Главная // Актуальные документы // ГОСТ Р (Государственный стандарт)СПРАВКА
Источник публикации
М.: Стандартинформ, 2014
Примечание к документу
Отдельные положения данного документа включены в
Перечень международных и региональных (межгосударственных) стандартов, а в случае их отсутствия - национальных (государственных) стандартов, содержащих правила и методы исследований (испытаний) и измерений, в том числе правила отбора образцов, необходимые для применения и исполнения требований технического
регламента Таможенного союза "О безопасности машин и оборудования" (ТР ТС 010/2011) и осуществления оценки соответствия объектов технического регулирования (
Решение Коллегии Евразийской экономической комиссии от 09.03.2021 N 28).
Документ
введен в действие с 1 декабря 2014 года.
Название документа
"ГОСТ Р ИСО 3741-2013. Национальный стандарт Российской Федерации. Акустика. Определение уровней звуковой мощности и звуковой энергии источников шума по звуковому давлению. Точные методы для реверберационных камер"
(утв. и введен в действие Приказом Росстандарта от 05.12.2013 N 2179-ст)
"ГОСТ Р ИСО 3741-2013. Национальный стандарт Российской Федерации. Акустика. Определение уровней звуковой мощности и звуковой энергии источников шума по звуковому давлению. Точные методы для реверберационных камер"
(утв. и введен в действие Приказом Росстандарта от 05.12.2013 N 2179-ст)
Утвержден и введен в действие
агентства по техническому
регулированию и метрологии
от 5 декабря 2013 г. N 2179-ст
НАЦИОНАЛЬНЫЙ СТАНДАРТ РОССИЙСКОЙ ФЕДЕРАЦИИ
АКУСТИКА
ОПРЕДЕЛЕНИЕ УРОВНЕЙ ЗВУКОВОЙ МОЩНОСТИ И ЗВУКОВОЙ ЭНЕРГИИ
ИСТОЧНИКОВ ШУМА ПО ЗВУКОВОМУ ДАВЛЕНИЮ
ТОЧНЫЕ МЕТОДЫ ДЛЯ РЕВЕРБЕРАЦИОННЫХ КАМЕР
Acoustics. Determination of sound power levels and sound
energy levels of noise sources using sound pressure.
Precision methods for reverberation test rooms
ISO 3741:2010
Acoustics - Determination of sound power levels and sound
energy levels of noise sources using sound pressure -
Precision methods for reverberation test rooms
(IDT)
ГОСТ Р ИСО 3741-2013
Дата введения
1 декабря 2014 года
1. Подготовлен Автономной некоммерческой организацией "Научно-исследовательский центр контроля и диагностики технических систем" (АНО "НИЦ КД") на основе собственного аутентичного перевода на русский язык международного стандарта, указанного в пункте 4.
2. Внесен Техническим комитетом по стандартизации ТК 358 "Акустика".
3. Утвержден и введен в действие
Приказом Федерального агентства по техническому регулированию и метрологии от 5 декабря 2013 г. N 2179-ст.
4. Настоящий стандарт идентичен международному стандарту ИСО 3741:2010 "Акустика. Определение уровней звуковой мощности и звуковой энергии источников шума по звуковому давлению. Точные методы для реверберационных камер" (ISO 3741:2010 "Acoustics - Determination of sound power levels and sound energy levels of noise sources using sound pressure - Precision methods for reverberation test rooms").
При применении настоящего стандарта рекомендуется использовать вместо ссылочных международных стандартов соответствующие им национальные стандарты Российской Федерации и действующий в этом качестве межгосударственный стандарт, сведения о котором приведены в дополнительном
Приложении ДА.
5. Введен впервые.
Правила применения настоящего стандарта установлены в ГОСТ Р 1.0-2012
(раздел 8). Информация об изменениях к настоящему стандарту публикуется в ежегодном (по состоянию на 1 января текущего года) информационном указателе "Национальные стандарты", а официальный текст изменений и поправок - в ежемесячном указателе "Национальные стандарты". В случае пересмотра (замены) или отмены настоящего стандарта соответствующее уведомление будет опубликовано в ближайшем выпуске ежемесячного информационного указателя "Национальные стандарты". Соответствующая информация, уведомление и тексты размещаются также в информационной системе общего пользования - на официальном сайте Федерального агентства по техническому регулированию и метрологии в сети Интернет (gost.ru).
Настоящий стандарт входит в серию стандартов (см.
[2] -
[8]), устанавливающих методы определения уровней звуковой мощности и звуковой энергии источников шума, таких как машины, оборудование и их узлы. Выбор конкретного метода зависит от целей испытаний по определению уровня звуковой мощности (звуковой энергии) и от имеющегося в распоряжении испытательного оборудования. Общее руководство по выбору метода испытаний установлено в
[2]. Стандарты
[2] -
[8] дают только общие рекомендации по установке машин и условиям их работы при испытаниях. Подробные требования об этом должны быть установлены в испытательных кодах по шуму для машин разных видов.
Методы настоящего стандарта требуют установки испытуемой машины в реверберационной камере с заданными акустическими характеристиками и исходят из допущения, что звуковая мощность (звуковая энергия) машины пропорциональна усредненному по времени и пространству квадрату звукового давления, а коэффициент пропорциональности зависит только от акустических и геометрических свойств камеры и значений физических констант воздуха.
Точно определить уровень звуковой мощности (звуковой энергии) шума, излучаемого источником, гораздо труднее, если этот шум сосредоточен в узкой полосе частот или на дискретных частотах, поскольку для такого шума:
a) пространственное усреднение посредством сканирования микрофоном по траектории ограниченной длины или посредством измерения в нескольких точках установки микрофонов не всегда обеспечивает хорошую оценку квадрата звукового давления, среднего по всей реверберационной камере;
b) звуковая мощность (звуковая энергия), излученная источником, в значительно большей степени зависит от акустических мод в данной камере и положения источника в ней.
Справиться с указанными трудностями для источника, излучающего шум в узкой полосе частот или на дискретных частотах, можно, улучшив характеристики камеры или увеличив число мест установки источника, число точек установки микрофонов или длину траектории сканирования микрофоном. Дополнительной мерой по улучшению точности измерений может быть использование низкочастотных поглотителей звука или вращающихся акустических рассеивателей.
Методы, установленные настоящим стандартом, предполагают определение уровней звуковой мощности (звуковой энергии) в третьоктавных полосах частот. Полученные данные могут быть использованы для дальнейших расчетов в широких (например, октавных) полосах частот или с применением коррекций по частотным характеристикам (например, по частотной характеристике A).
Методы настоящего стандарта относятся к точным методам по классификации ИСО 12001. Результаты измерений уровней звуковой мощности и звуковой энергии включают в себя поправки на отклонение от нормальных атмосферных условий. Менее точные методы измерений в реверберационном поле установлены в
[3],
[4] и
[8].
1.1. Общие положения
Настоящий стандарт устанавливает два метода, прямой и сравнения, измерения уровней звуковой мощности источника шума или, в случае если шум источника импульсный или имеет форму переходного процесса, то уровней звуковой энергии в третьоктавных полосах частот по результатам измерений уровней звукового давления в реверберационной камере. Методы включают в себя внесение поправок на отклонение атмосферных условий во время испытаний от нормальных, соответствующих характеристическому акустическому импедансу воздушной среды.
Диапазон частот измерений указанными методами включает в себя третьоктавные полосы со среднегеометрическими частотами от 100 до 10000 Гц. Диапазон частот измерений может быть расширен в область низких частот при соблюдении рекомендаций
Приложения E. Настоящий стандарт не распространяется на измерения в третьоктавных полосах со среднегеометрическими частотами свыше 10000 Гц.
Примечание. Для измерений области более высоких частот можно воспользоваться рекомендациями
[14].
1.2. Вид шума и источники шума
Настоящий стандарт распространяется на все виды шума (постоянный, непостоянный, флуктуирующий, единичные импульсы и др.) по классификации ИСО 12001.
Источники шума могут представлять собой устройства, машины и их узлы. Настоящий стандарт распространяется на источники шума, чей объем не превышает 2% объема реверберационной камеры. В случае испытаний источников большего объема точность полученных результатов может не соответствовать той, что установлена ИСО 12001 для точного метода измерений.
Примечание. В испытательных кодах по шуму для машин отдельных видов может допускаться проведение измерений для источников шума объемом до 5% объема реверберационной камеры. В этом случае в испытательном коде указывают, как увеличение объема источника шума влияет на неопределенность измерения.
1.3. Реверберационная камера
Реверберационная камера должна удовлетворять требованиям
раздела 5.
1.4. Неопределенность измерения
В настоящем стандарте приведены сведения о неопределенности измерения уровней звуковой мощности (звуковой энергии) в третьоктавных полосах частот и в широкой полосе частот с коррекцией по частотной характеристике A (далее - корректированные по A). Неопределенность измерения соответствует установленной ИСО 12001 для точных методов измерений.
В настоящем стандарте использованы нормативные ссылки на следующие стандарты:
ИСО 3382-2 Акустика. Измерение акустических параметров помещений. Часть 2. Время реверберации обычных помещений (ISO 3382-2, Acoustics - Measurement of room acoustic parameters - Part 2: Reverberation time in ordinary rooms)
ИСО 5725 (все части) Точность (правильность и прецизионность) методов и результатов измерений [ISO 5725, Accuracy (trueness and precision) of measurement methods and results]
ИСО 6926 Акустика. Требования к рабочим характеристикам и калибровке образцовых источников шума, используемых для определения уровней звуковой мощности (ISO 6926, Acoustics - Requirements for the performance and calibration of reference sound sources for the determination of sound power levels)
ИСО 12001:1996 Акустика. Шум, излучаемый машинами и оборудованием. Правила составления испытательных кодов по шуму (ISO 12001:1996, Acoustics - Noise emitted by machinery and equipment - Rules for the drafting and presentation of a noise test code)
Руководство ИСО/МЭК 98-3 Неопределенность измерения. Часть 3. Руководство по выражению неопределенности измерения (GUM) [ISO/IEC Guide 98-3, Uncertainty in measurement - Part 3: Guide to the expression of uncertainty in measurement (GUM:1995)]
МЭК 60942:2003 Электроакустика. Калибраторы акустические (IEC 60942:2003, Electroacoustics - Sound calibrators)
МЭК 61183 Электроакустика. Калибровка шумомеров в диффузном звуковом поле (IEC 61183, Electroacoustics - Random-incidence and diffuse-field calibration of sound level meters)
МЭК 61260:1995 Электроакустика. Фильтры полосовые октавные и на доли октавы (IEC 61260:1995, Electroacoustics - Octave-band and fractional-octave-band filters)
МЭК 61672-1:2002 Электроакустика. Шумомеры. Часть 1. Технические требования (IEC 61672-1:2002, Electroacoustics - Sound level meters - Part 1: Specifications).
В настоящем стандарте применены следующие термины с соответствующими определениями.
3.1. Звуковое давление (sound pressure) p: разность между мгновенным и статическим давлениями воздушной среды.
Примечание 1. Определение термина модифицировано по отношению к статье 8-9.2 в
[21].
Примечание 2. Выражают в паскалях (Па).
3.2. Уровень звукового давления (sound pressure level) Lp: десятикратный десятичный логарифм отношения квадрата звукового давления p к квадрату опорного звукового давления p0 (p0 = 20 мкПа), выраженный в децибелах (дБ) по формуле

(1)
Примечание 1. В случае применения коррекций по частотным или временным характеристикам, а также в случае измерений в заданной полосе частот это отражают применением соответствующего подстрочного индекса, например, LpA - уровень звука (т.е. уровень корректированного по A звукового давления).
Примечание 2. Определение содержательно совпадает со статьей 8-22 в
[21].
3.3. Эквивалентный уровень звукового давления (time-averaged sound pressure level) L
p,T: десятикратный десятичный логарифм отношения усредненного на заданном временном интервале T (с началом t
1 и окончанием t
2) квадрата звукового давления p к квадрату опорного звукового давления p
0 (p
0 = 20 мкПа), выраженный в децибелах (дБ) по формуле

(2)
Примечание 1. Обычно подстрочный индекс T опускают, поскольку из названия термина следует, что величину Lp,T определяют на заданном временном интервале.
Примечание 2. В большинстве применений интегрирование на временном интервале T сопровождается использованием коррекции по частотной характеристике A. Соответствующую величину обозначают LpA,T или, сокращенно, LpA.
Примечание 3. Определение термина модифицировано по отношению к статье 2.3 в
[20].
3.4. Уровень экспозиции однократного шумового процесса (single event time-integrated sound pressure level) LE: десятикратный десятичный логарифм отношения интегрированного на заданном временном интервале T (с началом t1 и окончанием t2) квадрата звукового давления p отдельного шумового события (звукового импульса или переходного процесса) к опорному значению дозы шума E0 [E0 = (20 мкПа)2 с = 4 x 10-10 Па2 с], выраженный в децибелах (дБ) по формуле

(3)
Примечание 1. Данная величина может быть выражена через эквивалентный уровень звукового давления по формуле

, где T
0 = 1 с.
Примечание 2. В случае описания звуковой иммиссии данную величину обычно называют "уровень звукового воздействия" (см.
[20]).
3.5. Продолжительность измерений (measurement time interval) T: период, включающий в себя часть операционного цикла или несколько операционных циклов источника шума, в течение которого проводят измерения эквивалентного уровня звукового давления.
Примечание. T выражают в секундах (с).
3.6. Реверберационная камера (reverberation test room): испытательное помещение, удовлетворяющее требованиям настоящего стандарта.
3.7. Реверберационное (звуковое) поле (reverberant sound field): звуковое поле в той части испытательного помещения, в которой влияние звуковой волны, непосредственно пришедшей от испытуемого источника, пренебрежимо мало.
3.8. Время реверберации (reverberation time) T
n: время, необходимое для спада усредненного по заданной области пространства уровня звуковой энергии до 10
-n/10 начального значения (т.е. на n дБ) после прекращения звукового излучения.
Примечание 1. Tn выражают в секундах (с).
Примечание 2. Время реверберации зависит от частоты.
Примечание 3. В настоящем стандарте принято n = 60 и обозначение T60.
3.9. Коэффициент звукопоглощения (sound absorption coefficient)

: доля падающей на поверхность и не отраженной ею мощности звука на данной частоте в заданных акустических условиях.
Примечание. В настоящем стандарте коэффициент звукопоглощения рассчитывают по
[1].
3.10. Эквивалентная площадь звукопоглощения (equivalent sound absorption area) A: произведение площади поверхности на коэффициент звукопоглощения этой поверхности.
Примечание. A выражают в квадратных метрах (м2).
3.11. Образцовый источник шума (reference sound source): источник шума, удовлетворяющий установленным требованиям.
Примечание. В настоящем стандарте применены требования к образцовому источнику шума по ИСО 6926 (раздел 5).
3.12. Диапазон частот измерений (frequency range of interest): в общем случае диапазон частот, включающий в себя третьоктавные полосы со среднегеометрическими частотами (номинальными) от 100 до 10000 Гц.
Примечание. В отдельных случаях диапазон частот измерений может быть расширен или сокращен, если при этом условия испытаний и применяемые средства измерений будут удовлетворять требованиям настоящего стандарта. Любое расширение или сокращение диапазона частот измерений отражают в протоколе испытаний.
3.13. Фоновый шум (background noise): шум от всех источников, кроме испытуемого.
Примечание. Фоновый шум может включать в себя воздушный шум, шум излучения вибрирующих поверхностей, электрический шум средств измерений.
3.14. Коррекция на фоновый шум (background noise correction) K1: поправка к измеренному значению уровня звукового давления в реверберационной камере, вносимая для учета влияния фонового шума.
Примечание 1. K1 выражают в децибелах (дБ).
Примечание 2. Коррекция на фоновый шум зависит от частоты. При измерениях в полосе частот коррекцию на фоновый шум обозначают K1f, где f - среднегеометрическая частота полосы.
3.15. Звуковая мощность (через поверхность) P (sound power): интеграл по поверхности от произведения звукового давления p и составляющей скорости колебаний точки поверхности, нормальной к этой поверхности, un.
Примечание 1. P выражают в ваттах (Вт).
Примечание 2. Данная величина характеризует скорость излучения звуковой энергии источником в воздушную среду.
3.16. Уровень звуковой мощности (sound power level) LW: десятикратный десятичный логарифм отношения звуковой мощности P к опорной звуковой мощности P0 (P0 = 1 пВт), выраженный в децибелах по формуле

(4)
Примечание 1. При измерениях с применением коррекции по одной из частотных характеристик, установленных МЭК 61672-1, или в заданной полосе частот в обозначение уровня звуковой мощности добавляют соответствующий подстрочный индекс, например, LWA обозначает корректированный по A уровень звуковой мощности.
Примечание 2. Определение содержательно совпадает со статьей 8-23 в
[21].
3.17. Звуковая энергия (sound power) J: интеграл от звуковой мощности P на заданном временном интервале T (с началом t1 и окончанием t2)

(5)
Примечание 1. J выражают в джоулях (Дж).
Примечание 2. Данную величину обычно используют для описания нестационарных процессов и перемежающихся звуковых событий.
3.18. Уровень звуковой энергии (sound energy level) LJ: десятикратный десятичный логарифм отношения звуковой энергии J к опорной звуковой энергии J0 (J0 = 1 пДж), выраженный в децибелах по формуле

