Главная // Актуальные документы // ГОСТ Р (Государственный стандарт)СПРАВКА
Источник публикации
М.: ФГБУ "РСТ", 2022
Примечание к документу
Документ
введен в действие с 01.07.2022.
Название документа
"ГОСТ Р 8.1005-2022. Национальный стандарт Российской Федерации. Государственная система обеспечения единства измерений. Масса нефти в составе нефтегазоводяной смеси. Методика измерений косвенным методом динамических измерений и косвенным методом, основанном на гидростатическом принципе, с применением сепарационных измерительных установок"
(утв. и введен в действие Приказом Росстандарта от 20.05.2022 N 349-ст)
"ГОСТ Р 8.1005-2022. Национальный стандарт Российской Федерации. Государственная система обеспечения единства измерений. Масса нефти в составе нефтегазоводяной смеси. Методика измерений косвенным методом динамических измерений и косвенным методом, основанном на гидростатическом принципе, с применением сепарационных измерительных установок"
(утв. и введен в действие Приказом Росстандарта от 20.05.2022 N 349-ст)
Утвержден и введен в действие
по техническому регулированию
и метрологии
от 20 мая 2022 г. N 349-ст
НАЦИОНАЛЬНЫЙ СТАНДАРТ РОССИЙСКОЙ ФЕДЕРАЦИИ
ГОСУДАРСТВЕННАЯ СИСТЕМА ОБЕСПЕЧЕНИЯ ЕДИНСТВА ИЗМЕРЕНИЙ
МАССА НЕФТИ В СОСТАВЕ НЕФТЕГАЗОВОДЯНОЙ СМЕСИ
МЕТОДИКА ИЗМЕРЕНИЙ КОСВЕННЫМ МЕТОДОМ ДИНАМИЧЕСКИХ ИЗМЕРЕНИЙ
И КОСВЕННЫМ МЕТОДОМ, ОСНОВАННОМ НА ГИДРОСТАТИЧЕСКОМ
ПРИНЦИПЕ, С ПРИМЕНЕНИЕМ СЕПАРАЦИОННЫХ
ИЗМЕРИТЕЛЬНЫХ УСТАНОВОК
State system for ensuring the uniformity of measurements.
Mass of oil in the oil-gas-water mixture. Method
of measurements by the indirect method of dynamic
measurements and the indirect method based on the
hydrostatic principle using separation measuring units
ГОСТ Р 8.1005-2022
Дата введения
1 июля 2022 года
1 РАЗРАБОТАН Всероссийским научно-исследовательским институтом расходометрии - филиалом Федерального государственного унитарного предприятия "Всероссийский научно-исследовательский институт метрологии им. Д.И. Менделеева" (ВНИИР - филиал ФГУП "ВНИИМ им. Д.И. Менделеева") и Публичным акционерным обществом "Газпром нефть" (ПАО "Газпром нефть")
2 ВНЕСЕН Управлением метрологии Федерального агентства по техническому регулированию и метрологии
3 УТВЕРЖДЕН И ВВЕДЕН В ДЕЙСТВИЕ
Приказом Федерального агентства по техническому регулированию и метрологии от 20 мая 2022 г. N 349-ст
4 ВВЕДЕН ВПЕРВЫЕ
Правила применения настоящего стандарта установлены в статье 26 Федерального закона от 29 июня 2015 г. N 162-ФЗ "О стандартизации в Российской Федерации". Информация об изменениях к настоящему стандарту публикуется в ежегодном (по состоянию на 1 января текущего года) информационном указателе "Национальные стандарты", а официальный текст изменений и поправок - в ежемесячном информационном указателе "Национальные стандарты". В случае пересмотра (замены) или отмены настоящего стандарта соответствующее уведомление будет опубликовано в ближайшем выпуске ежемесячного информационного указателя "Национальные стандарты". Соответствующая информация, уведомление и тексты размещаются также в информационной системе общего пользования - на официальном сайте Федерального агентства по техническому регулированию и метрологии в сети Интернет (www.rst.gov.ru)
Настоящий стандарт устанавливает методику (метод) измерений массы нефти в составе нефтегазоводяной смеси косвенным методом динамических измерений и косвенным методом, основанным на гидростатическом принципе, с применением сепарационных измерительных установок.
Настоящий стандарт может быть применен при разработке методик измерений массы нефти в составе нефтегазоводяной смеси косвенным методом динамических измерений и косвенным методом, основанным на гидростатическом принципе, с применением сепарационных измерительных установок для индивидуальных условий применения.
В настоящем стандарте использованы нормативные ссылки на следующие стандарты:
ГОСТ 8.636 Государственная система обеспечения единства измерений. Плотность нефти. Требования к методикам измерений ареометром при учетных операциях
ГОСТ 12.0.004 Система стандартов безопасности труда. Организация обучения безопасности труда. Общие положения
ГОСТ 12.1.003 Система стандартов безопасности труда. Шум. Общие требования безопасности
ГОСТ 12.1.005 Система стандартов безопасности труда. Общие санитарно-гигиенические требования к воздуху рабочей зоны
ГОСТ 12.1.007 Система стандартов безопасности труда. Вредные вещества. Классификация и общие требования безопасности
ГОСТ 12.1.010 Система стандартов безопасности труда. Взрывобезопасность. Общие требования
ГОСТ 12.1.019 Система стандартов безопасности труда. Электробезопасность. Общие требования и номенклатура видов защиты
ГОСТ 12.2.007.0 Система стандартов безопасности труда. Изделия электротехнические. Общие требования безопасности
ГОСТ 12.4.137 Обувь специальная с верхом из кожи для защиты от нефти, нефтепродуктов, кислот, щелочей, нетоксичной и взрывоопасной пыли. Технические условия
ГОСТ 12.4.252 Система стандартов безопасности труда. Средства индивидуальной защиты рук. Перчатки. Общие технические требования. Методы испытаний
ГОСТ 12.4.280 Система стандартов безопасности труда. Одежда специальная для защиты от общих производственных загрязнений и механических воздействий. Общие технические требования
ГОСТ 2477 Нефть и нефтепродукты. Метод определения содержания воды
ГОСТ 2517 Нефть и нефтепродукты. Методы отбора проб
ГОСТ 3900 Нефть и нефтепродукты. Методы определения плотности
ГОСТ 25861 Машины вычислительные и системы обработки данных. Требования электрической и механической безопасности и методы испытаний
ГОСТ 31370 (ИСО 10715:1997) Газ природный. Руководство по отбору проб
ГОСТ 31371.7 Газ природный. Определение состава методом газовой хроматографии с оценкой неопределенности. Часть 7. Методика выполнения измерений молярной доли компонентов
ГОСТ Р 8.880 Государственная система обеспечения единства измерений. Нефть сырая. Отбор проб из трубопровода
ГОСТ Р 8.1007 Государственная система обеспечения единства измерений. Объемная и массовая доля воды в нефтегазоводяной смеси. Комбинированный метод измерений
ГОСТ Р 12.3.047 Система стандартов безопасности труда. Пожарная безопасность технологических процессов. Общие требования. Методы контроля
ГОСТ Р 50571.5.54 (МЭК 60364-5-54:2011) Электроустановки низковольтные. Часть 5-54. Выбор и монтаж электрооборудования. Заземляющие устройства, защитные проводники и защитные проводники уравнивания потенциалов
ГОСТ Р 52931 Приборы контроля и регулирования технологических процессов. Общие технические условия
ГОСТ Р 55609 Отбор проб газового конденсата, сжиженного углеводородного газа и широкой фракции легких углеводородов. Общие требования
ГОСТ Р 57975.1 Газ нефтяной попутный. Определение состава методом газовой хроматографии. Часть 1. Определение содержания углеводородов C
1 - C
8+ и неорганических газов с использованием пламенно-ионизационного детектора и детектора по теплопроводности
Примечание - При пользовании настоящим стандартом целесообразно проверить действие ссылочных стандартов в информационной системе общего пользования - на официальном сайте Федерального агентства по техническому регулированию и метрологии в сети Интернет или по ежегодному информационному указателю "Национальные стандарты", который опубликован по состоянию на 1 января текущего года, и по выпускам ежемесячного информационного указателя "Национальные стандарты" за текущий год. Если заменен ссылочный стандарт, на который дана недатированная ссылка, то рекомендуется использовать действующую версию этого стандарта с учетом всех внесенных в данную версию изменений. Если заменен ссылочный стандарт, на который дана датированная ссылка, то рекомендуется использовать версию этого стандарта с указанным выше годом утверждения (принятия). Если после утверждения настоящего стандарта в ссылочный стандарт, на который дана датированная ссылка, внесено изменение, затрагивающее положение, на которое дана ссылка, то это положение рекомендуется применять без учета данного изменения. Если ссылочный стандарт отменен без замены, то положение, в котором дана ссылка на него, рекомендуется применять в части, не затрагивающей эту ссылку.
В настоящем стандарте применены термины по
[1], а также следующие термины с соответствующими определениями:
3.1 время измерений: Время соответствующего количества полных циклов измерений.
3.2
динамический режим (использования средства измерений): Режим использования средства измерений, связанный с изменениями условий (факторов) за время проведения измерительного эксперимента, которые влияют на результат измерения (оценку измеряемой величины), в том числе изменение измеряемой величины за время измерения. |
3.3
динамическое измерение: Измерение, при котором средства измерений используют в динамическом режиме. |
3.4 измерительная установка: Совокупность функционально объединенных средств измерений и вспомогательных устройств, размещенная в одной пространственно обособленной зоне и предназначенная для:
- прямых или косвенных измерений массы нефти;
- косвенных измерений массы нетто нефти;
- косвенных измерений количества свободного попутного нефтяного газа, приведенного к стандартным условиям;
- отображения (индикации) и регистрации результатов измерений.
Примечание - Измерительные установки подразделяют на индивидуальные измерительные установки, обслуживающие отдельную скважину, и групповые измерительные установки, обслуживающие несколько скважин поочередно.
3.5
косвенное измерение: Измерение, при котором искомое значение величины определяют на основании результатов прямых измерений других величин, функционально связанных с искомой величиной. |
