника звука, представимого в виде монополя (источника первого порядка), но распространена также на источники шума более высокого порядка (диполи, квадруполи и пр.). Связанное с этим отклонение в результате измерения при указанном ограничении на диапазон температур не превышает 0,2 дБ.
6.1 Средства измерений акустических параметров
6.1.1 Общие положения
Измерительная система, включая микрофоны, соединительные кабели, ветрозащитные экраны, регистрирующие устройства и другое оборудование, должна соответствовать требованиям к средствам измерений класса 1 по IEC 61672-1:2002, а электронные фильтры - класса 1 по IEC 61260:1995.
Опорное направление установленного микрофона (см. IEC 61672-1) должно быть перпендикулярно к измерительной поверхности.
6.1.2 Калибровки
До и после каждой серии измерений проверяют калибровку каждой измерительной цепи на одной или нескольких частотах в пределах диапазона частот измерений с использованием акустического калибратора, удовлетворяющего требованиям IEC 60942:2003, без выполнения регулировок измерительной цепи. Разность показаний до и после проведения измерений должна не превышать 0,3 дБ. Если данное требование не соблюдено, то результаты измерений считают недостоверными.
6.1.3 Подтверждение метрологических характеристик
Готовность измерительной системы, фильтров и калибратора к проведению измерений в соответствии с настоящим стандартом должна быть подтверждена сертификатом калибровки или свидетельством о поверке. При необходимости проводят калибровку микрофона в диффузном поле согласно IEC 61183. Работы по калибровке акустического калибратора, проверке соответствия измерительной системы требованиям к средствам измерений класса 1 по IEC 61672-1:2002, а электронных фильтров - классу 1 по IEC 61260:1995 выполняют периодически в специализированной лаборатории.
Рекомендуемый минимальный интервал между калибровками для акустических калибраторов составляет 1 год, для образцовых источников шума - 2 года, для средств измерений класса 1 по IEC 61672-1:2002 - 2 года, для фильтров класса 1 по IEC 61260:1995 - 2 года. Для каждого средства измерений интервал между калибровками указывается в технической документации изготовителя.
6.2 Средства измерений атмосферных параметров
6.2.1 Общие положения
Погрешности измерений атмосферных параметров не должны превышать:
a) +/- 1 K для средств измерений температуры;
b) +/- 10% для средств измерений относительной влажности;
c) +/- 2 кПа для средств измерений статического давления.
Примечание - При соблюдении указанных требований инструментальные неопределенности, обусловленные средствами измерений атмосферных параметров, не учитывают при определении неопределенности измерения уровня звуковой мощности (звуковой энергии).
6.2.2 Подтверждение метрологических характеристик
При использовании средств измерений атмосферных параметров для проверки того, что эти параметры находятся в установленных пределах, достаточно использовать сведения, содержащиеся в технической документации на средства измерений.
Если какой-либо из атмосферных параметров непосредственно влияет на результаты измерений акустических характеристик испытуемого источника шума, то соответствие метрологических характеристик средства измерений данного атмосферного параметра должно быть подтверждено сертификатом калибровки или свидетельством о поверке, выданным испытательной лабораторией, аккредитованной на право проведения таких работ.
7. Расположение, установка и работа испытуемого источника шума
7.1 Общие положения
Способ установки испытуемого источника шума и условия его работы во время испытаний способны оказать существенное влияние на результаты измерений. Соблюдение требований настоящего раздела позволяет минимизировать изменчивость излучения шума источником, обусловленную способом его установки и условиями работы. При наличии испытательного кода по шуму, в котором подробно описаны условия размещения, установки и работы машин данного вида при их испытаниях, следует руководствоваться требованиями испытательного кода. Эти условия должны быть одними и теми же при измерении уровней звукового давления излучения и уровней звуковой мощности.
Необходимо определить (особенно для крупных машин), какие именно элементы (узлы, вспомогательные устройства, источники питания и т.п.) составляют неотъемлемую часть источника с точки зрения излучаемого им шума.
7.2 Вспомогательное оборудование
Следует убедиться, что вспомогательное оборудование (кабели, трубопроводы, воздуховоды и т.п.), соединенное с испытуемым источником шума, не излучает значительную звуковую энергию в испытательное пространство.
По возможности все вспомогательное оборудование, необходимое для работы источника шума во время испытаний, но не составляющее его неотъемлемую часть, следует разместить за пределами камеры. Если это трудновыполнимо, то принимают меры, чтобы максимально снизить акустический шум, излучаемый в испытательное пространство этим оборудованием. При невозможности удалить из камеры вспомогательное оборудование или существенно снизить его излучение в испытательное пространство его считают составной частью испытуемого источника шума.
7.3 Расположение испытуемого источника шума
Размещать испытуемый источник шума внутри камеры нужно таким образом, чтобы вокруг источника оставалось достаточно пространства для измерительной поверхности в соответствии с требованиями
раздела 8.
При размещении источника шума следует руководствоваться требованиями настоящего стандарта и соответствующего испытательного кода по шуму (при его наличии).
7.4 Условия установки
7.4.1 Общие положения
Во многих случаях условия установки источника шума на опорную поверхность существенно влияют на излучаемую звуковую мощность (звуковую энергию). Если существуют типовые способы монтажа испытуемого источника в условиях его применения, то их по возможности следует использовать при испытаниях.
При выборе способа установки испытуемого источника следует руководствоваться рекомендациями изготовителя, если иное не установлено в испытательном коде по шуму для машин данного вида. Если типовых способов установки не существует или они не могут быть использованы в испытаниях, а также при наличии нескольких допустимых способов установки следует убедиться, что выбранный способ не приводит к изменениям излучаемого шума, не типичным для данного источника. Следует выбирать такие способы, при которых вклад излучения опорной конструкции источника шума в общий шум, излучаемый источником, минимален.
Часто маломощные в низкочастотной области источники шума малых размеров могут при неудачном выборе способа крепления передавать значительную низкочастотную вибрацию в опорную конструкцию, обладающую хорошей излучательной способностью в области низких частот. В этом случае рекомендуется использовать виброизолирующие прокладки между испытуемым источником шума и опорной конструкцией. Опорная конструкция должна быть жесткой (т.е. иметь значительный входной механический импеданс), чтобы предотвратить возбуждение в ней чрезмерных колебаний с последующим излучением звука. Виброизолирующие прокладки используют, только если это предусмотрено типичными условиями применения источника шума.
На шумовое излучение испытуемого источника могут также оказывать влияние условия сопряжения механизмов (например, привода и машины).
7.4.2 Ручные машины и оборудование
Ручную машину при испытаниях удерживает руками оператор или ее подвешивают таким образом, чтобы исключить передачу на нее вибрации через любые вспомогательные приспособления, не являющиеся ее частью. Если источник шума для своей работы требует опору, то такая опора должна быть малых размеров и рассматриваться как часть испытуемого источника шума. Вид опоры описывают в испытательном коде по шуму (при его наличии).
7.4.3 Машины настольные, настенные и устанавливаемые на основание
Машины данного вида при испытаниях устанавливают на звукоотражающую (акустически жесткую) плоскость (пол или стену). Машины, которые в условиях применения устанавливают на специальное основание рядом со стеной, при испытаниях устанавливают на акустически жесткую поверхность перед акустически жесткой стеной. Испытуемый настольный станок или другое настольное оборудование устанавливают на пол на расстоянии не менее 1,5 м от стены испытательного помещения, если стол или стенд не является необходимым элементом для нормальной работы машины согласно соответствующему испытательному коду по шуму. В последнем случае испытательный стол или стенд должны находиться на расстоянии не менее 1,5 м от любой звукопоглощающей поверхности испытательного пространства. Испытуемую машину устанавливают в центре стандартного испытательного стола.
Примечание - Пример испытательного стола приведен в
[18].
7.5 Работа источника шума во время испытаний
На излучаемую стационарным или движущимся источником звуковую мощность или звуковую энергию могут влиять его нагрузка, скорость движения и режим работы. По возможности источник испытывают в условиях, представительных с точки зрения максимального создаваемого им шума при его типичном применении и, с другой стороны, обеспечивающих воспроизводимость результатов измерений. При наличии испытательного кода по шуму руководствуются установленными в нем требованиями к условиям работы источника во время испытаний, а при его отсутствии испытания проводят в одном или нескольких из следующих режимов работы:
a) в заданном режиме работы при заданной нагрузке;
b) при максимальной нагрузке, если она отличается от указанной в перечислении a);
c) на холостом ходу;
d) на максимальной рабочей скорости в заданном режиме;
e) в типовом режиме работы, когда шум источника максимален;
f) в заданном режиме работы с моделируемой нагрузкой;
g) с воспроизведением типового рабочего цикла.
До измерений уровня звуковой мощности или звуковой энергии работа источника шума должна быть стабилизирована в заданном режиме, включая температурную стабилизацию источника питания и системы привода. Нагрузку, скорость и другие эксплуатационные характеристики в процессе испытаний либо поддерживают постоянными, либо циклически изменяют установленным образом.
Если излучение источника зависит от других факторов, таких как обрабатываемый материал или применяемый вставной инструмент, то их выбирают таким образом, чтобы они соответствовали, насколько это возможно, типичным условиям применения и при этом обеспечивали наименьший разброс результатов измерений. Если испытания проводят с моделированием нагрузки, то условия нагружения выбирают таким образом, чтобы шум источника был представителен с точки зрения нормальных условий его применения.
8. Измерительная поверхность
8.1 Сферическая измерительная поверхность при испытаниях в заглушенной камере
Центр сферической измерительной поверхности должен совпадать с акустическим центром испытуемого источника шума, если он известен. В противном случае центр измерительной поверхности должен совпадать с геометрическим центром источника шума. Измерительный радиус r должен удовлетворять следующим требованиям:
a)
r >= 2
d0, где
d0 - характеристический размер испытуемого источника шума (см.
3.14 и
рисунок 1);
b)

, где

- длина волны, соответствующая низшей границе диапазона частот измерений;
c) r >= 1 м.
Измерительная поверхность должна полностью находиться в области испытательного пространства заглушенной камеры, прошедшего проверку пригодности для проведения измерений в соответствии с
приложением A или
B.
Для малошумных источников шума малых размеров, испытания которых проводят в ограниченном диапазоне частот, допускается измерительный радиус менее 1 м (но не менее 0,5 м) при условии соблюдения требований a) и b). Уменьшение измерительного радиуса до значений менее 1 м может налагать ограничение на нижнюю границу диапазона частот измерений.
Площадь сферической измерительной поверхности равна

(см.
9.4.4.1 и
9.5.3.1).
8.2 Полусферическая измерительная поверхность при испытаниях в полузаглушенной камере
Центр полусферической измерительной поверхности должен находиться на полу камеры и совпадать с вертикальной проекцией акустического центра испытуемого источника шума, если тот известен, или, если неизвестен, с вертикальной проекцией геометрического центра источника шума. Измерительный радиус r должен удовлетворять следующим требованиям:
a)
r >= max{2
d0, 3
h0}, где
d0 - характеристический размер испытуемого источника шума (см.
3.14 и
рисунок 1), а
h0 - расстояние от акустического центра источника шума до звукоотражающего пола камеры;
b)

, где

- длина волны, соответствующая низшей границе диапазона частот измерений;
c) r >= 1 м.
Измерительная поверхность должна полностью находиться в области испытательного пространства полузаглушенной камеры, прошедшего проверку пригодности для проведения измерений в соответствии с
приложением A или
B.
Для малошумных источников шума малых размеров, испытания которых проводят в ограниченном диапазоне частот, допускается измерительный радиус менее 1 м (но не менее 0,5 м) при условии соблюдения требований a) и b). Уменьшение измерительного радиуса до значений менее 1 м может налагать ограничение на нижнюю границу диапазона частот измерений.
Площадь полусферической измерительной поверхности равна

