Главная // Актуальные документы // ГОСТ Р (Государственный стандарт)СПРАВКА
Источник публикации
М.: ФГБУ "Институт стандартизации", 2022
Примечание к документу
Документ
введен в действие с 01.01.2023.
Взамен ГОСТ Р 8.714-2010 (МЭК 61260:1995) в части технических требований.
Название документа
"ГОСТ Р 70024.1-2022. Национальный стандарт Российской Федерации. Государственная система обеспечения единства измерений. Фильтры полосовые октавные и на долю октавы. Часть 1. Технические требования"
(утв. и введен в действие Приказом Росстандарта от 15.11.2022 N 1292-ст)
"ГОСТ Р 70024.1-2022. Национальный стандарт Российской Федерации. Государственная система обеспечения единства измерений. Фильтры полосовые октавные и на долю октавы. Часть 1. Технические требования"
(утв. и введен в действие Приказом Росстандарта от 15.11.2022 N 1292-ст)
Утвержден и введен в действие
агентства по техническому
регулированию и метрологии
от 15 ноября 2022 г. N 1292-ст
НАЦИОНАЛЬНЫЙ СТАНДАРТ РОССИЙСКОЙ ФЕДЕРАЦИИ
ГОСУДАРСТВЕННАЯ СИСТЕМА ОБЕСПЕЧЕНИЯ ЕДИНСТВА ИЗМЕРЕНИЙ
ФИЛЬТРЫ ПОЛОСОВЫЕ ОКТАВНЫЕ И НА ДОЛЮ ОКТАВЫ
ЧАСТЬ 1
ТЕХНИЧЕСКИЕ ТРЕБОВАНИЯ
State system for ensuring the uniformity
of measurements. Octave-band and fractional-octave-band
filters. Part 1. Specifications
(IEC 61260-1:2014, NEQ)
ГОСТ Р 70024.1-2022
Дата введения
1 января 2023 года
1 РАЗРАБОТАН Обществом с ограниченной ответственностью "Производственно-коммерческая фирма Цифровые приборы" (ООО "ПКФ Цифровые приборы")
2 ВНЕСЕН Техническим комитетом по стандартизации ТК 206 "Эталоны и поверочные схемы"
3 УТВЕРЖДЕН И ВВЕДЕН В ДЕЙСТВИЕ
Приказом Федерального агентства по техническому регулированию и метрологии от 15 ноября 2022 г. N 1292-ст
4 В настоящем стандарте учтены основные нормативные положения международного стандарта МЭК 61260-1:2014 "Электроакустика. Фильтры полосовые октавные и на доли октавы - Часть 1. Технические требования" (IEC 61260-1:2014 "Electroacoustics - Octave-band and fractional-octave-band filters - Part 1: Specifications", NEQ)
5 ВЗАМЕН ГОСТ Р 8.714-2010 (МЭК 61260:1995) в части технических требований
Правила применения настоящего стандарта установлены в статье 26 Федерального закона от 29 июня 2015 г. N 162-ФЗ "О стандартизации в Российской Федерации". Информация об изменениях к настоящему стандарту публикуется в ежегодном (по состоянию на 1 января текущего года) информационном указателе "Национальные стандарты", а официальный текст изменений и поправок - в ежемесячном информационном указателе "Национальные стандарты". В случае пересмотра (замены) или отмены настоящего стандарта соответствующее уведомление будет опубликовано в ближайшем выпуске ежемесячного информационного указателя "Национальные стандарты". Соответствующая информация, уведомление и тексты размещаются также в информационной системе общего пользования - на официальном сайте Федерального агентства по техническому регулированию и метрологии в сети Интернет (www.rst.gov.ru)
Настоящий стандарт входит в комплекс стандартов на фильтры полосовые октавные и на долю октавы ГОСТ Р 70024 в качестве его первой части. В
частях 2 и 3 изложены методы испытаний в целях утверждения типа и методика поверки соответственно.
В настоящем стандарте, как и в МЭК 61260-1, для оценки соответствия техническим требованиям используют критерии, которые отличаются от применявшихся ранее в ГОСТ Р 8.714-2010 (МЭК 61260:1995).
ГОСТ Р 8.714-2010 не содержал требований или рекомендаций по учету неопределенности измерений при оценке соответствия требованиям. Это создавало неясность с выявлением соответствия в ситуациях, когда измеренное отклонение от нормативного значения было близко к пределу допуска.
Для того чтобы устранить эту неясность, Технический комитет МЭК ТК 29 на заседании в 1996 г. решил учитывать неопределенность измерений при подтверждении соответствия в разрабатываемых международных стандартах.
В настоящем стандарте соответствие требованиям считается установленным, если измеренные отклонения от нормативов не выходят за пределы допусков и неопределенность измерений не превышает соответствующей максимально разрешенной неопределенности. Пределы допусков в данном стандарте аналогичны конструкционно-производственным допускам, которые были неявно использованы в ГОСТ Р 8.714-2010.
Значения фактической и максимальной разрешенной неопределенности установлены для вероятности охвата 95%. При отсутствии дополнительной информации оценка вклада конкретного фильтра или набора фильтров в общую неопределенность измерений может быть основана на значениях пределов допусков и максимальной разрешенной неопределенности, указанных в настоящем стандарте.
В настоящем стандарте введены новые значения для опорных условий: температура воздуха - 23 °C, относительная влажность - 50%, статическое (атмосферное) давление - 101,325 кПа. Дополнен
раздел 4, в котором указаны диапазоны опорных условий, в пределах которых следует проводить испытания и поверку полосовых фильтров. Это так называемые нормальные условия, близкие к опорным: диапазон температуры воздуха от 20 °C до 26 °C при относительной влажности от 40% до 70% и статическое (атмосферное) давление от 97 до 103 кПа.
Настоящий стандарт не устанавливает новых требований к временным характеристикам фильтров, за исключением требования указывать в эксплуатационной документации время спада фильтров. Поэтому общие технические требования, устанавливаемые МЭК 61260-1:2014 и настоящим стандартом, недостаточны для определения показателей точности измерения нестационарных процессов. Такие показатели точности должны устанавливаться отдельно для каждого типа средства измерения в соответствии с конкретной реализацией фильтров и конкретной методикой измерения. При определении требований к аппаратуре, используемой для измерения нестационарных процессов, целесообразно дополнять условие соответствия настоящему стандарту требованиями к временным характеристикам в зависимости от специфики того или иного приложения.
1.1 Настоящий стандарт устанавливает требования к аналоговым, дискретным и цифровым полосовым фильтрам. Для всех фильтров с заданной полосой пропускания отношение ширины полосы пропускания к точной центральной частоте этой полосы является постоянной величиной. Прибор, удовлетворяющий требованиям настоящего стандарта, может содержать любое число полосовых фильтров, перекрывающих любой желаемый частотный диапазон.
1.2 Настоящий стандарт устанавливает две категории фильтров: класс 1 и класс 2. Требования для фильтров 1-го и 2-го классов различаются пределами допусков и диапазоном рабочих температур. Пределы допусков для фильтров 2-го класса больше или равны пределам допусков для фильтров 1-го класса. Также определены максимальные разрешенные неопределенности измерений.
1.3 Технические требования приведены для расчетных параметров фильтров, в которых октавное отношение и центральные частоты представляют собой степенные функции числа 10.
1.4 Полосовые фильтры, удовлетворяющие требованиям настоящего стандарта, могут быть частью различных измерительных систем или интегральным компонентом отдельного прибора, такого как анализатор спектра.
1.5 Настоящий стандарт определяет диапазоны рабочих условий окружающей среды при эксплуатации фильтров. Требуемый диапазон зависит от того, предназначен ли прибор, содержащий фильтры, для работы в контролируемых внешних условиях, или для работы в полевых условиях.
1.6 Полосовые фильтры, удовлетворяющие требованиям настоящего стандарта, способны выдавать отфильтрованную в частотных полосах спектральную информацию для разнообразных сигналов, например меняющихся во времени, переходных и стационарных, широкополосных и тональных, большой и малой длительности.
При измерениях нестационарных сигналов различные реализации фильтров, удовлетворяющих требованиям настоящего стандарта, могут давать различные результаты.
В настоящем стандарте использованы нормативные ссылки на следующие стандарты:
ГОСТ 30804.4.2 (IEC 61000-4-2:2008) Совместимость технических средств электромагнитная. Устойчивость к электростатическим разрядам. Требования и методы испытаний
ГОСТ 30804.4.3-2013 (IEC 61000-4-3:2006) Совместимость технических средств электромагнитная. Устойчивость к радиочастотному электромагнитному полю. Требования и методы испытаний
ГОСТ 30804.6.1-2013 (IEC 61000-6-1:2005) Совместимость технических средств электромагнитная. Устойчивость к электромагнитным помехам технических средств, применяемых в жилых, коммерческих зонах и производственных зонах с малым энергопотреблением. Требования и методы испытаний
ГОСТ 30804.6.2-2013 (IEC 61000-6-2:2005) Совместимость технических средств электромагнитная. Устойчивость к электромагнитным помехам технических средств, применяемых в промышленных зонах. Требования и методы испытаний
ГОСТ 30805.22-2013 (CISPR 22:2006) Совместимость технических средств электромагнитная. Оборудование информационных технологий. Радиопомехи индустриальные. Нормы и методы измерений
ГОСТ 34100.3/ISO/IEC Guide 98-3:2008 Неопределенность измерения. Часть 3. Руководство по выражению неопределенности измерения
ГОСТ CISPR 16-1-1 Требования к аппаратуре для измерения радиопомех и помехоустойчивости и методы измерения. Часть 1-1. Аппаратура для измерения радиопомех и помехоустойчивости. Измерительная аппаратура
ГОСТ IEC 61000-6-3-2016 Электромагнитная совместимость (ЭМС). Часть 6-3. Общие стандарты. Стандарт электромагнитной эмиссии для жилых, коммерческих и легких промышленных обстановок
ГОСТ Р 53188.1 Государственная система обеспечения единства измерений. Шумомеры. Часть 1. Технические требования
ГОСТ Р 70024.2 Государственная система обеспечения единства измерений. Фильтры полосовые октавные и на долю октавы. Часть 2. Испытания в целях утверждения типа
ГОСТ Р 70024.3 Государственная система обеспечения единства измерений. Фильтры полосовые октавные и на долю октавы. Часть 3. Методика поверки
Примечание - При пользовании настоящим стандартом целесообразно проверить действие ссылочных стандартов в информационной системе общего пользования - на официальном сайте Федерального агентства по техническому регулированию и метрологии в сети Интернет или по ежегодному информационному указателю "Национальные стандарты", который опубликован по состоянию на 1 января текущего года, и по выпускам ежемесячного информационного указателя "Национальные стандарты" за текущий год. Если заменен ссылочный стандарт, на который дана недатированная ссылка, то рекомендуется использовать действующую версию этого стандарта с учетом всех внесенных в данную версию изменений. Если заменен ссылочный стандарт, на который дана датированная ссылка, то рекомендуется использовать версию этого стандарта с указанным выше годом утверждения (принятия). Если после утверждения настоящего стандарта в ссылочный стандарт, на который дана датированная ссылка, внесено изменение, затрагивающее положение, на которое дана ссылка, то это положение рекомендуется применять без учета данного изменения. Если ссылочный стандарт отменен без замены, то положение, в котором дана ссылка на него, рекомендуется применять в части, не затрагивающей эту ссылку.
3.1 полосовой фильтр: Фильтр с единственной полосой пропускания (или полосой пропускания с малым относительным затуханием), которая простирается от нижней граничной частоты, большей нуля, до конечной верхней граничной частоты.
3.2 октавное отношение (частот): Отношение частот номинально равное октаве, то есть 2:1.
Примечание - В
5.2.1 приведена формула для октавного отношения частот, используемая в настоящем стандарте.
3.3 показатель ширины полосы: Величина, обратная положительному целому числу, включая 1, используемая для обозначения доли октавной полосы.
Примечание - Показатель ширины полосы используют для обозначения номинальной ширины полосы фильтров в наборе; например при 1/b = 1/12 фильтры называют фильтрами в одну двенадцатую октавы.
3.4 опорная частота, Гц: Выделенная частота, выбранная для нормализации частотной характеристики всех полосовых фильтров данного набора.