3.6 нефтегазоводяная смесь: Смесь, извлеченная из недр, содержащая углеводороды широкого физико-химического состава, попутный нефтяной газ, воду, минеральные соли, механические примеси и другие химические соединения.
3.7
нефть: Углеводородное сырье, не соответствующее по своей степени подготовки требованиям национального стандарта, содержащее пластовую воду, растворенный попутный нефтяной газ, хлористые соли, механические примеси и другие химические соединения. Примечание - В определенных случаях в нефти также присутствует свободный нефтяной газ (например, неидеальная сепарация нефтегазоводяной смеси, выделение части растворенного газа в свободное состояние в результате изменения термодинамических условий). |
3.8 обводненная газонасыщенная нефть (газонасыщенная нефть): Нефть с массовой долей растворенного попутного нефтяного газа более 0,5% или содержанием растворенного газа, приведенным к стандартным условиям (давление - 101325 Па, температура - +20 °C), в единице объема нефти в условиях измерений более 5 м3/м3, а также с объемной долей воды, находящейся в свободном состоянии, более 1,0%.
Примечание - Объемную долю воды, находящуюся в свободном состоянии, определяют путем проведения операций по разделению нефти и воды методом отстоя.
3.9 обводненная разгазированная нефть (разгазированная нефть): Нефть с массовой долей растворенного газа менее 0,25% или содержанием растворенного газа, приведенным к стандартным условиям, в единице объема нефти в условиях измерений менее 5 м3/м3, а также с объемной долей воды, находящейся в свободном состоянии, более 1,0%.
Примечание - Объемную долю воды, находящуюся в свободном состоянии, определяют путем проведения операций по разделению нефти и воды методом отстоя.
3.10 безводная нефть (обезвоженная нефть): Разгазированная нефть с объемной долей воды, находящейся как в свободном, так и во взвешенном состоянии, менее 1,0%.
Примечания
1 Объемную долю воды, находящуюся в свободном состоянии, определяют путем проведения операций по разделению нефти и воды методом отстоя.
2 Объемную долю воды, находящуюся во взвешенном состоянии, определяют путем измерений объемной доли воды дистилляционными методами или методами титрования.
3.11
попутный нефтяной газ: Смесь углеводородных и неуглеводородных газов и водяных паров, находящихся как в свободном, так и в растворенном состоянии в нефтегазоводяной смеси. |
3.12 растворенный попутный нефтяной газ (растворенный газ): Часть попутного нефтяного газа, не выделившаяся в свободное состояние и растворенная в нефти в условиях измерений.
3.13 свободный попутный нефтяной газ (свободный газ): Часть попутного нефтяного газа, выделившаяся из нефтегазоводяной смеси в процессе ее добычи, транспортирования, подготовки и находящаяся в свободном состоянии в условиях измерений.
3.14
стандартные условия: Условия, соответствующие температуре 20 °C и абсолютному давлению 0,101325 МПа. |
3.15 цикл измерений: Время от начала налива сепаратора до окончания налива сепаратора.
Примечание - В случае применения косвенного метода динамических измерений окончание налива фиксируют по закрытию регулятора расхода жидкости.
В настоящем стандарте использованы следующие сокращения:
ЕС - емкость сепарационная;
ИК - измерительная камера;
ИЛ - измерительная линия;
ИУ - измерительная установка;
МИ - методика измерений;
ПДК - предельно допустимая концентрация;
СИ - средства измерений;
СОИ - система сбора и обработки информации.
5 Требования к показателям точности измерений
5.1 Максимальная допускаемая относительная погрешность измерений:
а) массы разгазированной нефти в составе нефтегазоводяной смеси при вязкости нефти в пластовых условиях:
- до 200 мПа·с - +/- 2,5%;
- 200 мПа·с и более - +/- 10,0%;
б) массы обезвоженной нефти при содержании воды в разгазированной нефти (в объемных долях):
- до 70% - +/- 6%;
- от 70% до 95% - +/- 17%;
- свыше 95% - пределы допускаемой относительной погрешности устанавливают в МИ, утвержденных и аттестованных в установленном порядке.
6 Требования безопасности и охраны окружающей среды
6.1 ИУ должна соответствовать требованиям
[2] и
[3].
6.2 Электрооборудование и вторичную аппаратуру заземляют в соответствии с требованиями
ГОСТ Р 50571.5.54.
6.3 Обеспечение электробезопасности обслуживающего персонала должно соответствовать требованиям
ГОСТ 12.1.019.
6.4 ИУ в целях защиты от поражения электрическим током должна соответствовать требованиям, предъявляемым к изделиям 1 класса защиты по
ГОСТ 12.2.007.0.
6.5 Требования пожаровзрывобезопасности должны соответствовать
ГОСТ 12.1.010.
6.6 Требования безопасности к составным частям СОИ ИУ в отношении изоляции должны соответствовать
ГОСТ Р 52931 и
ГОСТ 25861.
6.7 Требования безопасности к монтируемым комплектным устройствам должны соответствовать
ГОСТ 12.2.007.0.
6.8 В целях исключения загрязнения окружающей среды вредными и взрывоопасными веществами ИУ должна соответствовать
ГОСТ 12.1.005 и
ГОСТ 12.1.007.
6.9 Требования к шумоизоляции должны соответствовать
ГОСТ 12.1.003.
6.10 ИУ содержат в чистоте, оборудуют первичными средствами пожаротушения в соответствии с
ГОСТ Р 12.3.047.
6.11 Не допускают выбросов и выделений нефти и газа в окружающую среду. В области охраны окружающей среды руководствуются требованиями
[4] и другими действующими на территории Российской Федерации законодательными актами.
6.12 Оборудование ИУ должно обеспечивать безопасность персонала, не допускать повышения концентрации вредных веществ до уровня ПДК по
ГОСТ 12.1.005 и не допускать образования взрывоопасных смесей.
6.13 Лица, привлекаемые к выполнению измерений должны:
- соблюдать правила промышленной и пожарной безопасности, установленные законодательством Российской Федерации;
- пройти обучение и стажировку по основной специальности, получить допуск к самостоятельной работе и пройти проверку знаний требований охраны труда в соответствии с
ГОСТ 12.0.004;
- периодически контролировать содержание вредных веществ в воздухе рабочей зоны, которое не должно превышать предельно допускаемых концентраций, установленных в
ГОСТ 12.1.005.
6.14 Не допускают разлив нефти во время отбора проб. Разлитую нефть тщательно собирают в отдельную тару, место разлива протирают сухой тряпкой.
6.15 При отборе проб нефти и газа, проведении испытаний и обращении с нефтью в процессе транспортных и производимых операций применяют средства индивидуальной защиты.
7 Требования к квалификации операторов
7.1 К выполнению измерений и обработке их результатов допускают лиц, достигших 18 лет, сдавших экзамен по охране труда и промышленной безопасности, изучивших методику измерений и эксплуатационные документы на используемые СИ и вспомогательные устройства ИУ.
7.2 Оператор, выполняющий измерения, должен знать технологическую схему ИУ, назначение всех СИ и устройств, задвижек и вентилей и уметь быстро и безошибочно выполнять необходимые переключения при подготовке, проведении и завершении измерений.
8 Измерения массы нефти косвенным методом динамических измерений
8.1.1 Массу нефти в составе нефтегазоводяной смеси определяют с помощью ИУ, которая в общем случае включает в себя:
- сепаратор;
- СИ перепада давления, гидростатического давления, уровня и др., используемые для управления технологическим режимом работы ИУ;
- распределительный модуль;
- ИЛ жидкости;
- ИЛ газа;
- СОИ.
В состав ИЛ жидкости в общем случае входят:
- СИ объемного расхода жидкости;
- регулятор расхода жидкости;
- СИ давления;
- СИ температуры;
- СИ влагосодержания;
- устройство для отбора проб жидкости.
В состав ИЛ газа в общем случае входят:
- СИ объемного или массового расхода газа;
- СИ давления;
- СИ температуры;
- устройство для отбора проб газа.
Примечание - Измерения объема свободного нефтяного газа после разделения нефтегазоводяной смеси в данном документе не регламентируются.
8.1.2 Принцип действия ИУ основан на измерениях объемного расхода и объема нефти, а также объема свободного газа после разделения в сепараторе нефтегазоводяной смеси, поступающей из скважины.
8.1.3 Подключение скважины на измерение осуществляют с помощью распределительного модуля ИУ. В качестве распределительного модуля может использоваться переключатель скважин многоходовый, приводимый в действие гидравлическим (пневматическим, ручным) приводом.
8.1.4 В сепараторе происходит разделение нефтегазоводяной смеси на свободный попутный нефтяной газ и нефть.
Выделившийся свободный газ, пройдя через объемный расходомер газа, поступает в выходной трубопровод.
Нефть сливается из сепаратора периодически при достижении уровня жидкости заданных значений. При максимальном уровне жидкости газовая линия перекрывается, перепад давления между сепаратором и выходным трубопроводом повышается до заданного максимального значения, после чего открывается клапан регулятора расхода, и нефть под давлением поступает в общий трубопровод через объемный счетчик жидкости. При падении перепада давления до минимального заданного значения клапан регулятора расхода закрывается. Для управления регулятором расхода жидкости также могут быть использованы СИ уровня, СИ гидростатического давления в зависимости от конструкции ИУ.
Газовая линия может перекрываться заслонкой, механически связанной с поплавковым устройством, электроуправляемым краном, либо пневмоуправляемым клапаном, или любой другой запорной арматурой. Рекомендуется использовать запорную арматуру с контролем протечек.
Измерения количества извлекаемой из недр нефти выполняют по отдельным скважинам по МИ, утвержденным и аттестованным в установленном
порядке [5].
