Главная // Актуальные документы // ГОСТ Р (Государственный стандарт)СПРАВКА
Источник публикации
М.: ФГБУ "Институт стандартизации", 2022
Примечание к документу
Документ
введен в действие с 01.01.2023.
Взамен ГОСТ Р 8.714-2010 (МЭК 61260:1995) в части методов испытаний.
Название документа
"ГОСТ Р 70024.2-2022. Национальный стандарт Российской Федерации. Государственная система обеспечения единства измерений. Фильтры полосовые октавные и на долю октавы. Часть 2. Испытания в целях утверждения типа"
(утв. и введен в действие Приказом Росстандарта от 15.11.2022 N 1293-ст)
"ГОСТ Р 70024.2-2022. Национальный стандарт Российской Федерации. Государственная система обеспечения единства измерений. Фильтры полосовые октавные и на долю октавы. Часть 2. Испытания в целях утверждения типа"
(утв. и введен в действие Приказом Росстандарта от 15.11.2022 N 1293-ст)
Утвержден и введен в действие
агентства по техническому
регулированию и метрологии
от 15 ноября 2022 г. N 1293-ст
НАЦИОНАЛЬНЫЙ СТАНДАРТ РОССИЙСКОЙ ФЕДЕРАЦИИ
ГОСУДАРСТВЕННАЯ СИСТЕМА ОБЕСПЕЧЕНИЯ ЕДИНСТВА ИЗМЕРЕНИЙ
ФИЛЬТРЫ ПОЛОСОВЫЕ ОКТАВНЫЕ И НА ДОЛЮ ОКТАВЫ
ЧАСТЬ 2
ИСПЫТАНИЯ В ЦЕЛЯХ УТВЕРЖДЕНИЯ ТИПА
State system for ensuring the uniformity of measurements.
Octave-band and fractional-octave-band filters. Part 2.
Pattern approval tests
(IEC 61260-2:2016, NEQ)
ГОСТ Р 70024.2-2022
Дата введения
1 января 2023 года
1 РАЗРАБОТАН Обществом с ограниченной ответственностью "Производственно-коммерческая фирма Цифровые приборы" (ООО "ПКФ Цифровые приборы")
2 ВНЕСЕН Техническим комитетом по стандартизации ТК 206 "Эталоны и поверочные схемы"
3 УТВЕРЖДЕН И ВВЕДЕН В ДЕЙСТВИЕ
Приказом Федерального агентства по техническому регулированию и метрологии от 15 ноября 2022 г. N 1293-ст
4 В настоящем стандарте учтены основные нормативные положения международного стандарта МЭК 61260-2:2016 "Электроакустика. Фильтры полосовые октавные и на доли октавы. Часть 2. Испытания в целях утверждения типа" (IEC 61260-2:2016 "Electroacoustics - Octave-band and fractional-octave-band filters - Part 2: Pattern evaluation tests", NEQ)
5 ВЗАМЕН ГОСТ Р 8.714-2010 (МЭК 61260:1995) в части методов испытаний
Правила применения настоящего стандарта установлены в статье 26 Федерального закона от 29 июня 2015 г. N 162-ФЗ "О стандартизации в Российской Федерации". Информация об изменениях к настоящему стандарту публикуется в ежегодном (по состоянию на 1 января текущего года) информационном указателе "Национальные стандарты", а официальный текст изменений и поправок - в ежемесячном информационном указателе "Национальные стандарты". В случае пересмотра (замены) или отмены настоящего стандарта соответствующее уведомление будет опубликовано в ближайшем выпуске ежемесячного информационного указателя "Национальные стандарты". Соответствующая информация, уведомление и тексты размещаются также в информационной системе общего пользования - на официальном сайте Федерального агентства по техническому регулированию и метрологии в сети Интернет (www.rst.gov.ru)
Настоящий стандарт входит в комплекс стандартов на полосовые октавные фильтры и фильтры на долю октавы ГОСТ Р 70024 в качестве его второй части. В частях 1 и 3 изложены общие технические требования и методика поверки соответственно.
Комплекс стандартов ГОСТ Р 70024 используют для оценки соответствия требованиям критериев, которые отличаются от применявшихся ранее в ГОСТ Р 8.714-2010 (МЭК 61260:1995).
ГОСТ Р 8.714-2010 не содержал требований или рекомендаций по учету неопределенности измерений при оценке соответствия требованиям. Такое отсутствие требований или рекомендаций по учету неопределенности измерений создавало неясность с выявлением соответствия в ситуациях, когда измеренное отклонение от нормативного значения было близко к пределу допуска. Если решение о соответствии принималось на основе того, превышает или не превышает измеренное отклонение пределы допуска, то конечный пользователь октавных фильтров или фильтров в долю октавы сталкивался с риском, что действительное отклонение от нормативного значения превышает допустимый предел.
Настоящий стандарт использует измененный критерий оценки соответствия. Соответствие требованиям считается установленным, если измеренные отклонения от нормативов не выходят за пределы допусков и неопределенность измерений не превышает соответствующей максимально разрешенной неопределенности. Пределы допусков в данном стандарте аналогичны конструкционно-производственным допускам, которые были неявно использованы в ГОСТ Р 8.714-2010.
Значения фактической и максимальной разрешенной неопределенности установлены для вероятности охвата 95%. При отсутствии дополнительной информации оценка вклада конкретного фильтра или набора фильтров в общую неопределенность измерений может быть основана на значениях пределов допусков и максимальной разрешенной неопределенности, указанных в настоящем стандарте.
В данном стандарте указаны диапазоны условий, в пределах которых должны проводиться испытания. Это так называемые нормальные условия, близкие к опорным: диапазон температуры воздуха от 20 °C до 26 °C при относительной влажности от 40% до 70% и статическое (атмосферное) давление от 97 до 103 кПа. Существенными отличиями настоящего комплекса национальных стандартов от МЭК 61260-1:2014 являются, во-первых, наличие рекомендаций для вспомогательных полосовых фильтров со сдвинутой полосой пропускания, во-вторых, наличие рекомендаций по заявлению временных характеристик измерительных систем, содержащих полосовые фильтры и использующихся для исследования переходных сигналов.
В
приложении В настоящего стандарта приведена информация об испытаниях тех функций фильтров, соответствующих
ГОСТ Р 70024.1, которые являются дополнительными по отношению МЭК 61260-1:2014.
1.1 Настоящий стандарт описывает испытания, необходимые для проверки соответствия всем обязательным требованиям, приведенным в
ГОСТ Р 70024.1 для полосовых октавных фильтров и фильтров на долю октавы.
1.2 Виды и методы испытаний применимы для фильтров классов 1 и 2. Цель настоящего стандарта - обеспечение всех испытательных лабораторий надежными методами выполнения испытаний в целях утверждения типа.
В настоящем стандарте использованы нормативные ссылки на следующие стандарты:
ГОСТ 30804.4.2-2013 (IEC 61000-4-2:2008) Совместимость технических средств электромагнитная. Устойчивость к электростатическим разрядам. Требования и методы испытаний
ГОСТ 30804.4.3-2013 (IEC 61000-4-3:2006) Совместимость технических средств электромагнитная. Устойчивость к радиочастотному электромагнитному полю. Требования и методы испытаний
ГОСТ 30804.6.1 (IEC 61000-6-1:2005) Совместимость технических средств электромагнитная. Устойчивость к электромагнитным помехам технических средств, применяемых в жилых, коммерческих зонах и производственных зонах с малым энергопотреблением. Требования и методы испытаний
ГОСТ 30804.6.2-2013 (IEC 61000-6-2:2005) Совместимость технических средств электромагнитная. Устойчивость к электромагнитным помехам технических средств, применяемых в промышленных зонах. Требования и методы испытаний
ГОСТ 30805.22-2013 (CISPR 22:2008) Совместимость технических средств электромагнитная. Оборудование информационных технологий. Радиопомехи индустриальные. Нормы и методы измерений
ГОСТ 34100.3 (ISO/IEC Guide 98-3:2008) Неопределенность измерения. Часть 3. Руководство по выражению неопределенности измерения
ГОСТ CISPR 16-1-1 Требования к аппаратуре для измерения радиопомех и помехоустойчивости и методы измерения. Часть 1-1. Аппаратура для измерения радиопомех и помехоустойчивости. Измерительная аппаратура
ГОСТ CISPR 16-1-2 Требования к аппаратуре для измерения радиопомех и помехоустойчивости и методы измерения. Часть 1-2. Аппаратура для измерения радиопомех и помехоустойчивости. Устройства связи для измерений кондуктивных помех
ГОСТ CISPR 16-2-1 Требования к аппаратуре для измерения радиопомех и помехоустойчивости и методы измерения. Часть 2-1. Методы измерения помех и помехоустойчивости. Измерения кондуктивных помех
ГОСТ CISPR 16-2-3 Требования к аппаратуре для измерения радиопомех и помехоустойчивости и методы измерения. Часть 2-3. Методы измерения радиопомех и помехоустойчивости. Измерения излучаемых помех
ГОСТ IEC 61000-4-3 Электромагнитная совместимость (ЭМС). Часть 4-3. Методы испытаний и измерений. Испытание на устойчивость к излучаемому радиочастотному электромагнитному полю
ГОСТ IEC 61000-6-3 Электромагнитная совместимость (ЭМС). Часть 6-3. Общие стандарты. Стандарт электромагнитной эмиссии для жилых, коммерческих и легких промышленных обстановок
ГОСТ Р 51317.4.6 Совместимость технических средств электромагнитная. Устойчивость к кондуктивным помехам, наведенным радиочастотными электромагнитными полями. Требования и методы испытаний
ГОСТ Р 53188.1 Государственная система обеспечения единства измерений. Шумомеры. Часть 1. Технические требования
ГОСТ Р 70024.1-2022 Государственная система обеспечения единства измерений. Фильтры полосовые октавные и на долю октавы. Часть 1. Технические требования
Примечание - При использовании настоящего стандарта целесообразно проверить действие ссылочных стандартов в информационной системе общего пользования - на официальном сайте Федерального агентства по техническому регулированию и метрологии в сети Интернет или по ежегодному информационному указателю "Национальные стандарты", который опубликован по состоянию на 1 января текущего года, и по выпускам ежемесячного информационного указателя "Национальные стандарты" за текущий год. Если заменен ссылочный стандарт, на который дана недатированная ссылка, то рекомендуется использовать действующую версию этого стандарта с учетом всех внесенных в данную версию изменений. Если заменен ссылочный стандарт, на который дана датированная ссылка, то рекомендуется использовать версию этого стандарта с указанным выше годом утверждения (принятия). Если после утверждения настоящего стандарта в ссылочный стандарт, на который дана датированная ссылка, внесено изменение, затрагивающее положение, на которое дана ссылка, то это положение рекомендуется применять без учета данного изменения. Если ссылочный стандарт отменен без замены, то положение, в котором дана ссылка на него, рекомендуется применять в части, не затрагивающей эту ссылку.
4 Представление на испытания
4.1 На испытания в целях утверждения типа должны быть представлены по меньшей мере три образца одной и той же модели полосового фильтра. Испытательная лаборатория должна отобрать не менее двух образцов для испытаний. По крайней мере один из этих двух образцов должен пройти полный объем испытаний в соответствии с требованиями настоящего стандарта. Испытательная лаборатория должна принять решение, следует ли также подвергать полным испытаниям второй образец или для утверждения типа достаточно провести дополнительные исследования в ограниченном объеме.
