Главная // Актуальные документы // ГОСТ (Государственный стандарт)СПРАВКА
Источник публикации
М.: Стандартинформ, 2020
Примечание к документу
Документ включен в Перечень международных и региональных (межгосударственных) стандартов (
п. п. 7,
18,
29,
83,
88,
97,
140,
171,
176,
194,
202,
217,
223,
228), а в случае их отсутствия - национальных (государственных) стандартов, содержащих правила и методы исследований (испытаний) и измерений, в том числе правила отбора образцов, необходимые для применения и исполнения требований технического
регламента Евразийского экономического союза "О безопасности газа горючего природного, подготовленного к транспортированию и (или) использованию" (ТР ЕАЭС 046/2018) и осуществления оценки соответствия объектов технического регулирования (
Решение Коллегии Евразийской экономической комиссии от 13.09.2021 N 112).
Текст данного документа приведен с учетом
поправки, опубликованной в "ИУС", N 9, 2023;
поправки, введенной в действие с 29.05.2024, опубликованной в "ИУС", N 8, 2024.
В соответствии с
Приказом Росстандарта от 27.10.2020 N 940-ст данный документ
вводился в действие с 01.03.2021. В соответствии с изменением, внесенным Приказами Росстандарта от 22.12.2020
N 1366-ст, 30.11.2021
N 1650-ст срок введения в действие данного документа перенесен на 01.07.2023 с правом досрочного применения.
Название документа
"ГОСТ 31371.7-2020. Межгосударственный стандарт. Газ природный. Определение состава методом газовой хроматографии с оценкой неопределенности. Часть 7. Методика измерений молярной доли компонентов"
(введен в действие Приказом Росстандарта от 27.10.2020 N 940-ст)
"ГОСТ 31371.7-2020. Межгосударственный стандарт. Газ природный. Определение состава методом газовой хроматографии с оценкой неопределенности. Часть 7. Методика измерений молярной доли компонентов"
(введен в действие Приказом Росстандарта от 27.10.2020 N 940-ст)
по техническому регулированию
и метрологии
от 27 октября 2020 г. N 940-ст
МЕЖГОСУДАРСТВЕННЫЙ СТАНДАРТ
ГАЗ ПРИРОДНЫЙ
ОПРЕДЕЛЕНИЕ СОСТАВА МЕТОДОМ ГАЗОВОЙ ХРОМАТОГРАФИИ
С ОЦЕНКОЙ НЕОПРЕДЕЛЕННОСТИ
ЧАСТЬ 7
МЕТОДИКА ИЗМЕРЕНИЙ МОЛЯРНОЙ ДОЛИ КОМПОНЕНТОВ
Natural gas. Determination of composition with defined
uncertainty by gas chromatography method. Part 7.
Measurement procedure of the mole fraction of components
ГОСТ 31371.7-2020
| | Приказом Росстандарта от 30.11.2021 N 1650-ст дата введения в действие перенесена на 01.07.2023 с правом досрочного применения. | |
Дата введения
1 марта 2021 года
Цели, основные принципы и общие правила проведения работ по межгосударственной стандартизации установлены
ГОСТ 1.0 "Межгосударственная система стандартизации. Основные положения" и
ГОСТ 1.2 "Межгосударственная система стандартизации. Стандарты межгосударственные, правила и рекомендации по межгосударственной стандартизации. Правила разработки, принятия, обновления и отмены"
1 РАЗРАБОТАН Публичным акционерным обществом "Газпром" и Федеральным государственным унитарным предприятием "Всероссийский научно-исследовательский институт метрологии им. Д.И. Менделеева" (ФГУП "ВНИИМ им. Д.И. Менделеева")
2 ВНЕСЕН Межгосударственным техническим комитетом по стандартизации МТК 52 "Природный и сжиженные газы"
3 ПРИНЯТ Евразийским советом по стандартизации, метрологии и сертификации (протокол от 31 августа 2020 г. N 132-П)
За принятие проголосовали:
Краткое наименование страны по МК (ИСО 3166) 004-97 | Код страны по МК (ИСО 3166) 004-97 | Сокращенное наименование национального органа по стандартизации |
Азербайджан | AZ | Азстандарт |
Беларусь | BY | Госстандарт Республики Беларусь |
Казахстан | KZ | Госстандарт Республики Казахстан |
Киргизия | KG | Кыргызстандарт |
Россия | RU | Росстандарт |
Таджикистан | TJ | Таджикстандарт |
Узбекистан | UZ | Узстандарт |
4
Приказом Федерального агентства по техническому регулированию и метрологии от 27 октября 2020 г. N 940-ст межгосударственный стандарт ГОСТ 31371.7-2020 введен в действие в качестве национального стандарта Российской Федерации с 1 марта 2021 г.
5 Настоящий стандарт разработан с учетом потребностей национальной экономики указанных выше государств и особенностей межгосударственной стандартизации и входит в серию стандартов ГОСТ 31371 с общим наименованием "Газ природный. Определение состава методом газовой хроматографии с оценкой неопределенности"
Информация о введении в действие (прекращении действия) настоящего стандарта и изменений к нему на территории указанных выше государств публикуется в указателях национальных стандартов, издаваемых в этих государствах, а также в сети Интернет на сайтах соответствующих национальных органов по стандартизации.
В случае пересмотра, изменения или отмены настоящего стандарта соответствующая информация будет опубликована на официальном интернет-сайте Межгосударственного совета по стандартизации, метрологии и сертификации в каталоге "Межгосударственные стандарты"
В основу настоящего стандарта положены аттестованные методики измерений:
- Методика измерений молярной доли компонентов природного газа методом газовой хроматографии (свидетельство об аттестации N 1057/207-(Ra.RU.310494)-2019 от 15 февраля 2019 г., внесенная в Федеральный информационный фонд по обеспечению единства измерений (регистрационный номер ФР.1.31.2019.33714);
- Методика измерений молярной доли компонентов природного газа переменного состава и определения физико-химических показателей (свидетельство об аттестации N 739/206-(01.00250)-2016 от 15 марта 2016 г., внесенная в Федеральный информационный фонд по обеспечению единства измерений (регистрационный номер ФР.1.31.2017.28235).
Настоящий стандарт устанавливает методику измерений (МИ) <1> молярной доли компонентов природного газа (ПГ), подготовленного к транспортированию и (или) использованию, и других углеводородных газов аналогичного компонентного состава методом газовой хроматографии в диапазонах, приведенных в
таблице 1.
--------------------------------
<1> В Российской Федерации в соответствии с Федеральным
законом от 26 июня 2008 г. N 102-ФЗ "Об обеспечении единства измерений" используется термин "методика измерений" (МИ). В странах - членах СНГ в соответствии с действующими нормативными правовыми актами используется термин "методика выполнения измерений" (МВИ). Термины являются равнозначными.
МИ предназначена для применения в лабораториях и на узлах измерений, контролирующих физико-химические показатели ПГ.
Результаты измерений по настоящей МИ могут использоваться для проведения коммерческих расчетов за ПГ.
В настоящем стандарте использованы нормативные ссылки на следующие межгосударственные стандарты:
ГОСТ 12.1.005-88 Система стандартов безопасности труда. Общие санитарно-гигиенические требования к воздуху рабочей зоны
ГОСТ 12.1.007-76 Система стандартов безопасности труда. Вредные вещества. Классификация и общие требования безопасности
ГОСТ 949-73 Баллоны стальные малого и среднего объема для газов на P <= 19,6 МПа (200 кгс/см
2). Технические условия
ГОСТ 2405-88 Манометры, вакуумметры, мановакуумметры, напоромеры, тягомеры и тягонапоромеры. Общие технические условия
ГОСТ 17433-80 Промышленная чистота. Сжатый воздух. Классы загрязненности
ГОСТ 26703-93 Хроматографы аналитические газовые. Общие технические требования и методы испытаний
ГОСТ 28498-90 Термометры жидкостные стеклянные. Общие технические требования. Методы испытаний
ГОСТ 30852.19-2002 (МЭК 60079-20:1996) Электрооборудование взрывозащищенное. Часть 20. Данные по горючим газам и парам, относящиеся к эксплуатационному оборудованию
ГОСТ 31371.1-2020 (ИСО 6974-1:2012) Газ природный. Определение состава методом газовой хроматографии с оценкой неопределенности. Часть 1. Общие указания и определение состава
Примечание - При пользовании настоящим стандартом целесообразно проверить действие ссылочных стандартов и классификаторов на официальном интернет-сайте Межгосударственного совета по стандартизации, метрологии и сертификации (www.easc.by) или по указателям национальных стандартов, издаваемым в государствах, указанных в
предисловии, или на официальных сайтах соответствующих национальных органов по стандартизации. Если на документ дана недатированная ссылка, то следует использовать документ, действующий на текущий момент, с учетом всех внесенных в него изменений. Если заменен ссылочный документ, на который дана датированная ссылка, то следует использовать указанную версию этого документа. Если после принятия настоящего стандарта в ссылочный документ, на который дана датированная ссылка, внесено изменение, затрагивающее положение, на которое дана ссылка, то это положение применяется без учета данного изменения. Если ссылочный документ отменен без замены, то положение, в котором дана ссылка на него, применяется в части, не затрагивающей эту ссылку.
3 Показатели точности измерений
3.1 Перечень определяемых компонентов, диапазоны измерений молярной доли компонентов
x и значения расширенной неопределенности измерений молярной доли компонентов в анализируемой пробе ПГ U(
x) при коэффициенте охвата
k = 2 приведены в
таблице 1.
Таблица 1
Метрологические характеристики методики измерений
Определяемый компонент | Метод А | Метод Б | Метод В |
| | | | | |
Метан | 40 - 99,97 | | 40 - 99,97 | | 40 - 99,97 | |
Этан | 0,0010 - 15 | 0,04·x + 0,00026 | 0,005 - 15 | 0,04·x + 0,0013 | 0,005 - 15 | 0,04·x + 0,0010 |
Пропан | 0,0010 - 6,0 | 0,06·x + 0,00024 | 0,005 - 6,0 | 0,06·x + 0,0012 | 0,005 - 6,0 | 0,06·x + 0,0010 |
Изобутан | 0,0010 - 4,0 | 0,06·x + 0,00024 | 0,005 - 4,0 | 0,06·x + 0,0012 | 0,005 - 4,0 | 0,06·x + 0,0010 |
н-Бутан | 0,0010 - 4,0 | 0,06·x + 0,00024 | 0,005 - 4,0 | 0,06·x + 0,0012 | 0,005 - 4,0 | 0,06·x + 0,0010 |
Изопентан | 0,0010 - 2,0 | 0,06·x + 0,00024 | 0,005 - 2,0 | 0,06·x + 0,0012 | 0,005 - 2,0 | 0,07·x + 0,0009 |
н-Пентан | 0,0010 - 2,0 | 0,06·x + 0,00024 | 0,005 - 2,0 | 0,06·x + 0,0012 | 0,005 - 2,0 | 0,07·x + 0,0009 |
Неопентан | 0,0010 - 0,05 | 0,06·x + 0,00024 | 0,005 - 0,05 | 0,06·x + 0,0012 | 0,005 - 0,05 | 0,10·x + 0,0008 |
Гексаны | 0,0010 - 1,0 | 0,06·x + 0,00024 | - | - | 0,005 - 1,0 | 0,06·x + 0,0010 |
C6+ | - | - | 0,005 - 1,5 | 0,10·x + 0,001 | 0,005 - 1,5 | 0,15·x + 0,0007 |
Гептаны | 0,0010 - 0,25 | 0,06·x + 0,00024 | - | - | 0,005 - 0,25 | 0,12·x + 0,0007 |
Октаны | 0,0010 - 0,05 | 0,08·x + 0,00022 | - | - | 0,005 - 0,05 | 0,14·x + 0,0006 |
Бензол | 0,0010 - 0,05 | 0,08·x + 0,00022 | - | - | 0,005 - 0,05 | 0,14·x + 0,0006 |
Толуол | 0,0010 - 0,05 | 0,08·x + 0,00022 | - | - | 0,005 - 0,05 | 0,14·x + 0,0006 |
Диоксид углерода | 0,005 - 10 | 0,06·x + 0,0012 | 0,005 - 10 | 0,06·x + 0,0012 | 0,005 - 0,025 | 0,18·x + 0,0005 |
0,025 - 10 | 0,07·x + 0,0030 |
Гелий | 0,0010 - 0,5 | 0,06·x + 0,00024 | 0,005 - 0,5 | 0,06·x + 0,0012 | 0,005 - 0,5 | 0,09·x + 0,0008 |
Водород | 0,0010 - 0,5 | 0,06·x + 0,00024 | 0,005 - 0,5 | 0,06·x + 0,0012 | 0,005 - 0,5 | 0,09·x + 0,0008 |
| 0,005 - 2,0 | 0,06·x + 0,0012 | 0,005 - 2,0 | 0,06·x + 0,0012 | От 0,005 до 0,025 включ. | 0,11·x + 0,0009 |
Св. 0,025 до 2,0 включ. | 0,07·x + 0,0020 |
Азот | 0,005 - 15 | 0,04·x + 0,0013 | 0,005 - 15 | 0,04·x + 0,0013 | От 0,005 до 0,025 включ. | 0,11·x + 0,0009 |
Св. 0,025 до 15 включ. | 0,04·x + 0,0025 |
| 0,0010 - 0,05 | 0,08·x + 0,00022 | 0,005 - 0,05 | 0,06·x + 0,0012 | 0,005 - 0,05 | 0,12·x + 0,0007 |
<1> Приведенные диапазоны молярной доли ограничены областью, для которой оценена неопределенность. Измерение молярной доли компонентов в соответствии с данной МИ могут проводиться в более широких диапазонах, в этом случае неопределенность измерений молярной доли компонентов может быть вычислена по формулам, приведенным в приложении А. <2> Расширенная абсолютная неопределенность U( x) в процентах при коэффициенте охвата k = 2 соответствует границам суммарной абсолютной погрешности при доверительной вероятности P = 0,95. <3> Формула применяется при измерении молярной доли метана методом прямых измерений (далее - метан по анализу), при определении метана по разности для вычислений расширенной неопределенности используется формула (25). <4> По данной МИ в пробах природного газа проводится определение суммарного содержания кислорода и аргона (по кислороду). Далее по тексту методики для суммарного пика используют термин "кислород". <5> Метанол не является компонентом ПГ. Определение содержания метанола проводится только в газопроводах, транспортирование газа по которым предполагает его применение в качестве технологического компонента. |
4 Требования к средствам измерений, вспомогательным устройствам, материалам и реактивам
4.1 Основные средства измерений
4.1.1 Хроматографы газовые лабораторные и потоковые (промышленные)
4.1.1.1 Общие характеристики
Хроматографы должны быть оснащены:
а) блоком управления;
б) колонками (насадочными или капиллярными), изготовленными из инертного по отношению к компонентам ПГ материала и заполненными сорбентом, обеспечивающим удовлетворительное разделение конкретных компонентов пробы газа при условиях проведения анализа.
Для заполнения хроматографических колонок могут использоваться:
- твердые адсорбенты: молекулярные сита 5A (CaA) или 13X (NaX), Porapak N, Porapak R, HayeSep N, HayeSep R;
- твердые инертные носители: Silcoport-P, ChromP, Porasil C, Chromaton, инертон, сферохром;
- неподвижные жидкие фазы: полифенилметилсилоксан (ПФМС), полиэтиленгликоль, Carbowax, SE-30, SE-54, SF-96, оксидипропионитрил (ОДПН), оксипропионитрил (ОПН), DC-200;
Примечание - Для заполнения хроматографических колонок могут использоваться другие материалы, обеспечивающие требуемую степень разделения компонентов природного газа.
в) комплектом детекторов. Комплект детекторов должен формироваться из одного или нескольких детекторов по теплопроводности (ДТП) или комбинации одного или нескольких ДТП и пламенно-ионизационного детектора ПИД <1>, чувствительность которых обеспечивает соотношение сигнал/шум в рабочем диапазоне измерений не менее 10.
--------------------------------
<1> Применение детектора ПИД для измерения молярной доли более 1,0% при анализе ПГ переменного состава возможно только после подтверждения линейности сигнала в соответствии с алгоритмом, приведенным в
приложении Б.
Пределы детектирования детекторов ДТП и ПИД должны соответствовать требованиям
ГОСТ 26703;
г) термостатом колонок, обеспечивающим программируемое регулирование скорости подъема температуры и поддержание заданной температуры с пределом допускаемого отклонения не более 0,5 °C во всем интервале рабочих температур. Количество термостатов в одном хроматографе может быть более одного;
д) дозирующим устройством автоматического или неавтоматического действия (предпочтительно обогреваемым), обеспечивающим ввод пробы газа. Объем дозируемой пробы выбирают в зависимости от конкретной комплектации хроматографа (комплект детекторов, тип применяемых хроматографических колонок и прочее) и содержания компонентов в пробе газа; количество дозирующих устройств может быть более одного. Для лабораторных хроматографов использование автоматического дозирующего устройства является предпочтительным;
Примечание - Не рекомендуется использовать для ввода пробы редукторы с трубкой Бурдона.
е) встроенным или внешним регулятором расхода анализируемого газа и градуировочной смеси;
ж) внешним или встроенным программным обеспечением (ПО) для обработки, передачи и хранения хроматографической информации;
и) краном обратной продувки (при необходимости) для обеспечения измерений суммарной молярной доли группы тяжелых углеводородов в виде C6+.
4.1.1.2 Хроматографы, применяемые для анализа ПГ переменного состава, должны иметь протокол, подтверждающий линейность градуировочной характеристики в рабочих диапазонах измерений (см.
таблицу 1), с указанием заводского номера прибора, фактических уравнений градуировочных характеристик для каждого определяемого компонента с коэффициентом корреляции не менее 0,999. Проверку линейности градуировочной характеристики проводят в соответствии с алгоритмом, приведенным в
приложении Б.
Примечание - Допускается осуществлять проведение проверки линейности градуировочной характеристики организацией-изготовителем или организацией, осуществившей поставку хроматографа.
4.1.2 Средства градуировки
Средствами градуировки являются стандартные образцы (СО) состава природного газа утвержденного типа - газовые смеси в баллонах под давлением (далее - градуировочная смесь). Требования к метрологическим характеристикам средств градуировки приведены в
таблицах В.1.1,
В.1.3,
В.2.1,
В.2.2 и
В.3.1 (приложение В).
При выполнении измерений на лабораторных хроматографах допускается использование для градуировки нескольких искусственных газовых смесей в метане с сокращенным перечнем компонентов, указанным в
таблице 1.
4.2 Вспомогательные средства измерений, устройства, материалы и реактивы
4.2.1 Вспомогательные средства измерений, устройства и материалы для лабораторных хроматографов:
- СИ параметров окружающей среды (температура, давление, влажность) с диапазонами измерений, соответствующими
ГОСТ 26703 (см.
приложение Г);
- СИ температуры с диапазоном измерений от 0 °C до 100 °C с пределами допускаемой погрешности не более +/- 0,3 °C, используемое при приведении объема пробы газа к стандартным условиям (например, термометр ртутный стеклянный II класса по
ГОСТ 28498);
- СИ давления с диапазоном измерений от 610 до 790 мм рт. ст. с пределами допускаемой погрешности не более +/- 0,8 мм рт. ст., используемое при приведении объема пробы газа к стандартным условиям (см.
приложение Г);
- СИ расхода газа с пределами основной допускаемой погрешности не более +/- 4% от верхнего предела измерений (например, по