8.2.1 Массу разгазированной нефти в составе нефтегазоводяной смеси измеряют косвенным методом динамических измерений по результатам измерений объема и плотности разгазированной нефти.
8.2.2 Объем разгазированной нефти определяют по результатам измерений объема газонасыщенной нефти и коэффициентов, учитывающих наличие свободного и растворенного газа.
8.2.3 Объем газонасыщенной нефти измеряют при помощи СИ объемного расхода жидкости.
8.2.4 Плотность разгазированной нефти измеряют по методике измерений плотности, аттестованной в установленном порядке, или вычисляют и приводят к условиям измерений объема в соответствии с
приложением А.
8.2.5 Массу обезвоженной нефти вычисляют по результатам измерений объема и плотности обезвоженной нефти.
8.2.6 Объем обезвоженной нефти вычисляют по результатам измерений объема газонасыщенной нефти; коэффициентов, учитывающих наличие свободного и растворенного газа; объемной доли воды при условиях измерений объема.
8.2.7 Объемную долю воды при условиях измерений объема измеряют при помощи поточных СИ влагосодержания или вычисляют в соответствии с
приложением А по результатам измерений в лаборатории.
8.2.8 Плотность обезвоженной нефти измеряют в лаборатории в соответствии с
ГОСТ 3900,
[6] или другой методикой измерений плотности нефти, аттестованной в установленном порядке.
8.3 Требования к средствам измерений и вспомогательным устройствам
8.3.1 Для измерений количества нефти применяют СИ, имеющие свидетельство (сертификат) об утверждении типа. Сведения о данных СИ внесены в Федеральный информационный фонд по обеспечению единства измерений в установленном
порядке [8].
8.3.2 Применяемые СИ должны быть поверены в установленном
порядке [9].
8.3.3 Состав средств измерений, обработки, вспомогательных и дополнительных устройств определяется применяемой ИУ, требуемым уровнем точности измерений и необходимой степенью автоматизации.
8.3.4 При выполнении измерений массы нефти используют следующие СИ
8.3.4.1 СИ объемного расхода жидкости с пределами допускаемой относительной погрешности измерений объемного расхода жидкости +/- 1,5%.
8.3.4.2 СИ абсолютного и/или избыточного давления с пределами допускаемой приведенной погрешности измерений +/- 0,5%.
8.3.4.3 СИ температуры с пределами допускаемой абсолютной погрешности +/- 0,5 °C.
8.3.4.4 СИ перепада давления с пределами допускаемой приведенной погрешности +/- 0,5%.
8.3.4.5 СИ влагосодержания с пределами допускаемой абсолютной погрешности измерений +/- 1,5%.
8.3.4.6 СИ гидростатического давления с пределами допускаемой приведенной погрешности измерений +/- 0,5%.
8.3.4.7 Диапазоны измерений СИ должны соответствовать диапазонам изменений контролируемых параметров.
8.3.4.8 Метрологические характеристики СИ уточняют на этапе метрологической экспертизы проектной документации для выполнения требований к показателям точности, установленных в
разделе 5.
8.3.5 При выполнении измерений массы нефти применяют следующее вспомогательное оборудование
8.3.5.1 Устройство для отбора проб по
ГОСТ 2517,
ГОСТ Р 8.880 или
ГОСТ Р 55609. Применяют для отбора представительных проб газонасыщенной нефти. При давлении насыщенных паров газонасыщенной нефти более 101,325 кПа пробу отбирают под давлением.
8.3.5.2 Регулятор расхода жидкости применяют для обеспечения работы СИ объемного расхода жидкости в номинальном режиме.
8.3.6 При выполнении измерений применяют СОИ.
8.3.6.1 СОИ осуществляет сбор и обработку измерительной информации, расчет времени измерений, объемного и массового расхода нефти, массы и объема нефти. Подтверждение соответствия программного обеспечения СОИ обеспечивается испытаниями в целях утверждения типа средств измерений, входящих в состав СОИ, или добровольной сертификацией.
8.3.6.2 СОИ ИУ должна обеспечивать регистрацию следующих результатов измерений по каждой скважине за период не менее одного месяца:
- объема газонасыщенной, разгазированной и обезвоженной нефти по каждой скважине;
- массы разгазированной и обезвоженной нефти по каждой скважине;
- температуры и давления при условиях измерений объема;
- плотности разгазированной и обезвоженной нефти при стандартных условиях и условиях, соответствующих температуре 15 °C и давлению 0,101325 МПа;
- коэффициентов, учитывающих наличие свободного и растворенного газа;
- плотности воды при стандартных условиях и условиях, соответствующих температуре 15 °C и давлению 0,101325 МПа;
- объемной доли воды в условиях измерений объема.
8.3.6.3 СОИ ИУ должна обеспечивать регистрацию отработанного скважинами времени.
8.3.6.4 Результаты измерений хранят в энергонезависимой памяти.
8.3.7 Для уменьшения дополнительной погрешности измерений СИ объемного расхода, давления, гидростатического давления, перепада давления, температуры рекомендуется размещать в термочехлах, термошкафах с поддержанием температуры окружающей среды в пределах от +5 °C до +35 °C. При размещении СИ в технологическом блоке должны быть установлены электрические обогреватели и датчик температуры с аналоговым выходным сигналом для контроля и регулирования температуры.
8.4 Требования к условиям измерений
При выполнении измерений соблюдают следующие условия:
8.4.1 Режим работы скважины должен оставаться постоянным в пределах времени измерений.
8.4.2 Расход измеряемой среды должен находиться в пределах рабочего диапазона расходов применяемых СИ объемного расхода жидкости в составе ИУ.
8.4.3 Параметры окружающей и измеряемой среды должны соответствовать эксплуатационным документам на ИУ.
8.4.4 Напряженность постоянных и переменных электромагнитных полей, а также уровень индустриальных радиопомех не должны превышать пределов, установленных изготовителем применяемых СИ, средств обработки результатов измерений и вспомогательных устройств. Если в эксплуатационных документах изготовителя данные пределы не указаны, то напряженность электромагнитных полей не должна превышать предельно допускаемых уровней, установленных к условиям труда обслуживающего персонала. Периодичность контроля напряженности постоянных и переменных электромагнитных полей, уровня индустриальных радиопомех устанавливает эксплуатирующая организация.
8.4.5 Характеристики электроснабжения СИ, СОИ и вспомогательных устройств должны соответствовать требованиям их эксплуатационных документов.
8.4.6 СИ следует размещать вдали от источников вибрации и/или применять меры по ее минимизации. При наличии соответствующих требований изготовителя СИ уровни вибрации в местах размещения СИ не должны превышать установленных изготовителем пределов. Периодичность контроля уровня вибраций устанавливает эксплуатирующая организация самостоятельно.
8.4.7 Измерения проводят при температуре окружающего воздуха в технологическом блоке ИУ не ниже +5 °C.
8.4.8 Загазованность в технологическом блоке установки не должна превышать предельно допускаемых концентраций, установленных
ГОСТ 12.1.005.
8.5 Подготовка к выполнению измерений
8.5.1 Перед началом измерений проверяют:
- исправность технологического оборудования ИУ;
- исправность применяемых СИ;
- исправность вспомогательного оборудования;
- отсутствие утечек нефти и газа;
- отсутствие вибраций и посторонних шумов;
- целостность пломб и клейм, установленных на СИ;
- наличие действующих свидетельств о поверке на применяемые СИ и ИУ в целом;
- соответствие используемых констант значениям, указанным в свидетельствах о поверке СИ;
- введенные значения условно-постоянных величин (объемной доли воды, плотности обезвоженной нефти и др.) на соответствие измеренным значениям из соответствующих протоколов измерений.
8.5.2 Проводят подготовку к работе технологического оборудования ИУ согласно руководству по эксплуатации ИУ.
8.5.3 Подключают требуемую скважину при помощи распределительного модуля на измерение, производят регулирование и настройку ИУ на предполагаемый режим работы, в соответствии с руководством по эксплуатации ИУ.
Подключенную на измерение дебита скважину выдерживают в течение времени коррекции (времени, необходимого для устранения влияния на точность измерений переходных процессов, наличия в сепараторе скважинной жидкости из другой скважины и других факторов, возникающих при переключении скважин на измерение) при работе через сепаратор без измерений. Время коррекции принимают не менее 30 минут.
8.5.4 Для обеспечения достоверных измерений при смене подключенной скважины осуществляют несколько циклов налива-слива сепаратора для полной замены продукции скважины в сепараторе ИУ. Количество циклов налива-слива зависит от ожидаемого дебита скважины. При ожидаемом дебите скважины менее 20 м3/сут проводят не менее трех циклов налива-слива (полных циклов измерений). При ожидаемом дебите скважины 20 м3/сут и более проводят не менее пяти циклов налива-слива (полных циклов измерений).
8.6 Порядок выполнения измерений
8.6.1 Измерения массы нефти, массы нетто нефти выполняют в автоматизированном режиме по каждой скважине поочередно.
8.6.2 После подготовки к выполнению измерений проводят не менее трех полных циклов измерений.
8.6.3 Отбор проб разгазированной или газонасыщенной нефти выполняют в соответствии с
10.1 и
10.2.
8.6.4 Отбор проб растворенного газа выполняют в соответствии с
10.3.
8.6.5 В целях определения массы обезвоженной нефти, добытой из скважины в отчетный период, измерение массы обезвоженной нефти и определение содержания воды в разгазированной нефти с учетом времени работы скважины производится не реже 1 раза в месяц, если иное не установлено законодательством Российской Федерации о налогах и сборах.
8.7 Обработка результатов измерений
8.7.1 Массу разгазированной нефти в составе нефтегазоводяной смеси

