Главная // Актуальные документы // ГОСТ Р (Государственный стандарт)СПРАВКА
Источник публикации
М.: ФГБУ "Институт стандартизации", 2022
Примечание к документу
Документ
введен в действие с 01.01.2023.
Название документа
"ГОСТ Р 70024.3-2022. Национальный стандарт Российской Федерации. Государственная система обеспечения единства измерений. Фильтры полосовые октавные и на долю октавы. Часть 3. Методика поверки"
(утв. и введен в действие Приказом Росстандарта от 15.11.2022 N 1294-ст)
"ГОСТ Р 70024.3-2022. Национальный стандарт Российской Федерации. Государственная система обеспечения единства измерений. Фильтры полосовые октавные и на долю октавы. Часть 3. Методика поверки"
(утв. и введен в действие Приказом Росстандарта от 15.11.2022 N 1294-ст)
Утвержден и введен в действие
по техническому регулированию
и метрологии
от 15 ноября 2022 г. N 1294-ст
НАЦИОНАЛЬНЫЙ СТАНДАРТ РОССИЙСКОЙ ФЕДЕРАЦИИ
ГОСУДАРСТВЕННАЯ СИСТЕМА ОБЕСПЕЧЕНИЯ ЕДИНСТВА ИЗМЕРЕНИЙ
ФИЛЬТРЫ ПОЛОСОВЫЕ ОКТАВНЫЕ И НА ДОЛЮ ОКТАВЫ
ЧАСТЬ 3
МЕТОДИКА ПОВЕРКИ
State system for ensuring the uniformity of measurements.
Octave-band and fractional-octave-band filters. Part 3.
Periodic tests
(IEC 61260-3:2016, NEQ)
ГОСТ Р 70024.3-2022
Дата введения
1 января 2023 года
1 РАЗРАБОТАН Обществом с ограниченной ответственностью "Производственно-коммерческая фирма Цифровые приборы" (ООО "ПКФ Цифровые приборы")
2 ВНЕСЕН Техническим комитетом по стандартизации ТК 206 "Эталоны и поверочные схемы"
3 УТВЕРЖДЕН И ВВЕДЕН В ДЕЙСТВИЕ
Приказом Федерального агентства по техническому регулированию и метрологии от 15 ноября 2022 г. N 1294-ст
4 В настоящем стандарте учтены основные нормативные положения международного стандарта МЭК 61260-3:2016 "Электроакустика. Фильтры полосовые октавные и на доли октавы. Часть 3. Периодические испытания" (IEC 61260-3:2016 "Electroacoustics - Octave-band and fractional-octave-band filters - Part 3: Periodic tests", NEQ)
5 ВВЕДЕН ВПЕРВЫЕ
Правила применения настоящего стандарта установлены в статье 26 Федерального закона от 29 июня 2015 г. N 162-ФЗ "О стандартизации в Российской Федерации". Информация об изменениях к настоящему стандарту публикуется в ежегодном (по состоянию на 1 января текущего года) информационном указателе "Национальные стандарты", а официальный текст изменений и поправок - в ежемесячном информационном указателе "Национальные стандарты". В случае пересмотра (замены) или отмены настоящего стандарта соответствующее уведомление будет опубликовано в ближайшем выпуске ежемесячного информационного указателя "Национальные стандарты". Соответствующая информация, уведомление и тексты размещаются также в информационной системе общего пользования - на официальном сайте Федерального агентства по техническому регулированию и метрологии в сети Интернет (www.rst.gov.ru)
Настоящий стандарт входит в комплекс стандартов на фильтры полосовые октавные и на долю октавы ГОСТ Р 70024 в качестве третьей части. В
частях 1 и
2 изложены общие технические требования и методы испытаний в целях утверждения типа соответственно.
Комплекс стандартов ГОСТ Р 70024 используют для оценки соответствия требованиям критериев, которые отличаются от применявшихся ранее в ГОСТ Р 8.714-2010 (МЭК 61260:1995).
ГОСТ Р 8.714-2010 не содержал требований или рекомендаций по учету неопределенности измерений при оценке соответствия требованиям. Такое отсутствие требований или рекомендаций по учету неопределенности измерений создавало неясность с выявлением соответствия в ситуациях, когда измеренное отклонение от нормативного значения было близко к пределу допуска. Если решение о соответствии принималось на основе того, превышает или не превышает измеренное отклонение пределы допуска, то конечный пользователь октавных фильтров или фильтров в долю октавы сталкивался с риском, что действительное отклонение от нормативного значение превышает допустимый предел.
Настоящий стандарт использует измененный критерий оценки соответствия. Соответствие требованиям считается установленным, если измеренные отклонения от нормативов не выходят за пределы допусков и неопределенность измерений не превышает соответствующей максимально разрешенной неопределенности. Пределы допусков в настоящем стандарте аналогичны конструкционно-производственным допускам, которые были использованы в ГОСТ Р 8.714-2010.
Значения фактической и максимальной разрешенной неопределенности установлены для вероятности охвата 95%. При отсутствии дополнительной информации оценка вклада конкретного фильтра или набора фильтров в общую неопределенность измерений может быть основана на значениях пределов допусков и максимальной разрешенной неопределенности, указанных в настоящем стандарте.
Отличие настоящего стандарта от МЭК 61260-3 в том, что в нем не предусмотрено проведение поверки средств измерений, не прошедших процедуру утверждения типа согласно ГОСТ Р 70024.2.
1.1 Настоящий стандарт содержит методику поверки полосовых октавных фильтров и фильтров на долю октавы (далее - фильтры), соответствующих требованиям класса 1 или 2 по ГОСТ Р 70024.1. Целью настоящего стандарта является обеспечение единообразия проведения поверки фильтров всеми лабораториями.