3.5 точная центральная частота, Гц: Частота, заданная установленным соотношением к опорной частоте так, что отношение точных центральных частот двух соседних полосовых фильтров одинаково для всего набора фильтров оговоренной ширины полосы.
3.6 номинальная центральная частота, Гц: Округленное значение центральной частоты, используемое для обозначения полосовых фильтров.
3.7 относительная частота: Для любого полосового фильтра - отношение частоты к соответствующей точной центральной частоте.
3.8 граничные частоты полосы, Гц: Частоты нижней и верхней границ полосы пропускания полосового фильтра, определяемые условием, что точная центральная частота представляет собой среднее геометрическое значение нижней и верхней граничных частот.
3.9 относительная ширина полосы пропускания фильтра: Отношение разности между верхней и соответствующей нижней граничными частотами к точной центральной частоте.
3.10 октавный фильтр: Полосовой фильтр, у которого отношение верхней граничной частоты к нижней граничной частоте равно октавному отношению.
3.11 фильтр на долю октавы: Полосовой фильтр, у которого отношение верхней граничной частоты к нижней граничной частоте равно октавному отношению, возведенному в степень, равную используемому показателю ширины полосы.
Примечание - Октавный фильтр тоже является фильтром на долю октавы (1/b = 1).
3.12 (средний по времени) уровень сигнала, дБ: Двадцать десятичных логарифмов отношения среднеквадратического значения определяемого сигнала любой частоты к среднеквадратическому значению сигнала указанного опорного значения.
3.13 затухание фильтра, дБ: Для любой частоты полосового фильтра - разность между уровнем входного сигнала и уровнем соответствующего выходного сигнала.
3.14
основное затухание, дБ: Для всех полосовых фильтров прибора - номинальное затухание фильтров в полосе пропускания, указанное для определения относительного затухания.
3.15 относительное затухание, дБ: Разность между затуханием фильтра и основным затуханием.
3.16 относительная частотная характеристика: Для любой относительной частоты - десять в степени минус одна десятая соответствующего относительного затухания.
3.17
относительная эффективная ширина полосы: Для синусоидальных входных сигналов постоянной амплитуды - интеграл по относительной частоте относительной частотной характеристики полосового фильтра, деленный на относительную частоту.
3.18
относительная опорная эффективная ширина полосы: Относительная эффективная ширина полосы полосового фильтра с нулевым относительным затуханием в полосе пропускания и бесконечным относительным затуханием на других частотах.
3.19 отклонение эффективной ширины полосы, дБ: Десять десятичных логарифмов отношения относительной эффективной ширины полосы к относительной опорной эффективной ширине полосы.
3.20 опорный диапазон уровней: Один из имеющихся диапазонов уровней, указанный для испытания электрических характеристик полосовых фильтров в наборе фильтров.
3.21 опорный уровень входного сигнала, дБ: Указанный опорный уровень входного сигнала в опорном диапазоне уровней.
3.22 отклонение уровня от линейности, дБ: В любом диапазоне уровней - это разность между отображаемым уровнем выходного сигнала и ожидаемым уровнем выходного сигнала на точной центральной частоте фильтра, если не оговорено иное.
3.23 линейный рабочий диапазон, дБ: Для указанного фильтра и установленного диапазона уровня - это интервал уровней установившегося синусоидального входного сигнала, в котором отклонения от линейности уровней находятся в допустимых пределах настоящего стандарта.
3.24 переключатель диапазонов: Устройство для регулировки чувствительности полосового фильтра в ответ на изменения уровня входного сигнала, обеспечивающее работу фильтра в пределах линейного рабочего диапазона.
3.25 диапазон измерений, дБ: Для любой точной центральной частоты - диапазон уровней входного сигнала от нижней границы линейного рабочего диапазона для наиболее чувствительного диапазона уровней до верхней границы линейного рабочего диапазона для наименее чувствительного диапазона уровней.
3.26 аналоговый фильтр: Фильтр, который непрерывно обрабатывает входной сигнал, чтобы получить отфильтрованный выходной сигнал.
3.27 дискретный фильтр: Вычислительный процесс обработки дискретных выборок входного сигнала для получения отфильтрованного выходного сигнала.
3.28 цифровой фильтр: Подмножество дискретных фильтров, которое использует оцифрованные выборки входных данных.
3.29 работа в режиме стационарной системы: режим работы или свойство системы полосовых фильтров, при которых отклик на сигнал не зависит от времени приложения сигнала.
3.30 время спада фильтра, с: Время, необходимое для того, чтобы для заданной частоты уровень выходного сигнала уменьшился на 60 дБ после прерывания сигнала на входе фильтра.
3.31 опорная ориентация: Положение прибора, содержащего полосовые фильтры, по отношению к главному направлению излучателя или приемника радиочастотного электромагнитного поля.
3.32 полосовой фильтр группы X: Автономный прибор, имеющий полосовые фильтры в соответствии с настоящим стандартом, в нормальном режиме работы питаемый от встроенных батарей и не требующий для своей работы подключений к другим устройствам.
3.33 полосовой фильтр группы Y: Автономный прибор, имеющий полосовые фильтры в соответствии с настоящим стандартом, в нормальном режиме работы питаемый от внешней электросети и не требующий для своей работы подключений к другим устройствам.
3.34 полосовой фильтр группы Z: Прибор, имеющий полосовые фильтры в соответствии с настоящим стандартом, для нормальной работы которого требуется два или более отдельных устройства, являющихся неотъемлемой частью прибора и работающих от внутренних батарей или от электросети.
Примечание - Если отдельные устройства передают данные посредством радио- или оптического методов, но не соединяются проводниками, то они не рассматриваются как соединенные в контексте этого определения.
3.35
вероятность охвата: Вероятность того, что совокупность истинных значений измеряемой величины находится в указанном интервале охвата. |
Примечание - В настоящем стандарте, как и в серии стандартов на неопределенность измерения ГОСТ 34100, для вероятности охвата также используется термин "уровень доверия".
3.36 предел допуска; граница интервала приемки: Предписанные верхняя и нижняя границы допустимых значений измеряемой величины.
4 Опорные внешние условия
4.1 Опорные внешние условия для определения электрических характеристик фильтра полосового октавного и (или) на долю октавы:
- температура воздуха ....................... 23 °C;
- статическое давление ...................... 101,325 кПа;
- относительная влажность ................... 50%.
4.2 Все испытания и операции поверки следует выполнять при нормальных условиях, то есть близких к опорным условиям, в диапазоне температур воздуха от 20 °C до 26 °C при относительной влажности от 40% до 70% и статическом (атмосферном) давлении от 97 до 103 кПа.
5.1.1 Электрические характеристики, определенные в настоящем стандарте для полосовых фильтров, относятся к внешним условиям
раздела 4, если не указано иное.
5.1.2 Допускается использование любой реализации конструкции фильтров при условии, что полученные фильтры удовлетворяют требованиям настоящего стандарта.
5.1.3 Полосовые фильтры могут получать электропитание от батарей или от системы внешнего электропитания.
5.1.4 Конфигурация фильтров, включая необходимые принадлежности, должна удовлетворять эксплуатационной документации для одного из нормальных режимов функционирования.
5.1.5 Для фильтров в составе шумомера со съемным предусилителем точкой входа для подачи сигнала на фильтры может быть, согласно указанию изготовителя, эквивалент микрофонного капсюля на предусилителе либо специальный разъем, на который при нормальной работе шумомера подают сигнал от предусилителя.
5.1.6 Пределы допуска настоящего стандарта включают в себя допустимые отклонения, связанные с конструкцией, изготовлением и старением.
5.1.7 Настоящий стандарт устанавливает пределы допуска для величины измеренных отклонений от нормативных значений.
Приложение А описывает соотношение между интервалом допустимых значений, соответствующим интервалом приемки (пределами допуска) и максимальной разрешенной неопределенностью измерений.
5.1.8 При испытаниях в целях утверждения типа и периодических испытаниях лаборатория должна установить, что фактические расширенные неопределенности для уровня доверия 95%
[1] в соответствии с
ГОСТ 34100.3 не превышают максимальные разрешенные расширенные неопределенности, указанные в
приложении Б.
5.1.9 Соответствие требованиям подтверждается, когда измеренные отклонения от нормативных значений не выходят за пределы допуска и соответствующие фактические расширенные неопределенности измерений не превышают максимальных разрешенных неопределенностей измерений, указанных в
приложении Б.
5.1.10
Приложение В содержит примеры оценки соответствия требованиям настоящего стандарта.
5.2 Октавное отношение частот
5.2.1 В настоящем стандарте октавное отношение частот
G определено выражением:
5.2.2 Октавное отношение частот, рассчитанное по
(1) до шести значащих цифр, равно 1,99526. Фильтры, разработанные в соответствии с этим отношением, обозначают как фильтры по основанию 10.
Примечания
1 Фильтры, требования к которым установлены настоящим стандартом, принято называть октавными фильтрами или фильтрами на долю октавы.
2 Некоторые фильтры ранее создавались с использованием точного октавного отношения частот
G = 2. Рассчитанные таким образом фильтры называют фильтрами по основанию 2. Вероятность того, что фильтр по основанию 2 будет соответствовать требованиям этого стандарта, уменьшается по мере увеличения разницы между центральной частотой фильтра и опорной частотой, см.
приложение Г.
3 Ранее допускались как фильтры по основанию 10, так и фильтры по основанию 2. При этом отмечалось, что для измерений следует использовать фильтры с десятичным основанием.
В настоящем стандарте значение опорной частоты равно точно 1000 Гц.
5.4 Точные центральные частоты
5.4.1 Если показатель ширины полосы является нечетным числом, то точную центральную частоту fm любого фильтра набора рассчитывают по формуле
где fr - опорная частота, а 1/b - показатель ширины полосы; например, 1/1 или 1/3 для октавного или третьоктавного фильтров, соответственно.
5.4.2 Если показатель ширины полосы является четным числом, то точную центральную частоту fm любого фильтра набора рассчитывают по формуле
где
x в
формулах (2) и
(3) является целым числом, положительным, отрицательным или нулем.
Примечания
1 Выходы узкополосных фильтров на доли октавы, которые имеют точные центральные частоты, задаваемые
формулой (2) или
(3), могут быть объединены для приближенного определения уровня в полосе фильтра с более широкой полосой с соответствующей точной центральной частотой и граничными частотами.
2 Если показатель ширины полосы является нечетным числом, то один из фильтров набора может иметь центральную частоту, равную 1000 Гц. Если показатель ширины полосы является четным числом, то граничные частоты двух соседних фильтров могут быть равны опорной частоте, однако ни один из фильтров не будет иметь центральную частоту, равную 1000 Гц.
5.5 Номинальные центральные частоты
Октавные фильтры и фильтры на долю октавы следует идентифицировать, или маркировать, по их номинальным центральным частотам. В
приложении Д приведены точные и номинальные центральные частоты октавных и третьоктавных фильтров для обычного диапазона слышимых частот. В
приложении Д также определена процедура определения номинальных центральных частот фильтров на доли октавы с иными показателями ширины полосы.
5.6.1 Нижняя и верхняя границы полосового фильтра должны определяться следующими выражениями:
и
где f1 - нижняя граничная частота;
f2 - верхняя граничная частота;
Примечание - Точная центральная частота является средним геометрическим соответствующих граничных частот, задаваемая как

