Главная // Актуальные документы // ГОСТ (Государственный стандарт)СПРАВКА
Источник публикации
М.: Стандартинформ, 2020
Примечание к документу
Документ включен в Перечень международных и региональных (межгосударственных) стандартов (
п.п. 1,
15,
23,
77,
85,
91,
134,
165,
173,
188,
196,
211,
219,
225), а в случае их отсутствия - национальных (государственных) стандартов, содержащих правила и методы исследований (испытаний) и измерений, в том числе правила отбора образцов, необходимые для применения и исполнения требований технического
регламента Евразийского экономического союза "О безопасности газа горючего природного, подготовленного к транспортированию и (или) использованию" (ТР ЕАЭС 046/2018) и осуществления оценки соответствия объектов технического регулирования (
Решение Коллегии Евразийской экономической комиссии от 13.09.2021 N 112).
Текст данного документа приведен с учетом поправок, опубликованных в "ИУС",
N 1, 2021;
N 5, 2023.
Документ
введен в действие с 01.07.2021.
Название документа
"ГОСТ 31371.1-2020 (ISO 6974-1:2012). Межгосударственный стандарт. Газ природный. Определение состава методом газовой хроматографии с оценкой неопределенности. Часть 1. Общие указания и определение состава"
(введен в действие Приказом Росстандарта от 24.09.2020 N 677-ст)
"ГОСТ 31371.1-2020 (ISO 6974-1:2012). Межгосударственный стандарт. Газ природный. Определение состава методом газовой хроматографии с оценкой неопределенности. Часть 1. Общие указания и определение состава"
(введен в действие Приказом Росстандарта от 24.09.2020 N 677-ст)
агентства по техническому
регулированию и метрологии
от 24 сентября 2020 г. N 677-ст
МЕЖГОСУДАРСТВЕННЫЙ СТАНДАРТ
ГАЗ ПРИРОДНЫЙ
ОПРЕДЕЛЕНИЕ СОСТАВА МЕТОДОМ ГАЗОВОЙ
ХРОМАТОГРАФИИ С ОЦЕНКОЙ НЕОПРЕДЕЛЕННОСТИ
ЧАСТЬ 1
ОБЩИЕ УКАЗАНИЯ И ОПРЕДЕЛЕНИЕ СОСТАВА
Natural gas. Determination of composition by gas
chromatography method with evaluation of uncertainty.
Part 1. General guidelines and calculation of composition
(ISO 6974-1:2012, Natural gas - Determination of composition
and associated uncertainty by gas chromatography - Part 1:
General guidelines and calculation of composition, MOD)
ГОСТ 31371.1-2020
(ISO 6974-1:2012)
Дата введения
1 июля 2021 года
Цели, основные принципы и общие правила проведения работ по межгосударственной стандартизации установлены
ГОСТ 1.0 "Межгосударственная система стандартизации. Основные положения" и
ГОСТ 1.2 "Межгосударственная система стандартизации. Стандарты межгосударственные, правила и рекомендации по межгосударственной стандартизации. Правила разработки, принятия, обновления и отмены"
1 ПОДГОТОВЛЕН Публичным акционерным обществом "Газпром" и Федеральным государственным унитарным предприятием "Всероссийский научно-исследовательский институт метрологии им. Д.И. Менделеева" (ФГУП "ВНИИМ им. Д.И. Менделеева") на основе собственного перевода на русский язык англоязычной версии стандарта, указанного в
пункте 5
2 ВНЕСЕН Межгосударственным техническим комитетом по стандартизации МТК 52 "Природный и сжиженные газы"
3 ПРИНЯТ Межгосударственным советом по стандартизации, метрологии и сертификации (протокол от 29 мая 2020 г. N 130-П)
За принятие проголосовали:
Краткое наименование страны по МК (ИСО 3166) 004-97 | Код страны по МК (ИСО 3166) 004-97 | Сокращенное наименование национального органа по стандартизации |
Азербайджан | AZ | Азстандарт |
Армения | AM | ЗАО "Национальный орган по стандартизации и метрологии" Республики Армения |
Беларусь | BY | Госстандарт Республики Беларусь |
Казахстан | KZ | Госстандарт Республики Казахстан |
Киргизия | KG | Кыргызстандарт |
Россия | RU | Росстандарт |
Таджикистан | TJ | Таджикстандарт |
Узбекистан | UZ | Узстандарт |
4
Приказом Федерального агентства по техническому регулированию и метрологии от 24 сентября 2020 г. N 677-ст межгосударственный стандарт ГОСТ 31371.1-2020 (ISO 6974-1:2012) введен в действие в качестве национального стандарта Российской Федерации с 1 июля 2021 г.
5 Настоящий стандарт является модифицированным по отношению к международному стандарту ISO 6974-1:2012 "Газ природный. Определение состава и связанной с ним неопределенности газовой хроматографией. Часть 1. Общие указания и определение состава" ("Natural gas - Determination of composition and associated uncertainty by gas chromatography - Part 1: General guidelines and calculation of composition", MOD) путем:
- включения дополнительных положений, фраз, слов, ссылок, примечаний, сносок,
формулы (17), которые выделены в тексте курсивом;
- замены в
подразделе 4.2 нижнего индекса "wms" на "гсо" для учета особенностей межгосударственной стандартизации;
- включения дополнительного
приложения ДА, содержащего перевод раздела 3 ISO 16664:2017, ввиду отсутствия официального перевода этого международного стандарта;
- исключения из
раздела "Библиография" документов, на которые отсутствуют ссылки в тексте стандарта;
- включения в
раздел "Библиография" ссылочных стандартов ISO 6143:2001 и ISO 10723:2012, так как отсутствуют заменяющие их межгосударственные стандарты.
Наименование настоящего стандарта изменено относительно наименования указанного международного стандарта для приведения в соответствие с ГОСТ 1.5
(подраздел 3.6).
Сведения о соответствии ссылочных межгосударственных стандартов международным стандартам, использованным в качестве ссылочных в примененном международном стандарте, приведены в дополнительном
приложении ДБ.
Приложение A указанного международного стандарта исключено, так как не соответствует содержанию новых версий частей серии международных стандартов ISO 6974, указанных в этом приложении. Оригинальный текст исключенного приложения A приведен в дополнительном
приложении ДВ.
Структура настоящего стандарта изменена по отношению к указанному международному стандарту.
Сопоставление структуры настоящего стандарта со структурой примененного в нем международного стандарта приведено в дополнительном
приложении ДГ
Информация о введении в действие (прекращении действия) настоящего стандарта и изменений к нему на территории указанных выше государств публикуется в указателях национальных стандартов, издаваемых в этих государствах, а также в сети Интернет на сайтах соответствующих национальных органов по стандартизации.
В случае пересмотра, изменения или отмены настоящего стандарта соответствующая информация будет опубликована на официальном интернет-сайте Межгосударственного совета по стандартизации, метрологии и сертификации в каталоге "Межгосударственные стандарты"
Настоящий стандарт входит в серию стандартов ГОСТ 31371 "Газ природный. Определение состава методом газовой хроматографии с оценкой неопределенности". Серия стандартов ГОСТ 31371 распространяется на методы анализа природного газа, а также методы вычисления молярной доли компонентов и неопределенностей. Серия стандартов разработана для определения содержания H2, He, O2, N2, CO2 и углеводородов как отдельных компонентов или как группы, например общее число для углеводородов выше C5 определено как C6+. Эти методы применимы для ряда задач, например градуировки с использованием газовых смесей, предоставления данных о составе природного газа и оценки неопределенности, которые будут использоваться при вычислении теплоты сгорания и других аддитивных физических свойств газа. Детальное рассмотрение этих задач представлено в последующих частях серии ГОСТ 31371.
ГОСТ 31371.1 содержит общие рекомендации по проведению анализа природного газа методом газовой хроматографии и способы обработки данных для определения состава и молярной доли компонентов.
В
ГОСТ 31371.2 описаны этапы, необходимые для вычисления неопределенности значений молярной доли компонентов природного газа, определенных методом газовой хроматографии.
Последующие части серии распространяются на различные методы газовой хроматографии. Эти методы охватывают как повседневную практику измерений в лабораторных условиях, так и проведение онлайн-измерений (при использовании потоковых хроматографов). В тех случаях, когда требуется определить только молярную долю компонентов, предполагают, что ГОСТ 31371.1 будет использоваться в сочетании с газохроматографическим методом анализа, приведенным, например, в последующих частях стандарта. В случаях когда требуется определить значения молярной доли компонентов и связанные с ними неопределенности, предполагают, что ГОСТ 31371.1 будет использоваться в сочетании с
ГОСТ 31371.2 в дополнение к газохроматографическому методу анализа.
В ГОСТ 31371.1 описаны все основные этапы проведения анализа, включая определение структуры анализа, определение рабочих диапазонов и установление аналитической процедуры. После завершения процесса определения рабочих диапазонов необходимо классифицировать компоненты следующим образом:
- основные компоненты или группы компонентов, подлежащие анализу с использованием метода прямых измерений (непосредственно определяемые компоненты);
- компоненты или группы компонентов, подлежащие анализу с использованием метода косвенных измерений путем соотнесения с другим компонентом в эталонной градуировочной газовой смеси (косвенно определяемые компоненты);
- компоненты, которые не определяют, а их молярную долю можно считать постоянной (содержание компонентов не определяют).
ГОСТ 31371.1 предусматривает использование методов трех типов: одноступенчатый метод анализа, многоступенчатый метод анализа с "бриджингом" и многоступенчатый метод анализа без "бриджинга". Последний из этих методов является частным случаем одноступенчатого метода анализа (поскольку фактически имеет место многократное использование одноступенчатого метода анализа).
| | ИС МЕГАНОРМ: примечание. В официальном тексте документа, видимо, допущена опечатка: имеется в виду приложение B, а не приложение A. | |
ГОСТ 31371.1 описывает методы нормализации для вычисления откорректированных значений молярной доли компонентов на основе измеренных значений молярной доли (см.
5.5). При использовании метода обычной нормализации для многоступенчатого метода анализа без "бриджинга" значения неопределенности вычисленных значений молярной доли будут завышенными. Если требуется более точная оценка неопределенности, следует применять альтернативный подход - нормализацию с использованием обобщенного метода наименьших квадратов; этот подход описан в
приложении A, которое предназначено для использования при вычислении неопределенностей в соответствии с
ГОСТ 31371.2. Для вычисления нормализованных значений молярной доли компонентов, включая метан по разности (см.
приложение C), подходят также и другие альтернативные подходы и согласование данных
[1].
В состав серии межгосударственных стандартов ГОСТ 31371, гармонизированных в соответствии с новыми версиями стандартов ISO 6974, под общим наименованием "Газ природный. Определение состава методом газовой хроматографии с оценкой неопределенности" входит также
ГОСТ 31371.7 "Газ природный. Определение состава методом газовой хроматографии с оценкой неопределенности. Часть 7. Методика измерений молярной доли компонентов".
Настоящий стандарт устанавливает методы вычисления молярной доли компонентов природного газа, определяет требования к обработке исходных данных и распространяется на одноступенчатые и многоступенчатые методы анализа с использованием многоточечной градуировки или градуировки в точке с оценкой их эффективности.
В настоящем стандарте регламентированы процедуры вычисления значений молярной доли до и после нормализации с оценкой неопределенности измерений, рекомендуемые для обработки данных, полученных при многократных или единичных анализах проб природного газа.
В настоящем стандарте использованы нормативные ссылки на следующие межгосударственные стандарты:
ГОСТ 8.578 Государственная система обеспечения единства измерений. Государственная поверочная схема для средств измерений содержания компонентов в газовых средах
ГОСТ ISO Guide 31 Стандартные образцы. Содержание сертификатов (паспортов) и этикеток
ГОСТ ISO Guide 34 Общие требования к компетентности изготовителей стандартных образцов
ГОСТ ISO Guide 35 Стандартные образцы. Общие и статистические принципы сертификации (аттестации)
ГОСТ 31370 (ИСО 10715:1997) Газ природный. Руководство по отбору проб
ГОСТ 31371.2-2020 (ИСО 6974-2:2012) Газ природный. Определение состава методом газовой хроматографии с оценкой неопределенности. Часть 2. Вычисление неопределенности
ГОСТ 34100.3-2017/ISO/IEC Guide 98-3:2008 Неопределенность измерения. Часть 3. Руководство по выражению неопределенности измерения