(см.
9.4.4.2 и
9.5.3.2).
9. Определение уровней звуковой мощности и звуковой энергии
9.1 Акустические измерения
Измерения как в заглушенной, так и в полузаглушенной камере выполняют, если пригодность камер подтверждена в соответствии с
приложением A или
B (см.
5.1).
Если измерения выполняют с применением коррекции по частотной характеристике A и вклад в величину LwA или LJA вносят преимущественно составляющие на высоких и низких частотах за пределами диапазона частот измерений, то диапазон измерений расширяют, чтобы включить в него все значимые частотные составляющие. Сведения об изменении диапазона частот измерений приводят в протоколе испытаний.
9.2 Измерения атмосферных параметров
Измеряют параметры (температуру воздуха, статическое давление, относительную влажность), характеризующие атмосферные условия вокруг испытуемого источника шума во время испытаний.
9.3 Размещение микрофонов
9.3.1 Общие положения
На применяемые микрофоны могут оказывать неблагоприятное воздействие условия окружающей среды, такие как сильные электрические/магнитные поля или сильные потоки воздуха, которые способен создавать испытуемый источник шума. Чтобы избежать этого, следует правильно выбирать места установки микрофонов. Если верхняя граница диапазона частот измерений выше 10 000 Гц, то ослабление высокочастотных составляющих шума при их распространении в воздухе необходимо компенсировать в соответствии с ISO 9613-1.
При измерениях уровней звукового давления на сферической и полусферической измерительных поверхностях пользователь должен самостоятельно определить расстановку микрофонов в соответствии с
9.3.7 или воспользоваться одним из следующих способов:
a) установить микрофоны в фиксированных точках измерительной поверхности согласно
9.3.2 или
9.3.3.
Примечание - Допускается выполнять измерения с одним микрофоном, последовательно перемещая его в заданные фиксированные точки, или с помощью нескольких микрофонов, установленных в фиксированных точках. В последнем случае сигнал с микрофонов может сниматься и обрабатываться одновременно или поочередно в зависимости от применяемой измерительной системы.
b) перемещать единственный микрофон по нескольким круговым траекториям, равномерно отстоящим друг от друга на измерительной поверхности, в соответствии с
9.3.4 (или, как вариант, удерживать микрофон в заданном положении и поворачивать испытуемый источник шума на угол, кратный 360°);
c) перемещать единственный микрофон по нескольким меридиональным дугам, равномерно отстоящим друг от друга на измерительной поверхности, в соответствии с
9.3.5;
d) перемещать единственный микрофон по винтовой траектории на измерительной поверхности вокруг вертикальной оси согласно
9.3.6.
9.3.2 Измерения в заглушенной камере в фиксированных точках сферической измерительной поверхности
Используют 20 точек измерений, пронумерованных от 1 до 20, расположение которых приведено в
приложении D. В общем случае считают число точек измерений достаточным, если оно не менее чем вдвое превосходит выраженную в децибелах разность между максимальным и минимальным уровнями звукового давления в каждой из полос диапазона частот измерений. При проверке соответствия данному условию не следует принимать во внимание полосы частот, исключенные из рассмотрения в соответствии с
5.2.1. Если данное условие не выполняется, то в дополнение к точкам с номерами от 1 до 20 используют точки измерений с номерами от 21 до 40 (см.
приложение D). Каждой из 20 (или 40) точек измерений ставятся в соответствие участки измерительной поверхности равной площади.
Если условие достаточности числа точек измерений не выполняется при использовании всех 40 возможных мест установки микрофонов в соответствии с
приложением D, то необходимо более детально исследовать распределение уровней звукового давления в той области сферической измерительной поверхности, которая соответствует направлению максимального излучения высоконаправленного источника шума. Результатом исследования должно стать определение максимального и минимального значения уровня звукового давления в заданной полосе частот. При таком дополнительном исследовании точкам измерений, как правило, не удается поставить в соответствие равные по площади участки измерительной поверхности, что должно быть соответствующим образом учтено при расчетах (см.
9.4.3.2).
9.3.3 Измерения в полузаглушенной камере в фиксированных точках полусферической измерительной поверхности
Используют 20 точек измерений, пронумерованных от 1 до 20, расположение которых приведено в
приложении E. В общем случае считают число точек измерений достаточным, если оно не менее чем вдвое превосходит выраженную в децибелах разность между максимальным и минимальным уровнями звукового давления в каждой из полос диапазона частот измерений. При проверке соответствия данному условию не следует принимать во внимание полосы частот, исключенные из рассмотрения в соответствии с
5.2.1. Если данное условие не выполняется, то в дополнение к точкам с номерами от 1 до 20 используют точки измерений с номерами от 21 до 40 (см.
приложение D). Каждой из 20 (или 40) точек измерений в соответствие ставятся участки измерительной поверхности равной площади.
Если условие достаточности числа точек измерений не выполняется при использовании всех 40 возможных мест установки микрофонов в соответствии с
приложением D, то необходимо более детально исследовать распределение уровней звукового давления в той области полусферы, которая соответствует направлению максимального излучения высоконаправленного источника шума. Результатом такого исследования должно стать определение максимального и минимального уровней звукового давления в заданной полосе частот. При таком дополнительном исследовании точкам измерений, как правило, не удается поставить в соответствие равные по площади участки измерительной поверхности, что должно быть соответствующим образом учтено при расчетах (см.
9.4.3.2).
9.3.4 Коаксиальные круговые траектории в параллельных плоскостях на сферической или полусферической измерительной поверхности
Для усреднения уровня звукового давления по времени и по измерительной поверхности микрофон перемещают по не менее чем 10 круговым траекториям, как показано в
приложении F. Расстояние от плоскости каждой траектории до пола - в соответствии с
таблицей D.1 для верхней полусферы. Однако предпочтительнее использовать 20 круговых траекторий, лежащих в плоскостях на расстояниях от уровня пола, указанных в
таблице E.1. Такое число траекторий следует использовать, в частности, если испытуемый источник шума излучает звук на дискретных частотах.
Круговая траектория может быть получена при медленном равномерном поворачивании на 360° вокруг вертикальной оси либо микрофона, либо испытуемого источника шума. Если для вращения источника шума используют поворотный стол, то высота его над звукоотражающей плоскостью должна составлять не более 10% высоты источника шума, но предпочтительно, чтобы поверхность стола была на одном уровне со звукоотражающей плоскостью. Для разных круговых траекторий измерения могут быть выполнены последовательно или одновременно с использованием одного или нескольких микрофонов.
9.3.5 Меридиональные траектории на сферической или полусферической измерительной поверхности
Измерения могут быть выполнены с помощью единственного микрофона, перемещаемого по полуокружности диаметром, лежащего в горизонтальной плоскости и проходящего через центр (акустический или геометрический) испытуемого источника шума, как показано на
рисунке G.1. Перемещение выполняют таким образом, чтобы вертикальная составляющая скорости (dz/dt) оставалась постоянной, т.е. угловая скорость микрофона должна изменяться пропорционально 1/cos
y, где
y - угол подъема микрофона относительно горизонтальной плоскости. Для усреднения по измерительной поверхности в виде сферы или полусферы измерительная система должна включать в себя устройство для возведения в квадрат и усреднения по времени выходного сигнала микрофона, а также для умножения на весовую функцию, соответствующую площади участка измерительной поверхности. Другим возможным способом является перемещение микрофона с постоянной угловой скоростью и умножение выходного сигнала микрофона на cos
y (см.
рисунок G.1).
Используют не менее восьми траекторий вокруг источника шума, равноотстоящих друг от друга по углу азимута. Данное требование может быть выполнено с использованием одной траектории при соответствующих поворотах испытуемого источника шума.
9.3.6 Винтовая траектория на сферической или полусферической измерительной поверхности
Измерения могут быть выполнены с помощью единственного микрофона, перемещаемого одновременно по одной из траекторий, как указано в
9.3.5, и круговым траекториям, число которых должно быть не менее пяти. В результате сложения движений по траекториям двух видов на измерительной поверхности образуется винтовая траектория относительно вертикальной оси. Другой способ формирования такой траектории состоит в медленном вращении испытуемого источника шума таким образом, чтобы по завершении перемещения микрофона по траектории источником было совершено не менее пяти полных оборотов вокруг вертикальной оси. Пример винтовой траектории показан в
приложении H. Коэффициент, на который умножают выходной сигнал микрофона, - в соответствии с
9.3.5.
9.3.7 Другие способы размещения микрофонов
Допускается использование других видов измерительных поверхностей и способов размещения на ней микрофонов, которые позволят получить более точные значения уровня звуковой мощности или уровня звуковой энергии. Однако при этом необходимо показать, что отклонения результатов определения уровней звуковой мощности или уровней звуковой энергии в каждой из третьоктавных полос диапазона частот измерений, полученных предлагаемым методом и одним из установленных в
9.3.2 -
9.3.6, не превысят +/- 0,5 дБ.
Примечание - Способы, альтернативные приведенным в
9.3.2 -
9.3.6, применяют для улучшения качества измерений, а не для их упрощения, например, за счет сокращения числа точек измерений. Примером альтернативного способа могут служить использование цилиндрической измерительной поверхности и способ установки микрофонов, описанные в
[23].
9.4 Определение уровней звуковой мощности источников постоянного и непостоянного шума
9.4.1 Измерения уровней звукового давления
В каждом месте установки микрофона или вдоль каждой траектории сканирования измеряют эквивалентный уровень звукового давления испытуемого источника шума

,
i = 1, 2,...,
NM в полосах частот или эквивалентный уровень звука для каждого выбранного в соответствии с
7.5 режима работы источника. При выборе продолжительности измерений следует учитывать характер шума источника (постоянный или непостоянный). Продолжительность измерений указывают в протоколе испытаний. Продолжительность измерений в полосах частот со среднегеометрическими значениями 160 Гц и ниже должна быть не менее 30 с, а в полосах частот со среднегеометрическими значениями 200 Гц и выше - не менее 10 с. При сканировании микрофоном продолжительность измерений (суммарное время сканирования) должна быть кратна времени прохождения по траектории с кратностью не менее двух.
Непосредственно до или сразу после измерений

в тех же точках или вдоль той же траектории движения микрофона измеряют эквивалентный уровень звукового давления фонового шума

при той же продолжительности измерений.
9.4.2 Коррекция на фоновый шум
Коррекцию на фоновый шум K1i, дБ, для каждой третьоктавной полосы частот и для каждой i точки измерений или для каждой i траектории сканирования рассчитывают по формуле

, (11)
где |  ; |
| | - | эквивалентный уровень звукового давления в третьоктавной полосе частот в i точке измерения или для i траектории сканирования при работающем испытуемом источнике шума, дБ; |
| | - | эквивалентный уровень звукового давления фонового шума в третьоктавной полосе частот в i точке измерения или для i траектории сканирования, дБ. |
Если

, то
K1i полагают равным нулю.
Коррекцию
K1i, рассчитанную по
формуле (11), используют, если

для третьоктавных полос со среднегеометрическими частотами 200 Гц и ниже и 6300 Гц и выше и если

для третьоктавных полос со среднегеометрическими частотами от 250 до 5000 Гц.
Если

для третьоктавных полос со среднегеометрическими частотами 200 Гц и ниже и 6300 Гц и выше, то коррекцию
K1i принимают равной 1,26 дБ (соответствует

). Если

для третьоктавных полос со среднегеометрическими частотами от 250 до 5000 Гц, то коррекцию
K1i принимают равной 0,46 дБ (соответствует

). В этих случаях в протоколе испытаний при табличном или графическом представлении результатов измерений указывают, что приведенные данные для третьоктавных полос представляют собой оценку уровня звуковой мощности источника шума сверху.
9.4.3 Вычисление среднего по измерительной поверхности эквивалентного уровня звукового давления
9.4.3.1 Измерительная поверхность с равномерным распределением точек измерений (траекторий сканирования)
В случае, когда точкам установки микрофонов или круговым траекториям сканирования соответствуют участки измерительной поверхности равной площади, средний по измерительной поверхности эквивалентный уровень звукового давления испытуемого источника шума, работающего в заданном режиме,

, дБ, вычисляют по формуле:

, (12)
где |  , дБ; |
| NM | - | число точек измерений или траекторий сканирования. |
9.4.3.2 Измерительная поверхность с неравномерным распределением точек измерений (траекторий сканирования)
В случае, когда точкам измерений или круговым траекториям сканирования соответствуют участки измерительной поверхности неравной площади, средний по измерительной поверхности эквивалентный уровень звукового давления испытуемого источника шума, работающего в заданном режиме,

, дБ, вычисляют по формуле:

, (13)
где |  , дБ; |
| Si | - | площадь участка измерительной поверхности, соответствующего i точке измерений или i траектории сканирования, м2; |
| S | - | общая площадь измерительной поверхности, м 2,  ; |
| NM | - | число точек измерений или траекторий сканирования. |
9.4.3.3 Измерения с движением микрофона по меридиональным траекториям или по винтовой траектории
Если микрофон перемещают по меридиональным траекториям или по винтовой траектории (см.
9.3.5 и
9.3.6), то средний по измерительной поверхности эквивалентный уровень звукового давления

, дБ, получают возведением в квадрат и усреднением по времени выходного сигнала микрофона с умножением его на весовую функцию, соответствующую площади участка измерительной поверхности.
9.4.4 Расчет уровня звуковой мощности
9.4.4.1 Расчет уровня звуковой мощности по измерениям в заглушенной камере
Если измерения выполнены в условиях свободного звукового поля, то уровень звуковой мощности LW, дБ, в каждой полосе частот или корректированный по A уровень звуковой мощности, приведенный к нормальным атмосферным условиям, вычисляют по формуле:

, (14)
где | | - | средний по измерительной поверхности эквивалентный уровень звукового давления, дБ; |
| S1 | - | площадь сферической измерительной поверхности, м2; S0 = 1 м2; |
| C1 | - | поправка, учитывающая разность опорных значений для определения уровней звукового давления и звуковой мощности и зависящая от характеристического импеданса воздушной среды в камере во время испытаний, дБ, равная  ; |
| C2 | - | поправка на импеданс излучения, применяемая для приведения к нормальным атмосферным условиям, дБ. Эта величина должна быть определена в соответствующем испытательном коде по шуму. Если такой документ отсутствует, то используют следующую формулу, полученную для источника шума в виде монополя и рассматриваемую как среднее для источников другого вида (см. [25], [27]),  ; |
| | - | опорное звуковое давление; |
| | - | характеристический акустический импеданс, соответствующий условиям проведения испытаний, Н·с/м3; |
| | - | опорная звуковая мощность; |
| | - | статическое давление в камере во время испытаний, кПа; |
| | - | нормальное атмосферное давление,  ; |
| | - | температура воздуха в камере во время испытаний, °C;  ;  ; |
| C3 | - | поправка на звукопоглощение в воздухе на заданных частотах, дБ (см. [28]), C3 = A0(1,0053 - 0,0012 A0) 1,6; |
| A0 | = a(f)r; |
| a(f) | - | коэффициент затухания при данной температуре, влажности и статическом давлении как функция частоты [см. формулы (3) - (5) в ISO 9613-1], дБ/м; |
| r | - | измерительный радиус, м. |
Примечание 1 - При нормальном атмосферном давлении 101,325 кПа

- температура, при которой звуковая интенсивность и уровень звукового давления в плоской волне, выраженные в децибелах, численно равны друг другу. Значение

не связано с какими-либо реальными атмосферными условиями, а вытекает из принятых опорных значений звукового давления и звуковой мощности.
Примечание 2 - На частотах свыше 1 кГц
a(f) приблизительно пропорционален частоте. Обычно он принимает значения от 0,004 до 0,02 дБ/м на частоте 1000 Гц и повышается до значений от 0,1 до 0,3 дБ на частоте 10 000 Гц.
Примечание 3 - Влажность также может оказывать влияние на шум источника, например, принтера при печати на бумаге. В таких случаях обычно допустимый диапазон изменения относительной влажности воздуха указывают в соответствующем испытательном коде по шуму.
9.4.4.2 Расчет уровня звуковой мощности по измерениям в полузаглушенной камере
Если измерения выполнены в условиях свободного звукового поля над звукоотражающей плоскостью, то уровень звуковой мощности LW, дБ, в каждой полосе частот или корректированный по A уровень звуковой мощности, приведенный к нормальным атмосферным условиям, вычисляют по формуле:

, (15)
где | | - | средний по измерительной поверхности эквивалентный уровень звукового давления, дБ; |
| S2 | - | площадь полусферической измерительной поверхности, м2; |
S0, C1, C2 и C3 | - | |
9.4.4.3 Уровень звуковой мощности при атмосферных условиях, отличных от нормальных
Уровень звуковой мощности
LWmet, дБ, источника шума в атмосферных условиях, отличных от нормальных, рассчитывают согласно соответствующему испытательному коду по шуму. Если такой документ отсутствует, то
LWmet рассчитывают из
LW по следующей формуле, полученной для источника шума в виде монополя и рассматриваемой в качестве приближения для источников другого вида (см.
[25],
[27]):

, (16)
где | | - | статическое давление в камере во время испытаний, кПа; |
| | - | температура воздуха в камере во время испытаний, °C. |
9.5 Определение уровней звуковой энергии источников импульсного шума
9.5.1 Измерения уровня экспозиции однократного шумового процесса
Для источников импульсного шума измерения выполняют в фиксированных точках на сферической или полусферической поверхности. В каждой точке измерений измеряют уровень экспозиции однократного шумового процесса, создаваемого испытуемым источником шума,

,
i = 1, 2,...,
NM, в третьоктавных полосах частот или в широкой полосе с коррекцией по частотной характеристике
A. Измерения выполняют либо один раз на интервале времени, когда кратковременный шумовой процесс повторяется
Ne раз, либо
Ne раз для отдельных шумовых процессов,
Ne >= 5. Измерения выполняют одновременно во всех точках измерений на интервале, включающем в себя весь однократный шумовой процесс полностью.
Примечание - Требование одновременности измерений во всех точках может не соблюдаться, если кратковременный шумовой процесс обладает хорошей повторяемостью.
Непосредственно до или сразу после измерений

в тех же точках измеряют эквивалентный уровень звукового давления фонового шума
Lpi(B) при той же продолжительности измерений.
9.5.2 Вычисление среднего по измерительной поверхности уровня экспозиции однократного шумового процесса
Если эквивалентные уровни звукового давления кратковременного шумового процесса измеряют
Ne раз для каждого однократного процесса в
i точке измерений, то средний по этим измерениям уровень экспозиции однократного шумового процесса

, дБ, рассчитывают по формуле:

, (17)
где | | - | уровень экспозиции однократного шумового процесса в полосе частот или в широкой полосе с коррекцией по частотной характеристике A в q измерении (q = 1, 2,..., Ne) в i точке измерений при работающем испытуемом источнике шума, дБ; |
| Ne | - | число измерений однократного шумового процесса. |
Если же уровень экспозиции однократного шумового процесса был измерен в
i точке измерений один раз для последовательности, включающей
Ne однократных процессов, то значение

, дБ, рассчитывают по формуле:

, (18)
где | | - | уровень экспозиции однократного шумового процесса в полосе частот или в широкой полосе с коррекцией по частотной характеристике A в i точке измерений при работающем испытуемом источнике шума по измерениям последовательности, включающей в себя Ne однократных шумовых процессов, дБ. |
Поправки на фоновый шум и усреднение результатов измерений в разных точках измерительной поверхности уровней экспозиции однократного шумового процесса

для получения

, дБ, выполняют так же, как при вычислениях среднего по измерительной поверхности эквивалентного уровня звукового давления в
9.4.3.
9.5.3 Расчет уровня звуковой энергии
9.5.3.1 Расчет уровня звуковой энергии по измерениям в заглушенной камере
Если измерения выполнены в условиях свободного звукового поля, то уровень звуковой энергии LJ, дБ, в каждой полосе частот или корректированный по A, приведенный к нормальным атмосферным условиям, вычисляют по формуле:

, (19)
где | | - | средний по измерительной поверхности уровень экспозиции однократного шумового процесса, дБ; |
| Si | - | площадь сферической измерительной поверхности, м2; S0 = 1 м2; |
| C1 | - | поправка, учитывающая разность опорных значений для определения уровней звукового давления и звуковой мощности (см. 9.4.4.1), дБ, равная  ; |
| C2 | - | поправка на импеданс излучения (см. 9.4.4.1), дБ, равная  ; |
| Ps | - | статическое давление в камере во время испытаний, кПа; |
| Ps,0 | - | нормальное атмосферное давление, Ps,0 = 101,325 кПа; |
| | - | температура воздуха в камере во время испытаний, °C;  ;  ; |
| C3 | - | поправка на звукопоглощение в воздухе на заданных частотах, дБ (см. [28]), C3 = A0(1,0053 - 0,0012 A0) 1,6; |
| A0 | = a(f)r; |
| a(f) | - | коэффициент затухания при данной температуре, влажности и статическом давлении как функция частоты [см. формулы (3) - (5) ISO 9613-1], дБ/м; |
| r | - | измерительный радиус, м. |
Примечание 1 - При нормальном атмосферном давлении 101,325 кПа

- температура, при которой звуковая интенсивность и уровень звукового давления в плоской волне, выраженные в децибелах, численно равны друг другу. Значение

не связано с какими-либо реальными атмосферными условиями, а вытекает из принятых опорных значений для звукового давления и звуковой мощности.
Примечание 2 - На частотах свыше 1 кГц a(f) приблизительно пропорционален частоте. Обычно он принимает значения от 0,004 до 0,02 дБ/м на частоте 1000 Гц и повышается до значений от 0,1 до 0,3 дБ на частоте 10 000 Гц.
Примечание 3 - Влажность также может оказывать влияние на шум источника, например, принтера при печати на бумаге. В таких случаях обычно допустимый диапазон изменения относительной влажности воздуха указывают в соответствующем испытательном коде по шуму.
9.5.3.2 Расчет уровня звуковой энергии по измерениям в полузаглушенной камере
Если измерения выполнены в условиях свободного звукового поля над звукоотражающей плоскостью, то уровень звуковой энергии LJ, дБ, в каждой полосе частот или корректированный по A, приведенный к нормальным атмосферным условиям, вычисляют по формуле:

, (20)
где | | - | средний по измерительной поверхности уровень экспозиции однократного шумового процесса, дБ; |
| S2 | - | площадь полусферической измерительной поверхности, м2; |
S0, C1, C2 и C3 | - | |
9.6 Расчет показателей направленности
Показатель направленности Dli в направлении i точки измерений рассчитывают по формуле:

, (21)
где | Lpi | - | эквивалентный уровень звукового давления в i точке измерений с внесенной поправкой на фоновый шум, дБ; |
| | - | средний по измерительной поверхности эквивалентный уровень звукового давления, дБ. |
9.7 Расчет показателя неравномерности уровня звукового давления
При необходимости рассчитывают показатель неравномерности уровня звукового давления на измерительной поверхности Vlr для данного измерительного радиуса r по формуле:

, (22)
где | Lpi | - | эквивалентный уровень звукового давления в i точке измерений с внесенной поправкой на фоновый шум, дБ; |
| | - | среднее арифметическое Lpi, дБ; |
| NM | - | число точек измерений. |
9.8 Определение корректированных по A уровней звуковой мощности и звуковой энергии
Корректированные по
A уровни звуковой мощности и звуковой энергии,
LWA и
LJA соответственно, рассчитывают на основе результатов измерений в полосах частот методом, описанным в
приложении C.
Для источников, шум которых сосредоточен преимущественно на высоких или низких частотах вне номинального диапазона частот измерений (см.
3.11), при определении
LWA или
LJA диапазон частот измерений следует расширить, чтобы включить в него указанные частоты. Диапазон частот, в котором были проведены измерения, указывают в протоколе испытаний.
10. Неопределенность измерения
10.1 Методология
Неопределенности измерения уровней звуковой мощности и звуковой энергии методом, установленным настоящим стандартом, оценивают в соответствии с процедурой, описанной в
приложении I. В настоящем разделе описана общая процедура оценки неопределенности, которую можно использовать, если данных для применения процедуры согласно
приложению I недостаточно.
Стандартные неопределенности уровня звуковой мощности u(LW), дБ, и уровня звуковой энергии u(LJ), дБ, определяют в соответствии с настоящим стандартом как общее стандартное отклонение:

. (23)
Общее стандартное отклонение рассчитывают на основании модели измерений в соответствии с руководством ISO/IEC Guide 98-3. При отсутствии необходимых сведений, позволяющих сформулировать такую модель, используют результаты сопоставительных измерений, выполненных в условиях воспроизводимости.
Тогда общее стандартное отклонение

рассчитывают по стандартному отклонению воспроизводимости

и стандартному отклонению

, характеризующему нестабильность условий работы и установки испытуемого источника шума, по формуле:

. (24)
Из формулы (24) видно, что прежде чем выбрать метод измерений заданного класса точности (характеризуемой

) для данного семейства машин, необходимо учесть возможный разброс результатов, обусловленный изменениями условий работы и установки этих машин (см.
10.5 и
раздел I.3).
Примечание - Результаты измерений, выполненные разными методами, установленными стандартами серии ISO 3740, могут быть систематически смещены друг относительно друга.
Расширенную неопределенность измерения U рассчитывают по формуле:

, (25)
где | k | - | коэффициент охвата. В предположении, что результат измерений является нормально распределенной случайной величиной, коэффициент охвата k принимают равным двум, что приблизительно соответствует вероятности охвата 95%. Это означает, что интервалу охвата от (LW - U) до (LW + U) для уровня звуковой мощности или от (LJ - U) до (LJ + U) для уровня звуковой энергии будет соответствовать 95% площади под кривой плотности распределения случайной величины, описывающей результат измерений. |
Если измеренный уровень звуковой мощности (звуковой энергии) предполагается сопоставлять с неким предельным значением, то иногда более уместным может быть рассмотрение одностороннего интервала охвата для указанной случайной величины. Тогда при том же уровне доверия 95% принимают k = 1,6.
10.2 Определение

Стандартное отклонение

[см.
формулу (I.1)], характеризующее неопределенность, связанную с нестабильностью воспроизведения условий работы и установки источника шума во время испытаний, может давать существенный вклад в неопределенность измерения уровня звуковой мощности (звуковой энергии). Для оценки

можно провести отдельную серию повторных измерений для одного и того же источника шума в одном и том же месте установки одним и тем же сотрудником, используя при этом одну и ту же измерительную систему и одну и ту же точку (или точки) измерений. Повторные измерения выполняют в отношении эквивалентного уровня звукового давления

в точке измерений, где его значение максимально, или в отношении эквивалентного уровня звукового давления, усредненного по измерительной поверхности,

. Результаты измерений корректируют на фоновый шум. Перед каждым повторным измерением испытуемый источник шума устанавливают заново и заново устанавливают необходимый режим работы. Если испытания проводят для единственного экземпляра источника шума, то полученное по повторным измерениям выборочное стандартное отклонение обозначают

. В соответствующем испытательном коде по шуму может быть приведена оценка

для целого семейства машин. Можно ожидать, что такая оценка была получена с учетом всех возможных источников вариативности в установке и при условиях работы, на которые распространяется данный испытательный код.
Примечание - Если звуковая мощность мало изменяется в процессе повторных измерений, а измерения выполнены правильно, то величине

можно приписать значение 0,5 дБ. В других случаях, например, когда на шум источника существенное влияние оказывает потребляемый или производимый материал, а также при непредсказуемых изменениях в потреблении или производстве этого материала, подходящей оценкой

можно считать 2 дБ. Но в особых случаях очень сильной зависимости шума от свойств обрабатываемого материала (когда испытуемым источником шума являются такие машины, как камнедробилки, металлорежущие станки или прессы, работающие под нагрузкой) эта величина может достигать 4 дБ.
10.3 Определение

10.3.1 Общие положения
Стандартное отклонение

характеризует все источники неопределенности, которые могут оказать влияние на результат измерений, проводимых в соответствии с настоящим стандартом (различия в характеристиках излучения источников шума, в применяемых средствах измерений, в применении метода измерений), за исключением нестабильности излучения испытуемого источника (последний фактор характеризуется

).
Обобщение накопленного к данному времени опыта проведения испытаний позволило установить оценки

, которые приведены в таблицах 2 и
3. Эти оценки можно рассматривать как оценки сверху для большинства машин и оборудования, на которое распространяется настоящий стандарт. Для машин конкретного вида могут быть получены уточненные оценки путем проведения межлабораторного эксперимента (см.
10.3.2) или путем использования математического моделирования (см.
10.3.3). Такие оценки приводят в испытательных кодах по шуму для машин конкретных видов (см.
10.2 и
приложение I).
Таблица 2
Типичные оценки сверху

для измерений уровней звуковой
мощности (звуковой энергии) в полузаглушенной камере
в соответствии с настоящим стандартом
Полоса частот измерений | Среднегеометрическая частота, Гц | Стандартное отклонение воспроизводимости  , дБ |
Третьоктавная полоса частот | | 2,0 |
От 100 до 630 | 1,5 |
От 800 до 5000 | 1,0 |
От 6300 до 10 000 | 1,5 |
| 2,0 |
Широкая полоса частот с коррекцией по частотной характеристике A | 0,5 |
<a> Если пригодность звукового поля подтверждена в соответствии с разделом 5. <b> При наличии соответствующих средств измерений и внесении поправки на звукопоглощение в воздухе. |
Таблица 3
Типичные оценки сверху

для измерений уровней звуковой
мощности (звуковой энергии) в заглушенной камере
в соответствии с настоящим стандартом
Полоса частот измерений | Среднегеометрическая частота, Гц | Стандартное отклонение воспроизводимости  , дБ |
Третьоктавная полоса частот | | 2,0 |
От 100 до 630 | 1,0 |
От 800 до 5000 | 0,5 |
От 6300 до 10 000 | 1,0 |
| 2,0 |
Широкая полоса частот с коррекцией по частотной характеристике A | 0,5 |
<a> Если пригодность звукового поля подтверждена в соответствии с разделом 5. <b> При наличии соответствующих средств измерений и внесении поправки на звукопоглощение в воздухе. |
10.3.2 Межлабораторный эксперимент
Межлабораторный эксперимент для определения

проводят в соответствии с ISO 5725, когда уровни звуковой мощности источника шума определяют в условиях воспроизводимости, т.е. с участием разных специалистов, проводящих измерения в разных положениях источника шума разными средствами измерений. Такой эксперимент позволяет получить оценку

общего стандартного отклонения для источника шума, рассылаемого лабораториям - участникам эксперимента. Предполагается, что в таком эксперименте будет обеспечена вариативность всех существенных факторов, которые могут оказать влияние на результат измерений звуковой мощности данного источника шума.
Полученная в результате межлабораторного эксперимента оценка

, дБ, включает в себя оценку

, дБ, что позволяет получить оценку

по формуле:

. (26)
Если оценки

, полученные в результате измерений для разных экземпляров источника шума данного вида, незначительно отличаются, то их среднее можно рассматривать как оценку

для всех источников шума данного вида в измерениях, проводимых в соответствии с настоящим стандартом. Такую оценку (вместе с оценкой

) следует по возможности указывать в испытательном коде по шуму и использовать при декларировании шумовой характеристики машин.
Если межлабораторный эксперимент проведен не был, то для реалистической оценки

используют накопленные знания об измерениях шума машин данного вида.
Иногда затраты на проведение межлабораторного эксперимента можно сократить, исключив требование выполнения измерений в разных положениях источника шума. Это можно сделать, например, если источник шума обычно устанавливают в условиях, когда коррекция на фоновый шум
K1 невелика или если целью испытаний является подтверждение шумовой характеристики машины при ее работе в заданном положении. Оценку, полученную в таких условиях ограниченной вариативности, обозначают

, и используют при испытаниях крупногабаритных стационарно устанавливаемых машин. Следует ожидать, что полученные значения

будут ниже приведенных в
таблицах 2 и
3.
Оценки

, полученные по
формуле (26), будут обладать низкой достоверностью, если

будет лишь незначительно превышать

. О достаточно надежных оценках

можно говорить только в том случае, если

не превышает

.
10.3.3 Расчет

на основе математической модели
Обычно

зависит от нескольких факторов, дающих вклады
ciui (
i = 1, 2,...,
n) в общую неопределенность измерения уровня звуковой мощности (звуковой энергии). Такими факторами, в частности, являются применяемые средства измерений, коррекция на условия окружающей среды и местоположения микрофонов. Если предположить, что данные факторы влияют на общую неопределенность независимо друг от друга, то оценку

можно представить в виде (см. ISO/IEC Guide 98-3):

. (27)
В формулу (27) не входят неопределенности, связанные с нестабильностью излучения звука источником шума (поскольку они учтены в

). Источники неопределенности, дающие вклад в общую неопределенность измерения уровня звуковой мощности (звуковой энергии), рассматриваются в
приложении I.
Примечание - Проведение межлабораторного эксперимента не всегда возможно, и часто вместо этого обращаются к данным предшествующих измерений.
10.4 Типичные оценки

В
таблицах 2 и
3 приведены типичные оценки сверху стандартного отклонения

для точных методов измерения шума согласно настоящему стандарту. В особых случаях, а также когда требования настоящего стандарта не могут быть в полном объеме соблюдены для машин определенного вида или когда ожидается, что для машин данного вида

должно быть меньше значений, приведенных в
таблицах 2 и
3, для уточнения оценки

рекомендуется проведение межлабораторного эксперимента.
10.5 Общее стандартное отклонение

и расширенная неопределенность
U
Общее стандартное отклонение

и расширенную неопределенность
U рассчитывают по
формулам (24) и
(25) соответственно.
| | ИС МЕГАНОРМ: примечание. В официальном тексте документа, видимо, допущена опечатка: таблица 6 в тексте документа отсутствует. | |
Пример - Точный метод измерений;