.
5.6.2 Отношение граничных частот задается соотношением f2/f1 = G1/b, например, 103/10 для октавных фильтров и 101/10 для третьоктавных фильтров.
5.6.3 Относительная ширина полосы фильтра - (f2 - f1)/fm = G+1/(2b) - G-1/(2b).
5.7 Средние по времени уровни сигнала
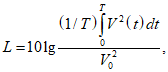
5.7.1 Средний по времени уровень сигнала L, дБ, рассчитывают по формуле

(6)
где V(t) - мгновенное значение сигнала как функция времени;
T - время интегрирования или усреднения;
V0 - соответствующее опорное значение, например, 1 мкВ для напряжения.
5.7.2 Опорное значение должно быть одним и тем же для уровней входных и выходных сигналов.
5.8.1 Для любой относительной частоты,

, затухание фильтра

рассчитывают по формуле

, (7)
где

- средний по времени уровень входного сигнала;

- соответствующий средний по времени уровень выходного сигнала.
5.8.2 При измерениях затухания фильтра разрешение показаний уровней входного и выходного сигналов должно быть 0,1 дБ или лучше.
5.9.1 Эксплуатационная документация должна указывать величину основного затухания в полосе пропускания.
5.9.2 Перед проведением проверки указанного основного затухания можно потребовать, чтобы фильтры были отрегулированы в соответствии с процедурой, описанной в эксплуатационной документации.
5.10 Относительное затухание
5.10.1 Относительное затухание фильтра

для любой относительной частоты

рассчитывают по формуле

, (8)
где Aref - основное затухание.
5.10.2 Для октавных фильтров класса 1 или 2 в полосе частот от

до

относительное затухание каждого фильтра должно быть в пределах допуска таблицы 1 для минимального и максимального относительных затуханий на указанных октавных относительных частотах. В полосах подавления, при

и

, относительное затухание должно быть не меньше минимальных пределов допуска таблицы 1.
Таблица 1
Пределы допуска для относительного
затухания октавных фильтров
Относительная частота  | Минимальные и максимальные пределы допуска для относительного затухания, дБ |
Класс 1 | Класс 2 |
| <= G-4 | +70;  | +60;  |
| G-3 | +60;  | +54;  |
| G-2 | +40,5;  | +39,5;  |
| G-1 | +16,6;  | +15,6;  |
| | +1,2;  | +0,8;  |
| | -0,4; +5,3 | -0,6; +5,8 |
| G-3/8 | -0,4; +1,4 | -0,6; +1,7 |
| G-1/4 | -0,4; +0,7 | -0,6; +0,9 |
| G-1/8 | -0,4; +0,5 | -0,6; +0,7 |
 ,  | G0 = 1 | -0,4; +0,4 | -0,6; +0,6 |
| G+1/8 | -0,4; +0,5 | -0,6; +0,7 |
| G+1/4 | -0,4; +0,7 | -0,6; +0,9 |
| G+3/8 | -0,4; +1,4 | -0,6; +1,7 |
| | -0,4; +5,3 | -0,6; +5,8 |
| | +1,2;  | +0,8;  |
| G+1 | +16,6;  | +15,6;  |
| G+2 | +40,5;  | +39,5;  |
| G+3 | +60;  | +54;  |
| >= G+4 | +70;  | +60;  |
<*>  - любое малое близкое к нулю число в области около нижней или верхней относительной граничной частоты. |
5.10.3 Для фильтра на долю октавы с показателем ширины полосы 1/
b верхнюю относительную частоту полосы пропускания

, соответствующую конечному пределу допуска относительного затухания для класса функционирования, рассчитывают при

по формуле

. (9)
5.10.4 Для

соответствующую нижнюю относительную частоту полосы пропускания

рассчитывают по формуле

(10)
для того же самого предела допуска на относительное затухание.
5.10.5 В
приложении Е приведен пример расчета относительных частот в точках изменения пределов допуска
таблицы 1 для минимального и максимального относительного затухания третьоктавных полосовых фильтров.
5.10.6 В интервале между любой парой соседних контрольных точек

и
таблицы 1 для октавных фильтров или рассчитанных по
формулам (9) и
(10) соответствующих частот для фильтра на долю октавы пределы допуска относительного затухания

для относительной частоты

должны быть определены с помощью линейной интерполяции согласно следующей формуле:

, (11)
где

- предел допуска для относительного затухания на относительной частоте

;

- предел допуска для относительного затухания на относительной частоте

.
5.10.7 На рисунке 1 показаны пределы допуска для минимального и максимального относительного затухания октавных фильтров. Этот рисунок также показывает нарушение непрерывности изменений минимального и максимального относительного затухания на граничных частотах, а также линейное изменение относительного затухания между контрольными точками относительных частот
таблицы 1.
1 - минимальные пределы допуска для затухания фильтров
класса 1; 2 - максимальные пределы допуска для затухания
фильтров класса 1; 3 - минимальные пределы допуска
для затухания фильтров класса 2; 4 - максимальные пределы
допуска для затухания фильтров класса 2
Рисунок 1 - Минимальный и максимальный пределы
относительного затухания в зависимости от f/fm
для полосовых октавных фильтров класса 1 и класса 2
5.11 Относительная эффективная ширина полосы
5.11.1 Относительную частотную характеристику полосового фильтра для синусоидального сигнала на входе рассчитывают по формуле

, (12)
где

- относительное затухание в децибелах на относительной частоте

[см.
формулу (8)].
5.11.2 В соответствии с
3.17 для синусоидальных входных сигналов постоянной амплитуды относительную эффективную ширину полосы пропускания полосового фильтра
Be определяют по формуле

, (13)
где

- частотно-зависимый весовой член.
На практике бесконечный интервал интегрирования по относительной частоте в
формуле (13) заменяют конечным интервалом, заключенным между некими начальной и конечной частотами. В таком случае
формулу (13) модифицируют следующим образом:

, (14)
где

и

выбирают таким образом, чтобы интегрирование включало в себя все значительные составляющие. Подходящие значения начальной и конечной частот зависят от ширины полосы фильтра и конструкции фильтров.
Примечания
1 Если входной сигнал является последовательностью дискретных синусоидальных сигналов, которая реализует серию измерений частотной характеристики фильтра, то непрерывное интегрирование заменяют суммированием и оценивают интеграл численным образом.
2 Если входной сигнал является синусоидальным сигналом постоянной амплитуды, частота которого экспоненциально изменяется во времени, то интеграл в
формуле (13) заменяют интегралом от времени.
Приложение Ж содержит информацию об использовании экспоненциальных синусоидальных входных свип-сигналов.
Относительное затухание в зависимости от времени с разверткой по частоте показано на
рисунке Ж.1
5.11.3 В соответствии с
3.18 и
формулой (13) относительную опорную эффективную ширину полосы определяют по формуле

, (15)
где относительные граничные частоты

и

определены по
формулам (4) и
(5), а ln обозначает натуральный логарифм.
Примечание - Относительная опорная эффективная ширина полосы октавного фильтра равна с точностью до шестой значащей цифры 0,690776. Для третьоктавного фильтра относительная опорная эффективная ширина полосы равна с точностью до шестой значащей цифры 0,230259.
5.11.4 Относительная опорная эффективная ширина полосы одинакова для всех фильтров с заданной шириной полосы в наборе фильтров.
5.12 Отклонение эффективной ширины полосы
5.12.1 Отклонение эффективной ширины полосы

любого полосового фильтра вычисляют по формуле

. (16)
5.12.2 Для каждого полосового фильтра, входящего в состав прибора, пределы допуска отклонения эффективной ширины полосы составляют +/- 0,4 дБ для приборов класса 1 и +/- 0,6 дБ для приборов класса 2.
5.13 Линейный рабочий диапазон
5.13.1 Линейный рабочий диапазон на точной центральной частоте для фильтров с любой шириной полосы в каждом доступном диапазоне уровней должен быть не менее 60 дБ для фильтров класса 1 и не менее 50 дБ для фильтров класса 2. В эксплуатационной документации должны быть указаны верхняя и нижняя границы линейных рабочих диапазонов для каждого диапазона уровней.
5.13.2 При опорном уровне входного сигнала в опорном диапазоне уровней отклонение от линейности равно нулю.
5.13.3 При уровнях входного сигнала в пределах от верхней границы линейного рабочего диапазона до значения на 40 дБ ниже верхней границы пределы допуска для отклонения от линейности уровня составляют +/- 0,5 дБ для фильтров класса 1 и +/- 0,6 дБ для фильтров класса 2. Эти пределы допуска для отклонения от линейности уровня применяют для всех доступных диапазонов уровней.
5.13.4 При уровнях входного сигнала в пределах от значения на 40 дБ ниже верхней границы до нижней границы линейного рабочего диапазона пределы допуска для отклонения от линейности уровня составляют +/- 0,7 дБ для фильтров класса 1 и +/- 0,9 дБ для фильтров класса 2. Эти пределы допуска для отклонения от линейности уровня применяют для всех доступных диапазонов уровней.
Примечание - Отклонения, которые могут вызываться переключателем диапазонов, если таковой имеется, включаются в пределы допусков для отклонений от линейности уровня.
5.13.5 Диапазоны уровней, если их больше одного, должны перекрываться таким образом, чтобы перекрытие линейных рабочих диапазонов составляло не менее 40 дБ для фильтров класса 1 и не менее 30 дБ для фильтров класса 2.
5.13.6 Для приборов, у которых более одного диапазона уровней, должен быть предусмотрен уменьшенный линейный рабочий диапазон в наиболее чувствительном диапазоне уровней, при условии, что этот наиболее чувствительный диапазон не является опорным диапазоном, а также что это уменьшение линейного рабочего диапазона описано в эксплуатационной документации.
5.13.7 В наборе фильтров каждый фильтр может иметь свой линейный рабочий диапазон, при условии, что все фильтры набора имеют общие опорный диапазон уровней и опорный уровень входного сигнала.
Примечание - Как правило, фильтры имеют одинаковую верхнюю границу линейного рабочего диапазона, но разные нижние границы из-за влияния электрических шумов и разрешения, обеспечиваемого процессами цифровой обработки.
5.13.8 Для фильтров со встроенным средством отображения выходного сигнала или для ситуации, когда выходной сигнал передается на внешнее устройство отображения либо в другую измерительную систему, причем диапазон средства отображения больше линейного рабочего диапазона, в эксплуатационной документации должны быть указаны пределы допуска отклонения от линейности, которые обеспечиваются за пределами линейного рабочего диапазона.
5.14 Работа в режиме стационарной системы
5.14.1 Средний во времени уровень сигнала
Lout на выходе прибора должен быть одинаковым для всех фильтров при подаче на вход синусоидального сигнала постоянной амплитуды, частота которого экспоненциально изменяется в пределах частотного диапазона всех фильтров заданной ширины полосы.
5.14.2 Теоретический средний по времени уровень выходного сигнала Lc, дБ, который должен был бы индицироваться при подаче входного синусоидального сигнала постоянной амплитуды и с экспоненциально изменяющейся частотой, рассчитывают по формуле