1.2 Цель поверки фильтров состоит в том, чтобы гарантировать потребителю, что их рабочие параметры соответствуют требованиям ГОСТ Р 70024.1 при ограниченном наборе процедуры поверки и внешних условий.
1.3 Объем процедур поверки в настоящем стандарте ограничен минимальными требованиями, необходимыми для поверки.
1.4 Процедуры поверки, описанные в настоящем стандарте, применяют к фильтрам, прошедшим испытания в целях утверждения типа на соответствие требованиям ГОСТ Р 70024.1.
1.5 Если отсутствует подтверждение об утверждении типа фильтров, то из-за ограниченного (уменьшенного) объема поверки заключение о соответствии требованиям ГОСТ Р 70024.1 не может быть сделано, даже если результаты поверки удовлетворяют требованиям этого стандарта.
В настоящем стандарте использованы нормативные ссылки на следующие стандарты:
ГОСТ 34100.3/ISO/IEC Guide 98-3:2008 Неопределенность измерения. Часть 3. Руководство по выражению неопределенности измерения
ГОСТ Р 53188.1 Государственная система обеспечения единства измерений. Шумомеры. Часть 1. Технические требования
ГОСТ Р 70024.1-2022 Государственная система обеспечения единства измерений. Фильтры полосовые октавные и на долю октавы. Часть 1. Технические требования
ГОСТ Р 70024.2-2022 Государственная система обеспечения единства измерений. Фильтры полосовые октавные и на долю октавы. Часть 2. Испытания в целях утверждения типа
Примечание - При пользовании настоящим стандартом целесообразно проверить действие ссылочных стандартов в информационной системе общего пользования - на официальном сайте Федерального агентства по техническому регулированию и метрологии в сети Интернет или по ежегодному информационному указателю "Национальные стандарты", который опубликован по состоянию на 1 января текущего года, и по выпускам ежемесячного информационного указателя "Национальные стандарты" за текущий год. Если заменен ссылочный стандарт, на который дана недатированная ссылка, то рекомендуется использовать действующую версию этого стандарта с учетом всех внесенных в данную версию изменений. Если заменен ссылочный стандарт, на который дана датированная ссылка, то рекомендуется использовать версию этого стандарта с указанным выше годом утверждения (принятия). Если после утверждения настоящего стандарта в ссылочный стандарт, на который дана датированная ссылка, внесено изменение, затрагивающее положение, на которое дана ссылка, то это положение рекомендуется применять без учета данного изменения. Если ссылочный стандарт отменен без замены, то положение, в котором дана ссылка на него, рекомендуется применять в части, не затрагивающей эту ссылку.
4 Представление на поверку
4.1 Эксплуатационная документация поверяемой модели и версии фильтра должна быть доступна при выполнении поверки. Если необходимая эксплуатационная документация не предоставлена вместе с фильтром, отсутствует в поверочной лаборатории и недоступна для публичного использования на интернет-сайте изготовителя или поставщика фильтра, то поверка не должна выполняться.
4.2 Источник получения эксплуатационной документации отмечается в протоколе поверки.
4.3 В комплекте с фильтрами должны быть предоставлены все компоненты или принадлежности, необходимые при поверке.
4.4 Процедуры поверки, описанные в настоящем стандарте, не проводят, если на фильтре отсутствует маркировка, требуемая
ГОСТ Р 70024.1, и нет данных для подтверждения свидетельств, что фильтр изначально имел такую маркировку. Серийный номер и обозначение модели должны быть читаемы на фильтре или приборе, содержащем фильтр.
4.5 Должны быть доступны данные, необходимые для поверки, а источник получения этих данных должен быть указан в протоколе поверки. Эти данные должны включать в себя соответствующую информацию, требуемую
ГОСТ Р 70024.1.
Примечание - Методика поверки каждого типа средства измерения (СИ) устанавливается при утверждении типа СИ.
5 Соответствие требованиям
5.1 Соответствие требованиям считают подтвержденным, если выполнены два критерия:
а) измеренные отклонения от нормативных значений находятся в пределах допусков (в границах интервала приемки);
б) соответствующая неопределенность измерения не превышает соответствующего значения максимальной разрешенной неопределенности, приведенной в
ГОСТ Р 70024.1 для вероятности охвата 95%.
Примеры оценки соответствия с использованием этих критериев приведены в
ГОСТ Р 70024.1.
5.2 Лаборатории, выполняющие поверку, должны рассчитывать неопределенности измерений в соответствии с
ГОСТ 34100.3. Фактические неопределенности измерений следует вычислять для вероятности охвата 95%. При расчете фактической неопределенности измерений для конкретной процедуры поверки должны учитываться, как минимум, следующие составляющие (в зависимости от применимости):
- неопределенность, связанная с калибровкой или поверкой самих приборов и оборудования, используемого для проведения поверки;
- неопределенность, связанная с влиянием внешних условий;
- неопределенность, связанная с погрешностями, которые могут быть в подаваемых сигналах;