Примечание - При пользовании настоящим стандартом целесообразно проверить действие ссылочных стандартов и классификаторов на официальном интернет-сайте Межгосударственного совета по стандартизации, метрологии и сертификации (www.easc.by) или по указателям национальных стандартов, издаваемым в государствах, указанных в предисловии, или на официальных сайтах соответствующих национальных органов по стандартизации. Если на документ дана недатированная ссылка, то следует использовать документ, действующий на текущий момент, с учетом всех внесенных в него изменений. Если заменен ссылочный документ, на который дана датированная ссылка, то следует использовать указанную версию этого документа. Если после принятия настоящего стандарта в ссылочный документ, на который дана датированная ссылка, внесено изменение, затрагивающее положение, на которое дана ссылка, то это положение применяется без учета данного изменения. Если ссылочный документ отменен без замены, то положение, в котором дана ссылка на него, применяется в части, не затрагивающей эту ссылку.
В настоящем стандарте применены следующие термины с соответствующими определениями:
3.1 отклик y (response): Выходной сигнал измерительной системы для компонента в виде площади или высоты пика хроматограммы.
3.2
сравнительный компонент (reference component): Компонент аттестованной эталонной газовой смеси (ГСО) (см.
3.10), который используют при градуировке хроматографа для компонентов пробы, отсутствующих в ГСО.
Примечание - Например, если ГСО содержит углеводороды до и включая н-бутан, но не пентаны или более тяжелые углеводороды, то тогда н-бутан, содержащийся в ГСО, можно использовать как сравнительный компонент для количественного определения пентанов и более тяжелых компонентов в пробе. Градуировочная функция, построенная по сравнительному компоненту, должна описываться полиномом первого порядка с нулевым свободным членом, т.е. должна представлять прямую линию, проходящую через начало координат.
3.3 относительный коэффициент чувствительности K (relative response factor): Отношение молярной доли i-го компонента к молярной доле сравнительного компонента, при котором отклики детектора одинаковые.
Примечание 1 - Относительные коэффициенты чувствительности для пламенно-ионизационного детектора вычисляют как отношение числа атомов углерода сравнительного компонента к числу атомов углерода компонента пробы [см.
D.1 (приложение D)]
<1>.
--------------------------------
<1> Использование относительных коэффициентов чувствительности вносит существенный вклад в суммарную неопределенность результата измерений молярной доли компонента и может быть рекомендовано только при оценочном определении содержания компонента.
Примечание 2 - Относительные коэффициенты чувствительности для детекторов по теплопроводности определяют экспериментально [см.
D.2 (приложение D)].
3.4 прочие компоненты (other components): Компоненты газовой пробы, которые не определяются посредством анализа в соответствии с серией ГОСТ 31371 и/или которые могут рассматриваться как присутствующие при неизменном содержании.
3.5 группа компонентов (group of components): Компоненты, молярная доля которых так мала, что определение их содержания по отдельности может быть достаточно длительным и трудоемким, поэтому они определяются как группа <2>.
--------------------------------
<2> На практике принято объединение групп C6, C7, C8 при определении суммарного содержания изомеров или C6+ при определении суммарного содержания углеводородов тяжелее C5.
Примечание - Содержание группы компонентов можно оценить с использованием специальных хроматографических методик, таких как обратная продувка, или специальных приемов обработки данных, таких как интегрирование последовательности компонентов, таким образом, как если бы они были одним компонентом.
3.6
неопределенность (измерения) [uncertainty (of measurement)]: Параметр, относящийся к результату измерения и характеризующий разброс значений, которые могли бы быть обоснованно приписаны измеряемой величине. Примечание 1 - Параметром может быть, например, стандартное отклонение (или величина, пропорциональная стандартному отклонению) или полуширина интервала, которому соответствует заданный уровень доверия. Примечание 2 - Неопределенность измерения, как правило, включает в себя много составляющих. Некоторые из них могут быть оценены из статистического распределения результатов ряда измерений и описаны выборочными стандартными отклонениями. Другие составляющие, которые также могут быть описаны стандартными отклонениями, оценивают исходя из основанных на опыте предположений или иной информации о виде закона распределения. Примечание 3 - Предполагается, что результат измерения является лучшей оценкой измеряемой величины, а все составляющие неопределенности, включая обусловленные систематическими эффектами (разного рода поправками, используемым эталоном сравнения), вносят вклад в разброс значений измеряемой величины. |
3.7
стандартная неопределенность (standard uncertainty): Неопределенность результата измерения, выраженная в виде стандартного отклонения. [ГОСТ 34100.3-2017/ISO/IEC Guide 98-3:2008, пункт 2.3.1] |
3.8
суммарная стандартная неопределенность (combined standard uncertainty): Стандартная неопределенность результата измерений, полученного из значений ряда других величин, равная положительному квадратному корню взвешенной суммы дисперсий или ковариаций этих величин, весовые коэффициенты при которых определяются зависимостью изменения результата измерения от изменений этих величин. [ГОСТ 34100.3-2017/ISO/IEC Guide 98-3:2008, пункт 2.3.4] |
3.9
расширенная неопределенность (expanded uncertainty): Величина, определяющая интервал вокруг результата измерения, который, как ожидается, содержит в себе  часть распределения значений, которые с достаточным основанием могут быть приписаны измеряемой величине. Примечание 1 - Долю распределения, охватываемую интервалом, можно рассматривать как вероятность охвата или уровень доверия для данного интервала. Примечание 2 - Чтобы сопоставить с интервалом, рассчитанным через расширенную неопределенность, некоторое значение уровня доверия, необходимо сделать в явном или неявном виде предположение о форме распределения, характеризуемого результатом измерения и его суммарной стандартной неопределенностью. Уровень доверия, поставленный в соответствие этому интервалу, может быть известен только в той мере, в которой оправдано сделанное предположение о форме распределения. Примечание 3 - В Рекомендациях INC-1 (параграф 5) расширенная неопределенность названа общей неопределенностью <1>. [ГОСТ 34100.3-2017/ISO/IEC Guide 98-3:2008, пункт 2.3.5] |
--------------------------------
3.10
аттестованные эталонные газовые смеси (certified-reference gas mixtures, CRM): Газовые смеси, характеристики которых определены метрологической аттестованной методикой для одного или более конкретных свойств, сопровождаемые сертификатом, в котором приведены их значения с соответствующей неопределенностью и информация о метрологической прослеживаемости.
Примечание 1 - Приведенное определение основано на определении термина "аттестованный эталонный материал" в соответствии с
ГОСТ ISO Guide 35. "Аттестованный эталонный материал" - это общий термин, термин "аттестованные эталонные газовые смеси" более подходит в данном случае.
Примечание 2 - Понятие значения включает количественные признаки, такие как тождество или последовательность. Неопределенности для таких признаков могут быть выражены как вероятности.
Примечание 3 - Действующие метрологические процедуры для производства и сертификации эталонных материалов (например, сертификация эталонных газовых смесей) приведены, в частности, в
ГОСТ ISO Guide 34 и ГОСТ ISO Guide 35.
Примечание 4 - Рекомендации по содержанию сертификатов приведены в
ГОСТ ISO Guide 31 <2>.
--------------------------------
<2> На ГСО оформляются паспорта. В Российской Федерации используют форму паспорта, приведенную в [3].
Примечание 5 -
В качестве аттестованных эталонных газовых смесей в соответствии с ГОСТ 8.578 следует использовать стандартные образцы утвержденного типа, обеспечивающие требуемую точность измерений при определении компонентного состава природного газа.
3.11
рабочий эталон [working measurement standard (WMS)]: Аттестованная газовая смесь, которую обычно используют для рутинной градуировки и для поверки средств измерений или измерительных систем. [Международный словарь по метрологии [4], пункт 5.7] |
Примечание 1 - В серии стандартов ГОСТ 31371 рабочим эталоном является аттестованная газовая смесь, которую используют для выполнения рутинной градуировки или контроля качества (см.
6.7).
Примечание 2 -
В качестве рабочих эталонов в соответствии с ГОСТ 8.578 должны использоваться стандартные образцы (ГСО): имитаторы природного газа (ГСО-ИПГ) или стандартные образцы на основе магистрального природного газа (ГСО-ПГМ).
3.12 прямое измерение (direct measurement): Измерение, при котором отдельные компоненты и/или группы компонентов определяются путем сравнения с идентичными компонентами в ГСО.
Примечание - Допускается при проведении прямых измерений использовать ГСО с идентичными компонентами.
3.13 косвенное измерение (indirect measurement): Измерение, при котором отдельные компоненты и/или группы компонентов, которые сами не присутствуют в ГСО, определяются с использованием относительных коэффициентов чувствительности, установленных по ГСО.
Примечание - Допускается при проведении косвенных измерений использовать ГСО с неполным компонентным составом и значения относительных коэффициентов чувствительности, установленных по ГСО с полным компонентным составом, имеющих запас по точности не менее двух по сравнению с ГСО, используемыми для градуировки хроматографа.
3.14
повторяемость (результатов измерений) [repeatability (of results of measurements)]: Близость между результатами последовательных измерений одной и той же измеряемой величины, осуществленных в одинаковых условиях измерений. Примечание 1 - Эти условия называются условиями повторяемости. Примечание 2 - Условия повторяемости включают в себя: - использование одной и той же процедуры измерений; - проведение измерений одним и тем же наблюдателем; - использование одного и того же измерительного прибора, применяемого в одних и тех же условиях; - проведение измерений в одном и том же месте; - повторение измерений в течение короткого периода времени. Примечание 3 - Повторяемость может быть выражена количественно через характеристики разброса результатов измерений. [ГОСТ 34100.3-2017/ISO/IEC Guide 98-3:2008, пункт B.2.15 (приложение B)] |
3.15 рабочий диапазон (working range): Ограниченный диапазон молярной доли, указанный для методов, описанных в серии стандартов ГОСТ 31371.
3.16 исходное значение молярной доли x* (raw mole fraction x*): Значение молярной доли каждого компонента до применения процедуры корректировки с целью приведения суммы значений молярной доли компонентов к единице.
Примечание - Процесс корректировки суммы значений молярной доли компонентов к единице осуществляется путем нормализации или путем определения содержания метана по разности.
3.17 откорректированное значение молярной доли (processed mole fraction): Значение молярной доли каждого компонента после применения процедуры корректировки с целью приведения суммы значений молярной доли компонентов к единице <1>.
--------------------------------
<1> Сумма значений молярной доли компонентов также может быть приведена к 100%.
Примечание - Процесс корректировки суммы значений молярной доли компонентов к единице осуществляется путем нормализации или путем определения содержания метана по разности.
3.18 бридж-компонент (bridge component): Компонент, выбранный для согласования/объединения ("бриджинга") результатов измерений содержания компонентов, полученных в ходе различных ступеней анализа <2>.
--------------------------------
<2> Синонимы, используемые в методиках хроматографического анализа: "сшивочный" компонент, связующий компонент, мостик и др.
Примечание - Различие ступеней анализа может быть обусловлено применением двух или более вводов пробы и/или использованием двух или более детекторов.
3.19 обычная нормализация <1> (conventional normalization): Нормализация, при которой сумма исходных значений молярной доли приведена к единице путем пропорциональной корректировки значений молярной доли всех определяемых компонентов.
--------------------------------
<1> В нормативных документах и технической документации используют термин "внутренняя нормализация".
Примечание - Полное описание процедуры обычной нормализации приведено в
5.5.
3.20 нормализация среднего (mean normalization): Метод нормализации, при котором значения результатов повторных анализов для каждого компонента усредняют для формирования среднего значения из ряда. Эти средние значения затем нормализуются.
Примечание - Обработку данных этим методом см. в
6.9.2.
3.21 пошаговая нормализация (run-by-run normalization): Метод нормализации, при котором результаты каждого повторного анализа нормализуют независимо и затем вычисляют среднее значение этих нормализованных значений.
Примечание - Обработку данных этим методом см. в
6.9.3.
В настоящем стандарте использованы следующие обозначения:
az - параметры (коэффициенты) градуировочной функции (z = 0, 1, 2 или 3);
A - промежуточная матрица, построенная из