, (17)
где Lin - уровень входного сигнала постоянной амплитуды;
Aref - основное затухание согласно
3.14 и
5.9;
Tsweep - время, требуемое для экспоненциальной развертки частоты в интервале между начальной частотой fstart и конечной частотой fend, так что Tsweep = Tend - Tstart;
Tavg - время усреднения, выбранное для измерения уровня выходного сигнала Lout.
Примечания
2
Формула (17) является аппроксимацией, которая предполагает, что затухание фильтра равно основному затуханию в полосе пропускания и бесконечно за пределами полосы пропускания. Предполагается, что развертка частоты начинается значительно ниже нижней граничной частоты самого низкочастотного фильтра в наборе и останавливается на частоте, значительно более высокой, чем верхняя граничная частота самого высокочастотного фильтра набора. Время интегрирования предполагается достаточно длительным, чтобы включить в себя компоненты выходного сигнала с учетом временных задержек.
5.14.3 Пределы допуска для отклонения измеренного среднего по времени уровня выходного сигнала
Lout от соответствующего теоретического среднего по времени уровня
Lc определенного согласно
(17), для каждого фильтра из набора фильтров при скорости развертки от 2 до 5 с на декаду составляют +/- 0,4 дБ для приборов класса 1 и +/- 0,6 дБ для приборов класса 2.
Примечание - При скорости развертки частоты от 2 до 5 с на декаду, величина
r в
формуле (Ж.2) будет в диапазоне от 0,4605 до 1,151 с
-1 при расчете с точностью до четырех значащих цифр.
5.14.4 В эксплуатационной документации должны быть указаны показатели ширины полосы и соответствующие диапазоны номинальных центральных частот, для которых применимы требования
5.14.3 для работы в режиме стационарной системы.
Примечание - Для дискретных фильтров, работающих в режиме реального времени, условие стационарной системы требует, чтобы в среднем, вычисления, связанные с каждым дискретным интервалом, выполнялись за период времени, не превышающий интервал дискретизации так, чтобы все входные данные обрабатывались бы за время интервала дискретизации и все выборки входного сигнала вносили бы равный вклад в результирующий уровень отфильтрованного выходного сигнала.
5.15 Антиалайзинговые фильтры
Изготовитель должен включать в состав систем с дискретными или цифровыми фильтрами антиалайзинговые фильтры, аналоговые либо цифровые, в зависимости от конструкции. Антиалайзинговые фильтры должны минимизировать эффект взаимодействия между входным сигналом и процессом дискретизации, который может привести к тому, что относительное затухание выйдет за пределы допусков
таблицы 1.
5.16 Суммирование выходных сигналов
Для синусоидального входного сигнала любой частоты, лежащей между центральными частотами двух соседних октавных фильтров или фильтров на долю октавы, пределы допуска для разности между уровнем входного сигнала минус основное затухание и уровнем суммы среднеквадратичных значений выходных сигналов смежных фильтров с заданной шириной полосы должны быть в пределах от 0,8 до минус 1,8 дБ для приборов класса 1 и от 1,8 до минус 3,8 дБ - для приборов класса 2.
5.17 Индикатор перегрузки
5.17.1 Полосовой фильтр должен быть оснащен индикатором перегрузки. Эксплуатационная документация должна описывать работу и интерпретацию индикаций перегрузки.
5.17.2 Индикация перегрузки должна отображаться при превышении уровнем синусоидального входного сигнала верхней границы линейного рабочего диапазона до того, как будут превышены пределы допуска на отклонение от линейности уровня и на относительное затухание. Это требование применяют для всех диапазонов уровней и для всех частот в интервале между нижней граничной частотой фильтра с наименьшей центральной частотой и верхней граничной частотой фильтра с наибольшей центральной частотой в наборе фильтров.
5.17.3 Индикация перегрузки должна отображаться до тех пор, пока существует состояние перегрузки, но не менее 1 с.
5.17.4 Для полосовых фильтров прибора, который отображает средние по времени уровни выходных сигналов, суммарные по времени полосовые уровни, максимальные уровни или сохраненные в памяти результаты, индикация перегрузки должна показывать, имело ли место состояние перегрузки в течение какой-либо части времени измерения. Эта индикация должна продолжать отображаться до тех пор, пока отображаются результаты этого измерения.
5.18.1 Время реверберации в замкнутых пространствах часто измеряют с использованием октавных фильтров и фильтров на долю октавы. Для приборов, которые измеряют время реверберации, в эксплуатационной документации должно быть указано максимальное время спада для каждого фильтра.
5.18.2 Там, где скорость спада фильтра не является постоянной, для определения времени спада фильтра необходимо экстраполировать участок спада от минус 5 до минус 35 дБ от начального уровня, чтобы определить время, необходимое для спада на 60 дБ относительно начального уровня.
5.18.3 Для каждой существующей ширины полосы следует определять время спада фильтра как среднее арифметическое времен спада для частот в пределах полосы пропускания фильтра.
Примечание - Знание времени спада фильтра достаточно для того, чтобы определить наименьшее время реверберации, которое может быть достоверно измерено, но недостаточно для определения наименьшего раннего, или начального, затухания звука в помещении.
5.18.4 Для каждого фильтра показываемое время спада не должно превышать максимальное время затухания фильтра, указанное в эксплуатационной документации.
Примечание -
Приложение И приводит информацию, относящуюся к измерению времени спада.
5.19 Максимальный входной сигнал
В эксплуатационной документации должно быть указано для каждого диапазона уровней максимальное среднеквадратическое значение напряжения, при котором фильтр соответствует требованиям настоящего стандарта.
5.20 Выходные устройства и их импеданс
5.20.1 В эксплуатационной документации должны быть указаны значения входного и выходного импеданса, обеспечивающие нормальную работоспособность прибора, если это применимо.
5.20.2 Если предусмотрены выходные клеммы для аналоговых сигналов, то короткое замыкание этих клемм на землю не должно впоследствии приводить к несоответствию характеристик прибора требованиям настоящего стандарта.
5.21.1 Для приборов, содержащих полосовые фильтры, которые требуют батарейного питания, изготовитель должен предусмотреть подходящие средства контроля того, что питания на момент проверки достаточно для обеспечения работы прибора в соответствии со всеми требованиями настоящего стандарта.
5.21.2 При изменении напряжения батареи от минимального допустимого для работы значения до максимального предписанного значения уровень выходного сигнала не должен изменяться более чем на 0,2 дБ.
5.22 Влияние внешних условий
5.22.1 Общие положения
Требования 5.22 применяют к полосовым фильтрам, которые являются как самостоятельными приборами, так и составными частями других приборов.
5.22.2 Температура и относительная влажность окружающего воздуха
5.22.2.1 В эксплуатационной документации должны быть указаны диапазоны относительной влажности и соответствующей температуры воздуха, в которых может работать прибор. Влияние изменений температуры воздуха на измеряемое относительное затухание нормируют в диапазоне температур от минус 10 °C до плюс 50 °C для полосовых фильтров класса 1 и от 0 °C до 40 °C для фильтров класса 2.
5.22.2.2 Влияние изменений атмосферной влажности на измеряемое относительное затухание нормируют в диапазоне относительной влажности воздуха от 25% до 90% с учетом ограничения, что комбинация температуры и влажности не должна приводить к точке росы более 39 °C и менее минус 15 °C.
5.22.2.3 Для любого фильтра, имеющегося в наборе фильтров, пределы допуска отклонения относительного затухания на точной центральной частоте от относительного затухания при опорных внешних условиях составляют +/- 0,5 дБ для фильтров класса 1 и +/- 0,7 дБ для фильтров класса 2. Это требование применяют для соответствующих диапазонов температуры и относительной влажности.
5.22.2.4 Если фильтры являются составной частью другого прибора, то пределы допуска согласно
5.22.2.3 применяют в диапазонах температуры и влажности, указанных для этого прибора.
5.22.2.5 Для полосовых фильтров, о которых в эксплуатационной документации указано, что они предназначены для работы только в помещениях с контролируемыми внешними условиями, пределы допуска согласно
5.22.2.3 применяют в ограниченном диапазоне температур от 5 °C до 35 °C.
5.23 Требования к электростатическим разрядам и электромагнитной совместимости
5.23.1 Общие положения
5.23.1.1 Подраздел 5.23 определяет требования для полосовых фильтров, касающихся их устойчивости к электростатическим разрядам, радиочастотным электромагнитным полям и полям промышленной частоты, а также для их максимально допустимого радиочастотного электромагнитного излучения.
5.23.1.2 Если фильтры являются составной частью другого прибора, например шумомера, требования к которому оговорены в
ГОСТ Р 53188.1, то фильтры должны соответствовать пределам допусков и требованиям к работоспособности, указанных в 5.23 для уровней тестовых сигналов, предписанных для этого прибора.
5.23.1.3 Технические требования 5.23 применяют для фильтров групп X, Y и Z.
5.23.1.4 Требования по электромагнитной и электростатической устойчивости одинаковы для фильтров, используемых в жилых, коммерческих и легких промышленных средах, а также на промышленных объектах.
5.23.2 Электростатические разряды
5.23.2.1 Полосовые фильтры групп X, Y, Z должны выдерживать электростатические разряды определенной величины, а именно контактные разряды напряжением до 4 кВ и воздушные разряды напряжением до 8 кВ положительной и отрицательной полярности, полярность электростатического напряжения задана относительно земли. Полностью требования к этим воздействиям приведены в
пункте 1.5 таблицы 1 ГОСТ 30804.6.1-2013.
5.23.2.2 Критерий качества функционирования полосового фильтра в течение и после испытания электростатическим разрядом
После прекращения воздействия помехи ТС должно продолжать функционировать в соответствии с назначением. Не допускается ухудшение качества функционирования ТС в сравнении с уровнем качества функционирования, установленным изготовителем применительно к использованию ТС в соответствии с назначением, или прекращение выполнения функции ТС. Минимальный уровень качества функционирования ТС может быть заменен допустимым ухудшением качества функционирования. В период воздействия помехи допускается ухудшение рабочих характеристик ТС. При этом прекращение выполнения функции ТС или изменение данных, хранимых в памяти ТС, не допускается. Если минимальный уровень качества функционирования или допустимое ухудшение качества функционирования не установлены изготовителем, они могут быть определены на основе анализа эксплуатационных и технических документов на ТС конкретных видов или исходя из результатов применения ТС в соответствии с назначением. |
Примечание - Под ТС понимают полосовой фильтр или набор фильтров, соответствующих требованиям настоящего стандарта.
5.23.2.3 Испытание электростатическими разрядами следует выполнять с использованием методов, описанных в
ГОСТ 30804.4.2. После испытания необходимо подтвердить, что фильтр продолжает работать и сохраняет свои функциональные возможности. Сохраненные заранее данные (если таковые есть) должны оставаться неизмененными.
5.23.3 Электромагнитные поля сетевой частоты и радиочастотные поля
5.23.3.1 Полосовые фильтры групп X, Y и Z должны обладать хотя бы минимальной степенью устойчивости в диапазоне напряженности полей сетевой частоты и радиочастотных полей. Требования настоящего стандарта основаны на
пунктах 1.1 и
1.2 таблицы 1 ГОСТ 30804.6.2-2013 с изменениями. Эти изменения расширяют область радиочастотных полей так, чтобы охватывать диапазоны от 27 до 1000 МГц и от 1400 до 2700 МГц, и увеличивают напряженность поля промышленной частоты до 80 А/м.
5.23.3.2 Требования к испытаниям на устойчивость определены следующим образом:
- частотный диапазон от 27 до 1000 МГц: среднеквадратичное значение напряженности электрического поля до 10 В/м включительно (немодулированное) с глубиной амплитудной модуляции 80% синусоидальным сигналом частоты 1 кГц или ближайшей к 1 кГц центральной частоты фильтра из набора фильтров;
- частотный диапазон от 1400 до 2000 МГц: среднеквадратичное значение напряженности электрического поля до 3 В/м включительно (немодулированное) с глубиной амплитудной модуляции 80% синусоидальным сигналом частоты 1 кГц или ближайшей к 1 кГц центральной частоты фильтра из набора фильтров;