ГОСТ 13045); или встроенный электронный измеритель расхода газа;
- пробоотборники переносные или стационарные пробоотборные системы в соответствии с
ГОСТ 31370;
- вентиль тонкой регулировки расхода газа или регулятор давления с продувочным вентилем (см.
приложение Г);
- баллон из углеродистой стали марки 150у вместимостью 40 дм
3 по
ГОСТ 949;
- фильтр для удаления механических примесей (см.
приложение Г);
- гелий газообразный марки А с объемной долей основного компонента не менее 99,995%;
- аргон газообразный высокой чистоты с объемной долей основного компонента не менее 99,998%;
- водород газообразный высокой чистоты с объемной долей основного компонента не менее 99,995%.
4.2.2 Вспомогательные средства измерений, устройства и материалы для потоковых хроматографов:
- СИ параметров окружающей среды (температура, давление, влажность) с соответствующими диапазонами измерений (см.
приложение Г);
- СИ расхода газа - встроенный электронный регулятор расхода газа;
- система непрерывного отбора проб;
- система подготовки проб, обеспечивающая очистку пробы газа от механических частиц, капельной жидкости и водяных паров;
- баллон из углеродистой стали марки 150у вместимостью 40 дм
3 по
ГОСТ 949;
- гелий газообразный марки А с объемной долей основного компонента не менее 99,995%;
- аргон газообразный высокой чистоты с объемной долей основного компонента не менее 99,998%;
- водород газообразный высокой чистоты с объемной долей основного компонента не менее 99,995% (при включении в комплектацию пламенно-ионизационного детектора);
- воздух сжатый класса 0 по
ГОСТ 17433 (при включении в комплектацию пламенно-ионизационного детектора).
4.3 Допускается использование других вспомогательных средств измерений и устройств аналогичного назначения, технические и метрологические характеристики которых не уступают указанным, а также материалов, обеспечивающих нормативы точности при проведении измерений. Допускается использование генераторов водорода и компрессоров воздуха, обеспечивающих подачу чистых газов и воздуха с характеристиками в соответствии с нормативными документами, указанными в
4.2.1 и
4.2.2.
4.4 Средства измерений (СИ), применяемые для определения компонентного состава ПГ, должны соответствовать требованиям нормативных правовых актов стран - участников Соглашения <1>.
--------------------------------
<1> В Российской Федерации - Федеральному
закону от 26 июня 2008 г. N 102-ФЗ "Об обеспечении единства измерений".
5.1 Измерения молярной доли компонентов в пробе ПГ выполняют газохроматографическим методом, основанным на разделении компонентов в газоадсорбционном и/или газожидкостном вариантах хроматографии.
5.2 В зависимости от требований к анализу компонентного состава ПГ используют метод А или метод Б для ПГ постоянного состава и метод В для ПГ переменного состава.
5.2.1 Метод А предназначен для измерений молярной доли всех компонентов, перечисленных в
таблице 1.
Молярную долю азота, кислорода, гелия, водорода, диоксида углерода, предельных углеводородов до C5, бензола и толуола измеряют индивидуально для каждого компонента, а молярную долю изомеров тяжелых углеводородов измеряют суммарно в виде псевдокомпонентов C6, C7 и C8. Для псевдокомпонентов C6, C7 и C8 градуировочные коэффициенты принимаются равными градуировочным коэффициентам, установленным для углеводорода нормального строения с таким же числом углеродных атомов.
Примечания
1 Допускается градуировочный коэффициент неопентана принимать равным градуировочному коэффициенту, установленному для изопентана.
2 При проведении определений компонентного состава ПГ в лаборатории допускается не проводить измерение молярной доли бензола и толуола индивидуально, а учитывать их содержание в молярной доле псевдокомпонентов C7 и C8, соответственно.
Хроматографическое разделение компонентов пробы газа может быть проведено с использованием насадочных, микронасадочных или капиллярных колонок, детекторов ДТП и ПИД в различных сочетаниях.
5.2.2 Метод Б предназначен для измерений молярной доли азота, кислорода, гелия, водорода, диоксида углерода, углеводородов от C
1 до C
5 индивидуально, а все углеводороды, более тяжелые, чем
н-пентан, рассматривают как единый псевдокомпонент C
6+ и его молярную долю измеряют суммарно с использованием суммарной площади пиков углеводородов тяжелее
н-пентана и градуировочного коэффициента, установленного:
- по н-гексану в ГСО-ИПГ или
- по C
6+ в ГСО-ПГМ при измерении молярной доли тяжелых углеводородов или по C
6+* в ГСО-ПГМ при определении физико-химических показателей ПГ (см.
таблицу В.2.2 приложения В).
Примечание - Допускается проведение измерений молярной доли некоторых компонентов в диапазоне от 0,001% до 0,005% с использованием стандартного образца соответствующего состава и нормативов точности метода А.
5.2.3 Метод В предназначен для анализа ПГ переменного состава. Метод В может быть реализован в двух вариантах:
- для измерения значений молярной доли индивидуальных компонентов: гелий, водород, азот, кислород, диоксид углерода, метан, этан, пропан, изобутан, н-бутан, изопентан, неопентан, н-пентан, бензол, толуол и молярной доли изомеров тяжелых углеводородов суммарно в виде псевдокомпонентов C6, C7 и C8 с построением градуировочной характеристики для каждого компонента;
- для измерения молярной доли азота, кислорода, гелия, водорода, диоксида углерода, углеводородов от C1 до C5 индивидуально и молярной доли всех тяжелых углеводородов в виде единого псевдокомпонента C6+ суммарно с использованием метода обратной продувки по суммарной площади пиков углеводородов тяжелее н-пентана и градуировочной характеристики для н-гексана.
5.2.4 Методы А, Б и В могут быть использованы также в тех случаях, когда один или несколько компонентов в пробе не определяют. В этом случае информация о значении молярной доли этого(их) компонента(ов) должна быть получена из другого источника и принята как условно-постоянная на установленный период времени.
5.2.5 Молярную долю метана определяют:
- методом прямых измерений (метан по анализу);
- методом вычисления разности между 100% и суммой измеренных значений молярной доли компонентов и значений молярной доли компонентов, принятых как условно-постоянные (метан по разности).
При значении молярной доли метана менее 90% предпочтительным является определение содержания метана по анализу.
5.3 Градуировка хроматографов
5.3.1 При анализе ПГ постоянного состава <1> используют метод абсолютной градуировки в точке с использованием градуировочных смесей - имитаторов природного газа (СО-ИПГ) или СО на основе магистрального природного газа (СО-ПГМ) с метрологическими характеристиками, приведенными в
таблицах В.1.1 и
В.1.3 (приложение В).
5.3.2 При анализе ПГ переменного состава <1> используют градуировочную характеристику, устанавливаемую для каждого компонента в рабочем диапазоне измерений с использованием стандартных образцов состава с метрологическими характеристиками, приведенными в
таблицах В.1.1,
В.2.1 и
В.3.1 (приложение В).
--------------------------------
<1> Природный газ переменного состава - ПГ, содержание компонентов в котором изменяется за период между последовательными определениями компонентного состава более чем на допускаемое отличие значений молярной доли компонента в градуировочном газе и пробе, указанное в
таблице 2.
Для всех определяемых компонентов, кроме метана, строят градуировочную характеристику общего вида y = a·x, для измерения молярной доли метана - градуировочную характеристику общего вида y = a·x + b.
Для построения градуировочной характеристики для измерения молярной доли псевдокомпонента C
6+ используют стандартные образцы ГСО-ИПГ с метрологическими характеристиками, приведенными в
таблице В.2.1 (приложение В).
5.4 Методы А, Б и В могут быть реализованы как на лабораторных, так и на потоковых хроматографах <*>.
--------------------------------
<*> Для реализации методов А и Б допускается применение специализированных хроматографов, предназначенных согласно описанию типа СИ для выполнения измерений по
ГОСТ 31371.7-2008.
5.5 Методы А, Б и В могут быть использованы для проведения измерения суммарной молярной доли азота и кислорода как одного компонента со свойствами азота, когда не требуется раздельное определение содержания кислорода и азота.
Примечание - Определение молярной доли кислорода и азота суммарно будет давать небольшой вклад в погрешность результата из-за незначительной разности между откликами детектора на кислород и азот.
| | ИС МЕГАНОРМ: примечание. В официальном тексте документа, видимо, допущена опечатка: стандарт имеет номер ГОСТ 31370-2008, а не ГОСТ 31370-2007. | |
5.6 В случае если используемый метод не позволяет проводить измерение молярной доли отдельных компонентов ПГ (гелий, водород, кислород, метанол и др.), информация об их содержании должна быть получена из других источников и учтена при вычислении компонентного состава пробы природного газа. Кроме того, должна быть учтена молярная доля неизмеряемых компонентов, к числу которых относятся серосодержащие компоненты, водяные пары и др. Информация о содержании указанных компонентов должна проверяться с периодичностью, установленной для конкретного узла измерений в соответствии с системой качества предприятия (при необходимости с учетом
подраздела 4.2 ГОСТ 31370-2007), но не реже одного раза в квартал, и приниматься в течение установленного периода времени как условно-постоянная.
Примечание - Источником информации о значении и неопределенности молярной доли неизмеряемых компонентов могут быть данные, указанные в паспорте (протоколе) анализа, выданном аккредитованной лабораторией.
5.7 Результаты измерений, полученные любым методом, могут использоваться для проведения вычисления значений ФХП ПГ.
6 Требования безопасности, охраны окружающей среды
6.1 Средства измерений должны применяться в соответствии с требованиями эксплуатационной документации по безопасности их применения.
6.2 При работе с газами и газовыми смесями в баллонах под давлением следует руководствоваться нормативными правовыми актами стран - участников Соглашения <2>.
--------------------------------
<2> В Российской Федерации действуют "
Правила промышленной безопасности опасных производственных объектов, на которых используется оборудование, работающее под избыточным давлением" (утверждены приказом Ростехнадзора от 25 марта 2014 г. N 116).
6.3 По токсикологической характеристике согласно
ГОСТ 12.1.007 горючие природные газы относятся к веществам 4-го класса опасности (вещества малоопасные), но при концентрациях, снижающих содержание кислорода в атмосфере до 15% - 16%, природный газ вызывает удушье. При определении предельно допустимых концентраций опасных веществ в воздухе рабочей зоны следует руководствоваться национальными нормативными документами <3>:
--------------------------------
<3> В Российской Федерации действуют
ГН 2.2.5.1313-03 "Предельно допустимые концентрации (ПДК) вредных веществ в воздухе рабочей зоны. Гигиенические нормативы".
- метана - 7000 мг/м3 (максимальная разовая);
- углеводородов алифатических предельных C2 - 10 (в пересчете на C) - 900/300 мг/м3 (максимальная разовая/среднесменная).
Содержание химических веществ в воздухе рабочей зоны не должно превышать санитарно-гигиенические нормативы по
ГОСТ 12.1.005.
6.4 Горючие природные газы относятся к группе веществ, образующих с воздухом взрывоопасные смеси. Концентрационные пределы распространения пламени для метана в смеси с воздухом составляют: нижний концентрационный предел распространения пламени - 4,4%, верхний концентрационный предел распространения пламени - 17% по
ГОСТ 30852.19.
6.5 Общие правила по взрыво- и пожарной безопасности, меры предупреждения и средства защиты работающих от воздействия природного газа, требования к их личной гигиене, оборудованию и помещениям регламентированы системой стандартов безопасности труда, утвержденных в установленном порядке.
6.6 При проведении работ с ПГ должны выполняться общие требования охраны окружающей среды в соответствии с нормативными правовыми актами стран - участников Соглашения <1>.
--------------------------------
<1> В Российской Федерации действует
ГОСТ Р ИСО 14001-2016 "Системы экологического менеджмента. Требования и руководство по применению".
7 Требования к квалификации оператора
7.1 Оператор, выполняющий измерения и обработку их результатов при определении компонентного состава и физико-химических показателей природного газа, должен соответствовать квалификационным требованиям, указанным в квалификационных справочниках или профессиональных стандартах для выполняемого вида профессиональной деятельности <2>.
--------------------------------
<2> В Российской Федерации действует Единый квалификационный справочник должностей руководителей, специалистов и служащих,
порядок применения которого утвержден постановлением Минтруда России от 9 февраля 2004 г. N 9.
7.2 К выполнению измерений и обработке результатов допускаются лица, ознакомившиеся с руководствами по эксплуатации применяемых средств измерений и настоящей методикой измерений, владеющие техникой газохроматографического анализа и процедурами обработки результатов.
8 Условия проведения хроматографического анализа
8.1 Общие условия выполнения хроматографических измерений
8.1.1 При выполнении хроматографических измерений должны соблюдаться условия, указанные в руководстве по эксплуатации лабораторных и потоковых хроматографов, а также вспомогательных средств измерений.
8.1.2 Диапазоны измерений применяемых вспомогательных СИ (термометра, гигрометра, барометра) должны соответствовать диапазонам измерений контролируемых параметров окружающей среды.
8.1.3 При настройке хроматографа в соответствии с конкретной измерительной задачей с целью обеспечения измерений молярной доли индивидуально определяемых компонентов проверяют норматив на приемлемое разрешение для двух соседних пиков.
Значение норматива для компонентов с близкими значениями времени удерживания устанавливают в ходе пуско-наладочных работ на месте эксплуатации хроматографа или при внедрении методики измерений и контролируют при проведении работ в соответствии с планом внутрилабораторного контроля. За норматив на приемлемое разрешение для двух соседних пиков принимается разрешение, при котором высота точки пересечения двух пиков не превышает 1/3 высоты минимального из неразделенных пиков.
Норматив на приемлемое разрешение проверяют для пар: водород - гелий, азот - метан, метан - диоксид углерода, диоксид углерода - этан, пропан - изобутан, изобутан - н-бутан или других пар компонентов.
8.2 Условия хроматографического разделения компонентов природного газа
В общем случае условия хроматографического разделения компонентов пробы ПГ определяются реализуемым на хроматографе методом анализа.
Указанные в
5.3 методы анализа могут быть реализованы с помощью различных вариантов условий хроматографического разделения компонентов газа (тип, размер и количество хроматографических колонок, температурный режим и т.д.) и конфигураций лабораторного или потокового хроматографа.
При поставке "под ключ" хроматографических комплексов, предназначенных для анализа природного газа по одному из методов настоящей методики, поставщик должен представить сопроводительную документацию, содержащую следующую информацию:
- характеристику хроматографической колонки с указанием типа и марки материала колонки и ее размеров;
- температурный режим термостата колонок (в случае использования режима программирования температуры термостата колонок: начальная температура термостата колонок, в градусах Цельсия; время поддержания начальной температуры термостата колонок; временные интервалы промежуточных изотерм термостата колонок; конечная температура термостата колонок; время поддержания конечной температуры термостата колонок; скорости подъема температуры термостата колонок), включая рекомендации по регенерации;
- рабочую температуру детектора, °C;
- рабочую температуру дозирующего устройства, °C;
- тип и требования к качеству газа-носителя;
- режим управления расходом газа-носителя, см3/мин;
- объем дозы, см3;
- параметры настройки детекторов;
- время анализа, мин;
- образцы хроматограмм стандартного образца состава при рекомендуемых условиях проведения анализа.
В
приложении Д приведены примеры задания условий для хроматографического разделения компонентов и хроматограммы, полученные при указанных условиях.
9 Подготовка к выполнению измерений
При подготовке к выполнению измерений проводят следующие работы:
- установку хроматографических колонок (в случае, если монтаж хроматографических колонок не проведен предприятием-изготовителем);
- регенерацию (кондиционирование) хроматографических колонок;
- монтаж и подготовку аппаратуры;
- настройку хроматографа;
- градуировку хроматографа;
- отбор проб ПГ.
9.1 Установка хроматографических колонок
Хроматографические колонки могут входить в комплект поставки и устанавливаться непосредственно в хроматограф на предприятии-изготовителе.
Установку и замену хроматографической колонки проводят в соответствии с указаниями, приведенными в руководстве по эксплуатации хроматографа.
9.2 Регенерация хроматографических колонок
9.2.1 Регенерацию колонок проводят:
- при превышении значения уровня шумов нулевой линии, контролируемого для компонентов с молярной долей, соответствующей нижней границе диапазона измерений;
- при ухудшении в процессе эксплуатации разделительных характеристик хроматографических колонок, при котором разрешение пиков превышает норматив (см.
8.1.3);
- при изменении в процессе эксплуатации времени удерживания компонентов более границ