и
B (см.
приложение B);
bz - параметры (коэффициенты) аналитической функции (z = 0, 1, 2 или 3);

- параметры функции регрессии, откорректированные после рутинной градуировки (анализ по типу 1);

- средние параметры функции регрессии (по методу "нормализации среднего");
H - промежуточная матрица, построенная из
Y,
D и

(см.
приложение B);
k - коэффициент охвата;
K - относительный коэффициент чувствительности;
nbc - общее количество бридж-компонентов;
ndu,bc - общее количество дублирующих измерений всех бридж-компонентов

(см.
приложение B);
ndu(...) - общее число повторяющихся измерений (бридж-компонента в круглых скобках) (см.
приложение B);
ni - общее число компонентов (определенных методами прямых и косвенных измерений, исключая прочие компоненты);
nj - общее число эталонных газов/смесей;
nl - общее число ввода пробы (и, следовательно, общее число откликов);
p - давление;
s - стандартное отклонение;
T - сумма исходных значений молярной доли всех компонентов;
u(...) - стандартная неопределенность (физической величины в круглых скобках);
U(...) - расширенная неопределенность (физической величины в круглых скобках);
x - нормализованное значение молярной доли (см.
приложение C);
x* - исходное измеренное значение молярной доли;
x' - молярная доля, вычисленная при определении содержания метана по разности;
x+ - исходное значение молярной доли после "бриджинга" (см.
приложение B);

- установленное значение молярной доли (по градуировочной функции);
y - инструментальный отклик указанного анализируемого компонента;

- средний инструментальный отклик (по методу нормализации среднего);

- установленный инструментальный отклик (по градуировочной функции);
Y - матрица, учитывающая ненормализованные значения молярной доли всех анализов (см.
приложение B);
Z - матрица, содержащая вычисленные результаты измерений молярной доли, полученные после "бриджинга", нормализации или "бриджинга" совместно с нормализацией (см.
приложение B);

- среднее значение распределения ошибок от нелинейности;

- критерий согласованности;

- вариационно-ковариационная матрица входных данных (см.
приложение B);
bc - бридж-компонент;
br - "бриджинг" (согласование);
cert - сертифицировано (установлено сертификатом на ГСО);
corr - откорректировано (путем введения поправочного коэффициента);
d1, d2 - детекторы (где d1 и d2 - два независимых детектора);
i - компонент;
ind - компоненты или группы компонентов, анализируемые методом косвенных измерений;
inj - атмосферное давление при вводе пробы (см.
приложение F);
j - номер эталонного газа/газовой смеси;
i - номер ввода пробы;
norm - нормализация;
o - отклик при первичной градуировке или оценке эффективности;
oc - прочие компоненты;
ref - сравнительный (компонент или давление);
гсо - стандартный образец утвержденного типа (эталон сравнения, разрядный рабочий эталон);
Все значимые компоненты или группы компонентов, подлежащие определению в газовой пробе, физически разделяют методом газовой хроматографии (ГХ), и их молярную долю измеряют посредством сличения с данными градуировки, полученными при тех же условиях. Поэтому градуировочный(ые) газ(ы) и газовую пробу следует анализировать с использованием той же системы измерений и при тех же условиях.
Количественный анализ природного газа может быть осуществлен как в одну ступень, так и в несколько ступеней (которые могут быть связаны бридж-компонентом). Анализаторы могут работать в одном или двух режимах в соответствии с используемыми начальными характеристиками и градуировками. Также есть различия в методе анализа в соответствии с тем, проведена ли градуировка для всех компонентов или некоторые из них определены косвенным методом с использованием относительных коэффициентов чувствительности. Сумма откорректированных значений молярной доли компонентов должна быть равна единице; для достижения этого проводится нормализация исходных измеренных значений.
Три возможных метода работы описаны в
5.2.
Примечание - Использование одноступенчатых или многоступенчатых методов анализа (с или без "бриджинга") неизбежно приводит к различным неопределенностям вычисленных значений молярной доли. В зависимости от требований к значению неопределенности пользователь должен решить, какой метод наиболее подходит в данном случае.
5.2.1 Одноступенчатый метод анализа
Одноступенчатый метод анализа предусматривает возможность определения содержания компонентов путем одного ввода пробы с использованием одного детектора. Частным случаем одноступенчатого метода анализа является метод многоступенчатого анализа без "бриджинга", описанный в
5.2.3.
5.2.2 Многоступенчатый метод анализа с "бриджингом"
Метод многоступенчатого анализа основан на использовании различных систем (например, более чем одно дозирующее устройство ввода пробы и/или детектор) для определения групп компонентов.
Важной характеристикой, которая отличает метод многоступенчатого анализа с "бриджингом" от метода одноступенчатого анализа, является то, что изменения объема пробы и/или чувствительности детектора могут колебаться между группами компонентов. Для метода многоступенчатого анализа с "бриджингом" результаты измерений молярной доли компонентов различных групп объединяют благодаря использованию компонента, определяемого на каждом детекторе (бридж-компонента). Соотношение откликов бридж-компонента и других компонентов определяют при каждом анализе, а значения отклика для компонентов других ступеней анализа корректируют с использованием соотношений откликов компонентов и бридж-компонента, установленных при градуировке. Таким образом, изменения откликов согласовывают для различных ступеней анализа, и нормализация может быть применена таким же образом, как и в методике одноступенчатого анализа.
Компонент, выбранный в качестве бридж-компонента при многоступенчатом методе анализа, должен соответствовать следующим требованиям:
- отклики бридж-компонента должны быть зафиксированы с высокой точностью на каждой ступени анализа. Наименее точное из двух полученных значений определяет уровень согласованности;
- хроматографический пик бридж-компонента должен быть удовлетворительно разделен с пиками других компонентов [как ожидаемыми, так и случайными (например, кислорода из воздуха)] в каждой ступени анализа;
- отклик бридж-компонента на каждой ступени анализа должен быть близок к ожидаемому отклику определяемых компонентов в рабочем диапазоне и иметь аналитическую функцию первого порядка, проходящую через начало координат.
В
приложении B приведено описание альтернативного подхода к "бриджингу" с использованием многочленов Лагранжа. Этот подход может быть применен в том случае, когда невозможно соблюсти указанные выше требования к бридж-компоненту и пользователь может подтвердить, что соблюдение рекомендаций
приложения B дает приемлемые результаты.
5.2.3 Многоступенчатый метод анализа без "бриджинга"
Многоступенчатый метод анализа без "бриджинга" основан на определении содержания групп компонентов с использованием различных систем (например, более чем один ввод пробы и/или детектор), при этом подходящих бридж-компонентов нет или они недоступны. Далее в тексте настоящего стандарта данные, полученные этими методами, трактуются так же, как и данные, полученные одноступенчатым методом анализа, частным случаем которых являются методы многоступенчатых измерений без "бриджинга".
Системы, в которых обычно используется многоступенчатый метод анализа без "бриджинга", представляют собой быстродействующие, компактные ("микро") газохроматографические системы.
Использование обычной нормализации при многоступенчатом методе анализа без "бриджинга" может привести к завышенным значениям неопределенности вычисленных значений молярной доли. Поэтому пользователь должен детально рассмотреть возможность использования данного метода для обеспечения проведения анализа с необходимой точностью.
В зависимости от вида, исходных характеристик и градуировки анализатора различают два типа анализа.
Анализ по типу 1 предусматривает определение функции отклика многоточечной градуировкой с использованием эталонной аттестованной газовой смеси (ГСО) с последующим регрессионным анализом. Эти функции отклика затем используют для вычисления значений молярной доли компонентов в анализируемых пробах. При анализах по типу 1 не возникают ошибки от нелинейности (см.
6.9.4).
Анализ по типу 2 опирается на предполагаемую функцию отклика, и анализ пробы осуществляют по рутинной градуировке с использованием одного рабочего эталона (ГСО). Поскольку предполагаемая функция отклика может отличаться от действительной, при анализах по типу 2 могут быть ошибки, связанные с нелинейностью, которые должны оцениваться путем контроля качества измерений в нескольких точках (см.
6.9.4)
<1>.
--------------------------------
5.4 Компоненты, определяемые методами прямых и косвенных измерений
Компонент, определяемый методом прямых измерений, - это компонент, который присутствует в качестве аттестованного компонента в ГСО и молярную долю которого измеряют непосредственно по градуировке для этого компонента.
Компонент, определяемый методом косвенных измерений, - это компонент, который отсутствует в качестве аттестованного компонента в ГСО, и его содержание определяют косвенно с использованием относительного коэффициента чувствительности. Молярную долю этих компонентов определяют путем сравнения площади пика косвенно определяемого компонента с площадью пика аттестованного компонента и путем применения соответствующего относительного коэффициента чувствительности (см.
приложение D). Использование относительного коэффициента чувствительности (который имеет присущую ему неопределенность) увеличивает неопределенность измеренного значения молярной доли.
Нормализация - это способ обработки исходных значений молярной доли, который приводит сумму к единице с применением пропорциональной корректировки ко всем определяемым компонентам. Этот способ наилучшим образом подходит для анализа природного газа, где доминирующие неопределенности сильно коррелированы для всех компонентов, потому что они являются результатами тех эффектов, которые влияют на все компоненты (такие как изменения атмосферного давления или дрейф детектора).
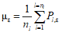
Для смеси из ni компонентов, включающих "прочие компоненты", нормализованное значение молярной доли i-го компонента вычисляют по формуле

(1)
Примечание - В
приложении B приведено описание альтернативного подхода к "бриджингу" и нормализации.
6 Аналитические процедуры
Процесс создания хроматографической системы для анализа природного газа состоит из последовательных этапов, приведенных в
6.2 -
6.9. При этом до ввода системы в эксплуатацию выбирают подходящую опцию по этапу 4 (см.
6.5). На этапе 4 процесс настройки предусматривает либо первичную многоточечную градуировку (анализ по типу 1), при которой выходные данные этой градуировки используются при последующих анализах, либо оценку эффективности (анализ по типу 2), при которой проводят одноточечную градуировку при нормальных условиях эксплуатации, а полученные данные используют для определения состава газа. Этапы первичной и одноточечной градуировок могут быть проведены повторно в последующей работе, например при наличии значительных изменений в составе анализируемого газа, которые выводят его за пределы диапазона измерений, на который анализатор был отградуирован. Полная методика определения молярной доли (и связанной с ней неопределенности, см.
ГОСТ 31371.2) для каждого компонента в смеси природного газа схематически приведена ниже в виде блок-схем на рисунках 1 и
2.