- частотный диапазон от 2000 до 2700 МГц: среднеквадратичное значение напряженности электрического поля до 1 В/м включительно (немодулированное) с глубиной амплитудной модуляции 80% синусоидальным сигналом частоты 1 кГц или ближайшей к 1 кГц центральной частоты фильтра из набора фильтров;
- среднеквадратичное значение напряженности переменного магнитного поля 80 А/м при частоте 50 Гц или 60 Гц (в соответствии с принятым значением частоты сети).
5.23.3.3 Испытания на устойчивость к радиочастотным полям могут быть выполнены на дискретных частотах в соответствии с
разделом 8 ГОСТ 30804.4.3-2013, но с использованием шага до 4% на частотах ниже 500 МГц и до 2% для всех остальных частот вместо шага в 1%, указанного там. Время удержания на каждой частоте должно быть подходящим для испытываемого полосового фильтра. Проведение испытания для ограниченного количества дискретных частот не устраняет необходимость соответствия требованиям
5.23.3.9 и
5.23.3.10 для всех частот заданного диапазона.
5.23.3.4 Если испытываемый прибор оснащается каким-либо соединительным устройством, которое позволяет подключать интерфейсные или коммуникационные кабели, то все испытания на устойчивость к воздействию полей промышленной частоты и радиочастотных полей должны быть выполнены при условии подключения кабелей ко всем доступным соединительным устройствам. Все кабели следует оставлять со свободным концом и располагать так, как описано в
разделе 8 ГОСТ 30805.22-2013, если поставщик полосового фильтра не поставит также устройство, подсоединяемое к полосовому фильтру этим кабелем; в таком случае все составные части должны быть испытаны вместе.
5.23.3.5 Приборы с полосовыми фильтрами групп Y и Z, которые подсоединяются к внешней сети электропитания, должны также соответствовать дополнительным требованиям, которые приведены в
таблице 4 ГОСТ 30804.6.2-2013.
5.23.3.6 Приборы с полосовыми фильтрами группы Z, у которых длина любого из соединительных кабелей между любыми двумя частями системы превышает 3 м, должны также соответствовать требованиям
таблицы 2 ГОСТ 30804.6.2-2013.
5.23.3.7 Приборы с полосовыми фильтрами с внешним подключением питания постоянным током, должны также соответствовать дополнительным требованиям, приведенным в
таблице 3 ГОСТ 30804.6.2-2013.
5.23.3.8 Испытание на устойчивость к радиочастотным полям должно быть выполнено, как описано в
разделе 8 ГОСТ 30804.4.3-2013.
5.23.3.9 При включении поля сетевой частоты или радиочастотного поля, указанного в
5.23.3.3 и
5.23.3.2, показания на выходе полосового фильтра должны измеряться на выходном разъеме таким способом, который не оказывает влияние на применяемое электромагнитное поле, на нормальную работу полосового фильтра или на устойчивость прибора к радиочастотному излучению. Следует определить показание на выходе фильтра, эквивалентное максимально возможному выходу при данных параметрах настройки фильтра, при этом влияние поля сетевой частоты или радиочастотных полей не должно превышать заданного показания относительно этого максимального выхода. Для фильтра класса 1 показание уровня выходного сигнала должно быть по меньшей мере на 65 дБ ниже уровня максимального выходного сигнала и по меньшей мере на 55 дБ ниже для фильтра класса 2. Если не существует способа измерить показание этих уровней выходного сигнала, то наименьшее полученное показание не должно изменяться более чем на 0,3 дБ при включенном поле сетевой частоты или радиочастотном поле.
5.23.3.10 При испытании дополнительных требований, приведенных в
5.23.3.5 и
5.23.3.6, устойчивость полосового фильтра не должна превышать заданного показания относительно уровня максимального выходного сигнала, которое определено в
5.23.3.9. Для фильтра класса 1 показание уровня выходного сигнала должно быть по меньшей мере на 65 дБ ниже уровня максимального выходного сигнала и по меньшей мере на 55 дБ ниже для фильтра класса 2. Если не существует способа измерить показание этих уровней выходного сигнала, то наименьшее полученное показание не должно варьироваться более чем на 0,3 дБ при выполнении испытания. При проверке соответствия этим дополнительным требованиям поле промышленной частоты или радиочастотные поля не включают.
5.23.3.11 В эксплуатационной документации должны быть указаны режим работы и соединительные устройства (при наличии), для которых прибор обладает наименьшей устойчивостью к полям сетевой частоты и к радиочастотным полям.
5.23.4 Предельные значения электромагнитной эмиссии
5.23.4.1 Верхние предельные значения радиочастотной эмиссии от любого оборудования устанавливают в целях соответствия большому количеству различных стандартов. Предельные значения, приведенные в
таблице 1 ГОСТ IEC 61000-6-3-2016, представляют основные требования для полосовых фильтров групп X, Y и Z. Сводка этих требований приведена в
таблице 2.
5.23.4.2 Полосовые фильтры группы Y или Z с электропитанием от внешней сети должны также соответствовать предельным значениям для кондуктивных помех, излучаемых в сеть электропитания, которые установлены в
ГОСТ 30805.22 для оборудования класса B. Сводка этих требований для полосовых фильтров приведена в
таблице 3.
5.23.4.3 В эксплуатационной документации должны быть указаны режим работы и соединительные устройства (при наличии), для которых прибор обладает наибольшей электромагнитной эмиссией.
Таблица 2
Предельные значения для электромагнитных помех
информационно-технологического оборудования
(ITE) класса B на расстоянии 10 м
Диапазон частот, МГц | Предельные квазипиковые уровни, дБ |
От 30 до 230 | 30 |
От 230 до 1000 | 37 |
Примечания 1 Для переходной частоты 230 МГц применяют наименьшее предельное значение квазипикового уровня. 2 В тех случаях, когда имеет место интерференция, могут потребоваться дополнительные меры. 3 Эти предельные значения были приведены здесь только для информации, а не в качестве альтернативы ГОСТ 30805.22. 4 Характеристики квазипикового приемника определены в ГОСТ CISPR 16-1-1. Опорное значение для квазипиковых уровней сигналов в таблице 2 равно 1 мкВ/м. |
Таблица 3
Предельные значения для кондуктивных
помех, излучаемых в сеть электропитания
Диапазон частот, МГц | Пределы уровней напряжения помех (отн. 1 мкВ), дБ |
Квазипиковые уровни | Средние уровни |
От 0,15 до 0,50 | От 66 до 56 | От 56 до 46 |
От 0,50 до 5 | 56 | 46 |
От 5 до 30 | 60 | 50 |
Примечания 1 В ГОСТ CISPR 16-1-1 приведены характеристики квазипиковых измерительных приемников. 2 Для переходных частот применяют более нижние предельные значения. 3 В диапазоне частот от 0,15 до 0,50 МГц пределы уровней напряжения уменьшаются пропорционально 20-десятичным логарифмам частоты. |
5.24 Дополнительные функциональные и технические характеристики
5.24.1 Третьоктавные фильтры, применяемые в спектрометрах, которые предназначены для измерения уровня шума воздушных судов с временной коррекцией
S в диапазоне частот от 50 Гц до 10 кГц, должны удовлетворять требованиям
приложения К
5.24.2 Для более точного измерения тональных составляющих сигналов наборы фильтров могут оснащаться вспомогательными полосовыми фильтрами, центральные частоты которых смещены относительно стандартных центральных частот на половину ширины полосы пропускания. Формулы расчета центральных частот таких вспомогательных фильтров и технические требования к этим фильтрам приведены в
приложении Л.
6.1 Набор полосовых фильтров, соответствующий всем требованиям настоящего стандарта, должен иметь маркировку "YYY фильтры, класс X, ГОСТ Р NNNNN", где YYY - ширина полосы фильтра, например, третьоктавный, X - это 1 или 2, в соответствии с классом. Маркировка набора фильтров должна содержать наименование изготовителя, обозначение модели и серийного номера, если это целесообразно.
6.2 Маркировка должна быть нанесена на блок фильтров или на прибор, частью которого является блок фильтров. Если на приборе не имеется достаточного места для маркировки, то она может наноситься на эксплуатационную документацию.
7 Эксплуатационная документация
Эксплуатационная документация должна поставляться с каждым набором фильтров и включать, как минимум, следующие сведения:
а) утверждение, что все имеющиеся фильтры каждой номинальной ширины полосы пропускания для каждого канала блока полосовых фильтров (при наличии более одного канала) соответствуют всем требованиям настоящего стандарта для указанного класса;
б) перечень номинальных центральных частот всех фильтров для каждой имеющейся ширины полосы пропускания и для каждого имеющегося канала, в соответствии с
приложением Д;
в) основное затухание;
г) опорная частота.
7.2 Сведения об эксплуатации
Эксплуатационная документация должна содержать, как минимум, следующие сведения, необходимые для эксплуатации фильтра или блока фильтров:
а) линейный рабочий диапазон для каждого диапазона уровней каждой номинальной центральной частоты и для каждой имеющейся ширины полосы пропускания фильтров;
б) линейный рабочий диапазон и пределы допуска линейности уровня для отображения уровней выходного сигнала за пределами линейного рабочего диапазона для каждого диапазона уровней, если это применяется;
в) максимальное среднеквадратичное значение синусоидального входного сигнала на любой частоте в пределах частотного диапазона прибора для каждого диапазона уровней;
г) для каждого диапазона уровней - рекомендации по использованию прибора, гарантирующие выполнение измерений в пределах линейного рабочего диапазона;
д) для каждой имеющейся номинальной ширины полосы пропускания фильтра - диапазон номинальных центральных частот для работы в режиме стационарной системы и другие сведения, относящиеся к спектральному анализу переходных и непостоянных по времени сигналов;
е) описание работы и интерпретация показаний индикатора перегрузки;
ж) диапазоны температуры и относительной влажности окружающего воздуха, в котором полосовые фильтры могут работать без нарушения требований соответствующего класса;
и) при батарейном питании - рекомендуемые средства проверки того, что питания, обеспечиваемое батареями на момент проверки, достаточно для работы прибора во время проверки без нарушения применяемых требований;
к) если полосовые фильтры предназначены для работы совместно с шумомером или аналогичным прибором, то необходимо указать конкретный тип прибора;
л) для полосовых фильтров, являющихся составной частью прибора для измерения времени реверберации, - максимальное время спада каждого фильтра;
м) для полосовых фильтров, содержащихся в приборе, который находился длительное время в отключенном состоянии при определенной температуре окружающего воздуха для достижения термодинамического равновесия - максимальное время, которое должно пройти после включения прибора для того, чтобы прибор можно было использовать для измерения уровней отфильтрованных выходных сигналов в соответствии с требованиями настоящего стандарта.
7.3 Информация для испытаний
Эксплуатационная документация должна, как минимум, содержать следующую информацию для проведения испытаний на соответствие фильтра или блока фильтров:
а) опорный диапазон уровней;
б) уровень опорного входного сигнала и соответствующее опорное значение;
в) все процедуры настройки, которые требуются для проверки основного затухания;
г) если необходимо - активную и реактивную составляющие шунтирующих устройств, которые должны быть установлены на входе и выходе прибора;
д) влияние любых видов короткого замыкания аналогового выхода полосового фильтра;
е) сведения о временных характеристиках детекторов и устройств усреднения измерительной системы, частью которой является фильтр, если выход фильтра доступен для пользователя только после этих детекторов и (или) устройств усреднения, а также указания по проверке этих временных характеристик,
ж) конфигурация прибора для нормального режима работы;
и) все конкретные ухудшения рабочих характеристик или потеря работоспособности при воздействии электростатических разрядов:
к) конфигурация для опорной ориентации прибора при испытаниях на устойчивость к полям промышленной частоты и радиочастотным полям;
л) режим работы и соединительные устройства, с которыми устойчивость прибора к воздействию полей промышленной частоты и радиочастотных полей минимальна;
м) режим работы и конфигурация прибора для наибольшей радиочастотной эмиссии;
н) любая дополнительная информация, требуемая для проведения испытаний для определения соответствия фильтров или блока полосовых фильтров требованиям настоящего стандарта.
(справочное)
СООТНОШЕНИЕ МЕЖДУ ИНТЕРВАЛАМИ ДОПУСТИМЫХ ЗНАЧЕНИЙ,
СООТВЕТСТВУЮЩИМИ ПРЕДЕЛАМИ ДОПУСКА И МАКСИМАЛЬНОЙ
РАЗРЕШЕННОЙ НЕОПРЕДЕЛЕННОСТЬЮ