(6)
Примечание. При измерениях с применением коррекции по одной из частотных характеристик, установленных МЭК 61672-1, или в заданной полосе частот в обозначение уровня звуковой энергии добавляют соответствующий подстрочный индекс, например, LJA обозначает корректированный по A уровень звуковой энергии.
4. Нормальные атмосферные условия
Нормальными атмосферными условиями для определения уровней звуковой мощности и звуковой энергии являются:
a) температура воздуха 23,0 °C;
b) статическое давление 101,325 кПа;
c) относительная влажность 50%.
5. Реверберационная камера
5.1. Общие положения
Реверберационная камера должна иметь достаточно большие размеры и достаточно низкое общее звукопоглощение, позволяющие обеспечить условия реверберационного поля во всем диапазоне частот измерений. Рекомендации по конструкции реверберационной камеры приведены в
Приложении A. Рекомендации по конструкции устанавливаемого в камере вращающегося акустического рассеивателя приведены в
Приложении B.
Пригодность реверберационной камеры должна быть оценена по
Приложению C, а для проведения измерений на дискретных частотах - по
Приложению D (или, как вариант, в процессе определения уровней звуковой мощности или звукового давления выполняют дополнительные измерения согласно
8.4.2 или
8.5.2). В
Приложении E приведены рекомендации по выполнению измерений в третьоктавных полосах со среднегеометрическими частотами ниже 100 Гц.
5.2. Объем и форма камеры
Рекомендации в отношении минимального объема камеры приведены в таблице 1. Реверберационные камеры объемом меньше указанного в таблице 1 или превышающим 300 м
3 должны быть проверены на пригодность для измерений широкополосного шума согласно
Приложению C.
Таблица 1
Минимальный объем камеры в зависимости
от среднегеометрической частоты нижней третьоктавной полосы
диапазона частот измерений
Среднегеометрическая частота нижней третьоктавной полосы диапазона частот измерений, Гц | Минимальный объем камеры, м3 |
100 | 200 |
125 | 150 |
160 | 100 |
200 и более | 70 |
5.3. Требования к звукопоглощению в камере
От звукопоглощения в реверберационной камере в наибольшей мере зависит минимальное расстояние, которое нужно выдерживать между испытуемым источником шума и точками установки микрофонов. Оно влияет также на излучение источника и частотные характеристики испытательного пространства. С учетом этого обстоятельства звукопоглощение в камере должно быть не чрезмерно большим и не слишком малым (см.
Приложение A).
Все поверхности камеры, находящиеся на расстоянии от испытуемого источника в пределах одной длины волны диапазона частот измерений должны иметь коэффициент звукопоглощения менее 0,06. Если согласно
Приложению C или
D применяют низкочастотные панельные поглотители, то они могут быть расположены в пределах одной длины волны (соответствующей нижней границе диапазона частот измерений) от испытуемого источника шума, но не ближе чем в 1,5 м от него. Остальные поверхности камеры должны иметь такое звукопоглощение, чтобы время реверберации T
60 (см.
8.7) в каждой третьоктавной полосе со среднегеометрической частотой ниже 6,3 кГц при удаленном из камеры испытуемом источнике звука численно превышало отношение V к S, т.е. выполнялось условие
| | ИС МЕГАНОРМ: примечание. Нумерация формул дана в соответствии с официальным текстом документа. | |

(6)
где V - объем камеры, м3;
S - общая площадь поверхности стен камеры, м2.
Если время реверберации не удовлетворяет условию (6), то пригодность камеры для измерения широкополосного шума должна быть подтверждена согласно
Приложению C.
5.4. Требования к уровню фонового шума
5.4.1. Критерий по относительным значениям
Требования настоящего стандарта к фоновому шуму считают выполненными, если усредненные по точкам установки микрофонов или по траекториям сканирования (см.
9.1.3 или
9.2.3) эквивалентные уровни звукового давления фонового шума в каждой третьоктавной полосе диапазона частот измерений ниже соответствующего эквивалентного уровня звукового давления испытуемого источника шума на величину

, равную:
a) 6 дБ и более в третьоктавных полосах со среднегеометрическими частотами 200 Гц и ниже, а также 6300 Гц и выше;
b) 10 дБ и более в третьоктавных полосах со среднегеометрическими частотами от 250 до 5000 Гц.
Примечание 1. Тот же критерий применяют при сравнении с уровнем экспозиции однократного шумового процесса, при этом продолжительность измерений фонового шума должна совпадать с продолжительностью измерений однократного шумового процесса.
Примечание 2. Если для перемещения микрофона по заданной траектории используют специальный механизм, то шум данного механизма во время работы рассматривают как составляющую фонового шума и измерения фонового шума для проверки соответствия критерию проводят при работающем механизме.
5.4.1.2. Критерий по относительным значениям для отдельных полос
Даже если фоновый шум в реверберационной камере весьма низок, требование, установленное в
5.4.1.1, может не соблюдаться для какой-то одной или нескольких полос диапазона частот измерений. Допускается из проверки по критерию фонового шума исключить полосы частот, корректированный по A уровень звуковой мощности (звуковой энергии) в которых (см.
Приложение F) испытуемого источника шума после коррекции на фоновый шум будет не менее чем на 15 дБ ниже максимального значения этой величины по всем третьоктавным полосам диапазона частот измерений.
5.4.1.3. Критерий по относительным значениям для измерений с коррекцией по частотной характеристике A
Если проводят измерения корректированного по A уровня звуковой мощности (звуковой энергии), то для определения соответствия условий измерений критерию по фоновому шуму настоящего стандарта выполняют следующие действия:
a) вычисляют корректированный по A уровень звуковой мощности (звуковой энергии) по данным измерений в каждой полосе диапазона частот измерений;
b) повторяют вычисления, исключив полосы, в которых

, если их среднегеометрические частоты 200 Гц и ниже или 6300 Гц и выше, и

, если их среднегеометрические частоты лежат в диапазоне от 250 до 5000 Гц.
Если разность значений, полученных в результате выполнения этапов a) и b) менее 0,5 дБ, то измерения корректированного по A уровня звуковой мощности (звуковой энергии) с использованием данных по всем полосам диапазона частот измерений можно считать выполненными с соблюдением критерия по фоновому шуму.
5.4.2. Критерий по абсолютным значениям
Если можно показать, что уровни фонового шума в камере во время проведения измерений не превышают значений, приведенных в
таблице 2 для всех полос диапазона частот измерений, то считают, что требования настоящего стандарта к фоновому шуму выполнены даже в том случае, когда соответствие критерию по относительным значениям, установленному в
5.4.1.1, соблюдается не для всех полос диапазона. В этом случае можно предположить, что в этих полосах излучение источника незначительно, и полученные для них результаты измерений уровня звуковой мощности (звуковой энергии) являются верхними оценками.
Если полученные значения эквивалентного уровня звукового давления (эквивалентного уровня звукового давления однократного шумового процесса) испытуемого источника шума окажутся меньше значений, приведенных в таблице 2, то соответствующие третьоктавные полосы исключают из диапазона частот измерений. В этом случае в протоколе испытаний указывают, в каком диапазоне частот были проведены измерения.
Таблица 2
Максимально допустимые уровни фонового шума
в реверберационной камере
Среднегеометрическая частота третьоктавной полосы частот, Гц | Максимальный уровень звукового давления фонового шума, дБ |
50 | 42 |
63 | 39 |
80 | 36 |
100 | 33 |
125 | 30 |
160 | 27 |
200 | 24 |
250 | 21 |
315 | 18 |
400 | 15 |
500 | 12 |
630 | 11 |
800 | 11 |
1000 | 10 |
1250 | 10 |
1600 | 10 |
2000 | 10 |
2500 | 10 |
3150 | 10 |
4000 | 10 |
5000 | 10 |
6300 | 10 |
8000 | 10 |
10000 | 10 |
5.4.3. Несоответствие критериям по фоновому шуму
Если не соблюдены критерии ни по относительному (см.
5.4.1), ни по абсолютному (см.
5.4.2) значениям, то в протоколе испытаний должно быть указано, что требования настоящего стандарта к фоновому шуму не выполнены. Должны быть указаны полосы, в которых критерии не соблюдены. В этом случае в протоколе испытаний не допускается в явном или неявном виде указывать, что измерения проведены в полном соответствии с настоящим стандартом.
5.5. Требования к температуре, давлению и влажности воздуха
В точках установки микрофонов изменения температуры и относительной влажности воздуха должны быть в пределах, указанных в
таблице 3.
Колебания атмосферного давления должны быть в пределах +/- 1,5 кПа.
Знания температуры и влажности воздуха с точностью, показанной в таблице 3, обычно достаточно для обеспечения точности методов настоящего стандарта. Однако в испытательных кодах по шуму для машин разных видов могут быть установлены иные требования по температуре и влажности, особенно если работа машины или излучаемый ею шум сильно зависят от атмосферных условий. В этом случае следует руководствоваться положениями испытательного кода по шуму.
Таблица 3
Допустимые пределы изменения температуры
и относительной влажности воздуха во время измерений
в реверберационной камере
Диапазон температур  , °C | Допустимые изменения температуры, °C, и относительной влажности воздуха, %, для разных диапазонов относительной влажности |
Менее 30% | От 30% до 50% | Более 50% |
| +/- 1 °C; +/- 3% | +/- 1 °C; +/- 5% | +/- 3 °C; +/- 10% |
| +/- 1 °C; +/- 3% | +/- 3 °C; +/- 5% | +/- 3 °C; +/- 10% |
| +/- 2 °C; +/- 3% | +/- 5 °C; +/- 5% | +/- 3 °C; +/- 10% |
Измерительная система, включая микрофоны и соединительные кабели, должна соответствовать требованиям к средствам измерений класса 1 по МЭК 61672-1, а электронные фильтры - класса 1 по МЭК 61260.
В случае применения метода сравнения (см.
8.1) образцовый источник шума должен соответствовать требованиям ИСО 6926.
Микрофоны калибруют в диффузном звуковом поле по МЭК 61183.
До и после каждой серии измерений проверяют калибровку каждой измерительной цепи на одной или нескольких частотах в пределах диапазона частот измерений с использованием акустического калибратора, удовлетворяющего требованиям МЭК 60942, без выполнения регулировок измерительной цепи. Разность показаний до и после проведения измерений не должна превышать 0,5 дБ. Если данное требование не соблюдено, то результаты измерений считают недостоверными.
Работы по калибровке акустического калибратора, проверке соответствия измерительной системы требованиям к средствам измерений класса 1 по МЭК 61672-1, электронных фильтров - классу 1 по МЭК 61260 и, при необходимости, проверке соответствия образцового источника шума ИСО 6926 выполняют периодически в специализированной лаборатории.
Для каждого средства измерений значение интервала между калибровками указывается в технической документации изготовителя.
7. Расположение, установка и работа
испытуемого источника шума
7.1. Общие положения
Прежде всего необходимо определить, какие именно элементы (узлы, вспомогательные устройства, источники питания и т.п.) составляют неотъемлемую часть источника шума, уровень звуковой мощности (звуковой энергии) которого планируется определить. Важно определить способ установки источника и режим его работы во время испытаний, поскольку эти факторы способны оказать существенное влияние на результаты измерений. Максимально точное определение указанных факторов является важным условием обеспечения воспроизводимости результатов измерений.
Настоящий стандарт устанавливает требования к элементам (составным частям) испытуемого источника, шум которых необходимо учитывать, а также требования к установке и режиму работы источника во время испытаний. Однако если соответствующие требования определены в испытательном коде по шуму для машин данного вида, то следует руководствоваться испытательным кодом.
7.2. Вспомогательное оборудование
Следует убедиться, что вспомогательное оборудование (кабели, трубопроводы, воздуховоды и т.п.), соединенное с испытуемым источником, не излучает значительную звуковую энергию.
По возможности все вспомогательное оборудование, необходимое для работы источника шума, но не составляющее его неотъемлемую часть, следует разместить вне реверберационной камеры. Если это трудновыполнимо, то принимают меры, чтобы максимально снизить шум оборудования. При невозможности вынести из камеры вспомогательное оборудование или существенно снизить его шум, это вспомогательное оборудование считают составной частью испытуемого источника.
7.3. Расположение испытуемого источника шума
Испытуемый источник устанавливают в реверберационной камере в одном или нескольких положениях относительно стен камеры способом, характерным для использования этого источника в условиях применения. Если конкретное расположение для данного источника шума не определено, то его устанавливают на полу не ближе 1,5 м от стен камеры. Если источник шума следует испытывать в двух и более положениях (см.
8.4.2 и
Приложение D), то расстояние между местами размещения источника должно быть не менее половины длины волны, соответствующей среднегеометрической частоте низшей полосы диапазона частот измерений. Если пол реверберационной камеры имеет прямоугольную форму, то источник шума устанавливают не по осям симметрии пола.
Испытуемый настольный станок или другое настольное оборудование также размещают на полу реверберационной камеры на расстоянии не менее 1,5 м от ее стен, если стол не является необходимым для нормальной работы испытуемой машины. В последнем случае ее устанавливают в центре стола и стол рассматривают как единое целое с источником шума.
7.4. Условия установки
Во многих случаях условия установки источника шума на опорную поверхность существенно влияют на излучаемую звуковую мощность (звуковую энергию). Если существуют типовые способы монтажа испытуемого источника в условиях его применения, то их же по возможности следует использовать при испытаниях.
При выборе способа установки испытуемого источника следует руководствоваться рекомендациями изготовителя, если иное не установлено в испытательном коде по шуму для машин данного вида. Если типовых способов установки не существует или они не могут быть применены в испытаниях, а также при наличии нескольких допустимых способов, то следует убедиться, что выбранный способ установки не приводит к нетипичным изменениям шума данного источника. Следует выбирать такие способы, при которых вклад излучения опорной конструкции минимален.
Часто маломощные источники шума малых размеров в низкочастотной области могут при неудачном выборе способа крепления передавать значительную низкочастотную вибрацию в опорную конструкцию, обладающую хорошей акустической излучательной способностью в области низких частот. В этом случае рекомендуется использовать виброизолирующие прокладки между испытуемым источником и опорной конструкцией. При этом опорная конструкция должна быть весьма жесткой (т.е. иметь значительный входной механический импеданс), чтобы предотвратить возбуждение в ней чрезмерных колебаний, являющихся причиной ее звукового излучения. Виброизолирующие прокладки используют, только если это предусмотрено типичными условиями применения источника шума.
На излучение испытуемого источника могут также оказывать влияние условия сопряжения механизмов (например, привода и машины). Для исключения этого влияния может быть применена гибкая муфта. Применение гибкой муфты аналогично применению виброизолирующих прокладок.
Если источник шума представляет собой ручную машину, то при испытаниях ее удерживает оператор или машину подвешивают таким образом, чтобы исключить передачу на нее вибрации через любые вспомогательные приспособления, не являющиеся ее частью. Если источник шума для своей работы требует опору, то опора должна быть малых размеров и рассматриваться как часть испытуемого источника. Вид опоры описывают в испытательном коде по шуму (при его наличии).
Если машину в условиях применения устанавливают на специальное основание вплотную к стене, то при испытаниях его устанавливают на акустически жесткую поверхность пола рядом с акустически жесткой стеной. Машины, крепящиеся на стену для проведения испытаний, также устанавливают на акустически жесткую стену.
7.5. Работа источника шума во время испытаний
На излучаемую источником звуковую мощность (звуковую энергию) могут влиять нагрузка, рабочая скорость и режим работы. По возможности источник испытывают в условиях, когда его шум максимален при его типичном использовании и, с другой стороны, обеспечивающих воспроизводимость результатов измерений. При наличии испытательного кода по шуму руководствуются установленными в нем требованиями к условиям работы источника, а при его отсутствии испытания проводят в одном или нескольких из следующих режимов:
a) в заданном режиме работы при заданной нагрузке;
b) при максимальной нагрузке, если она отличается от указанной в перечислении a);
c) на холостом ходу;
d) на максимальной рабочей скорости в заданном режиме;
e) в типовом режиме работы, когда шум источника максимален;
f) в заданном режиме работы с моделируемой нагрузкой;
g) с воспроизведением типового рабочего цикла.
До проведения измерений источник шума должен быть стабилизирован в заданном режиме. Нагрузку, скорость и другие эксплуатационные характеристики в процессе испытаний либо поддерживают постоянными, либо циклически изменяют установленным образом.
Если излучение источника зависит от других факторов, таких как обрабатываемый материал или применяемый вставной инструмент, то они должны соответствовать, насколько это возможно, типичным условиям применения источника и при этом обеспечивать наименьший разброс результатов измерений. Если испытания проводят с моделированием нагрузки, то ее выбирают так, чтобы шум источника был представителен для нормальных условий применения источника.
Шум некоторых источников, таких как электронное оборудование с вентиляторами охлаждения с изменяющейся скоростью вращения или оборудование для кондиционирования воздуха с компрессорами, может сильно зависеть от температуры воздуха в реверберационной камере. Если не установлено иное, например испытательным кодом по шуму, то рекомендуется установить в камере типичную для нормального применения источника температуру и поддерживать ее постоянной в пределах +/- 2 °C. Температуру следует указать в протоколе испытаний.
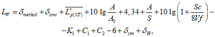
В настоящем стандарте рассматриваются два метода измерений уровней звуковой мощности (звуковой энергии):
a) с использованием эквивалентной площади звукопоглощения (прямой метод);
b) с использованием образцового источника шума с известным уровнем звуковой мощности (метод сравнения).
Оба метода применимы в диапазоне частот, включающем в себя третьоктавные полосы со среднегеометрическими частотами от 100 до 10000 Гц. В особых случаях допускается расширить диапазон частот измерений в область низких частот до третьоктавной полосы со среднегеометрической частотой 50 Гц (см.
3.12), руководствуясь при этом рекомендациями
Приложения E.
8.2. Установка испытуемого источника шума
При использовании прямого метода источник шума устанавливают в реверберационной камере в одном из положений, выбранном в соответствии с
разделом 7.
8.3. Установка микрофонов
При использовании любого из методов (прямого или сравнения) определяют минимально допустимое расстояние dmin, м, между точкой установки микрофона и испытуемым источником шума для каждой полосы диапазона частот измерений.
Для прямого метода dmin численно рассчитывают по формуле

(8)
где D1 = 0,08;
V - объем реверберационной камеры, м3;
T60 - время реверберации, с.
Для метода сравнения d
min выбирают как наименьшее из двух значений, полученных по
формуле (8) и по формуле (9)

(9)
где D2 = 0,4;
LWr - известный уровень звуковой мощности образцового источника шума, дБ;
Lpr - эквивалентный уровень звукового давления при работе образцового источника шума в реверберационной камере, дБ.
Чтобы уменьшить погрешность, связанную с измерениями в ближнем поле, и гарантировать, что точки измерений будут находиться в реверберационном поле камеры, рекомендуется для полос со среднегеометрическими частотами ниже 5000 Гц коэффициенты D1 и D2 увеличить соответственно до значений D1 = 0,16 и D2 = 0,8.
Если пригодность камеры была оценена в соответствии с
Приложением D, то при измерениях звукового давления используют то же число микрофонов и то же число точек измерения или траектории сканирования микрофоном, какие были использованы при оценке пригодности камеры.
Если пригодность камеры не была подтверждена в соответствии с
Приложением D, то в ней выбирают шесть точек установки микрофонов, по измерениям в которых будет получена оценка среднеквадратичного отклонения уровней звукового давления (см.
8.4.2). Эти точки должны быть удалены более чем на 1,0 м от любой из стен камеры и более чем на d
min от испытуемого источника шума. Минимально допустимое расстояние между точками равно половине длины волны, соответствующей среднегеометрической частоте нижней полосы диапазона частот измерений. Для оценки стандартного отклонения уровней звукового давления вместо измерений в фиксированных точках может быть использовано сканирование микрофоном.
При сканировании траектория движения микрофона должна отвечать следующим требованиям:
a) ни одна точка траектории не должна быть ближе dmin от источника;
b) ни одна точка траектории не должна быть ближе 1,0 м от любой поверхности камеры;
c) ни одна точка траектории ни в какой момент времени не должна быть ближе 0,5 м от любой из поверхностей вращающегося акустического рассеивателя;
d) плоскость, в которой лежит траектория, должна быть под углом не менее 10° к любой из поверхностей камеры;
e) траектория может представлять собой отрезок прямой линии, дугу окружности или полную окружность. Длина траектории l должна быть не меньше наименьшего из значений: 10,3 м и