Рисунок 1 - Процедура определения молярной доли
(и неопределенности в соответствии
Рисунок 2 - Процедура определения молярной доли
(и неопределенности в соответствии
6.2 Этап 1. Определение рабочего диапазона
6.2.1 Рабочий диапазон для анализатора определяют, учитывая минимальное и максимальное значения молярной доли для всех анализируемых компонентов и оценивая значения молярной доли неизмеряемых компонентов. Рабочий диапазон должен учитывать вероятные изменениях состава газа, подлежащего анализу.
6.2.2 Возможные изменения в составе анализируемого газа могут быть определены:
- оценкой накопленных ранее данных, при наличии;
- выполнением расширенного анализа некоторого количества репрезентативных проб анализируемого газа, принимая во внимание возможные варианты предварительной обработки и переработки газа;
- на основании спецификации продукции, предоставляемой поставщиком (сетевым оператором).
6.2.3 Рабочий диапазон должен быть определен с учетом возможных изменений в составе анализируемого газа для каждого компонента:
- нижняя граница рабочего диапазона не превышает ожидаемого минимального значения молярной доли;
- верхняя граница рабочего диапазона не ниже ожидаемого максимального значения молярной доли.
6.2.4 Значения молярной доли неизмеряемых (прочих) компонентов могут быть оценены на основе накопленных данных или результатов расширенного анализа.
6.3 Этап 2. Определение требований к аналитическому методу
Требования к аналитическому методу определяют с учетом следующих аспектов:
- компоненты, определяемые методом прямых измерений, и (где нужно) неопределенности либо по отдельным компонентам, либо по диапазонам;
- компоненты, определяемые методом косвенных измерений, и (где нужно) неопределенности либо по отдельным компонентам, либо по диапазонам;
- компоненты, определяемые как группы, и (где нужно) неопределенности;
- неизмеряемые компоненты, для молярной доли которых используются постоянные значения (константы);
- используется ли бридж-компонент для метода многоступенчатого анализа [и, если это так, выбирается(ются) ли компонент(ы), который(е) будет(ут) использован(ы) в качестве бридж-компонента];
- проводится ли обратная продувка или нет;
- присутствуют ли какие-либо влияющие компоненты.
Примечание - Типичные значения неопределенности результатов анализа для различных конфигураций лабораторных и потоковых хроматографов приведены в других частях серии.
6.4 Этап 3. Выбор оборудования и рабочих условий
Выбирают необходимое оборудование и рабочие условия. Другие части серии ГОСТ 31371 описывают методы анализа, которые могут быть применены вместе с настоящим стандартом. Также вместе с настоящим стандартом могут быть применены и другие регламентированные надлежащим образом методы анализа.
Выбирают метод подготовки и ввода пробы:
- пробу природного газа отбирают в баллон, который подсоединяют к крану ввода пробы в хроматограф или
- природный газ непрерывно отбирают из газопровода, и он проходит через кран подачи пробы хроматографа, который используют для ввода представительной пробы в хроматограф.
Указания по отбору пробы подробно описаны в
ГОСТ 31370.
Примечание - Особое внимание следует уделить предотвращению конденсации более тяжелых компонентов при уменьшении давления газа в баллоне. Подробная информация о правильном обращении с градуировочными газами и газовыми смесями приведена в
приложении ДА <1>.
--------------------------------
Если первичная градуировка или оценка эффективности не требуются и если прибор будет использоваться для рутинных измерений, переходят к контролю качества или рутинной градуировке (см.
6.7, этап 6).
Если первичная градуировка или оценка эффективности не требуются и если прибор будет использоваться для проведения единичных анализов, используют методику анализа смесей неизвестного состава (см.
6.8, этап 7).
6.5 Этап 4. Градуировочные характеристики (первичная градуировка или оценка эффективности)
Для анализа по типу 1 определение градуировочных характеристик принимает форму первичной градуировки, при которой коэффициенты
bz,i аналитической функции определяют для каждого компонента. Так как аналитическая функция определена точно, никаких ошибок от нелинейности не возникает. При рутинной работе коэффициенты аналитической функции впоследствии могут корректироваться путем умножения на коэффициент пересчета (см.
6.7, этап 6).
При анализе по типу 2 аналитическую функцию анализатора принимают имеющей первый порядок с пересечением в нулевой точке (т.е.
b0,
b2 и
b3 равны нулю), и эту принятую аналитическую функцию в последующем периодически корректируют по результатам анализа рабочего эталона (см.
6.7, этап 6). Принятие в качестве аналитической функции уравнения первого порядка с пересечением в нулевой точке может привести к ошибкам от нелинейности, и целью оценки эффективности системы является оценка вклада ошибки от нелинейности, что позволит в свою очередь провести оценку эффективности системы для проведения измерений и в случае необходимости провести корректировку вычисленных значений молярной доли (см.
6.9.4). Если неопределенность значений молярной доли вычисляют с применением
ГОСТ 31371.2, эта ошибка от нелинейности должна быть включена в бюджет неопределенности.
Примечание - Для оценки эффективности при проведении анализа по типу 2 рекомендуется использовать не менее трех ГСО в рабочем диапазоне.
Первичную градуировку или оценку эффективности следует осуществлять в следующих ситуациях:
- сразу после первоначальной установки системы поставщиком;
- сразу после ввода в эксплуатацию после замены основной части системы, например дозирующего устройства, колонки или детектора;
- сразу после ввода в эксплуатацию после отрицательного результата контроля качества системы (см.
6.7, этап 6);
- по окончании интервала времени между градуировками, который был установлен как приемлемый, например не более 12 мес.
Примечание - Рекомендуется операцию первичной градуировки осуществлять в сервис-центрах предприятий-изготовителей, а в условиях эксплуатации проводить проверку стабильности градуировочной характеристики в рабочем диапазоне измерений с использованием ГСО с составлением контрольных карт.
6.5.3 Выбор эталонных газов
Для определения функций регрессии должно быть выбрано соответствующее количество ГСО. Выбор зависит от накопленного опыта эксплуатации рассматриваемой газохроматографической системы:
- если первичная градуировка не проводилась или полиномы отклика не были установлены эквивалентной методикой, то необходимо выбрать минимум семь ГСО для построения регрессионных кривых третьего порядка;
- если начальная первичная градуировка (или эквивалентная методика) показала, что регрессионные кривые могут быть смоделированы полиномиальной функцией первого или второго порядка, то для последующих первичных градуировок должно быть выбрано соответствующее количество ГСО.
Соответствующее количество ГСО может быть принято равным трем в случаях, когда ни один компонент не показал полином отклика выше первого порядка, и пяти - в случаях, когда ни один компонент не показал полином отклика выше второго порядка.
Выбирают ГСО в соответствии с рабочим диапазоном каждого компонента (как указано в
6.2). Это возможно при использовании набора многокомпонентных смесей с различными значениями молярной доли компонента, определенными методом прямых измерений.
Выбранные ГСО могут быть многокомпонентными или бинарными смесями с соответствующей неопределенностью и должны всегда соответствовать назначению <1>, т.е. неопределенность каждого компонента должна быть достаточно мала, чтобы обеспечить приемлемую небольшую конечную неопределенность, полученную после составления бюджета неопределенности.
--------------------------------
Примечание - Невозможно приготовить смесь с самым высоким или самым низким значением молярной доли для каждого компонента, поэтому большинство многокомпонентных ГСО будут иметь состав, отличающийся от "реальных" смесей природного газа. Это не является проблемой, если смеси стабильны при хранении и эксплуатации.
ГСО обычно аттестуют с расширенными неопределенностями с коэффициентом охвата k, равным 2. Поэтому коэффициент охвата 2 следует использовать в качестве варианта по умолчанию при отсутствии каких-либо других указаний.
6.5.4 Анализ эталонных газов
Проводят анализ каждого ГСО. Рекомендуется проводить минимум 10 анализов для каждого ГСО, чтобы средние значения отклика и их стандартные неопределенности были определены с требуемой точностью.
Примечание - Неопределенности, указанные в настоящем пункте, не используют в настоящем стандарте, но их используют в
ГОСТ 31371.2 для оценки неопределенности молярной доли компонентов.
В зависимости от количества повторных измерений "неопределенность неопределенности" среднего значения (т.е. отношение стандартного отклонения выборочного стандартного отклонения среднеарифметического значения к стандартному отклонению среднеарифметического значения) может быть неожиданно большой: для 10 измерений - 24% [см. ГОСТ 34100.3-2017,
подраздел E.4.3 (приложение E)]. Поэтому не рекомендуется использовать меньшее количество повторных измерений при определении стандартного отклонения среднего значения.
Индивидуальные оклики от каждого компонента в каждом ГСО, полученные при повторных измерениях, представляют в виде таблицы. Полученные данные могут быть проверены на наличие выбросов с использованием подходящего критерия выбросов (см.
приложение H). Если обнаружены выбросы, данные должны быть изучены. Выбросы должны быть исключены, только если для этого имеются обоснованные технические причины.
6.5.5 Регрессионный анализ
6.5.5.1 Введение в регрессионный анализ
Как правило, рекомендуется проведение анализа с использованием обобщенного метода наименьших квадратов (МНК). Анализ МНК требует выполнения регрессионного анализа с учетом информации о неопределенности входных данных
<2>. В этом случае значение молярной доли каждого компонента будет вычислено в соответствии с его неопределенностью. Поэтому обобщенный МНК следует использовать, если впоследствии для оценки неопределенности молярной доли компонентов будет применяться
ГОСТ 31371.2.
--------------------------------
Для случаев, когда оценка неопределенности молярной доли компонентов (и, следовательно, соответствия
ГОСТ 31371.2) не требуется, проводят либо обобщенный МНК с нулевыми (или пренебрежимо малыми) входными неопределенностями, либо простой анализ МНК.
Даже если оценка неопределенности молярной доли компонентов не требуется, рекомендуется использование обобщенного МНК. Это дает наиболее надежное определение молярной доли компонентов.
6.5.5.2 Обобщенный метод наименьших квадратов
Аналитическая функция (первичная градуировка) представлена уравнением

. (2)
Градуировочная функция (оценка эффективности) представлена уравнением

. (3)
Определение аналитической и градуировочной функций проводят с использованием регрессионного анализа с применением следующих входных данных:
- содержание компонента в ГСО (выраженное как аттестованное значение молярной доли) xcert;
- стандартные неопределенности содержания компонента в ГСО
u(
xcert,i) (требуются, когда неопределенности должны быть вычислены по
ГОСТ 31371.2);
- средние значения откликов на содержание компонента в ГСО

;
- стандартные неопределенности средних откликов

, вычисленные как среднеквадратическое отклонение (СКО) среднего из ряда полученных откликов (требуются, когда неопределенности должны быть вычислены по
ГОСТ 31371.2).
Если необходимо введение поправки на атмосферное давление, то для регрессионного анализа отклики предварительно корректируют путем умножения на соответствующий поправочный коэффициент по давлению. В
приложении F приведены рекомендации по корректировке влияния атмосферного давления.
При применении метода многоступенчатого анализа с "бриджингом" (см.
5.2.2) значение отклика анализируемого компонента вычисляют умножением значений откликов для данного компонента, полученных от второго или последующих детекторов, на отношение откликов бридж-компонента, зафиксированных от первого детектора, к отклику от второго или последующих детекторов по формуле

. (4)
При необходимости стандартные неопределенности средних откликов, определенных по
формуле (4), вычисляют как стандартное отклонение среднего из полученной совокупности данных.
Затем путем регрессионного анализа вычисляют параметры функции регрессии. Как указано в
6.5.5.1, предпочтительным является применение обобщенного МНК. Рекомендуемые программные обеспечения для выполнения такого анализа приведены в
приложении G.
В некоторых особых случаях значения неопределенности могут быть относительно велики. В этих случаях неопределенность исходных компонентов может быть оценена простым МНК. Неопределенность, возникающая в результате регрессионного анализа, должна соответствовать
ГОСТ 34100.3. В качестве примера контроля уровня неопределенности результатов анализа, учитывающего неопределенности аттестации ГСО, а также угла наклона градуировочной кривой, может быть использован алгоритм, приведенный в
приложении H для случая контроля стабильности времени удерживания и относительных коэффициентов чувствительности.
Для тех случаев, когда оценка неопределенности молярной доли компонента (в соответствии с
ГОСТ 31371.2) не требуется, рекомендуется применять либо обобщенный МНК с нулевыми (или ничтожно малыми) входными неопределенностями, либо простой МНК. Даже в том случае, если оценка неопределенности значений молярной доли компонентов не требуется, рекомендуется использование обобщенного МНК с определенными входными неопределенностями, когда это возможно. Это дает наиболее надежное определение молярной доли компонентов.
6.5.5.3 Анализ простым методом наименьших квадратов
Анализ простым МНК требует, чтобы были определены в качестве входных параметров только
xcert и
ycert,i, описанные в
6.5.5.2. В случае необходимости должны быть введены поправки на атмосферное давление и/или "бриджинг", как описано в
6.5.5.2.
Соответствующее программное обеспечение для выполнения анализа простым МНК общедоступно.
6.5.6 Выбор функции регрессии
При регрессионном анализе должны быть использованы полиномиальные функции и коэффициенты должны быть определены в соответствии с определенной методикой <1> (если используется обобщенный МНК) или с использованием подходящего программного обеспечения (если используется простой МНК).
--------------------------------
Примечание 1 - Рекомендации настоящего раздела относятся к использованию обобщенного МНК для определения функций регрессии. Простой МНК можно использовать для определения соответствующего порядка полиномиальной функции путем проведения статистического теста, например последовательного F-теста <2>.
--------------------------------
Порядок полинома для каждого компонента должен быть выбран с учетом следующих допущений:
- простейшая функция дает адекватное соответствие с данными и позволяет избежать описания отклика прибора излишне сложной функцией;
- минимальное число точек градуировки, рекомендованных для разных типов функций, считают равным трем для функции первого порядка, пяти - для функции второго порядка и семи - для функции третьего порядка;
- кривизна регрессионной функции может быть описана членом второго (а возможно, и третьего) порядка. Если ни одна из этих функций не подходит, это может означать наличие проблемы с методикой или оборудованием;
- наличие максимума или минимума на графике вычисленных значений молярной доли в зависимости от отклика внутри рабочего диапазона свидетельствует о наличии проблем.
Функции второго и более высоких порядков следует применять с осторожностью. Хроматографические детекторы, применяемые для анализа природного газа [детекторы по теплопроводности (ДТП) или пламенно-ионизационные детекторы (ПИД)], в основном имеют линейные характеристики отклика. Нелинейные отклики чаще всего наблюдаются для метана в связи с перегрузкой детектора из-за очень большого значения молярной доли или для других газов около их пределов обнаружения.
Примечание 2 - Использование одного ГСО для первичной градуировки прибора не даст возможности идентифицировать правильную форму для функции регрессии. Применение этого подхода означает, что неопределенность не может быть оценена, и данный подход находится вне сферы рассмотрения настоящего стандарта.
Для
i-го компонента в каждой точке градуировки требуется удовлетворительная подгонка с использованием последующей тестовой процедуры. Для каждой экспериментальной точки градуировки (
xi,
yi) вычисляют скорректированную точку градуировки