Для удобства понимания пользователей и испытательных лабораторий МЭК/ТК 29 принял методологию, в которой интервалы допустимых отклонений от норматива не устанавливают в явном виде, но могут быть определены, при необходимости, по нормируемым пределам допуска для отклонений от контролируемого значения (границам интервала приемки) и соответствующей указанной максимальной разрешенной неопределенности измерения, как показано на рисунке А.1.
AI - интервал приемки; TI - интервал допустимых значений;
Umax - полоса запаса на максимальную разрешенную
неопределенность измерений для вероятности охвата 95%;
AL - нижний предел допусков; AU - верхний предел допусков;
TL - нижний предел допустимых значений;
TU - верхний предел допустимых значений
Рисунок А.1 - Соотношение между интервалами допустимых
значений, соответствующими пределами допуска и максимальной
разрешенной неопределенностью измерений
Пределы допусков обусловлены только интервалом приемки и не связаны с полосой запаса на максимальную разрешенную неопределенность измерений. Поэтому попадание измеренного отклонения в интервал приемки (невыход за пределы допусков) означает соответствие требованию, при условии, что неопределенность измерения, достигаемая испытательной лабораторией, не превышает нормативную максимальную расширенную неопределенность.
(обязательное)
МАКСИМАЛЬНАЯ РАЗРЕШЕННАЯ НЕОПРЕДЕЛЕННОСТЬ ИЗМЕРЕНИЙ
В таблице Б.1 представлены значения максимальной разрешенной неопределенности измерений для вероятности охвата 95%, которые применяют при испытаниях с целью утверждения типа, при периодических испытаниях для подтверждения соответствия требованиям настоящего стандарта и поверке.
Таблица Б.1
Максимальные разрешенные неопределенности
измерений для вероятности охвата 95%
Требование | Наименование таблицы или раздела | Максимальная разрешенная расширенная неопределенность измерения |
Частота входного сигнала | | 0,01% |
Уровень входного сигнала | | 0,1 дБ |
Уровень выходного сигнала | | 0,15 дБ при ( LU - L) <= 40 дБ <*>0,25 дБ при ( LU - L) > 40 дБ <*> |
Относительное затухание | | 0,20 дБ при  0,20 дБ при  0,50 дБ при  |
Отклонение эффективной ширины полосы,  | | 0,20 дБ |
Отклонение линейности уровня | | 0,2 дБ при ( LU - L) <= 40 дБ <*> |
| 0,35 дБ при ( LU - L) > 40 дБ <*> |
Работа в режиме стационарной системы | | 0,20 дБ |
Суммирование выходных сигналов | | 0,20 дБ |
Время спада фильтра | | 10% от показаний времени спада |
Влияние температуры и влажности воздуха | | 0,15 дБ |
<*> LU - уровень входного или выходного сигнала (по смыслу применения), соответствующий верхней границе линейного рабочего диапазона в используемом диапазоне уровней. L - уровень входного или выходного сигнала при испытании. Следует применять наибольшее значение неопределенности, обусловленной входным и выходным уровнями. |
(справочное)
ПРИМЕРЫ ОЦЕНОК СООТВЕТСТВИЯ ТРЕБОВАНИЯМ НАСТОЯЩЕГО СТАНДАРТА
В.1 Общие положения
В.1.1 Цель настоящего приложения состоит в том, чтобы сделать более понятным применение результатов и неопределенности измерений для оценки соответствия требованиям настоящего стандарта в ходе испытаний с целью утверждения типа по
ГОСТ Р 70024.2 или в ходе поверки по
ГОСТ Р 70024.3.
В.1.2 Настоящее приложение поясняет процесс оценки соответствия, используя некоторые показательные примеры общего характера.
В.2 Критерии соответствия
В.2.1 В соответствии с настоящим стандартом соответствие требованиям устанавливается, если измеренные отклонения от нормативного значения находятся в пределах допусков (не выходят за пределы интервала приемки), при этом неопределенность измерений не превышает значение максимальной разрешенной неопределенности для вероятности охвата 95%.
В.2.2 Существуют четыре возможные комбинации результатов проверки по этим двум критериям:
1) измеренные отклонения находятся в пределах допуска, и фактическая неопределенность не превышает максимальную разрешенную неопределенность.
В этом случае соответствие требованиям достигнуто;
2) измеренные отклонения находятся в пределах допуска, и фактическая неопределенность превышает максимальную разрешенную неопределенность.
В этом случае соответствие требованиям не достигнуто, так как превышена максимальная разрешенная неопределенность измерения;
3) измеренные отклонения выходят за пределы допуска, и фактическая неопределенность не превышает максимальную разрешенную неопределенность.
В этом случае соответствие требованиям не достигнуто, так как измеренные отклонения выходят за пределы допуска;
4) измеренные отклонения выходят за пределы допуска, и фактическая неопределенность превышает максимальную разрешенную неопределенность.
В этом случае соответствие требованиям не достигнуто, вследствие нарушения обоих критериев.
Примечание - В обоснованных случаях лаборатория может предварительно оценить неопределенность измерений. Если предварительно оцененная неопределенность превышает максимальное разрешенное значение, то лаборатория может не выполнять тест.
В.3 Примеры результатов испытаний
В.3.1 В таблице В.1 приведены примеры результатов испытаний, которые поясняют методологию оценки соответствия или несоответствия требованиям настоящего стандарта. Эта методология применима к любым видам испытаний, в которых указаны пределы допусков и максимальная разрешенная неопределенность.
Таблица В.1
Примеры оценки соответствия
Номер примера | Измеренное отклонение, дБ | Пределы допусков, дБ | Фактическая неопределенность, дБ | Максимальная разрешенная неопределенность, дБ | Соответствие требованиям (да или нет) | Причины соответствия или несоответствия |
1 | +1,7 | +1,0; -1,2 | 0,3 | 0,5 | Нет | Отклонение за пределом допуска |
2 | +1,1 | +1,0; -1,2 | 0,3 | 0,5 | Нет | Отклонение за пределом допуска |
3 | +1,0 | +1,0; -1,2 | 0,3 | 0,5 | Да | Отклонение в пределах допуска и неопределенность не превышает максимальной разрешенной |
4 | 0,0 | +1,0; -1,2 | 0,3 | 0,5 | Да | Отклонение в пределах допуска и неопределенность не превышает максимальной разрешенной |
5 | 0,0 | +1,0; -1,2 | 0,9 | 0,5 | Нет | Неопределенность превышает максимальную разрешенную |
6 | -0,5 | +1,0; -1,2 | 0,3 | 0,5 | Да | Отклонение в пределах допуска и неопределенность не превышает максимальной разрешенной |
7 | -1,2 | +1,0; -1,2 | 0,3 | 0,5 | Да | Отклонение в пределах допуска и неопределенность не превышает максимальной разрешенной |
8 | -1,3 | +1,0; -1,2 | 0,3 | 0,5 | Нет | Отклонение за пределом допуска |
9 | -2,0 | +1,0; -1,2 | 0,3 | 0,5 | Нет | Отклонение за пределом допуска |
10 | -2,0 | +1,0; -1,2 | 0,7 | 0,5 | Нет | Отклонение за пределом допуска и неопределенность превышает максимальную разрешенную |
В.3.3 На
рисунке В.1 нижний и верхний пределы допусков (пределы интервалов приемки) показаны темными горизонтальными линиями. Измеренные отклонения от нормативных значений обозначены сплошными маркерами. Маркеры-ромбы показывают соответствие требованиям, а маркеры-крестики - несоответствие.
В.3.4 На
рисунке В.1 фактическая неопределенность измерения показана в виде вертикального отрезка, а максимальная разрешенная неопределенность - в виде затененной полоски.
В.3.5 Принцип оценки соответствия, проиллюстрированный примерами
таблицы В.1 и рисунка В.1, применим как для испытаний утверждения типа, так и для периодических испытаний (поверки).
а - отклонение от нормативного значения, дБ; б - номер
г - нижний предел допуска
Рисунок В.1 - Примеры оценки соответствия
(справочное)
Г.1 По техническим причинам некоторые полосовые фильтры были рассчитаны в соответствии с модифицированными требованиями, полученными путем использования октавного отношения G = 2 во всех соответствующих формулах настоящего стандарта.
Г.2 Влияние выбора основания G = 2 вместо G = 103/10 на расчетные параметры и характеристики фильтра будет небольшим для тех фильтров, центральные частоты которых близки к опорной частоте.
Г.3 В области ниже опорной частоты точная центральная частота фильтра по основанию 2 будет меньше, чем соответствующая точная центральная частота фильтра по основанию 10. Для фильтра с номинальной центральной частотой 1 Гц это отличие по частоте составляет 2,3%.
Г.4 В области выше опорной частоты точная центральная частота фильтра по основанию 2 будет больше, чем соответствующая точная центральная частота фильтра по основанию 10.
Примечание - Графики спектров, отображаемые спектральными анализаторами, использующими расчет фильтров по основанию 2, часто используют обозначения частот по основанию 10.
Г.5 Вероятность того, что фильтр по основанию 2 соответствует требованиям настоящего стандарта, уменьшается по мере увеличения разности между центральной частотой фильтра и опорной частотой.
Г.6 Не рекомендуется использовать фильтры по основанию 2 во вновь разрабатываемых изделиях.
(обязательное)
НОМИНАЛЬНЫЕ ЦЕНТРАЛЬНЫЕ ЧАСТОТЫ
Д.1 Центральные частоты для октавных и третьоктавных фильтров
Точные и номинальные центральные частоты октавных и третьоктавных фильтров в слышимом диапазоне частот приведены в
таблице Е.1 для опорной частоты 1000 Гц. Точные центральные частоты рассчитаны до пяти значащих цифр с использованием
формулы (2) и октавного отношения
G, задаваемого
формулой (1). Эта
таблица может быть расширена на любое число декад по частоте посредством выбора индекса x или соответствующего расположения десятичного разделительного знака.
Примечание - Номинальные и центральные частоты фильтров, построенных с использованием иного значения опорной частоты, могут отличаться от значений, указанных в
таблице Е.1.
Д.2 Центральные частоты для фильтров на половину октавы
Точные центральные частоты фильтров шириной в половину октавы с показателем ширины полосы 1/
b = 1/2 следует рассчитывать по
формуле (3). Номинальные центральные частоты следует получать посредством округления до первых трех значащих цифр.
Д.3 Центральные частоты для других видов ширины полосы
Д.3.1 Для фильтров с показателем ширины полосы от 1/4 до 1/24 включительно точные центральные частоты следует рассчитывать по
формуле (2) и
формуле (3) соответственно.
Д.3.2 Если старшая значащая цифра (то есть крайняя слева) точной центральной частоты имеет значение от 1 до 4 включительно, то значение номинальной центральной частоты получают округлением до трех значащих цифр.
Д.3.3 Если старшая значащая цифра точной центральной частоты имеет значение от 5 до 9 включительно, то значение номинальной центральной частоты получают округлением до двух значащих цифр.
Д.3.4 Например, для 1/
b = 1/24 и
x = -111 точная центральная частота фильтра с опорной частотой 1000 Гц, полученная по
формуле (3), равна 41,567 Гц с точностью до пяти значащих цифр. Соответствующая номинальная центральная частота равна 41,6 Гц. Для
x = +75 точная центральная частота равна 8785,2 Гц с точностью до пяти значащих цифр, а соответствующая номинальная центральная частота равна 8800 Гц.
Д.3.5 Если знаменатель показателя ширины полосы больше 24, то количество значащих цифр следует увеличить, чтобы обеспечить однозначность определения номинальных центральных частот в каждой декаде.
Таблица Д.1
Центральные частоты октавных
и третьоктавных фильтров слышимого диапазона
Индекс x | Точная частота fm, Гц | Точная расчетная частота fm, Гц | Номинальная центральная частота, Гц | Октава | Третьоктава |
-16 | 101,4 | 25,119 | 25 | X | X |
-15 | 101,5 | 31,623 | 31,5 | X |
-14 | 101,6 | 39,811 | 40 | X |
-13 | 101,7 | 50,119 | 50 | X | X |
-12 | 101,8 | 63,096 | 63 | X |
-11 | 101,9 | 79,433 | 80 | X |
-10 | 102 | 100,00 | 100 | X | X |
-9 | 102,1 | 125,89 | 125 | X |
-8 | 102,2 | 158,49 | 160 | X |
-7 | 102,3 | 199,53 | 200 | X | X |
-6 | 102,4 | 251,19 | 250 | X |
-5 | 102,5 | 316,23 | 315 | X |
-4 | 102,6 | 398,11 | 400 | X | X |
-3 | 102,7 | 501,19 | 500 | X |
-2 | 102,8 | 630,96 | 630 | X |
-1 | 102,9 | 794,33 | 800 | X | X |
0 | 103 | 1000,0 | 1000 | X |
1 | 103,1 | 1258,9 | 1250 | X |
2 | 103,2 | 1584,9 | 1600 | X | X |
3 | 103,3 | 1995,3 | 2000 | X |
4 | 103,4 | 2511,9 | 2500 | X |
5 | 103,5 | 3162,3 | 3150 | X | X |
6 | 103,6 | 3981,1 | 4000 | X |
7 | 103,7 | 5011,9 | 5000 | X |
8 | 103,8 | 6309,6 | 6300 | X | X |
9 | 103,9 | 7943,3 | 8000 | X |
10 | 104 | 10000 | 10000 | X |
11 | 104,1 | 12589 | 12500 | X | X |
12 | 104,2 | 15849 | 16000 | X |
13 | 104,3 | 19953 | 20000 | X |
Примечание - Точные центральные частоты рассчитаны до пяти значащих цифр по формуле (2). |
(справочное)
ОТНОСИТЕЛЬНЫЕ ЧАСТОТЫ КОНТРОЛЬНЫХ ТОЧЕК КРИВЫХ ПРЕДЕЛОВ
ДОПУСКА МИНИМАЛЬНОГО И МАКСИМАЛЬНОГО ОТНОСИТЕЛЬНОГО
ЗАТУХАНИЯ ТРЕТЬОКТАВНЫХ ФИЛЬТРОВ
Е.1 В этом приложении приведен пример расчета относительных частот для пределов допуска на минимальное и максимальное относительное затухание третьоктавных фильтров. Пределы допусков на минимальное и максимальное относительное затухание третьоктавных фильтров также сведены в таблицу в соответствии с пределами, заданными в
таблице 1 для октавных фильтров.
Е.2 Рассмотрим пример. Пусть