- неопределенность, обусловленная факторами, которые связаны с повторяемостью результатов измерений. Если лаборатории необходимо выполнить единственное измерение, следует определить вклад случайной составляющей в общую неопределенность. Такой расчет должен быть выполнен на основе анализа проведенных ранее испытаний аналогичных фильтров;
- неопределенность, связанная с разрешением применяемого показывающего устройства, на котором отображается выходная характеристика прибора. Для цифровых показывающих устройств, которые обеспечивают индикацию уровня сигнала с разрешением 0,1 дБ, эта составляющая неопределенности должна вычисляться по равномерному распределению вероятности с полушириной полосы 0,05 дБ;
- неопределенность, связанная с каждой поправкой, применяемой к результатам измерений.
5.3 Если фактическая неопределенность процедуры поверки, выполненной лабораторией, превышает соответствующее значение максимальной разрешенной неопределенности, то результат испытания не следует использовать для оценки соответствия по настоящему стандарту.
До проведения любых измерений фильтр и все его принадлежности должны быть подвергнуты визуальному осмотру, чтобы убедиться в том, что фильтр находится в нормальном рабочем состоянии. Следует опробовать все соответствующие органы управления и убедиться в их надлежащей работоспособности. Если органы управления или иные существенные части неработоспособны, то поверку прекращают.
При поверке фильтр должен получать электропитание от предпочтительного источника или от подходящего аналога. До и после проведения серии измерений следует проверить источник питания фильтра, руководствуясь эксплуатационной документацией, и убедиться, что он находится в установленных рабочих пределах. Если напряжение или связанная с ним индикация состояния питания не соответствуют рабочим пределам, и это невозможно объяснить частичной разрядкой батарей или неправильным выбором напряжения питающей электросети, то поверку прекращают, а прибор считают неисправным.
8.1 Поверку следует проводить при нормальных условиях, то есть близким к опорным, в диапазоне температур воздуха от 20 °C до 26 °C при относительной влажности от 40% до 70% и статическом (атмосферном) давлении от 97 до 103 кПа.
8.2 Температуру воздуха, относительную влажность и статическое давление следует измерять и регистрировать, как минимум, в начале и в конце каждой процедуры поверки. Зарегистрированные значения, увеличенные на фактическую расширенную неопределенность измерений, не должны выходить за пределы, указанные в
8.1.
9 Обязательные возможности (функции) и общие требования
9.1 Общие требования
9.1.1 Никакие процедуры поверки, предусмотренные настоящим стандартом, не должны исключаться, кроме ситуаций, когда полосовой фильтр не имеет функций, для которых предназначена процедура поверки.
9.1.2 Если фильтр не обладает какими-либо обязательными функциями, перечисленными
ГОСТ Р 70024.1, такими как индикатор перегрузки или средство проверки электропитания для фильтра с батарейным питанием, то его считают несоответствующим требованиям
ГОСТ Р 70024.1, и дальнейшие процедуры поверки по нему не проводят.
9.1.3 Если изготовитель прибора, содержащего фильтры с более чем одной шириной полосы, заявляет о соответствии
ГОСТ Р 70024.1, то соответствие требованиям стандарта должно быть подтверждено для каждой ширины полосы, для которой изготовитель заявил соответствие; в противном случае прибор считают несоответствующим требованиям стандарта.
9.1.4 Все процедуры поверки следует проводить для конфигурации фильтра, которая должна быть определена в эксплуатационной документации для одного из обычных режимов работы, включающего все необходимые принадлежности. Входные и выходные разъемы должны быть подключены к нагрузке с импедансом, как указано в эксплуатационной документации, если таковое предусмотрено.
9.1.5 Для фильтров, встроенных в шумомер с отсоединяемым предусилителем, точкой подачи входного сигнала может быть вход предусилителя с использованием соответствующего электрического эквивалента микрофона или разъем, если это указано в эксплуатационной документации, к которому при нормальной работе подсоединяется предусилитель.
9.1.6 Для фильтров с цифровым показывающим устройством или с цифровым выходом, формат которого указан изготовителем (например, при подключении через цифровой интерфейс), выходной уровень должен быть определен по числовым показаниям или по подключенному к цифровому выходу подходящему показывающему или регистрирующему прибору.
9.1.7 Если фильтр встроен в прибор, содержащий детектор уровня, или показывающее устройство для отображения уровня выходного сигнала фильтра с разрешением по крайней мере 0,1 дБ, то показания этого устройства следует использовать при поверке. Если имеется электрический выход, соответствующий показываемым значениям, и поверочная лаборатория намерена использовать этот электрический выход вместо показывающего устройства, то лаборатория должна убедиться, что изменения уровня входного электрического сигнала вызывают соответствующие изменения уровней на показывающем устройстве и на электрическом выходе, которые соответствуют требованиям