4.2 В комплекте с фильтрами должны быть предоставлены эксплуатационная документация и все компоненты или принадлежности, которые указаны в эксплуатационной документации в качестве неотъемлемых составных частей при типовом режиме работы.
4.3 Если изготовитель фильтров поставляет устройства, которые подключают к прибору с помощью кабелей для типового режима работы, то эти устройства и кабели должны быть предоставлены вместе с фильтрами.
5 Маркировка фильтра и сведения в эксплуатационной документации
5.1 Должно быть проверено, что маркировка фильтра соответствует требованиям
ГОСТ Р 70024.1.
5.2 Должно быть проверено, что эксплуатационная документация содержит все сведения, требуемые
ГОСТ Р 70024.1 с учетом фактических функциональных возможностей фильтра.
5.3 Если фильтр не соответствует требованиям
5.1 и
5.2, то испытания в целях утверждения типа не проводят.
5.4 После завершения испытаний проводят повторный анализ указанных сведений для проверки их корректности, а также для проверки отсутствия превышения каких-либо пределов допуска.
6 Обязательные возможности (функции) и общие требования
6.1 Общие положения
6.1.1 Должны быть приведены все виды испытаний, предусмотренные настоящим стандартом, за исключением ситуаций, когда полосовой фильтр не имеет функций, для которых предназначено испытание. При изменении конструкции полосового фильтра, который ранее успешно прошел процедуру утверждения типа и вновь был представлен на испытания, повторные проверки характеристик, на которые не влияет изменение конструкции, могут не проводиться, по усмотрению испытательной лаборатории.
6.1.2 Если фильтр не обладает какими-либо обязательными функциями, перечисленными
ГОСТ Р 70024.1, такими как индикатор перегрузки или средство проверки электропитания для фильтра с батарейным питанием, то фильтр не соответствует требованиям
ГОСТ Р 70024.1, и дальнейшие испытания в целях утверждения типа не проводят.
6.1.3 Все испытания в целях утверждения типа следует проводить для конфигурации фильтра, которая должна быть определена в эксплуатационной документации для одного из обычных режимов работы, включая все необходимые принадлежности. Испытаниям должны подвергаться все конфигурации фильтра, которые указаны в эксплуатационной документации как соответствующие требованиям
ГОСТ Р 70024.1.
6.1.4 Если в эксплуатационной документации указано, что фильтр соответствует требованиям
ГОСТ Р 70024.1 при наличии поставляемых дополнительно приспособлений или функциональных модификаций, то соответствие необходимым требованиям следует проверить также для конфигурации с этими дополнительными опциями.
6.1.5 Если фильтр встроен в прибор, содержащий детектор уровня или показывающее устройство для отображения уровня выходного сигнала фильтра с разрешением по крайней мере 0,1 дБ, то показания этого устройства следует использовать при испытаниях, если такое возможно. Если предусмотрен электрический выход, соответствующий показываемым значениям, и испытательная лаборатория намерена использовать этот электрический выход вместо показывающего устройства, то лаборатория должна убедиться, что изменения уровня входного электрического сигнала приводят к соответствующим изменениям уровней на показывающем устройстве и на электрическом выходе, которые соответствуют требованиям
ГОСТ Р 70024.1.
6.1.6 Для полосовых фильтров, предназначенных для работы с измерительными приборами, удовлетворяющими требованиям
ГОСТ Р 53188.1 на шумомеры, следует использовать показывающее устройство этих приборов для измерения уровня выходного сигнала.
6.1.7 Для блоков фильтров с цифровым показывающим устройством или с цифровым выходом, формат которого предоставлен изготовителем (например, при подключении через цифровой интерфейс), выходной уровень должен быть определен по числовым показаниям или по подключенному к цифровому выходу подходящему показывающему или регистрирующему устройству. Если прибор имеет несколько выходов и в эксплуатационной документации указано, какой из них надо использовать для испытаний, то именно этот выход должен использоваться для испытаний в целях утверждения типа.
6.1.8 Если эксплуатационная документация содержит процедуру настройки фильтра, например регулировку чувствительности, то эту процедуру следует выполнять до проведения любых измерений.
6.1.9 Во всех видах испытаний питание фильтра должно осуществляться через предпочтительный источник. Если эксплуатационная документация содержит требования к встроенным батареям питания, то такие батареи должны быть установлены для испытаний в целях утверждения типа.
6.1.10 Перед включением питания и выполнением испытаний фильтр должен прийти в равновесное состояние с окружающей средой.
6.1.11 Если фильтр имеет более одного канала обработки сигналов, то испытания в целях утверждения типа следует выполнять для каждого канала, реализующего собственный способ обработки сигналов. В случае многоканальных систем, все каналы которых функционально эквивалентны, количество каналов, подлежащих испытаниям, может быть меньше, чем их общее число, по усмотрению лаборатории.
6.1.12 Соответствие требованиям стандарта считают подтвержденным, если выполнены следующие критерии:
а) измеренные отклонения от нормативных значений находятся в пределах допусков (в границах интервала приемки);
б) соответствующая неопределенность измерения не превышает соответствующего значения максимальной разрешенной неопределенности, приведенной в
ГОСТ Р 70024.1 для уровня доверия 95%.
В
ГОСТ Р 70024.1 приведены примеры оценки соответствия с использованием этих критериев.
6.1.13 Лаборатории, выполняющие испытания в целях утверждения типа, должны рассчитывать неопределенности измерений в соответствии с руководством
ГОСТ 34100.3. Фактические неопределенности измерений следует вычислять для уровня доверия 95%. При расчете фактической неопределенности измерений для конкретного испытания должны учитываться, как минимум, следующие составляющие (в зависимости от применимости):
- неопределенность, связанная с калибровкой самих приборов и оборудования, используемого для проведения испытаний;
- неопределенность, связанная с влиянием внешних условий;
- неопределенность, связанная с погрешностями, которые могут быть в подаваемых сигналах;
- неопределенность, обусловленная факторами, которые связаны с повторяемостью результатов измерений. Если лаборатории необходимо выполнить единственное измерение, следует определить вклад случайной составляющей в общую неопределенность. Такой расчет должен быть выполнен на основе анализа проведенных ранее испытаний аналогичных фильтров;
- неопределенность, связанная с разрешением показывающего устройства, на котором отображается выходная характеристика фильтра. В случае цифровых показывающих устройств, которые обеспечивают индикацию уровня сигнала с разрешением 0,1 дБ, эту составляющую неопределенности следует вычислять по прямоугольному распределению вероятности с полушириной полосы 0,05 дБ.
6.1.14 Если неопределенность измерения превышает значение максимальной разрешенной неопределенности, то результаты испытания не должны быть использованы для подтверждения соответствия требованиям стандарта, а решение об утверждении типа не должно приниматься.
6.1.15 При проведении испытаний в целях утверждения типа лаборатория должна использовать рекомендации, имеющиеся в эксплуатационной документации, в случае их применимости.
6.2 Приборы для испытаний
6.2.1 Лаборатория должна использовать приборы с действующей поверкой или калибровкой. Должна быть обеспечена метрологическая прослеживаемость измерений к национальным эталонам.
6.2.2 В большинстве требуемых испытаний используют установившиеся синусоидальные сигналы различных частот и уровней. Синусоидальные сигналы для испытания затухания фильтров должны иметь коэффициент нелинейных искажений не более 0,01% для фильтров класса 1 и не более 0,03% для фильтров класса 2. Нелинейные искажения синусоидальных сигналов в других видах испытаний не должны превышать 0,1%.
6.2.3 При проведении испытаний работы в режиме стационарной системы используют синусоидальный сигнал постоянной амплитуды, частота которого изменяется или разворачивается по экспоненциальному закону. Должна быть выполнена оценка влияния неопределенности амплитуды и темпа развертки на отклонение измеряемого среднего по времени уровня выходного сигнала при испытаниях работы в режиме стационарной системы. Расширенная неопределенность не должна превышать значений, указанных в ГОСТ Р 70024.1-2022, приложение В.
Примечание - В
приложении А приведен пример того, как получить такие неопределенности.
6.2.4 Приборы для измерения условий окружающей среды при испытаниях должны обеспечивать расширенную неопределенность не выше 0,5 °C для температуры и 3% для влажности.
7.1.1 Все испытания следует выполнять при нормальных условиях, то есть близких к опорным, в диапазоне температур воздуха от 20 °C до 26 °C при относительной влажности от 40% до 70% и статическом (атмосферном) давлении от 97 до 103 кПа.
7.1.2 Фильтр должен пройти акклиматизацию при этих условиях окружающей среды в течение как минимум 6 ч.
7.1.3 Измеренные значения температуры и влажности с учетом фактической расширенной неопределенности измерений не должны выходить за пределы установленного диапазона. При этом предполагается, что влияние изменений атмосферного давления является незначительным по сравнению с чувствительностью к другим факторам окружающей среды. Если это не так, то в отчете должно быть сделано соответствующее замечание.
7.1.4 Маркировка должна быть нанесена на блок фильтров или на прибор, частью которого является блок фильтров. Если на приборе не предусмотрено достаточного места для маркировки, то она может быть нанесена на эксплуатационную документацию, если при этом приведена ссылка на конкретный экземпляр эксплуатационной документации.
7.2 Относительное затухание, отклонение эффективной ширины полосы и суммирование выходных сигналов
7.2.1.1 Измерение относительного затухания, отклонения эффективной ширины полосы и суммирования выходных сигналов выполняют в рамках одного и того же набора измерений посредством оценки реакции фильтра на синусоидальные сигналы постоянной амплитуды с различными частотами.
7.2.1.2 Измерения следует выполнять в опорном диапазоне уровней. Уровень входных сигналов должен быть на (1 +/- 0,1) дБ ниже указанного верхнего предела линейного рабочего диапазона.
7.2.1.3 Стационарный синусоидальный сигнал подают на вход блока фильтров с использованием, при необходимости, на входе и выходе устройств с указанным изготовителем импедансом. Измеряют относительное затухание на соответствующих частотах.
7.2.1.4 Частоты синусоидального тестового сигнала для одного фильтра располагают на одинаковом интервале друг от друга в логарифмическом масштабе относительно точной центральной частоты фильтра. Если
S - количество испытательных частот в пределах ширины полосы фильтра, то относительную частоту