. В соответствии с
формулой (9) находим высокочастотную контрольную точку для фильтра на долю октавы при 1/
b = 1/3 следующим образом:

. (Е.1)

(Е.2)
или примерно 1,02667.
Е.4 Из
формулы (10) относительная частота соответствующей низкочастотной контрольной точки:

. (Е.3)
или примерно 0,97402.
Е.5 Далее, используя
формулы (9) и
(10) для определения относительных частот контрольных точек допусков октавных фильтров
таблицы 1, получим относительные частоты третьоктавных фильтров, которые приведены в таблице Е.1.
Таблица Е.1
Пределы допуска для относительного
затухания третьоктавных фильтров
Относительная частота  | Минимальные и максимальные пределы допуска относительного затухания, дБ |
Класс 1 | Класс 2 |
| < 0,18546 | +70;  | +60;  |
| 0,32748 | +60;  | +54;  |
| 0,53143 | +40,5;  | +39,5;  |
| 0,77257 | +16,6;  | +15,6;  |
| | +1,2;  | +0,8;  |
| | -0,4; +5,3 | -0,6; +5,8 |
| 0,91958 | -0,4; +1,4 | -0,6; +1,7 |
| 0,94719 | -0,4; +0,7 | -0,6; +0,9 |
| 0,97402 | -0,4; +0,5 | -0,6; +0,7 |
 ,  | 1,00000 | -0,4; +0,4 | -0,6; +0,6 |
| 1,02667 | -0,4; +0,5 | -0,6; +0,7 |
| 1,05575 | -0,4; +0,7 | -0,6; +0,9 |
| 1,08746 | -0,4; +1,4 | -0,6; +5,7 |
| | -0,4; +5,3 | -0,6; +5,8 |
| | +1,2;  | +0,8;  |
| 1,29437 | +16,6;  | +15,6;  |
| 1,88173 | +40,5;  | +39,5;  |
| 3,05365 | +60;  | +54;  |
| > 5,39195 | +70;  | +60;  |
<*>  - любое малое число, стремящееся к нулю в окрестностях нижней и верхней относительных граничных частот. |
(справочное)
ХАРАКТЕРИСТИКИ ФИЛЬТРОВ ПРИ ПОДАЧЕ СИНУСОИДАЛЬНЫХ
СИГНАЛОВ С ЭКСПОНЕНЦИАЛЬНОЙ РАЗВЕРТКОЙ
Ж.1 Экспоненциальная частотная развертка
Ж.1.1 Частота синусоидального сигнала постоянной амплитуды при экспоненциальной развертке возрастает экспоненциально в зависимости от времени. Этот сигнал-развертку применяют в качестве входного сигнала фильтра. Развертка начинается в момент времени Tstart с начальной частоты fstart и заканчивается в момент времени Tend, когда достигается частота fend.
Ж.1.2 В любой момент времени развертки t частоту сигнала f(t) можно рассчитать по формуле
f(
t) =
fstartexp[
r(
t -
Tstart)]. (Ж.1)
Скорость развертки r предполагается постоянной и равной

, (Ж.2)
где ln обозначает натуральный логарифм.
Ж.2 Характеристики блока фильтров при подаче сигнала развертки
Ж.2.1 Развертку следует начинать на некоторой частоте, которая ниже наименьшей нижней границы полосы пропускания блока фильтров и имеет относительное затухание по крайней мере 60 дБ, и заканчивать на частоте выше наибольшей верхней границы полосы пропускания с относительным затуханием по крайней мере 60 дБ.
Ж.2.2 Измеряют средний по времени уровень выходного сигнала за время усреднения Tavg, которое начинается не позднее момента, когда частота развертки равна наименьшей нижней границе полосы пропускания блока фильтров, и относительное затухание равно по крайней мере 60 дБ, а заканчивается не ранее момента, когда частота развертки равна наибольшей верхней границе полосы пропускания и где относительное затухание опять равно по крайней мере 60 дБ.
Примечание - Вклад в средний по времени уровень выходного сигнала от частот, в которых относительное затухание больше 60 дБ, считается незначительным.
Ж.2.3 Для некоторого подходящего входного сигнала с уровнем Lin средний по времени выходной уровень определяется формулами:

(Ж.3)

(Ж.4)
Ж.2.4 Выражение в числителе сходно с определением эффективной ширины полосы пропускания по
формуле (13). Дальнейший анализ приводит к следующему:

, (Ж.5)
так как при экспоненциальной развертке, соответствующей
формуле (Ж.1):

. (Ж.6)
При этом считается, что величина

настолько мала, что ее можно приблизительно считать нулем, а величина

настолько велика, что ее можно рассматривать как бесконечно большую.
Ж.2.5 Это дает:

. (Ж.7)

. (Ж.8)
Это означает, что значение эффективной ширины полосы пропускания фильтра может быть получено из среднего по времени уровня выходного сигнала, если входной сигнал является экспоненциальной разверткой по частоте.
Ж.2.6 Для идеального полосового фильтра с нулевым относительным затуханием в полосе пропускания и с бесконечным относительным затуханием на других частотах
формула (Ж.4) может быть упрощена

,

, (Ж.9)
где t1 и t2 - моменты времени, когда частота сигнала-развертки равна граничным частотам f1 и f2 соответственно.
t1 = tstart + (1/r)ln(f1/fstart),
t2 = tstart + (1/r)ln(f2/fstart). (Ж.10)