ГОСТ Р 70024.1. Если у прибора несколько выходов, то следует использовать тот, который указан в эксплуатационной документации для проведения поверки.
9.1.8 Для фильтров, предназначенных для работы с измерительными приборами, удовлетворяющими требованиям
ГОСТ Р 53188.1 на шумомеры, следует использовать показывающее устройство этих приборов для измерения уровня выходного сигнала.
9.1.9 Если эксплуатационная документация содержит процедуру настройки фильтра, например регулировку чувствительности, то эту процедуру следует выполнять до проведения любых измерений.
9.1.10 Перед включением питания и выполнением поверки фильтр должен прийти в равновесное состояние с окружающей средой.
9.1.11 Там, где это применимо, лаборатория должна использовать рекомендации эксплуатационной документации по выполнению поверки.
9.1.12 Если фильтр имеет более одного канала обработки сигналов, то поверка должна быть выполнена для каждого канала. Для многоканальных систем, все каналы которых функционально эквивалентны, количество каналов, подлежащих поверке, может быть меньше, чем их общее число, если это предусмотрено эксплуатационной документацией.
9.1.13 Допускается проведение поверки отдельных измерительных каналов в соответствии с заявлением владельца СИ. В этом случае в документе о поверке должны быть указаны поверенные измерительные каналы.
9.1.14 При процедурах поверки, описанных в настоящем стандарте, детальной поверке подвергается только ограниченное количество фильтров из блока фильтров. Если хотя бы один фильтр из блока фильтров не удовлетворяет требованиям стандарта, то блок фильтров считают несоответствующим
ГОСТ Р 70024.1.
9.1.15 Если в ходе проведенной поверки лаборатория признала, что блок фильтров не соответствует требованиям
ГОСТ Р 70024.1, то владельцу выдается "Извещение о непригодности к применению" с указанием причины непригодности.
9.2 Требования к средствам измерения, используемым для поверки
9.2.1 Поверочная лаборатория должна использовать установки и приборы с действительной поверкой или калибровкой. Должна быть обеспечена метрологическая прослеживаемость измерений к национальным эталонам.
9.2.2 В большинстве требуемых испытаний используют установившиеся синусоидальные сигналы различных частот и уровней. Синусоидальные сигналы для поверки затухания фильтров должны иметь коэффициент нелинейных искажений не более 0,01% для фильтров класса 1 и не более 0,03% для фильтров класса 2. Нелинейные искажения синусоидальных сигналов в других процедурах поверки не должны превышать 0,3%.
9.2.3 При измерении отклонения эффективной ширины полосы пропускания может использоваться синусоидальный сигнал постоянной амплитуды, частота которого изменяется или разворачивается по экспоненциальному закону. Должен быть рассчитан вклад в неопределенность измерения отклонения вследствие неопределенности амплитуды и темпа развертки. Расширенная неопределенность не должна превышать значений, указанных в
ГОСТ Р 70024.1 для испытаний работы фильтра в режиме стационарной системы.
Примечание - В
приложении А приведена информация о вычислении неопределенности, связанной с использованием развертки. В
приложении Б приведен пример измерения эффективной ширины полосы пропускания с использованием экспоненциальной развертки по частоте.
9.2.4 Приборы для измерения условий окружающей среды при испытаниях должны обеспечивать неопределенность, достаточную для обеспечения требований
8.1.
10 Поверка относительного затухания на центральной частоте и отклонения эффективной ширины полосы пропускания
10.1 Общие положения
10.1.1 Процедуры поверки данного раздела проводят для всех фильтров блока фильтров. Цель этих поверок - проверить, что каждый фильтр блока фильтров находится в рабочем состоянии, поскольку более углубленные измерения проводят только для некоторых фильтров из блока фильтров.
10.1.2 Поверка относительного затухания фильтров может быть выполнена одним из двух способов: основной способ - измерение относительного затухания на центральной частоте каждого фильтра блока фильтров, альтернативный способ - измерение выхода фильтров при экспоненциальной синусоидальной развертке входного сигнала, охватывающей все фильтры набора. Для фильтров, соответствующих требованиям работы в режиме стационарной системы по
ГОСТ Р 70024.1, выходной уровень при экспоненциальной развертке соответствует отклонению эффективной ширины полосы пропускания. Измерения по основному способу приведены в
10.2, измерения по альтернативному способу - в
10.3. Для фильтров, удовлетворяющих требованиям работы в режиме стационарной системы, измерения, по выбору поверочной лаборатории, могут быть приведены согласно или
10.2, или
10.3. Для фильтров, эксплуатационная документация которых не содержит информации о соответствии требованиям работы в режиме стационарной системы, применяют только
10.2.
10.2 Поверка относительного затухания на центральной частоте
10.2.1 Относительное затухание на точной центральной частоте должно быть измерено для каждого фильтра блока фильтров. Относительное затухание