(

- длина волны, соответствующая среднегеометрической частоте низшей полосы диапазона частот измерений).
Чтобы гарантировать, что измерения будут проведены в реверберационном поле камеры при соблюдении требования к минимальной длине траектории, рекомендуется разбить траекторию на две или более частей, расстояние между которыми должно быть больше наименьшего из значений: 1,0 м и

.
8.4. Измерения уровней звукового давления
При использовании любого из методов (прямого или сравнения) для каждого выбранного режима работы испытуемого источника шума (см.
7.5) измеряют эквивалентный уровень звукового давления L'
pi(ST) в третьоктавных полосах частот на заданном интервале времени в каждой точке измерения i или вдоль каждой траектории сканирования (i = 1, 2, ..., n). Если пригодность камеры подтверждена в соответствии с
Приложением D, то в измерениях используют то же число микрофонов и то же число точек измерения или те же траектории сканирования микрофоном, какие были использованы при оценке пригодности. Если пригодность камеры не была оценена в соответствии с
Приложением D, то в ней согласно
8.3 выбирают шесть начальных точек установки микрофонов, по измерениям в которых будет получена оценка среднеквадратичного отклонения уровней звукового давления (см.
8.4.2).
Продолжительность измерений постоянного шума должна быть не менее 30 с для полос со среднегеометрическими частотами 160 Гц и менее. Для полос со среднегеометрическими частотами 200 Гц и более продолжительность измерений должна быть не менее 10 с. Если уровень звукового давления источника или фонового шума изменяется со временем, то продолжительность измерений в каждой точке может быть увеличена. Продолжительность измерений указывают в протоколе испытаний.
При сканировании микрофоном продолжительность измерений должна быть не менее времени двукратного прохождения микрофона по траектории.
При использовании вращающегося акустического рассеивателя продолжительность измерений должна удовлетворять указанным выше требованиям и быть кратной периоду вращения рассеивателя с кратностью не менее 10.
Непосредственно перед измерениями звукового давления источника шума или сразу после них в тех же полосах частот в тех же точках или вдоль той же траектории движения микрофона измеряют эквивалентный уровень звукового давления фонового шума L'pi(B) с той же продолжительностью измерений.
8.4.2. Дополнительные измерения в камере, не проверенной на пригодность для измерений на дискретных частотах
8.4.2.1. Общие положения
Дополнительные измерения проводят, если реверберационная камера не проверялась на пригодность к проведению измерений на дискретных частотах.
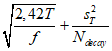
8.4.2.2. Расчет стандартных отклонений по результатам предварительных измерений
Рассчитывают выборочное стандартное отклонение s
M по результатам измерений эквивалентного уровня звукового давления в шести начальных точках измерений согласно
8.4.1 для каждой третьоктавной полосы частот по формуле

(10)
где L'pi(pre) - эквивалентный уровень звукового давления в третьоктавной полосе частот в i-й точке измерения, дБ;
L'pm(pre) - среднее арифметическое значение для L'pi(pre), дБ;
NM(pre) - число начальных точек измерений (NM(pre) = 6).
8.4.2.3. Проверка необходимости дополнительных точек измерений
Если значение s
M, полученное по
формуле (10), для одной или нескольких третьоктавных полос превышает 1,5 дБ, то это свидетельствует о наличии в шуме испытуемого источника значительных дискретных частотных составляющих. В этом случае необходимо либо модернизировать камеру, чтобы ее пригодность могла быть подтверждена в соответствии с
Приложением D, либо для определения среднего уровня звукового давления в соответствии с
9.1.3 увеличить число точек измерений N
M, как указано в таблице 4, и число мест расположения источника шума в камере (см.
8.4.2.4).
Таблица 4
Минимальное число точек измерений
уровней звукового давления
Среднегеометрическая частота третьоктавной полосы, Гц | Минимальное значение NM для разных sM |
sM <= 1,5 | 1,5 < sM <= 3 | sM > 3 |
100, 125, 160 | 6 | 6 | 6 |
200, 250, 315 | 6 | 6 | 12 |
400, 500, 630 | 6 | 12 | 24 |
800 и более | 6 | 15 | 30 |
Если число точек измерений окажется велико, то измерения целесообразно проводить сканированием микрофоном. При этом минимальная длина траектории l, м, должна удовлетворять условию

(11)
где

- длина волны, соответствующая среднегеометрической частоте полосы измерений;
В случае камер малых размеров, чтобы гарантировать, что измерения будут проведены в реверберационном поле, рекомендуется разбить траекторию на две или более частей, расстояние между которыми должно быть более наименьшего из следующих двух значений: 1,0 м или половины длины волны, соответствующей среднегеометрической частоте третьоктавной полосы, в которой проводят измерения.
8.4.2.4. Дополнительные места расположения источника шума
Минимальное число мест расположения источника шума в камере при измерениях звукового давления в случае, когда значение sM для одной или нескольких третьоктавных полос превышает 1,5 дБ, определяют по формуле

(12)
где KS - числовой коэффициент, определяемый по таблице 5;
T60 - время реверберации для данной третьоктавной полосы частот, с;
V - объем камеры, м3;
f - среднегеометрическая частота данной третьоктавной полосы, Гц;
Таблица 5
Значения числового коэффициента KS
Среднегеометрическая частота третьоктавной полосы, Гц | Значения KS для разных sM |
sM <= 1,5 | 1,5 < sM <= 3 | sM > 3 |
100, 125, 160 | - <*> | 2,5 | 5 |
200, 250, 315 | - <*> | 5 | 10 |
400, 500, 630 | - <*> | 10 | 20 |
800 и более | - <*> | 12,5 | 25 |
<*> Минимальное значение NS равно единице. |
Число дополнительных мест расположения испытуемого источника может быть уменьшено применением вращающегося акустического рассеивателя, а также уменьшением времени реверберации, приводящего к лучшему перекрытию акустических мод в камере. Для третьоктавных полос со среднегеометрическими частотами ниже 1000 Гц рекомендуется, чтобы время реверберации T60, с, удовлетворяло следующему условию
где V - объем камеры, м3;
f - среднегеометрическая частота данной третьоктавной полосы, Гц.
8.4.2.5. Дополнительные измерения эквивалентных уровней звукового давления
Если измерения проводят в фиксированных точках установки микрофона и оценки, полученные по
8.4.2.3 и
8.4.2.4, показывают отсутствие необходимости в дополнительных точках измерений и местах расположения испытуемого источника шума, то результаты, полученные по
8.4.1 с использованием шести начальных точек измерений, считают окончательными. Если оценка по
8.4.2.3 показала необходимость использования дополнительных точек измерений или траекторий сканирования определенной длины, то проводят дополнительные измерения в этих точках (по этим траекториям). Если оценка по
8.4.2.4 показала необходимость использования дополнительных мест расположения источника шума, то измерения повторяют для каждого такого расположения в точках или по траекториям, определенным в соответствии с
8.4.2.3 (т.е. дополнительную оценку по
8.4.2.3 проводить не нужно).
8.5. Измерение уровня экспозиции однократного шумового процесса
При использовании любого из методов (прямого или сравнения) измеряют эквивалентный уровень звукового давления однократного шумового процесса L'
Ei(ST) в третьоктавных полосах диапазона частот измерений в каждой точке установки микрофона (i = 1, 2, ..., N
M). Измерения проводят для каждого режима работы, выбранного в соответствии с
7.5, либо один раз на интервале времени, когда однократный шумовой процесс повторяется N
e раз, либо N
e раз для отдельных шумовых процессов (N
e >= 5). Если пригодность реверберационной камеры была подтверждена в соответствии с
Приложением D, то в измерениях звукового давления используют то же число микрофонов и то же число точек измерения, какие были использованы при оценке пригодности. Если камера не была оценена на пригодность в соответствии с
Приложением D, то в ней выбирают шесть начальных точек установки микрофонов согласно
8.3, по измерениям в которых будет получена оценка среднеквадратичного отклонения эквивалентных уровней звукового давления однократного шумового процесса (см.
8.5.2). Сканирование микрофоном при измерениях уровней звукового давления однократного шумового процесса не применяют.
Продолжительность измерений шума источника должна быть достаточной, чтобы включить в себя все стадии однократного шумового процесса (включая его затухание), вносящие существенный вклад в эквивалентный уровень звукового давления.
Непосредственно перед измерениями звукового давления испытуемого источника шума или сразу после измерений в тех же полосах частот в тех же точках установки микрофона измеряют эквивалентный уровень звукового давления фонового шума L'pi(B) при той же продолжительности измерений.
8.5.2. Дополнительные измерения в камере, не проверенной на пригодность для измерений на дискретных частотах
Необходимость дополнительных точек измерений и мест расположения источника шума определяют аналогично
8.4.2, но при этом вместо эквивалентных уровней звукового давления измеряют уровни экспозиции однократных шумовых процессов.
8.5.2.2. Дополнительные измерения эквивалентных уровней звукового давления однократного шумового процесса
Если оценки, полученные по
8.5.2.1, не требуют дополнительных точек измерений и мест расположения испытуемого источника шума, то результаты, полученные по
8.5.1 с использованием шести начальных точек измерений, считают окончательными. Если оценки по
8.5.2.1 показали необходимость использования дополнительных точек измерений, то проводят дополнительные измерения в этих точках. Если, кроме того, оценки по
8.5.2.1 показали необходимость использования дополнительных мест расположения источника шума, то измерения повторяют для каждого расположения в точках, определенных в соответствии с
8.5.2.1.
8.6. Измерения уровня звукового давления методом сравнения с использованием образцового источника шума
8.6.1. Установка образцового источника шума
Во время измерений с образцовым источником шума последний устанавливают на полу на расстоянии более 1,5 м от стен реверберационной камеры предпочтительно в том же месте, что занимал испытуемый источник шума (или в одном из этих мест, если испытуемый источник шума устанавливают в нескольких положениях). Если из практических или иных соображений испытуемый источник шума не может быть удален из камеры на время проведения измерений с образцовым источником шума, то последний устанавливают рядом с испытуемым источником, но не ближе чем на расстоянии 1,5 м от него.
8.6.2. Измерение уровней звукового давления при работе образцового источника шума
При работе образцового источника шума измеряют эквивалентные уровни звукового давления в каждой третьоктавной полосе диапазона частот измерений в тех же точках установки или для тех же траекторий движения микрофона, что и в
8.4.1 или
8.5.1. Измерения проводят при тех же значениях температуры, давления и относительной влажности воздуха, что и при измерениях с испытуемым источником шума с соблюдением требований
5.5.
Примечание. Требования к образцовому источнику шума установлены в
6.2, и для него нет необходимости в проведении оценок по
8.4.2.
8.7. Измерения времени реверберации
Время реверберации в камере T
60 измеряют по ИСО 3382-2, но при этом измеряют только времена спада на первые 10 или 15 дБ, которые обозначают соответственно T
10f и T
15f (см.
[21]). Если предполагается, что испытуемый источник шума, находясь в камере, окажет значительное влияние на результат измерений времени реверберации, то эти измерения проводят при установленном в камере источнике шума.
Для третьоктавных полос со среднегеометрическими частотами от 6300 до 10000 Гц число измерений должно быть тем же, что и для третьоктавной полосы со среднегеометрической частотой 5000 Гц.
8.8. Измерения атмосферных параметров
Во время испытаний измеряют атмосферные параметры (температуру, давление и относительную влажность воздуха) в камере. Точность средств измерений должна быть достаточной для обеспечения проверки соответствия атмосферных условий требованиям по
5.5.
9. Определение уровней звуковой мощности и звуковой энергии
9.1. Определение уровней звуковой мощности
9.1.1. Усреднение по местам расположения источника шума
Если в процессе испытаний источник шума устанавливают более чем в одном положении (см.
8.4.2.4), то рассчитывают средний по j местам расположения источника эквивалентный уровень звукового давления L'
pi(ST), дБ, в каждой третьоктавной полосе диапазона частот измерений для каждой i-й точки установки микрофона или траектории сканирования для заданного режима работы источника по формуле

(13)
где

- измеренный эквивалентный уровень звукового давления в третьоктавной полосе частот в i-й точке установки микрофона или для i-й траектории сканирования при работающем испытуемом источнике шума, расположенном в j-м месте, дБ;
NS - число мест расположения испытуемого источника.
9.1.2. Коррекция на фоновый шум
Коррекцию на фоновый шум K1i, дБ, рассчитывают для каждой третьоктавной полосы частот и каждой i-й точки установки микрофона или i-й траектории сканирования по формуле

(14)
где

-

;
L'pi(ST) - измеренный эквивалентный уровень звукового давления в третьоктавной полосе частот в i-й точке установки микрофона или для i-й траектории сканирования при работающем испытуемом источнике шума, дБ;
Lpi(B) - эквивалентный уровень звукового давления фонового шума в данной полосе частот в i-й точке установки микрофона или для i-й траектории сканирования, дБ.
Если

, то K
1i полагают равным нулю.
Коррекцию K
1i, рассчитанную по
формуле (14), используют, если

для третьоктавных полос со среднегеометрическими частотами 200 Гц и ниже и 6300 Гц и выше и если

для третьоктавных полос со среднегеометрическими частотами от 250 до 5000 Гц.
Если

для третьоктавных полос со среднегеометрическими частотами 200 Гц и ниже и 6300 Гц и выше, то коррекцию K
1i принимают равной 1,26 дБ (соответствует

). Если

для третьоктавных полос со среднегеометрическими частотами от 250 до 5000 Гц, то коррекцию K
1i принимают равной 0,46 дБ (соответствует

). В этих случаях в тексте протокола испытаний, в табличном или графическом представлении результатов измерений указывают, что приведенные данные для третьоктавных полос представляют собой верхнюю оценку уровня звуковой мощности источника шума.
Если для оценки составляющей неопределенности измерений, связанной с фоновым шумом, используют подход, описанный в
Приложении G, то при расчете стандартной неопределенности используют значение K
1i, полученное по
формуле (14), независимо от того, чему равно

.
Коррекцию K1i, дБ, применяют для получения корректированного на фоновый шум значения эквивалентного уровня звукового давления в третьоктавной полосе частот в i-й точке установки микрофона или для i-й траектории сканирования Lpi(ST), дБ, по формуле
L
pi(ST) = L'
pi(ST) = K
1i, (15)
где L'pi(ST) - измеренный эквивалентный уровень звукового давления в третьоктавной полосе частот в i-й точке установки микрофона или для i-й траектории сканирования при работающем испытуемом источнике, дБ.
9.1.3. Расчет среднего по реверберационной камере эквивалентного уровня звукового давления
Средний по реверберационной камере корректированный на фоновый шум уровень звукового давления в третьоктавной полосе частот испытуемого источника

, дБ, рассчитывают по формуле

(16)
где Lpi(ST) - корректированный на фоновый шум эквивалентный уровень звукового давления в третьоктавной полосе частот в i-й точке установки микрофона или для i-й траектории сканирования при работающем испытуемом источнике, дБ;
NM - число точек установки микрофонов или траекторий сканирования.
Средний по реверберационной камере корректированный на фоновый шум уровень звукового давления в третьоктавной полосе частот для образцового источника шума

, дБ, рассчитывают по формуле

(17)
где Lpi(RSS) = L'pi(RSS) - K1i(RSS);
L'pi(RSS) - измеренный эквивалентный уровень звукового давления образцового источника шума в третьоктавной полосе частот в i-й точке установки микрофона или для i-й траектории сканирования, дБ;
K
1i(RSS) - коррекция на фоновый шум для образцового источника шума в i-й точке установки микрофона или для i-й траектории сканирования, дБ, полученная по
формуле (14) с заменой L'
pi(ST) на L'
pi(RSS);
NM - число точек установки микрофонов или траекторий сканирования.
Для проверки, удовлетворяет ли фоновый шум критериям, установленным в
5.4, выполняют следующие вычисления.
Рассчитывают средний по реверберационной камере не корректированный на фоновый шум эквивалентный уровень звукового давления испытуемого источника шума

, дБ, по формуле

(18)
где Lpi(ST) - не корректированный на фоновый шум эквивалентный уровень звукового давления в третьоктавной полосе частот в i-й точке установки микрофона или для i-й траектории сканирования при работающем испытуемом источнике, дБ;
NM - число точек установки микрофонов или траекторий сканирования.
Рассчитывают средний по реверберационной камере эквивалентный уровень звукового давления фонового шума

, дБ, по формуле

(19)
где Lpi(B) - эквивалентный уровень звукового давления фонового шума в третьоктавной полосе частот в i-й точке установки микрофона или для i-й траектории сканирования, дБ;
NM - число точек установки микрофонов или траекторий сканирования.
9.1.4. Расчет уровня звуковой мощности с использованием эквивалентной площади звукопоглощения (прямой метод)
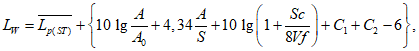
Уровень звуковой мощности LW, дБ, испытуемого источника шума в третьоктавной полосе частот, приведенный к нормальным атмосферным условиям, рассчитывают по формуле

(20)
| | ИС МЕГАНОРМ: примечание. Текст дан в соответствии с официальным текстом документа. | |
где

- средний по реверберационной камере корректированный на фоновый шум уровень звукового давления в третьоктавной полосе работ при работе испытуемого источника шума, дБ;
A - эквивалентная площадь звукопоглощения в камере, м
2,

;
A0 = 1 м2;
S - общая площадь поверхности камеры, м2;
c - скорость звука, м/с, при температуре воздуха в реверберационной камере во время испытаний

, рассчитываемая по формуле

;
V - объем камеры, м3;
f - среднегеометрическая частота полосы измерений, Гц;
C
1 - поправка, учитывающая разность опорных значений для определения уровней звукового давления и звуковой мощности и зависящая от характеристического импеданса воздушной среды в камере во время испытаний, дБ, рассчитываемая по формуле