, т, вычисляют по формуле

, (1)
где

- объем разгазированной нефти, м
3;

- плотность разгазированной нефти, приведенная к условиям измерений объема, кг/м
3, рассчитывают в соответствии с
приложением А.
8.7.1.1 Объем разгазированной нефти

, м
3, вычисляют по формуле

, (2)
где

- объем газонасыщенной нефти, м
3, измеренный при помощи СИ объемного расхода жидкости за время измерений;
KСГ - коэффициент, учитывающий наличие свободного газа в газонасыщенной нефти, вычисляют в соответствии с
приложением Б;
KРГ - коэффициент, учитывающий наличие растворенного газа в газонасыщенной нефти, вычисляют в соответствии с
приложением Б.
8.7.1.2 Температуру разгазированной нефти в условиях измерений объема tV, °C, принимают равной температуре газонасыщенной нефти и вычисляют по формуле

, (3)
где

- температура газонасыщенной нефти в начале измерений объема, °C, измеряемая в момент открытия регулятора расхода жидкости;

- температура газонасыщенной нефти в конце измерений объема, °C, измеряемая в момент закрытия регулятора расхода жидкости.
8.7.1.3 Избыточное давление разгазированной нефти в условиях измерений объема PV, МПа, принимают равным давлению газонасыщенной нефти и вычисляют по формуле

, (4)
где

- избыточное давление газонасыщенной нефти в начале измерений объема, МПа, измеряемое в момент открытия регулятора расхода жидкости;

- избыточное давление газонасыщенной нефти в конце измерений объема, МПа, измеряемое в момент закрытия регулятора расхода жидкости.
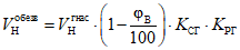
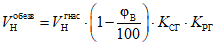
8.7.2 Массу обезвоженной нефти

, т, вычисляют по формуле

, (5)
где

- объем обезвоженной нефти, м
3;

- плотность обезвоженной нефти, приведенная к условиям измерений объема, кг/м
3, рассчитывают в соответствии с
приложением А.
8.7.2.1 Объем обезвоженной нефти, прошедший за время измерений,

, м
3, вычисляют по формуле

, (6)
где

- объемная доля воды при условиях измерений объема, %.
8.7.2.2 Объемную долю воды при условиях измерений объема