окон, установленных в программе сбора и обработки хроматографических данных.
9.2.2 Регенерацию хроматографических колонок проводят в соответствии с инструкциями предприятия-изготовителя или заменяют на новые.
Примечание - Периодичность контроля уровня шумов нулевой линии, разделительных характеристик хроматографических колонок и времени удерживания компонентов устанавливают в соответствии с планом внутрилабораторного контроля.
9.3 Монтаж и подготовка аппаратуры
Монтаж и подготовку аппаратуры к измерениям осуществляют согласно соответствующим разделам эксплуатационных документов предприятия-изготовителя.
Все линии подачи градуировочной смеси и анализируемого газа должны быть изготовлены из инертных по отношению к компонентам ПГ материалов; предпочтительной является трубка из нержавеющей стали.
С целью предохранения поверхностей крана-дозатора от повреждений на линии подачи газов должен устанавливаться фильтр для улавливания механических примесей.
9.4 Настройка хроматографа
9.4.1 Настройку хроматографа проводят согласно эксплуатационной документации на хроматограф.
9.4.2 Первичную настройку хроматографа проводят на предприятии-изготовителе. Возможна дополнительная проверка настроек и их коррекция для конкретного состава природного газа поставщиком при включении этих работ в условия контракта на поставку хроматографа.
9.4.3 После ремонта хроматографа или замены хроматографических колонок настройку хроматографа осуществляет сервис-инженер или специалист соответствующей квалификации.
9.5 Градуировка хроматографа
9.5.1 Перед проведением градуировки осуществляют продувку системы градуировочной смесью. Для этого после подсоединения баллона с градуировочной смесью к системе дозирования с целью удаления атмосферного воздуха из вентиля тонкой регулировки (редуктора) проводят двух-, трехкратную продувку (промывку) подключаемого вентиля, открывая и закрывая вентиль баллона, стравливая газ из системы.
Затем градуировочной смесью продувают кран-дозатор, при этом объем продуваемой смеси должен быть равен не менее чем 20-кратному объему дозирующих петель крана и подводящих трубок. Продувку проводят с расходом градуировочной смеси не менее 25 см3/мин, контролируемым с помощью расходомера.
Подачу градуировочной смеси в лабораторный хроматограф проводят с остановкой потока в течение не более 2 с для выравнивания давления газа в дозирующей петле с атмосферным и переключают дозирующее устройство для ввода газа в хроматографические колонки.
Подачу градуировочной смеси в потоковый хроматограф проводят в соответствии с алгоритмом, предусмотренным программным обеспечением метода анализа.
9.5.2 Градуировку хроматографа методом абсолютной градуировки (в точке) проводят, используя стандартные образцы (СО) состава природного газа - газовые смеси в баллонах под давлением (см.
таблицу В.1 приложения В).
9.5.2.1 Значения молярной доли определяемого компонента в градуировочной смеси и в анализируемом газе не должны отличаться более допускаемых значений, указанных в
таблице 2
Таблица 2
Требования к содержанию компонентов в градуировочной смеси
Значение молярной доли компонента в анализируемом газе xi, % | Допускаемое значение молярной доли компонента в градуировочной смеси в зависимости от его значения в анализируемом газе xi, % |
От 0,0010 до 0,010 включ. | От 0,5xi до 3·xi |
Св. 0,010 до 1,0 включ. | От 0,5·xi до 2·xi |
Св. 1,0 до 15 включ. | От 0,5·xi до 1,5·xi |
Св. 40 до 75 включ. | От 0,8·xi до 1,2·xi |
Св. 75 до 90 включ. | От 0,9·xi до 1,1·xi |
Св. 90 | От 0,95·xi до 1,05·xi |
Примечание - Информация о содержании компонентов в ПГ может быть получена на основании результатов предварительного анализа пробы ПГ или результатов расширенного анализа проб ПГ, полученных в аккредитованной лаборатории.
9.5.2.2 Хроматограммы градуировочной смеси регистрируют не менее трех раз в день проведения измерений (для лабораторных хроматографов) и не реже чем один раз в сутки (для потоковых хроматографов).
9.5.2.3 При обработке хроматограмм градуировочной смеси с помощью программного обеспечения автоматически или вручную проводят вычисление градуировочных коэффициентов для каждого
i-го компонента в градуировочной смеси при
l-м измерении