для
i-го испытательного сигнала вычисляют по формуле

, (1)
где
i - целое число (положительное, отрицательное или нуль). Количество испытательных частот
S в пределах ширины полосы фильтра должно быть не менее 24. Значения
G и
b - октавное отношение и показатель ширины полосы, которые определены в
ГОСТ Р 70024.1.
Примечание - Если прибор состоит из блока фильтров, работающих параллельно (анализатор в реальном времени), то, как правило, возможно выполнять измерение на конкретной частоте для всех фильтров одновременно и сохранять результаты для последующих расчетов.
7.2.2 Относительное затухание
7.2.2.1 Относительное затухание

для любой частоты определяют по формуле (8) ГОСТ Р 70024.1-2022. Измеренное относительное затухание не должно выходить за пределы допуска 5.10 ГОСТ Р 70024.1-2022.
7.2.2.2 Относительное затухание должно быть измерено в диапазоне от 0,5 наименьшей точной центральной частоты фильтра в блоке фильтров до 1,5 наибольшей точной центральной частоты фильтра в блоке фильтров.
7.2.2.3 Отклонение фактически задаваемой частоты от требуемого значения должно быть учтено при оценке неопределенности измерения относительного затухания.
7.2.3 Отклонение эффективной ширины полосы
7.2.3.1 Эффективную ширину полосы Be следует определять по формулам (13) и (14) ГОСТ Р 70024.1-2022, которые основаны на определении численного значения интегрального выражения в формуле (14) того же стандарта для относительной эффективной ширины полосы.
7.2.3.2 Для каждого фильтра в блоке фильтров рекомендуется использовать для численного интегрирования согласно формуле (14) ГОСТ Р 70024.1-2022 метод трапеций суммирования элементарных областей:

, (2)
где

- относительное затухание в децибелах, измеренное для
i-й относительной испытательной частоты;
N - целое число, равное 2·
S для любой ширины фильтра и класса точности, до тех пор, пока все частоты находятся в пределах, указанных в
7.2.2.2.
7.2.3.3 Измеренное отклонение эффективной ширины полосы не должно выходить за пределы допуска согласно 5.12 ГОСТ Р 70024.1-2022.
7.2.4 Суммирование выходных сигналов
7.2.4.1 Пусть индекс
j обозначает фильтр из блока фильтров, при этом
j - 1 и
j + 1 представляют смежные фильтры, центральные частоты которых меньше и больше чем
j-го фильтра. Пусть

,

и

- измеренные относительные затухания этих трех фильтров, соответственно, для произвольной частоты испытаний.
7.2.4.2 Пусть M - наибольшее целое число, меньшее или равное S/2, где S - количество испытательных частот в полосе пропускания фильтра, а индекс i - целое число в интервале от -M до +M, который определяет испытательную частоту для измерения относительного затухания.
7.2.4.3 Для любой относительной частоты