;
C
2 - поправка на импеданс излучения, использования для приведения к нормальным атмосферным условиям, дБ. Эта величина должна быть определена в соответствующем испытательном коде по шуму. Если испытательный код отсутствует, то используют следующую формулу, полученную для источника шума в виде монополя и рассматриваемую как среднее для источников другого вида (см.
[23],
[31]) C
2 рассчитывают по формуле

;
ps - статическое давление в реверберационной камере во время испытаний, кПа;
Ps,0 - нормальное атмосферное давление, ps,0 = 101,325 кПа;

- температура воздуха в реверберационной камере во время испытаний, °C;

;

.
Примечание. Температура

соответствует характеристическому импедансу воздуха 400 Н·с/м
2 при нормальном атмосферном давлении 101,325 кПа (см.
[22],
[23]). Эта величина не связана с какими-либо реальными атмосферными условиями, а рассчитана по принятым опорным значениям звукового давления и звуковой мощности по формуле
9.1.5. Расчет уровня звуковой мощности с использованием образцового источника шума (метод сравнения)
Уровень звуковой мощности LW, дБ, испытуемого источника шума в третьоктавной полосе частот, приведенный к нормальным атмосферным условиям, рассчитывают по формуле

(21)
где LW(RSS) - уровень звуковой мощности в третьоктавной полосе частот образцового источника шума, определенный в соответствии с ИСО 6926 с поправкой на атмосферные условия во время испытаний, дБ;

- средний по реверберационной камере эквивалентный уровень звукового давления в третьоктавной полосе частот испытуемого источника, дБ;

- средний по реверберационной камере эквивалентный уровень звукового давления в третьоктавной полосе частот образцового источника шума, дБ;
9.2. Определение уровней звуковой энергии
9.2.1. Усреднение по точкам установки микрофонов и по местам расположения источника шума
Если уровень экспозиции однократного шумового процесса измеряют N
e раз для каждого одиночного процесса в i-й точке установки микрофона и для j-го расположения испытуемого источника шума, то средний по этим измерениям уровень звукового давления однократного шумового процесса

, дБ, рассчитывают по формуле

(22)
где

- полученный в q-м измерении (q = 1, 2, ..., N
e) уровень экспозиции однократного шумового процесса в третьоктавной полосе частот в i-й точке установки микрофона при работающем испытуемом источнике, расположенном в j-м месте, дБ;
Ne - число измерений.
Если уровень экспозиции однократного шумового процесса измерен в i-й точке установки микрофона и для j-го места расположения испытуемого источника один раз для последовательности, включающей в себя N
e одиночных процессов, то

, дБ, рассчитывают по формуле

(23)
где

- полученный уровень экспозиции однократного шумового процесса в третьоктавной полосе частот в i-й точке установки микрофона при работающем испытуемом источнике, расположенном в j-м месте по результатам измерений, дБ;
Ne - число однократных шумовых процессов в измеряемой последовательности.
Если в процессе испытаний источник шума устанавливают более чем в одном положении (см.
8.4.2.4), то рассчитывают средний по j местам расположения источника эквивалентный уровень звукового давления однократного шумового процесса L'
Ei(ST), дБ, в каждой третьоктавной полосе диапазона частот измерений для каждой i-й точки установки микрофона для заданного режима работы источника по формуле

(24)
где

- средний уровень экспозиции однократного шумового процесса в третьоктавной полосе частот в i-й точке установки микрофона при работающем испытуемом источнике шума, расположенном в j-м месте, дБ;
NS - число мест расположения испытуемого источника.
9.2.2. Коррекция на фоновый шум
Коррекцию на фоновый шум К
1i, дБ, рассчитывают для каждой третьоктавной полосы частот и каждой i-й точки установки микрофона аналогично
9.2.1 (но с использованием разности между средним уровнем экспозиции однократного шумового процесса и уровнем звукового давления фонового шума) по формуле

(25)
где

;
L'Ei(ST) - средний уровень экспозиции однократного шумового процесса в третьоктавной полосе частот в i-й точке установки микрофона при работающем испытуемом источнике шума, дБ;
Lpi(B) - эквивалентный уровень звукового давления фонового шума в данной полосе частот в i-й точке установки микрофона, дБ.
Продолжительность измерений T = t2 - t1 и другие параметры измерений при определении Lpi(B) должны быть теми же, что и при определении L'Ei(ST).
Корректированный на фоновый шум уровень экспозиции однократного шумового процесса в третьоктавной полосе частот в i-й точке установки микрофона L'Ei(ST), дБ, рассчитывают по формуле
LEi(ST) = L'Ei(ST) - K1i, (26)
где L'Ei(ST) - средний уровень экспозиции однократного шумового процесса в третьоктавной полосе частот в i-й точке установки микрофона при работающем испытуемом источнике шума, дБ.
9.2.3. Расчет среднего по реверберационной камере уровня экспозиции
Средний по реверберационной камере корректированный на фоновый шум уровень экспозиции однократного шумового процесса в третьоктавной полосе частот для испытуемого источника шума

, ДБ, рассчитывают по формуле

(27)
где LEi(ST) - корректированный на фоновый шум уровень экспозиции однократного шумового процесса в третьоктавной полосе частот в i-й точке установки микрофона при работающем испытуемом источнике шума, дБ;
NM - число точек установки микрофонов.
Для проверки, удовлетворяет ли фоновый шум критериям, установленным в
5.4, выполняют следующие вычисления.
Рассчитывают средний по реверберационной камере не корректированный на фоновый шум уровень экспозиции однократного шумового процесса

, дБ, по формуле

(28)
где L'Ei(ST) - не корректированный на фоновый шум уровень экспозиции однократного шумового процесса в третьоктавной полосе частот в i-й точке установки микрофона, дБ;
NM - число точек установки микрофонов.
Рассчитывают средний по реверберационной камере уровень звукового давления фонового шума Lp(B) в третьоктавной полосе частот по формуле

(29)
где

- эквивалентный уровень звукового давления фонового шума в третьоктавной полосе частот в i-й точке установки микрофона, дБ;
NM - число точек установки микрофонов.
9.2.4. Расчет уровня звуковой энергии с использованием эквивалентной площади звукопоглощения (прямой метод)
Уровень звуковой энергии L
J, дБ, испытуемого источника шума в третьоктавной полосе частот, приведенный к нормальным атмосферным условиям, рассчитывают (см.
[25],
[26]) по формуле (см.
9.1.4)

(30)
| | ИС МЕГАНОРМ: примечание. Текст дан в соответствии с официальным текстом документа. | |
где

- средний по реверберационной камере корректированный на фоновый шум уровень экспозиции однократного шумового процесса в третьоктавной полосе работ при работе испытуемого источника шума, дБ.
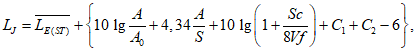
9.2.5. Расчет уровня звуковой энергии с использованием образцового источника шума (метод сравнения)
Уровень звуковой энергии LJ, дБ, испытуемого источника шума в третьоктавной полосе частот, приведенный к нормальным атмосферным условиям, рассчитывают по формуле

(31)
| | ИС МЕГАНОРМ: примечание. Текст дан в соответствии с официальным текстом документа. | |
где LW(RSS) - уровень звуковой мощности а в третьоктавной полосе частот образцового источника шума, определенный в соответствии с ИСО 6926 с поправкой на атмосферные условия во время испытаний, дБ;

- средний по реверберационной камере корректированный на фоновый шум уровень экспозиции однократного шумового процесса в третьоктавной полосе частот для испытуемого источника шума;

- средний по реверберационной камере эквивалентный уровень звукового давления образцового источника шума в третьоктавной полосе частот, дБ;
C
2 - поправка на импеданс излучения для приведения к нормальным атмосферным условиям, дБ. Эта величина должна быть определена в соответствующем испытательном коде по шуму. Если его не имеется, то ее рассчитывают по формуле, полученной для источника шума в виде монополя и рассматриваемой как результат усреднения для источников другого вида (см.
[23],
[31])

, дБ.
9.3. Определение корректированных по A уровней звуковой мощности и звуковой энергии
При необходимости рассчитывают корректированные по A уровни звуковой мощности и звуковой энергии испытуемого источника методом, описанным в
Приложении F.
10. Неопределенность измерения
10.1. Методология
Стандартные неопределенности уровня звуковой мощности u(LW), дБ, и уровня звуковой энергии u(LJ), дБ, определяют в соответствии с настоящим стандартом как общее стандартное отклонение

(32)
Общее стандартное отклонение рассчитывают на основании модели измерений в соответствии с Руководством ИСО/МЭК 98-3. При отсутствии необходимых сведений, позволяющих построить такую модель, прибегают к результатам сопоставительных измерений, выполненных в условиях воспроизводимости.
Тогда общее стандартное отклонение

рассчитывают через стандартное отклонение воспроизводимости

и стандартное отклонение

, характеризующее нестабильность условий работы и установки испытуемого источника, по формуле:

(33)
Из формулы (33) видно, что, прежде чем выбрать метод измерений заданного класса точности, характеризуемого значением

для данного семейства машин, необходимо учесть возможный разброс результатов, обусловленный изменениями условий работы и установки машин (см.
10.5 и
раздел G.3).
Примечание. Результаты измерений разными методами, установленными стандартами серии
[1], могут быть смещены друг относительно друга.
Расширенную неопределенность измерения U рассчитывают по общему стандартному отклонению

по формуле

(34)
где k - коэффициент охвата. В предположении, что результат измерений может быть описан нормально распределенной случайной величиной, коэффициент охвата k принимают равным двум, что приблизительно соответствует вероятности охвата 95%. Это означает, что интервалу охвата от (LW - U) до (LW + U) для уровня звуковой мощности или от (LJ - U) до (LJ + U) для уровня звуковой энергии будет соответствовать 95% площади под кривой плотности распределения случайной величины.
Если измеренный уровень звуковой мощности (звуковой энергии) предполагается сопоставлять с неким предельным значением, то иногда может быть более уместно определить односторонний интервал охвата для указанной случайной величины. В этом случае при уровне доверия 95% значение коэффициента охвата будет равно k = 1,65.
10.2. Определение

Стандартное отклонение

[см.
формулу (G.1) в Приложении G], характеризующее неопределенность, связанную с нестабильностью воспроизведения условий работы и установки источника шума, может давать существенный вклад в неопределенность измерения уровня звуковой мощности (звуковой энергии). Для получения оценки

можно провести серию повторных измерений для одного и того же источника шума в одном и том же месте размещения одним и тем же испытателем, используя одну и ту же измерительную систему и одну и ту же точку (или точки) измерений. Повторные измерения L'
рi(ST) [или L'
Ei(ST)] выполняют в точке измерений, где значение этой величины максимально, или определяют

[или

]. К полученным результатам применяют коррекцию на фоновый шум. Перед каждым повторным измерением испытуемый источник устанавливают заново и заново устанавливают необходимый режим работы. Если испытания проводят для единственного экземпляра источника шума, то полученное по повторным измерениям выборочное стандартное отклонение обозначают

. В соответствующем испытательном коде по шуму может быть приведена оценка

для семейства машин. Можно ожидать, что такая оценка была получена с учетом всех возможных источников вариативности в установке и условиях работы, на которые распространяется данный испытательный код.
Примечание. Если звуковая мощность мало изменяется в процессе повторных измерений, а измерения проведены правильно, то величине

можно приписать значение 0,5 дБ. В других случаях, например, когда на шум испытуемого источника существенное влияние оказывает обрабатываемый или производимый материал, а также при непредсказуемых изменениях в потреблении или производстве материала, подходящей оценкой

можно считать 2 дБ. Но в особых случаях очень сильной зависимости шума от свойств обрабатываемого материала (когда испытуемым источником шума являются такие машины, как камнедробилки, металлорежущие станки или прессы, работающие под нагрузкой) эта величина может достигать 4 дБ.
10.3. Определение

10.3.1. Общие положения
Стандартное отклонение

характеризует все источники неопределенности, которые могут оказать влияние на результаты измерений, проводимых в соответствии с настоящим стандартом (различия в характеристиках излучения источников шума, в применяемых средствах измерений), за исключением нестабильности звуковой мощности источника шума (последний фактор характеризуется значением

).
Обобщение накопленного к данному времени опыта испытаний позволило установить оценки

, которые приведены в
таблице 2. Эти оценки можно считать верхними оценками для большинства машин и оборудования, на которое распространяется настоящий стандарт. Для машин конкретного вида могут быть получены уточненные оценки путем проведения межлабораторных сравнительных испытаний (см.
10.3.2) или путем использования математического моделирования (см.
10.3.3). Такие оценки приводят в испытательных кодах по шуму для машин конкретных видов (см.
10.2 и
Приложение G).
10.3.2. Межлабораторные сравнительные испытания
Межлабораторные испытания для определения

проводят в соответствии с ИСО 5725, когда уровни звуковой мощности источника шума определяют в условиях воспроизводимости, т.е. с участием разных специалистов, проводящих измерения в разных местах расположения источника шума разными средствами измерений. Такой эксперимент позволяет получить оценку

общего стандартного отклонения для источника шума, рассылаемого лабораториям - участникам эксперимента. Предполагается, что в межлабораторных испытаниях будет обеспечена вариативность всех существенных факторов, которые могут оказать влияние на результат измерений звуковой мощности данного источника шума.
Полученная в результате межлабораторных испытаний оценка

, дБ, включает в себя оценку

, ДБ, что позволяет получить оценку

по формуле

(35)
Если оценки

, полученные в результате испытаний разных экземпляров источника шума данного вида, незначительно отличаются, то их среднее можно рассматривать как оценку

для всех источников шума данного вида в измерениях, проводимых в соответствии с настоящим стандартом. Такую оценку (вместе с оценкой

) следует по возможности указывать в испытательном коде по шуму и использовать для заявления значения шумовой характеристики машин.
Если межлабораторные испытания не проводились, то для реалистической оценки

используют накопленные знания об измерениях шума машин данного вида.
Иногда затраты на проведение межлабораторных испытаний можно сократить, исключив требование проведения измерений в разных местах расположения источника шума. Это можно сделать, например, если источник шума обычно устанавливают в условиях, когда коррекция на фоновый шум K
1 невелика, или если целью испытаний является подтверждение значения шумовой характеристики машины при ее работе в заданном месте расположения. Оценку, полученную в этих условиях ограниченной вариативности, обозначают

и используют в испытаниях крупногабаритных стационарно устанавливаемых машин. Следует ожидать, что полученные значения

будут ниже указанных в таблице 6.
Таблица 6
Типичные верхние оценки

для измерений уровней
звуковой мощности (звуковой энергии), проводимых
в соответствии с настоящим стандартом
Полоса частот измерений | Среднегеометрическая частота, Гц | Стандартное отклонение воспроизводимости  , дБ |
Третьоктавная полоса частот | | 3,0 |
От 200 до 315 | 2,0 |
От 400 до 5000 | 1,5 |
От 6300 до 10000 | 3,0 |
Широкая полоса частот с коррекцией по частотной характеристике A (см. Приложение F) | |
<a> В отношении полос со среднегеометрическими частотами ниже 100 Гц - см. Приложение E. <b> Применительно к источникам, излучающим шум со сравнительно "плоским" спектром в диапазоне частот от 100 до 10000 Гц. |
Оценки

, полученные по
формуле (35), малодостоверны, если

незначительно превышает

. Достаточно надежные оценки

будут только в том случае, если

не превышает

.
10.3.3. Расчет

на основе математической модели
Обычно

зависит от нескольких факторов, дающих вклады c
iu
i (i = 1, 2, ..., n) в общую неопределенность измерения уровня звуковой мощности (звуковой энергии). Такими факторами, в частности, являются применяемые средства измерений, коррекция на условия окружающей среды и местоположения микрофонов. Если предположить, что данные факторы влияют на общую неопределенность независимо друг от друга, то оценку

можно представить в виде (см. Руководство ИСО/МЭК 98-3)

(36)
В формулу (36) не входят неопределенности, связанные с нестабильностью излучения испытуемого источника (поскольку они учтены в

). Источники неопределенности, дающие вклад в общую неопределенность измерения уровня звуковой мощности (звуковой энергии), рассматриваются в
Приложении G.
Примечание. Если источники неопределенности, входящие в модель измерений, коррелированны, то
формулу (36) применять нельзя. Кроме того, расчет на основе математической модели требует дополнительной информации, чтобы определить вклады c
iu
i всех составляющих в
формуле (36).
В противоположность этому оценки

, получаемые в результате межлабораторных испытаний, не требуют каких-либо дополнительных предположений о возможной корреляции источников неопределенности, входящих в
формулу (36). Оценки по результатам межлабораторных испытаний в общем случае являются более устойчивыми, чем полученные на основе математических моделей. Однако проведение межлабораторных испытаний не всегда осуществимо и зачастую их приходится заменять обобщением опыта прошлых измерений.
10.4. Типичные оценки

В
таблице 6 приведены типичные верхние оценки стандартного отклонения

для технического метода измерения шума, которые могут применяться для большинства измерений, проводимых в соответствии с настоящим стандартом (см.
[27],
[28]). В особых случаях, а также когда требования настоящего стандарта не могут быть в полном объеме соблюдены для машин определенного вида или когда ожидается, что для машин данного вида

должно быть меньше значений, указанных в
таблице 6, для уточнения оценки

рекомендуется проведение межлабораторных испытаний.
10.5. Общее стандартное отклонение

и расширенная неопределенность U
Общее стандартное отклонение

и расширенную неопределенность U рассчитывают по
формулам (33) и
(34) соответственно.
Пример - Точный метод измерений;