по формуле

, (1)
где

- молярная доля
i-го компонента в градуировочной газовой смеси, %;

- значение сигнала
i-компонента на хроматограмме градуировочной смеси при
l-м измерении, выраженное в единицах счета.
9.5.2.4 При проведении измерений с использованием лабораторных хроматографов значение сигнала

должно быть откорректировано с учетом поправки на изменение давления и температуры в процессе проведения измерений путем деления каждой получаемой площади пика на коэффициент
q, вычисленный по формуле

, (2)
где t - температура окружающего воздуха при дозировании газовой смеси, °C;
Pб - атмосферное барометрическое давление, кПа.
В том случае, если в состав хроматографа входит обогреваемое дозирующее устройство, вводят поправку только для исключения влияния изменения атмосферного давления при проведении измерений в соответствии с рекомендациями, приведенными в ГОСТ 31371.1-2020
(приложение E).
9.5.2.5 Проводят проверку приемлемости результатов определения градуировочного коэффициента по значению относительного размаха трех результатов определения

, вычисляемого по формуле

, (3)
где

,

и

- максимальное, минимальное и среднеарифметическое значения градуировочных коэффициентов для
i-го компонента.
Среднеарифметическое значение градуировочных коэффициентов

вычисляют по формуле

(4)
где nl - число вводов градуировочной смеси.
Результат градуировки хроматографа считают приемлемым, если значения относительного размаха
R0i полученных значений

не превышают пределов допускаемых значений
R*Ki, вычисленных для каждого
i-го компонента по формуле
R*Ki = 0,8·U0(xi), (5)
где U0(xi) - относительная приписанная расширенная неопределенность измерений для паспортного значения молярной доли i-го компонента в градуировочной смеси, %.
Значение относительной расширенной неопределенности U0(xi), %, вычисляют по формуле

, (6)
где U(
xi) - расширенная неопределенность молярной доли
i-го компонента, вычисленная по формуле, приведенной в
таблице 1, %.
Проверку приемлемости градуировки лабораторного хроматографа проводит оператор или она выполняется автоматически в соответствии с программным обеспечением.
Проверка приемлемости градуировки потокового хроматографа должна проводиться автоматически программным обеспечением хроматографа.
Если по результатам трех измерений не получен результат, удовлетворяющий требованиям норматива размаха, проводят дополнительные измерения (не более трех) и вычисляют размах значений градуировочного коэффициента по результатам трех последовательно полученных значений.
За результат определения градуировочного коэффициента принимают среднеарифметическое значение

из трех последовательно полученных значений, удовлетворяющих требованиям приемлемости.
В случае, если в серии из шести измерений для лабораторного или потокового хроматографа не получено удовлетворяющее нормативам значение градуировочного коэффициента, измерения прекращают, выясняют причину нестабильности показаний хроматографа и предпринимают мероприятия по ее устранению.
9.5.2.6 Допускается проводить абсолютную градуировку "в точке" на лабораторных хроматографах после хроматографического анализа отобранной пробы природного газа.
9.5.2.7 Рекомендуется контролировать стабильность значений градуировочных коэффициентов компонентов с применением контрольных карт.
Примечание - При подтверждении стабильности градуировочных коэффициентов компонентов на лабораторном хроматографе метрологической службой предприятия может быть принято решение об изменении периодичности градуировки хроматографа, при необходимости согласованное с контрагентом, но не реже одного раза в месяц.
9.5.3 Для ПГ переменного состава градуировочную характеристику устанавливают для каждого компонента в рабочем диапазоне с использованием двух градуировочных смесей ГСО-ИПГ с содержанием компонентов, приведенным в
таблице 3.
Таблица 3
Метрологические характеристики ГСО-ИПГ
Определяемый компонент | Диапазон молярной доли компонентов x, % | Молярная доля компонентов x, % |
ГСО N 1 | ГСО N 2 |
Этан | 0,005 - 15 | 6 - 8 | 12 - 15 |
Пропан | 0,005 - 6,0 | 2,5 - 3,5 | 5 - 6 |
Изобутан | 0,005 - 4,0 | 2 - 2,5 | 3,5 - 4 |
н-Бутан | 0,005 - 4,0 | 2 - 2,5 | 3,5 - 4 |
Неопентан | 0,005 - 0,05 | 0,015 - 0,020 | 0,04 - 0,05 |
Изопентан | 0,005 - 2,0 | 0,8 - 1,0 | 1,5 - 2,0 |
н-Пентан | 0,005 - 2,0 | 0,8 - 1,0 | 1,5 - 2,0 |
| 0,005 - 1,0 | 0,5 - 0,6 | 0,8 - 1,0 |
Гептан | 0,005 - 0,25 | 0,05 - 0,10 | 0,20 - 0,25 |
Октан | 0,005 - 0,05 | 0,015 - 0,020 | 0,04 - 0,05 |
Бензол | 0,005 - 0,05 | 0,015 - 0,020 | 0,04 - 0,05 |
Толуол | 0,005 - 0,05 | 0,015 - 0,020 | 0,04 - 0,05 |
Диоксид углерода | От 0,005 до 0,025 включ. | От 0,005 до 0,007 включ. | От 0,020 до 0,025 включ. |
Св. 0,025 до 10 включ. | Св. 6 до 7 включ. | Св. 9 до 10 включ. |
Гелий | 0,005 - 0,5 | 0,1 - 0,20 | 0,4 - 0,5 |
Водород | 0,005 - 0,5 | 0,1 - 0,20 | 0,4 - 0,5 |
Кислород | От 0,005 до 0,025 включ. | От 0,005 до 0,007 включ. | От 0,020 до 0,025 включ. |
Св. 0,025 до 2,0 включ. | Св. 0,8 до 1,0 включ. | Св. 1,5 до 2,0 включ. |
Азот | От 0,005 до 0,025 включ. | От 0,005 до 0,007 включ. | От 0,020 до 0,025 включ. |
Св. 0,025 до 15 включ. | Св. 6 до 8 включ. | Св. 12 до 15 включ. |
Метанол | 0,005 - 0,05 | 0,010 - 0,015 | От 0,04 до 0,05 |
Метан (по разности) | 40 - 99,97 | Остальное | Остальное |
Метан (по анализу) | 45 - 50 | 95 - 99 |
<*> При проведении измерений содержания тяжелых углеводородов в виде псевдокомпонента C 6+ верхний предел диапазона измерений молярной доли гексана в ГСО N 2 составляет 1,5%. |
Для построения градуировочной характеристики при определении содержания метана по анализу используют ГСО метана в азоте с молярной долей в диапазонах (45 - 50)% и (95 - 99)% или ГСО состава природного газа (ГСО-ИПГ) с аттестованным значением молярной доли метана, удовлетворяющим требованиям, приведенным в
таблицах В.1.1,
В.2.1 и
В.3.1 (приложение В).
9.5.3.1 Каждую градуировочную смесь вводят в хроматограф не менее пяти раз, регистрируют площади хроматографических пиков компонентов в единицах измерений. Проводят корректировку площадей пиков в соответствии с
9.5.2.4. Проверяют приемлемость полученных значений площадей пиков.
Проверку проводят по значению относительного среднеквадратического отклонения значений сигналов детектора
Ail при
l-м вводе смеси для каждого
i-го компонента

, вычисляемому по формуле

(7)
где nl - число запусков градуировочной смеси;

- среднеарифметическое значение сигналов детектора, в единицах счета, вычисляют по формуле

(8)
где Ail - сигнал детектора (площадь пика) i-го компонента при l-м запуске смеси.
Полученные

не должны превышать значений

, вычисляемых по формулам, приведенным в
таблице 4.
Таблица 4
Допускаемые значения относительного среднеквадратического
отклонения сигналов детектора

Молярная доля компонента в смеси, % |  , % |
От 0,005 до 0,010 включ. | 20 - 1000·xi |
Св. 0,010 до 0,10 включ. | 10 - 40·xi |
Св. 0,10 до 1,0 включ. | 6 - 3·xi |
Св. 1,0 до 15 включ. | 3 - 0,12·xi |
Св. 40 до 99 включ. | 0,68 - 0,0063·xi |
При несоответствии полученных значений