,

,

, (Ж.11)
где
Br - относительная опорная эффективная ширина полосы в соответствии с
5.11.3.
Ж.2.8
Формулы (Ж.8) и
(Ж.11) совпадают при
Be =
Br, и экспоненциальная развертка может быть использована для измерения отклонения эффективной ширины полосы, если фильтр является стационарной системой.
1 - логарифмическая частотная шкала;
2 - линейная шкала времени
Примечание - Начало времени усреднения Tavg может быть до и после момента Tstart, а завершение может быть до и после момента Tend.
Рисунок Ж.1 - Соотношение между логарифмической
частотной шкалой и линейной временной
шкалой при экспоненциальной развертке
(справочное)
ИЗМЕРЕНИЕ ВРЕМЕНИ СПАДА ФИЛЬТРА
И.1 Общие положения
И.1.1 При измерении времени реверберации помещений, как правило, нужно получать результаты для различных частотных полос, таких как октавные или третьоктавные полосы. Помещение как правило, возбуждают широкополосным звуковым сигналом и измеряют характеристику в полосе фильтра. Время реверберации определяют по спаду уровня выходного сигнала каждого фильтра после отключения сигнала возбуждения.
И.1.2 Для помещений с большим временем реверберации результат слабо зависит от конструкции фильтра, до тех пор пока выполняются требования настоящего стандарта. Однако для помещений с малым временем реверберации конструкция фильтра может оказывать значительное влияние на получаемые результаты. Импульсная характеристика фильтра устанавливает предел для наиболее короткого времени реверберации, которое можно измерить. Этот предел называют временем спада фильтра.
И.1.3 Время спада фильтра определяют путем имитации измерения времени реверберации при прямой подаче на вход фильтра возбуждающего электрического сигнала - без влияния характеристик помещения на время спада фильтра.
И.2 Измерение времени спада фильтра
И.2.1 Аппаратура с возможностью измерения времени реверберации
И.2.1.1 Если фильтр или блок фильтров является частью прибора, обладающего функцией измерения времени реверберации, то именно эту функцию следует использовать для измерения времени спада фильтра. Если изготовитель фильтра или блока фильтров рекомендует использовать дополнительный прибор для измерения времени реверберации, то этот дополнительный прибор следует использовать для измерения времени спада фильтра.
И.2.1.2 Сначала следует выбрать опорный диапазон уровней. Сигналом на входе фильтра должен быть рекомендуемый сигнал возбуждения для используемого прибора, при этом его уровень должен быть, как минимум, на 40 дБ больше нижней границы линейного рабочего диапазона и не должен вызывать перегрузки фильтра. Следует установить диапазон измерения наименьшего возможного времени реверберации с рекомендуемым временным разрешением. Измерение должно быть повторено хотя бы раз. Полученное среднее значение должно рассматриваться как время спада фильтра.
И.2.2 Аппаратура без возможности измерения времени реверберации
И.2.2.1 Для фильтров, не являющихся частью прибора, обладающего функцией измерения времени реверберации, время спада фильтра следует измерять по следующей процедуре.
И.2.2.2 Сначала следует выбрать опорный диапазон. Сигналом на входе фильтра должен быть стационарный розовый или белый шум, такой, что его уровень должен быть, как минимум, на 40 дБ больше нижней границы линейного рабочего диапазона и не должен вызывать перегрузки фильтра. Следует измерить средний по времени уровень сигнала L0. Выключают входной сигнал и измеряют уровень выходного сигнала, L(t), как функцию времени. Время усреднения измеряемого уровня должно быть достаточно коротким, чтобы не влиять на результат. Скорость спада уровня R в децибелах в секунду следует определять по линейной участку спада выходного сигнала в дБ (линейная регрессия методом наименьших квадратов) в интервале между минус 5 и минус 25 дБ относительно L0. Скорость спада уровня считается отрицательной величиной. Время спада фильтра Td определяют по формуле
Td = (-60 дБ)/R. (И.1)
И.2.2.3 Измерение следует повторить по меньшей мере один раз. Полученное среднее арифметическое значение следует рассматривать в качестве времени спада фильтра. Рекомендуется вместо усреднения времен спада фильтра проводить усреднение кривых спада (усреднение по ансамблю) перед построением линейного участка.
(справочное)
ДОПОЛНИТЕЛЬНЫЕ ТРЕБОВАНИЯ К ТРЕТЬОКТАВНЫМ АНАЛИЗАТОРАМ
СПЕКТРА, ПРЕДНАЗНАЧЕННЫМ ДЛЯ ИЗМЕРЕНИЯ НЕСТАЦИОНАРНЫХ
АВИАЦИОННЫХ ШУМОВ
К.1 Общие положения
Измерения воспринимаемого на земле шума воздушных судов (самолетов, вертолетов и т.п.) в целях сертификации согласно
[3] проводят при пролете воздушного судна над контрольными точками, при этом акустический процесс является нестационарным, а измерительная система должна обеспечивать возможность увязки регистрируемых уровней звукового давления с положением воздушного судна на траектории. В
[3] даны основные технические требования к такой измерительной системе, в том числе к ее анализирующей части, содержащей третьоктавные фильтры, соответствующие требованиям настоящего стандарта. Для обеспечения единства измерений при сертификации воздушных судов в диапазоне частот от 50 Гц до 10 кГц принят стандарт
[2]. Целью настоящего приложения является: дать информацию о том, какие дополнительные испытания электрических характеристик третьоктавных спектрометров необходимо провести при проведении их испытаний в целях утверждения типа или при периодических испытаниях для подтверждения соответствия требованиям
[2] и
[3].
Приведенная здесь информация может быть также использована для формулирования требований к анализаторам спектра, предназначенным для измерения 1/3-октавных уровней сигнала с временной коррекцией S.
Примечание - Временная коррекция
S описана в
ГОСТ Р 53188.1 и определяется как экспоненциальное усреднение с постоянной времени 1 с.
К.2 Общие требования к измерительной системе (исключая микрофон)
К.2.1 Требования к частотной характеристике
При подаче на вход измерительной системы стационарных синусоидальных электрических сигналов, уровень которых находится в пределах 5 дБ от опорного уровня в опорном диапазоне шкалы, показания среднего по времени третьоктавного уровня сигнала с частотой, равной точной центральной частоте третьоктавного фильтра в диапазоне от 50 Гц до 10 кГц должны быть в пределах +/- 1,5 дБ относительно показаний для сигнала с опорной частотой.
Примечание - В случае системы, предназначенной для измерения шума воздушных судов, электрические сигналы при испытаниях должны подаваться на вход микрофонного предусилителя через электрический эквивалент капсюля микрофона. В этом случае будет учтена частотная характеристика микрофона (капсюль + предусилитель) в диапазоне низких частот, которую не всегда учитывают при испытаниях фильтров на соответствие требованиям настоящего стандарта.
К.2.2.1 При подаче на вход измерительной системы стационарных синусоидальных электрических сигналов с частотами, соответствующими точным центральным частотам третьоктавных фильтров в диапазоне от 50 Гц до 10 кГц, отклонение от линейности уровня должно находиться в пределах +/- 0,4 дБ для опорного диапазона уровней и +/- 0,5 дБ в других диапазонах, при этом линейный рабочий диапазон должен быть не менее 50 дБ.
К.2.2.2 Линейные рабочие диапазоны соседних диапазонов уровней должны перекрываться не менее чем на 50 дБ за вычетом изменения усиления, вносимого переключателем диапазонов.
В опорном диапазоне уровней верхняя граница линейного рабочего диапазона должна быть более чем на 5 дБ выше опорного уровня звукового давления.
Примечание - Предположим для примера, что измерительная система имеет переключатели диапазона уровней, которые обеспечивают изменение усиления на 10 дБ или 1 дБ. Если диапазоны переключаются с шагом 10 дБ, то требуемое минимальное перекрытие соседних диапазонов уровней должно быть 40 дБ, а при переключении с шагом 1 дБ требуемое минимальное перекрытие составляет 49 дБ.
К.2.2.3 Для каждого диапазона уровней верхняя граница линейного рабочего диапазона для каждой центральной частоты третьоктавных фильтров должна находиться в пределах +/- 2,0 дБ от верхней границы линейного рабочего диапазона при опорной частоте.
К.3 Требования к системе спектрального анализа
К.3.1 Третьоктавный анализ
К.3.1.1 Система третьоктавного спектрального анализа должна удовлетворять требованиям к электрическим характеристикам для класса 1, установленным настоящим стандартом для фильтров с центральными частотами от 50 Гц до 10 кГц, за исключением того, что линейность уровня должна соответствовать
К.2.2. В число этих электрических характеристик входят относительное затухание, эффективная ширина полосы пропускания фильтра, линейный рабочий диапазон, работа в режиме стационарной системы, антиалайзинговые фильтры и влияние внешних условий.
К.3.1.2 Интервал между последовательными выборками уровня звукового давления на выходе фильтров должен быть (500 +/- 5) мс. Выборки должны соответствовать среднеквадратичным значениям звукового давления в каждой третьоктавной полосе за этот интервал времени. При усреднении может быть опущено не более 5 мс интервала выборки.
К.3.2 Временные постоянные
К.3.2.1 Третьоктавные данные, используемые для расчета эффективного уровня воспринимаемого шума (EPNL), основаны на временной коррекции S. Измерения могут производиться как с использованием временной коррекции S, так и без нее, то есть с применением временной коррекции в процессе сбора данных или после него (постобработка).
К.3.2.2 Если измерительная система использует временную коррекцию S, и на выход измерительной системы поступают только значения с временной коррекцией S, то показания на выходе фильтра и детектора при внезапном включении или выключении синусоидального сигнала соответствующей центральной третьоктавной частоты следует измерять в моменты выборки 0,5, 1, 1,5 и 2 секунды после внезапного включения и 0,5 и 1 секунда после выключения.
Характеристика нарастания должна быть (-4 +/- 1) дБ через 0,5 с, (-1,75 +/- 0,75) дБ через 1 с, (-1 +/- 0,5) дБ через 1,5 с и (-0,5 +/- 0,5) дБ через 2 с соответственно по отношению к установившемуся уровню. Характеристика спада должна быть такой, что сумма выходных уровней по отношению к начальному установившемуся уровню и соответствующей характеристики нарастания (-6,5 +/- 1) дБ как через 0,5 с, так и через 1 с. Для последующих выборок сумма характеристик нарастания и спада должна быть -7,5 дБ или менее. Это соответствует экспоненциальному усреднению S с постоянной времени 1 с (т.е. времени усреднения 2 с).
Если третьоктавные уровни звукового давления на выходе анализатора определены без временной коррекции S, то об этом должно быть указано в эксплуатационной документации, для того чтобы применить временную коррекцию S при постобработке данных.
К.3.3 Сдвиг по времени
К.3.3.1 Момент времени, к которому относится значение уровня с временной коррекцией S, происходит на 0,75 с ранее фактического времени считывания.
Примечание - При измерении спектра шума воздушных судов определение этого момента времени требуется для соотнесения записанного шума с положением воздушного судна, излучавшего его.
К.3.3.2 Для каждой записанной полусекундной выборки уровня с временной коррекцией S этот момент времени можно также определить как 1,25 с после начала 2-секундного периода усреднения.
(справочное)
ДОПОЛНИТЕЛЬНЫЕ ТРЕБОВАНИЯ К НАБОРАМ
ПОЛОСОВЫХ ФИЛЬТРОВ СО СДВИНУТОЙ ПОЛОСОЙ ПРОПУСКАНИЯ
Л.1 Общие положения
Л.1.1 Фильтры, описываемые настоящим приложением, следует называть фильтрами октавными или на долю октавы со сдвинутой полосой пропускания. Такие фильтры предназначены для использования в комбинации со стандартными фильтрами, описанных в основной части стандарта, для более точного анализа различных тональных сигналов.
В том случае, если частота сигнала попадает на границу полосы пропускания соседних стандартных фильтров или изменяется так, что за время измерения попадает в полосы пропускания разных фильтров, измеренные спектры будут малопригодны для идентификации тонов. Одним из вариантов решения этой проблемы является применении набора вспомогательных фильтров, центральные частоты которых сдвинуты на половину ширины пропускания фильтров основного набора. Для систем реального времени такое решение может быть более предпочтительным, чем использование обычных стандартных фильтров с более высоким значением показателя ширины полосы.
Л.1.2 Фильтры со сдвинутой полосой пропускания следует применять только в комбинации с соответствующим набором стандартных фильтров.
Л.1.3 Центральные частоты фильтров со сдвинутой полосой пропускания должны быть равны граничным частотам стандартных фильтров от верхней граничной частоты самого низкочастотного фильтра набора до нижней граничной частоты самого высокочастотного фильтра.
Л.1.4 При испытаниях фильтров со сдвинутой полосой пропускания должен применяться в качестве опорного уровня сигнала тот же уровень, что и для соответствующего набора стандартных фильтров.
Л.2 Требования к фильтрам со сдвинутой полосой пропускания
Л.2.1 Центральные частоты (точные и номинальные)
Л.2.1.1 Центральные частоты фильтров должны быть равны граничным частотам стандартных фильтров от верхней граничной частоты самого низкочастотного фильтра набора до нижней граничной частоты самого высокочастотного фильтра.
Л.2.1.2 Для набора стандартных фильтров с нечетным показателем ширины полосы, точные центральный частоты которых заданы
формулой (2), где
x =
xs,...,
xe, точные центральные частоты соответствующего набора фильтров со сдвинутой полосой пропускания должны определяться следующим выражением:

, (Л.1)
где y = xs,..., xe - 1, а величины b, xs, xe равны соответствующим значениям набора стандартных фильтров.
Л.2.1.3 Для набора стандартных фильтров с четным показателем ширины полосы, центральные частоты которых заданы
формулой (3), где
x =
xs,...,
xe, точные центральные частоты
fm,1/2 соответствующего набора фильтров со сдвинутой полосой пропускания должны определяться следующим выражением:
fm,1/2 =
frG(y+1)b, (Л.2)
где y = xs,..., xe - 1, а величины b, xs, xe равны соответствующим значениям набора стандартных фильтров.
Л.2.2 Граничные частоты
Л.2.2.1 Нижняя и верхняя границы полосового фильтра со сдвинутой полосой пропускания должны совпадать с точными центральными частотами ближайших предшествующего и последующего стандартных фильтров для того же показателя ширины полосы:
f1 =
fm,1/2G-1/(2b) (Л.3)
и
f2 = fm,1/2G+1/(2b), (Л.4)
где f1 - нижняя граничная частота;
f2 - верхняя граничная частота;
fm,1/2 - точная центральная частота фильтра со сдвинутой полосой пропускания, определяемая по
формуле (Л.2) или
(Л.3).
Л.2.2.2 Относительная ширина полосы фильтра со сдвинутой полосой пропускания задается как (f2 - f1)/fm,1/2 = G+1/(2b) - G-1/(2b).
Л.2.3 Основное и относительное затухание
Л.2.3.1 При определении и измерении характеристик фильтров со сдвинутой полосой пропускания относительная частота

должна определяться как

.
Л.2.3.2 Для любой относительной частоты

затухание фильтра

рассчитывают по
формуле (7) 5.8.1.
Л.2.3.3 Основное затухание фильтров со сдвинутой шириной полосы пропускания должно совпадать с основным затуханием соответствующих стандартных фильтров, в комбинации с которыми они применяются.
Л.2.3.4 Относительное затухание фильтра

для любой относительной частоты

рассчитывают по
формуле (8) 5.10.1. Относительное затухание фильтров со сдвинутой полосой пропускания должно удовлетворять требованиям для стандартных фильтров с тем же показателем полосы пропускания, в комбинации с которыми они используются. Пределы допуска при этом принимают согласно классу соответствующих стандартных фильтров.
Л.2.4 Относительная эффективная ширина полосы пропускания
Л.2.4.1 Относительная эффективная ширина и опорная относительная эффективная ширина полосы фильтров со сдвигом полосы пропускания должна быть определена согласно
5.11.
| | ИС МЕГАНОРМ: примечание. В официальном тексте документа, видимо, допущена опечатка: имеется в виду формула (16), а не формула (15). | |
Л.2.4.2 Отклонение эффективной ширины полосы пропускания должно быть определено по
формуле (15) 5.12.1. Пределы допуска при этом принимают согласно классу соответствующих стандартных фильтров, с которыми используют фильтры со сдвинутой полосой пропускания.
Л.2.5 Линейный рабочий диапазон
Л.2.5.1 Фильтры со сдвинутой полосой пропускания должны иметь такое же количество диапазонов уровней, что и стандартные фильтры, в комбинации с которыми они применяются. Требования к перекрытию линейных рабочих диапазонов различных диапазонов уровней следует принимать согласно
5.13.5 с учетом класса соответствующих стандартных фильтров.
Л.2.5.2 Фильтры со сдвинутой полосой пропускания должны иметь тот же опорный диапазон уровней, что и соответствующие стандартные фильтры.
Л.2.5.3 Требования к линейному рабочему диапазону фильтров со сдвинутой полосой пропускания следует принимать согласно
5.13.1,
5.13.2,
5.13.3,
5.13.4 для класса соответствующих стандартных фильтров.
Л.2.6 Работа в режиме стационарной системы
Если набор стандартных фильтров удовлетворяет требованиям
5.14.1 -
5.14.3 для работы в режиме стационарной системе, то соответствующий ему набор фильтров со сдвинутой полосой пропускания должен удовлетворять этим требованиям.
Л.2.7 Суммирование выходных сигналов
Для синусоидального входного сигнала любой частоты, лежащей между центральными частотами двух соседних октавных фильтров или фильтров на долю октавы со сдвинутой полосой пропускания, пределы допуска для разности между уровнем входного сигнала минус основное затухание и уровнем суммы среднеквадратичных значений выходных сигналов смежных фильтров с заданной шириной полосы должны быть в пределах от 0,8 до минус 1,8 дБ для приборов класса 1 и от 1,8 до минус 3,8 дБ - для приборов класса 2.
| | Государственная система обеспечения единства измерений. Метрология. Основные термины и определения |
| МЭК 61265:2018 | Электроакустика. Приборы для измерения авиационного шума. Требования к рабочим характеристикам систем измерения уровней звукового давления для сертификации самолетов по шуму (Electroacoustics - Instruments for measurement of aircraft noise - Performance requirements for systems to measure sound pressure levels in noise certification of aircraft) |
| Приложение 16 ИКАО. Том 1 | Приложение 16 к Конвенции о международной гражданской авиации. Охрана окружающей среды. Том 1. Авиационный шум |
УДК 534.322.3.08:006.354 | |
Ключевые слова: полосовой фильтр, октава, относительное затухание, шумомер |