между нижней и верхней граничными относительными частотами
j-го фильтра с точной центральной частотой
fm, разность

между уровнем входного сигнала, уменьшенного на относительное затухание, и суммой выходных сигналов вычисляют по формуле

, (3)
где

- относительное затухание, измеренное для фильтра (
j - 1) на относительной частоте этого фильтра

;

- относительное затухание для фильтра
j, измеренное на относительной частоте

;

- относительное затухание для фильтра (
j + 1), измеренное на относительной частоте

.
7.2.4.4 Испытание должно быть проведено для фильтра с индексом j, который принадлежит фильтру, примыкающему к фильтру с наименьшей центральной частотой и (или) с наибольшей центральной частотой в блоке фильтров.
7.2.4.5 Для любой имеющейся в блоке фильтров ширины полосы величина разности

, рассчитанная по
формуле (3), не должна выходить за пределы допуска согласно 5.16 ГОСТ Р 70024.1-2022.
7.3 Линейный рабочий диапазон, диапазон измерений, переключатель диапазонов и индикатор перегрузки
7.3.1 Линейность выходного уровня фильтра при изменении уровня входного сигнала должна быть проверена с помощью установившихся синусоидальных сигналов заданного уровня и частоты. Линейность следует измерять на точной центральной частоте фильтра. Отклонение от линейности уровня следует определять согласно 5.13 ГОСТ Р 70024.1-2022.
7.3.2 Линейность уровня должна быть проверена для трех фильтров в каждом доступном диапазоне уровней. Этими фильтрами должны быть фильтры с наименьшей и наибольшей центральными частотами блока фильтров и выбранный испытательной лабораторией фильтр в середине частотного диапазона блока фильтров.
7.3.3 Переключатель диапазонов следует установить на опорный диапазон уровней. Уровень входного сигнала сначала устанавливают равным опорному уровню. Соответствующий уровень на выходе фильтра следует использовать для расчета отклонения от линейности уровня для всех входных уровней во всех диапазонах уровней конкретного фильтра.
7.3.4 Испытание следует выполнять для уровней от оговоренной нижней границы заявленного линейного рабочего диапазона до уровня, при котором появляется индикация перегрузки. Уровень входного сигнала изменяют с шагом не более 5 дБ. Разницу между уровнями последовательных шагов уменьшают до 1 дБ, когда уровень входного сигнала находится в пределах 5 дБ от верхней или нижней границы линейного рабочего диапазона, а также когда этот уровень превышает верхнюю границу. В качестве границ принимают значения, указанные в эксплуатационной документации на фильтр.
7.3.5 Время усреднения при измерениях должно быть достаточно большим для установления стабильных показаний и обеспечения того, что неопределенность измерений с учетом фактической частоты и влияния собственных шумов при низких уровнях входного сигнала не превышает значение максимальной разрешенной неопределенности.
7.3.6 Измеренное отклонение от линейности уровня не должно выходить за пределы допуска, данного в 5.13.3 и 5.13.4 ГОСТ Р 70024.1-2022 для всех уровней между указанной в эксплуатационной документации фильтра нижней границей линейного рабочего диапазона для соответствующего диапазона шкалы и наибольшим измеренным уровнем, при котором отсутствует индикация перегрузки.
Для фильтров, применяемых для измерения эффективного уровня воспринимаемого шума воздушных судов (EPNL), отклонение от линейности уровня должно соответствовать требованиям, приведенным в приложении К ГОСТ Р 70024.1-2022.
7.3.7 Индикация перегрузки не должна появляться, если уровень входного сигнала ниже заявленной верхней границы соответствующего диапазона уровней.
7.3.8 Необходимо проверить, что минимальное время наличия индикации перегрузки соответствует требованиям 5.17.3 ГОСТ Р 70024.1-2022.
7.3.9 Для полосовых фильтров, оснащенных устройством отображения средних по времени уровней выходных сигналов, интегральных по времени уровней в полосе частот, максимальных уровней или сохраненных данных, необходимо проверить, что индикация перегрузки отображается, если состояние перегрузки имело место в течение любой части периода измерения, и сохраняется до сброса результатов измерений.
7.3.10 Испытание повторяют для всех существующих диапазонов уровней выбранных фильтров.
7.4 Работа в режиме стационарной системы
7.4.1 Если в эксплуатационной документации указано, что фильтр обеспечивает работу в режиме стационарной системы, то это должно быть подтверждено посредством испытания с использованием развертки по частоте, как описано в 5.14 ГОСТ Р 70024.1-2022. Испытание должно быть проведено в опорном диапазоне уровней. Уровень входного сигнала должен быть на 3 дБ ниже верхней границы линейного рабочего диапазона в опорном диапазоне уровней.
7.4.2 Развертку следует начинать на некоторой частоте fstart, которая ниже наименьшей нижней границы полосы пропускания и на которой относительное затухание фильтра составляет по крайней мере 55 дБ, и заканчивать на частоте fend, выше наибольшей верхней границы полосы пропускания с относительным затуханием не менее 55 дБ.
7.4.3 Для полосовых фильтров, состоящих из блока фильтров с различными центральными частотами, измерение может быть выполнено с помощью одной развертки, охватывающей весь блок фильтров. Величина fstart тогда должна быть ниже наименьшей нижней границы полосы пропускания фильтра с наименьшей в блоке центральной частотой и такой, что относительное затухание этого фильтра составляет по крайней мере 55 дБ. Величина fend тогда выше наибольшей верхней границы полосы пропускания фильтра с наибольшей в блоке центральной частотой с относительным затуханием не менее 55 дБ.
7.4.4 Измеряют средний по времени уровень выходного сигнала за время усреднения Tavg, которое начинается не позднее момента, когда частота развертки ниже наименьшей центральной частоты блока фильтров, а относительное затухание фильтра равно по крайней мере 55 дБ, и заканчивается не ранее чем в тот момент, когда частота развертки будет выше наибольшей центральной частоты фильтра из блока, где относительное затухание опять равно по крайней мере 55 дБ.
7.4.5 Измеренный средний по времени или непрерывный эквивалентный уровень выходного сигнала для каждого фильтра в блоке фильтров следует сравнить с расчетным значением LC, заданным формулой (17) ГОСТ Р 70024.1-2022. Разница должна находиться в пределах допуска, указанного в 5.14.3 ГОСТ Р 70024.1-2022.
Примечание - В
приложении В приведен пример выбора подходящих начальной и конечной частот, скорости развертки и времени усреднения.
При расчете неопределенности измерений следует учитывать как амплитуду, так и скорость развертки. Некоторые коммерческие генераторы заменяют экспоненциальную развертку последовательностью кусочков с линейной разверткой, что приводит к значительным отклонениям от расчетных значений, тогда как другие генераторы имеют постоянную скорость экспоненциальной развертки с небольшой погрешностью. Сигнал с экспоненциальной разверткой по частоте может быть получен с помощью воспроизведения рассчитанной временной реализации через цифроаналоговый преобразователь с известными и проверенными характеристиками. Более подробная информация приведена в
приложении А.
7.5 Проверка электропитания
7.5.1 Для приборов с питанием от батареи заменяют батарею подходящим источником электропитания с регулируемым напряжением питания. Сначала фильтр должен быть испытан при указанном в эксплуатационной документации номинальном напряжении питания с помощью синусоидального входного сигнала, соответствующего опорному уровню в опорном диапазоне шкалы и точной центральной частоте фильтра, выбранного испытательной лабораторией. Следует записать уровень на выходе фильтра, точная центральная частота которого соответствует частоте испытательного сигнала.
7.5.2 Испытание следует повторить при максимальном указанном в эксплуатационной документации напряжении питания, а затем при напряжении чуть выше того уровня, при котором в приборе появляется индикация недостаточного питания. Наибольшая разность любых двух из этих трех наблюдений выходного уровня фильтра должна быть в пределах допуска согласно 5.21 ГОСТ Р 70024.1-2022.
7.6 Проверка временных характеристик
7.6.1 Если фильтр является частью измерительной системы (например, анализатора спектра) и его выход доступен для пользователя только после детектора или блока усреднения, то временные характеристики этих устройств следует проверить в соответствии с указаниями, содержащимися в эксплуатационной документации.