; k = 2; в результате измерения получено L
WA = 82 дБ. Определение

для машин данного вида выполнено не было, поэтому использовано значение

из
таблицы 6 
. По
формулам (34) и
(33) получаем

.
Другие примеры расчета

приведены в
разделе G.3 (Приложение G).
Примечание. Расширенная неопределенность, определяемая по
формуле (34), не включает в себя стандартное отклонение производства, использованного в
[9] в целях определения и заявления значений шумовой характеристики партии машин.
11. Регистрируемая информация
11.1. Общие положения
Для всех измерений, выполненных в соответствии с настоящим стандартом, должна быть получена и зарегистрирована информация, указанная 11.2 -
11.5.
11.2. Испытуемый источник шума
Приводят следующие сведения:
a) общие данные об испытуемом источнике шума (изготовитель, наименование и вид, тип, технические данные, габаритные размеры, порядковый номер по системе нумерации изготовителя, год выпуска);
b) вспомогательное оборудование и способ его использования при испытаниях;
c) режимы работы при испытаниях и продолжительность измерений в каждом режиме;
d) условия установки в реверберационной камере и способ крепления;
e) место расположения (расположений) в реверберационной камере во время испытаний;
f) расположение (расположения) в реверберационной камере образцового источника шума.
11.3. Внешние условия при испытаниях
Приводят следующие сведения:
a) описание реверберационной камеры, включая ее габаритные размеры (в метрах), материал стен, пола и потолка и способ его обработки с приложением схемы, на которой отмечены места расположения испытуемого источника шума и расположения оборудования реверберационной камеры;
| | ИС МЕГАНОРМ: примечание. Текст дан в соответствии с официальным текстом документа. | |
b) атмосферные условия, включая температуру воздуха в градусах Цельсия, относительную влажность воздуха в процентах и статическое атмосферное в килопаскалях, в реверберационной камере во время испытаний.
11.4. Средства измерений
Приводят следующие сведения:
a) данные об измерительной аппаратуре (изготовитель, наименование, тип, порядковый номер по системе нумерации изготовителя);
b) дату и место калибровки (поверки), методы калибровки акустического калибратора, результаты проверки калибровки до и после проведения измерений, данные калибровки образцового источника шума (при его применении).
11.5. Метод и результаты измерений
Указывают следующие общие сведения:
a) метод (прямой или сравнения), использованный для определения уровней звуковой мощности (звукового давления);
b) расположение точек измерений или траекторий сканирования микрофоном (с приложением, при необходимости, схем) и описание способа перемещения микрофона по траектории.
Приводят следующие сведения для каждого режима работы испытуемого источника шума в условиях измерений:
c) все результаты измерений эквивалентных уровней звукового давления (уровни экспозиции однократного шумового процесса) испытуемого источника шума и фонового шума;
d) средние по реверберационной камере эквивалентные уровни звукового давления (уровни экспозиции однократного шумового процесса) испытуемого источника шума и фонового шума;
e) коррекции на фоновый шум в каждой третьоктавной полосе и в каждой точке установки микрофона или по каждой траектории сканирования;
f) уровни звуковой мощности (звуковой энергии) в децибелах в третьоктавных полосах частот и (при условии измерения) корректированные по A, округленные с точностью до 0,1 дБ. Дополнительно возможно представление данных характеристик в графическом виде;
Примечание. Согласно
[15] результаты измерений уровня звука компьютеров и офисной техники выражают в белах (1 Б = 10 дБ).
g) расширенная неопределенность измерения, использованное значение коэффициента охвата и соответствующую вероятность охвата;
h) дату и время проведения измерений.
В протоколе испытаний указывают зарегистрированную в соответствии с
разделом 11 информацию, которая необходима в целях измерений. В протокол включают также все особенности, необходимость учета которых указана в соответствующих разделах настоящего стандарта. Если уровни звуковой мощности или звуковой энергии получены в полном соответствии с требованиями настоящего стандарта, то соответствующая запись должна быть сделана в протоколе испытаний. Если при проверке соблюдения условий настоящего стандарта одна или несколько проверяемых акустических характеристик выходят за установленные предельные значения, то в протокол вносят запись о том, что измерения были проведены в соответствии с требованиями настоящего стандарта за исключением указываемых в протоколе испытаний. При этом в протоколе не допускается прямо или неявно указывать на то, что испытания проведены в полном соответствии с настоящим стандартом.
Например, если при проверке требования к объему испытуемого источника (см.
1.2) установлено, что он превышает 2% объема реверберационной камеры, то в протоколе должно быть указано, что не соблюдено требование к размерам источника шума. При этом в протоколе не допускается прямо или неявно указывать на то, что испытания проведены в полном соответствии с настоящим стандартом.
(рекомендуемое)
ПО ПРОЕКТИРОВАНИЮ РЕВЕРБЕРАЦИОННЫХ КАМЕР
A.1. Общие положения
Для обеспечения требуемой точности определения уровня звуковой мощности или звуковой энергии испытуемого источника шума в отношении реверберационной камеры должны быть соблюдены требования:
a) к ее объему;
b) к форме и/или к акустическим рассеивающим устройствам;
c) к звукопоглощению в диапазоне частот измерений (оно должно быть достаточно малым);
d) к уровню фонового шума (он должен быть достаточно низким).
A.2. Объем камеры
Требования к объему реверберационной камеры указаны в
5.2.
Как следует из
таблицы 1, для измерений в диапазоне частот с нижней октавной полосой со среднегеометрической частотой 125 Гц (или, что то же самое, с нижней третьоктавной полосой со среднегеометрической частотой 100 Гц) требуется камера объемом 200 м
3.
Примечание. В больших камерах (например, с объемом более 200 м3) поглощение звука воздушной средой может вызвать нежелательную неоднородность реверберационного звукового поля на частотах выше 3000 Гц. Уменьшить звукопоглощение можно, если поддерживать относительную влажность воздуха в камере выше 50%.
Если камера не представляет собой правильный прямоугольный параллелепипед, то ни одна из ее поверхностей не должна быть параллельной другой. Если камера представляет собой правильный прямоугольный параллелепипед, то длины его ребер должны быть таковы, чтобы их отношение не было точно или приближенно равным целому числу. Обычно соблюдают следующие соотношения между длинами ребер параллелепипеда 1:21/3:41/3. Другие возможные соотношения для камер объемом приблизительно 200 м3 приведены в таблице A.1.
Таблица A.1
Возможные соотношения размеров реверберационных камер
в форме правильного прямоугольного параллелепипеда
ly/lx | lz/lx |
0,83 | 0,47 |
0,83 | 0,65 |
0,79 | 0,63 |
0,68 | 0,42 |
0,70 | 0,59 |
Примечание. lx, ly, lz - размеры камеры (длины ребер параллелепипеда). |
A.4. Звукопоглощение в камере
Для образования в камере реверберационного поля коэффициент звукопоглощения ее поверхностей должен быть достаточно малым.
В то же время коэффициент звукопоглощения должен быть достаточно большим, чтобы минимизировать влияние акустических мод в камере на звуковую мощность, производимую источником шума на частотах ниже частоты f, Гц, определяемой по формуле
где V - объем камеры, м3.
Рекомендуется, чтобы на частотах ниже f средний коэффициент звукопоглощения

каждой внутренней поверхности реверберационной камеры не превышал 0,16, а на частоте f и выше - не превышал 0,08.
(рекомендуемое)
ПО КОНСТРУКЦИИ ВРАЩАЮЩИХСЯ АКУСТИЧЕСКИХ РАССЕИВАТЕЛЕЙ
Вращающиеся акустические рассеиватели (диффузоры) применяют для того, чтобы:
a) уменьшить пространственные вариации среднеквадратичного звукового давления в реверберационной камере, что повысит точность оценки среднего по камере уровня звукового давления;
b) перераспределить поток звуковой мощности по камере, что сделает измеряемую звуковую мощность менее зависимой от размеров камеры и места расположения в ней источника шума.
Эффективность вращающегося рассеивателя зависит, в первую очередь, от его размеров. Поэтому рассеиватель должен быть настолько большим, насколько позволяют размеры камеры. Вращающиеся панели рассеивателя не должны быть легкими. Рекомендуется, чтобы поверхностная плотность панелей была не менее 5 кг/м2.
Скорость вращения панелей акустического рассеивателя должна быть достаточно высокой, чтобы звуковые давления по камере могли быть выровнены, по крайней мере, за десять оборотов рассеивателя (см.
8.4.1).
Конструирование рассеивателя с вращающимися на большой скорости тяжелыми панелями может быть сопряжено с техническими проблемами. Проще всего их преодолеть, если использовать рассеиватель с панелями в виде диска, конуса или цилиндра, уравновешивая их относительно оси вращения. В литературе описан рассеиватель в виде двух конусных панелей с диаметром основания 5 м и скоростью вращения 2,6 рад/с.
Для лучшего выравнивания звукового поля в объеме камеры поверхности панелей рассеивателя не должны быть параллельны ни одной внутренней поверхности камеры.
(обязательное)
ПРОВЕРКА ПРИГОДНОСТИ РЕВЕРБЕРАЦИОННЫХ КАМЕР
ДЛЯ ИЗМЕРЕНИЙ ШИРОКОПОЛОСНОГО ШУМА
C.1. Общие положения
Если объем реверберационной камеры менее требуемого по
5.2 или если звукопоглощение в ней более допустимого по
5.3, то она подлежит проверке в соответствии с настоящим приложением для подтверждения возможности проведения в ней измерений для широкополосных источников шума с точностью, указанной в
таблице 6. Установленный метод проверки позволяет оценить изменчивость акустической связи между источником шума и реверберационным звуковым полем, а также изменчивость результатов пространственного и временного усреднения. Мерой оценки этой изменчивости при измерениях широкополосного шума в третьоктавных полосах частот служит стандартное отклонение воспроизводимости.
C.2. Средства измерений и испытательное оборудование
Средства измерений, а также точки установки микрофонов или траектории сканирования микрофоном должны быть теми же, что и при измерении шума испытуемого источника. Метод, установленный настоящим приложением, требует применения образцового источника шума с характеристиками по ИСО 6926.
Средства измерений должны соответствовать требованиям
раздела 6.
Траектория сканирования или точки установки микрофона должны соответствовать требованиям
8.3.
C.3. Измерения
В реверберационной камере определяют шесть или более мест, в которые будет установлен образцовый источник шума. Для каждого из мест расположения образцового источника шума проводят измерения эквивалентного уровня звукового давления в третьоктавных полосах частот. При выполнении вышеуказанных действий руководствуются следующими правилами:
| | ИС МЕГАНОРМ: примечание. Текст дан в соответствии с официальным текстом документа. | |
a) образцовый источник шума должен быть расположен на полу камеры на расстоянии не ближе 1,5 от стены и на расстоянии от точек установки микрофонов не менее указанного в
8.3. Расстояние между каждыми двумя местами установки образцового источника шума должно быть не менее

, где

- длина волны, соответствующая среднегеометрической частоте низшей полосы диапазона частот измерений. При этом не допускается устанавливать образцовый источник шума на осях симметрии пола камеры. Места расположения образцового источника шума должны приблизительно совпадать с местами расположения источника шума в камере при его испытаниях;
b) результаты измерений должны быть зарегистрированы с точностью не менее 0,1 дБ;
c) точки установки микрофонов или траектории сканирования, акустический рассеиватель (если он применяется), средства измерений и продолжительность измерений должны быть теми же, что и при испытаниях источника шума.
C.4. Вычисления
Для каждой полосы частот рассчитывают стандартное отклонение sS, дБ, по формуле

(C.1)
где L
pi - средний по камере эквивалентный уровень звукового давления в полосе частот (см.
9.1), дБ;
Lpm - среднее арифметическое (Lpi (i = 1, 2, ..., NS), дБ;
NS - число мест расположения образцового источника шума.
C.5. Проверка соответствия
Камеру признают пригодной для измерения широкополосного шума, если рассчитанное по
формуле (C.1) стандартное отклонение s
S не превышает значений, приведенных в таблице C.1, для всех указанных в ней третьоктавных полос.
Таблица C.1
Максимально допустимые значения стандартного отклонения s
S
Среднегеометрическая частота третьоктавной полосы, Гц | Максимально допустимое значение sS, дБ |
От 100 до 160 | 1,5 |
От 200 до 630 | 1,0 |
От 800 до 2500 | 0,5 |
От 3150 до 10000 | 1,0 |
(обязательное)
ПРОВЕРКА ПРИГОДНОСТИ РЕВЕРБЕРАЦИОННЫХ КАМЕР
ДЛЯ ИЗМЕРЕНИЙ ШУМА С ДИСКРЕТНЫМИ ЧАСТОТНЫМИ СОСТАВЛЯЮЩИМИ
D.1. Вводная часть
Если испытуемый источник излучает шум на дискретных частотах, то в этом случае создаваемое в реверберационной камере звуковое поле будет менее однородно, чем если бы шум был широкополосным. Такой источник в большей степени способен возбуждать акустические моды в камере, что создает трудности при измерениях уровней звуковой мощности источника. Способы преодоления этих трудностей указаны в
8.4.2. Другим возможным решением является оптимизация конструкции реверберационной камеры, обеспечивающая достаточную точность измерений в соответствии с
разделом 10 для испытуемых источников с любым видом спектра шума.
Точный расчет влияния отдельных конструктивных элементов камеры на характеристики акустического поля в ней представляет собой сложную задачу. Поэтому в настоящем приложении рассматривается экспериментальный метод оценки пригодности камеры, учитывающий все реализованные решения по совершенствованию ее конструкции в совокупности.
В области низких частот основной проблемой является малое число акустических мод, которые могут быть возбуждены на каждой частоте. Острота данной проблемы может быть уменьшена за счет увеличения объема камеры, оптимизации ее пропорций (см.
A.3) или увеличения акустического демпфирования в камере, приводящим к уширению частотных характеристик мод (см.
A.4). Однако возможно, что для полного решения проблемы и обеспечения соответствия критериям пригодности камеры (см. таблицу D.1) потребуется использование большого акустического рассеивателя, описанного в
Приложении B.
Таблица D.1
Максимально допустимые значения стандартного отклонения s
f
Среднегеометрическая частота третьоктавной полосы, Гц | Максимально допустимое значение sf, дБ |
От 100 до 160 | 3,0 |
От 200 до 315 | 2,0 |
От 400 до 630 | 1,5 |
От 800 до 2500 | 1,0 |
На высоких частотах ограничительным фактором является число точек установки микрофонов. Допускается проводить измерения с фиксированно установленными микрофонами при условии применения эффективного вращающегося акустического рассеивателя, но зачастую более эффективным решением будет непрерывное усреднение по пространству камеры с использованием длинной траектории сканирования микрофоном. Сканирование по окружностям обеспечивает большую длину траектории в заданной области пространства, чем по линейным траекториям, и, кроме того, его легче автоматизировать.
D.2. Общие положения
Описываемый в настоящем приложении метод позволяет получить верхнюю оценку неопределенности измерения в данной реверберационной камере шума, содержащего дискретные частотные составляющие, при заданном месте или местах расположения испытуемого источника и для заданных точек установки микрофона или траекторий сканирования. Если рассчитанные стандартные отклонения не превышают значений, приведенных в
таблице D.1, во всем диапазоне частот измерений, то условия испытаний [под которыми понимают реверберационную камеру, место или места расположения источника шума, средства измерений, точки установки микрофонов или траектории сканирования и вращающийся акустический рассеиватель (при его наличии)] удовлетворяет требованиям для измерений шума с дискретными частотными составляющими любого источника. При этом никаких дополнительных проверок (например, по
8.4.2) для конкретного источника шума проводить не требуется.
Приведенный в настоящем приложении метод проверки пригодности с использованием сигнала чистого тона является наихудшим случаем с точки зрения достижимой точности измерений. Поэтому стандартные отклонения воспроизводимости, полученные в результате такой проверки, будут не меньше тех, что были бы получены для любого реального источника шума.
D.3. Средства измерений
В дополнение к средствам измерений, которые должны удовлетворять требованиям
раздела 6, используется следующее оборудование:
a) громкоговоритель диаметром 200 мм или менее в герметичном корпусе;
b) генератор сигналов или синтезатор частот; частотомер или анализатор спектра для выделения частотной составляющей; усилитель мощности и вольтметр.
Применяемый громкоговоритель должен иметь достаточно гладкую частотную характеристику, удовлетворяющую требованиям по
D.4.
Генератор сигналов (синтезатор частот) должен обеспечивать воспроизведение одного или нескольких гармонических сигналов в пределах допуска, определенных в таблице D.2, стабильность частоты в пределах +/- 0,1 Гц в диапазоне частот измерений и иметь коэффициент гармонических искажений менее 0,1%.
Таблица D.2
Тестовые частоты, используемые при проверке
реверберационной камеры для измерений шума
с дискретными частотными составляющими
Параметры | Среднегеометрические частоты третьоктавных полос, Гц |
100 | 125 | 160 | 200 | 250 | 315 | 400 | 500 | 630 | 800 | 1000 | 1250 | 1600 | 2000 | 2500 |
Тестовые частоты, Гц | - | - | 147 | - | - | - | 361 | - | - | - | - | - | 1470 | - | - |
- | 113 | 148 | - | 226 | - | 364 | - | - | - | - | 1130 | 1480 | - | 2260 |
- | 114 | 149 | - | 228 | - | 367 | 445 | 564 | 712 | - | 1140 | 1490 | - | 2280 |
90 | 115 | 150 | 180 | 230 | 285 | 370 | 450 | 570 | 720 | 900 | 1150 | 1500 | 1800 | 2300 |
91 | 116 | 151 | 182 | 232 | 288 | 373 | 455 | 576 | 728 | 910 | 1160 | 1510 | 1820 | 2320 |
92 | 117 | 152 | 184 | 234 | 291 | 376 | 460 | 582 | 736 | 920 | 1170 | 1520 | 1840 | 2340 |
93 | 118 | 153 | 186 | 236 | 294 | 379 | 465 | 588 | 744 | 930 | 1180 | 1530 | 1860 | 2360 |
94 | 119 | 154 | 188 | 238 | 297 | 382 | 470 | 594 | 752 | 940 | 1190 | 1540 | 1880 | 2380 |
95 | 120 | 155 | 190 | 240 | 300 | 385 | 475 | 600 | 760 | 950 | 1200 | 1550 | 1900 | 2400 |
96 | 121 | 156 | 192 | 242 | 303 | 388 | 480 | 606 | 768 | 960 | 1210 | 1560 | 1920 | 2420 |
97 | 122 | 157 | 194 | 244 | 306 | 391 | 485 | 612 | 776 | 970 | 1220 | 1570 | 1940 | 2440 |
98 | 123 | 158 | 196 | 246 | 309 | 394 | 490 | 618 | 784 | 980 | 1230 | 1580 | 1960 | 2460 |
99 | 124 | 159 | 198 | 248 | 312 | 397 | 495 | 624 | 792 | 990 | 1240 | 1590 | 1980 | 2480 |
100 | 125 | 160 | 200 | 250 | 315 | 400 | 500 | 630 | 800 | 1000 | 1250 | 1600 | 2000 | 2500 |
101 | 126 | 161 | 202 | 252 | 318 | 403 | 505 | 636 | 808 | 1010 | 1260 | 1610 | 2020 | 2520 |
102 | 127 | 162 | 204 | 254 | 321 | 406 | 510 | 642 | 816 | 1020 | 1270 | 1620 | 2040 | 2540 |
103 | 128 | 163 | 206 | 256 | 324 | 409 | 515 | 648 | 824 | 1030 | 1280 | 1630 | 2060 | 2560 |
104 | 129 | 164 | 208 | 258 | 327 | 412 | 520 | 654 | 832 | 1040 | 1290 | 1640 | 2080 | 2580 |
105 | 130 | 165 | 210 | 260 | 330 | 415 | 525 | 660 | 840 | 1050 | 1300 | 1650 | 2100 | 2600 |
106 | 131 | 166 | 212 | 262 | 333 | 418 | 530 | 666 | 848 | 1060 | 1310 | 1660 | 2120 | 2620 |
107 | 132 | 167 | 214 | 264 | 336 | 421 | 535 | 672 | 856 | 1070 | 1320 | 1670 | 2140 | 2640 |
108 | 133 | 168 | 216 | 266 | 339 | 424 | 540 | 678 | 864 | 1080 | 1330 | 1680 | 2160 | 2660 |
109 | 134 | 169 | 218 | 268 | 342 | 427 | 545 | 684 | 872 | 1090 | 1340 | 1690 | 2180 | 2680 |
110 | 135 | 170 | 220 | 270 | 345 | 430 | 550 | 690 | 880 | 1100 | 1350 | 1700 | 2200 | 2700 |
111 | 136 | 171 | 222 | 272 | 348 | 433 | 555 | 696 | 888 | 1110 | 1360 | 1710 | 2220 | 2720 |
- | 137 | 172 | - | 274 | - | 436 | - | 702 | - | - | 1370 | 1720 | - | 2740 |
- | 138 | 173 | - | 276 | - | 439 | - | - | - | - | 1380 | 1730 | - | 2760 |
Приращение, Гц | 1 | 1 | 1 | 2 | 2 | 3 | 3 | 4 | 5 | 8 | 10 | 10 | 10 | 20 | 20 |
Отклонение приращения, Гц | +/- 0,3 | +/- 0,3 | +/- 0,3 | +/- 0,5 | +/- 0,5 | +/- 1 | +/- 1 | +/- 1,5 | +/- 2 | +/- 3 | +/- 3 | +/- 5 | +/- 5 | +/- 5 | +/- 5 |
Число тестовых частот Nf | 22 | 26 | 27 | 22 | 26 | 22 | 27 | 23 | 24 | 23 | 22 | 26 | 27 | 22 | 26 |
Частотомер (анализатор спектра) должен обеспечивать определение частоты сигнала с точностью +/- 0,05 Гц в диапазоне частот измерений.
Усилитель мощности, используемый для подачи сигнала на громкоговоритель, должен иметь выходной импеданс, согласованный с электрическим импедансом громкоговорителя, и обладать достаточным запасом по мощности (см.
D.4).
| | ИС МЕГАНОРМ: примечание. В официальном тексте документа, видимо, допущена опечатка: таблица A.2 отсутствует. | |
Используемый вольтметр должен обеспечивать измерение напряжения на входе громкоговорителе в пределах допуска +/- 1,0% на всех тестовых частотах, указанных в таблице A.2.
D.4. Проверка громкоговорителя
Громкоговоритель устанавливают на звукоотражающий пол в заглушенной камере или на звукоотражающую плоскость в условиях, позволяющих проводить измерения согласно
[5], выходным отверстием вверх.
Устанавливают микрофон той же модели и того же изготовителя, что и применяемый при измерении шума в реверберационной камере. Микрофон ориентируют на громкоговоритель так, чтобы рабочая ось микрофона совпадала с рабочей осью громкоговорителя, а диафрагма микрофона находилась на расстоянии от 10 до 20 мм от плоскости выходного отверстия громкоговорителя. С помощью тех же средств измерений, что применяют для определения звуковой мощности (см.
6.1), измеряют и регистрируют с округлением до 0,5 дБ уровни звукового давления на тестовых частотах, приведенных в
таблице D.2.
В данном испытании для получения частотной характеристики громкоговорителя измерения проводят в его ближнем звуковом поле, что обусловлено слабой зависимостью от частоты соотношения между уровнем звукового давления и уровнем звуковой мощности в ближнем поле малого монопольного источника звука. Последнее связано со слабой зависимостью от частоты действительной части проводимости между источником звука и воздушной средой.
По результатам проверки громкоговоритель признают пригодным, если уровни звукового давления на соседних частотах не отличаются более чем на 1 дБ.
D.5. Измерения для проверки камеры
Устанавливают громкоговоритель в месте (местах) и на высоте (высотах) расположения испытуемого источника шума в камере излучающей стороной в сторону от ближайшей поверхности (включая пол).
Для проведения измерений выбирают не менее шести точек установки микрофонов в соответствии с требованиями
8.3 или траекторию сканирования длиной l не менее