;
k = 2; в результате измерения получено
LWA = 82 дБ. Определение

для машин данного вида выполнено не было, поэтому использовано значение

из таблицы 6

. По
формулам (25) и
(24) получаем

.
Дополнительные примеры расчета

приведены в
I.3 приложения I.
Примечание - Расширенная неопределенность, рассчитываемая по
формуле (25), не включает в себя стандартное отклонение производства, использованного в
[9] в целях определения и декларирования шумовой характеристики для партии машин.
11. Регистрируемая информация
11.1 Общие положения
Для всех измерений, выполненных в соответствии с настоящим стандартом, должна быть получена и зарегистрирована информация, указанная в 11.2 -
11.5.
11.2 Испытуемый источник шума
Приводят следующие сведения:
a) общие данные об испытуемом источнике шума (изготовитель, наименование и вид, тип, технические данные, габаритные размеры, порядковый номер по системе нумерации изготовителя, год выпуска);
b) вспомогательное оборудование и способ его использования при испытаниях;
c) режимы работы при испытаниях и продолжительность измерений в каждом режиме;
d) условия установки в камере;
e) расположение в камере во время испытаний.
11.3 Испытательное помещение
Приводят следующие сведения:
a) описание камеры с указанием создаваемого в ней звукового поля (свободного или свободного над звукоотражающей плоскостью), ее размеры (в метрах), материал стен, пола и потолка с приложением схемы, на которой отмечены места установки испытуемого источника шума и расположения вспомогательных устройств камеры;
b) результаты проверки пригодности испытательного пространства камеры с указанием, была ли она проведена в соответствии с
приложением A или
B настоящего стандарта;
c) атмосферные условия в камере во время испытаний, включая температуру воздуха в градусах Цельсия, относительную влажность воздуха в процентах и статическое атмосферное давление в килопаскалях.
11.4 Средства измерений
Приводят следующие сведения:
a) данные об измерительной аппаратуре (изготовитель, наименование, тип, порядковый номер по системе нумерации изготовителя);
b) дату и место калибровки (поверки), методы калибровки акустического калибратора, результаты проверки калибровки до и после измерений.
11.5 Результаты измерений акустических параметров
Приводят следующие общие сведения:
a) расположение точек измерений или траекторий сканирования микрофоном (с приложением при необходимости эскизов) с указанием точек, которым соответствуют неравные по площади участки измерительной поверхности.
Приводят следующие сведения для каждого режима работы испытуемого источника шума в условиях измерений:
b) все результаты измерений эквивалентных уровней звукового давления (уровней экспозиции однократного шумового процесса) испытуемого источника шума и фонового шума;
c) коррекции, в децибелах, на фоновый шум в каждой третьоктавной полосе и в каждой точке измерений или по каждой траектории сканирования;
d) средние по измерительной поверхности эквивалентные уровни звукового давления (уровни экспозиции однократного шумового процесса);
e) уровни звуковой мощности (звуковой энергии), в децибелах, в третьоктавных полосах частот и (при условии измерения) корректированный по A, округленные с точностью до 0,1 дБ. Дополнительно представляют данные характеристики в графическом виде;
f) расширенную неопределенность измерения, значение коэффициента охвата и соответствующую вероятность охвата;
g) максимальное значение показателя направленности с указанием соответствующего направления (при необходимости);
h) значение показателя неравномерности уровня звукового давления с указанием измерительного радиуса (при необходимости);
i) дату и время выполнения измерений.
В протоколе испытаний указывают зарегистрированную в соответствии с
разделом 11 информацию, которая необходима в целях измерений. В протокол включают также все положения, необходимость которых указана в разделах настоящего стандарта. Если уровни звуковой мощности или звуковой энергии были получены в полном соответствии с требованиями настоящего стандарта, то соответствующая запись должна быть сделана в протоколе испытаний. Если при проверке соблюдения условий настоящего стандарта одна или несколько проверяемых акустических характеристик выходит за установленные предельные значения, то в протокол вносят запись о том, что измерения были проведены в соответствии с требованиями настоящего стандарта за рядом исключений, и указывают эти исключения. При этом в протоколе не допускается прямо или неявно указывать на то, что испытания проведены в полном соответствии с настоящим стандартом.
(обязательное)
ОБЩИЕ МЕТОДЫ ПРОВЕРКИ ПРИГОДНОСТИ ЗАГЛУШЕННЫХ КАМЕР
И ПОЛУЗАГЛУШЕННЫХ КАМЕР
A.1 Общие положения
Пригодность камеры оценивают в аттестационных испытаниях, сравнивая наблюдаемый в ней пространственный спад звукового давления, создаваемого испытательным источником шума, с теоретической обратно пропорциональной зависимостью звукового давления от квадрата расстояния от источника в свободном звуковом поле или в свободном звуковом поле над звукоотражающей плоскостью.
Примечание - Проверку пригодности рекомендуется выполнять каждый раз после замены звукопоглощающих элементов (облицовки) на стенах камеры, а также периодически с интервалом, не превышающим пять лет.
A.2 Средства измерений и оборудование
A.2.1 Общие положения
Измерительная система, включая микрофоны и соединительные кабели, должна удовлетворять требованиям к средствам измерений класса 1 по IEC 61672-1:2002. Применяемые частотные фильтры должны соответствовать требованиям к фильтрам класса 1 по IEC 61260:1995.
A.2.2 Испытательный источник звука
A.2.2.1 Общие положения
В процедурах проверки применяют источник шума, который можно считать точечным во всем рассматриваемом диапазоне частот. Он должен удовлетворять требованиям
A.2.2.2 и, кроме того, быть:
a) малых размеров с известным положением акустического центра, которое используется как начало координат при определении траекторий перемещения микрофона по
A.3.3;
b) ненаправленным (чтобы энергия звуковой волны, падающей на внутренние поверхности камеры, была приблизительно пропорциональна площади этих поверхностей);
c) достаточно мощным (чтобы обеспечить во всем рассматриваемом диапазоне частот превышение уровня звукового давления над уровнем фонового шума на 10 дБ в каждой точке траектории перемещения микрофона);
d) высокостабильным (чтобы мощность излучаемого шума не изменялась в процессе измерений, пока микрофон перемещается по заданной траектории).
Выбор источника шума, отвечающего вышеуказанным требованиям, осуществляет лаборатория, проводящая аттестационные испытания. Чтобы охватить весь диапазон частот испытаний, может потребоваться применение нескольких источников шума. При этом каждый такой источник в своем диапазоне частот испытаний должен удовлетворять требованиям настоящего пункта и
A.2.2.2.
Во время измерений по каждой из траекторий перемещения микрофона уровень звуковой мощности испытательного источника шума (вместе с генератором сигналов и устройством усиления) в каждой из третьоктавных полос диапазона частот испытаний не должен изменяться более чем на +/- 0,5 дБ. Соответствие данному требованию можно проверить, выполняя повторные измерения уровней звуковой мощности в полосах частот на интервале времени, соответствующем типичной траектории перемещения микрофона, и сравнивая полученные результаты измерений.
Для подтверждения стабильности излучения целесообразно использовать дополнительный контрольный микрофон, устанавливаемый в произвольной точке камеры, чтобы наблюдать изменения уровней звукового давления, создаваемого испытательным источником шума, в процессе испытаний.
A.2.2.2 Направленность излучения звука
Излучение испытательного источника шума должно быть распределено равномерно по всем направлениям в пределах допусков, приведенных в таблице A.1. Проверку соблюдения данного требования выполняют следующим образом (при этом следя, чтобы траектория перемещения микрофона не проходила через узлы звуковых волн, создаваемых источником шума).
Таблица A.1
Допустимые отклонения при проверке направленности
источника шума
Вид камеры | Среднегеометрическая частота третьоктавной полосы, Гц | Допустимые отклонения, дБ |
Заглушенная камера | <= 630 | +/- 1,5 |
От 800 до 5000 | +/- 2,0 |
От 6300 до 10 000 | +/- 2,5 |
> 10 000 | +/- 5,0 |
Полузаглушенная камера | <= 630 | +/- 2,0 |
От 800 до 5000 | +/- 2,5 |
От 6300 до 10 000 | +/- 3,0 |
> 10 000 | +/- 5,0 |
Испытательный источник шума устанавливают посередине камеры. Создаваемый источником уровень шума должен быть приблизительно таким же, как и при аттестационных испытаниях. Определяют сферическую систему координат таким образом, чтобы ее центр (
r = 0) совпадал с акустическим центром испытательного источника шума, а плоскость, определяемая значением зенитного угла

, совпадала с жесткой поверхностью пола в случае заглушенной камеры со звукоотражающим полом или была параллельна плоскостям пола и потолка в случае заглушенной камеры (см.
рисунок A.1). Плоскость, определяемая значением азимутального угла

(или 90°, 180°, 270°), должна быть параллельна стенам камеры (в предположении, что камера имеет форму прямоугольного параллелепипеда). Выполняют измерения уровней звукового давления в третьоктавных полосах частот вдоль окружности радиуса
r = 1,5 м при

и значениях

, равных 80°, 60°, 40° и 20°, а в случае источника, используемого для проверки заглушенных камер, дополнительно при значениях

, равных 100°, 120°, 140° и 160°. Затем измерения при тех же значениях

повторяют при значениях

, равных 45°, 90°, 135°, 180°, 225°, 270° и 315°. Всего должно быть проведено 32 измерения для полузаглушенной камеры и 64 измерения для заглушенной камеры. Для каждой из третьоктавных полос определяют средний уровень звукового давления по всем выполненным измерениям, а также максимальное положительное и отрицательное отклонение от этого значения (все в децибелах). Если отклонения не превышают предельных значений, указанных в
таблице A.1, то источник шума считают пригодным для аттестационных испытаний. В качестве контрольной точки для проверки стабильности излучения может быть использована точка непосредственно над источником шума

, однако результаты измерений в этой точке не используют для проверки направленности излучения.

Рисунок A.1 - Положение микрофонов на поверхности сферы
при проверке направленности излучения источника шума
Оценка направленности источника шума может быть выполнена в другой камере (например, про которую известно, что в ней выполнены условия свободного звукового поля в диапазоне частот испытаний), чем та, которую проверяют на пригодность в соответствии с настоящим приложением.
Испытательные источники шума, пригодные для аттестационных испытаний заглушенных и полузаглушенных камер, описаны в
[30] -
[34].
Для аттестационных испытаний полузаглушенных камер удобно иметь небольшое углубление в центре пола, в которое может быть установлен источник шума так, чтобы его излучающая поверхность находилась в плоскости пола.
На частотах ниже 800 Гц может быть использован источник шума, удовлетворяющий требованиям
[1]. Другим возможным источником может быть электродинамический громкоговоритель в герметичном корпусе с размерами менее

, где

- длина волны излучения.
На частотах вплоть до 10 кГц подходящим источником может быть акустически экранированный излучатель компрессионного типа с коническим рупором. Для испытаний на частотах свыше 4 кГц диаметр выходного отверстия рупора должен быть не более 10 см. Чем ниже частота, тем больше может быть диаметр выходного отверстия. Использование длинного рупора (до 1,5 м) позволяет удалить головку громкоговорителя от выходного отверстия, что снижает эффект экранирования поля источником шума и улучшает акустические характеристики звукового поля за счет повышения плотности акустических мод.
Соблюдение требований настоящего подпункта особенно важно при измерениях уровня звукового давления в начале траектории перемещения микрофона (см.
A.4.2) на расстоянии 0,5 м от источника. По мере удаления в область дальнего поля излучение источника становится все более ненаправленным. Различие в направленности источника в областях ближнего и дальнего поля затрудняет выполнение аттестации камеры.
A.3 Установка испытательного источника шума и микрофонов
A.3.1 Заглушенная камера
Испытательный источник шума устанавливают так, чтобы его акустический центр находился как можно ближе к центру камеры и совпадал, насколько это возможно, с центром сферической измерительной поверхности.
A.3.2 Полузаглушенная камера
A.3.2.1 Общие положения
Испытательный источник шума устанавливают так, чтобы его акустический центр совпадал, насколько это возможно, с центром полусферической измерительной поверхности и находился предпочтительно в центре пола камеры.
Испытательный источник устанавливают на звукоотражающем полу камеры таким образом, чтобы акустический центр источника располагался как можно ближе к звукоотражающему полу, но в любом случае на высоте не более 150 мм. Желательно, чтобы высота акустического центра источника над полом не превышала

для всех частот диапазона частот испытаний, где

- длина звуковой волны. Для такой установки удобно использовать углубление в полу камеры (см.
A.2.2.2).
A.3.2.2 Размеры звукоотражающей плоскости
Расстояние от краев звукоотражающей плоскости до окружности, представляющей собой проекцию на плоскость полусферической измерительной поверхности, должно быть равно по крайней мере

, где

- длина звуковой волны, соответствующей низшей частоте диапазона частот испытаний, но не менее 0,75 м.
A.3.2.3 Коэффициент звукопоглощения звукоотражающей плоскости
Коэффициент звукопоглощения звукоотражающей плоскости должен быть не менее 0,06 на всех частотах диапазона частот испытаний.
Примечание - Установленному требованию к коэффициенту звукопоглощения будут удовлетворять, например, тяжелый бетонный пол или легкая конструкция с поверхностной плотностью 20 кг/м2 и более (при условии отсутствия значительных резонансов конструкции или воздушных масс), уложенные на эластичный герметизирующий слой.
A.3.3 Траектории перемещения микрофона
Траектории перемещения микрофона находятся на лучах, исходящих из геометрического центра измерительной поверхности (сферической или полусферической) в разных направлениях. Число траекторий должно быть не менее пяти. Основные траектории лежат на лучах, направленных к углам камеры (где под углом понимают пересечение двух стен и потолка или двух стен и пола камеры), а также в направлениях, перпендикулярных поверхностям стен (или потолка) камеры. Число основных траекторий, направленных к углам камеры, должно быть равно трем. Еще одна основная траектория должна быть направлена к поверхности ближайшей стены (потолка или пола). Для заглушенной камеры три выбранных угла, к которым направлены траектории перемещения микрофона, должны располагаться в рабочей области камеры, т.е. в той ее части, которую обычно используют для выполнения измерений. Если рабочая область для данной камеры не определена, то углы выбирают таким образом, чтобы их вершины лежали в одной плоскости, проходящей через центр камеры. В случае полузаглушенной камеры не следует выбирать траектории под углом менее 20° к звукоотражающей поверхности пола.
Центр измерительной поверхности должен находиться внутри огибающего параллелепипеда для данного испытательного источника шума, а неопределенность положения центра (его возможное отклонение от акустического центра источника) не должна превышать 200 мм.
После установки испытательного источника шума его ориентация должна сохраняться неизменной во время измерений с перемещением микрофона по всем выбранным траекториям.
Если положение акустического центра испытательного источника шума точно неизвестно, то в качестве такого центра должна быть выбрана представительная точка. Эту точку используют в дальнейшем только в целях определения положений микрофона в ходе проверки пригодности камеры. Действительное положение акустического центра источника определяют по
A.4.3.1.
A.4 Проведение испытаний
A.4.1 Воспроизводимый шум
Испытательный источник шума, соответствующий требованиям
A.2.2, излучает звук последовательно на дискретных частотах, распределенных по всему диапазону частот испытаний. Анализ излученного звука проводят последовательно в третьоктавных полосах частот. В областях ниже 125 Гц и выше 4000 Гц частоты излучения совпадают со среднегеометрическими частотами третьоктавных полос, а в диапазоне от 125 до 4000 Гц - со среднегеометрическими частотами октавных полос (т.е. в этом диапазоне анализ проводят не во всех третьоктавных полосах).
Если предполагается, что в данной камере будут проводить испытания только источников широкополосного шума, то в процессе испытаний вместо источника чистых тонов можно использовать источник, излучающий случайный шум в широкой полосе частот.
С целью ускорения испытаний допускается вместо последовательного воспроизведения чистых тонов одновременно воспроизводить несколько тонов, частотный интервал между которыми превышает ширину соответствующей третьоктавной (октавной) полосы. При использовании широкополосного случайного шума продолжительность измерений должна быть достаточной для получения установившегося значения уровня звукового давления.
A.4.2 Измерения уровня звукового давления
При воспроизведении каждого испытательного сигнала микрофон перемещают по траекториям, указанным в
A.3.3. Измерение уровня звукового давления по каждой траектории начинают в точке, отстоящей на 0,5 м от акустического центра испытательного источника шума, и заканчивают на расстоянии, равном или превышающем радиус измерительной поверхности, которую предполагается использовать в данной камере. Для каждой из траекторий измерения выполняют не менее чем в 10 равноотстоящих друг от друга точках (т.е. всего число точек измерений должно быть не менее 50). Кроме того, расстояние между соседними точками не должно быть более 0,1 м.
Допускается выполнять измерения при медленном непрерывном перемещении микрофона вдоль траектории, регистрируя изменяющиеся уровни звукового давления.
Следует принять меры, чтобы предотвратить отражение звука от элементов системы перемещения микрофона.
Поскольку при измерениях случайного шума требуется большее время усреднения, непрерывное перемещение микрофона рекомендуется только для испытаний с использованием чистых тонов.
A.4.3 Определение отклонений от теоретической зависимости
A.4.3.1 Подгонка теоретической кривой обратной квадратичной зависимости под результаты испытаний
По результатам измерений, выполненных в соответствии с
A.4.2, оценивают параметры теоретической зависимости уровня звукового давления
Lp(
ri), дБ, от расстояния
ri, м, от
i точки измерений до испытательного источника шума, которая имеет вид

, (A.1)
где | a | - | параметр, определяемый звуковой мощностью испытательного источника шума, м; |
| r0 | - | параметр, представляющий собой смещение акустического центра вдоль траектории перемещения микрофона от точки, принятой за начало координат (центр измерительной поверхности в виде сферы или полусферы), от которого отсчитывают расстояние ri, м. |
Неизвестные параметры a и r0 рассчитывают по формулам:

,

,
где | qi |  ; |
| Lpi | - | уровень звукового давления в i точке измерений, дБ; |
| M | - | число точек измерений вдоль каждой траектории перемещения микрофона в области, где предполагается соблюдение закона обратной квадратичной зависимости (точки на концах траекторий могут быть исключены из рассмотрения). |
Примечание 1 - Если положение акустического центра испытательного источника шума известно точно (см.
A.2.2), то можно ожидать, что начало координат каждой траектории будет совпадать с этим акустическим центром, т.е.
r0 = 0. Если при этом полученная в результате расчетов оценка
r0 превысит 200 мм, то это может свидетельствовать о наличии проблем либо с аттестуемой камерой, либо с испытательным источником шума.
Примечание 2 - Неизвестные параметры
a и
r0 рассчитывают по точкам в начале траекторий (вблизи испытательного источника шума), после чего
формулу (A.1) применяют для всех расстояний
ri в аттестуемой камере. Определение параметров
a и
r0 по данным измерений, на которые сильное влияние оказывают отражения в камере, может привести к неприемлемым результатам. На частотах ниже 100 Гц применять
формулу (A.1) также следует с осторожностью, поскольку для этих частот область ближнего поля шире.
Допускается использовать другие методы анализа данных при условии, что они позволят определить теоретические значения
Lp(
ri), соответствующие
зависимости (A.1), в точках измерений.
Если измерения были выполнены с непрерывным перемещением микрофона по траекториям, то оценку параметров
зависимости (A.1) осуществляют по записи зависимости уровня звукового давления от расстояния. По этой записи формируют выборку отсчетов, взятых в точках на равном расстоянии друг от друга. Расстояние между точками должно соответствовать
A.4.2.
A.4.3.2 Вычисление отклонений от теоретической кривой
Отклонения

, дБ, полученных в результате измерений уровней звукового давления в точках измерений от теоретической обратной квадратичной зависимости вычисляют по формуле:

, (A.2)
где | Lpi | - | уровень звукового давления в i точке измерений, дБ; |
| Lp(ri) | - | значение, рассчитанное по формуле (A.1), с подставленными в нее оценками a и r0, дБ. |
A.5 Критерий пригодности аттестуемой камеры
Результаты расчетов по формуле (A.2) не должны превышать значений, приведенных в таблице A.2.
Таблица A.2
Максимально допустимые отклонения измеренных уровней
звукового давления от теоретического значения,
рассчитанного по закону обратной квадратичной зависимости
Вид камеры | Среднегеометрическая частота третьоктавной полосы, Гц | Допустимое отклонение, дБ |
Заглушенная камера | <= 630 | +/- 1,5 |
От 800 до 5000 | +/- 1,0 |
>= 6300 | +/- 1,5 |
Полузаглушенная камера | <= 630 | +/- 2,5 |
От 800 до 5000 | +/- 2,0 |
>= 6300 | +/- 3,0 |
Примечание - Камера, проверяемая на пригодность для измерения чистых тонов, может быть более дорогой по конструкции и процедуре проверки, чем камера, предназначенная только для измерений в третьоктавных полосах частот случайного шума.
Отклонения, указанные в
таблице A.2, определяют максимальное пространство вокруг испытуемого источника шума, в пределах которого может быть выбрана измерительная поверхность. Если определенная таким образом измерительная поверхность лежит вне ближнего звукового поля испытуемой машины, то она пригодна для определения уровней звуковой мощности и уровней звуковой энергии в соответствии с настоящим стандартом.
Эти отклонения определяют также диапазон частот, в котором могут быть проведены измерения в соответствии с настоящим стандартом. Если критерий пригодности камеры соблюдается не для всех частот в интервале от 100 до 10 000 Гц (см.
3.11), то выполненные в ней измерения не будут в полном соответствии с настоящим стандартом. Если пригодность камеры подтверждена для измерений в более узком диапазоне частот, то измерения могут быть проведены по настоящему стандарту, а их результаты отражены в протоколе испытаний, если:
a) суженный диапазон частот без пропусков покрывается третьоктавными полосами, в которых критерий по
таблице A.2 соблюдается;
b) суженный диапазон частот указан в протоколе испытаний;
c) в протоколе испытаний отсутствует формулировка, что измерения выполнены в полном соответствии с настоящим стандартом, и такая формулировка не подразумевается.
(обязательное)
ПРОВЕРКА ПРИГОДНОСТИ КАМЕРЫ ДЛЯ ОПРЕДЕЛЕНИЯ УРОВНЯ ЗВУКОВОЙ
МОЩНОСТИ ИЛИ УРОВНЯ ЗВУКОВОЙ ЭНЕРГИИ КОНКРЕТНОГО
ИСТОЧНИКА ШУМА
B.1 Общие положения
Настоящее приложение устанавливает метод проверки пригодности испытательного пространства в камере, используемой для определения уровня звуковой мощности или уровня звуковой энергии конкретного источника шума в соответствии с настоящим стандартом. Этот метод не позволяет оценивать пригодность камеры безотносительно к испытуемому источнику шума, и в этом смысле его нельзя рассматривать как альтернативу общему методу, изложенному в
приложении A.
Чтобы иметь возможность проводить измерения в соответствии с требованиями настоящего стандарта, в камере должны быть обеспечены условия свободного звукового поля или свободного звукового поля над звукоотражающей плоскостью.
Камера должна иметь достаточно большие размеры и не содержать звукоотражающих предметов за исключением, в случае полузаглушенной камеры, звукоотражающей плоскости.
Камера должна позволять построить в ней измерительную поверхность, находящуюся:
a) в звуковом поле, свободном от нежелательных отражений звука от внутренних поверхностей камеры;
b) вне ближнего звукового поля испытуемого источника шума.
Проверка пригодности камеры заключается в определении нежелательных отклонений (если таковые существуют) от требуемых акустических условий и оценке степени этих отклонений. Для полузаглушенной камеры должны быть выполнены требования к звукоотражающей плоскости по B.2.
B.2 Свойства звукоотражающей плоскости
B.2.1 Общие положения
В полузаглушенной камере измерения выполняют над звукоотражающей плоскостью, и звукоотражающая плоскость должна быть единственной в камере.
Если звукоотражающая плоскость не является частью внутренней поверхности камеры, то необходимо убедиться, что эта плоскость не излучает нежелательный звук вследствие своей вибрации.
B.2.2 Размеры
Размеры звукоотражающей плоскости должны быть достаточно большими, чтобы расстояние от ее краев до окружности, представляющей собой проекцию на плоскость полусферической измерительной поверхности, было равно по крайней мере

, где

- длина звуковой волны, соответствующей низшей частоте диапазона частот испытаний, но не менее 0,75 м.
B.2.3 Коэффициент звукопоглощения
Коэффициент звукопоглощения звукоотражающей плоскости должен быть не менее 0,06 на всех частотах диапазона частот испытаний.
Примечание - Установленному требованию к коэффициенту звукопоглощения будут удовлетворять, например, тяжелый бетонный пол или легкая конструкции с поверхностной плотностью 20 кг/м2 и более (при условии отсутствия значительных резонансов конструкции или воздушных масс), уложенные на эластичный герметизирующий слой.
B.3 Оценка с использованием двух измерительных поверхностей
B.3.1 Испытательный источник шума
В общем случае испытательным источником шума, используемым для проверки пригодности камеры и применяемой в ней измерительной поверхности, является сам источник шума, уровень звуковой мощности или звуковой энергии которого подлежит определению в соответствии с настоящим стандартом.
Измерительная поверхность, пригодность которой подтверждена в ходе проверки, может быть использована для измерений шума, производимого только самим испытательным источником шума или источником шума аналогичных размеров и с аналогичной направленностью излучения.
B.3.2 Процедура проверки
Строят две сферические измерительные поверхности (в случае заглушенной камеры) или две полусферические измерительные поверхности (в случае полузаглушенной камеры), охватывающие испытательный источник шума. Первой поверхностью является та, которую используют при определении уровня звуковой мощности или звуковой энергии источника шума (см.
раздел 8). Площадь этой поверхности обозначают
S1. Вторая, вспомогательная измерительная поверхность площадью
S2, должна быть геометрически подобна первой, причем отношение площадей
S2/
S1 должно быть не менее 2 (предпочтительно более 4). Точки измерений на обеих поверхностях лежат на одних и тех же лучах из акустического центра источника. Для обеих измерительных поверхностей должны быть соблюдены критерии по фоновому шуму, установленные в
5.3.
Для каждой измерительной поверхности определяют средние по поверхности уровни звукового давления соответственно

и

, дБ, и рассчитывают значение показателя

, дБ, по формуле:

. (B.1)
Камеру и измерительную поверхность площадью
S1 считают пригодными для выполнения измерений в соответствии с настоящим стандартом, если абсолютное значение показателя

не превышает 0,5 дБ.
(обязательное)
РАСЧЕТ КОРРЕКТИРОВАННЫХ ПО
A УРОВНЕЙ ЗВУКОВОЙ МОЩНОСТИ
И ЗВУКОВОЙ ЭНЕРГИИ НА ОСНОВЕ РЕЗУЛЬТАТОВ ИЗМЕРЕНИЙ
В ПОЛОСАХ ЧАСТОТ
C.1 Корректированные по A уровни звуковой мощности
Корректированный по A уровень звуковой мощности LWA, дБ, вычисляют по формуле:

, (C.1)
где | LWJ | - | уровень звуковой мощности в j третьоктавной полосе частот, дБ; |
| j | - | номер третьоктавной полосы частот (см. таблицу C.1); |
| Cj | - | поправка для j третьоктавной полосы частот по таблице C.1; |
| jmin, jmax | - | значения j для, соответственно, низшей и высшей третьоктавной полосы диапазона частот измерений. |
Таблица C.1
Значения
j и
Cj, соответствующие среднегеометрическим
частотам третьоктавных полос
j | Среднегеометрическая частота третьоктавной полосы, Гц | Cj |
1 | 50 | |
2 | 63 | |
3 | 80 | |
4 | 100 | -19,1 |
5 | 125 | -16,1 |
6 | 160 | -13,4 |
7 | 200 | -10,9 |
8 | 250 | -8,6 |
9 | 315 | -6,6 |
10 | 400 | -4,8 |
11 | 500 | -3,2 |
12 | 630 | -1,9 |
13 | 800 | -0,8 |
14 | 1000 | 0,0 |
15 | 1250 | 0,6 |
16 | 1600 | 1,0 |
17 | 2000 | 1,2 |
18 | 2500 | 1,3 |
19 | 3150 | 1,2 |
20 | 4000 | 1,0 |
21 | 5000 | 0,5 |
22 | 6300 | -0,1 |
23 | 8000 | -1,1 |
24 | 10 000 | -2,5 |
<a> Значения поправок Cj используют только в случае, если для данной третьоктавной полосы частот выполнены требования к испытательному пространству и средствам измерений. |
C.2 Корректированные по A уровни звуковой энергии
Корректированный по A уровень звуковой энергии LJA, дБ, вычисляют по формуле:

, (C.2)
где | LJj | - | уровень звуковой энергии в j третьоктавной полосе частот, дБ; |
| j | - | |
| Cj | - | поправка для j третьоктавной полосы частот по таблице C.1; |
| jmin, jmax | - | значения j для низшей и высшей третьоктавной полосы диапазона частот измерений соответственно. |
C.3 Значения j и Cj
Для расчетов с использованием результатов измерений в третьоктавных полосах частот используют значения
j и
Cj, приведенные в
таблице C.1.
(обязательное)
ТОЧКИ ИЗМЕРЕНИЙ НА СФЕРИЧЕСКОЙ ИЗМЕРИТЕЛЬНОЙ ПОВЕРХНОСТИ
Сорок точек измерений (мест установки микрофонов), которым соответствуют участки равной площади на сферической измерительной поверхности радиуса
r, для измерений в свободном звуковом поле показаны на
рисунке D.1. Относительные координаты (
x/r,
y/r,
z/r) этих точек приведены в таблице D.1. Центр системы координат находится в акустическом центре испытуемого источника шума. Ось
z перпендикулярна горизонтальным поверхностям камеры.
Таблица D.1
Точки установки микрофонов на сферической
измерительной поверхности
Номер точки | x/r | y/r | z/r |
1 | -0,999 | 0 | 0,050 |
2 | 0,494 | -0,856 | 0,150 |
3 | 0,484 | 0,839 | 0,250 |
4 | -0,468 | 0,811 | 0,350 |
5 | -0,447 | -0,773 | 0,450 |
6 | 0,835 | 0 | 0,550 |
7 | 0,380 | 0,658 | 0,650 |
8 | -0,661 | 0 | 0,750 |
9 | 0,263 | -0,456 | 0,850 |
10 | 0,312 | 0 | 0,950 |
11 | 0,999 | 0 | -0,050 |
12 | -0,494 | 0,856 | -0,150 |
13 | -0,484 | -0,839 | -0,250 |
14 | 0,468 | -0,811 | -0,350 |
15 | 0,447 | 0,773 | -0,450 |
16 | -0,835 | 0 | -0,550 |
17 | -0,380 | -0,658 | -0,650 |
18 | 0,661 | 0 | -0,750 |
19 | -0,263 | 0,456 | -0,850 |
20 | -0,312 | 0 | -0,950 |
21 | 0,999 | 0 | 0,050 |
22 | -0,494 | -0,856 | 0,150 |
23 | -0,484 | 0,839 | 0,250 |
24 | 0,468 | 0,811 | 0,350 |
25 | 0,447 | -0,773 | 0,450 |
26 | -0,835 | 0 | 0,550 |
27 | -0,380 | 0,658 | 0,650 |
28 | 0,661 | 0 | 0,750 |
29 | -0,263 | -0,456 | 0,850 |
30 | -0,312 | 0 | 0,950 |
31 | -0,999 | 0 | -0,050 |
32 | 0,494 | 0,856 | -0,150 |
33 | 0,484 | -0,839 | -0,250 |
34 | -0,468 | -0,811 | -0,350 |
35 | -0,447 | 0,773 | -0,450 |
36 | 0,835 | 0 | -0,550 |
37 | 0,380 | -0,658 | -0,650 |
38 | -0,661 | 0 | -0,750 |
39 | 0,263 | 0,456 | -0,850 |
40 | 0,312 | 0 | -0,950 |

- точки измерений на лицевой стороне;