указанным требованиям допускается исключить значения площадей пиков, полученные при первых вводах градуировочной смеси, и провести соответственно 1 - 2 дополнительных ввода градуировочной смеси.
Если вновь вычисленные значения

не удовлетворяют требованиям норматива, следует провести мероприятия по установлению и устранению причин нестабильной работы хроматографа.
При удовлетворительных результатах проверки приемлемости данных (для каждой градуировочной смеси) значения, вычисленные по
формуле (8), регистрируют как

, где
m - порядковый номер градуировочной смеси.
9.5.3.2 Используя паспортные значения молярной доли
i-го компонента двух ГСО и вычисленные соответствующие значения

, строят градуировочную характеристику для всех компонентов, кроме метана, вида
Ai =
bi·
xi, проходящую через начало координат с использованием ПО хроматографа или электронных таблиц, например Excel.
Для метана строят градуировочную характеристику вида Ai = bi·xi + B.
При этом для каждого i-го компонента вычисляют значение коэффициента bi градуировочной характеристики по методу наименьших квадратов по формуле

. (9)
9.5.3.3 Проверку приемлемости значений коэффициента
bi проводят путем сравнения значений молярной доли
i-го компонента в каждой из градуировочных смесей, определенных по установленной градуировочной характеристике

, со значениями молярной доли, указанными в паспорте на ГСО

.
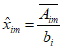
Значение молярной доли i-го компонента xim вычисляют по формуле

. (10)
Результат проверки приемлемости значений коэффициента bi признают удовлетворительным при выполнении для каждой градуировочной смеси условия

. (11)
При положительных результатах проверки фиксируют вычисленное значение bi для каждого i-го компонента.
При отрицательных результатах проверки приемлемости значений коэффициентов
bi компонентов выясняют и устраняют причины несоблюдения требований, после чего проводят повторно процедуры по
9.5.3.2 и 9.5.3.3.
При отрицательных результатах проверки приемлемости значений коэффициента bi в диапазоне молярной доли кислорода, диоксида углерода и азота от 0,005% до 0,025% строят градуировочную характеристику вида Ai = bi·xi + B.
При повторном получении отрицательного результата делают вывод о непригодности конкретного экземпляра хроматографа в данном исполнении для внедрения настоящей методики по методу В.
9.5.3.4 Контроль градуировочной характеристики выполняют для потоковых хроматографов один раз в сутки, а для лабораторных хроматографов в день проведения анализа с помощью одной из газовых смесей - ГСО, которая использовалась при установлении градуировочной характеристики.
Стандартный образец запускают не менее трех раз, фиксируют значения выходных сигналов детектора для каждого
i-го компонента и проводят проверку их приемлемости по относительному размаху

, %, по формуле

, (12)
где
Ai max ГСО,
Ai min ГСО,

- максимальное, минимальное и среднеарифметическое значения выходного сигнала детектора для
i-го компонента, единицы измерений.
Вычисленное значение

не должно превышать допустимых значений

, вычисляемых по формуле

. (13)
При невыполнении норматива приемлемости допускается провести дополнительные запуски ГСО (не более трех) и вычислить

по трем последовательно полученным значениям.
В том случае, если после проведения шести запусков не получено удовлетворительное значение

, следует провести мероприятия по выявлению и устранению причин нестабильной работы хроматографа.
При положительных результатах проверки приемлемости значений сигнала, используя значение

, вычисляют значение молярной доли компонентов в ГСО (
xi ГСО) по формуле

. (14)
Результат контроля признают удовлетворительным при выполнении условия

, (15)
где

- значение молярной доли
i-го компонента, указанное в паспорте на ГСО, используемого при контроле градуировки, %.
При невыполнении условия следует провести мероприятия по установлению и устранению причин получения отрицательных результатов, после чего провести повторно процедуру построения градуировочной характеристики.
9.5.3.5 Установленные уравнения градуировочных характеристик сохраняют в ПО хроматографа. Для используемой аналитической системы рекомендуется контролировать стабильность значений коэффициентов bi градуировочной характеристики компонентов с применением контрольных карт.
Примечание - При подтверждении стабильности работы аналитической системы метрологической службой предприятия может быть принято решение об изменении периодичности контроля градуировки хроматографа, при необходимости согласованное с контрагентом, но не реже одного раза в месяц.
9.5.3.6 Повторную процедуру построения градуировочной характеристики проводят при возобновлении работы:
- после текущего ремонта хроматографа;
- после замены основной части измерительной системы, например крана-дозатора, колонки, детектора или условий хроматографического разделения;
- после того, как при ежедневном контроле градуировочной характеристики получен отрицательный результат.
9.6.1 Отбор проб газа для анализа проводят в соответствии с
ГОСТ 31370.
9.6.2 Отбор проб газа для периодического контроля с использованием лабораторных хроматографов осуществляют в баллоны, изготовленные из материалов, инертных по отношению к компонентам природного газа, методом точечного отбора проб.
Примечание - Допускается использование оборудованных линий подачи газа и систем подготовки пробы непосредственно из газопровода к месту установки лабораторного хроматографа при обеспечении требований безопасности и отсутствия конденсации углеводородов.
При отборе проб ПГ в баллоны запрещается использование компримирующего оборудования, давление газа в баллоне с отобранной пробой контролируют с помощью манометра.
9.6.3 Отбор проб газа при непрерывном анализе потоковыми хроматографами осуществляют с помощью специально оборудованного узла отбора газа и линий подачи газа непосредственно из газопровода к месту установки хроматографа. Система подготовки проб анализируемого газа должна соответствовать требованиям
ГОСТ 31370.
10 Порядок выполнения измерений
10.1 Выполнение измерений и градуировка хроматографа должны проводиться при одинаковых условиях хроматографического анализа.
10.2 Дозирование пробы анализируемого природного газа в потоковый хроматограф осуществляется в автоматическом программируемом режиме.
После переключения линии подачи с градуировочного газа на анализируемый проводят продувку по
9.5.1.
10.3 Дозирование пробы анализируемого природного газа в лабораторный хроматограф осуществляют в ручном или автоматическом режиме.
К входу дозирующего устройства лабораторного хроматографа подключают пробоотборник с пробой газа.
Проводят продувку по
9.5.1.
10.4 После завершения регистрации хроматограммы автоматически с помощью программного обеспечения или вручную проводят вычисление измеренных (ненормализованных) значений молярной доли компонентов в ПГ по формулам
раздела 11.
Результаты вычислений значений молярной доли компонентов пробы природного газа должны быть заархивированы и доступны для просмотра на мониторе компьютера или на распечатке отчета.
10.5 При режиме непрерывного анализа газа потоковым хроматографом выполнение измерений молярной доли компонентов проводится согласно заданному алгоритму работы хроматографа.
10.6 При периодическом анализе состава газа по точечным пробам, отобранным в баллон, проводят два измерения молярной доли компонентов в пробе.
Проверяют приемлемость полученных результатов по значению расхождения ri (молярная доля, %) двух последовательных измерений по формуле
ri = |xi1 - xi2|, (16)
где xi1 и xi2 - значения молярной доли i-го компонента, полученные при двух измерениях, %.
Результаты считают приемлемыми, если
ri не превышает допускаемых значений

, вычисленных по формуле

, (17)
где U(
xi) - приписанная расширенная неопределенность результата измерений по данной МИ для среднеарифметического значения молярной доли
i-го компонента, вычисляемая по формулам
таблицы 1, %.
При несоответствии полученных результатов измерений молярной доли требованиям приемлемости проводят дополнительные измерения. Проверку приемлемости полученных результатов измерений проводят по результатам двух последовательно проведенных измерений.
В случае, если при проведении пяти измерений не получены удовлетворительные результаты, измерения прекращают, пробу признают нестабильной и бракуют.
Примечание - Допускается для компонентов с измеренными значениями молярной доли не более 0,01% проводить обработку данных согласно
примечанию к 11.4.3.
11 Обработка и оформление результатов измерений
11.1 Первичную обработку результатов хроматографических измерений молярной доли компонентов в пробе ПГ осуществляют с помощью программного обеспечения.
11.2 Исходное измеренное значение молярной доли компонента

, %, в анализируемой пробе ПГ вычисляется автоматически с использованием программного обеспечения или вручную после завершения анализа в соответствии с формулами:
- при анализе ПГ постоянного состава

, (18)
где

- значение градуировочного коэффициента
i-го компонента, определенного при проведении абсолютной градуировки в точке, %/ед. счета;
Aанi - значение сигнала детектора
i-го компонента в анализируемой газовой смеси, выраженное в единицах счета и откорректированное с учетом температуры анализируемой пробы в соответствии с
9.5.2.4;
- при анализе ПГ переменного состава

, (19)
где bi - значение градуировочного коэффициента i-го компонента, определенного по градуировочной характеристике, ед. счета/%;

- значение сигнала детектора
i-го компонента в анализируемой газовой смеси, выраженное в единицах счета и откорректированное с учетом температуры анализируемой пробы в соответствии с
9.5.2.4.
11.3 Исходное измеренное значение молярной доли псевдокомпонента C6+ в анализируемой пробе ПГ вычисляют по формулам:
- при анализе ПГ постоянного состава

, (20)
где

- значение градуировочного коэффициента для псевдокомпонента C
6+ с учетом указаний
5.2.2, %/ед. счета;

- суммарная площадь пиков углеводородов тяжелее
н-пентана, в единицах счета;
- при анализе ПГ переменного состава

, (21)
где

- значение градуировочного коэффициента для
н-гексана, определенного по градуировочной характеристике, ед. счета/%.
11.4 Определение молярной доли метана
11.4.1 Метан по анализу
При определении молярной доли всех компонентов по анализу полученные значения

рассматривают как ненормализованные.
В этом случае проводят нормализацию полученных при измерениях значений молярной доли компонентов одним из методов, приведенных в ГОСТ 31371.1-2020
(подраздел 6.9).
Проведение нормализации допускается только в случаях, если сумма значений молярной доли компонентов (измеренных и неизмеряемых, принятых как условно-постоянные) находится в пределах от 98% до 102%.
В случае если данное требование не соблюдается, следует провести расширенный анализ природного газа для уточнения компонентного состава и значений молярной доли компонентов, которые не анализируются и рассматриваются как компоненты с условно постоянным значением молярной доли xос.
Нормализованное значение молярной доли xi i-го компонента вычисляют по формуле

(22)
За результат измерения молярной доли компонента принимают нормализованное значение молярной доли.
11.4.2 Метан по разности
Молярную долю метана

, %, в пробе газа вычисляют как разность между 100% и суммой значений молярной доли компонентов по формуле

. (23)
При вычислении молярной доли метана должна быть учтена молярная доля всех компонентов (измеренных и неизмеряемых).
11.4.3 За результат измерения молярной доли компонентов (кроме метана) принимают значения:
- при непрерывном контроле (потоковые хроматографы) - полученные значения по результатам каждого измерения или среднеарифметическое значение, вычисленное из всех результатов измерений за определенный промежуток времени;
| | ИС МЕГАНОРМ: примечание. Здесь и далее в официальном тексте документа, видимо, допущена опечатка: имеется в виду п. 10.6, а не 10.7. | |
- при периодическом контроле (лабораторные хроматографы) - среднеарифметическое значение из двух последовательно полученных результатов, удовлетворяющих требованиям
10.7.
Примечание - Допускается за результат измерений молярной доли компонента принимать среднее арифметическое значение из
n измерений, полученных на лабораторном хроматографе, при условиях:
- ряд измеренных значений имеет случайный разброс (без монотонного возрастания или убывания);
- размах не превышает

при
n = 3;

при
n = 4 и

при
n = 5;
- вычисленное среднее арифметическое значение молярной доли не превышает 0,010%.
11.5 Результат измерения молярной доли i-го компонента в анализируемой пробе газа записывают в виде
[xi +/- U(xi)], (24)
где U(xi) - расширенная неопределенность измерения молярной доли компонента ПГ при k = 2, выраженная в % (соответствует границе абсолютной погрешности при P = 0,95).
Расширенную неопределенность молярной доли всех компонентов U(x
i) вычисляют по формулам, приведенным в
таблице 1.
Расширенную неопределенность молярной доли метана, определенной по разности, вычисляют по формуле