7.6.2 Фильтры с шириной полосы в 1/3 октавы, центральная частота которых находится в диапазоне от 50 до 10000 Гц и выход которых регистрируется после детектора с временной характеристикой S, проверяют в соответствии с К.3.2 и К.3.3 приложения К ГОСТ Р 70024.1-2022.
Примечание - Временная характеристика S соответствует экспоненциальному усреднению с постоянной времени 1 с.
8 Требования к электромагнитной и электростатической совместимости
8.1 Общие положения
Условия окружающей среды по температуре и влажности в ходе испытаний, предусмотренных разделом 8, должны быть зарегистрированы.
8.2 Влияние электростатических разрядов
8.2.1 Оборудование для определения влияния электростатических разрядов на работоспособность фильтра должно соответствовать требованиям
раздела 6 ГОСТ 30804.4.2-2013. Рабочее место для испытаний и методы испытаний должны соответствовать требованиям
разделов 7 и
8 ГОСТ 30804.4.2-2013.
8.2.2 Испытания электростатическим разрядом следует проводить на работающем фильтре, установленном в режим с наименьшей устойчивостью к электростатическим разрядам, который определен в ходе предварительной проверки. Если фильтр может оснащаться соединительными устройствами, которые согласно эксплуатационной документации не являются обязательными для конфигурации обычного режима работы, то при испытаниях электростатическим разрядом удлинительные кабели к фильтру не присоединяют.
8.2.3 Электростатические разряды не следует подавать на электрические контакты разъема, которые расположены в углублении ниже поверхности разъема или ниже поверхности корпуса фильтра.
8.2.4 Электростатические разряды наибольшего положительного и отрицательного напряжения по 5.23.1 ГОСТ Р 70024.1-2022 следует прилагать десять раз контактным путем и десять раз через воздух. Разряды следует прилагать к любой точке фильтра, которую лаборатория считает подходящей. Эти точки следует выбирать из точек, которые доступны при обычном использовании фильтра. Если при работе фильтра необходим доступ пользователя к точкам, расположенным внутри корпуса, то эти точки также должны быть включены в испытание, за исключением случаев, когда эксплуатационная документация содержит указания на меры предосторожности против повреждения электростатическими разрядами при доступе пользователя внутрь корпуса. Следует принять меры, гарантирующие, что любые эффекты, вызванные электростатическим разрядом, завершились перед повторным воздействием разряда.
8.2.5 После разряда фильтр должен вернуться в то же рабочее состояние, которое было до воздействия. Любые данные, хранившиеся в приборе перед разрядом, должны оставаться в неизменном виде после разряда. После разряда допустимы незначительные изменения в функционировании фильтра.
8.3 Влияние полей сетевой частоты и радиочастотных полей
8.3.1 Входной сигнал
Входной сигнал не должен подаваться, при этом входной разъем должен быть заземлен или соединен с шунтирующим сопротивлением, если таковое указано в эксплуатационной документации фильтра.
8.3.2 Установка диапазона
Если фильтр имеет более одного диапазона уровней, то устанавливают опорный диапазон уровней.
8.3.3 Испытание полем сетевой частоты
8.3.3.1 Для проверки влияния полей сетевой частоты следует использовать установку, которая способна создавать практически однородное магнитное поле со среднеквадратичным значением напряженности 80 А/м. Эта установка должна позволять полностью поместить фильтр или указанные в эксплуатационной документации его соответствующие блоки в магнитное поле. Частота переменного магнитного поля должна быть равна 50 Гц. Расширенная неопределенность измерения напряженности магнитного поля не должна превышать 8 А/м.
8.3.3.2 Испытываемый фильтр должен иметь такую ориентацию, при которой согласно эксплуатационной документации устойчивость к воздействию поля сетевой частоты является наименьшей.
8.3.3.3 Следует зарегистрировать уровень выходного сигнала в каждой полосе частот и подтвердить, что он ниже предела, указанного в 5.23.3.9 ГОСТ Р 70024.1-2022. Продолжительность воздействия должна быть не менее 10 с.
8.3.4 Испытание радиочастотным полем
8.3.4.1 Оборудование, необходимое для определения влияния радиочастотных полей на функционирование фильтра, должно соответствовать требованиям
раздела 6 ГОСТ 30804.4.3-2013. Характеристики подходящих рабочих помещений для испытаний устойчивости к радиочастотным полям приведены в
приложении C ГОСТ 30804.4.3-2013. Излучающие антенны описаны в
приложении B ГОСТ 30804.4.3-2013. Однородность радиочастотных полей в рабочем помещении следует определять с помощью процедуры, приведенной в
6.2 ГОСТ 30804.4.3-2013. Рабочее место для испытаний и метод испытаний должны соответствовать требованиям
разделов 7 и
8 ГОСТ 30804.4.3-2013.
8.3.4.2 Испытание влияния радиочастотных полей следует проводить на фильтре, настроенном на обычный режим работы согласно эксплуатационной документации. Фильтр следует ориентировать в направлении минимальной устойчивости к радиочастотным полям.
Примечание - Если фильтр основан на цифровой обработке оцифрованных выборок входного сигнала, то маловероятно, что устойчивость к радиочастотным полям будет изменяться в зависимости от ширины полосы, пока частота модуляции равна центральной частоте. Поэтому для таких фильтров достаточно проверить устойчивость только для одной ширины полосы по выбору испытательной лаборатории.
8.3.4.3 Если у фильтра имеется какое-либо устройство, работа которого обеспечивается при подключении интерфейсных или соединительных кабелей, то влияние радиочастотных излучений следует испытывать при подключенных кабелях в соответствии с эксплуатационной документацией. Длины кабелей должны соответствовать рекомендациям эксплуатационной документации. Все кабели должны быть подсоединены к фильтру и уложены согласно
7.3 ГОСТ 30804.4.3-2013.
8.3.4.4 В соответствии с
ГОСТ Р 51317.4.6 при испытаниях на устойчивость к радиочастотным излучениям фильтров группы Z, удерживаемых при работе рукой, следует использовать эквивалент руки, размещаемой согласно требованиям на подлежащих удержанию элементах или клавиатуре.
8.3.4.5 Среднеквадратичное значение напряженности немодулированного электрического поля и частота модуляции должны соответствовать требованиям 5.23.3.2 ГОСТ Р 70024.1-2022. Несущая частота должна изменяться с шагом до 4% в диапазоне от 27 до 500 МГц. Шаг изменения несущей частоты в диапазонах от 500 МГц до 1 ГГц и от 1,4 до 2,7 ГГц должен составлять до 2%. Предельные значения для 95%-ного интервала охвата должны быть не менее минус 0% и не более 40% целевого значения напряженности.
Примечание - Увеличение несущей частоты на 2% или 4% означает, что следующая частота сигнала больше предыдущей в 1,02 или 1,04 раза соответственно. Хотя
ГОСТ IEC 61000-4-3 предусматривает величину шага несущей частоты 1%, для целей настоящего стандарта считаются достаточными шаги до 2% и до 4%.
8.3.4.6 Для каждого значения несущей частоты следует регистрировать уровень выходного сигнала и проверять, что он не выходит за пределы, указанные в 5.23.3.10 ГОСТ Р 70024.1-2022.
8.3.4.7 Если в эксплуатационной документации указано, что фильтр соответствует требованиям
ГОСТ Р 70024.1, более высоким при значениях напряженности электрического поля, чем требуется по
ГОСТ Р 70024.1, то все испытания на влияние радиочастотного излучения должны быть повторены для наивысшего из этих значений напряженности.
8.3.4.8 Испытания на дискретных частотах, приведенных выше, не отменяют необходимость обеспечения соответствия требованиям
ГОСТ Р 70024.1 для любых несущих частот в диапазоне, заданном в
ГОСТ Р 70024.1. Испытания следует провести для других несущих частот, если имеются признаки того, что пределы допусков
ГОСТ Р 70024.1 могут быть превышены на несущих частотах между любыми двумя последовательными частотами.
8.3.4.9 Сохраняя конфигурацию, описанную выше, следует повторить испытания радиочастотными полями для измерения влияния радиочастотных излучений как минимум еще в одной плоскости. Эта дополнительная плоскость должна быть приблизительно ортогональна главной плоскости предыдущей ориентации в пределах возможностей позиционирования испытательного оборудования.
8.3.4.10 При включении радиочастотного излучения фильтр должен сохранять работоспособность и оставаться в той же самой конфигурации, что и в отсутствии излучения.