, где

- длина волны, соответствующая среднегеометрической частоте низшей полосы диапазона частот измерений.
Включают акустический рассеиватель, если таковой используется.
Определяют средние по камере эквивалентные уровни звукового давления на тестовых частотах
таблицы D.2. При этом входное напряжение громкоговорителя должно быть таким же, как при его испытании по
D.4.
Примечание. Если измерения проводят в фиксированных точках, то по этим точкам может быть выполнено сканирование микрофоном, и в этом случае средний уровень звукового давления будет получен автоматически (см.
8.3) или уровень звукового давления получают для каждой точки, после чего рассчитывают среднее результатов измерений.
Отклонение тестовой частоты от заданного (номинального) значения не должно превышать +/- 0,1 Гц в течение всей серии измерений.
D.6. Расчет
Для исключения влияния ближнего звукового поля громкоговорителя вычитают из уровня звукового давления, измеренного по
D.5, уровень звукового давления, измеренный по
D.4, получая на каждой испытательной частоте корректированный уровень звукового давления L
pk.
Для каждой третьоктавной полосы вычисляют среднее арифметическое Lpm, а затем стандартное отклонение sf корректированных уровней звукового давления по Nf измерениям по формуле

(D.1)
где Lpk - средний по всем точкам измерения и, если необходимо, по всем положениям громкоговорителя корректированный по характеристике громкоговорителя эквивалентный уровень звукового давления в камере на k-й тестовой частоте, дБ;
Lpm - среднее арифметическое значений Lpk по всем Nf тестовым частотам в данной третьоктавной полосе, дБ;
Nf - число тестовых частот в данной третьоктавной полосе.
Считают, что в данной третьоктавной полосе условия испытаний [реверберационная камера, место (места) расположения источника шума, средства измерений, точки установки микрофонов или траектории сканирования и вращающийся акустический рассеиватель (при его наличии)] пригодны для определения уровня звуковой мощности источника, излучающего шум с существенными дискретными частотными составляющими, если стандартное отклонение s
f, рассчитанное по
формуле (D.1), не превышает значений, указанных в
таблице D.1.
Испытания для третьоктавных полос со среднегеометрическими частотами выше 2500 Гц проводить необязательно.
Если при испытании микрофон движется по траектории сканирования длины l, м, то измерения следует проводить в диапазоне частот, ограниченном сверху наибольшим из двух значений: 6000/l или 5000/V1/3 (V - объем камеры, м3).
D.8. Случай нескольких мест расположения испытуемого источника шума
Если в проверяемой камере не задано какое-то определенное место расположения испытуемого источника шума или если при испытаниях предполагается использовать несколько мест расположения, то процедура оценки пригодности, описанная в
D.7, может быть повторена с использованием дополнительного места (или мест) установки громкоговорителя. В этом случае полученные уровни звукового давления усредняют сначала по местам установки источника [по аналогии с
формулой (13)], а затем по точкам установки микрофонов или по траекториям сканирования [по аналогии с
формулой (16)]. Полученный в результате усреднений уровень звукового давления в каждой полосе частот подставляют в
формулу (D.1) как L
pk.
Если при проверке пригодности камеры использовали несколько мест установки громкоговорителя, то при испытаниях источника шума его следует устанавливать в те же места. При испытаниях проводят усреднение уровней звукового давления по нескольким местам расположения источника шума и по точкам установки микрофонов (траекториям сканирования).
(рекомендуемое)
РАСШИРЕНИЕ ДИАПАЗОНА ИЗМЕРЕНИЙ В ОБЛАСТЬ ЧАСТОТ НИЖЕ 100 Гц
E.1. Общие положения
Диапазон частот измерений, выполняемых в соответствии с настоящим стандартом, может быть расширен, чтобы включить в себя дополнительные третьоктавные полосы со среднегеометрическими частотами 50, 63 и 80 Гц. При этом могут быть использованы оба метода измерений, установленные настоящим стандартом: прямой (см.
9.1.4 и
9.2.4) и сравнения (см.
9.1.5 и
9.2.5), - при условии соблюдения дополнительных требований и правил, определенных настоящим приложением. В случае применения метода сравнения следует использовать образцовый источник шума, для которого в соответствии с ИСО 6926 определены уровни звукового давления в дополнительных третьоктавных полосах частот.
E.2. Дополнение к
таблице 6 (стандартное отклонение воспроизводимости)
В случае расширения диапазона измерений в область низких частот
таблицу 6 дополняют значениями стандартных отклонений воспроизводимости для измерений в дополнительных третьоктавных полосах, как показано в таблице E.1.
Таблица E.1
Типичные верхние оценки

для измерений
уровней звуковой мощности (звуковой энергии)
в третьоктавных полосах частот ниже 100 Гц
Полоса частот измерений | Среднегеометрическая частота, Гц | Стандартное отклонение воспроизводимости  , дБ |
Третьоктавная полоса частот | От 50 до 80 | 3,9 |
Для камер объемом менее 200 м
3 значение

может быть выше.
E.3. Дополнение к
таблице 1 (минимальный объем камеры)
В общем случае, чем больше объем реверберационной камеры, тем лучше условия воспроизводимости измерений уровней звуковой мощности и звуковой энергии на низких частотах. Для таких измерений рекомендуется использовать камеры объемом 200 м3 и более.
E.4. Дополнение к
таблицам 4 (минимальное число точек установки микрофонов) и 5 (минимальное число мест установки источника шума)
В третьоктавных полосах со среднегеометрическими частотами ниже 100 Гц используют те же значения, что и для полосы со среднегеометрической частотой 125 Гц.
Пригодность реверберационной камеры к измерениям широкополосного шума может быть подтверждена методом, установленным в
Приложении C, с учетом данных таблицы E.2.
Таблица E.2
Максимально допустимые значения стандартного отклонения sS
Среднегеометрическая частота третьоктавной полосы, Гц | Максимально допустимое значение sS, дБ |
От 50 до 80 | 2,0 |
Пригодность реверберационной камеры к измерениям шума с дискретными частотными составляющими может быть подтверждена методом, установленным в
Приложении D, с учетом данных таблиц E.3 и
E.4.
Таблица E.3
Максимально допустимые значения стандартного отклонения sf
Среднегеометрическая частота третьоктавной полосы, Гц | Максимально допустимое значение sf, дБ |
От 50 до 80 | 3,0 |
Таблица E.4
Тестовые частоты, используемые при проверке
реверберационной камеры для измерений шума
с дискретными частотными составляющими
Параметры | Среднегеометрические частоты третьоктавных полос, Гц |
50 | 63 | 80 |
Тестовые частоты, Гц | - | - | - |
- | - | - |
- | 56,4 | 71,2 |
45,0 | 57,0 | 72,0 |
45,5 | 57,6 | 72,8 |
46,0 | 58,2 | 73,6 |
46,5 | 58,8 | 74,4 |
47,0 | 59,4 | 75,2 |
47,5 | 60,0 | 76,0 |
48,0 | 60,6 | 76,8 |
48,5 | 61,2 | 77,6 |
49,0 | 61,8 | 78,4 |
49,5 | 62,4 | 79,2 |
50 | 63 | 80 |
50,5 | 63,6 | 80,8 |
51,0 | 64,2 | 81,6 |
51,5 | 64,8 | 82,4 |
52,0 | 65,4 | 83,2 |
52,5 | 66,0 | 84,0 |
53,0 | 66,6 | 84,8 |
53,5 | 67,2 | 85,6 |
54,0 | 67,8 | 86,4 |
54,5 | 68,4 | 87,2 |
55,0 | 69,0 | 88,0 |
55,5 | 69,6 | 88,8 |
56,0 | 70,2 | - |
- | - | - |
Приращение, Гц | 0,5 | 0,6 | 0,8 |
Отклонение приращения, Гц | +/- 0,2 | +/- 0,2 | +/- 0,3 |
Число тестовых частот Nf | 23 | 24 | 23 |
(обязательное)
РАСЧЕТ КОРРЕКТИРОВАННЫХ ПО A УРОВНЕЙ ЗВУКОВОЙ МОЩНОСТИ
И ЗВУКОВОЙ ЭНЕРГИИ В ОКТАВНЫХ ПОЛОСАХ ЧАСТОТ И НА ОСНОВЕ
РЕЗУЛЬТАТОВ ИЗМЕРЕНИЙ В ТРЕТЬОКТАВНЫХ ПОЛОСАХ ЧАСТОТ
F.1. Уровни звуковой мощности
F.1.1. В октавных полосах частот
Уровень звуковой мощности LWi, дБ, в i-й октавной полосе частот, где i (1 <= i <= 8) указывает номер октавной полосы, среднегеометрические частоты которых изменяются в диапазоне частот измерений от 63 до 8000 Гц, вычисляют по формуле

(F.1)
где LWk - уровень звуковой мощности в k-й третьоктавной полосе частот, дБ;
k - целое число, указывающее номер третьоктавной полосы частот в пределах i-й октавной полосы (см.
таблицу F.1).
F.1.2. С коррекцией по частотной характеристике A
Корректированный по A уровень звуковой мощности LWA, дБ, вычисляют по формуле

(F.2)
где LWk - уровень звуковой мощности в k-й третьоктавной полосе частот, дБ;
k - номер третьоктавной полосы частот (см.
таблицу F.1);
kmin, kmax - значения k для низшей и высшей третьоктавных полос диапазона частот измерений соответственно.
F.1.3. В широкой полосе частот
Уровень звуковой мощности во всем диапазоне частот измерений LW, дБ, вычисляют по формуле

(F.3)
где LWk - уровень звуковой мощности в k-й третьоктавной полосе частот, дБ;
kmin, kmax - значения k для, соответственно, низшей и высшей третьоктавных полос диапазона частот измерений.
F.2. Уровни звуковой энергии
F.2.1. В октавных полосах частот
Уровень звуковой энергии LJi, дБ, в i-й октавной полосе частот, где i (1 <= i <= 8) указывает номер октавной полосы, среднегеометрические частоты которых изменяются в диапазоне частот измерений от 63 до 8000 Гц, вычисляют по формуле

(F.4)
где LJk - уровень звуковой энергии в k-й третьоктавной полосе частот, дБ;
k - целое число, указывающее номер третьоктавной полосы частот в пределах i-й октавной полосы (см.
таблицу F.1).
F.2.2. С коррекцией по частотной характеристике A
Корректированный по A уровень звуковой энергии LJA, дБ, вычисляют по формуле

(F.5)
где LJk - уровень звуковой энергии в k-й третьоктавной полосе частот, дБ;
k - номер третьоктавной полосы частот (см.
таблицу F.1);
kmin, kmax - значения k для низшей и высшей третьоктавных полос диапазона частот измерений соответственно.
F.2.3. В широкой полосе частот
Уровень звуковой энергии во всем диапазоне частот измерений LJ, дБ, вычисляют по формуле

(F.6)
где Ljk - уровень звуковой энергии в k-й третьоктавной полосе частот, дБ;
kmin, kmax - значения k для, соответственно, низшей и высшей третьоктавных полос диапазона частот измерений.
F.3. Значения k и Cк
Для расчетов с использованием результатов измерений в третьоктавных полосах частот используют значения k и Cк, приведенные в таблице F.1.
Таблица F.1
Значения k и C
к, соответствующие
среднегеометрическим частотам третьоктавных полос
k | Среднегеометрическая частота третьоктавной полосы, Гц | Cк |
1 | | -30,2 |
2 | | -26,2 |
3 | | -22,5 |
4 | 100 | -19,1 |
5 | 125 | -16,1 |
6 | 160 | -13,4 |
7 | 200 | -10,9 |
8 | 250 | -8,6 |
9 | 315 | -6,6 |
10 | 400 | -4,8 |
11 | 500 | -3,2 |
12 | 630 | -1,9 |
13 | 800 | -0,8 |
14 | 1000 | 0,0 |
15 | 1250 | 0,6 |
16 | 1600 | 1,0 |
17 | 2000 | 1,2 |
18 | 2500 | 1,3 |
19 | 3150 | 1,2 |
20 | 4000 | 1,0 |
21 | 5000 | 0,5 |
22 | 6300 | -0,1 |
23 | 8000 | -1,1 |
24 | 10000 | -2,5 |
<a> Значения поправок C к для данной частоты приведены только для расчета по формулам настоящего приложения. |
(рекомендуемое)
РУКОВОДСТВО ПО ПРИМЕНЕНИЮ ИНФОРМАЦИИ
ДЛЯ РАСЧЕТА НЕОПРЕДЕЛЕННОСТИ ИЗМЕРЕНИЯ
G.1. Общие положения
Общий формат представления неопределенности измерения установлен Руководством ИСО/МЭК 98-3. Он предполагает составление бюджета неопределенности, в котором идентифицированы основные источники неопределенности и их вклад в суммарную стандартную неопределенность.
Целесообразно разделить все источники неопределенности на две группы:
a) присущие методу измерения;
b) обусловленные нестабильностью излучаемого шума.
В настоящем приложении приведены основанные на современном уровне знаний рекомендации по применению подхода Руководства ИСО/МЭК 98-3 к измерениям, проводимым в соответствии с настоящим стандартом.
G.2. Определение общего стандартного отклонения

Характеристикой неопределенности измерения является расширенная неопределенность U, непосредственно получаемая из общего стандартного отклонения

[см.
формулу (34)], которое рассматривается как аппроксимация стандартной неопределенности u(L
W).
В свою очередь

определяется двумя разными по своей природе составляющими

и

[см.
формулу (34)].
Оценки

и

предполагаются статистически независимыми и определяются по отдельности.
Стандартное отклонение

, характеризующее излучение конкретной машины, не может быть рассчитано теоретически и поэтому определяется экспериментально (см.
раздел G.3). Составляющая