, (25)
где U(xi) - расширенная неопределенность измеренного значения молярной доли i-го компонента, %;
U(xос) - расширенная неопределенность молярной доли компонента, для которого принято условно-постоянное значение молярной доли, %, указанное в паспорте (протоколе) анализа.
Значение относительной расширенной неопределенности измерения молярной доли U0(xi), %, компонента пробы газа вычисляют по формуле

. (26)
11.6 Результат измерений молярной доли компонента округляют до значащей цифры.
Округление до значащей цифры проводят следующим образом.
Сначала проводят округление вычисленного значения расширенной неопределенности U(xi) до значащей цифры, при этом сохраняют:
- две цифры, если первая значащая цифра равна 1 или 2;
- одну цифру, если первая значащая цифра равна 3 и более.
Затем проводят округление результата. Результат округляют до того же десятичного знака, которым заканчивается округленное значение абсолютной неопределенности U(xi).
Примечание - Допускается проводить округление в соответствии с правилами, принятыми в организации.
11.7 Полученные результаты оформляют в виде протокола, форма которого принята системой менеджмента качества, с учетом рекомендаций, приведенных в ГОСТ 31371.1,
раздел 8.
В протоколе рекомендуется дополнительно приводить следующую информацию:
- источник данных о содержании неизмеряемых компонентов;
- способ определения молярной доли метана (по анализу или по разности);
- измерялся ли азот индивидуально или суммарно с кислородом.
12 Контроль точности результатов измерений
12.1 Постоянный контроль точности включает в себя:
- проверку приемлемости результатов градуировки по
9.5.2.5 и по
9.5.3.4 в день проведения измерений;
- проверку приемлемости результата измерений молярной доли компонента в пробе газа по
10.7.
Целесообразно следить за характером изменений среднего значения градуировочного коэффициента для каждого компонента при последующих градуировках. Настораживающими признаками являются:
- постоянное возрастание или убывание значения;
- отличие текущего значения более чем на 30% от значения, установленного при первичной градуировке.
Примечание - Рекомендуется осуществлять контроль стабильности значений градуировочных коэффициентов с использованием контрольных карт <1> в соответствии с ГОСТ 31371.1-2020 (
раздел 7 и
приложение G).
--------------------------------
<1> На территории Российской Федерации действуют
ГОСТ Р ИСО 5725-6-2002 "Точность (правильность и прецизионность) методов и результатов измерений. Часть 6. Использование значений точности на практике" и
ГОСТ Р ИСО 7870-2-2015 "Статистические методы. Контрольные карты. Часть 2. Контрольные карты Шухарта".
12.2 Периодический контроль проводят в соответствии с планом внутрилабораторного контроля, включая контроль правильности результатов измерений молярной доли компонентов природного газа.
12.3 Контроль правильности результатов измерений проводят с применением контрольной пробы (ГСО-ИПГ или ГСО-ПГМ) в отношении компонентов, молярная доля которых превышает 0,01%.
Результат контроля считают удовлетворительным при выполнении условия
|xизм - xпасп| <= U(xизм), (27)
где xизм - результат измерений молярной доли компонента в ГСО, %;
xпасп - значение молярной доли компонента в ГСО, указанное в паспорте, %;
U(
xизм) - значение абсолютной расширенной неопределенности измерений молярной компонента, вычисленное по формулам, приведенным в
таблице 1, %.
(справочное)
ОЦЕНКА НЕОПРЕДЕЛЕННОСТИ ИЗМЕРЕНИЙ МОЛЯРНОЙ ДОЛИ
КОМПОНЕНТОВ ПРИРОДНОГО ГАЗА
В общем случае оценка неопределенности измерений молярной доли компонентов включает в себя оценку стандартной неопределенности по типу A (UA), стандартной неопределенности по типу B (UB) и на их основе - расширенной стандартной неопределенности измерения молярной доли компонента.
А.1 Оценка неопределенности измерений молярной доли компонентов природного газа, включая метан
А.1.1 Оценка стандартной неопределенности по типу A измерения молярной доли компонентов ПГ
Оценку относительной стандартной неопределенности по типу A измерения молярной доли
i-го компонента

проводят по формуле

(А.1)
где xil - молярная доля i-го компонента при l-м измерении в пробе ПГ, %;

- результат измерения молярной доли
i-го компонента, %, вычисленный по формуле

(А.2)
где nl - число анализов смеси (не менее 5).
А.1.2 Оценка стандартной неопределенности по типу B измерения молярной доли компонента ПГ
Оценку относительной стандартной неопределенности по типу B измерения молярной доли
i-го компонента

проводят путем построения композиции неопределенностей средств измерений, метода измерений и неопределенностей от влияющих факторов.
При допущении о равновероятном распределении неопределенностей u0B вычисляют по формуле

, (А.3)
где m - число учитываемых составляющих.
При оценке относительной стандартной неопределенности по типу B учитывают вклад следующих составляющих:
- относительной стандартной неопределенности, обусловленной неточностью измерений молярной доли компонента в градуировочной смеси, %, вычисляемой по формулам:
- для случая, если в паспорте на стандартный образец указана относительная расширенная неопределенность аттестованного значения молярной доли компонента U0, %
u0B = 0,5·U0; (А.4)
- для случая, если в паспорте на стандартный образец указаны границы относительной погрешности аттестованного значения молярной доли компонента

, %

; (А.5)
- относительных стандартных неопределенностей, обусловленных изменениями барометрического давления

и температуры окружающего воздуха

за время измерений, %, вычисляемых по формуле

, (А.6)
где

- пределы допускаемой относительной погрешности используемых средств измерений температуры и давления, %;
- относительной стандартной неопределенности, обусловленной нелинейностью детектора хроматографа или неточностью построения градуировочной зависимости, или неточностью определения относительных коэффициентов чувствительности, или др.
Примечание - При использовании электронных регуляторов расхода газа-носителя, компенсирующих зависимость расхода от температуры и давления окружающей среды, при оценке неопределенности по типу B

и

могут не учитываться.
А.1.3 Оценка относительной суммарной стандартной и относительной расширенной неопределенностей измерения молярной доли i-го компонента ПГ
Оценку относительной суммарной стандартной

и относительной расширенной

неопределенностей измерения молярной доли
i-го компонента ПГ (без учета знака) вычисляют по формулам:

(А.7)

, (А.8)
где k - коэффициент охвата, принимаемый равным 2 при оценке неопределенности измерений (данная оценка соответствует границам суммарной погрешности при доверительной вероятности P = 0,95).
Расширенная неопределенность измерений молярной доли i-го компонента может быть вычислена на основании относительного значения расширенной неопределенности по формуле

. (А.9)
А.2 Оценка неопределенности измерения молярной доли метана при его определении по разности
А.2.1 Молярную долю метана

вычисляют по формуле

, (А.10)
где xi - молярная доля i-го компонента природного газа;
ni - количество компонентов в природном газе.
А.2.2 Оценку расширенной неопределенности измерений молярной доли метана

вычисляют по формуле

. (А.11)
(обязательное)
АЛГОРИТМ ПРОВЕРКИ ЛИНЕЙНОСТИ СИГНАЛА ДЕТЕКТОРА ХРОМАТОГРАФА
Б.1 Для проверки линейности сигнала детектора хроматографа в рабочем диапазоне измерений молярной доли компонентов природного газа переменного состава устанавливают градуировочную характеристику для каждого компонента с использованием пяти градуировочных смесей (ГСО-ИПГ) с содержанием компонентов, приведенных в
таблице Б.1.
Таблица Б.1
Требования к метрологическим характеристикам ГСО-ИПГ,
используемым для проверки линейности сигнала детектора
Определяемый компонент | Диапазон молярной доли компонентов, % | Номинальное значение молярной доли компонента в контрольных точках, % |
N 1 | N 2 | N 3 | N 4 | N 5 |
Этан | 0,005 - 15 | 0,005 | 0,05 | 1,0 | 5 | 15 |
Пропан | 0,005 - 6 | 0,005 | 0,025 | 0,10 | 1,0 | 6 |
Изобутан | 0,005 - 4 | 0,005 | 0,025 | 0,10 | 1,0 | 4 |
н-Бутан | 0,005 - 4 | 0,005 | 0,025 | 0,10 | 1,0 | 4 |
Неопентан | 0,005 - 0,05 | 0,005 | 0,010 | 0,015 | 0,025 | 0,05 |
Изопентан | 0,005 - 2,0 | 0,005 | 0,015 | 0,05 | 0,5 | 2,0 |
н-Пентан | 0,005 - 2,0 | 0,005 | 0,015 | 0,05 | 0,5 | 2,0 |
Гексаны | 0,005 - 1,0 | 0,005 | 0,010 | 0,05 | 0,10 | |
Гептаны | 0,005 - 0,25 | 0,005 | 0,010 | 0,025 | 0,05 | 0,25 |
Октаны | 0,005 - 0,05 | 0,005 | 0,010 | 0,015 | 0,025 | 0,05 |
Бензол | 0,005 - 0,05 | 0,005 | 0,010 | 0,015 | 0,025 | 0,05 |
Толуол | 0,005 - 0,05 | 0,005 | 0,010 | 0,015 | 0,025 | 0,05 |
Диоксид углерода | 0,005 - 10 | 0,005 | 0,025 | 0,10 | 1,0 | 10 |
Гелий | 0,005 - 0,5 | 0,005 | 0,010 | 0,10 | 0,25 | 0,5 |
Водород | 0,005 - 0,5 | 0,005 | 0,010 | 0,10 | 0,25 | 0,5 |
Кислород | 0,005 - 2,0 | 0,005 | 0,010 | 0,025 | 0,10 | 2,0 |
Азот | 0,005 - 15 | 0,005 | 0,025 | 0,10 | 1,0 | 15 |
Метанол | 0,005 - 0,05 | 0,005 | 0,010 | 0,015 | 0,03 | 0,05 |
Метан (по анализу) | 40 - 99,97 | 98 | 90 | 80 | 70 | 60 |
<*> При проведении измерений содержания тяжелых углеводородов в виде псевдокомпонента C 6+ молярная доля гексана в ГСО N 5 составляет 1,5%. |
Б.2 Перечень компонентов в составе газовых смесей должен соответствовать перечню компонентов, молярную долю которых измеряют с помощью хроматографа конкретной конфигурации.
Б.3 Значения молярной доли компонентов в газовых смесях могут отличаться от номинальных значений, приведенных в
таблице Б.1, на величину допуска на приготовление, указанного в описании типа на ГСО.
Композиции значений молярной доли компонентов в стандартных образцах могут быть произвольными, но при этом должны обеспечивать построение градуировочной характеристики по метану в указанных контрольных точках.
Б.4 Каждую градуировочную смесь вводят в хроматограф не менее пяти раз, регистрируют площади хроматографических пиков компонентов в единицах измерений. Проверяют приемлемость полученных значений площадей пиков.
Проверку проводят по значению относительного среднеквадратического отклонения значений сигнала детектора
Ail при
l-м вводе смеси для каждого
i-го компонента

, вычисляемого по формуле

(Б.1)
где nl - число запусков градуировочной смеси;

- среднее значение, вычисляемое по формуле

(Б.2)
где Ail - сигнал детектора (площадь пика) i-го компонента при l-м запуске смеси.
Полученные значения

не должны превышать 25% от значений относительной расширенной неопределенности U
0(
xi), вычисленной по формуле

, (Б.3)
где U(
xi) - абсолютная расширенная неопределенность, вычисленная по формулам, приведенным в
таблице 1.
При несоответствии результатов указанным требованиям допускается отбросить значения площадей пиков, полученные при 1 - 2 первых вводах градуировочной смеси, и провести соответственно 1 - 2 дополнительных ввода смеси.
При удовлетворительных результатах проверки приемлемости данных (для каждой градуировочной смеси) значения, вычисленные по
формуле (Б.2), регистрируют как