, %, измеряют при помощи поточных СИ влагосодержания или определяют по результатам измерений в лаборатории комбинированным методом определения в соответствии с
ГОСТ Р 8.1007 и вводят в СОИ в виде условно-постоянных величин.
Примечания
1 При определении объемной доли воды без учета хлористых солей (методы дистилляции, титрования) следует дополнительно учитывать увеличение объемной доли воды из-за наличия хлористых солей.
2 Измеренную объемную долю воды приводят к условиям измерений объема в соответствии с
приложением А.
3 На результат измерений поточных СИ влагосодержания может влиять содержание растворенного газа, изменение содержания хлористых солей. Рекомендуется периодически проводить контроль градуировочной характеристики СИ влагосодержания. Периодичность контроля устанавливает эксплуатирующая организация.
9 Измерения массы нефти косвенным методом статических измерений
9.1.1 Массу нефти в составе нефтегазоводяной смеси определяют с помощью ИУ, которая в общем случае включает в себя:
- сепаратор с ИК, оснащенной СИ температуры и СИ гидростатического давления (или СИ перепада давления);
- трубопровод жидкости;
- ИЛ газа;
- СОИ.
В зависимости от конструкции ИУ ИК может быть оснащена следующими наборами СИ:
- СИ температуры, СИ гидростатического давления (в верхней и нижней отметке калиброванного объема ИК);
- СИ температуры, СИ перепада давления (точки отбора давления в верхней и нижней отметке калиброванного объема ИК).
В состав трубопровода жидкости в общем случае входят:
- регулятор расхода жидкости или другая запорно-регулирующая арматура;
- устройство для отбора проб жидкости.
В состав ИЛ газа в общем случае входят:
- СИ объемного или массового расхода газа;
- СИ давления;
- СИ температуры;
- устройство для отбора проб газа.
Примечание - Измерения объема свободного нефтяного газа после разделения нефтегазоводяной смеси в данном документе не регламентируются.
9.1.2 При необходимости передачи информации на верхний уровень должны быть дополнительно предусмотрены средства и каналы передачи данных.
9.1.3 Подключение скважины на измерение осуществляют с помощью распределительного модуля ИУ. В качестве распределительного модуля может использоваться переключатель скважин многоходовый, приводимый в действие гидравлическим (пневматическим, ручным) приводом.
9.1.4 ИУ реализует косвенный метод измерений массы нефти, основанный на гидростатическом принципе. Измерения производят путем измерений времени заполнения калиброванного объема ИК и результатов измерений СИ гидростатического давления (СИ перепада давления) и температуры.
Нефтегазоводяная смесь из скважины поступает в сепаратор, где происходит разделение на свободный газ и газонасыщенную нефть. Выделившийся свободный газ, пройдя через решетку газоотделителя, направляется в газовую магистраль. Газонасыщенная нефть из ЕС поступает в ИК.
В момент достижения заданного значения гидростатического давления с первого СИ гидростатического давления начинают отсчет времени измерений. В момент достижения заданного значения гидростатического давления со второго СИ гидростатического давления заканчивают отсчет времени измерений.
Заполнение ИК до уровня h происходит за время Tизм, определяемое по формуле
Tизм = T1 - T2, (7)
где T1, T2 - время достижения заданного значения гидростатического давления с первого P1 и второго P2 СИ гидростатического давления, соответственно, ч. При использовании СИ перепада давления моменты времени определяют по резкому изменению зависимости значения перепада давления от времени.
Нефть сливается из сепаратора периодически при достижении уровнем жидкости заданных значений. При максимальном уровне жидкости газовая линия перекрывается, перепад давления между сепаратором и выходным трубопроводом повышается до заданного максимального значения, после чего открывается клапан регулятора расхода жидкости (или другая запорно-регулирующая арматура в зависимости от конструкции ИУ), и нефть под давлением поступает в общий трубопровод. При падении уровня в ИК до минимального заданного значения клапан регулятора расхода жидкости (или другая запорная арматура в зависимости от конструкции ИУ) закрывается. Для управления регулятором расхода жидкости также могут быть использованы СИ уровня, СИ гидростатического давления в зависимости от конструкции ИУ.
Газовая линия может перекрываться заслонкой, механически связанной с поплавковым устройством, электроуправляемым краном, либо пневмоуправляемым клапаном, или любой другой запорной арматурой. Рекомендуется использовать запорную арматуру с контролем протечек.
Измерения количества извлекаемой из недр нефти выполняют по отдельным скважинам по МИ, утвержденным и аттестованным в установленном
порядке [5].
9.2.1 Массу разгазированной нефти измеряют косвенным методом измерений, основанным на гидростатическом принципе, по результатам измерений объема и плотности разгазированной нефти.
9.2.2 Объем разгазированной нефти определяют по результатам измерений объема газонасыщенной нефти и коэффициентов, учитывающих наличие свободного и растворенного газа.
9.2.3 Объем газонасыщенной нефти измеряют при помощи ИК и СИ гидростатического давления.
9.2.4 Плотность разгазированной нефти измеряют по методике измерений плотности, аттестованной в установленном порядке, или вычисляют и приводят к условиям измерений объема в соответствии с
приложением А.
9.2.5 Массу обезвоженной нефти вычисляют по результатам измерений объема и плотности обезвоженной нефти.
9.2.6 Объем обезвоженной нефти вычисляют по результатам измерений объема газонасыщенной нефти; коэффициентов, учитывающих наличие свободного и растворенного газа; объемной доли воды при условиях измерений объема.
9.2.7 Объемную долю воды при условиях измерений объема измеряют при помощи поточных СИ влагосодержания или в лаборатории. При измерениях объемной доли воды в лаборатории объемную долю воды приводят к условиям измерений объема в соответствии с
приложением А.
9.2.8 Плотность обезвоженной нефти измеряют в лаборатории в соответствии с
ГОСТ 3900,
[6] или другой методикой измерений плотности нефти, аттестованной в установленном порядке.
9.3 Требования к средствам измерений и вспомогательным устройствам
9.3.1 Для измерений количества нефти применяют СИ, имеющие свидетельство (сертификат) об утверждении типа. Сведения о данных СИ внесены в Федеральный информационный фонд по обеспечению единства измерений в установленном
порядке [8].
9.3.2 Применяемые СИ должны быть поверены в установленном
порядке [9].
9.3.3 Состав средств измерений, обработки, вспомогательных и дополнительных устройств определяется применяемой ИУ, требуемым уровнем точности измерений и необходимой степенью автоматизации.
9.3.4 При выполнении измерений используют следующие СИ
9.3.4.1 Измерительная камера с калиброванным объемом с погрешностью определения объема не более +/- 0,5%.
9.3.4.2 СИ абсолютного и/или избыточного давления с пределами допускаемой основной приведенной погрешности измерений +/- 0,5%.
9.3.4.3 СИ температуры с пределами допускаемой абсолютной погрешности +/- 0,5 °C.
9.3.4.4 СИ перепада давления с пределами допускаемой приведенной погрешности не более +/- 0,5%.
9.3.4.5 СИ гидростатического давления с пределами допускаемой приведенной погрешности не более +/- 0,5%.
9.3.4.6 Диапазоны измерений СИ должны соответствовать диапазонам изменений контролируемых параметров.
9.3.4.7 Метрологические характеристики СИ уточняют на этапе метрологической экспертизы проектной документации для выполнения требований к показателям точности, установленных в
разделе 5.
9.3.5 При выполнении измерений применяют устройство для отбора проб по
ГОСТ 2517. Применяют для отбора представительных проб газонасыщенной нефти. При давлении насыщенных паров газонасыщенной нефти более 101,325 кПа применяют герметичные пробоотборники.
9.3.6 При выполнении измерений применяют СОИ.
9.3.6.1 СОИ осуществляет сбор и обработку измерительной информации, расчет времени измерений, объемного и массового расхода нефти, массы и объема нефти. Подтверждение соответствия программного обеспечения СОИ обеспечивается испытаниями в целях утверждения типа средств измерений, входящих в состав СОИ, или добровольной сертификацией.
9.3.6.2 СОИ ИУ должна обеспечивать регистрацию следующих результатов измерений по каждой скважине за период не менее одного месяца:
- объема газонасыщенной, разгазированной и обезвоженной нефти по каждой скважине;
- массы разгазированной и обезвоженной нефти по каждой скважине;
- температуры и давления при условиях измерений объема;
- плотности разгазированной и обезвоженной нефти при стандартных условиях и условиях, соответствующих температуре 15 °C и давлению 0,101325 МПа;
- коэффициентов, учитывающих наличие свободного и растворенного газа;
- плотности воды при стандартных условиях и условиях, соответствующих температуре 15 °C и давлению 0,101325 МПа;
- объемной доли воды в условиях измерений объема.
9.3.6.3 СОИ ИУ должна обеспечивать регистрацию отработанного скважинами времени.
9.3.6.4 Результаты измерений хранят в энергонезависимой памяти.
9.3.7 Для уменьшения дополнительной погрешности измерений СИ объемного расхода, давления, гидростатического давления, перепада давления, температуры рекомендуется размещать в термочехлах, термошкафах с поддержанием температуры окружающей среды в пределах от +5 °C до +35 °C. При размещении СИ в технологическом блоке должны быть установлены электрические обогреватели и датчик температуры с аналоговым выходным сигналом для контроля и регулирования температуры.
9.4 Требования к условиям измерений
При выполнении измерений соблюдают следующие условия:
9.4.1 Режим работы скважины должен оставаться постоянным в пределах времени измерений.
9.4.2 Параметры окружающей среды и измеряемой среды должны соответствовать эксплуатационным документам на ИУ.
9.4.3 Напряженность постоянных и переменных электромагнитных полей, а также уровень индустриальных радиопомех не должны превышать пределов, установленных изготовителем применяемых СИ, средств обработки результатов измерений и вспомогательных устройств. Если в эксплуатационных документах изготовителя данные пределы не указаны, то напряженность электромагнитных полей не должна превышать предельно допускаемых уровней, установленных к условиям труда обслуживающего персонала.
9.4.4 Характеристики электроснабжения СИ, СОИ и вспомогательных устройств должны соответствовать требованиям их эксплуатационных документов.
9.4.5 СИ следует размещать вдали от источников вибрации и/или применять меры по ее минимизации. При наличии соответствующих требований изготовителя СИ уровни вибрации в местах размещения СИ не должны превышать установленных изготовителем пределов.
9.4.6 Измерения проводят при температуре окружающего воздуха в технологическом блоке ИУ не ниже 5 °C.
9.4.7 Загазованность в технологическом блоке установки не должна превышать предельно допускаемых концентраций, установленных
ГОСТ 12.1.005.
9.5 Подготовка к выполнению измерений
9.5.1 Перед началом измерений проверяют:
- исправность технологического оборудования ИУ;
- исправность применяемых СИ;
- исправность вспомогательного оборудования;
- отсутствие утечек нефти и газа, герметичность фланцевых соединений;
- отсутствие вибраций и посторонних шумов;
- целостность пломб и клейм, установленных на СИ;
- наличие действующих свидетельств о поверке на применяемые СИ и ИУ в целом;
- соответствие используемых констант значениям, указанным в свидетельствах о поверке СИ;
- введенные значения условно-постоянных величин (объемной доли воды, плотности обезвоженной нефти и др.) на соответствие измеренным значениям из соответствующих протоколов измерений;
- установленные значения пределов контролируемых параметров;
- целостность заземляющих проводников электрооборудования и вторичной аппаратуры;
- наличие кабельных бирок на СИ и запорной-регулирующей арматуре.
9.5.2 Проводят подготовку к работе технологического оборудования ИУ согласно руководству по эксплуатации ИУ.
9.5.3 Подключают требуемую скважину при помощи распределительного модуля на измерение, производят регулирование и настройку ИУ на предполагаемый режим работы, в соответствии с руководством по эксплуатации ИУ.
Подключенную на измерение дебита скважину выдерживают в течение времени коррекции (времени, необходимого для устранения влияния на точность измерений переходных процессов, наличия в сепараторе скважинной жидкости из другой скважины и других факторов, возникающих при переключении скважин на измерение) при работе через сепаратор без измерений. Время коррекции принимают не менее 30 минут.
9.5.4 Для обеспечения достоверных измерений при смене подключенной скважины осуществляют несколько циклов налива-слива сепаратора без измерений для полной замены продукции скважины в сепараторе ИУ. Количество циклов налива-слива зависит от ожидаемого дебита скважины. При ожидаемом дебите скважины менее 20 м3/сут проводят не менее трех циклов налива-слива (полных циклов измерений). При ожидаемом дебите скважины 20 м3/сут и более проводят не менее пяти циклов налива-слива (полных циклов измерений).
9.6 Порядок выполнения измерений
9.6.1 Измерения массы нефти, массы нетто нефти выполняют в автоматизированном режиме по каждой скважине поочередно.
9.6.2 После подготовки к выполнению измерений проводят не менее трех полных циклов измерений.
9.6.3 Отбор проб разгазированной или газонасыщенной нефти выполняют в соответствии с
10.1 и
10.2, соответственно.
9.6.4 Отбор проб растворенного газа выполняют в соответствии с
10.3.
9.6.5 В целях определения массы обезвоженной нефти, добытой из скважины в отчетный период, измерение массы обезвоженной нефти и определение содержания воды в разгазированной нефти с учетом времени работы скважины производится не реже 1 раза в месяц, если иное не установлено законодательством Российской Федерации о налогах и сборах.
9.7 Обработка результатов измерений
9.7.1 Массу разгазированной нефти в составе нефтегазоводяной смеси

, т, вычисляют по формуле

, (8)
где

- объем разгазированной нефти, м
3;

- плотность разгазированной нефти, приведенная к условиям измерений объема, кг/м
3, рассчитывают в соответствии с
приложением А.
9.7.1.1 Объем разгазированной нефти

, м
3, вычисляют по формуле

, (9)
где

- объем газонасыщенной нефти, м
3;
KСГ - коэффициент, учитывающий наличие свободного газа в газонасыщенной нефти, вычисляют в соответствии с
приложением Б;
KРГ - коэффициент, учитывающий наличие растворенного газа в газонасыщенной нефти, вычисляют в соответствии с
приложением Б.
9.7.1.2 Объем газонасыщенной нефти

, м
3, вычисляют по формуле

, (10)
где n - количество полных циклов измерений;
Vк - номинальный объем измерительной камеры, м3;

- температурный коэффициент линейного расширения материала стенок ИК, °C
-1;
tV - средняя температура нефти при измерениях объема, °C;
tклб - температура стенок ИК при калибровке, °C.
9.7.1.3 Температуру нефти при измерениях объема tV, °C, вычисляют по формуле

, (11)
где nопр - число опросов СИ температуры за i-й цикл измерений;
tVij - температура газонасыщенной нефти в i-й цикл измерений и j-й момент опроса СИ температуры во время налива ИК, °C.
9.7.1.4 Давление нефти при измерениях объема pV, МПа, вычисляют по формуле