для любой центральной частоты определяют по
формуле (8) ГОСТ Р 70024.1-2022. Для испытаний следует выбирать опорный диапазон уровней. Уровень испытательного сигнала должен быть равен опорному входному уровню.
10.2.2 Измеренное относительное затухание не должно выходить за пределы допуска +/- 0,4 дБ для фильтров класса 1 или +/- 0,6 дБ для фильтров класса 2, как указано в
5.10 ГОСТ Р 70024.1-2022.
10.3 Поверка отклонения эффективной ширины полосы
10.3.1 Отклонение эффективной ширины полосы каждого фильтра блока фильтров должно быть измерено с использованием развертки по частоте, как описано в
5.14 ГОСТ Р 70024.1-2022. Измерение должно проводиться в опорном диапазоне уровней. Уровень входного сигнала должен быть на (3,0 +/- 0,1) дБ ниже верхней границы линейного рабочего диапазона в опорном диапазоне уровней.
10.3.2 Развертку следует начинать на некоторой частоте fstart, которая ниже наименьшей нижней границы полосы пропускания фильтра с наименьшей в блоке центральной частотой и такая, что относительное затухание этого фильтра составляет по крайне мере 55 дБ. Развертку следует заканчивать на частоте fend, выше наибольшей верхней границы полосы пропускания фильтра с наибольшей в блоке центральной частотой с относительным затуханием по крайней мере 55 дБ.
10.3.3 Сигнал развертки должен иметь постоянную амплитуду, а частота сигнала должна увеличиваться с постоянной экспоненциальной скоростью, как описано в
приложении Ж ГОСТ Р 70024.1-2022. Скорость развертки должна соответствовать изменению частоты на одну декаду за время не менее чем 2 с.
10.3.4 Измеряют средний по времени уровень выходного сигнала за время усреднения Tavg, которое начинается не позднее момента, когда частота развертки ниже наименьшей центральной частоты блока фильтров, а относительное затухание фильтра равно по крайней мере 55 дБ, и заканчивается не ранее чем в тот момент, когда частота развертки будет выше наибольшей центральной частоты фильтра из блока, где относительное затухание опять равно по крайней мере 55 дБ.
Время усреднения должно быть достаточно большим для того, чтобы охватывать выходной сигнал с учетом задержек при работе фильтра. Дополнительная информация по испытаниям фильтров с использованием сигнала-развертки приведена в
приложении Ж ГОСТ Р 70024.1-2022. В
приложении В приведен пример проведения такой процедуры поверки.
10.3.5 Измеренный средний по времени или непрерывный эквивалентный уровень выходного сигнала для каждого фильтра в блоке фильтров следует сравнить с расчетным значением
LC, заданным
формулой (17) ГОСТ Р 70024.1-2022.
10.3.6 Для каждого фильтра блока фильтров пределы допуска отклонения измеренного среднего по времени уровня выходного сигнала
LOUT от соответствующего постоянного теоретического значения среднего по времени выходного уровня
LC, заданного
формулой (17) ГОСТ Р 70024.1-2022, равны +/- 0,4 дБ для фильтров класса 1 и +/- 0,6 дБ для фильтров класса 2.
10.3.7 При расчете неопределенности измерений следует учитывать как амплитуду, так и скорость развертки.
11 Поверка верхнего предела линейности рабочего диапазона и индикатора перегрузки
11.1 Линейность выходного уровня фильтра при изменении уровня входного сигнала должна быть поверена с помощью установившихся синусоидальных сигналов заданного уровня и частоты. Линейность следует измерять на точной центральной частоте фильтра. Отклонение от линейности уровня следует определять согласно
5.13 ГОСТ Р 70024.1-2022.
11.2 Для входного сигнала с частотой, равной центральной частоте фильтра, и с уровнем, равным опорному входному уровню, отклонение от линейности равно нулю для опорного диапазона уровней.
11.3 Линейность уровня должна быть поверена для трех фильтров в блоке фильтров. Эти фильтры должны быть выбраны испытательной лабораторией, проводящей поверку. Выбранные фильтры должны представлять фильтры в нижнем, среднем и верхнем частотных диапазонах блока фильтров. Для блока фильтров, охватывающих слышимый диапазон частот, рекомендуется отбирать фильтры с частотами, близкими к 31,5 Гц, 1 кГц, 16 кГц.
11.4 Переключатель диапазонов следует установить на опорный диапазон уровней. Уровень входного сигнала сначала устанавливают равным опорному уровню. Соответствующий уровень на выходе фильтра следует использовать для расчета отклонения от линейности уровня для всех входных уровней во всех диапазонах уровней конкретного фильтра.
11.5 Испытание следует выполнять для уровней от оговоренной нижней границы заявленного линейного рабочего диапазона до уровня, при котором появляется индикация перегрузки. Уровень входного сигнала изменяют с шагом не более 5 дБ. Разницу между уровнями последовательных шагов уменьшают до 1 дБ, когда уровень входного сигнала находится в пределах 5 дБ от верхней или нижней границы линейного рабочего диапазона, а также когда этот уровень превышает верхнюю границу. В качестве границ принимают значения, указанные в эксплуатационной документации на фильтр. Если индикация перегрузки не появляется при превышении верхней границы линейного рабочего диапазона, фильтр не соответствует требованиям
ГОСТ Р 70024.1.
11.6 Время усреднения при измерениях должно быть достаточно большим для установления стабильных показаний с учетом фактической частоты и влияния собственных шумов при низких уровнях входного сигнала.
11.7 Измеренное отклонение от линейности уровня не должно выходить за пределы допуска, приведенного в
5.13.3 и
5.13.4 ГОСТ Р 70024.1-2022 для всех уровней между указанной в эксплуатационной документации фильтра нижней границей линейного рабочего диапазона и наибольшим измеренным уровнем, при котором отсутствует индикация перегрузки.
Для фильтров, применяемых для измерения эффективного уровня воспринимаемого шума воздушных судов (EPNL), отклонение от линейности уровня должно соответствовать требованиям, приведенным в
приложении К ГОСТ Р 70024.1-2022.
11.8 Индикация перегрузки не должна появляться, если уровень входного сигнала ниже заявленной верхней границы соответствующего диапазона уровней.
11.9 В трех отобранных фильтрах поверяют все имеющиеся диапазоны уровней следующим образом: при том же самом опорном уровне настраивают уровень входного сигнала на 30 дБ ниже верхней границы линейного рабочего диапазона для каждого выбранного диапазона уровней. Измеренное отклонение линейности уровня не должно выходить за пределы допуска, указанного в
5.13.3 и
5.13.4 ГОСТ Р 70024.1-2022.
12 Поверка нижнего предела линейности рабочего диапазона
12.1 Поверку проводят в сокращенном варианте для подтверждения того, что уровень собственных шумов каждого фильтра менее нижнего предела линейного рабочего диапазона. Измерение выполняют в опорном диапазоне уровня и в диапазоне с наивысшей чувствительностью.
12.2 Для проведения измерений следует закоротить входные клеммы или использовать аналогичные средства для обеспечения того, чтобы уровень входного сигнала был менее нижнего предела заявленного линейного рабочего диапазона. Регистрируют выходной уровень каждого фильтра блока фильтров. Выходной уровень не должен превышать указанный нижний предел для соответствующего фильтра и диапазона.
13 Поверка относительного затухания
13.1 Относительное затухание в опорном диапазоне уровней должно быть поверено для тех же трех фильтров, которые были выбраны в
разделе 11.
13.2 Поверку относительного затухания проводят путем измерения выходного сигнала с фильтра при подаче синусоидальных сигналов разной частоты и постоянной амплитуды. Уровень входного сигнала должен быть на (1 +/- 0,1) дБ ниже указанной верхней границы линейного рабочего диапазона.
13.3 Относительную частоту