8.3.4.11 Для фильтров группы Y или Z должны быть проведены дополнительные испытания, описанные в
таблице 4 ГОСТ 30804.6.2-2013, для проверки соответствия требованиям
ГОСТ Р 70024.1 по помехоустойчивости к радиочастотному воздействию на входные и выходные порты по переменному току. Предельные значения для 95%-ного интервала охвата должны быть не менее минус 0% и не более плюс 40% контролируемого значения напряженности радиочастотного электрического поля.
8.3.4.12 Для фильтров группы Z, которые используют или содержат требования к соединительным кабелям длиной более 3 м, должны быть проведены дополнительные испытания, описанные в
таблице 2 ГОСТ 30804.6.2-2013, для проверки соответствия требованиям
ГОСТ Р 70024.1 по помехоустойчивости к радиочастотному воздействию на сигнальные и управляющие порты. Предельные значения для 95%-ного интервала охвата измерений напряжений питания по переменному току должны быть не менее минус 0% и не более плюс 40% контролируемого значения напряжения.
8.4 Радиочастотная эмиссия и кондуктивные радиопомехи
8.4.1 Уровни напряженности радиочастотного поля эмиссии, в децибелах относительно опорного значения 1 мкВ/м, должны быть измерены в соответствии с методом
ГОСТ CISPR 16-2-3. Прибор с квазипиковым детектором должен соответствовать требованиям
ГОСТ CISPR 16-1-1 для диапазона частот, указанных в
ГОСТ Р 70024.1.
8.4.2 Измерительные приемники, антенны и испытательные процедуры должны соответствовать требованиям
раздела 10 ГОСТ 30805.22-2013. Все уровни электромагнитной эмиссии должны соответствовать требованиям
ГОСТ Р 70024.1. Испытания на радиочастотную эмиссию следует выполнять при работающем фильтре с электропитанием от предпочтительного источника, причем прибор должен быть настроен в тот режим и диапазон уровней, при которых, согласно эксплуатационной документации, излучаются наивысшие уровни радиочастотной эмиссии.
8.4.3 Все приспособления и оснастка, используемые для фиксации фильтра в определенном положении, должны оказывать пренебрежимо малое влияние на измерение радиочастотной эмиссии фильтра.
8.4.4 Уровни радиочастотной эмиссии следует измерять в частотных диапазонах, указанных в
ГОСТ Р 70024.1, для ориентации, выбранной испытательной лабораторией.
8.4.5 Уровни радиочастотной эмиссии должны быть измерены еще в одной плоскости, выбираемой лабораторией. Эта дополнительная плоскость должна быть приблизительно ортогональна плоскости первой ориентации.
8.4.6 Если у фильтра имеется какое-либо соединительное устройство, которое обеспечивает подключение интерфейсных или коммуникационных кабелей, то уровни радиочастотной эмиссии следует измерять при условии подключения кабелей ко всем доступным устройствам. Кабели должны иметь максимальную длину, рекомендованную эксплуатационной документацией. Все кабели должны иметь свободный конец и быть уложены согласно
8.2 ГОСТ 30805.22-2013, если только изготовитель фильтра не предоставил устройство, которое должно быть подключено к фильтру с помощью кабеля. В последнем случае уровни радиочастотной эмиссии следует измерять при соединении всех устройств друг с другом.
8.4.7 Для фильтров группы Y или Z, работающих от сети электропитания переменного тока, необходимо измерить кондуктивные радиопомехи, как описано в
разделе 9 ГОСТ 30805.22-2013. Метод измерения кондуктивных радиопомех должен быть таким, как в
ГОСТ CISPR 16-1-2 и
ГОСТ CISPR 16-2-1. Для этих испытаний следует установить в фильтре опорный диапазон уровней, если иной диапазон не предписан эксплуатационной документацией. Фильтр должен соответствовать требованиям
ГОСТ Р 70024.1 и пределам для кондуктивных радиопомех, излучаемых в электросеть, приведенным в 5.23.4.2 ГОСТ Р 70024.1-2022.
9 Чувствительность к температуре и влажности окружающего воздуха
9.1 Должны быть проведены испытания для подтверждения того, что фильтр удовлетворяет требованиям в диапазоне температуры и влажности окружающего воздуха, которые приведены в 5.22 ГОСТ Р 70024.1-2022. Время выдержки при каждом значении температуры должно быть достаточно большим, чтобы проверяемый прибор пришел в равновесие с окружающей средой.
9.2 Фильтр следует подвергнуть акклиматизации при нормальных внешних условиях в течение не менее 6 часов.
9.3 При всех внешних условиях испытаний, которые отличаются от нормальных, фильтр должен подвергаться акклиматизации в течение не менее 4 ч, если испытательная лаборатория не имеет приемлемых свидетельств, что более короткий акклиматизационный период является достаточным. Следует избегать резких изменений температуры и влажности воздуха, которые приводят к конденсации.
9.4 В процессе акклиматизации фильтр должен быть отключен от питания.
9.5 Необходимо измерять выходной уровень в опорном диапазоне при синусоидальном входном сигнале, уровень которого равен опорному уровню. Три фильтра должны быть испытаны на точных центральных частотах. Этими фильтрами должны быть фильтр с наименьшей и наибольшей центральными частотами в блоке фильтров и фильтр из середины частотного диапазона по выбору испытательной лаборатории. Испытание следует также повторить для тех же фильтров при уровне входного сигнала на 40 дБ ниже опорного уровня.
9.6 Влияние температуры и влажности воздуха должны быть измерены при четырех комбинациях температуры и относительной влажности. Сначала фильтр должен быть испытан при нормальных внешних условиях. Выходной уровень должен быть записан. Это испытание должно быть повторено при следующих условиях:
- 50% относительной влажности и минимальная температура;
- 50% относительной влажности и максимальная температура;
- 90% относительной влажности и максимальная температура, применимая для этой влажности.
Отклонение фактической температуры воздуха от требуемого значения, увеличенное на фактическую расширенную неопределенность измерения, не должно выходить за пределы +/- 2 °C.
9.7 Отклонение фактической относительной влажности от требуемого значения, увеличенное на фактическую расширенную неопределенность измерения, не должно выходить за пределы +/- 5%. Следует позаботиться о предотвращении конденсации.
9.8 Отклонение выходных уровней при перечисленных комбинациях температуры и влажности от выходных уровней при опорных температуре и влажности не должно выходить за пределы допуска, данные в 5.22.2.3 ГОСТ Р 70024.1-2022.
10 Отчет об испытаниях в целях утверждения типа
10.1 Для каждого испытываемого полосового фильтра отчет об испытаниях в целях утверждения типа должен содержать все подробности о конфигурации, которая испытывалась, включая устанавливаемые принадлежности, ориентации фильтра при испытаниях на электромагнитную эмиссию и восприимчивость, условия испытаний, в том числе условия окружающей среды, и результаты испытаний.
10.2 Результат каждого испытания должен включать в себя измеренное отклонение от нормативного значения и связанную с ним фактическую расширенную неопределенность измерений, а также вывод о соответствии или несоответствии.
10.3 Отчет об испытаниях должен содержать утверждение о том, что модель полосового фильтра соответствует или не соответствует обязательным требованиям
ГОСТ Р 70024.1 для заявленного класса, и вследствие этого утвержден или не утвержден тип средства измерения. Если модель полосового фильтра утверждена как тип средств измерения, уведомление об утверждении должно быть опубликовано для использования в дальнейшем при последующих периодических испытаниях.
10.4 Информация об испытаниях, указанная в
разделе 10 ГОСТ 30804.4.3-2013, должна быть включена в отчет. Отчет должен описывать любые временные ухудшения функционирования, потери работоспособности или потери данных, выявленные по завершении серии испытаний электростатическими разрядами, полем сетевой частоты или радиочастотными излучениями.
(справочное)
НЕОПРЕДЕЛЕННОСТЬ ПРИ ИСПЫТАНИЯХ СИНУСОИДАЛЬНЫМИ РАЗВЕРТКАМИ
А.1.1 При испытаниях в режиме работы стационарной системы необходимо использовать синусоидальный сигнал постоянной амплитуды с частотой, увеличивающейся с постоянной экспоненциальной скоростью. Неопределенность измерения уровня на выходе фильтра будет зависеть от неопределенности амплитуды и неопределенности скорости развертки.
А.1.2 Если синусоидальный сигнал постоянной амплитуды имеет близкую к экспоненциальной развертку от нижней частоты
fstart до верхней частоты
fend, то допускается использовать формулу (17) ГОСТ Р 70024.1-2022 для оценки неопределенности измерения выходного уровня. Используются следующие обозначения:

- стандартная неопределенность входного уровня
Lin (амплитуда);

- стандартная неопределенность времени
Tsweep (время) развертки от начальной частоты
fstart до конечной частоты
fend;

- стандартная неопределенность времени усреднения
Tavg (время);

- стандартная неопределенность конечной частоты развертки
fend (частота);

- стандартная неопределенность начальной частоты развертки
fstart (частота).
Могут быть применимы дополнительные неопределенности, такие как неопределенность, обусловленная тем, насколько близка развертка сигнала к экспоненциальной, неопределенность, связанная с частотой, формой или искажениями сигнала и неопределенность, связанная с настройкой и считыванием значений.
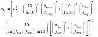
А.1.3 Соотношение между стандартной неопределенностью

выходного уровня
LC и стандартными неопределенностями, которые определены в
А.1.2, может быть получено из формулы (17) ГОСТ Р 70024.1-2022:

(А.1)
Это можно упростить следующим образом:

(А.2)
А.2 Цифровой сигнал
А.2.1 Сигнал развертки может быть сформирован как цифровой сигнал с постоянной частотой дискретизации, в котором каждая выборка сигнала рассчитывается математически с известной неопределенностью. Этот сигнал может быть преобразован с помощью цифроаналоговой системы для получения требуемого аналогового испытательного сигнала. Неопределенность этого испытательного сигнала будет тогда комбинацией неопределенности математически сформированного цифрового сигнала, неопределенности частоты дискретизации и неопределенности цифроаналогового преобразователя.
А.2.2 Частота дискретизации системы может быть проверена посредством воспроизведения математически сформированного сигнала с известной постоянной частотой и измерением этой частоты с помощью частотомера. Неопределенность скорости развертки будет определяться, главным образом, точностью математически сформированной развертки и неопределенностью частоты дискретизации.
А.2.3 Амплитудная неопределенность цифроаналоговой системы может быть измерена с помощью математически сформированного сигнала фиксированной частоты и известной амплитуды. Уровень сигнала может быть затем измерен вольтметром. Амплитудная неопределенность должна быть проверена на всех частотах, где для требуемой развертки нужна высокая точность. Это требование, как правило, охватывает объединенный частотный диапазон от самой низкой граничной частоты до самой высокой в испытуемом блоке фильтров.
Цифровой сигнал развертки sn с эффективным значением 1,0 может быть сформирован посредством приведенной ниже формулы, где n - номер выборки, а fs - частота дискретизации. Величины n представляют собой тогда последовательность целых чисел от нуля до ближайшего к fs·Tsweep целого числа. Скорость развертки r вычисляется по формуле

. (А.3)
Выборки сигнала можно рассчитать по формуле

. (А.4)
А.3 Тестовый сигнал генератора
А.3.1 Существуют генераторы, способные создавать синусоидальные сигналы постоянной амплитуды с частотой, увеличивающейся с экспоненциальной скоростью. Однако некоторые генераторы обеспечивают только грубую аппроксимацию экспоненциальной развертки с неизвестной неопределенностью скорости развертки. При достаточной информации от изготовителя генератора неопределенность вычислений может быть получена так, как описано в
А.1. Если такая информация недоступна или неприемлема, то скорость развертки и неопределенность уровня должны быть измерены.
А.3.2 Тестовый сигнал генератора может быть измерен с помощью системы, в которой осуществляется выборка сигнала с известной частотой дискретизации аналого-цифровым преобразователем с известной неопределенностью измерений. Посредством анализа записанного сигнала можно определить мгновенный уровень сигнала развертки и мгновенную частоту, а отсюда и скорость развертки.
А.3.3 Некоторые генераторы выдают конечную частоту непосредственно перед запуском развертки. Тем самым создается нежелательный переходный сигнал, поэтому такие генераторы считаются непригодными для данного испытания.
А.3.4 Некоторые генераторы развертки могут останавливаться на конечной частоте на определенное время, прежде чем остановить развертку и возвратить частоту на стартовое значение. Это может быть очень удобным для того, чтобы предотвратить возврат на начальную частоту, искажающий измерение.
А.3.5
Формула (А.2) может быть использована в следующем примере расчета неопределенности тестового сигнала.
Входной сигнал измерен как постоянный с неопределенностью 0,03 дБ и отрегулирован так, чтобы отображаться на дисплее с разрешением 0,1 дБ. Следовательно:

.
Предполагая следующие значения и неопределенности:

;

;

;

,
получаем

или расширенную неопределенность тестового сигнала 0,115 дБ.
Если результат отображается на дисплее, который также имеет разрешение 0,1 дБ, то эту неопределенность необходимо добавить. Расширенная неопределенность отображаемого значения будет тогда равна 0,128 дБ. Некоторые неопределенности могут быть добавлены для учета аппроксимации экспоненциальной развертки и повторяемости.
А.4 Сравнение измерений
Если фильтр работает в режиме стационарной системы, то отклонение эффективной ширины полосы можно измерить двумя методами: методом экспоненциальной развертки, описанном в настоящем приложении, и методом почастотного измерения, описанном в
7.2.3. Отклонения эффективной ширины полосы, рассчитанные по этим результатам, должны совпадать с точностью до неопределенности измерений.
(справочное)
ПРОВЕРКА РАБОТЫ В РЕЖИМЕ СТАЦИОНАРНОЙ СИСТЕМЫ
С ПОМОЩЬЮ ЭКСПОНЕНЦИАЛЬНОЙ РАЗВЕРТКИ. ПРИМЕР
Б.1 Общие положения
Данный пример показывает, как можно использовать экспоненциальную развертку для проверки работы в режиме стационарной системы. Предполагается, что испытание надо провести для набора третьоктавных полосовых фильтров в диапазоне от 6,3 Гц до 20 кГц. Фильтры являются частью интегрирующего усредняющего шумомера, а для считывания усредненного выходного уровня используют показывающее устройство шумомера.
Б.2 Пример
Б.2.1 Испытательный сигнал поступает от генератора сигналов с поверенными рабочими характеристиками. Выход генератора подсоединяют к входу фильтра. Генератор настроен на выдачу напряжения 1 В с частотой 1 кГц. Шумомер/фильтр находится в опорном диапазоне уровней. Чувствительность шумомера отрегулирована так, чтобы отображать на приборе 120 дБ при этом входном сигнале в соответствии с предполагаемыми рекомендациями изготовителя. В таком случае шумомер отображает уровни сигнала в децибелах относительно 1 мкВ. Верхняя граница опорного диапазона уровней предполагается равной 130 дБ. Развертка должна осуществляться на 3 дБ ниже этого уровня, то есть при 127 дБ относительно 1 мкВ.
Б.2.2 Генератор сигнала настраивают в режим развертки частоты от 0,01 Гц до 1 МГц с амплитудой, соответствующей требуемому уровню 127 дБ. Это соответствует диапазону развертки в 8 декад. Требуемая скорость развертки составляет от 2 до 5 с на декаду. Если время развертки будет равным 30 с, то этому будет соответствовать скорость 3,75 с на декаду. Генератор сигнала позволяет запускать развертку вручную. Перед запуском развертки генератор выдает сигнал частоты, которая выбрана в качестве стартовой частоты. Когда развертка завершается, частота мгновенно возвращается к стартовому значению. Это может вызвать отклонение измеренного уровня, если переходный процесс, связанный с возвратом частоты, включен в интервал усреднения.
Б.2.3 Время развертки генератора и время усреднения шумомера устанавливают равными 30 с. Затем развертку запускают вручную примерно через 0,5 - 1,5 с после запуска процесса усреднения в шумомере. Поэтому усреднение заканчивается до окончания развертки на тот же самый промежуток времени. Следовательно, частота сигнала-развертки в момент окончания усреднения будет в диапазоне от 398 до 736 кГц, что значительно выше верхней граничной частоты 22,39 кГц для фильтра с наибольшей центральной частотой, а также выше частоты, на которой затухание составляет не менее 55 дБ. Переходный процесс, связанный с возвратом частоты сигнала в стартовое значение, будет при таких настройках за пределами интервала усреднения.
Б.2.4 Ожидаемый выходной уровень LC можно рассчитать по формуле (17) ГОСТ Р 70024.1-2022.