, (12)
где nопр - число опросов СИ давления за i-й цикл измерений;
pvij - давление газонасыщенной нефти в i-й цикл измерений и j-й момент опроса СИ давления во время налива ИК, °C.
9.7.2 Массу обезвоженной нефти

, т, вычисляют по формуле

, (13)
где

- объем обезвоженной нефти, м
3;

- плотность обезвоженной нефти, приведенная к условиям измерений объема, кг/м
3, рассчитывают в соответствии с
приложением А.
9.7.2.1 Объем обезвоженной нефти, прошедший за время измерений,

, м
3, вычисляют по формуле

, (14)
где

- объемная доля воды при условиях измерений объема, %.
9.7.2.2 Объемную долю воды при условиях измерений объема

, %, измеряют при помощи поточных СИ влагосодержания или определяют по результатам измерений в лаборатории комбинированным методом определения в соответствии с
ГОСТ Р 8.1007 и вводят в СОИ в виде условно-постоянных величин.
Примечания
1 При определении объемной доли воды без учета хлористых солей (методы дистилляции, титрования) следует дополнительно учитывать увеличение объемной доли воды из-за наличия хлористых солей.
2 Измеренную объемную долю воды приводят к условиям измерений объема в соответствии с
приложением А.
3 На результат измерений поточных СИ влагосодержания может влиять содержание растворенного газа, изменение содержания хлористых солей. Рекомендуется периодически проводить контроль градуировочной характеристики СИ влагосодержания. Периодичность контроля устанавливает эксплуатирующая организация.
10 Требования к отбору проб
10.1 Отбор проб разгазированной нефти
Объединенную пробу разгазированной нефти отбирают с целью определения объемной или массовой доли отделенной воды, плотности воды, плотности обезвоженной нефти.
10.1.1 Объединенную пробу разгазированной нефти отбирают из ИЛ жидкости или трубопровода жидкости автоматически в соответствии с
ГОСТ 2517,
ГОСТ Р 8.880 во время слива нефти из сепаратора или ИК.
10.1.2 При ручном отборе проб отбирают не менее пяти точечных проб, равно распределенных по времени во время слива сепаратора. Объединенную пробу составляют смешением одинаковых по объему точечных проб.
10.1.3 Перед извлечением пробы на анализ тщательно перемешивают пробу разгазированной нефти.
10.2 Отбор проб газонасыщенной нефти
Объединенную пробу газонасыщенной нефти отбирают с целью определения объемной или массовой доли отделенной воды, плотности воды, плотности обезвоженной нефти, массовых долей свободного и растворенного газа.
10.2.1 Объединенную пробу газонасыщенной нефти отбирают из ИЛ жидкости или трубопровода жидкости автоматически в соответствии с
ГОСТ 2517,
ГОСТ Р 8.880 во время слива нефти из сепаратора или ИК в герметичный пробоотборник с выравненным давлением в соответствии с
ГОСТ 2517 или пробоотборник по
ГОСТ Р 8.880.
10.2.2 При ручном отборе проб газонасыщенной нефти выполняют требования и рекомендации
ГОСТ Р 55609.
10.2.3 При ручном отборе проб газонасыщенной нефти применяют баллон постоянного давления поршневого типа по
ГОСТ Р 55609 (далее - баллон). Схематичное изображение баллона постоянного давления поршневого типа и его подключения к трубопроводу приведено в
приложении В.
10.2.4 При ручном отборе проб газонасыщенной нефти выполняют следующие действия.
10.2.4.1 Продувают пробоотборную линию отбираемым продуктом для слива отстоявшейся воды и промывки линии до появления ровной струи газонасыщенной нефти.
10.2.4.3 Заполняют камеру с инертным газом баллона до давления на 0,5 МПа выше давления в ИЛ.
10.2.4.4 Во время слива газонасыщенной нефти из сепаратора отбирают в баллон постоянного давления поршневого типа не менее пяти точечных проб газонасыщенной нефти, равно распределенных по времени и одинакового объема.
10.2.4.5 Для отбора точечной пробы открывают запорную арматуру на пробоотборном устройстве, открывают впускной вентиль баллона, плавно опускают давление в камере с инертным газом. Когда давление инертного газа станет сравнимым с давлением в ИЛ, проба начнет поступать в баллон и выталкивать поршень. Заполнение баллона контролируют по указателю положения поршня. За один отбор точечной пробы отбирают не более 15% объема пробоотборника. Когда отобран необходимый объем точечной пробы (не более 15%), запорную арматуру на пробоотборном устройстве закрывают и ожидают следующего отбора точечной пробы. В необходимый момент операции повторяют. Не допускают заполнение баллона объединенной пробой более чем на 80% его вместимости.
10.2.4.6 После отбора объединенной пробы закрывают входной вентиль баллона, запорную арматуру на пробоотборном устройстве, отсоединяют баллон.
10.2.5 Перед извлечением пробы на анализ тщательно перемешивают пробу газонасыщенной нефти с помощью лопастного перемешивающего устройства.
10.3 Отбор проб растворенного газа
Пробу растворенного газа отбирают в целях определения компонентного состава растворенного газа для оценки коэффициента, учитывающего наличие растворенного газа, в случае применения методов расчета, основанных на вычислении относительной плотности или кажущейся плотности газа.
10.3.1 Пробу газа для определения компонентного состава растворенного газа отбирают из герметичного пробоотборника с пробой газонасыщенной нефти, отобранной в соответствии с
10.2.
10.3.2 Перед отбором пробы газа следует перевести растворенный газ из газонасыщенной нефти в свободное состояние путем увеличения объема пробоотборника при постоянной температуре и снижением давления пробы до атмосферного.
10.3.3 Увеличение объема пробоотборника осуществляют путем плавного уменьшения абсолютного давления инертного газа в камере с инертным газом баллона с пробой газонасыщенной нефти до 0,101325 МПа. При этом попутный газ начинает переходить из растворенного в свободное состояние. В верхней части баллона с пробой газонасыщенной нефти образуется газовая подушка.
10.3.4 Если после снижения абсолютного давления инертного газа до 0,101325 МПа избыточное давление газонасыщенной нефти в камере с пробой газонасыщенной нефти остается выше 0,05 МПа, то необходимо подключение дополнительного пустого баллона или пробоотборника с подвижным поршнем по
ГОСТ 31370 (далее - пробоотборник).
10.3.4.1 При подключении дополнительного пустого баллона или пробоотборника заполняют камеры с инертным газом до давления на 0,5 МПа выше давления в баллоне с пробой газонасыщенной нефти.
10.3.4.2 Подключают выходной вентиль баллона с пробой газонасыщенной нефти к входному вентилю пустого баллона или пробоотборника. При использовании дополнительной пробоотборной линии для соединения баллонов ее длина и внутренний объем должны быть минимальны.
10.3.4.3 Открывают выходной вентиль на баллоне с пробой и входной вентиль пустого баллона или пробоотборника. Путем уменьшения давления инертного газа в подключенном баллоне или пробоотборнике увеличивают суммарный объем пробы. При этом попутный газ начинает переходить из растворенного в свободное состояние. Давление в камере инертного газа подключенного баллона или пробоотборника понижают до 0,101325 МПа.
10.3.4.4 Перекрывают выходной вентиль баллона с пробой газонасыщенной нефти и входной вентиль подключенного баллона или пробоотборника.
10.3.5 В верхней части баллона с пробой разгазированной нефти собирается газ в свободном состоянии, который перемещают в пробоотборник газа или непосредственно на анализ путем перемещения поршня.
11 Расчет погрешности измерений
11.1 Расчет погрешности измерений массы разгазированной нефти
11.1.1 Пределы относительной погрешности измерений массы разгазированной нефти

, %, вычисляют по формуле

, (15)
где

- относительная погрешность измерений объема разгазированной нефти, %;

- относительная погрешность измерений плотности разгазированной нефти, %;

- относительная погрешность устройства обработки информации или измерительно-вычислительного комплекса, принимают в соответствии со свидетельством (сертификатом) об утверждении типа, или свидетельством о поверке, %.
11.1.2 Относительную погрешность измерений объема разгазированной нефти

, %, вычисляют по формуле

, (16)
где

- относительная погрешность измерений объема газонасыщенной нефти, %, принимают равной относительной погрешности измерений СИ объемного расхода жидкости или относительной погрешности измерений объема ИК;

- относительная погрешность определения коэффициента, учитывающего влияние растворенного газа в нефти на ее объем, %, принимают равной 0,5%;

- относительная погрешность определения коэффициента, учитывающего влияние содержания свободного газа в нефти на ее объем, %.
11.1.3 Относительную погрешность определения коэффициента, учитывающего влияние содержания свободного газа в нефти на ее объем,

, %, вычисляют по формуле

, (17)
где

- абсолютная погрешность измерений объемной доли свободного газа в рабочих условиях, %;

- объемная доля свободного газа в газонасыщенной нефти, %, измеряемая в соответствии с методикой измерений, аттестованной в установленном порядке.
11.1.4 Относительную погрешность измерений плотности разгазированной нефти

, %, при измерении плотности разгазированной нефти вычисляют по формуле

, (18)
где

- абсолютная погрешность измерений плотности разгазированной нефти, кг/м
3, принимают равной относительной погрешности измерений СИ плотности или допускаемой погрешности применяемой методики измерений.
При вычислении плотности разгазированной нефти через плотность обезвоженной нефти, плотность отделенной воды и объемную долю воды в соответствии с
приложением А вычисляют по формуле