подаваемого синусоидального сигнала для каждого фильтра с центральной частотой
fm вычисляют по формуле

, (1)
где G - октавное отношение;
b - обратный показатель ширины полосы;
Rk - частотный параметр, определенный по
таблице 1;
k - целое число в диапазоне 0, 1, ..., 7.
Перечень относительных частот для испытаний может быть расширен следующим образом:

, (2)
где

и

имеют одинаковые пределы допуска для относительного затухания.
Примечания
2 Для октавных фильтров

.
3 В
приложении В приведен пример расчета для третьоктавных фильтров.
Таблица 1
Частотный параметр
Rk и пределы допуска для относительного
затухания фильтров на долю октавы
Индекс k | Частотный параметр Rk | Минимальные и максимальные пределы допуска для относительного затухания, дБ |
Класс 1 | Класс 2 |
0 | G0 = 1 | -0,4; +0,4 | -0,6; +0,6 |
1 | G+1/8 | -0,4; +0,5 | -0,6; +0,7 |
2 | G+1/4 | -0,4; +0,7 | -0,6; +0,9 |
3 | G+3/8 | -0,4; +1,4 | -0,6; +1,7 |
4 | G | +16,6;  | +15,6;  |
5 | G+2 | +40,5;  | +39,5;  |
6 | G+3 | +60;  | +54;  |
7 | >= G+4 | +70;  | +60;  |
13.4 Каждый отобранный для испытаний относительного затухания фильтр следует испытать для относительных частот, указанных в
13.3 для значений
k в диапазоне -7, -6, ...7, при условии, что используемые частоты выше половины точной центральной частоты фильтра с наименьшей центральной частотой в блоке и ниже в 1,5 раза центральной частоты фильтра с наибольшей частотой в блоке.
13.5 Отклонение фактического значения частоты от требуемого следует учитывать при оценке неопределенности для испытания относительного затухания. Расширенная неопределенность измерений не должна превышать соответствующую максимальную разрешенную неопределенность, указанную в
приложении Б ГОСТ Р 70024.1-2022.
13.6 Измеренное относительное затухание не должно выходить за пределы допуска, указанного в
таблице 1 для соответствующего класса фильтров.
14 Оформление результатов поверки
Протокол поверки должен содержать, как минимум, следующую информацию:
а) дата(ы) проведения поверки;
б) утверждение: "Поверка выполнена по методике, соответствующей ГОСТ Р 70024.3";
в) наименование и местоположение лаборатории, выполнявшей поверку;
г) наименование изготовителя или поставщика, обозначение модели, заводской номер и класс фильтра, а также, если это выполнимо, идентификационные данные его встроенного программного обеспечения;
д) если фильтр - это многоканальное устройство, то указание, какие каналы подвергались поверке;
е) идентификационные данные методики поверки фильтра, включая, если это применимо, дату публикации и номер версии, а для методики, полученной с помощью сети Интернет - дату загрузки и любые другие уникальные идентификаторы;
ж) опорный уровень и опорный диапазон;
и) описание конфигурации фильтра при поверке, включая любые соединительные кабели, предоставленные для работы с фильтром;
к) диапазоны температуры воздуха и относительной влажности при поверке;
л) при положительных результатах поверки согласно настоящему стандарту, следующее утверждение:
"Фильтр поверен по методике поверки, соответствующей ГОСТ Р 70024.3, и соответствует требованиям класса Y по
ГОСТ Р 70024.1".
Примечание - Настоящий стандарт распространяется только на фильтры, которые прошли испытания в целях утверждения типа по
ГОСТ Р 70024.2;
м) если результаты поверки отрицательные, следующее утверждение:
"Фильтр поверен по методике поверки, соответствующей ГОСТ Р 70024.3, и не соответствует требованиям для класса Y по
ГОСТ Р 70024.1".
Дополнительно в протоколе поверки следует указать результаты каких процедур поверки оказались неудовлетворительными и по какой причине.
Примечание - Примеры причин отрицательных результатов испытаний: "Измеренные отклонения от линейности уровня выходят за пределы допуска" или "Измеренное отклонение относительного затухания выходит за пределы допуска";
н) если результаты измерений отклонений от нормативных значений предоставляются лабораторией заказчику, то результат каждого испытания должен включать в себя измеренное отклонение от нормативного значения, максимально разрешенную неопределенность измерения и фактическую расширенную неопределенность каждого измерения.
(справочное)
НЕОПРЕДЕЛЕННОСТЬ ПРИ ИСПЫТАНИЯХ СИНУСОИДАЛЬНЫМИ РАЗВЕРТКАМИ
А.1.1 При испытаниях в режиме работы стационарной системы необходимо использовать синусоидальный сигнал постоянной амплитуды, частота которого изменяется по экспоненциальному закону. Неопределенность измерения уровня на выходе фильтра будет зависеть от неопределенности амплитуды и неопределенности скорости развертки.
А.1.2 Если синусоидальный сигнал постоянной амплитуды имеет близкую к экспоненциальной развертку от нижней частоты
fstart до верхней частоты
fend, то допускается использовать
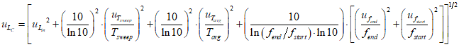
формулу (17) ГОСТ Р 70024.1-2022 для оценки неопределенности измерения выходного уровня. Используют следующие обозначения:
uLin - стандартная неопределенность входного уровня Lin (амплитуда);
uTsweep - стандартная неопределенность времени Tsweep (время) развертки от начальной частоты fstart до конечной частоты fend;
uTavg - стандартная неопределенность времени усреднения Tavg (время);
ufend - стандартная неопределенность конечной частоты развертки fend (частота);
ufstart - стандартная неопределенность начальной частоты развертки fstart (частота).
Могут быть применимы дополнительные неопределенности, такие как неопределенность, обусловленная тем, насколько близка развертка сигнала к экспоненциальной, неопределенность, связанная с частотой, формой или искажениями сигнала и неопределенность, связанная с настройкой и считыванием значений.
А.1.3 Соотношение между стандартной неопределенностью