, где
m - порядковый номер градуировочной смеси.
Для каждого i-го компонента, кроме метана, строят градуировочную характеристику вида Ai = bi·xi с использованием ПО хроматографа или электронных таблиц (например, Excel) и фиксируют значения коэффициента bi и коэффициента корреляции. Для метана строят градуировочную характеристику вида Ai = bi·xi + B.
Градуировочная характеристика считается линейной при следующих условиях:
- значение коэффициента корреляции R2 не менее 0,999;
- для каждого компонента ГСО, использованных при построении градуировочной характеристики, соблюдается требование приемлемости значений коэффициента
bi по
формулам (10) и
(11).
В случае несоблюдения требования приемлемости значений коэффициента bi для кислорода, азота и диоксида углерода строят две градуировочные характеристики для диапазонов молярной доли от 0,005% до 0,025% и для молярной доли свыше 0,025%.
(обязательное)
ТРЕБОВАНИЯ К МЕТРОЛОГИЧЕСКИМ ХАРАКТЕРИСТИКАМ СРЕДСТВ
ГРАДУИРОВКИ ХРОМАТОГРАФОВ, ПРЕДНАЗНАЧЕННЫХ
ДЛЯ АНАЛИЗА ПРИРОДНОГО ГАЗА
В.1 Требования к метрологическим характеристикам стандартных образцов состава природного газа, используемые при проведении измерений по методу А и для контроля правильности результатов измерений
Таблица В.1.1
Определяемый компонент | Диапазон молярной доли компонентов, % | Расширенная абсолютная неопределенность U (x) <1>, %, при коэффициенте охвата k = 2 |
Метан | 40 - 99,97 | |
Этан | 0,0010 - 15 | 0,02·x + 0,00008 |
Пропан | 0,0010 - 6,0 | 0,03·x + 0,00008 |
Изобутан | 0,0010 - 4,0 | 0,03·x + 0,00008 |
н-Бутан | 0,0010 - 4,0 | 0,03·x + 0,00008 |
Изопентан | 0,0010 - 2,0 | 0,03·x + 0,00008 |
н-Пентан | 0,0010 - 2,0 | 0,03·x + 0,00008 |
| 0,0010 - 0,05 | 0,03·x + 0,00008 |
н-Гексан | 0,0010 - 1,0 | 0,03·x + 0,00008 |
| 0,001 - 0,25 | 0,03·x + 0,00008 |
| 0,0010 - 0,05 | 0,04·x + 0,00008 |
| 0,0010 - 0,05 | 0,04·x + 0,00008 |
| 0,0010 - 0,05 | 0,04·x + 0,00008 |
Диоксид углерода | 0,005 - 10 | 0,03·x + 0,0004 |
| 0,0010 - 0,5 | 0,03·x + 0,00008 |
| 0,0010 - 0,5 | 0,03·x + 0,00008 |
| 0,005 - 2,0 | 0,03·x + 0,0004 |
Азот | 0,005 - 15 | 0,02·x + 0,0004 |
| 0,0010 - 0,05 | 0,04·x + 0,00008 |
<1> Расширенная неопределенность U( x) при коэффициенте охвата k = 2 соответствует границам абсолютной погрешности при доверительной вероятности P = 0,95. <2> Формула применяется при измерении молярной доли метана по анализу. <3> Указанные компоненты допускается не включать в состав градуировочной смеси, если измерения их молярной доли не проводят. |
Допускается использование СО-ИПГ с аттестованными значениями молярной доли компонентов менее нижней и более верхней границ диапазонов, указанных в
таблице В.1.1, с учетом допусков на приготовление, приведенных в
таблице В.1.2.
Таблица В.1.2
Допускаемое относительное отклонение (Д) от номинального
значения молярной доли компонента при приготовлении СО-ИПГ
Интервал номинальных значений молярной доли компонентов, % | Допускаемое относительное отклонение не более +/- Д, % |
От 1·10-3 до 5·10-3 включ. | 30 |
Св. 5·10-3 до 1·10-2 включ. | 20 |
Св. 1·10-2 до 0,10 включ. | 15 |
Св. 0,10 до 1,0 включ. | 7 |
Св. 1,0 до 10 включ. | 5 |
Св. 10 до 90 включ. | 2 |
Св. 90 до 99 включ. | 0,5 |
Св. 99 до 99,9 включ. | 0,05 |
Таблица В.1.3
Определяемый компонент | Диапазон молярной доли компонентов, % | Абсолютная расширенная неопределенность U(x), %, при коэффициенте охвата k = 2 |
Метан | 40 - 99,97 | 0,939 - 0,0093·x |
Этан | 0,0010 - 15 | 0,02·x + 0,00008 |
Пропан | 0,0010 - 6 | 0,03·x + 0,00008 |
Изобутан | 0,0010 - 4 | 0,03·x + 0,00008 |
н-Бутан | 0,0010 - 4 | 0,03·x + 0,00008 |
Неопентан | 0,0005 - 0,05 | 0,03·x + 0,00008 |
Изопентан | 0,0010 - 2,0 | 0,03·x + 0,00008 |
н-Пентан | 0,0010 - 2,0 | 0,03·x + 0,00008 |
Гексаны | 0,0010 - 1,0 | 0,03·x + 0,00008 |
Гептаны | 0,0010 - 0,25 | 0,03·x + 0,00008 |
Октаны | 0,0010 - 0,05 | 0,04·x + 0,00008 |
Бензол | 0,0010 - 0,05 | 0,04·x + 0,00008 |
Толуол | 0,0010 - 0,05 | 0,04·x + 0,00008 |
Диоксид углерода | 0,005 - 10 | 0,03·x + 0,0004 |
Гелий | 0,0010 - 0,5 | 0,03·x + 0,00008 |
Водород | 0,0010 - 0,5 | 0,03·x + 0,00008 |
Кислород + аргон | 0,005 - 2,0 | 0,03·x + 0,0004 |
Азот | 0,005 - 15 | 0,02·x + 0,0004 |
Метанол | 0,0010 - 0,05 | 0,04·x + 0,00008 |
В.2 Требования к метрологическим характеристикам стандартных образцов состава природного газа, используемые при проведении измерений по методу Б и для контроля правильности результатов измерений
Таблица В.2.1
Определяемый компонент | Диапазон молярной доли компонентов, % | Расширенная абсолютная неопределенность U( x) <1>, %, при коэффициенте охвата k = 2 |
Метан | 40 - 99,97 | |
Этан | 0,0010 - 15 | 0,02·x + 0,00008 |
Пропан | 0,0010 - 6,0 | 0,03·x + 0,00008 |
Изобутан | 0,0010 - 4,0 | 0,03·x + 0,00008 |
н-Бутан | 0,0010 - 4,0 | 0,03·x + 0,00008 |
Изопентан | 0,0010 - 2,0 | 0,03·x + 0,00008 |
н-Пентан | 0,0010 - 2,0 | 0,03·x + 0,00008 |
| 0,0010 - 0,05 | 0,03·x + 0,00008 |
н-Гексан | 0,0010 - 1,0 | 0,03·x + 0,00008 |
Диоксид углерода | 0,005 - 10 | 0,03·x + 0,0004 |
| 0,0010 - 0,5 | 0,03·x + 0,00008 |
| 0,0010 - 0,5 | 0,03·x + 0,00008 |
| 0,005 - 2,0 | 0,03·x + 0,0004 |
Азот | 0,005 - 15 | 0,02·x + 0,0004 |
| 0,0010 - 0,05 | 0,04·x + 0,00008 |
<1> Расширенная неопределенность U( x) при коэффициенте охвата k = 2 соответствует границам абсолютной погрешности при доверительной вероятности P = 0,95. <2> Формула применяется при измерении молярной доли метана по анализу. <3> Указанные компоненты допускается не включать в состав градуировочной смеси, если измерения их молярной доли не проводят. |
Ориентировочное содержание тяжелых углеводородов устанавливают при периодическом определении полного компонентного состава или на основании статистических данных за предшествующий период.
Допускается использование СО-ИПГ с аттестованными значениями молярной доли компонентов менее нижней и более верхней границ диапазонов, указанных в
таблице В.2.1, с учетом допусков на приготовление, приведенных в
таблице В.1.2.
Таблица В.2.2
Определяемый компонент | Диапазон молярной доли компонентов, % | Абсолютная расширенная неопределенность U(x), %, при коэффициенте охвата k = 2 |
Метан | 40 - 99,97 | 0,939 - 0,0093·x |
Этан | 0,0010 - 15 | 0,02·x + 0,00008 |
Пропан | 0,0010 - 6 | 0,03·x + 0,00008 |
Изобутан | 0,0010 - 4 | 0,03·x + 0,00008 |
н-Бутан | 0,0010 - 4 | 0,03·x + 0,00008 |
Неопентан | 0,0005 - 0,05 | 0,03·x + 0,00008 |
Изопентан | 0,0010 - 2,0 | 0,03·x + 0,00008 |
н-Пентан | 0,0010 - 2,0 | 0,03·x + 0,00008 |
| 0,005 - 1,5 | 0,05·x + 0,0005 |
| 0,005 - 1,5 | 0,05·x + 0,0005 |
Диоксид углерода | 0,005 - 10 | 0,03·x + 0,0004 |
Гелий | 0,0010 - 0,5 | 0,03·x + 0,00008 |
Водород | 0,0010 - 0,5 | 0,03·x + 0,00008 |
Кислород + аргон | 0,005 - 2,0 | 0,03·x + 0,0004 |
Азот | 0,005 - 15 | 0,02·x + 0,0004 |
Метанол | 0,0010 - 0,05 | 0,04·x + 0,00008 |
<1> Паспортное значение молярной доли C *6+ в СО-ПГМ, аттестованное как сумма измеренных значений молярной доли компонентов C 6, C 7, C 8, бензола и толуола. <2> Паспортное значение молярной доли C* +6 в СО-ПГМ, аттестованное по н-C 6H 12. |
В.3 Требования к метрологическим характеристикам стандартных образцов состава природного газа, используемые при проведении измерений по методу В для построения градуировочной характеристики в рабочем диапазоне и для контроля правильности результатов измерений
В.3.1 Для построения градуировочной характеристики при анализе полного углеводородного состава природного газа (кроме метана) используют СО-ИПГ с метрологическими характеристиками, приведенными в
таблице В.1.1.
В.3.2 Для построения градуировочной характеристики при анализе углеводородного состава природного газа по методу обратной продувки (кроме метана) используют СО-ИПГ с метрологическими характеристиками, приведенными в
таблице В.2.1.
В.3.3 Для построения градуировочной характеристики для измерения молярной доли метана используют СО метана в гелии (азоте), например ГСО 10256-2013, с метрологическими характеристиками, приведенными в
таблице В.3.1.
Таблица В.3.1
Требования к СО метана в гелии (азоте)
Определяемый компонент | Диапазон молярной доли компонентов, % | Относительная расширенная неопределенность U0(x), %, при коэффициенте охвата k = 2 |
Метан | От 20 до 70 включ. | -0,008·x + 0,76 |
Св. 70 до 97 включ. | -0,0037·x + 0,459 |
Св. 97 до 99,5 включ. | 0,1 |
Гелий (Азот) | Остальное | - |
В.3.4 Для контроля стабильности градуировочной характеристики и правильности результатов измерений допускается использовать стандартные образцы природного газа с метрологическими характеристиками, приведенными в
таблицах В.1.1,
В.1.3,
В.2.1,
В.2.2,
В.3.1.
(справочное)
ПЕРЕЧЕНЬ РЕКОМЕНДУЕМЫХ ВСПОМОГАТЕЛЬНЫХ СРЕДСТВ ИЗМЕРЕНИЙ
И ОБОРУДОВАНИЯ
Таблица Г.1
Назначение вспомогательного оборудования | Наименование и тип вспомогательного оборудования |
СИ для контроля параметров окружающей среды | Термогигрометры с функцией определения атмосферного давления, например "ИВА-6А-Д", "ИВА-6Н-Д", "ИВА-6А-КП-Д", "ИВА-6Н-КП-Д"; гигрометр ИВА-10-Ех во взрывозащищенном исполнении; термогигрометры для измерения влажности и температуры, например "ИВТМ-7"; барометры, например БАММ-1, М 98, МД-49.2 |
СИ для контроля температуры окружающей среды и атмосферного давления, используемые для приведения объема пробы к стандартным условиям | Термометр ртутный стеклянный II класса по ГОСТ 28498; барометр-анероид контрольный М 67 <1>или барометр-анероид метеорологический БАММ-1 <2> |
Средства подачи градуировочного и анализируемого газов в хроматограф | Вентиль тонкой регулировки расхода газа (натекатель) ВТР-1 <3> или Н-12 <4>; регулятор давления с продувочным вентилем, редуктор баллонный РДБ <5> |
Фильтр для удаления механических примесей | Фильтр типа V73A-D-3M-7-3 фирмы DK-LOK для улавливания твердых частиц размером более 7 мкм Фильтр BECKMAN 239968 |