- точки измерений на обратной стороне
Рисунок D.1 - Точки измерений на сферической
измерительной поверхности
(обязательное)
ТОЧКИ ИЗМЕРЕНИЙ НА ПОЛУСФЕРИЧЕСКОЙ
ИЗМЕРИТЕЛЬНОЙ ПОВЕРХНОСТИ
Относительные координаты (
x/r,
y/r,
z/r) сорока точек измерений, которым соответствуют участки равной площади на полусферической измерительной поверхности радиуса
r, для измерений в свободном звуковом поле над звукоотражающей плоскостью приведены в таблице E.1 (см.
[29]). На
рисунке E.1 показано расположение на измерительной поверхности точек с номерами от 1 до 20. Центр системы координат находится в проекции акустического центра испытуемого источника шума на звукоотражающую плоскость (
z = 0). На
рисунке E.2 и в
таблице E.2 приведены альтернативные точки измерений, которые можно использовать при испытаниях широкополосного источника шума.
Таблица E.1
Точки измерений на полусферической измерительной поверхности
(общий случай)
Номер точки | x/r | y/r | z/r |
1 | -1,000 | 0,000 | 0,025 |
2 | 0,499 | -0,864 | 0,075 |
3 | 0,496 | 0,859 | 0,125 |
4 | -0,492 | 0,853 | 0,175 |
5 | -0,487 | -0,844 | 0,225 |
6 | 0,961 | 0,000 | 0,275 |
7 | 0,000 | 0,947 | 0,325 |
8 | -0,803 | -0,464 | 0,375 |
9 | 0,784 | -0,453 | 0,425 |
10 | 0,762 | 0,440 | 0,475 |
11 | -0,737 | 0,426 | 0,525 |
12 | 0,000 | -0,818 | 0,575 |
13 | 0,781 | 0,000 | 0,625 |
14 | -0,369 | 0,639 | 0,675 |
15 | -0,344 | -0,596 | 0,725 |
16 | 0,316 | -0,547 | 0,775 |
17 | 0,283 | 0,489 | 0,825 |
18 | -0,484 | 0,000 | 0,875 |
19 | 0,000 | -0,380 | 0,925 |
20 | 0,192 | 0,111 | 0,975 |
21 | 1,000 | 0,000 | 0,025 |
22 | -0,499 | 0,864 | 0,075 |
23 | -0,496 | -0,859 | 0,125 |
24 | 0,492 | -0,853 | 0,175 |
25 | 0,487 | 0,844 | 0,225 |
26 | -0,961 | 0,000 | 0,275 |
27 | 0,000 | -0,947 | 0,325 |
28 | 0,803 | 0,464 | 0,375 |
29 | -0,784 | 0,453 | 0,425 |
30 | -0,762 | -0,440 | 0,475 |
31 | 0,737 | -0,426 | 0,525 |
32 | 0,000 | 0,818 | 0,575 |
33 | -0,781 | 0,000 | 0,625 |
34 | 0,369 | -0,639 | 0,675 |
35 | 0,344 | 0,596 | 0,725 |
36 | -0,316 | 0,547 | 0,775 |
37 | -0,283 | -0,489 | 0,825 |
38 | 0,484 | 0,000 | 0,875 |
39 | 0,000 | 0,380 | 0,925 |
40 | -0,192 | -0,111 | 0,975 |

- точки измерений на лицевой стороне;

- точки измерений на обратной стороне
Рисунок E.1 - Точки измерений на полусферической
измерительной поверхности (общий случай)
Таблица E.2
Точки измерений на полусферической измерительной поверхности
в случае источника широкополосного шума
Номер точки | x/r | y/r | z/r |
1 | -1,000 | 0,000 | 0,025 |
2 | 0,499 | -0,864 | 0,075 |
3 | 0,496 | 0,859 | 0,125 |
4 | -0,492 | 0,853 | 0,175 |
5 | -0,487 | -0,844 | 0,225 |
6 | 0,961 | 0,000 | 0,275 |
7 | 0,474 | 0,820 | 0,325 |
8 | -0,927 | 0,000 | 0,375 |
9 | 0,453 | -0,784 | 0,425 |
10 | 0,880 | 0,000 | 0,475 |
11 | -0,426 | 0,737 | 0,525 |
12 | -0,409 | -0,709 | 0,575 |
13 | 0,390 | -0,676 | 0,625 |
14 | 0,369 | 0,639 | 0,675 |
15 | -0,689 | 0,000 | 0,725 |
16 | -0,316 | -0,547 | 0,775 |
17 | 0,565 | 0,000 | 0,825 |
18 | -0,242 | 0,419 | 0,875 |
19 | -0,380 | 0,000 | 0,925 |
20 | 0,111 | -0,192 | 0,975 |
21 | 1,000 | 0,000 | 0,025 |
22 | -0,499 | 0,864 | 0,075 |
23 | -0,496 | -0,859 | 0,125 |
24 | 0,492 | -0,853 | 0,175 |
25 | 0,487 | 0,844 | 0,225 |
26 | -0,961 | 0,000 | 0,275 |
27 | -0,474 | -0,820 | 0,325 |
28 | 0,927 | 0,000 | 0,375 |
29 | -0,453 | 0,784 | 0,425 |
30 | -0,880 | 0,000 | 0,475 |
31 | 0,426 | -0,737 | 0,525 |
32 | 0,409 | 0,709 | 0,575 |
33 | -0,390 | 0,676 | 0,625 |
34 | -0,369 | - 0,639 | 0,675 |
35 | 0,689 | 0,000 | 0,725 |
36 | 0,316 | 0,547 | 0,775 |
37 | -0,565 | 0,000 | 0,825 |
38 | 0,242 | -0,419 | 0,875 |
39 | 0,380 | 0,000 | 0,925 |
40 | -0,111 | 0,192 | 0,975 |

- точки измерений на лицевой стороне;

- точки измерений на обратной стороне
Рисунок E.2 - Точки измерений на полусферической
измерительной поверхности (случай источника
широкополосного шума)
(обязательное)
КОАКСИАЛЬНЫЕ КРУГОВЫЕ ТРАЕКТОРИИ ПЕРЕМЕЩЕНИЯ МИКРОФОНА
ПО ПОЛУСФЕРИЧЕСКОЙ ИЗМЕРИТЕЛЬНОЙ ПОВЕРХНОСТИ
Круговые траектории перемещения микрофона по полусферической измерительной поверхности выбирают таким образом, чтобы площади образуемых ими поясов были равны между собой (см. рисунок F.1).
A - измерительная поверхность;
B - огибающий параллелепипед;
e - высота траектории над звукоотражающей плоскостью;
h - высота (сумма высот) пояса;
r - радиус измерительной поверхности;
z - ось вращения микрофона
Рисунок F.1 - Коаксиальные круговые траектории на полусфере
(обязательное)
МЕРИДИОНАЛЬНЫЕ ТРАЕКТОРИИ ПЕРЕМЕЩЕНИЯ МИКРОФОНА
ПО ПОЛУСФЕРИЧЕСКОЙ ИЗМЕРИТЕЛЬНОЙ ПОВЕРХНОСТИ
Меридиональные траектории показаны на
рисунке G.1, пример механической системы для перемещения микрофона - на
рисунке G.2, пример цепи преобразования сигнала микрофона - на
рисунке G.3.
1 - 8 - меридиональные траектории;
r - радиус измерительной поверхности
Рисунок G.1 - Меридиональные траектории на полусфере
1 - микрофон; 2 - устройство отсчета зенитного угла
(косинусный потенциометр);
3 - источник шума на поворотной платформе
Рисунок G.2 - Пример механической системы перемещения микрофона
по меридиональной траектории
1 - микрофон; 2 - усилитель и анализатор спектра;
3 - квадратичный усилитель; 4 - косинусный потенциометр;
5 - интегратор; 6 - показывающее устройство
Рисунок G.3 - Пример цепи преобразования сигнала микрофона
(обязательное)
ВИНТОВАЯ ТРАЕКТОРИЯ ПЕРЕМЕЩЕНИЯ МИКРОФОНА ПО ПОЛУСФЕРИЧЕСКОЙ
ИЗМЕРИТЕЛЬНОЙ ПОВЕРХНОСТИ
Пример винтовой траектории показан на рисунке H.1.
Рисунок H.1 - Винтовая траектория перемещения микрофона
по полусферической измерительной поверхности
(рекомендуемое)
РУКОВОДСТВО ПО ПРИМЕНЕНИЮ ИНФОРМАЦИИ ДЛЯ РАСЧЕТА
НЕОПРЕДЕЛЕННОСТИ ИЗМЕРЕНИЯ
I.1 Общие положения
Общий формат представления неопределенности измерения установлен ISO/IEC Guide 98-3. Он предполагает составление бюджета неопределенности, в котором идентифицированы основные источники неопределенности и их вклад в суммарную стандартную неопределенность.
При измерении шума машин и оборудования целесообразно разделить все источники неопределенности на две группы:
a) присущие методу измерений;
b) обусловленные нестабильностью излучаемого шума.
В настоящем приложении приведены основанные на современном уровне знаний рекомендации по применению подхода ISO/IEC Guide 98-3 к измерениям, проводимым в соответствии с настоящим стандартом.
I.2 Определение общего стандартного отклонения

Характеристикой неопределенности измерения, проводимого в соответствии с настоящим стандартом, является расширенная неопределенность
U, рассчитываемая по общему стандартному отклонению

[см.
формулу (25)], которое рассматривается как аппроксимация стандартной неопределенности
u(
Lw).
В свою очередь,

определяется двумя разными по своей природе составляющими

и

[см.
формулу (24)].
Оценки

и

предполагаются статистически независимыми и определяемыми по отдельности.
Стандартное отклонение

, характеризующее излучение конкретной машины, не может быть рассчитано теоретически и поэтому определяется экспериментально (см. раздел I.3). Другая составляющая

рассматривается в
I.4.
I.3 Определение стандартного отклонения

Стандартное отклонение

, дБ, (см.
10.2) рассчитывают по формуле:

, (I.1)
где | Lp,j | - | корректированный на фоновый шум уровень звукового давления в j повторном измерении в заданной точке при заданных условиях установки и работы источника шума, дБ; |
| Lpav | - | среднее арифметическое Lp,j по всем повторным измерениям. |
Измерения для определения

выполняют в точке измерений, где уровень звукового давления максимален. Если используют усреднение по всем точкам измерений, то в
формуле (I.1) Lp,j и
Lpav заменяют на

и

соответственно.
В общем случае условия установки и работы машины при измерениях ее шумовой характеристики определяются испытательным кодом по шуму. При его отсутствии эти условия должны быть точно определены до проведения испытаний и зафиксированы в протоколе испытаний. Ниже приводятся некоторые рекомендации по определению таких условий и их возможному влиянию на

.
Условия работы при испытаниях должны соответствовать нормальному применению машины согласно рекомендациям изготовителя и практике пользователя. Однако даже при заданных нормальных условиях работы машины возможны некоторые вариации в режимах работы, обрабатываемом, потребляемом или производимом материале, между различными циклами работы машины и пр. Стандартное отклонение

характеризует неопределенность, связанную как с изменчивостью долговременных условий работы (например, день ото дня), так и изменения излучаемого шума после повторной установки и пуска машины.
Если машину в любых условиях ее применения устанавливают либо на пружинах, либо на тяжелый бетонный пол, то условия установки будут мало влиять на результаты измерений. Однако если при испытаниях машину устанавливают на твердый массивный пол, а в условиях эксплуатации используют другую опору, то шум, создаваемый машиной, может различаться весьма сильно. Составляющая неопределенности, обусловленная установкой машины, будет наибольшей, если машина соединена со вспомогательным оборудованием. Также эта неопределенность будет велика в случае ручных машин. Необходимо исследовать, как перемещения машины или ее крепления влияют на ее шум. Если необходимо заявить шумовую характеристику машины для разных способов ее установки и крепления, то

оценивают по результатам измерений при всех возможных способах установки. Если влияние условий установки машины на ее шум известно, то в испытательном коде по шуму или в методике, применяемой пользователем, должен быть определен рекомендуемый способ установки машины при испытаниях.
| | ИС МЕГАНОРМ: примечание. В официальном тексте документа, видимо, допущена опечатка: формула (33) в тексте документа отсутствует. | |
С точки зрения важности вклада тех или иных источников неопределенности в

, исследования для определения

имеют большее значение, чем для определения

[см. формулу (33)]. Это объясняется тем, что

может принимать существенно большие значения, чем, например, стандартное отклонение

, которое для точного метода измерений, как это следует из
таблиц 2 и
3, не превышает 0,5 дБ.
Если

, то измерения с высокой точностью (т.е. с малым

) теряют практический смысл, поскольку это неспособно привести к существенному снижению

. Примеры возможных соотношений между

и

приведены в таблице I.1.
Таблица I.1
Примеры расчета

для разных соотношений
между

и

Стандартное отклонение воспроизводимости метода  , дБ | Общее стандартное отклонение  , дБ, для разных условий установки и работы машины, характеризующихся разными значениями  , дБ |
Стабильные | Нестабильные | Очень нестабильные |
 , дБ |
0,3 | 2 | 4 |
0,5 (точный метод) | 0,6 | 2,1 | 4,0 |
Из этих примеров видно, что при нестабильных условиях установки и работы испытуемой машины излишне пытаться обеспечить условия точного метода измерений.
Кроме того, в ситуации, когда

, у пользователя стандарта возможно формирование неправильного представления об общей неопределенности измерения, если он ориентируется на класс точности измерений, который в настоящем стандарте определяется только значением

.
I.4 Определение стандартного отклонения

I.4.1 Общие положения
Оценки

сверху приведены в
таблицах 2 и
3. Кроме того, в
10.3 приведены рекомендации по проведению исследований для получения более реалистичных оценок

для отдельных машин или семейств машин. Такие исследования включают в себя либо выполнение измерений в условиях воспроизводимости согласно ISO 5725, либо расчеты на основании математической модели измерения [см.
формулу (27)], требующие привлечения дополнительной информации.
Если некоторые источники неопределенности несущественны для конкретных измерительных задач или трудны для исследования, то в испытательном коде по шуму приводят значение

, полученное либо в результате межлабораторного эксперимента, либо рассчитанное аналитически на основе модели, которое не учитывает вариативность этих источников.
Расчет на основе бюджета неопределенности предполагает статистическую независимость отдельных источников неопределенности и, главное, наличие уравнений измерения, используя которые можно оценить вклад этих источников по результатам соответствующих измерений или на основе накопленного практического опыта. В настоящее время, однако, объема накопленной экспериментальной информации, которая могла бы быть использована в целях настоящего стандарта, недостаточно. Тем не менее ниже приводятся данные, которые нельзя рассматривать как окончательные, но которые могут быть использованы для приближенной оценки вкладов отдельных составляющих неопределенности.
I.4.2 Вклад разных источников в

I.4.2.1 Общие положения
Предварительные исследования показали, что измеряемый в соответствии с настоящим стандартом уровень звуковой мощности LW, дБ, может быть представлен следующей зависимостью от влияющих факторов (входных величин)

, (I.2)
где | | - | средний по измерительной поверхности уровень звукового давления при работе испытуемого источника шума, дБ; |
| S | - | площадь измерительной поверхности, м2; S0 = 1 м2; |
| K1 | - | коррекция на фоновый шум, дБ; |
| C1 | - | поправка (см. 9.4.4.1), учитывающая разность опорных значений для определения уровней звукового давления и звуковой мощности и зависящая от характеристического импеданса воздуха в камере во время испытаний, дБ; |
| C2 | - | поправка на импеданс излучения (см. 9.4.4.1), использования для приведения к нормальным атмосферным условиям, дБ. Эта величина должна быть определена в соответствующем испытательном коде по шуму. Если такой документ отсутствует, то используют формулу, полученную для источника шума в виде монополя и рассматриваемую как среднее для источников другого вида (см. [25], [27]); |
| C3 | - | поправка на звукопоглощение в воздухе на заданных частотах, дБ (см. [28]); |
| | - | входная величина, описывающая отклонение затухания звука в испытательном пространстве от теоретической обратно квадратичной зависимости, дБ; |
| | - | входная величина, описывающая влияние применяемых средств измерений, дБ; |
| | - | входная величина, описывающая влияние конечного числа точек измерений на измерительной поверхности, дБ; |
| | - | входная величина, учитывающая разность направления излучения источника шума и нормали к измерительной поверхности, дБ; |
| | - | входная величина, описывающая влияние применяемого метода измерений, дБ; |
| | - | входная величина, описывающая влияние условий установки и работы машины, дБ (эта величина не включена в расчеты  ). |
Примечание 1 - Если измеряемой величиной является уровень звуковой энергии, то для нее модель измерения будет иметь вид, аналогичный
(I.2).
Примечание 2 - Входные величины, включенные в
формулу (I.2), отражают современное представление о факторах, способных оказать влияние на результат измерения уровня звуковой мощности при испытаниях в соответствии с настоящим стандартом. Дальнейшие исследования могут показать необходимость модификации этой модели.
Каждой входной величине должно быть приписано соответствующее распределение вероятностей (нормальное, прямоугольное, Стьюдента и т.п.). Лучшей оценкой входной величины будет ее математическое ожидание. Стандартное отклонение распределения входной величины характеризует разброс ее возможных значений и принимается за ее стандартную неопределенность.
Составляющая неопределенности, связанная с условиями установки и работы источника шума, уже учтена в