как побочный результат регрессионного анализа, использованного для определения функции регрессии. Координаты

и

уточненной точки градуировки являются оценками действительного содержания и отклика для компонента ГСО. При построении кривая отклика проходит через уточненные точки градуировки. Выбранная модель отклика обоснованно соответствует совокупности данных градуировки, если для каждой градуировочной точки (
l = 1, 2, ...
ni) выполняются следующие условия:

.
Примечание 3 - В большинстве случаев это условие равнозначно требованию того, чтобы рассчитанная кривая отклика проходила через каждый экспериментальный "градуировочный прямоугольник"

, основанный на расширенной неопределенности
U =
ku. Для этого теста используют коэффициент охвата
k, равный 2.
Если проверочный тест модели проходит неудовлетворительно, одним из возможных вариантов дальнейших действий является использование других моделей отклика до момента, пока найдется модель, соответствующая совокупности данных градуировки. Другим возможным вариантом является проверка и исправление данных градуировки.
Для эффективной проверки соответствия ожидаемой функции регрессии вычисляют меру критерия согласованности

, определяемую как максимальное значение взвешенных разностей между координатами измеренных и уточненных точек градуировки (
l = 1, 2, ...
ni):

.
Функция является приемлемой, если

.
Если несколько функций считаются приемлемыми, для использования выбирают функцию с наименьшим количеством параметров.
Каждая рассчитанная кривая отклика должна быть визуально проверена. Эта визуальная проверка необходима для выявления ошибочных корреляций, которые могут возникнуть, если они не были обнаружены при локальной проверке кривой, установленной по точкам градуировки. Такие ошибочные корреляции могут возникать с полиномиальными функциями отклика, которые проявляются в виде немонотонного поведения с хорошим локальным соответствием. Другой случай появления ошибок корреляции может произойти, если по ошибке для одной из точек неопределенность очень мала. Тогда этой точке градуировки неверно придается очень большой вес. Следовательно, кривая отклика принудительно проходит через эту точку с меньшим отклонением по сравнению с заданным отклонением для других градуировочных точек.
6.6 Этап 5. Относительные коэффициенты чувствительности
При отсутствии компонентов, определяемых методом косвенных измерений, этот этап пропускают при настройке анализатора.
Относительные коэффициенты чувствительности для групп компонентов, определенных косвенным методом, приведены в
приложении D. Если группу компонентов, например C
6+, определяют косвенным методом, расширенный анализ типовой пробы применяют для определения общей суммы C
6+, а также сравнительного компонента, например пропана или
н-бутана. Последующее сравнение площади сравнительного компонента и отклика группы компонентов позволяет вычислить относительный коэффициент чувствительности.
Примечание 1 - Применение относительного коэффициента чувствительности (который имеет присущую ему неопределенность) увеличивает неопределенность измеренного значения молярной доли.
Примечание 2 - Применение Cn изомера "нормального" строения для определения относительного коэффициента чувствительности для фракции Cn+, где n - число атомов углерода, может вносить значительную систематическую ошибку.
6.7 Этап 6. Рутинная градуировка/контроль качества
При рутинной градуировке проводят периодический ввод рабочего эталона (ГСО) для того, чтобы исправить коэффициенты аналитических функций (анализы по типу 1) или обновить коэффициенты bi предполагаемой аналитической функции (анализ по типу 2).
Примечание 1 - ГСО может иметь состав, отличающийся от состава ГСО, используемых на этапе 4 (см.
6.5).
Контроль качества обеспечивают путем периодической подачи рабочих эталонов (ГСО) для определения стабильности измерительной системы в течение времени в соответствии с руководством, представленным в
разделе 7. Должны быть приняты соответствующие меры для восстановления значений коэффициентов, если качество работы системы не отвечает установленным требованиям.
Примечание 2 - Для восстановления значений коэффициентов могут быть проведены кондиционирование и регенерация хроматографических колонок в соответствии с рекомендациями изготовителя. В случае отсутствия положительного результата необходимо провести заново первичную градуировку.
Для рутинной работы при проведении анализа по типу 1 коэффициенты аналитической функции (определенные на этапе 4, см.
6.5) в последующем корректируются умножением на масштабный коэффициент. Масштабный коэффициент определяют как отношение отклика компонента ГСО, полученного сразу после первичной градуировки, к текущему значению отклика компонента ГСО в соответствии с формулой

. (5)
Формула (5) характеризует широко распространенный подход для коррекции коэффициентов аналитической функции. Другие подходы для коррекции также могут применяться, но только если пользователь может подтвердить, что они больше подходят для его прибора.
В ходе анализа по типу 2 аналитическая функция прибора предположительно имеет первый порядок с пересечением в нуле (т.е. b0, b2 и b3 равны нулю), и эту предполагаемую аналитическую функцию в последующем периодически уточняют посредством обычной градуировки (т.е. анализом ГСО) согласно формуле

. (6)
Примечание 3 - b1,i - это величина, обратная "фактору отклика".
Периодичность рутинной градуировки или контроля качества зависит в основном от измерительной системы и условий измерений. Невозможно дать общее значение, и поэтому периодичность должна быть определена с использованием одной из следующих процедур:
- если не установлен номинальный интервал периодической градуировки/контроля качества, система должна быть отградуирована, затем протестирована и должна функционировать без дальнейшей градуировки и корректировки до тех пор, пока качество работы системы отвечает установленным требованиям. Как только интервал времени до отказа системы установлен, интервал периодической градуировки/контроля качества устанавливают более коротким по сравнению с интервалом времени до отказа системы;
- если номинальный интервал периодической градуировки/контроля качества был установлен, система должна быть отградуирована, затем протестирована и должна функционировать без дальнейшей градуировки и корректировки до тех пор, пока номинальный интервал периодической градуировки/контроля качества не будет превышен. В случае если качество работы системы отвечает требованиям, для применения может быть выбран новый номинальный интервал. Если качество работы системы не отвечает требованиям в течение номинального интервала, тогда в качестве этого интервала должен быть выбран более короткий период, в течение которого требования были бы выполнены. На практике интервалы между периодическими градуировками или контролем качества могут варьироваться от нескольких дней (меньше недели) до одного года.
6.7.3.1 Общие положения
Выполняют необходимое число вводов пробы рабочих эталонов (ГСО). Если должна вводиться поправка на атмосферное давление, корректируют средние значения откликов умножением на поправочный коэффициент давления (см.
приложение F). Определяют средний отклик анализатора на каждый компонент.
6.7.3.2 Рутинная градуировка
При проведении анализа по типу 1 коэффициенты аналитической функции для каждого компонента, полученные при первичной градуировке, корректируют умножением на отношение текущего среднего значения отклика компонента ГСО к среднему значению отклика компонента ГСО, полученному при первичной градуировке.
При проведении анализа по типу 2 коэффициент предполагаемой аналитической функции обновляют.
6.7.3.3 Контроль качества
Контроль качества выполняют, используя официальную методику контрольных карт. Руководство по контролю качества приведено в
приложении H.
Способ выполнения анализа проб природного газа будет зависеть от того, каким образом смесь отобрана и подана в анализатор.
Если проба природного газа была отобрана в баллон, а затем пробы газа поданы из баллона в анализатор, то рекомендуется провести 10 анализов (см. комментарии о числе повторных анализов в
6.5.4). Если анализатор работает под статистическим контролем, то может быть проведено меньшее число измерений, и неопределенности оцениваются исходя из первоначальных статистических данных. Таким способом обычно работают лабораторные анализаторы.
Если проба природного газа, подаваемая в анализатор, была отобрана из источника, где состав газа может меняться со временем (например, из трубопровода природного газа), или если количество пробы мало, невозможно выполнить повторные анализы газовой пробы. В этом случае анализатор должен работать в рамках статистического контроля и СКО для вычисления неопределенностей значений молярной доли компонента должно быть определено предварительно. В таком режиме обычно работают потоковые анализаторы.
Примечание 1 - В последнем случае (когда повторные анализы невозможны) результаты двух существующих методов, рассмотренных на этапе 8 (см.
6.9), - "метод нормализации среднего" и "метод пошаговой нормализации" - сходятся.
Формулы (7) и
(16) (вычисление средних значений отклика и молярной доли соответственно) становятся идентичными. Если вычисляют неопределенности значений молярной доли, то
формулы (5) и
(16) в ГОСТ 31371.2-2020 также становятся идентичными.
Примечание 2 - Сбор статистических данных по СКО для оценки неопределенности рекомендуется проводить на стадии внедрения методики измерений. В дальнейшем статистический контроль работы аналитической системы следует осуществлять по контрольным картам.
Требуемые данные по СКО рекомендуется получать исходя из результатов первичной градуировки. Тем не менее, так как СКО тесно связано со значением молярной доли, может быть приемлемым получение СКО из повторных измерений ГСО (используемого в целях статистического контроля), если состав ГСО близок к составу анализируемого газа.
6.9 Этап 8. Вычисление молярной доли компонента
Существует несколько методик обработки данных yi,l, которые могут быть использованы для вычисления значений молярной доли. Две наиболее распространенные методики приведены ниже:
a) нормализация среднего: результаты повторных анализов для каждого компонента усредняют для получения среднего в серии, а затем проводят нормализацию. Обработка данных этим методом описана в
6.9.2;
b) пошаговая нормализация: результаты каждого повторного анализа нормализуют независимо, затем вычисляют среднее из этих нормализованных значений. Обработка данных этим методом, описанная в
6.9.3, приводит к значениям
yi для каждого анализа.
Примечание - При нормализации происходит корректировка влияния изменения атмосферного давления, т.е. коррекция средних значений откликов компонентов пробы при изменениях атмосферного давления (см.
приложение F) не нужна.
6.9.2 Вычисление молярной доли компонента с применением методики нормализации среднего
6.9.2.1 Методы одноступенчатого и многоступенчатого анализов без "бриджинга"
Вычисление среднего значения отклика по nl анализам пробы проводят по формуле

(7)
6.9.2.2 Метод многоступенчатого анализа с "бриджингом"
При использовании метода многоступенчатого анализа с "бриджингом" (см.
5.2.2) отклик для каждого компонента вычисляют как отклик, полученный от второго или последующего детектора, умноженный на отношение отклика на бридж-компонент с первого детектора к отклику, полученному со второго или последующего детектора, по формуле

. (8)
6.9.2.3 Вычисление исходных значений молярной доли
Исходные значения молярной доли вычисляют исходя из средних откликов и либо градуировочной функции (анализ по типу 1), либо предполагаемой градуировочной функции (анализ по типу 2) по формуле

. (9)
Коэффициенты градуировочной функции

являются оценочными и вычисляются как среднеарифметические значения из серии измерений
bz,i. Для анализа по типу 2 коэффициенты
b0,
b2 и
b3 равны нулю.
При рутинной градуировке используют последнее откорректированное значение коэффициентов аналитической функции (анализ по типу 1) или последний уточненный коэффициент отклика (анализ по типу 2) (см.
6.7, этап 6).
6.9.2.4 Компоненты, определяемые методом косвенных измерений
При использовании методов одноступенчатого или многоступенчатого анализа исходные значения молярной доли компонентов пробы, определяемых косвенным методом, вычисляют по формуле

. (10)
Относительные коэффициенты чувствительности
Ki для ПИД и ДТП приведены в
приложении D. Измерение молярной доли компонентов методом косвенных измерений обоснованно только в том случае, если неопределенности, присущие относительным коэффициентам чувствительности, оценены правильно.
6.9.2.5 Нормализация
Нормализованные значения молярной доли вычисляют по формуле