, (19)
где

- плотность отделенной воды при условиях измерений объема, кг/м
3;

- абсолютная погрешность измерений объемной доли воды, %, принимают в соответствии со свидетельством (сертификатом) об утверждении типа СИ или применяемой методикой измерений.
11.2 Расчет погрешности измерений массы обезвоженной нефти
11.2.1 Пределы относительной погрешности измерений массы обезвоженной нефти вычисляют по формуле

, (20)
где

- относительная погрешность измерений плотности обезвоженной нефти, %.
11.2.2 Относительную погрешность измерений плотности обезвоженной нефти

, %, вычисляют по формуле

, (21)
где

- абсолютная погрешность измерений плотности обезвоженной нефти, кг/м
3, принимают равной относительной погрешности измерений СИ плотности или допускаемой погрешности применяемой методики измерений.
12 Контроль точности результатов измерений
12.1 Для измерений количества нефти применяют СИ, имеющие свидетельство (сертификат) об утверждении типа. Сведения о данных СИ внесены в Федеральный информационный фонд по обеспечению единства измерений в установленном
порядке [8].
12.2 СИ должны подвергаться периодической поверке в соответствии с установленными межповерочными интервалами.
(обязательное)
ПОРЯДОК ОПРЕДЕЛЕНИЯ ПЛОТНОСТИ РАЗГАЗИРОВАННОЙ
НЕФТИ, ОБЕЗВОЖЕННОЙ НЕФТИ, ВОДЫ
А.1 Порядок определения плотности разгазированной нефти, обезвоженной нефти, воды
А.1.1 С пробой разгазированной нефти, отобранной в соответствии с законодательством Российской Федерации о техническом регулировании, проводят операции по разделению нефти и воды, результатом которых является получение проб обезвоженной нефти и отделенной воды.
А.1.2 Проводят измерения объемной доли отделенной воды

, %, в лаборатории при температуре
tодв, °C, комбинированным методом.
А.1.3 Проводят измерения плотности отделенной воды

, кг/м
3, при температуре
tплот, °C, с использованием средств измерений в соответствии с законодательством Российской Федерации о техническом регулировании. При отсутствии отделенной воды А.1.3 -
А.1.4 пропускают.
А.1.4 Определяют плотность воды при температуре 15 °C

, кг/м
3, и массовую долю хлористых солей
B, %, в соответствии с
А.2. При вычислениях заданное значение плотности воды

принимают равным

, кг/м
3, температуру
t принимают равной температуре при измерении плотности. При отсутствии отделенной воды
А.1.3 - А.1.4 пропускают.
А.1.5 Проводят измерения плотности обезвоженной нефти

, кг/м
3, при температуре
tплот, °C, с использованием средств измерений в соответствии с законодательством Российской Федерации о техническом регулировании.
А.1.6 В пробе обезвоженной нефти определяют объемную долю остаточной воды

, %, в соответствии с
ГОСТ 2477.
А.1.7 Объемную долю остаточной воды корректируют на содержание хлористых солей по формуле

(А.1)
Примечания
1
Формула учитывает увеличение объемной доли воды при растворении в ней хлористых солей.
2 При выводе
формулы сделано предположение, что вода, находящаяся во взвешенном состоянии в нефти, имеет ту же минерализацию, что и отделенная вода, находящаяся в свободном состоянии.
3 При отсутствии отделенной воды плотность воды с растворенными в ней хлористыми солями при 15 °C и массовую долю хлористых солей следует устанавливать дополнительно.
4 При отсутствии отделенной воды корректировку по
формуле (А.1) допустимо не проводить.
А.1.8 Плотность обезвоженной нефти

:
- при содержании остаточной воды

менее 1,0% принимают равной измеренной плотности обезвоженной нефти

при температуре
tплот;
- при содержании остаточной воды

более 1,0%, вычисляют по формуле

, (А.2)
где

- плотность обезвоженной нефти, измеренная в лаборатории и приведенная к условиям измерений объемной доли воды, кг/м
3. Плотность обезвоженной нефти

приводят к требуемым условиям в соответствии с
А.5;

- плотность отделенной воды, измеренная в лаборатории и приведенная к условиям измерений объемной доли воды, кг/м
3. Плотность воды приводят к требуемым условиям в соответствии с
А.4.
Примечание - При вычислении по
формуле (А.2) плотность обезвоженной нефти

соответствует условиям при измерении объемной доли воды, а не условиям при измерении плотности обезвоженной нефти.
А.1.9 Вычисляют плотность обезвоженной нефти при температуре 15 °C

, кг/м
3, в соответствии с
А.3. При вычислениях заданное значение плотности нефти

принимают равным

температуру
t принимают равной температуре при измерении плотности (при содержании остаточной воды менее 1,0% включительно) или температуре при определении объемной доли воды (при содержании остаточной воды более 1,0% и вычислении

по
формуле (А.2).
А.1.10 Объемную долю воды при условиях измерений в лаборатории

, %, вычисляют по формуле

. (А.3)
А.1.11 Объемную долю воды при условиях измерений объема

, %, вычисляют по формуле

, (А.4)
где

- плотность воды, приведенная к условиям измерений объемной доли воды, кг/м
3;

- плотность воды, приведенная к условиям измерений объема, кг/м
3;

- плотность обезвоженной нефти, приведенная к условиям измерений объемной доли воды, кг/м
3;

- плотность обезвоженной нефти, приведенная к условиям измерений объема, кг/м
3.
А.1.12 Плотность разгазированной нефти при условиях измерений объемной доли воды

вычисляют по формуле

. (А.5)
А.1.13 Вычисляют плотность разгазированной нефти при температуре 15 °C

, кг/м
3, в соответствии с
А.3. При вычислениях заданную плотность нефти принимают равной

, температуру
t принимают равной температуре при определении объемной доли воды.
А.1.14 Плотность воды при заданных условиях

, кг/м
3, вычисляют в соответствии с
А.4. При вычислениях плотность воды при температуре 15 °C

, кг/м
3, принимают равной найденному значению плотности воды в
А.1.4, температуру
t и давление
p принимают в соответствии с требуемыми условиями приведения.
А.1.15 Плотность обезвоженной нефти при заданных условиях

, кг/м
3, вычисляют в соответствии с
А.5. При вычислениях плотность нефти при температуре 15 °C

, кг/м
3, принимают равной найденному значению плотности обезвоженной нефти в
А.1.9, температуру
t и давление
p принимают в соответствии с требуемыми условиями приведения.
А.1.16 Плотность разгазированной нефти при заданных условиях

, кг/м
3, вычисляют в соответствии с
А.5. При вычислениях плотность нефти при температуре 15 °C

, кг/м
3, принимают равной найденному значению плотности разгазированной нефти в
А.1.12, температуру
t и давление
p принимают в соответствии с требуемыми условиями приведения.
А.2 Плотность воды при температуре 15 °C
А.2.1 Значение плотности отделенной воды при температуре 15 °C

, кг/м
3, и массовую долю хлористых солей в отделенной воде
B, % по заданному значению плотности воды

и температуре при измерении плотности
t находят методом последовательных приближений, используя итерационный метод "прямых подстановок" по нижеуказанной процедуре.
А.2.2 Принимают первое приближение плотности отделенной воды при температуре 15 °C

, кг/м
3, равным заданному значению плотности отделенной воды

.
А.2.3 Вычисляют массовую долю хлористых солей
B(k) при текущем значении плотности отделенной воды при температуре 15 °C

, где
k - порядковый номер итерации, по формуле

. (А.6)
А.2.4 Вычисляют коэффициент, учитывающий влияние температуры на плотность отделенной воды, CTLkВ по формуле

(А.7)
А.2.5 Вычисляют следующее приближение плотности отделенной воды при температуре 15 °C

по формуле

. (А.8)
А.2.6 Если значение плотности отделенной воды при температуре 15 °C

изменилось более чем на 0,01 кг/м
3 по сравнению с

, то выполняют следующую итерацию по
А.2.3 - А.2.6. Расчет плотности продолжают до тех пор, пока значение

не перестанет изменяться более чем на 0,01 кг/м
3. За результат определения плотности принимают значение, полученное в последней итерации.
А.2.7 Вычисляют массовую долю хлористых солей
B, %, по
формуле (А.6), используя найденное значение плотности отделенной воды при 15 °C

, кг/м
3.
А.2.8 Ввиду сложности расчетов рекомендуется для расчетов плотности нефти применять специально разработанное программное обеспечение. Алгоритмы программного обеспечения должны быть аттестованы в системе добровольной сертификации на соответствие вышеизложенному алгоритму.
А.3 Плотность нефти при температуре 15 °C
А.3.1 Значение плотности нефти при температуре 15 °C

, кг/м
3, по заданному значению плотности нефти (разгазированной или обезвоженной)

и температуре при измерении плотности
t находят методом последовательных приближений, используя итерационный метод "прямых подстановок" по нижеуказанной процедуре.
А.3.2 Принимают первое приближение плотности нефти при температуре 15 °C

, кг/м
3, равным заданному значению плотности нефти

.
А.3.3 Вычисляют поправочный коэффициент, учитывающий влияние температуры нефти на плотность нефти,

при текущем значении плотности нефти

по формуле

. (А.9)
Коэффициент объемного расширения нефти

, 1/°C, вычисляют по формуле

(А.10)
где

- коэффициент объемного расширения нефти при 15 °C, 1/°C.
А.3.4 Вычисляют следующее приближение плотности нефти при температуре 15 °C