--------------------------------
<1> В Российской Федерации - по ТУ 25-04-1797-75 "Барометр-анероид контрольный М67".
<2> В Российской Федерации - по ТУ 25-11.1513-79 "Барометр-анероид метеорологический БАММ-1".
<3> В Российской Федерации - по ЛНПК4.463.000 ТУ "Вентили точной регулировки ВТР-1".
<4> В Российской Федерации - по ТУ 3742-004-533-73-468-2006 "Натекатель Н-12".
<5> В Российской Федерации - по ТУ 4218-023-12908609-2013 "Регуляторы давления баллонные".
(справочное)
ПРИМЕРЫ ЗАДАНИЯ УСЛОВИЙ РАБОТЫ ХРОМАТОГРАФИЧЕСКОЙ СИСТЕМЫ
ПРИ ПРОВЕДЕНИИ ИЗМЕРЕНИЙ МОЛЯРНОЙ ДОЛИ КОМПОНЕНТОВ
ПРИРОДНОГО ГАЗА
Д.1 Пример задания условий хроматографического разделения компонентов пробы ПГ для потокового газового хроматографа в комплектации с двумя ДТП для измерений молярной доли компонентов: азот+кислород, метан, диоксид углерода, C1 - C5 индивидуально и тяжелых углеводородов C6+
Аналитический канал 1:
- тип хроматографической колонки | капиллярная (PLOT); |
- длина хроматографической колонки | 10 м; |
- адсорбент | Porapak Q; |
- толщина слоя адсорбента | 40 мкм; |
- газ-носитель | гелий марки "А"; |
- расход газа-носителя | 5 см3/мин; |
- тип детектора | ДТП; |
- температурный режим термостата колонок | изотермический; |
- рабочая температура термостата колонок | 65 °C; |
- рабочая температура детектора | 65 °C; |
- температура крана дозатора | 65 °C; |
- объем дозируемой пробы | 0,2 см3; |
- время анализа | 5 мин |
Аналитический канал 2:
- тип хроматографической колонки | капиллярная (WCOT); |
- длина хроматографической колонки | 15 м; |
- неподвижная фаза | диметилполисилоксан; |
- толщина неподвижной фазы | 2,65 мкм; |
- газ-носитель | гелий марки "А" |
- расход газа-носителя | 5 см3/мин; |
- тип детектора | ДТП; |
- температурный режим термостата колонок | изотермический; |
- рабочая температура термостата колонок | 65 °C; |
- рабочая температура детектора | 65 °C; |
- температура крана дозатора | 65 °C; |
- объем дозирования пробы | 0,2 см3; |
- время анализа | 5 мин |
Хроматограммы, полученные при указанных условиях, приведены на
рисунках Д.1 и
Д.2.
1 - метан; 2 - углекислый газ; 3 - этан; 4 - пропан
Рисунок Д.1 - Хроматограмма, полученная на канале 1
1 - гексаны; 2 - изобутан; 3 - н-бутан; 4 - неопентан;
5 - изопентан; 6 - н-пентан
Рисунок Д.2 - Хроматограмма, полученная на канале 2
Д.2 Пример задания условий хроматографического разделения компонентов пробы ПГ для лабораторного газового хроматографа в комплектации с тремя ДТП и ПИД для измерений молярной доли компонентов: гелий, водород, азот, кислород, диоксид углерода, C1 - C5, бензол и толуол индивидуально и тяжелых углеводородов в виде групп C6, C7, C8
Аналитический канал 1 - Измерение молярной доли диоксида углерода, этана, пропана, изобутана, бутана, неопентана, изопентана, пентана и гексанов
- длина хроматографической колонки | 3 м; |
- диаметр хроматографической колонки | 2 мм; |
- адсорбент | HayeSep R; |
- фракция | 80/100 меш; |
- газ-носитель | гелий марки "А"; |
- тип детектора | ДТП; |
- температура термостата детектора | 180 °C; |
- температура крана дозатора | 100 °C; |
- температурный режим | программирование температуры: |
- начальная температура | 40 °C; |
- время выдержки | 5 мин; |
- скорость подъема температуры | 10 °C/мин; |
- конечная температура | 230 °C; |
- время выдержки | 16 мин; |
- расход газа носителя | 15 см3/мин; |
- объем дозирования пробы | 1,0 см3; |
- время анализа | 27 мин |
Аналитический канал 2 - Измерение молярной доли кислорода и азота
- длина хроматографической колонки | 2 м; |
- диаметр хроматографической колонки | 3 мм; |
- адсорбент | NaX; |
- фракция | 60/80 меш; |
- газ-носитель | гелий марки "А"; |
- тип детектора | ДТП; |
- температура термостата детектора | 180 °C; |
- температура крана дозатора | 100 °C; |
- температурный режим | программирование температуры: |
- начальная температура | 40 °C; |
- время выдержки | 5 мин; |
- скорость подъема температуры | 10 °C/мин; |
- конечная температура | 230 °C; |
- время выдержки | 16 мин; |
- расход газа сравнения | 15 см3/мин; |
- объем дозирования пробы | 1,0 см3; |
- время анализа | 4,5 мин |
Аналитический канал 3 - Измерение молярной доли гелия, водорода и азота
- длина хроматографической колонки | 3 м; |
- диаметр хроматографической колонки | 2 мм; |
- адсорбент | NaX; |
- фракция | 60/80 меш; |
- газ-носитель | аргон; |
- тип детектора | ДТП; |
- температура термостата детектора | 180 °C; |
- температура крана дозатора | 100 °C; |
- температурный режим | программирование температуры: |
- начальная температура | 40 °C; |
- время выдержки | 5 мин; |
- скорость подъема температуры | 10 °C/мин; |
- конечная температура | 230 °C; |
- время выдержки | 16 мин; |
- расход газа носителя | 15 см3/мин; |
- объем дозирования пробы | 1,0 см3; |
- время анализа | 5 мин |
Аналитический канал 4: Измерение молярной доли этана, пропана, изобутана, бутана, неопентана, изопентана, пентана, гексанов, бензола, гептанов, толуола и октанов
- длина хроматографической колонки | 105 м; |
- диаметр хроматографической колонки | 0,25 мм; |
- неподвижная фаза | диметилполисилоксан: |
- толщина фазы | 0,5 мкм; |
- газ-носитель | гелий; |
- расход газа-носителя через колонку (деление потока 1:40) | 1,6 см3/мин; |
- тип детектора | ПИД; |
- температура термостата детектора | 200 °C; |
- температура крана дозатора | 100 °C; |
- температурный режим | программирование температуры: |
- начальная температура | 40 °C; |
- время выдержки | 5 мин; |
- скорость подъема температуры | 10 °C/мин; |
- конечная температура | 230 °C; |
- время выдержки | 16 мин; |
- расход водорода | 25 см3/мин; |
- расход воздуха | 250 см3/мин; |
- объем дозирования пробы | 1,0 см3; |
- время анализа | 28 мин |
Хроматограммы, полученные при указанных условиях, приведены на
рисунках Д.3 -
Д.7.
1 - диоксид углерода; 2 - этан; 3 - пропан; 4 - изобутан;
5 - н-бутан; 6 - неопентан; 7 - изопентан; 8 - н-пентан;
9 - н-гексан
Рисунок Д.3 - Хроматограмма, полученная на канале 1
1 - кислород; 2 - азот; 3 - метан
Рисунок Д.4 - Хроматограмма, полученная на канале 2
1 - гелий; 2 - водород; 3 - кислород; 4 - азот
Рисунок Д.5 - Хроматограмма, полученная на канале 3
1 - метан; 2 - этан; 3 - пропан; 4 - изобутан; 5 - н-бутан;
6 - неопентан; 7 - изопентан; 8 - н-пентан; 9 - н-гексан;
10 - бензол; 11 - н-гептан; 12 - толуол; 13 - н-октан;
14 - н-нонан
Рисунок Д.6 - Общий вид хроматограммы, полученной
на канале 4
1 - метан; 2 - этан; 3 - пропан; 4 - изобутан; 5 - н-бутан;
Рисунок Д.7 - Участок хроматограммы, полученный на канале 4,
показывающий разделение пиков углеводородов C1 - C4
Д.3 Пример задания условий хроматографического разделения компонентов пробы ПГ для лабораторного или потокового газового хроматографа в комплектации с двумя ДТП и автоматическими дозирующими и переключающими кранами для измерений молярной доли компонентов: кислород, азот, диоксид углерода, C1 - C5 индивидуально и тяжелых углеводородов C6+
Аналитический канал 1 - Измерение молярной доли диоксида углерода, этана, пропана, изобутана, бутана, неопентана, изопентана, пентана и C6+ с использованием системы из трех насадочных колонок и автоматических дозирующего 10-портового и переключающего 6-портового кранов
- колонка 1 (предколонка): | |
- длина хроматографической колонки | 0,75 м; |
- диаметр хроматографической колонки | 2 мм; |
- твердый носитель | Хромосорб P-AW; |
- фракция | 45/60 меш; |
- неподвижная жидкая фаза | 28% DC-200; |
- колонка 2: | |
- длина хроматографической колонки | 5,2 м; |
- диаметр хроматографической колонки | 2 мм; |
- твердый носитель | Хромосорб P-AW; |
- фракция | 45/60 меш; |
- неподвижная жидкая фаза | 28% DC-200; |
- колонка 3: | |
- длина хроматографической колонки | 3 м; |
- диаметр хроматографической колонки | 2 мм; |
- адсорбент | Porapak N; |
- фракция | 50/80 меш; |
- газ-носитель | гелий марки "А"; |
- расход газа-носителя через измерительный сравнительный канал | 20/20 см3/мин; |
- тип детектора | ДТП; |
- температурный режим термостата колонок | изотермический; |
- рабочая температура термостата колонок | 90 °C; |
- рабочая температура детектора | 100 °C; |
- объем дозируемой пробы | 1 см3; |
- время срабатывания переключающего крана | 2,2 мин; |
- время анализа | 11 мин |
Хроматограмма, полученная при указанных условиях, приведена на
рисунке Д.8.
Аналитический канал 2 - Измерение молярной доли кислорода и азота с использованием системы из двух насадочных колонок и автоматического дозирующего 10-портового крана
- колонка 4 (предколонка, обеспечивающая защиту основной разделительной колонки с молекулярными ситами от C2+ и диоксида углерода): | |
- длина хроматографической колонки | 0,3 м; |
- диаметр хроматографической колонки | 2 мм; |
- адсорбент | Porapak Q; |
- фракция | 50/80 меш; |
- колонка 5: | |
- длина хроматографической колонки | 2 м; |
- диаметр хроматографической колонки | 2 мм; |
- адсорбент | NaX; |
- фракция | 60/80 меш; |
- газ-носитель | гелий марки "А"; |
- расход газа-носителя через измерительный/сравнительный канал | 15/15 см3/мин; |
- тип детектора | ДТП; |
- температурный режим термостата колонок | изотермический; |
- рабочая температура термостата колонок | 90 °C; |
- рабочая температура детектора | 100 °C; |
- объем дозирования пробы | 1 см3; |
- время анализа | 11 мин |
Хроматограмма, полученная при указанных условиях, аналогична хроматограмме, приведенной на
рисунке Д.4.
1 - гексаны (C6+высшие); 2 - пропан; 3 - изобутан;
4 - н-бутан; 5 - неопентан; 6 - изопентан; 7 - н-пентан;
8 - диоксид углерода; 9 - этан
Рисунок Д.8 - Хроматограмма, полученная на канале 1
УДК 662.767:658.562:006.354 | | |
Ключевые слова: природный газ, компонентный состав, молярная доля, газовая хроматография, методы анализа, обработка и оформление результатов измерений |