. Остальные входные величины в совокупности характеризуются стандартным отклонением

.
Информация об ожидаемых значениях стандартных неопределенностей входных величин
ui и соответствующих им коэффициентов чувствительности
ci, необходимых для расчета

, дБ,

, приведена в таблице I.2.
Таблица I.2
Бюджет неопределенности для расчета

Входная величина | Оценка входной величины, дБ | Стандартное отклонение <a> ui, дБ | Вид распределения | Коэффициент чувствительности <a> сi |
| | | Нормальное | |
S | | | Прямоугольное | 8,7/r |
K1 | | | Нормальное | |
C1 | | 0 | Треугольное | 1 |
C2 | | 0,2 | Треугольное | 1 |
C3 | | От 0,1 C3 до 0,3 C3 | Прямоугольное | 1 |
| | K2/4 | Нормальное | 1 |
| 0 | 0,3 | Нормальное | 1 |
| 0 | | Нормальное | 1 |
| 0 | | Прямоугольное | 1 |
| 0 | 0 | Нормальное | 1 |
| | ИС МЕГАНОРМ: примечание. В официальном тексте документа, видимо, допущена опечатка: пункты I.4.3.2 - I.4.3.12 в тексте документа отсутствуют. Возможно, имеются в виду пункты I.4.2.2 - I.4.2.12. | |
|
<b> Оценка, полученная в результате измерения данной входной величины. |
Примечание 3 - В каждом конкретном случае необходимо проверять, насколько числовые значения, полученные в примерах настоящего приложения, могут характеризовать данный испытуемый источник шума, например, машины определенного вида. Для ряда таких источников неопределенность измерения может быть меньше той, что получена в примерах. Это особенно важно, если измеренный уровень звуковой мощности или звуковой энергии необходимо сравнивать с предельным допустимым значением. Так, составляющая неопределенности, описываемая

, может быть уменьшена, если измерения выполняют в соответствии с испытательным кодом, устанавливающим точную форму измерительной поверхности и измерительного радиуса в зависимости от размеров источника.
Расчет

выполняется в предположении, что все входные величины некоррелированны.
Для некоторых входных величин соответствующие стандартные неопределенности должны быть получены в результате дополнительных исследований.
Примеры информации, необходимой для расчета суммарной стандартной неопределенности при прямом методе измерений, приведены в
таблице I.2, а также в I.4.2.2 -
I.4.2.10. Расчеты по формулам в этих примерах показывают ожидаемый диапазон значений неопределенности измерения.
I.4.2.2 Повторяемость результатов измерений уровня звукового давления

Источники неопределенности, вызывающие изменение показаний при испытаниях в условиях повторяемости, характеризуются разбросом результатов последовательных измерений уровня звукового давления. Соответствующая стандартная неопределенность

, дБ, может быть выражена через выборочное стандартное отклонение

, дБ, результатов этих измерений, выполненных шесть раз в одной точке измерений.
Выполнение повторных измерений в условиях повторяемости означает, что они должны быть проведены за короткий промежуток времени в одном месте с использованием одного и того же метода измерений, включая средства измерений, одним и тем же оператором. При каждом повторном измерении включение и настройку средств измерений выполняют заново.
Коэффициент чувствительности

представляет собой производную функции измерения
LW по

[см.
формулу (I.2)] и зависит от уровня фонового шума. После подстановки в
формулу (I.2) выражения для
K1 по
формуле (11) производная может быть рассчитана по формуле

.
Эта формула может быть упрощена до вида

(см.
I.4.2.4), и для наихудшего случая, когда уровень шума совпадает с предельно допустимым значением (см.
I.4.2.4), коэффициент чувствительности принимает значение

. Обычно при достаточно большой продолжительности измерений
T неопределенность в условиях повторяемости невелика и соответствующая стандартная неопределенность

не превосходит 0,1 дБ. Тогда вклад данной составляющей неопределенности не будет превышать 0,1 дБ. Если, однако, продолжительность измерений
T будет настолько мала, что не позволит охватить достаточное число циклов работы машины, то суммарная стандартная неопределенность может стать недопустимо большой для точного метода измерений. Влияние данного источника неопределенности может быть уменьшено за счет увеличения продолжительности измерений так, чтобы она охватывала целое число циклов. Особенно важен контроль фонового шума в случае малошумных источников, для которых за счет уменьшения фонового шума и соответствующего уменьшения коэффициента чувствительности

можно добиться снижения вклада

данного источника неопределенности вдвое.
I.4.2.3 Измерительная поверхность (S)
В настоящем примере рассматривается стандартная неопределенность
usurf, обусловленная измерительным радиусом
r. Неопределенность размеров измерительной поверхности зависит от неточной информации об измерительном радиусе, значение которого, как предполагается, находится в интервале

. Соответствующей случайной величине может быть приписано прямоугольное распределение на этом интервале со стандартным отклонением

.
Коэффициент чувствительности
usurf вычисляется как производная
LW по
r, что после подстановки

дает
csurf = 8,7/
r.
В наихудшем варианте можно предположить, что

составляет 7% значения
r. Ему соответствует вклад
csurf usurf в суммарную стандартную неопределенность, равный 0,4 дБ. Более тщательные измерения расстояний при построении измерительной поверхности позволяют уменьшить влияние данного фактора, который в большинстве случаев не будет превышать 0,1 дБ.
I.4.2.4 Коррекция на фоновый шум (
K1)
Стандартная неопределенность
u(
K1), дБ, обусловленная коррекцией на фоновый шум
K1, может быть выражена через выборочное стандартное отклонение

по серии повторных измерений фонового шума в одной точке измерений на измерительной поверхности.
Коэффициент чувствительности
c(
K1) получают, взяв производную функции измерения
LW по

что после подстановки в
формулу (I.2) выражения для
K1 по
формуле (11) дает формулу:

.
Эту формулу можно представить также в виде

(если вместо

использовать значение

с внесенной коррекцией на фоновый шум).
В настоящем примере предполагается, что стандартное отклонение

. В наихудшем случае при максимально допустимом фоновом шуме

, что даст значение коэффициента чувствительности
c(
K1) = 0,1 и вклад
c(
K1)
u(
K1) в суммарную стандартную неопределенность, равный 0,3 дБ. Однако обычно громкость испытуемого источника шума значительно превышает громкость фона, и более типичными значениями для
c(
K1)
u(
K1) будут 0,01 дБ и менее. Стандартная неопределенность
u(
K1) может быть уменьшена за счет уменьшения флуктуаций фонового шума. Коэффициент чувствительности
c(
K1) может быть уменьшен за счет снижения уровня фонового шума. Отношение уровня звукового давления фонового шума к уровню звукового давления шума испытуемого источника уменьшается на 3 дБ при уменьшении площади измерительной поверхности вдвое. Кроме того, можно ожидать, что
u(
K1) снизится примерно вдвое, если вчетверо увеличить продолжительность измерений
T.
I.4.2.5 Поправки на атмосферные условия (C1, C2, C3)
Неопределенность поправки
C1 считается несущественной, т.е.
u(
C1) = 0 дБ. Эта поправка является слагаемым в уравнении измерения
(I.2), поэтому
c(
C1) = 1. Общий вклад данной составляющей неопределенности будет 0 дБ.
Стандартная неопределенность
u(
C2), связанная с поправкой на импеданс излучения [см.
формулы (14),
(15) и
(19) или
(20)], может быть принята равной 0,2 дБ. Эта поправка является слагаемым в уравнении измерения
(I.2), поэтому
c(
C2) = 1. Общий вклад данной составляющей неопределенности будет 0,2 дБ. Вклад может быть уменьшен, если измерения проводить в нормальных атмосферных условиях при абсолютном давлении 101,325 кПа (т.е. над уровнем моря) и температуре 23 °C. Более точное значение поправки может быть указано в соответствующем испытательном коде по шуму или изготовителем испытуемого источника шума.
Вклад в неопределенность измерения уровня звуковой мощности, обусловленный звукопоглощением в воздухе, можно принять равным
c(
C3)
u(
C3) = 0,1
C3 при условии, что коэффициент затухания

определен по ISO 9613-1, и
c(
C3)
u(
C3) = 0,3
C3, если для него использовано приближенное значение (см.
примечание 2 к 9.4.4.1). Обычно данной составляющей неопределенности можно пренебречь на частоте 1000 Гц при радиусе измерительной поверхности 2 м, но она возрастает до 0,5 дБ на частоте 10 000 Гц при измерительном радиусе 8 м. Указанные результаты были получены на основе использования приближенной формулы

, где

. Обусловленная ею стандартная неопределенность

(в предположении прямоугольного распределения значений

), коэффициент чувствительности

, а неопределенности измерения
f и
r считаются пренебрежимо малыми.
I.4.2.6 Неидеальность испытательного пространства

Стандартная неопределенность
uenv, обусловленная отражениями звука в камере, аттестованной в соответствии с
приложением A, и зависящими от этих отражений отклонений затухания звука от теоретической зависимости, может быть рассчитана по приближенной формуле:

,
где | NM | - | число точек измерений;  - средняя верхняя граница отклонений измеренных уровней звукового давления от теоретических (в таблице A.2 указаны максимально допустимые отклонения), дБ; r - радиус измерительной поверхности, rmax - максимальное расстояние, используемое при получении оценки  . |
Данная составляющая неопределенности может быть аппроксимирована коррекцией на свойства испытательного пространства
K2 по
[6]. В случае аттестации испытательного помещения методом с использованием двух измерительных поверхностей (см.
приложение B) коррекцию
K2 можно приближенно определить по формуле

. Для камер очень большого размера, не содержащих значительного количества звукопоглощающих материалов, коррекция
K2 может быть определена по формуле
K2 = 10lg[1 + 4(
S/
A)] (см
[6]), где
A - эквивалентная площадь звукопоглощения в камере, м
2.
Входная величина

является слагаемым в уравнении измерения
(I.2), поэтому
cenv = 1. В наихудшем случае стандартная неопределенность для данной входной величины
uenv = 0,4 дБ и вклад
cenvuenv данной составляющей неопределенности в суммарную стандартную неопределенность также равен 0,4 дБ. Для более типичной ситуации измерений в полузаглушенной камере на средних частотах с измерительным радиусом 0,7
rmax этот вклад равен 0,1 дБ. Уменьшить влияние данной составляющей неопределенности можно за счет уменьшения измерительного расстояния или увеличения числа точек измерений.
I.4.2.7 Инструментальная неопределенность

При измерениях звуковой мощности с использованием шумомеров класса 1 по IEC 61672-1:2002 стандартная неопределенность uSlm, обусловленная применяемым средством измерений, равна 0,5 дБ. Инструментальная неопределенность дает непосредственный вклад в неопределенность измеряемой величины, поэтому соответствующий коэффициент чувствительности cSlm равен единице, и вклад данного источника неопределенности в суммарную стандартную неопределенность равен 0,5 дБ. Однако опыт выполнения измерений в заглушенных камерах показывает, что значение этой величины ближе к 0,3 дБ. Факторы, влияющие на инструментальную неопределенность при применении шумомеров, подробно рассматриваются в МЭК 61672-1.
I.4.2.8 Конечность числа точек измерений

Стандартную неопределенность umic, обусловленную конечным числом точек измерений на измерительной поверхности, можно оценить, используя формулу:

,
где | Vl | - | показатель неравномерности уровня звукового давления (см. 3.24); |
| NM | - | число точек измерений на измерительной поверхности. |
Коэффициент чувствительности cmic для данного фактора, дающего непосредственный вклад в неопределенность измеряемой величины, равен единице. Как наихудший случай можно рассматривать ситуацию, когда при 20 точках измерений разброс измеренных в них уровней звукового давления равен 10 дБ, что соответствует umic = 1,1 дБ. С учетом того, что в заглушенных камерах обычно испытывают источники шума малых размеров, более типичен вклад данной составляющей неопределенности 0,25 дБ. Этот вклад можно уменьшить за счет увеличения измерительного расстояния или числа точек измерений.
I.4.2.9 Отклонение угла падения звуковой волны от нормали к измерительной поверхности

Стандартную неопределенность, обусловленную углом падения звуковой волны от испытуемого источника шума, обозначают
uangle. Использование в настоящем стандарте измерений звукового давления для аппроксимации интенсивности звука ведет к завышенным оценкам уровня звуковой мощности. Если измерительная поверхность полусферическая, то смещение оценки может лежать в диапазоне от нуля до

, дБ (
d0 - характеристический размер испытуемого источника шума, м), в зависимости от угла падения звуковой волны и импеданса среды (т.е. от интенсивности звука, создаваемого испытуемым источником и когерентности звуковых волн, распространяющихся от разных частей этого источника). Максимально завышенная оценка уровня звуковой мощности получается в случае, когда звук распространяется из точечного источника (источников), расположенного вблизи его верхнего угла (углов). Для полусферической измерительной поверхности в свободном звуковом поле над звукоотражающей плоскостью стандартную неопределенность
uangle, дБ, можно рассчитать по формуле:

.
При измерениях в полосах частот следует учитывать зависимость uangle от направленности микрофона. В частности, вышеприведенной формулой можно пользоваться при измерениях полудюймовым микрофоном на частотах ниже 4000 Гц. На более высоких частотах значение uangle постепенно уменьшается, а максимум диаграммы направленности микрофона сосредоточен в диапазоне +/- 30° подобно акустическому зонду в интенсиметрических измерениях. На частоте 10 000 Гц uangle = 0 дБ. Чем выше частота, тем важнее соблюдать требование о направленности микрофона точно на испытуемый источник шума, чтобы оценка уровня звука не оказалась заниженной.
Согласно
[6] коэффициент чувствительности
cangle является функцией коррекции на свойства испытательного пространства
K2 и его можно считать приблизительно равным единице при
K2 < 0,5 дБ (см.
I.4.2.6). Как следует из
8.1, минимальное значение измерительного радиуса
r равно 2
d0, поэтому в наихудшем случае u
angle = 0,26 дБ. Как правило, используемое в измерениях значение
r больше минимального, поэтому типичный вклад
cangleuangle данной составляющей неопределенности равен 0,1 дБ. Уменьшить этот вклад можно за счет увеличения измерительного радиуса или введения поправки на систематическое смещение, связанное с углом падения звуковой волны на измерительную поверхность. Значение этой поправки будет разным для разных источников шума и должно быть указано в испытательном коде по шуму.
I.4.2.10 Метод измерения

Условия свободного звукового поля являются базовыми для акустических измерений, поэтому значение стандартной неопределенности umethod и вклада cmethodumethod принимают равными 0 дБ.
I.4.2.11 Типичные значения

С учетом изложенного в
I.4.2.2 -
I.4.2.10 и
формулы (I.2), а также используя предположение о незначительности корреляции между входными величинами, можно получить оценку типичного значения

, дБ по формуле:

.
I.4.2.12 Измерения в полосах частот
Ряд факторов вносит систематическую погрешность в результат измерения, одинаковую как в полосах частот, так и в широкой полосе частот при измерениях с коррекцией по частотной характеристике
A. К входным величинам, описывающим такие факторы, относятся, например, измерительный радиус (
usurf) или угол падения волны на измерительную поверхность (
uangle). Некоторые входные величины из приведенных в
таблице I.1 зачастую коррелированны между собой. К таким относятся, например,
c2 и

.
При условии, что результаты измерений в полосах частот некоррелированны, неопределенность измерения в широкой полосе частот с коррекцией по частотной характеристике
A будет меньше неопределенности измерения в полосах частот. Так, при измерениях в широкой полосе за счет эффекта суммирования по отдельным полосам уменьшается неопределенность, обусловленная ограниченностью продолжительности измерений и ограниченностью полосы частот (конечностью базы сигнала). Уменьшаются также вклады, обусловленные входными величинами

,
K1,

и

.
Коэффициент чувствительности cband, обусловленный неопределенностью измерения в отдельной полосе частот uband, рассчитывают по формуле:

,
где | Lband | - | результат измерения в соответствующей полосе частот, дБ; |
| LA | - | результат измерения в широкой полосе частот с коррекцией по частотной характеристике A. |
Тогда суммарную стандартную неопределенность для измерения в широкой полосе частот uA можно представить в виде:

.
Сравнивая стандартные неопределенности, полученные при измерениях в широкой полосе частот и в полосах частот, можно обнаружить наличие или отсутствие корреляции. Например, если предположить, что в
таблице 2 приведенные в последнем столбце стандартные отклонения воспроизводимости

характеризуют неопределенности измерения в третьоктавных полосах частот широкополосного сигнала с плоским спектром в диапазоне от 100 Гц до 10 кГц, то при отсутствии корреляции между результатами измерений в полосах частот значение

, характеризующее неопределенность измерения широкополосного сигнала (последняя строка таблицы), будет 0,27 дБ. Это на 0,23 дБ меньше значения, указанного в
таблице 2 и полученного в предположении, что в каждой третьоктавной полосе частот малая часть

, равная 0,4 дБ, обусловлена факторами, создающими указанную корреляцию.
I.5 Суммарная стандартная неопределенность
В случае незначительной корреляции между входными величинами суммарную стандартную неопределенность u(LW), дБ, для уровня звуковой мощности LW, дБ, рассчитывают по формуле:

. (I.3)
I.6 Использование результатов измерений в условиях воспроизводимости
При отсутствии информации о составляющих неопределенности и возможных корреляциях между входными величинами в качестве суммарной стандартной неопределенности
u(
LW) может быть использовано стандартное отклонение воспроизводимости (см.
раздел 10). Для получения расширенной неопределенности
U выбирают значение коэффициента охвата
k. По умолчанию интервал охвата определяют для вероятности охвата 95%. Тогда в предположении нормального распределения случайной величины, ассоциированной с измеряемой величиной
LW,
k = 2. Чтобы избежать неправильного толкования, вместе с расширенной неопределенностью в протоколе испытаний следует указывать примененное значение вероятности охвата.
I.7 Пример бюджета неопределенности при калибровке образцового источника шума
I.7.1 Общие положения
Предполагается, что значения неопределенностей измерений, приведенные в настоящем разделе, применимы к измерениям в полосах частот со среднегеометрическими частотами от 500 до 4000 Гц и к измерениям в широкой полосе частот с коррекцией по частотной характеристике A.
I.7.2 Вклад источников неопределенности в

Установка образцового источника шума на твердый ровный пол в испытательном пространстве, свободном от посторонних предметов, позволяет свести неопределенность, обусловленную условиями установки, до пренебрежимо малых значений. После внесения определенных изготовителем поправок на рабочие условия (температура, давление, частота вращения) можно принять

.
I.7.3 Вклад источников неопределенности в

Ниже приведен вклад разных источников (см.
I.4.2.2 -
I.4.2.10) в

с соответствующими пояснениями:
-

. Стабильность работы образцового источника шума и близкие к идеальным условия испытательного пространства обеспечивают малое значение данной составляющей неопределенности;
- csurfusurf = 0,05 дБ. Обычно измерительный радиус выбирают равным 2 м, а точки измерений располагают с точностью +/- 20 мм, что дает значения usurf = 0,012 м и csurf = 4,35 дБ/м;
- c(K1)u(K1) = 0,00 дБ. Корректированный по A уровень звуковой мощности образцового источника шума равен 90 дБ, что много выше возможного уровня фонового шума. Это делает значение коэффициента чувствительности c(K1) и соответственно весь вклад данной составляющей неопределенности пренебрежимо малыми;
- c(C1)u(C1) = 0 дБ. Неопределенностями, обусловленными опорными значениями, можно пренебречь;
- c(C2)u(C2) = 0 дБ. Неопределенности, обусловленные атмосферными условиями, компенсируются установленными изготовителем поправками на рабочие условия калибровки. В измерениях, проводимых в соответствии с настоящим стандартом, поправку на атмосферные условия не вносят, поэтому вклад данной составляющей неопределенности равен нулю;
- c(C3)u(C3) = 0 дБ. Неопределенности, обусловленные поглощением звука в воздухе, после внесенных поправок считают пренебрежимо малыми;
- cenvuenv = 0,09 дБ. Максимальный измерительный радиус rmax для признанной пригодной к измерениям области испытательного пространства можно принять равным 3 м, а типичное значение a = 1,5 дБ, что дает значения uenv = 0,09 дБ и cenvuenv = 0,09 дБ;
- cSlmuSlm = 0,25 дБ. При калибровке образцового источника шума условия испытательного пространства и условия измерений максимально приближены к идеальным. Метрологические лаборатории, проводящие калибровку, пользуются одинаковым по своим свойствам оборудованием и одинаковыми методиками измерений. Это уменьшает разброс значений, обусловленный применяемым шумомером. Факторы, влияющие на инструментальную неопределенность при применении шумомеров, подробно рассматриваются в IEC 61672-1;
- cmicumic = 0,08 дБ. Вследствие нежелательной интерференции звуковых волн от калибруемого образцового источника шума и его отражения в некоторых полосах частот могут наблюдаться спады уровня звукового давления до 10 дБ. Усреднение в широкой полосе частот при определении корректированного по A уровня звуковой мощности сглаживает этот эффект, но стандартное отклонение результатов измерений в 20 точках измерений остается в пределах 1 дБ, что дает umic = 0,22 дБ. Увеличивая число точек измерений до 150, можно уменьшить значение umic до 0,08 дБ. При измерениях с 20 точками и более предполагают, что umic = 0,08 дБ;
- cangleuangle = 0,02 дБ. Радиус измерительной поверхности предполагается равным 2 м, а характеристический размер образцового источника шума - 0,3 м, что дает uangle = 0,02 дБ;
- cmethodumethod = 0 дБ. Измерения в условиях свободного звукового поля считают базовым для акустических измерений.
Используя вышеуказанные значения и предполагая незначительность корреляции между входными величинами, получаем стандартное отклонение воспроизводимости

, дБ:

.
I.7.4 Суммарная стандартная неопределенность
Суммарную стандартную неопределенность при измерении корректированного по
A уровня звуковой мощности
u(
LW), дБ, для образцового источника шума рассчитывают по
формуле (I.3), что дает в случае незначительной корреляции между входными величинами суммарную стандартную неопределенность для уровня звуковой мощности
LW, дБ:

.
Расширенная неопределенность равна удвоенной стандартной неопределенности, т.е. 0,60 дБ для вероятности охвата 95% в предположении, что неопределенность измерения характеризуется нормальным распределением вероятностей.
(справочное)
СВЕДЕНИЯ О СООТВЕТСТВИИ МЕЖГОСУДАРСТВЕННЫХ СТАНДАРТОВ
ССЫЛОЧНЫМ МЕЖДУНАРОДНЫМ СТАНДАРТАМ
Таблица ДА.1
Обозначение и наименование международного стандарта | Степень соответствия | Обозначение и наименование межгосударственного стандарта |
ISO 5725 (все части) Точность (правильность и прецизионность) методов и результатов измерений | - | |
ISO 9613-1:1993 Шум. Затухание звука при распространении на местности. Часть 1. Расчет поглощения звука атмосферой | MOD | ГОСТ 31295.1-2005 (ИСО 9613-1:1993) Шум. Затухание звука при распространении на местности. Часть 1. Расчет поглощения звука атмосферой |
ISO 12001 Акустика. Шум машин. Правила разработки и представления тест-кодов | - | |
ISO/IEC Guide 98-3 Неопределенность измерения. Часть 3. Руководство по выражению неопределенности измерения | - | |
IEC 60942:2003 Электроакустика. Калибраторы акустические. Технические требования и требования к испытаниям | - | |
IEC 61183 Электроакустика. Калибровка шумомеров в диффузном звуковом поле | - | |
IEC 61260:1995 Электроакустика. Фильтры полосовые октавные и на доли октавы. Технические требования и методы испытаний | - | |
IEC 61672-1:2002 | MOD | ГОСТ 17187-2010 (IEC 61072-1:2002) Шумомеры. Часть 1. Технические требования |
<*> Соответствующий межгосударственный стандарт отсутствует. До его утверждения рекомендуется использовать перевод данного международного стандарта на русский язык. Примечание - В настоящей таблице использовано следующее условное обозначение степени соответствия стандартов: - MOD - модифицированные стандарты. |
--------------------------------
<1> В Российской Федерации действуют
ГОСТ Р ИСО 5725-1-2002 "Точность (правильность и прецизионность) методов и результатов измерений. Часть 1. Основные положения и определения";
ГОСТ Р ИСО 5725-2-2002 "Точность (правильность и прецизионность) методов и результатов измерений. Часть 2. Основной метод определения повторяемости и воспроизводимости стандартного метода измерений";
ГОСТ Р ИСО 5725-3-2002 "Точность (правильность и прецизионность) методов и результатов измерений. Часть 3. Промежуточные показатели прецизионности стандартного метода измерений";
ГОСТ Р ИСО 5725-4-2002 "Точность (правильность и прецизионность) методов и результатов измерений. Часть 4. Основные методы определения правильности стандартного метода измерений";
ГОСТ Р ИСО 5725-5-2002 "Точность (правильность и прецизионность) методов и результатов измерений. Часть 5. Альтернативные методы определения правильности стандартного метода измерений";
ГОСТ Р ИСО 5725-6-2002 "Точность (правильность и прецизионность) методов и результатов измерений. Часть 6. Использование значений точности на практике".
<2> В Российской Федерации действует
ГОСТ Р 54500.3-2011/Руководство ИСО МЭК 98-3:2008 "Неопределенность измерения. Часть 3. Руководство по выражению неопределенности измерения".
<3> В Российской Федерации действует
ГОСТ Р МЭК 60942-2009 "Калибраторы акустические. Технические требования и требования к испытаниям".
<4> В Российской Федерации действует ГОСТ Р 8.714-2010 (МЭК 61260:1995) "Государственная система обеспечения единства измерений. Фильтры полосовые октавные и на доли октавы. Технические требования и методы испытаний".
| ISO 140-3, Acoustics - Measurement of sound insulation in buildings and of building elements - Part 3: Laboratory measurements of airborne sound insulation of building elements |
| ISO 3740, Acoustics - Determination of sound power levels of noise sources - Guidelines for the use of basic standards |
| ISO 3741:2010, Acoustics - Determination of sound power levels and sound energy levels of noise sources using sound pressure - Precision methods for reverberation test rooms |
[4] | ISO 3743-1, Acoustics - Determination of sound power levels and sound energy levels of noise sources using sound pressure - Engineering methods for small movable sources reverberant fields - Part 1: Comparison method for a hard-walled test room |
[5] | ISO 3743-2, Acoustics - Determination of sound power levels of noise sources using sound pressure - Engineering methods for small, movable sources reverberant fields - Part 2: Methods for special reverberation test rooms |
| ISO 3744, Acoustics - Determination of sound power levels and sound energy levels of noise sources using sound pressure - Engineering methods for an essentially free field over a reflecting plane |
| ISO 3746, Acoustics - Determination of sound power levels and sound energy levels of noise sources using sound pressure - Survey method using an enveloping measurement surface over a reflecting plane |
| ISO 3747, Acoustics - Determination of sound power levels and sound energy levels of noise sources using sound pressure - Engineering/survey methods for use in situ in a reverberant environment |
| ISO 4871, Acoustics - Declaration and verification of noise emission values of machinery and equipment |
[10] | ISO 6926, Acoustics - Requirements for the performance and calibration of reference sound sources used for the determination of sound power levels |
[11] | ISO 7574-1, Acoustics - Statistical methods for determining and verifying stated noise emission values of machinery and equipment - Part 1: General considerations and definitions |
[12] | ISO 7574-2, Acoustics - Statistical methods for determining and verifying stated noise emission values of machinery and equipment - Part 2: Methods for stated values for individual machines |
[13] | ISO 7574-3, Acoustics - Statistical methods for determining and verifying stated noise emission values of machinery and equipment - Part 3: Simple (transition) method for stated values for batches of machines |
[14] | ISO 7574-4, Acoustics - Statistical methods for determining and verifying stated noise emission values of machinery and equipment - Part 4: Methods for stated values for batches of machines |
| ISO 9614-1, Acoustics - Determination of sound power levels of noise sources using sound intensity - Part 1: Measurement at discrete points |
| ISO 9614-2, Acoustics - Determination of sound power levels of noise sources using sound intensity - Part 2: Measurement by scanning |
[17] | ISO 9614-3, Acoustics - Determination of sound power levels of noise sources using sound intensity - Part 3: Precision method for measurement by scanning |
| ISO 11201, Acoustics - Noise emitted by machinery and equipment - Determination of emission sound pressure levels at a work station and at other specified positions in an essentially free field over a reflecting plane with negligible environmental corrections |
| ISO 11690-1, Acoustics - Recommended practice for the design of low-noise workplaces containing machinery - Part 1: Noise control strategies |
| ISO/TR 25417:2007, Acoustics - Definitions of basic quantities and terms |
[21] | ISO 26101, Acoustics - Test methods for the qualification of free-field environments |
| ISO 80000-8:2007, Quantities and units - Part 8: Acoustics |
| Nobile, M.A., Donald, B., Shaw, J.A. The cylindrical microphone array: A proposal for use in international standards for sound power level measurements. In: Proceedings Noise-Con 2000, Newport Beach, USA, INCE Conference Proceedings, 2000-12-03, 108, pp. 201 - 206 |
[24] | Wittstock, V. On the uncertainty of meteorological corrections in sound power determination. In: Proceedings Inter-Noise 2004, Prague, Czech Republic, INCE Conference Proceedings, 2004-08-22, 207, pp. 1675 - 1680 |
| Davies, R.S. Equation for the determination of the density of moist air. Metrologia 1992, 29, pp. 67 - 70 |
[26] | Cramer, O. The variation of the specific heat ratio and the speed of sound in air with temperature, humidity and CO2 concentration. J. Acoust. Soc.Am. 1993, 93, pp. 2510 - 2516 |
|  , G. Accuracy consideration on the meteorological correction for a normalized sound power level. In: Proceedings Inter-Noise 2000, Nice, France, INCE Conference Proceedings, 2000-08-27, 204, pp. 1907 - 1912 |
| Joppa, P.D., Sutherland, L.C., Zuckerwar, A.J. Representative frequency approach to the effect of bandpass filters on evaluation of sound attenuation by the atmosphere. Noise Control Eng. J. 1996, 44, pp. 261 - 273 |
| Suzuki, H., Nakamura, M., Tichy, J. An accuracy evaluation of the sound power measurement by the use of the sound intensity and the sound pressure methods. Acoust. Sci. Technol. 2007, 28, pp. 319 - 327 |
| Maling, G.C. Jr., Wise, R.E., Nobile, M.A. Qualification of hemi-anechoic rooms for noise emission measurements. In: Proceedings Inter-Noise 1990, Gothenburg, Sweden, INCE Conference Proceedings, 1990-08-13, 223, pp. 685 - 690 |
[31] | Chada, A., Ristroph, E., Winker, D.F. Effect of source directionality on deviations from inverse square law in a hemi-anechoic chamber typically used for product noise emission testing. In: Proceedings Noise-Con 2007, Reno, USA, INCE Conference Proceedings, 2007-10-22, 116, pp. 596 - 606 |
[32] | Beranek, L.L. Acoustics. New York, NY: American Institute of Physics, 1986. 491 p. |
[33] | Bethke, C., Wittstock, V. Technical aspects of the qualification of free-field environments. In: Proceedings NAG/ DAGA 2009, International Conference on Acoustics, Rotterdam, 2009-03-23/26 |
| Cunefare, K.A., Biesel, V.B., Tran, J., Rye, R., Graf, A., Holdhusen, M., Albanese, A.M. Anechoic chamber qualification: traverse method, inverse square law analysis method, and nature of test signal. J. Acoust. Soc. Am. 2003, 113, pp. 881 - 892 |