по формуле

. (А.11)
А.3.5 Если значение плотности нефти при температуре 15 °C

изменилось более чем на 0,01 кг/м
3 по сравнению с

, то выполняют следующую итерацию по
А.3.3 - А.3.5. Расчет плотности продолжают до тех пор, пока значение

не перестанет изменяться более чем на 0,01 кг/м
3. За результат определения плотности принимают значение, полученное в последней итерации.
А.3.6 Ввиду сложности расчетов рекомендуется для расчетов плотности воды применять специально разработанное программное обеспечение. Алгоритмы программного обеспечения должны быть аттестованы в системе добровольной сертификации на соответствие вышеизложенному алгоритму.
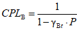
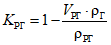
А.4 Приведение плотности воды к заданным условиям
А.4.1 Плотность воды, приведенную к заданным условиям по давлению
p и температуре
t 
, кг/м
3, вычисляют по формуле

, (А.12)
| | ИС МЕГАНОРМ: примечание. Экспликация дана в соответствии с официальным текстом документа. | |
где

- плотность воды при 15 °C, кг/м
3;
CTLВ - поправочный коэффициент, учитывающий влияние температуры воды на плотность воды;
CPLВ - поправочный коэффициент, учитывающий влияние давления воды на плотность воды.
А.4.2 Поправочный коэффициент, учитывающий влияние температуры воды на плотность воды, CTLВ вычисляют по формуле
CTLВ = 1 - (1,8562·10-4 + 1,2882·10-5·B)·(t - 15) -
- (4,1151·10-6 + 1,4464·10-7·B)·(t - 15)2 +
+ (1,8562·10-9 + 1,2882·10-10·B)·(t - 15)3, (А.13)
где B - массовая доля хлористых солей в воде, %;
t - целевая температура приведения, °C.
Массовую долю хлористых солей в воде вычисляют по формуле

. (А.14)
А.4.3 Поправочный коэффициент, учитывающий влияние давления на плотность воды, CPLВ вычисляют по формуле

, (А.15)
где

- коэффициент сжимаемости воды при температуре
t, 1/МПа;
P - целевое избыточное давление приведения, МПа.
Коэффициент сжимаемости воды при температуре
t 
, 1/МПа, вычисляют по формуле

(А.16)
где a1 - коэффициент сжимаемости пресной воды, 1/ГПа;
a2 - коэффициент, учитывающий влияние минерализации на коэффициент сжимаемости воды, л/(ГПа·г);
M - минерализация воды, г/л.
А.5 Приведение плотности нефти к заданным условиям
А.5.1 Плотность нефти, приведенную к заданным условиям по давлению
p и температуре
t,

, кг/м
3, вычисляют по формуле

, (А.17)
где

- плотность нефти при 15 °C, кг/м
3;
CTLН - поправочный коэффициент, учитывающий влияние температуры нефти на плотность нефти;
CPLН - поправочный коэффициент, учитывающий влияние давления нефти на плотность нефти.
А.5.2 Поправочный коэффициент, учитывающий влияние температуры нефти на плотность нефти, CTLН вычисляют по формуле

, (А.18)
где

- коэффициент объемного расширения нефти при 15 °C, 1/°C;
t - целевая температура приведения, °C.
Коэффициент объемного расширения нефти

, 1/°C, вычисляют по формуле

. (А.19)
А.5.3 Поправочный коэффициент, учитывающий влияние давления нефти на плотность нефти, CPLН вычисляют по формуле

, (А.20)
где

- коэффициент сжимаемости нефти при температуре
t, 1/МПа;
p - целевое избыточное давление приведения, МПа.
Коэффициент сжимаемости нефти при температуре
t 
, 1/МПа, вычисляют по формуле

. (А.21)
А.5.4 Допустимо приведение плотности нефти к заданным условиям осуществлять в соответствии с
ГОСТ 8.636,
[7].
(обязательное)
ПОРЯДОК ОПРЕДЕЛЕНИЯ КОЭФФИЦИЕНТОВ, УЧИТЫВАЮЩИХ НАЛИЧИЕ
СВОБОДНОГО И РАСТВОРЕННОГО ГАЗА В НЕФТИ
Б.1 Коэффициент, учитывающий наличие свободного газа в газонасыщенной нефти, KСГ вычисляют по формуле

, (Б.1)
где

- объемная доля свободного газа в газонасыщенной нефти, %, измеряемая в соответствии с методикой измерений, аттестованной в установленном порядке.
Б.2 Коэффициент, учитывающий наличие растворенного газа в газонасыщенной нефти, KРГ вычисляют одним из следующих способов.
Б.2.1 Расчет, основанный на вычислении относительной плотности растворенного газа по формуле

, (Б.2)
где VРГ - содержание растворенного газа, приведенное к стандартным условиям, в единице объема газонасыщенной нефти в условиях измерений, м3/м3, измеряемое в лаборатории в соответствии с методикой измерений, аттестованной в установленном порядке;

- относительная плотность растворенного газа.
Относительную плотность растворенного газа вычисляют по формуле

, (Б.3)
где

- плотность воздуха при стандартных условиях, кг/м
3, принимают равной 1,205 кг/м
3;

- плотность растворенного газа при стандартных условиях, кг/м
3 (плотность газа, выделившегося из газонасыщенной нефти, при стандартных условиях). Вычисляют по компонентному составу газа в соответствии с
[10] или
[11] или измеряют по методике измерений, аттестованной в установленном порядке. Компонентный состав газа определяют в соответствии с
ГОСТ 31371.7,
ГОСТ Р 57975.1 или другой методикой измерений, аттестованной в установленном порядке по пробе газа.
Б.2.2 Расчет, основанный на вычислении кажущейся плотности растворенного газа по формуле

, (Б.4)
где

- кажущаяся плотность растворенного попутного нефтяного газа (плотность, которую имеет газ в растворенном в нефти состоянии), кг/м
3.
Кажущуюся плотность растворенного попутного нефтяного газа

, кг/м
3, вычисляют по формуле

, (Б.5)
где

- плотность обезвоженной нефти при стандартных условиях, кг/м
3.
Б.2.3 Расчет по графикам зависимостей.
Коэффициент
KРГ принимают по графику в зависимости от плотности разгазированной нефти и давления, представленному на
рисунке Б.1.

- плотность нефти 800 кг/м
3;

- плотность нефти 820 кг/м
3;

- плотность нефти 840 кг/м
3;

- плотность нефти 860 кг/м
3;

- плотность нефти 880 кг/м
3;

- плотность нефти 900 кг/м
3
Рисунок Б.1 - Зависимость коэффициента
KРГ от плотности
нефти и давления
Б.2.4 Допускается для определения коэффициента KРГ применять уравнения состояния и эмпирические корреляции с экспериментально установленными показателями точности.
(справочное)
СХЕМАТИЧНОЕ ИЗОБРАЖЕНИЕ БАЛЛОНА ПОСТОЯННОГО ДАВЛЕНИЯ
ПОРШНЕВОГО ТИПА И ЕГО ПОДКЛЮЧЕНИЯ К ТРУБОПРОВОДУ
Схематичное изображение баллона постоянного давления поршневого типа и его подключения к трубопроводу приведено на
рисунке В.1.
Рисунок В.1 - Схематичное изображение баллона постоянного
давления поршневого типа и его подключения к трубопроводу
| | Государственная система обеспечения единства измерений. Метрология. Основные термины и определения |
| Правила устройства электроустановок (7-е издание) |
| Федеральные нормы и правила в области промышленной безопасности (серия 08, выпуск 19) | Правила безопасности в нефтяной и газовой промышленности |
| Федеральный закон от 10 января 2002 г. N 7-ФЗ "Об охране окружающей среды" |
| " Порядок аттестации первичных референтных методик (методов) измерений, референтных методик (методов) измерений и методик (методов) измерений и их применения" (утвержденный Приказом Минпромторга России от 15 декабря 2015 года N 4091) |
| | Государственная система обеспечения единства измерений. Нефть и нефтепродукты. Лабораторные методы измерения плотности, относительной плотности и плотности в градусах API |
| | Государственная система обеспечения единства измерений. Плотность нефти и нефтепродуктов. Методы расчета. Программа и таблицы приведения |
| " Порядок проведения испытаний стандартных образцов или средств измерений в целях утверждения типа" (утвержденный Приказом Минпромторга России от 28 августа 2020 г. N 2905) |
| " Порядок проведения поверки средств измерений, требований к знаку поверки и содержанию свидетельства о поверке" (утвержденный Приказом Минпромторга России от 31 июля 2020 г. N 2510) |
| ГСССД МР 113-03 | Определение плотности, фактора сжимаемости, показателя адиабаты и коэффициента динамической вязкости влажного нефтяного газа в диапазоне температур 263...500 К при давлениях до 15 МПа |
| ГСССД МР 273-2018 | Методика расчетного определения плотности, фактора сжимаемости, скорости звука, показателя адиабаты и коэффициента динамической вязкости влажных газовых смесей в диапазоне температур от 263 К до 500 К и давлениях до 30 МПа |
УДК 622.69-79:006.354 | |
Ключевые слова: измерительная установка, нефть, нефтегазоводяная смесь, методики измерений, попутный нефтяной газ, растворенный газ, свободный нефтяной газ, скважина |