выходного уровня
LC и стандартными неопределенностями, которые определены в
А.1.2, может быть получено по
формуле (17) ГОСТ Р 70024.1-2022:

. (А.1)
Формулу можно упростить следующим образом:

. (А.2)
А.2 Цифровой сигнал
А.2.1 Сигнал развертки может быть сформирован как цифровой сигнал с постоянной частотой дискретизации, в котором каждая выборка сигнала рассчитывается математически с известной неопределенностью. Этот сигнал может быть преобразован с помощью цифроаналоговой системы для получения требуемого аналогового испытательного сигнала. Неопределенность этого испытательного сигнала будет тогда комбинацией неопределенности математически сформированного цифрового сигнала, неопределенности частоты дискретизации и неопределенности цифроаналогового преобразователя.
А.2.2 Частота дискретизации системы может быть проверена посредством воспроизведения математически сформированного сигнала с известной постоянной частотой и измерением этой частоты с помощью частотомера. Неопределенность скорости развертки будет определяться, главным образом, точностью математически сформированной развертки и неопределенностью частоты дискретизации.
А.2.3 Амплитудная неопределенность цифроаналоговой системы может быть измерена с помощью математически сформированного сигнала фиксированной частоты и известной амплитуды. Уровень сигнала может быть затем измерен вольтметром. Амплитудная неопределенность должна быть проверена на всех частотах, где для требуемой развертки необходима высокая точность. Это требование, как правило, охватывает объединенный частотный диапазон от самой низкой граничной частоты до самой высокой в испытуемом блоке фильтров.
Цифровой сигнал развертки sn с эффективным значением 1,0 может быть сформирован посредством приведенной ниже формулы, где n - номер выборки, а fs - частота дискретизации. Величины n представляют собой тогда последовательность целых чисел от нуля до ближайшего к fs·Tsweep целого числа. Скорость развертки r вычисляют по формуле

. (А.3)
Выборки сигнала можно рассчитать по формуле

. (А.4)
А.3 Тестовый сигнал генератора
А.3.1 Существуют генераторы, способные создавать синусоидальные сигналы постоянной амплитуды, частота которых изменяется по экспоненциальному закону. Однако некоторые генераторы обеспечивают только грубую аппроксимацию экспоненциальной развертки с неизвестной неопределенностью скорости развертки. При достаточной информации от изготовителя генератора неопределенность вычислений может быть получена, как описано в
А.1. Если такая информация недоступна или неприемлема, то скорость развертки и неопределенность уровня должны быть измерены.
А.3.2 Тестовый сигнал генератора может быть измерен с помощью системы, в которой осуществляется выборка сигнала с известной частотой дискретизации аналого-цифровым преобразователем с известной неопределенностью измерений. Посредством анализа записанного сигнала можно определить мгновенный уровень сигнала развертки и мгновенную частоту, а отсюда и скорость развертки.
А.3.3 Некоторые генераторы выдают конечную частоту непосредственно перед запуском развертки. Тем самым создается нежелательный переходный сигнал, поэтому такие генераторы считаются непригодными для данного испытания.
А.3.4 Некоторые генераторы развертки могут останавливаться на конечной частоте на определенное время, прежде чем остановить развертку и возвратить частоту на стартовое значение. Это может быть очень удобно для того, чтобы предотвратить возврат на начальную частоту, искажающий измерение.
А.3.5
Формула (А.2) может быть использована в следующем примере расчета неопределенности тестового сигнала.
Входной сигнал измерен как постоянный с неопределенностью 0,03 дБ и отрегулирован так, чтобы отображаться на дисплее с разрешением 0,1 дБ. Следовательно:

.
Предполагая следующие значения и неопределенности:
Tsweep = 20 с,

;
Tavg = 20 с,

;
fend = 50 000 Гц,

;
fstart = 0,5 Гц,

,
получаем

или расширенную неопределенность тестового сигнала 0,115 дБ.
Если результат отображается на дисплее, который также имеет разрешение 0,1 дБ, то эту неопределенность необходимо добавить. Расширенная неопределенность отображаемого значения будет тогда равна 0,128 дБ. Некоторые неопределенности могут быть добавлены для учета аппроксимации экспоненциальной развертки и повторяемости.
А.4 Сравнение измерений
Если фильтр работает в режиме стационарной системы, то отклонение эффективной ширины полосы можно измерить двумя методами: методом экспоненциальной развертки, описанном в настоящем приложении, и методом почастотного измерения, описанном в
7.2.3 ГОСТ Р 70024.2-2022. Отклонения эффективной ширины полосы, рассчитанные по этим результатам, должны совпадать с точностью до неопределенности измерений.
(справочное)
ПРОВЕРКА РАБОТЫ ФИЛЬТРОВ В РЕЖИМЕ СТАЦИОНАРНОЙ СИСТЕМЫ
С ПОМОЩЬЮ ЭКСПОНЕНЦИАЛЬНОЙ РАЗВЕРТКИ. ПРИМЕР
Б.1 Общие положения
Данный пример показывает, как можно использовать экспоненциальную развертку для проверки работы в режиме стационарной системы. Предполагается, что испытание следует провести для набора третьоктавных полосовых фильтров в диапазоне от 6,3 Гц до 20 кГц. Фильтры являются частью интегрирующего усредняющего шумомера. Для считывания усредненного выходного уровня используют показывающее устройство шумомера.
Б.2 Пример
Б.2.1 Испытательный сигнал поступает от генератора сигналов с подтвержденными рабочими характеристиками. Выход генератора подсоединяют к входу фильтра. Генератор настроен на выдачу напряжения 1 В с частотой 1 кГц. Шумомер/фильтр находится в опорном диапазоне уровней. Чувствительность шумомера отрегулирована так, чтобы отображать на приборе 120 дБ при этом входном сигнале в соответствии с предполагаемыми рекомендациями изготовителя. В таком случае шумомер отображает уровни сигнала в децибелах относительно 1 мкВ. Верхняя граница опорного диапазона уровней предполагается равной 130 дБ. Развертка должна осуществляться на 3 дБ ниже этого уровня, то есть при 127 дБ относительно 1 мкВ.
Б.2.2 Генератор сигнала настраивают в режим развертки частоты от 0,01 Гц до 1 МГц с амплитудой, соответствующей требуемому уровню 127 дБ. Это соответствует диапазону развертки в 8 декад. Требуемая скорость развертки составляет от 2 до 5 с на декаду. Если время развертки будет равным 30 с, то этому будет соответствовать скорость 3,75 с на декаду. Генератор сигнала позволяет запускать развертку вручную. Перед запуском развертки генератор выдает сигнал частоты, которая выбрана в качестве стартовой частоты. Когда развертка завершается, частота мгновенно возвращается к стартовому значению. Это может вызвать отклонение измеренного уровня, если переходный процесс, связанный с возвратом частоты, включен в интервал усреднения.
Б.2.3 Время развертки генератора и время усреднения шумомера устанавливают равными 30 с. Затем развертку запускают вручную приблизительно через 0,5 - 1,5 с после запуска процесса усреднения в шумомере, поэтому усреднение заканчивается до окончания развертки на тот же самый промежуток времени. Следовательно, частота сигнала-развертки в момент окончания усреднения будет в диапазоне от 398 до 736 кГц, что значительно выше верхней граничной частоты 22,39 кГц для фильтра с наибольшей центральной частотой, а также выше частоты, на которой затухание составляет не менее 55 дБ. Переходный процесс, связанный с возвратом частоты сигнала в стартовое значение, будет при таких настройках за пределами интервала усреднения.
Б.2.4 Ожидаемый выходной уровень
LC допускается рассчитывать по
формуле (17) ГОСТ Р 70024.1-2022:

, (Б.1)
где Lin = 127 дБ относительно 1 мкВ;
Aref = 0 дБ.
Отношение времени развертки к времени усреднения:

. (Б.2)
Отношение верхней и нижней частот полосы пропускания третьоктавного фильтра:

. (Б.3)
Отношение конечной и начальной частоты развертки:

. (Б.4)
Получаем следующее значение LC:
LC = 127 дБ - 19,03 дБ = 107,97 дБ. (Б.5)
Б.2.5 Разность между измеренным выходным уровнем и рассчитанным выше уровнем
LC рассматривается как отклонение при проверке работы в режиме стационарной системы и должна находиться в пределах допуска, указанных в
5.14 ГОСТ Р 70024.1-2022, для того чтобы можно было заявить режим стационарной системы для фильтра.
Б.2.6 Третьоктавный фильтр с наименьшей центральной частотой будет иметь самую длительную импульсную характеристику. Процесс усреднения завершится в промежутке от 18 до 20 с после того, как развертка пройдет через наименьшую центральную частоту 6,3 Гц. Как правило, влияние импульсной характеристики этого фильтра при завершении усреднения будет очень маленьким. Если данное условие не выполнено, то в испытание следует внести изменение.
(справочное)
КОНТРОЛЬНЫЕ ОТНОСИТЕЛЬНЫЕ ЧАСТОТЫ ДЛЯ ИСПЫТАНИЯ И ПОВЕРКИ
ТРЕТЬОКТАВНЫХ ФИЛЬТРОВ
В.1 Общие положения
В данном приложении приведен пример расчета относительных частот для испытания третьоктавных фильтров. 15 частот для испытаний, указанных в
13.4, рассчитаны и приведены в
таблице В.1 с соответствующими пределами допуска.
Таблица В.1
Контрольные относительные частоты и пределы допуска
для относительного затухания третьоктавных фильтров
Индекс k | Относительная частота  | Минимальные и максимальные пределы допуска относительного затухания, дБ |
Класс 1 | Класс 2 |
-7 | 0,18546 | +70;  | +60;  |
-6 | 0,32748 | +60;  | +54;  |
-5 | 0,53143 | +40,5;  | +39,5;  |
-4 | 0,77257 | +16,6;  | +15,6;  |
-3 | 0,91958 | -0,4; +1,4 | -0,6; +1,7 |
-2 | 0,94719 | -0,4; +0,7 | -0,6; +0,9 |
-1 | 0,97402 | -0,4; +0,5 | -0,6; +0,7 |
0 | 1,00000 | -0,4; +0,4 | -0,6; +0,6 |
1 | 1,02667 | -0,4; +0,5 | -0,6; +0,7 |
2 | 1,05575 | -0,4; +0,7 | -0,6; +0,9 |
3 | 1,08746 | -0,4; +1,4 | -0,6; +1,7 |
4 | 1,29437 | +16,6;  | +15,6;  |
5 | 1,88173 | +40,5;  | +39,5;  |
6 | 3,05365 | +60;  | +54;  |
7 | 5,39195 | +70;  | +60;  |
В.2 Пример расчета
Пусть
k = 1. Согласно
таблице 1 частотный параметр:
R1 = G1/8 = 103/80. (В.1)
Соответствующая относительная частота:

. (В.2)

. (В.3)
Соответствующая обратная относительная частота:

. (В.4)
Относительные частоты для предписанных частот, соответствующих значениям
k = -7, -6, ... 7, приведены в
таблице В.1 с соответствующими пределами допуска.
Значение частоты в герцах может быть получено с помощью умножения относительной частоты на точную центральную частоту fm испытуемого фильтра.
УДК 534.322.3.08:006.354 | |
Ключевые слова: полосовой фильтр, октава, поверка |