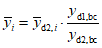
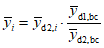
, (11)
где для методов одноступенчатого или многоступенчатого анализа без "бриджинга"

;
для метода многоступенчатого анализа измерений с "бриджингом"

,
где m - число бридж-компонентов (bc1, bc2, ... bcm).
6.9.3 Вычисление значений молярной доли компонента с применением методики пошаговой нормализации
6.9.3.1 Основные положения
Процедура вычисления значений молярной доли компонента с применением методики пошаговой нормализации описана в 6.9.3.2 -
6.9.3.6.
6.9.3.2 Метод многоступенчатого анализа с "бриджингом"
Если применяют метод многоступенчатого анализа с "бриджингом" (см.
5.2.2), то отклик для каждого компонента вычисляют как отклик, полученный от второго или последующего детектора, умноженный на отношение отклика на бридж-компонент с первого детектора к отклику, полученному со второго или последующего детектора

. (12)
6.9.3.3 Вычисление исходных значений молярной доли
Исходные значения молярной доли вычисляют для серии вводов неизвестной пробы, используя либо градуировочную функцию (анализ по типу 1), либо предполагаемую градуировочную функцию (анализ по типу 2), по формуле

. (13)
Коэффициенты градуировочной функции bz,i являются оценочными для l-го ввода пробы bz,i,l. Для анализов по типу 2 коэффициенты b0, b2 и b3 равны нулю.
При рутинной градуировке используют последнее откорректированное значение коэффициентов аналитической функции (анализ по типу 1) или последний уточненный коэффициент отклика (анализ по типу 2) (см.
6.7, этап 6).
6.9.3.4 Компоненты, определяемые методом косвенных измерений
При использовании методов одноступенчатого или многоступенчатого анализа исходные значения молярной доли компонентов пробы, определяемых методом косвенных измерений, вычисляют по формуле

. (14)
Относительные коэффициенты чувствительности
Ki для ПИД и ДТП приведены в
приложении D. Измерение молярной доли компонентов методом косвенных измерений обоснованно только в тех случаях, если неопределенности, присущие относительным коэффициентам чувствительности, оценены правильно.
6.9.3.5 Нормализация
Нормализованные значения молярной доли вычисляют по формуле

, (15)
где

;
для метода многоступенчатого анализа с "бриджингом"

,
где m - число бридж-компонентов (bc1, bc2, ... bcm).
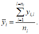
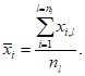
6.9.3.6 Вычисление средних значений молярной доли
Средние значения нормализованной молярной доли вычисляют по формуле

(16)
Нормализацию средних значений проводят по формуле

(
17)
6.9.4 Ошибки от нелинейности (анализ по типу 2)
При проведении анализов по типу 2 могут возникать ошибки, вызванные нелинейностью, обусловленные разностью между действительным и предполагаемым откликами детектора анализатора. Такие ошибки нелинейности зависят от состава рабочего эталона, состава неизвестной (анализируемой) пробы и вида отклика (т.е. градуировочной функции, определенной при проверке характеристик аналитической системы).
Ошибки от нелинейности могут быть определены при анализе двух или более ГСО с составом, выбранным надлежащим образом, или путем вычисления серии гипотетических составов ГСО по градуировочной функции, определенной во время проверки характеристик аналитической системы.
В идеальном случае анализатор должен быть настроен так, чтобы среднее значение

распределения ошибок от нелинейности

, определенное в рамках рабочего диапазона, было близко к нулю. В таких случаях не следует применять корректировку. Если требуется оценка неопределенности значений молярной доли компонента, неопределенность поправочного коэффициента включают как дополнительное слагаемое в бюджет неопределенности [см. ГОСТ 31371.2-2020,
формулы (3) и
(14)].
Процедура исправления ошибок от нелинейности заключается в определении распределения этих ошибок для ряда гипотетических составов, соответствующих рабочему диапазону прибора. Вычисляют среднее значение ошибки от нелинейности для распределения и, если оно не близко к нулю, применяют поправочный коэффициент, вычисленный по формуле (
18) для метода нормализации среднего и по
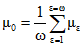
формуле (19) для метода пошаговой нормализации:

, (
18)

. (
19)
Значение

будет зависеть от того, в какой степени фактическая аналитическая функция прибора отличается от предполагаемой линейной функции с пересечением в нулевой точке для рабочего диапазона прибора и выбранного состава ГСО, используемого при рутинной градуировке.
Примечание - В
ГОСТ 31371.2 
и

используются в качестве основных символов для обозначения исходных значений молярной доли, независимо от того, проводилась корректировка от нелинейности или нет.
Контрольные карты следует использовать для контроля удовлетворительной работы системы. Использование контрольных карт описано в
приложении H.
Допускается проведение контроля работы аналитической системы с использованием контрольного образца ГСО в соответствии с планом внутрилабораторного контроля.
Протокол испытаний должен содержать:
a) идентификацию пробы, в том числе:
- время и дату отбора пробы (если возможно);
- точку отбора пробы (местоположение) (если доступно);
- идентификационный номер баллона (или сосуда), используемого для отбора пробы;
b) информацию о применяемом методе газовой хроматографии, в том числе:
- ссылку на соответствующую(ие) часть(и) серии стандартов ГОСТ 31371 или другие документы на методы измерений;
- любые существенные отклонения от ссылочного метода;
c) аналитическую информацию, включая:
- результат анализа, выраженный в единице молярной доли;
- для анализов, в которых используется
ГОСТ 31371.2, - расширенную неопределенность аналитического значения (с указанием коэффициента охвата
k, используемого для вычисления расширенной неопределенности,
k обычно равен 2);
- дату проведения анализа;
- информацию о любых поправках, сделанных из-за загрязнения пробы воздухом или другими газами, если это необходимо;
d) информацию о лаборатории, включая:
- дату выдачи отчета;
- наименование и адрес лаборатории;
- подпись уполномоченного лица.
Примечание - Результаты анализа, проведенного с использованием серии стандартов ГОСТ 31371, могут использоваться в сочетании с дополнительной информацией о сертификации ГСО.
(справочное)
АЛЬТЕРНАТИВНЫЙ ПОДХОД К "БРИДЖИНГУ" И НОРМАЛИЗАЦИИ
Настоящее приложение описывает метод вычисления значений молярной доли и соответствующих им неопределенностей для анализа с применением методик пошаговой нормализации и нормализации среднего значения с использованием обобщенного МНК или полиномов Лагранжа. Анализ пробы газа приводит к измеренным значениям

, как описано в блок-схеме на рисунке B.1. Блок-схема преобразований данных приведена на
рисунке B.2.
Рисунок B.1 - Вычисление нормализованных значений
молярной доли при использовании нормализации
среднего значения и пошаговой нормализации
Рисунок B.2 - Блок-схема процесса преобразования данных
В
пунктах 5.2.2,
5,2.3 и
подразделе 5.5 приведено описание преобразования

в

, в этом случае

и

идентичны, и далее описано преобразование

в
xi,l. Методы, описанные в этих пунктах и подразделе, могут применяться только при определенных условиях, более детально рассмотренных в
разделе B.2. При других условиях могут применяться альтернативные модели вычислений, например обобщенный МНК или полиномы Лагранжа.
Далее в тексте детально описаны три примера: "бриджинг", нормализация и "бриджинг" совместно с пошаговой нормализацией. Для методики нормализации среднего
l можно считать равным единице. Матрица
Y, как описано в
B.2.6, имеет только одну строку, содержащую усредненные значения молярной доли для
l шагов. Выполнение процедуры "бриджинга", как описано ниже, может быть реализовано в общем случае, только когда выполняется условие выполнения равенства
ni = nbc. (B.1)
Выполнение процедуры нормализации, как описано ниже, может быть реализовано в общем случае только при условии выполнения равенства
ndu,bc = nbc = 0. (B.2)
B.2 "Бриджинг" - нормализация
B.2.1 Общие положения
Вычисление значений молярной доли и связанных с ними неопределенностей лучше всего можно описать, используя матрицы. Могут быть использованы следующие матрицы:
-

: вариационно-ковариационная матрица входных данных (не обязательна для всех исходных значений молярной доли);
- B: матрица, содержащая ограничения;
-
A: промежуточная матрица, построенная из

и
B;
- D: промежуточная матрица;
- Y: матрица, учитывающая исходные значения молярной доли при всех анализах;
-
H: промежуточная матрица, построенная из
Y,
D и

;
- Z: матрица, содержащая результаты вычислений значений молярной доли после "бриджинга", нормализации и "бриджинга" совместно с нормализацией.
Метод, который может быть применен, идентичен для всех типов вычислений: "бриджинга", нормализации или "бриджинга" совместно с нормализацией, а также для обобщенного МНК и полиномов Лагранжа. Различия заключаются в вариационно-ковариационной матрице, используемой при расчетах, и вспомогательной матрице B, содержащей ограничения.
B.2.2 Построение матрицы 
Матрица

- это вариационно-ковариационная матрица важных, значимых компонентов анализа. Рассмотрим три различных случая: бриджинг" [формула (B.3)], нормализация
[формула (B.4)] и "бриджинг" совместно с нормализацией
[формула (B.5)].

; (B.3)

; (B.4)

(B.5)
где матрицы

имеют вид, приведенный в формуле (B.6)

. (B.6)
Матрица может иметь следующие формы:
b) унитарную;
c) блочно-диагональную (с унитарными подматрицами по диагонали и нулями в остальных местах);
d) другую (другие матрицы).
Если

является диагональной матрицей
[(форма (a)], обобщенный МНК может быть упрощен до метода полиномов Лагранжа. Если имеет место блочно-диагональная форма матрицы
[(форма (c)], обобщенный МНК упрощается до метода, описанного в основной части настоящего стандарта.
B.2.3 Построение матрицы B

; (B.7)
Bnorm = [1...1] (1 строка, ni столбцов); (B.8)

. (B.9)
Матрица Bi имеет вид, приведенный в (B.10)

. (B.10)
Матрица Bbr,0 похожа на матрицу Bbr, но столбцы нулей добавляются для небридж-компонентов. Матрица Bnorm,1 имеет вид [см. формулу (B.11)] и имеет "1" для каждого небридж-компонента и для каждого первого появления бридж-компонента и "0" в противном случае.

. (B.11)
B.2.4 Построение матрицы A
Матрица
A построена из

и
B и имеет вид

. (B.12)
Матрица A представляет собой квадратную матрицу следующих размеров:
- 2ndu,bc - nbc (для "бриджинга");
- ni + 1 (для нормализации);
- ni + 2ndu,bc - 2nbc + 1 (для "бриджинга" совместно с нормализацией).
B.2.5 Построение матрицы D
Матрица
D определяется и имеет вид, приведенный в (B.13) -
(B.15):

; (B.13)
Dnorm = [1....1] (1 строка, l столбцов); (B.14)

. (B.15)
B.2.6 Построение матрицы Y
Матрица
Y определяется с учетом исходных значений молярной доли и имеет вид, приведенный в (B.16) -
(B.18):

; (B.16)

; (B.17)

. (B.18)
B.2.7 Построение матрицы H
Дополнительная матрица H имеет вид

. (B.19)
Матрица H имеет l столбцов. Число строк:
- 2ndu,bc - nbc (для "бриджинга");
- ni + 1 (для нормализации);
- ni + 2ndu,bc - 2nbc + 1 (для "бриджинга" совместно с нормализацией).
B.2.8 Построение матрицы Z
Матрица Z содержит решения (значений молярной доли после "бриджинга", нормализации или "бриджинга" совместно с нормализацией) и может быть рассчитана по формуле
Таким образом, матрица
Z определяется и имеет вид, приведенный в (B.22) -
(B.24):

; (B.22)

; (B.23)

. (B.24)
B.3 Вычисление неопределенности
Решение
уравнения (B.21) (
Z =
A-1H) требует вычисления матрицы
A-1 и заканчивается получением матрицы
Z. Строки матрицы
Z содержат значения молярной доли, полученные в результате "бриджинга", нормализации или "бриджинга" совместно с нормализацией. Первые

элементы в диагонали матрицы
A-1 являются неопределенностями этих значений молярной доли, где