рассматривается в
разделе G.4.
Основные источники вариативности результатов измерений (не относящиеся к рабочим характеристикам источника шума), возможные отклонения от теоретической модели (прямой метод) и погрешности калибровки образцового источника шума (метод сравнения) для методов, установленных настоящим стандартом, связаны с выборкой в звуковом поле и с изменчивостью акустической связи между источником шума и создаваемым им звуковым полем (для разных реверберационных камер и для разных положений источника в этих камерах). Соответствующие составляющие неопределенности можно уменьшить следующими способами:
a) использованием нескольких мест расположения источника шума в камере;
b) улучшением свойств пространственной выборки звукового поля за счет увеличения числа точек установки микрофонов или удлинения траекторий сканирования;
c) установкой низкочастотных поглотителей звука, уменьшающих влияние отдельных акустических мод на неоднородность звукового поля;
d) использованием акустических рассеивателей.
Уменьшить пространственную неоднородность звукового поля в области низких частот можно за счет увеличения объема реверберационной камеры, но следует иметь в виду, что при этом ухудшится точность определения уровней звуковой мощности на высоких частотах. И наоборот, для маленьких камер улучшается характеристика поля на высоких частотах, но при этом существенно ухудшается на низких. Таким образом, если необходимо повысить точность измерений и если в распоряжении испытателя имеются две реверберационные камеры, то можно рассмотреть возможность определения уровней звуковой мощности и звуковой энергии в области низких частот в камере большего размера, а в области высоких частот - в камере меньшего размера.
G.3. Определение стандартного отклонения

Стандартное отклонение

, дБ, (см.
10.2) рассчитывают по формуле

(G.1)
где Lp,j - корректированный на фоновый шум уровень звукового давления, полученный в j-м повторном измерении в заданной точке при заданных условиях установки и работы источника шума, дБ;
Lpav - среднее арифметическое Lp,j по всем повторным измерениям.
Измерения для определения

проводят в точке установки микрофона, где уровень звукового давления максимален. Если используют усреднение по всем точкам измерения, то в
формуле (G.1) L
p,j и L
pav заменяют на

и

соответственно.
В общем случае условия установки и работы машины при измерениях значения ее шумовой характеристики определяются испытательным кодом по шуму. При его отсутствии эти условия должны быть точно определены до проведения испытаний и зафиксированы в протоколе испытаний. Ниже приводятся некоторые рекомендации по определению таких условий и их возможному влиянию на

.
Условия работы при испытаниях должны соответствовать нормальному применению машины согласно рекомендациям изготовителя и практике пользователя. Однако даже при заданных нормальных условиях работы машины возможны некоторые вариации в режимах работы, обрабатываемом, потребляемом или производимом материале, между различными циклами работы машины и пр. Стандартное отклонение

характеризует неопределенность, связанную как с изменчивостью долговременных условий работы (например, день ото дня), так и с изменением излучаемого шума после повторной установки и пуска машины.
Если машину в любых условиях ее применения устанавливают на пружинах или на твердый массивный пол, то условия установки будут слабо влиять на результаты измерений. Однако если при испытаниях машину устанавливают на твердый массивный пол, а в условиях применения используют другую опору, то шум машины может различаться весьма сильно. Составляющая неопределенности, обусловленная установкой машины, будет наибольшей, если машина соединена со вспомогательным оборудованием. Также эта составляющая неопределенности будет велика в случае ручных машин. Необходимо исследовать, как перемещения машины или ее крепления влияют на ее шум. Если необходимо заявить значение шумовой характеристики машины для разных способов ее установки и крепления, то

оценивают по результатам измерений при всех возможных способах установки. Если влияние условий установки машины на ее шум известно, то в испытательном коде по шуму или в методике, применяемой пользователем, должен быть определен рекомендуемый способ установки машины при испытаниях.
С точки зрения важности вклада тех или иных источников неопределенности в

исследования для определения

имеют большее значение, чем связанные с определением

[см.
формулу (33)]. Это объясняется тем, что

может принимать существенно большие значения, чем, например, стандартное отклонение

, которое для технического метода измерения, как это следует из
таблицы 6, не превышает 1,5 дБ.
Если

, то проведение измерений с высокой точностью (т.е. с малым

) теряет практический смысл, поскольку это не способно привести к существенному снижению

. Примеры возможных соотношений между

и

приведены в таблице G.1.
Таблица G.1
Примеры расчета

для разных соотношений между

и

Стандартное отклонение воспроизводимости метода  , дБ | Общее стандартное отклонение  , дБ, для разных условий установки и работы машины, характеризующихся разными значениями  , дБ |
Стабильные | Нестабильные | Очень нестабильные |
 , дБ |
0,5 | 2 | 4 |
0,5 (точный метод) | 0,7 | 2,1 | 4,0 |
1,5 (технический метод) | 1,6 | 2,5 | 4,3 |
3 (ориентировочный метод) | 3,0 | 3,6 | 5,0 |
Из этих примеров видно, что при нестабильных условиях установки и работы испытуемой машины излишне пытаться обеспечить условия точного метода измерения.
Кроме того, в ситуации, когда

, у пользователя стандарта возможно формирование неправильного представления об общей неопределенности измерения, если он ориентируется на класс точности измерений, который в настоящем стандарте определяется только значением

.
G.4. Определение стандартного отклонения

G.4.1. Общие положения
| | ИС МЕГАНОРМ: примечание. В официальном тексте документа, видимо, допущена опечатка: имеется в виду таблица G.2, а не таблица 2. | |
Верхние оценки

приведены в
таблице 2. Кроме того, в
9.3 приведены рекомендации по проведению исследований для получения более реалистичных оценок

для отдельных машин или семейств машин. Такие исследования включают в себя либо проведение измерений в условиях воспроизводимости согласно ИСО 5725, либо расчеты на основании математической модели измерения [см.
формулу (36)], требующие привлечения дополнительной информации.
Если некоторые источники неопределенности несущественны для конкретных измерительных задач или трудны для исследования, то в испытательном коде по шуму приводят значение

, полученное либо в результате межлабораторных сравнительных испытаний, либо рассчитанное на основе модели, которое не учитывает вариативность этих источников.
Расчет на основе бюджета неопределенности предполагает статистическую независимость отдельных источников неопределенности и, главное, наличие уравнений измерения, используя которые можно было бы оценить вклад этих источников по результатам соответствующих измерений или на основе накопленного практического опыта. В настоящее время, однако, объема накопленной экспериментальной информации, которая могла бы быть использована в целях настоящего стандарта, недостаточно. Тем не менее, ниже приводятся данные, которые нельзя рассматривать как окончательные, но которые могут быть использованы для приближенной оценки вкладов отдельных составляющих неопределенности.
G.4.2. Вклад разных источников в

Предварительные исследования показали, что приведенный к нормальным атмосферным условиям уровень звуковой мощности L
W, дБ, может быть представлен следующей зависимостью от влияющих факторов (входных величин), полученной на основе
формулы (20):

(G.2)
где

- входная величина, описывающая влияние применяемого метода измерений, дБ;

- входная величина, описывающая влияние условий установки и работы машины, дБ (эта величина не включена в расчеты

);

- средний по реверберационной камере корректированный на фоновый шум уровень звукового давления в третьоктавной полосе частот при работе испытуемого источника шума, дБ (см.
9.1.3);
A - эквивалентная площадь звукопоглощения в камере, м
2, (см.
3.10),

;
T
60 - время реверберации камеры для среднегеометрической частоты полосы измерений, с (см.
3.8);
A0 = 1 м2;
S - общая площадь поверхности камеры, м2;
c - скорость звука, м/с, при температуре воздуха в реверберационной камере во время испытаний

°C, определяемая по формуле

;
V - объем камеры, м3;
f - среднегеометрическая частота полосы измерений, Гц;
K
1 - коррекция на фоновый шум, дБ (см.
9.1.2);
C
1 - поправка, учитывающая разность опорных значений для определения уровней звукового давления и звуковой мощности и зависящая от характеристического импеданса воздушной среды в камере во время испытаний, дБ, рассчитываемая по формуле

;
C
2 - поправка на импеданс излучения, используемая для приведения к стандартным атмосферным условиям, дБ. Эта величина должна быть определена в соответствующем испытательном коде по шуму. Если такой документ отсутствует, то используют формулу, полученную для источника шума в виде монополя и рассматриваемую как результат усреднения для источников другого вида (см.
[23],
[31]):

;
ps - статическое давление в реверберационной камере во время испытаний, кПа;
ps,0 - нормальное атмосферное давление, ps,0 = 101,325 кПа;

- температура воздуха в реверберационной камере во время испытаний, °C;

;

;

- входная величина, описывающая влияние применяемых средств измерений, дБ;

- входная величина, описывающая флуктуации относительной влажности воздуха в реверберационной камере, дБ.
Примечание 1. Если измеряемой величиной является уровень звуковой энергии, то для нее модель измерения будет иметь вид, аналогичный
(G.2).
Примечание 2. Модель, описываемую
формулой (G.2), применяют при измерениях как в полосе частот, так и с коррекцией по частотной характеристике A.
Примечание 3. Входные величины в
формуле (G.2) отражают современное представление о факторах, способных оказать влияние на результат измерения уровня звуковой мощности при испытаниях по настоящему стандарту. Дальнейшие исследования могут показать необходимость модификации этой модели.
Каждой входной величине должно быть приписано соответствующее распределение вероятностей (нормальное, прямоугольное, Стьюдента и т.п.). Лучшей оценкой входной величины будет ее математическое ожидание. Стандартное отклонение распределения входной величины характеризует разброс ее возможных значений и принимается за ее стандартную неопределенность.
Составляющая неопределенности, связанная с условиями установки и работы источника шума, уже учтена в

. Остальные входные величины в совокупности характеризуются стандартным отклонением

.
Информация об ожидаемых значениях стандартных неопределенностей входных величин u
i и соответствующих им коэффициентов чувствительности c
i, необходимых для расчета

, ДБ, по формуле

, приведена в таблице G.2.
Таблица G.2
Бюджет неопределенности для расчета

(для примера измерения прямым методом корректированного
по A уровня звуковой мощности источника шума
с относительно плоским спектром)
Входная величина (см. G.4.2) | Оценка входной величины, дБ | Стандартное отклонение <a> u i, дБ | Вид распределения | Коэффициент чувствительности <a> c i |
| 0 | 0,3 | Нормальное | 1 |
| | | Нормальное | |
K1 | | | Нормальное | |
V/S | 0 | u(V/S) | Нормальное | |
V | 0 | u(V) | Нормальное | 4,3/V |
T60 | 0 | | Нормальное | |
| 0 | | Прямоугольное | |
ps | 0 | | Прямоугольное | -8,7/ps |
| 0 | 0,3 | Нормальное | 1 |
| 0 | | Прямоугольное | |
<b> Оценка, полученная в результате измерения данной входной величины. |
Для некоторых входных величин соответствующие стандартные неопределенности должны быть получены в результате дополнительных исследований.
Пример информации, необходимой для расчета суммарной стандартной неопределенности при прямом методе измерений, приведен в
таблице G.2 и пункте G.4.3, а при измерении методом сравнения - в
пункте G.4.4.
G.4.3. Расчет

для прямого метода измерений
G.4.3.1. Общие положения
В
таблице G.2 приведен пример бюджета неопределенности для расчета стандартного отклонения

для прямого метода измерения корректированных по A уровней звуковой мощности.
Входные величины уравнения измерений
(G.2) [за исключением

(см.
G.3)] с обоснованием выбора для них соответствующих распределений вероятности рассматриваются в
G.4.3.2 -
G.4.3.12. Кроме формул расчета вкладов неопределенностей входных величин в суммарную стандартную неопределенность указываются их примерные оценки.
G.4.3.2. Влияние метода измерения

Неопределенность, связанная с применяемым методом измерения, характеризуется смещением метода и стандартной неопределенностью оценки этого смещения u
method. В предположении, что все необходимые поправки к измеренному уровню звуковой мощности внесены должным образом, смещение можно оценить только исходя из практического опыта измерений или по результатам межлабораторных испытаний. В случае детально проработанной модели измерения, в которой учтены все основные влияющие величины и для них получены количественные оценки этого влияния, неопределенность, связанная с методом измерения, будет мала. Если же знаний о возможных влияющих величинах недостаточно, имеются трудности в оценке пределов этого влияния или проводить такую оценку нецелесообразно из практических соображений, то данная составляющая неопределенности может стать доминирующей в оценке

. Примером может служить применение метода измерения недостаточно квалифицированным или неопытным испытателем.
Исследования показывают, что на частотах выше 100 Гц можно принять umethod = 0,3 дБ. На более низких частотах начинает сказываться малое число возбуждаемых акустических мод в камере и недостаточное число точек измерения. Поэтому в области частот ниже 100 Гц в качестве ориентировочной оценки можно принять umethod = 3 дБ.
Смещение, обусловленное методом измерения, непосредственно входит в оценку измеряемой величины, поэтому коэффициент чувствительности cmethod = 1.
В рассматриваемом примере измерений на частотах выше 100 Гц вклад cmethodumethod данного источника неопределенности в суммарную стандартную неопределенность будет составлять 0,3 дБ.
G.4.3.3. Неоднородность звукового поля во время испытаний

Неопределенность, обусловленная неоднородностью звукового поля, создаваемого испытуемым источником, характеризуется разбросом результатов повторных измерений. Соответственно стандартная неопределенность

может быть выражена через выборочное стандартное отклонение результатов этих измерений и рассчитана по формуле
где L'pm(ST) - арифметическое среднее не корректированных на фоновый шум результатов измерений эквивалентных уровней звукового давления при работе испытуемого источника шума, дБ.
Коэффициент чувствительности

представляет собой производную функции измерения L
W по

, зависит от уровня фонового шума и рассчитывается по формуле

.
Это выражение может быть упрощено до

и для наихудшего случая, когда уровень шума совпадает с предельно допустимым значением (см.
G.4.3.4), может быть принято

. Если выполнено требование
8.4.2 к числу точек установки микрофонов и местом расположения источника в камере, то в наихудшем случае вклад

в суммарную стандартную неопределенность не будет превышать 1 дБ при измерениях в третьоктавной полосе частот. Если измерения проводят в широкой полосе частот с использованием коррекции по частотной характеристике A, то вследствие суммирования по полосам частот вклад уменьшится и обычно не будет превышать 0,2 дБ.
Влияние данного источника неопределенности может быть уменьшено за счет увеличения времени реверберации в камере, уменьшения изменчивости уровня звуковой мощности по камере путем применения акустического рассеивателя или за счет увеличения числа точек установки микрофонов и мест расположения испытуемого источника шума. На значение

сильно влияет также выбор временного интервала усреднения T (см.
3.3). Если этот интервал не охватывает достаточное число циклов работы машины, то суммарная стандартная неопределенность может стать недопустимо большой для точного метода измерения.
В рассматриваемом примере вклад

в суммарную стандартную неопределенность предполагается равным 0,2 дБ.
G.4.3.4. Коррекция на фоновый шум (K
1)
Стандартная неопределенность u(K1), дБ, обусловленная коррекцией на фоновый шум K1, может быть выражена через выборочное стандартное отклонение sLp(B) по серии повторных измерений фонового шума в одной точке измерений (точке установки микрофона).
Коэффициент чувствительности c(K
1) получают взяв производную функции измерения L
W по

. Согласно
формулам (14) и
(15) корректированный на фоновый шум уровень звукового давления

, дБ, может быть выражен в виде

, где

. Знак коэффициента чувствительности значения не имеет, поэтому его можно представить в виде

Для

выражение для c(K
1) может быть упрощено до вида

. В случае малошумного источника выборочное стандартное отклонение sL
p(B) может достигать 3 дБ. В наихудшем случае разность

будет равна 10 дБ (минимальное допустимое значение на средних частотах по
9.1.2). Это даст значение коэффициента чувствительности c(K
1) = 0,11 и вклад c(K
1) u(K
1) в суммарную стандартную неопределенность, равный 0,3 дБ. В обычных условиях применения прямого метода измерений за счет обеспечения низкого уровня фонового шума данный вклад может быть уменьшен до 0,03 дБ. Уменьшение флуктуаций фонового шума уменьшает вклад данной составляющей неопределенности. Существенного уменьшения коэффициента чувствительности можно добиться за счет уменьшения фонового шума посредством выявления его источников с последующим принятием мер по их звукоизоляции или звукопоглощению. Такие меры могут включать в себя устройство надлежащего заземления, изоляцию проводов, виброизоляцию, использование дополнительных масс и дополнительных поглощающих материалов и т.д. Кроме того, можно ожидать, что u(K
1) снизится примерно вдвое, если вчетверо увеличить временной интервал усреднения T.
G.4.3.5. Отношение объема камеры к ее поверхности (V/S)
При расчете стандартной неопределенности u(V/S) необходимо учитывать, что данная входная величина представляет собой отношение величин V и S и поставленные им в соответствие случайные величины коррелированы между собой, поскольку зависят от одних и тех же параметров - геометрических размеров камеры l
x, l
y и l
z. Для камеры в форме прямоугольного параллелепипеда предельные отклонения

каждого из геометрических размеров от их номинальных значений обычно не превосходят 1%. Тогда u(V/S), дБ, можно аппроксимировать формулой

, которая позволяет получить приближенную оценку u(V/S), равную 0,4% V/S.
Коэффициент чувствительности c(V/S), получаемый взятием производной функции L
W [формула (G.2)] по V/S, имеет вид

Коэффициент чувствительности максимален по модулю в нижней области диапазона частот измерений. Для малой камеры с соотношением V/S ~= 0,66 и T60 = 1 с коэффициент чувствительности на частоте 200 Гц будет равен минус 0,9. Если принять, что u(V/S), дБ, численно равна 0,4% V/S, то вклад данного источника в суммарную стандартную неопределенность в данной третьоктавной полосе частот составит минус 0,003 дБ. На частоте 8 кГц коэффициент чувствительности возрастает до 0,7. Случайные величины, связанные с отношением V/S в третьоктавных полосах частот, коррелированы между собой, поэтому результат расчета неопределенности для широкой полосы частот с использованием коррекции по частотной характеристике A будет зависеть от спектра излучаемого шума. Обычно вклад данного источника неопределенности в результат измерений с использованием коррекции по частотной характеристике A можно принять равным 0,002 дБ.
G.4.3.6. Объем камеры (V)
Для камеры в форме прямоугольного параллелепипеда предельные отклонения

каждого из геометрических размеров камеры l
x, l
y и l
z от их номинальных значений обычно не превосходят 1%. Величине отклонения можно приписать прямоугольное распределение со стандартным отклонением

. Тогда стандартная неопределенность объема камеры u(V), дБ, описывается формулой

и равна приблизительно 1% объема камеры.
Коэффициент чувствительности c(V) получают дифференцированием L
W [формула (G.2)] по V. При этом игнорируют слагаемое, соответствующее входной величине V/S, поскольку неопределенность для этой входной величины была учтена отдельно в
G.4.3.5. В результате получают
c(V) = 4,3/V.
В предположении, что u(V), дБ, численно равна 1% V, вклад данного источника в суммарную стандартную неопределенность в данной третьоктавной полосе частот составит 0,04 дБ. Следует с особым вниманием относиться к оценкам неопределенности в случаях, когда форма камеры отличается от правильного прямоугольного параллелепипеда, и убедиться в том, что вклад данной составляющей неопределенности в общую неопределенность измерения остается небольшим.
G.4.3.7. Время реверберации (T60)
Стандартную неопределенность u(T
60), с, времени реверберации получают из выборочного стандартного отклонения s
T по результатам N
decays измерений времени реверберации T
60, с, для среднегеометрической частоты f, Гц, третьоктавной полосы по формуле (модифицированной формуле (10) из
[1])
Обычно при повторных измерениях выбирают Ndecays = 120.
Коэффициент чувствительности c(T
60) получают дифференцированием неявной зависимости L
W от T
60 [в
формуле (G.2) от T
60 зависит эквивалентная площадь звукопоглощения A] по T
60, что позволяет его рассчитать по формуле
Пусть источник излучает шум с доминирующей частотой около 500 Гц и пусть на этой частоте время реверберации T60 = 1 с. Предполагая sT = 0,2 с, получим значение коэффициента чувствительности c(T60) = -5 дБ/с. Тогда вклад c(T60) u(T60) данного источника неопределенности в суммарную стандартную неопределенность будет равен (по модулю) 1 дБ. Учитывая, что время реверберации обычно превышает 1 с, а также суммирование по третьоктавным полосам частот, типичный вклад неопределенности определения времени реверберации в стандартную неопределенность результата измерений LWA можно считать равным 0,05 дБ. Этот вклад можно уменьшить за счет увеличения времени реверберации T60, улучшения условий повторяемости при определении sT, а также увеличения числа Ndecays повторных измерений.
G.4.3.8. Температура воздуха

В рассматриваемом примере предполагается, что изменения температуры

, °C, происходят в диапазон

и характеризуются прямоугольным распределением в пределах этого диапазона. Тогда стандартная неопределенность

будет равна стандартному отклонению данного распределения, т.е.