, (Б.1)
где Lin = 127 дБ относительно 1 мкВ;
Aref = 0 дБ.
Отношение времени развертки к времени усреднения:

. (Б.2)
Отношение верхней и нижней частот полосы пропускания третьоктавного фильтра:

. (Б.3)
Отношение конечной и начальной частоты развертки:

. (Б.4)
Это дает следующее значение LC:
LC = 127 дБ - 19,03 дБ = 107,97 дБ. (Б.5)
Б.2.5 Разность между измеренным выходным уровнем и рассчитанным выше уровнем LC рассматривается как отклонение при проверке работы в режиме стационарной системы и должна находиться в пределах допуска, указанных в 5.14 ГОСТ Р 70024.1-2022, для того чтобы можно было заявить режим стационарной системы для фильтра.
Б.2.6 Третьоктавный фильтр с наименьшей центральной частотой будет иметь самую длительную импульсную характеристику. Процесс усреднения завершится в промежутке от 18 до 20 с после того, как развертка пройдет через наименьшую центральную частоту, 6,3 Гц. Как правило, влияние импульсной характеристики этого фильтра при завершении усреднения будет очень маленьким. Если это не так, то в испытание следует внести изменение.
(справочное)
ИСПЫТАНИЯ ПОЛОСОВЫХ ФИЛЬТРОВ
СО СДВИНУТОЙ ПОЛОСОЙ ПРОПУСКАНИЯ
В.1 Общие положения
В.1.1 Испытания, описываемые настоящим приложением, относятся к фильтрам октавным или на долю октавы со сдвинутой полосой пропускания, которые соответствуют требованиям приложения Л ГОСТ Р 70024.1-2022.
В.1.2 Испытания фильтров со сдвинутой полосой пропускания проводят только в комбинации с испытаниями соответствующих стандартных фильтров, описанных в основной части стандарта
ГОСТ Р 70024.1.
В.1.3 При испытаниях фильтров со сдвинутой полосой пропускания должен применяться в качестве опорного уровня сигнала тот же уровень, что и для соответствующего набора стандартных фильтров.
В.1.4 При испытаниях фильтров со сдвинутой полосой пропускания следует выполнять требования
6.1.3 -
6.1.12,
6.2 настоящего стандарта.
В.2 Проведение испытаний
В.2.1 Условия испытаний
В.2.1.1 Условия испытания фильтров со сдвинутой полосой пропускания должны соответствовать требованиям
7.1.1 -
7.1.3 настоящего стандарта.
В.2.1.2 При определении и измерении характеристик фильтров со сдвинутой полосой пропускания относительную частоту

следует определять по приложению Л ГОСТ Р 70024.1-2022.
В.2.2 Относительное затухание
В.2.2.1 Измерение относительного затухания фильтров со сдвинутой полосой пропускания выполняют одновременно с измерением относительного затухания соответствующего набора стандартных фильтров с использованием тех же входных сигналов, как описано в
7.2.1 настоящего стандарта.
В.2.2.2 Для каждого входного сигнала частоты
f определяют относительное затухание

для относительной частоты

, где
fm,1/2 - точная центральная частота фильтра со сдвинутой полосой пропускания, согласно формуле (8) ГОСТ Р 70024.1-2022.
Примечание - Одни и те же сигналы могут быть использованы для испытания относительного затухания стандартных фильтров и фильтров со сдвинутой полосой пропускания.
Пусть
fi -
i-я частота испытания в полосе стандартного фильтра, -
S/2 <=
i <=
S/2,
S - количество испытательных частот в полосе пропускания; тогда эта же самая частота будет
i-й частотой в полосе пропускания следующего (по возрастанию частоты) фильтра со сдвинутой полосой пропускания, где

. Относительная частота при этом будет равна

.
В.2.2.3 Относительное затухание фильтров со сдвинутой полосой пропускания должно соответствовать требованиям приложения Л ГОСТ Р 70024.1-2022.
В.2.3 Относительная эффективная ширина полосы пропускания
В.2.3.1 Относительная эффективная ширина полосы фильтров со сдвигом полосы пропускания должна быть рассчитана по
формуле (2) настоящего стандарта с использованием полученных согласно
В.2.2 значений относительного затухания

для относительных частот

, где
fi - частота
i-го входного сигнала, а
fm,1/2 - точная центральная частота фильтра со сдвинутой полосой пропускания, согласно формуле (8) ГОСТ Р 70024.1-2022.
В.2.3.2 Относительная эффективная ширина полосы пропускания должна соответствовать требованиям приложения Л ГОСТ Р 70024.1-2022.
В.2.4 Линейный рабочий диапазон
В.2.4.1 Линейность выходного уровня фильтра со сдвинутой полосой пропускания должна быть проверена с помощью установившихся синусоидальных сигналов заданного уровня и частоты, равной центральной частоте фильтра. Отклонение от линейности уровня следует определять согласно 5.13 ГОСТ Р 70024.1-2022.
В.2.4.2 Линейность уровня должна быть проверена для одного фильтра со сдвинутой полосой пропускания предпочтительно в середине частотного диапазона блока фильтров.
В.2.4.3 Проверку линейности уровня проводят согласно
7.3.3 -
7.3.5 настоящего стандарта. Отклонение от линейности уровня фильтра со сдвинутой полосой пропускания должно соответствовать требованиям приложения Л ГОСТ Р 70024.1-2022.
В.2.4.4 Испытание проводят для всех существующих диапазонов уровней выбранного фильтра.
В.2.5 Работа в режиме стационарной системы
В.2.5.1 Если в программу испытаний стандартных фильтров входит проверка работы в режиме стационарной системы, то аналогичное испытание должно быть проведено для соответствующих наборов фильтров со сдвинутой полосой пропускания.
В.2.5.2 Испытание работы в режиме стационарной системы фильтров со сдвинутой полосой пропускания проводят в соответствии с
7.4. Пределы допуска принимают равными пределам допуска соответствующих стандартных фильтров, в комбинации с которыми реализованы фильтры со сдвинутой полосой пропускания.
В.2.6 Суммирование выходных сигналов
В.2.6.1 Для любой относительной частоты

между нижней и верхней граничными относительными частотами
j-го фильтра с точной центральной частотой
fm,1/2, разность

между уровнем входного сигнала, уменьшенного на относительное затухание, и суммой выходных сигналов определяют по формуле:

, (В.1)
где

- относительное затухание, измеренное для фильтра (
j - 1) на относительной частоте этого фильтра, равной

;

- относительное затухание для фильтра
j, измеренное на относительной частоте

;

- относительное затухание, измеренное для фильтра (
j + 1) на относительной частоте этого фильтра, равной

.
В.2.6.2 Испытание должно быть проведено для фильтра с индексом j, соответствующего фильтру, который примыкает к фильтру с наименьшей центральной частотой, и (или) к фильтру с наибольшей центральной частотой в блоке фильтров со сдвинутой полосой пропускания.
В.2.6.3 Измеренная разность должная удовлетворять требованиям приложения Л ГОСТ Р 70024.1-2022.
УДК 534.322.3.08:006.354 | |
Ключевые слова: полосовой фильтр, октава, основное затухание |