равно:
- ndu,bc (для "бриджинга");
- ni (для нормализации) или
- ni + ndu,bc - nbc (для "бриджинга" совместно с нормализацией).
(справочное)
МЕТОД ОПРЕДЕЛЕНИЯ МЕТАНА ПО РАЗНОСТИ
C.1 Общие положения
В то время как нормализация - это современный подход к обработке исходных значений молярной доли, на практике зачастую проводят определение содержания метана по разности. В этом подходе к обработке исходных значений молярной доли содержание всех компонентов газа определяют отдельно от метана, который является основным компонентом.
При использовании метода определения содержания метана по разности вычисление содержания метана проводят путем вычитания суммы исходных значений молярной доли всех прочих компонентов из единицы. Этот подход требует соблюдения одного из двух условий:
- использования корректировки влияния давления (см.
приложение F) для приведения результатов измерений к тем же атмосферным условиям, при которых проведена градуировка
<1> (для корректировки влияния давления необходимо измерение атмосферного давления при подаче каждой пробы), или
--------------------------------
<1> Результаты, полученные при градуировке и при анализе, приводят к стандартным условиям (20 °C и 101,325 кПа).
- проведение градуировки анализатора непосредственно до или после анализа каждого компонента.
Для градуировки могут применяться многокомпонентные смеси, включающие все компоненты, и/или бинарные смеси (в метане) для каждого отдельного компонента. Преимущество последнего подхода в том, что влияние приборного эффекта минимизировано и что все компоненты определяют независимо и они не коррелируют. Тем не менее использование бинарных смесей рекомендуется только при стабильных атмосферных условиях или при применении корректировки влияния давления.
C.2 Вычисление исходных значений молярной доли компонента
В методе измерений содержания метана по разности измеряют содержание всех компонентов, кроме метана. Использование этого метода рекомендуется, когда:
- анализ выполняют по принципу "компонент за компонентом" (т.е. не все сразу компоненты анализируют при каждой подаче пробы в измерительную систему) и
- невозможно применение многокомпонентного эталона, содержащего метан с высоким значением молярной доли.
Значения молярной доли компонентов при определении метана по разности вычисляют по формулам:

(C.1)
и

.
(C.2)
(обязательное)
ОТНОСИТЕЛЬНЫЕ КОЭФФИЦИЕНТЫ ЧУВСТВИТЕЛЬНОСТИ
D.1 Относительные коэффициенты чувствительности для пламенно-ионизационного детектора (ПИД)
Для ПИД относительный коэффициент чувствительности - это отношение числа атомов углерода сравнительного компонента к числу атомов углерода компонента пробы. Значения коэффициентов чувствительности ПИД для сравнительных компонентов пропана и
н-бутана приведены в
таблице D.1 <1>.
--------------------------------
Таблица D.1
Относительные коэффициенты чувствительности
<2>
Компонент | Относительный коэффициент чувствительности для |
пропана | н-бутана |
Пропан | 1,000 | 1,333 |
изо-Бутан (метилпропан) | 0,750 | 1,000 |
н-Бутан (бутан) | 0,750 | 1,000 |
Пентаны | 0,600 | 0,800 |
Гексаны | 0,500 | 0,667 |
Гептаны | 0,429 | 0,571 |
Октаны | 0,375 | 0,500 |
Бензол | 0,500 | 0,667 |
Циклогексан | 0,500 | 0,667 |
Метилциклогексан | 0,429 | 0,571 |
Толуол | 0,429 | 0,571 |
--------------------------------
<2> Рекомендуется устанавливать относительные коэффициенты чувствительности для всех компонентов природного газа, поскольку значения, приведенные в таблице D.1, являются ориентировочными, так как не учитывают физико-химическую природу соединений, а также сорбционные свойства неподвижных фаз хроматографических колонок.
Другие коэффициенты чувствительности, не перечисленные в
таблице D.1, могут быть использованы только после предварительного обоснования.
D.2 Относительные коэффициенты чувствительности для детекторов по теплопроводности (ДТП)
Для ДТП относительные коэффициенты чувствительности не являются следствием простого соотношения числа атомов углерода компонента или относительной молярной массы и могут варьироваться для разных приборов, особенно с различными конфигурациями. Для каждого отдельного применения они могут быть определены с применением ГСО. Если это невозможно, они могут быть определены анализом пробы газа с использованием ПИД, как в
D.1, и затем снова с применением ДТП. Состав может быть определен на основе анализа с использованием ПИД, а затем могут быть вычислены относительные коэффициенты чувствительности для ДТП. Некоторые экспериментальные данные приведены в таблице D.2.
Таблица D.2
Относительные коэффициенты чувствительности
Компонент | Коэффициент чувствительности (относительно пропана) |
нео-Пентан (2,2-диметилпропан) | 0,75 |
изо-Пентан (2-метилбутан) | 0,73 |
н-Пентан (пентан) | 0,73 |
н-Гексан (гексан) | 0,64 |
Другие коэффициенты чувствительности, не перечисленные в
таблице D.2, могут быть использованы только после предварительного обоснования (
см. сноску к таблице D.1).
(справочное)
В любой совокупности данных отдельные полученные результаты могут не соответствовать другим членам этой совокупности. Такие результаты рассматриваются в качестве выбросов и должны быть при соответствующих условиях исключены из совокупности данных.
Прежде всего данные должны быть проверены для установления таких проблем, как ошибки записи. Также следует иметь в виду порядок, в котором выполняются тесты, так как число неправильных результатов может увеличиваться в случаях, если предыдущий тестовый газ не был полностью отдут из системы до того, как были зафиксированы первые результаты от нового тестового газа.
Затем должны быть проведены статистические тесты (например, тесты Граббса, см.
примечание для получения дальнейшей информации). Они должны применяться с осторожностью и с полным пониманием ситуации, при которой были проведены измерения. Удаление очевидных выбросов из совокупности может привести к пересмотру СКО этой совокупности, которое очевидно намного меньше, чем СКО тех соседних совокупностей, которые были получены используя аналогичные газы в течение такого же периода проверки (испытаний). В таком случае в совокупности данных видны очевидные выбросы, и содержащая их совокупность не совместима с соседними совокупностями. Опытный пользователь, компетентный в данном вопросе, может счесть целесообразным проигнорировать статистический результат или оставить значение в совокупности.
Трудности, встречающиеся при тестировании на выбросы, заключаются в том, что такой тест, хорошо работающий с совокупностью, содержащей один "неправильный" результат, может не работать в случае двух или более таких результатов. Более того, при двух выбросах, если один выброс мал, а один велик, тест следует применять иначе, чем в случае, когда эти выбросы были либо оба незначительными, либо оба большими. Поэтому очень важны аккуратная проверка данных и знание того, как совокупности данных были получены.
Примечание - Более детальную информацию по статистической проверке на выбросы можно найти в стандартах
<1>.
--------------------------------
(обязательное)
КОРРЕКТИРОВКА ВЛИЯНИЯ ДАВЛЕНИЯ
ПРИ ГРАДУИРОВКЕ И АНАЛИЗЕ ПРОБ
F.1 Общие замечания
При анализе природного газа общепринято уравновешивать давление пробы в линии подачи пробы с атмосферным давлением при подаче газовой пробы в колонку (колонки). Обычно это достигается остановкой потока градуировочного газа в петле крана-дозатора непосредственно перед подачей. Так как объем и температура петли крана-дозатора могут считаться постоянными, количество вещества, находящегося в ней, зависит от давления. На работу детекторов, применяемых для анализа природного газа (ПИД и ДТП), изменение атмосферного давления не влияет.
Коррекция сигнала детектора, полученного при давлении во время подачи пробы pinj, к сравнительному давлению (pref) - это простое отношение обоих давлений, т.е. pinj/pref.
Для удобства pref часто выбирают равным 101,325 кПа.
Если поток анализируемой пробы и градуировочного газа не останавливался перед подачей, давление при подаче будет немного выше, чем атмосферное, и поэтому коррекция будет приблизительной, игнорирующей превышение давления над атмосферным. В этом случае важно, чтобы поток продолжал быть постоянным, тогда и превышение давления остается постоянным.
F.2 Нормализация
Процедура, описанная выше, непосредственно применяется в газовой хроматографии для газового анализа. Численный результат этой процедуры во многих случаях очень похож на процедуру нормализации, т.е. коррекции отдельных значений молярной доли компонентов таким образом, чтобы сумма значений молярной доли была равна единице. Поскольку существуют другие, обычно меньшие эффекты, чем изменение объема пробы, после коррекции давления необходима нормализация.
F.3 Градуировка
Во время градуировки отношение между откликом и значением молярной доли определяется путем анализ ГСО. Для правильной градуировки и расчета коэффициентов необходимо, чтобы аналитические отклики на различные значения молярной доли были сравнимы друг с другом. Так как процедура градуировки может занимать более нескольких минут, а в случае с многоточечной градуировкой с многоступенчатым анализом сравнительного газа - иногда до нескольких часов, атмосферное давление может изменяться очень значительно. Поэтому очень важно, чтобы применялась коррекция давления.
Для каждой совокупности исходных данных измеряют атмосферное давление во время ввода пробы pinj. Все исходные отклики затем уточняют (приводят) к нормальному давлению умножением на отношение pref/pinj.
F.4 Анализ проб
Измерение давления также позволяет оценить и откорректировать разницу давления (например, атмосферного) между анализом проб и градуировкой путем умножения либо отклика, либо значения молярной доли на отношение pref/pinj. В этом случае сумма исходных значений молярной доли будет намного ближе к единице, чем сумма до коррекции давления. Тем не менее нормализация все еще требуется, нормализованное значение молярной доли xi вычисляется из измеренного исходного значения молярной доли по формуле

. (F.1)
Опорное давление pref поэтому исключается из уравнения.
F.5 Неопределенность процедуры коррекции давления
Этот раздел применяют только в случае, если эта часть настоящего стандарта будет применена в соответствии с
ГОСТ 31371.2 при вычислении неопределенности значений молярной доли компонента.
Если ввод газовой пробы в колонку осуществляется при атмосферном давлении и в течение периода времени после проведения градуировки возможны изменения давления, то атмосферное давление должно быть измерено. Это измерение не защищено от ошибок, поэтому его неопределенность должна быть правильно вычислена (выбранное сравнительное давление не влияет на неопределенность).
(справочное)
ПРОГРАММНОЕ ОБЕСПЕЧЕНИЕ ДЛЯ РЕГРЕССИОННОГО АНАЛИЗА
С ИСПОЛЬЗОВАНИЕМ ОБОБЩЕННОГО МЕТОДА НАИМЕНЬШИХ КВАДРАТОВ
G.1 Общие замечания
Для выполнения регрессионного анализа обобщенным МНК (описанного в настоящем стандарте) <1> подходят три программы, описанные ниже. Серийно выпускаются и другие программные пакеты. Они могут применяться для выполнения анализа обобщенным МНК, но должны быть обоснованы пользователем.
--------------------------------
G.2 Программа XLGENLINE
XLGENLINE - это программа, основанная на базе MS Excel, разработанная для применения в Национальной физической лаборатории Великобритании (NPL). Программа реализует метод обобщенного (или обычного) МНК для аппроксимации и осуществляет автоматический вывод неизвестного значения (значений), соответствующей ему (им) неопределенности, показателя качества аппроксимации и остаточного отклонения. Также выполняется графическое представление подгонки и остаточных отклонений.
Программа была подтверждена:
- тестированием большого количества как искусственных, так и действительных совокупностей данных;
- тщательным сравнением с программой B_LEAST
(G.3) и предыдущей версией программы на основе Matlab ("XGENLINE");
- тестированием техническими, математическими и компьютерными экспертами NPL.
Копии XLGENLINE доступны для бесплатного скачивания с веб-сайта NPL (www.npl.co.uk/content/conForm/28).
B_LEAST - это программа на базе MS-DOS, разработанная для использования <2> в Германском федеральном институте исследования и испытания материалов (BAM). Программа (написанная на Power BASIC и скомпилированная в исполняемый файл) реализует обобщенный МНК и выводит данные аналогично XLGENLINE. Также программа позволяет представить подобранную функцию в графической форме.
--------------------------------
Программа была подтверждена:
- тестированием большого количества как искусственных, так и действительных совокупностей данных;
- сравнением результатов с результатами моделирования методом Монте-Карло;
- сравнением результатов с аналогичными вычислениями, опубликованными в научных изданиях;
- тестированием экспертами ISO/TC 158.
Копии B_LEAST доступны через DIN (Deutsches Institut