.
В
формуле (G.2) зависимость от температуры учитывается параметрами C
1, C
2 и A. Для определения коэффициента чувствительности

осуществляют дифференцирование L
W по этим параметрам и этих параметров по

. При дифференцировании параметра A принимают

, а оценку производной

получают из
[16]. Коэффициент звукопоглощения

определяют по коэффициенту звукопоглощения в камере

, звукопоглощению в воздухе на единицу пути

, оценке Сэбина среднего пути между двумя последовательными отражениями в камере 4 V/S (что для камер объемом от 70 до 200 м
3 дает значение среднего пути приблизительно 3,3 м). С учетом этого формула для коэффициента чувствительности

принимает вид
где H - относительная влажность воздуха в камере, %;
f - максимальная среднегеометрическая частота третьоктавной полосы, уровень звукового давления в которой оказывает существенное влияние на результат измерения корректированного по A уровня звуковой мощности.
Требования, определенные
таблицей 3, ограничивают вклад

данного источника неопределенности значением 1,0 на частоте 10 кГц. В предположении, что большая часть звуковой мощности источника шума сосредоточена в области ниже 1 кГц, и с учетом требований к относительной влажности воздуха по
таблице 3 получаем снижение данного ограничения до 0,5 Б. Это близко к значению, получаемому с использованием вышеприведенной формулы. Обычно для источника, работа которого не влияет на температуру в помещении,

не превысит 0,05 дБ.
Принятие специальных мер по обеспечению стабильной температуры в реверберационной камере или сокращение общего времени измерений позволит уменьшить составляющую неопределенности определения температуры воздуха. Коэффициент чувствительности уменьшается при повышении температуры и влажности.
G.4.3.9. Статическое давление (ps)
В рассматриваемом примере предполагается, что результат измерений статического давления p
s находится в диапазоне

и характеризуется прямоугольным распределением в пределах этого диапазона. Тогда стандартная неопределенность u(p
s) будет равна стандартному отклонению данного распределения, т.е.

.
Коэффициент чувствительности c(p
s) получают дифференцированием неявной зависимости L
W от p
s [в
формуле (G.2) от p
s зависят поправки C
1 и C
2] по p
s, что позволяет его рассчитать по формуле
Вклад c(ps)u(ps) в суммарное стандартное отклонение данного источника определенности обычно мал и не превышает 0,05 дБ. Однако изменение статического давления может влиять на воспроизводимость условий работы источника шума, увеличивая uomc.
G.4.3.10. Инструментальная неопределенность

При измерениях звуковой мощности с использованием шумомеров класса 1 стандартная неопределенность u
sim, обусловленная применяемым средством измерений, будет равна приблизительно 0,3 дБ (см.
[29]). Это значение близко к результатам сравнительных испытаний, в которых участвовали национальные лаборатории разных стран.
Инструментальная неопределенность дает непосредственный вклад в неопределенность измеряемой величины, поэтому соответствующий коэффициент чувствительности равен единице, а вклад данного источника неопределенности в суммарную стандартную неопределенность составляет 0,3 дБ. Факторы, влияющие на инструментальную неопределенность при применении шумомеров, подробно рассматриваются в МЭК 61672-1. При использовании метода сравнения коэффициент чувствительности csim будет ниже, но при этом необходимо учитывать дополнительную неопределенность, связанную с применяемым образцовым источником шума.
G.4.3.11. Относительная влажность

В рассматриваемом примере предполагается, что изменения относительной влажности H, Па, происходят в диапазоне

и характеризуются прямоугольным распределением в пределах этого диапазона. Тогда стандартная неопределенность u(H) будет равна стандартному отклонению данного распределения, т.е.

.
Коэффициент чувствительности c(H) получают из
формулы (G.2) аналогично
G.4.3.8. При H > 10% имеет место формула
где f - максимальная среднегеометрическая частота третьоктавной полосы, уровень звукового давления в которой оказывает существенное влияние на результат измерения корректированного по A уровня звуковой мощности.
Требования, определенные
таблицей 3, ограничивают вклад c(H)u(H) значением 1,0 на частоте 10 кГц. В предположении, что большая часть звуковой мощности источника шума сосредоточена в области ниже 1 кГц, получаем снижение данного ограничения до 0,5 Б. Это близко к значению, получаемому с использованием вышеприведенной формулы. Обычно вклад данного источника неопределенности не превышает 0,05 дБ.
Принятие специальных мер по обеспечению стабильности влажности воздуха и сохранению условий ее равновесия в реверберационной камере или сокращение общего времени измерений позволит уменьшить u(H). Коэффициент чувствительности уменьшается при повышении влажности.
G.4.3.12. Типичные значения

G.4.4. Расчет

для метода сравнения
Бюджет неопределенности для метода сравнения может быть получен на основе бюджета неопределенности для прямого метода, применяемого как для испытуемого [для получения

], так и образцового [для получения u(L
W(RSS))] источника шума. Тогда

может быть рассчитан по формуле

Источники неопределенности при измерении шума испытуемого источника и образцового источника шума в основном одни и те же, что приводит к увеличению вклада каждого такого источника в общую неопределенность измерения приблизительно на 40% по сравнению с прямым методом. Вместе с тем в методе сравнения не используются значения времени реверберации T
60, объема V и площади поверхности S камеры, и, соответственно, отсутствуют неопределенности, связанные с этими значениями, как для испытуемого, так и для образцового источника шума. Кроме того, при использовании метода сравнения частично взаимно исключаются погрешности, связанные с выборкой

, методом

и применяемым шумомером

, если испытуемый источник и образцовый источник шума устанавливают в камере в одних и тех же местах, а измерения шума проводят в одних и тех же точках установки микрофонов. Учесть уменьшение вклада неопределенности, связанной с объемом выборки, можно уменьшением коэффициента чувствительности

в измерениях для испытуемого источника и образцового источника шума до 0,5. Как и в примере для прямого метода измерений (см.
G.4.3.3), при соблюдении требования
8.4.2 к точкам установки микрофонов можно ожидать, что в наихудшем случае (когда в спектре шума преобладает узкополосная составляющая) стандартная неопределенность

не превысит 1 дБ. С учетом того, что

, вклад данного источника неопределенности не превысит 0,5 дБ, а типичным значением будет 0,1 дБ.
Если измерения шума проводят на коротком временном интервале, то систематические эффекты, связанные с калибровкой шумомера, диаграммой направленности, коррекцией по частотной характеристике, температурой, давлением и влажностью воздуха, за счет сравнения результатов измерений для испытуемого источника и образцового источника шума компенсируются. Однако поскольку оценку неопределенности измерения для испытуемого источника и образцового источника шума выполняют по отдельности, а затем полученные оценки суммируют, для учета этой компенсации следует уменьшить значение коэффициента чувствительности csim. Если принять csim = 0,5, то вклад инструментальной неопределенности в суммарное стандартное отклонение составит 0,15 дБ. Используя те же соображения для неопределенности, обусловленной методом измерения, можно принять cmethod = 0,5 и cmethodumethod = 0,15 дБ.
Используя ту же формулу для расчета

, дБ, что и для расчета

в прямом методе измерения, но с учетом указанного выше обнуления отдельных составляющих и уменьшения вклада других, получим значение
При расчете u(L
W(RSS)) подход будет аналогичным за исключением того, что во внимание необходимо принять дополнительный источник неопределенности, связанный с калибровкой, условиями установки и работы образцового источника шума и характеризуемый стандартным отклонением

. Обычно после внесения всех поправок, указанных изготовителем, можно принять

. Вклад неопределенности, связанной с неоднородностью создаваемого образцовым источником шума звукового поля,

можно принять равным 0,03 дБ. Даже в самых неблагоприятных обстоятельствах звуковая мощность образцового источника шума будет значительно превышать фоновый шум, поэтому можно принять c(K
1)u(K
1) = 0,0 дБ. С учетом сказанного получим для u(L
W(RSS)), дБ:

Как видно из рассмотренного примера, вклад некоторых источников неопределенности незначителен по сравнению с другими, и такие источники могут не учитываться при составлении бюджета неопределенности для конкретной измерительной задачи. Усилия по ограничению суммарной стандартной неопределенности должны быть сосредоточены на ограничении влияния доминирующих источников неопределенности.
G.5. Суммарная стандартная неопределенность
В случае незначительной корреляции между входными величинами суммарную стандартную неопределенность u(LW), дБ, уровня звуковой мощности LW, дБ, рассчитывают по формуле

(G.3)
G.6. Использование результатов измерений в условиях воспроизводимости
При отсутствии информации о составляющих неопределенности и возможных корреляциях между входными величинами в качестве суммарной стандартной неопределенности u(L
W) может быть использовано стандартное отклонение воспроизводимости (см.
раздел 9). Затем для получения расширенной неопределенности U выбирают значение коэффициента охвата k. По умолчанию интервал охвата определяют для вероятности охвата 95%. Тогда в предположении нормального распределения случайной величины, ассоциированной с измеряемой величиной L
W, значение коэффициента охвата будет k = 2. Чтобы избежать неправильного толкования, вместе с расширенной неопределенностью в протоколе испытаний следует указывать примененное значение вероятности охвата.
(справочное)
СВЕДЕНИЯ О СООТВЕТСТВИИ ССЫЛОЧНЫХ МЕЖДУНАРОДНЫХ СТАНДАРТОВ
НАЦИОНАЛЬНЫМ СТАНДАРТАМ РОССИЙСКОЙ ФЕДЕРАЦИИ (И ДЕЙСТВУЮЩИХ
В ЭТОМ КАЧЕСТВЕ МЕЖГОСУДАРСТВЕННЫМ СТАНДАРТАМ)
Таблица ДА.1
Обозначение ссылочного международного стандарта | Степень соответствия | Обозначение и наименование национального стандарта |
ИСО 3382-2 | IDT | ГОСТ Р ИСО 3382-2-2013 "Акустика. Измерение акустических параметров помещений. Часть 2. Время реверберации обычных помещений" |
ИСО 5725 (все части) | IDT | ГОСТ Р ИСО 5725-1-2002 "Точность (правильность и прецизионность) методов и результатов измерений. Часть 1. Основные положения и определения" ГОСТ Р ИСО 5725-2-2002 "Точность (правильность и прецизионность) методов и результатов измерений. Часть 2. Основной метод определения повторяемости и воспроизводимости стандартного метода измерений" ГОСТ Р ИСО 5725-3-2002 "Точность (правильность и прецизионность) методов и результатов измерений. Часть 3. Промежуточные показатели прецизионности стандартного метода измерений" ГОСТ Р ИСО 5725-4-2002 "Точность (правильность и прецизионность) методов и результатов измерений. Часть 4. Основные методы определения правильности стандартного метода измерений" ГОСТ Р ИСО 5725-5-2002 "Точность (правильность и прецизионность) методов и результатов измерений. Часть 5. Альтернативные методы определения правильности стандартного метода измерений" ГОСТ Р ИСО 5725-6-2002 "Точность (правильность и прецизионность) методов и результатов измерений. Часть 6. Использование значений точности на практике" |
ИСО 6926 | - | |
ИСО 12001:1996 | - | |
Руководство ИСО/МЭК 98-3 | IDT | ГОСТ Р 54500.3-2011 "Неопределенность измерения. Часть 3. Руководство по выражению неопределенности измерения" |
МЭК 60942:2003 | IDT | |
МЭК 61183 | - | |
МЭК 61260:1995 | MOD | ГОСТ Р 8.714-2010 (МЭК 61260:1995) "Государственная система обеспечения единства измерений. Фильтры полосовые октавные и на доли октавы. Технические требования и методы испытаний" |
МЭК 61672-1:2002 | MOD | ГОСТ 14187-2010 "Шумомеры. Часть 1. Технические требования" |
<*> Соответствующий национальный стандарт отсутствует. До его утверждения рекомендуется использовать перевод на русский язык данного международного стандарта. Перевод данного международного стандарта находится в Федеральном информационном фонде технических регламентов и стандартов. Примечание. В настоящей таблице использовано следующее условное обозначение степени соответствия стандарта: - IDT - идентичный стандарт; - MOD - модифицированный стандарт. |
| ISO 354, Acoustics - Measurement of sound absorption in a reverberation room |
| ISO 3740, Acoustics - Determination of sound power levels of noise sources - Guidelines for the use of basic standards |
| ISO 3743-1, Acoustics - Determination of sound power levels and sound energy levels of noise sources using sound pressure - Engineering methods for small movable sources in reverberant fields - Part 1: Comparison method for a hard-walled test room |
| ISO 3743-2, Acoustics - Determination of sound power levels of noise sources using sound pressure - Engineering methods for small, movable sources in reverberant fields - Part 2: Methods for special reverberation test rooms |
| ISO 3744, Acoustics - Determination of sound power levels and sound energy levels of noise sources using sound pressure - Engineering methods for an essentially free field over a reflecting plane |
[6] | ISO 3745, Acoustics - Determination of sound power levels and sound energy levels of noise sources using sound pressure - Precision methods for anechoic test rooms and hemi-anechoic test rooms |
[7] | ISO 3746, Acoustics - Determination of sound power levels and sound energy levels of noise sources using sound pressure - Survey methods using an enveloping measurement surface over a reflecting plane |
| ISO 3747, Acoustics - Determination of sound power levels and sound energy levels of noise sources using sound pressure - Engineering/survey methods for use in situ in a reverberant environment |
| ISO 4871, Acoustics - Declaration and verification of noise emission values of machinery and equipment |
[10] | ISO 7574-1, Acoustics - Statistical methods for determining and verifying stated noise emission values of machinery and equipment - Part 1: General considerations and definitions |
[11] | ISO 7574-2, Acoustics - Statistical methods for determining and verifying stated noise emission values of machinery and equipment - Part 2: Methods for stated values for individual machines |
[12] | ISO 7574-3, Acoustics - Statistical methods for determining and verifying stated noise emission values of machinery and equipment - Part 3: Simple (transition) method for stated values for batches of machines |
[13] | ISO 7574-4, Acoustics - Statistical methods for determining and verifying stated noise emission values of machinery and equipment - Part 4: Methods for stated values for batches of machines |
| ISO 9295, Acoustics - Measurement of high-frequency noise emitted by computer and business equipment |
| ISO 9296, Acoustics - Declared noise emission values of computer and business equipment |
| ISO 9613-1, Acoustics - Attenuation of sound during propagation outdoors - Part 1: Calculation of the absorption of sound by the atmosphere |
[17] | ISO 9614-1, Acoustics - Determination of sound power levels of noise sources using sound intensity - Part 1: Measurement at discrete points |
[18] | ISO 9614-2, Acoustics - Determination of sound power levels of noise sources using sound intensity - Part 2: Measurement by scanning |
[19] | ISO 9614-3, Acoustics - Determination of sound power levels of noise sources using sound intensity - Part 3: Precision method for measurement by scanning |
| ISO/TR 25417:2007, Acoustics - Definitions of basic quantities and terms |
| ISO 80000-8:2007, Quantities and units - Part 8: Acoustics |
|  , M. Revised relation between the sound power and the average sound pressure level in rooms and the consequences for acoustic measurements. Acustica 1995, 81, pp. 332 - 343 |
| DAVIES, R.S. Equation for the determination of the density of moist air. Metrologia 1992, 29, pp. 67 - 70 |
[24] | CRAMER, O. The variation of the specific heat ratio and the speed of sound in air with temperature, humidity and CO2 concentration. J. Acoust. Soc. Am. 1993, 93, pp. 2510 - 2516 |
| WONG, G.S.K. Comments on "The variation of the specific heat ratio and the speed of sound in air with temperature, pressure, humidity, and CO2 concentration", J. Acoust. Soc. Am. 93, 2510 - 2516 (1993). J. Acoust. Soc. Am. 1995, 97, pp. 3177 - 3179 |
| JONASSON, H.G. Measurement of sound energy levels and peak sound pressure levels of impulse noise. Proceedings Inter-Noise 1998, Christchurch, New Zealand |
| [TACHIBANA, H., Yano, H., Yoshihisa, K. Definition and measurement of sound energy level of a transient sound source. J. Acoust. Soc. Jpn. 1987, 8, pp. 235 - 240 |
| HELLWEG, R.D. International round robin test of ISO/DIS 7779. Proceedings Inter-Noise 1988, Avignon, France, pp. 1105 - 1108 |
|  , M., RAABE, G. Intercomparison on sound power measurements by use of reference sound sources, BCR-project 3347/1/0/168/89/11 - BCR - D30, 1993 |
[30] | PAYNE, R. Uncertainties associated with the use of a sound level meter, NPL Report DQL-AC 002, 2004 |
|  , G. Accuracy consideration on the meteorological correction for a normalized sound power level. In: Proceedings Inter-Noise 2000, Nice, 2000. |