Normung), немецкий орган стандартизации.
G.4 Программа GasTools
GasTools - это добавление к программе MS Excel (написанное в VBA). Она содержит ряд математических вычислений, включая подбор обобщенным и простым МНК и моделирование методом Монте-Карло.
Программа была подтверждена:
- тестированием большого количества как искусственных, так и действительных совокупностей данных;
- сравнением результатов с аналогичными вычислениями, опубликованными в научных изданиях;
- сравнением результатов с полученными результатами из программ XLGENLINE и B_LEAST;
- тестированием экспертами ISO/TC 193.
Копии программы доступны в GL Industrial Services UK Ltd (contactqasvle@ql-qroup.com).
G.5 Отказ от ответственности
Хотя обеспечение вышеуказанных программ (и соответствующих тестовых файлов) сделано добросовестно, это не является гарантией их применения в договорных или других коммерческих приложениях, и нет гарантии, что они все безошибочные. Тем не менее они были подвергнуты тестированию, в результате которого было установлено отсутствие каких-либо известных на момент публикации ошибок.
Примечание - Рекомендуется использование аттестованного программного обеспечения для конкретных методик измерений, реализуемых на рабочих хроматографах.
(справочное)
ПРИМЕНЕНИЕ КОНТРОЛЬНЫХ КАРТ
Контрольные карты могут применяться для контроля удовлетворительной работы системы. Подходящие для мониторинга параметры системы - это время удержания компонента (ВУ) и относительные коэффициенты чувствительности (ОКЧ). Процедура заключается в периодической (например, ежедневной) подаче газовой смеси неизменного состава и выполнении некоторого числа (n) последующих подач - обычно пяти. Среднее значение и СКО параметров фиксируются и сравниваются с линиями качества контрольных карт. На карте указывают время и значение параметра, на карте проводят пять линий: средняя линия (базовое значение), верхняя и нижняя линии предупреждения и верхняя и нижняя линии действия. Если параметры находятся между линиями предупреждения, система работает удовлетворительно (хотя если параметры постоянно находятся с одной стороны от средней линии, это заслуживает дальнейшего изучения). Между линиями предупреждения и действия изначально никакие действия не предпринимаются, если система не возвращается к удовлетворительному поведению. Вне линий действий действия следует принимать незамедлительно, чтобы исправить систему.
Для создания контрольной карты [известной как карта Шухарта
<1>] необходимо накопить статистические данные за период, когда работа системы была признана удовлетворительной, например за день или за месяц. Пусть собраны данные за период

для числа вводов пробы
nl. Регистрируются параметры ВУ и ОКЧ для всех компонентов для
l подач пробы за период

,

. Средние значения и СКО для каждого периода вычисляют по формулам:
--------------------------------

; (H.1)

. (H.2)
Средние значения и СКО этих значений за период, когда система работала удовлетворительно, применяют для установления базового значения и контрольных линий и вычисляют по формулам:

; (H.3)

. (H.4)
Обычно линии предупреждения находятся на уровне

, а линии действия - на уровне

.
На практике хроматографические системы могут демонстрировать отличную повторяемость результатов в очень узкой зоне между линиями действия, поэтому могут быть установлены более широкие границы, чем приведенные выше. Эти границы должны быть установлены в течение более длительного периода времени.
Примечание - На практике для построения контрольных карт используют такие параметры системы, как площадь пика компонента, значение молярной доли компонента в контрольном экземпляре ГСО или значение градуировочного коэффициента.
(справочное)
ПО ТРАНСПОРТИРОВАНИЮ И ХРАНЕНИЮ ГАЗОВЫХ СМЕСЕЙ В БАЛЛОНАХ
ПОД ДАВЛЕНИЕМ (ПЕРЕВОД РАЗДЕЛА 3 ISO 16664:2017) <1>
--------------------------------
3 Транспортирование и хранение
3.1 Общие замечания
После подготовки градуировочной газовой смеси газовый баллон транспортируют к пользователю.
Среда, в которой транспортируют баллоны, обычно не регулируется с точки зрения температуры и влажности. Низкие температуры могут оказать пагубное влияние на состав смеси, особенно в том случае, если в смеси присутствуют конденсируемые компоненты. Вследствие этого значения температуры и влажности во время транспортирования и хранения никогда не должны превышать значений, рекомендованных изготовителем.
Газовые баллоны и особенно вентили баллонов должны быть без каких-либо смазочных материалов. Во время хранения и транспортирования вентили баллонов должны быть закрыты, герметизирующие гайки должны быть затянуты и защитные колпаки должны быть надеты (если это допускает конструкция баллона).
Газовые баллоны транспортируют несколькими способами, например воздушным, железнодорожным, автомобильным и водным транспортом. В некоторых конкретных случаях температурные ограничения могут быть такими, что не все транспортные средства будут пригодны для транспортирования.
3.2 Низкая температура
При хранении и транспортировании газовый баллон может подвергаться воздействию низких температур. Для газовых смесей, содержащих конденсирующиеся компоненты, важно, чтобы баллон не хранился и не транспортировался при температурах ниже температур, рекомендованных производителем. Если газовая смесь подвергается воздействию температуры ниже указанного значения, некоторые компоненты могут конденсироваться, и это приведет к изменению состава смеси.
Если газовая смесь подверглась воздействию температуры ниже рекомендованной производителем, сертификат производителя больше недействителен. В этом случае очень важно, чтобы смесь не использовалась до получения от изготовителя дальнейших рекомендаций. Изготовитель может порекомендовать гомогенизировать смесь перед использованием.
3.3 Высокая температура
Следует избегать воздействия высоких температур (нагревания) на баллоны с газом, например от сварочного пламени, воздуходувок, печей или других интенсивных источников тепла. Высокие температуры приводят к увеличению давления, опасным ситуациям. Кроме того, повышенные температуры могут привести к разложению термически нестабильных компонентов.
3.4 Вода
Газовые баллоны должны быть защищены от чрезмерной влажности во время транспортирования. Транспортирование водным транспортом может привести к попаданию воды на поверхность баллона; это и/или чрезмерная влажность могут вызвать коррозию вентиля баллона. Баллон следует защищать от влаги, чтобы предотвратить его коррозию. Если баллоны хранят на открытом воздухе под навесом, основание баллона также должно быть защищено от воды, которая может накапливаться на полу, путем установки их на некоторой высоте.
3.5 Хранение и обработка
Наилучшим способом хранения баллонов с градуировочными газовыми смесями в течение более длительного периода является установка баллонов в горизонтальном положении при условиях, исключающих их скатывание и падение. Из соображений безопасности необходимо раздельное хранение баллонов, содержащих легковоспламеняющиеся газы и окисляющие компоненты.
Предупреждение - По соображениям общей безопасности не допускается нагревание баллонов до температуры выше 45 °C.
Для смесей, содержащих конденсируемые компоненты, может потребоваться повторная гомогенизация в том случае, если они хранились в течение длительного периода времени или если подвергались воздействию температур ниже температуры конденсации. Это может быть достигнуто путем нагрева баллонов до температуры окружающей среды и размещения их в горизонтальном положении в течение соответствующего периода времени, который может зависеть от матричного газа и компонентов (см.
4.2).
Примечание - После регомогенизации необходимо связаться с производителем, чтобы проверить достоверность градуировочного газа.
4.2 В документации, прилагаемой к баллону, указывают минимальное значение давления, ниже которого газ не следует использовать. Известно, что в некоторых случаях при определенном давлении молекулы газа, которые были сорбированы на стенке баллона, десорбируются при падении давления, в результате чего молярная доля компонента в газовой смеси увеличивается.
Примечание - Помимо этого эффекта для обеспечения стабильности состава газовой смеси важно, чтобы газовая смесь из баллона не расходовалась полностью, так как в противном случае баллон может быть загрязнен атмосферным воздухом. Это особенно важно для специально обработанных баллонов, где возможна проблема стабильности.
(справочное)
СВЕДЕНИЯ О СООТВЕТСТВИИ ССЫЛОЧНЫХ МЕЖГОСУДАРСТВЕННЫХ
СТАНДАРТОВ МЕЖДУНАРОДНЫМ СТАНДАРТАМ, ИСПОЛЬЗОВАННЫМ
В КАЧЕСТВЕ ССЫЛОЧНЫХ В ПРИМЕНЕННОМ МЕЖДУНАРОДНОМ СТАНДАРТЕ
Таблица ДБ
Обозначение ссылочного межгосударственного стандарта | Степень соответствия | Обозначение и наименование ссылочного международного стандарта |
(ISO 6974-2:2012) | MOD | ISO 6974-2:2012 "Газ природный. Определение состава и связанной с ним неопределенности газовой хроматографией. Часть 2. Вычисление неопределенности" |
ISO/IEC Guide 98-3:2008 | IDT | ISO/IEC Guide 98-3:2008 "Неопределенность измерения. Часть 3. Руководство по выражению неопределенности измерения" |
Примечание - В настоящей таблице использованы следующие условные обозначения степени соответствия стандартов: - IDT - идентичные стандарты; - MOD - модифицированные стандарты. |
(справочное)
ОРИГИНАЛЬНЫЙ ТЕКСТ НЕВКЛЮЧЕННЫХ СТРУКТУРНЫХ
ЭЛЕМЕНТОВ ПРИМЕНЕННОГО МЕЖДУНАРОДНОГО СТАНДАРТА
Приложение A
(справочное)
Сравнение диапазонов измерений и характеристик аналитических
методов, описанных в ISO 6974-3 - ISO 6974-6
Таблица ДВ.1
Области применения аналитических методов,
описанных в ISO 6974-3 - ISO 6974-6
Определяемый компонент | Диапазон молярной доли, % |
ISO 6974-3 | ISO 6974-4 | ISO 6974-5 | |
Гелий | 0,01 - 0,5 | - | - | 0,002 - 0,5 |
Водород | 0,01 - 0,5 | - | - | 0,001 - 0,5 |
Кислород | 0,1 - 0,5 | - | - | 0,007 - 5 |
Азот | 0,1 - 40 | 0,001 - 15 | 0,001 - 15 | 0,007 - 40 |
Диоксид углерода | 0,1 - 30 | 0,001 - 10 | 0,001 - 8,5 | 0,001 - 10 |
Метан | 50 - 100 | 75 - 100 | 75 - 100 | 40 - 100 |
Этан | 0,1 - 15 | 0,001 - 10 | 0,001 - 10 | 0,002 - 0,5 |
Пропан | 0,001 - 5 | 0,001 - 3 | 0,001 - 3 | 0,001 - 5 |
изо-Бутан | 0,0001 - 2 | 0,001 - 1 | 0,001 - 1 | 0,0001 - 1 |
н-Бутан | 0,0001 - 2 | 0,001 - 1 | 0,001 - 1 | 0,0001 - 1 |
нео-Пентан | 0,0001 - 1 | 0,001 - 0,5 | 0,001 - 0,5 | 0,0001 - 0,5 |
изо-Пентан | 0,0001 - 1 | 0,001 - 0,5 | 0,001 - 0,5 | 0,0001 - 0,5 |
н-Пентан | 0,0001 - 1 | 0,001 - 0,5 | 0,001 - 0,5 | 0,0001 - 0,5 |
Гексаны+ | - | 0,001 - 0,2 | 0,001 - 1 | - |
Общий C6 | 0,0001 - 0,5 | - | - | 0,0001 - 0,5 |
Общий C7 | 0,0001 - 0,5 | - | - | 0,0001 - 0,5 |
Общий C8 | 0,0001 - 0,5 | - | - | 0,0001 - 0,5 |
<a> В ISO 6974-6 также установлены диапазоны измерений для оксида углерода, ацетилена, этилена, пропилена, циклопентана, 2,2-диметилбутана, 2,3-диметилбутана, 2-метилбутана, 3-метилпентана, бензола, циклогексана, метилциклогексана, толуола и ксилолов. |
Таблица ДВ.2
Условия хроматографических аналитических методов,
описанных в ISO 6974-3 - ISO 6974-6
Условия | ISO 6974-3 | ISO 6974-4 | ISO 6974-5 | ISO 6974-6 |
N колонки | 2 | 2 | 3 | 3 |
Температура колонки | a) От 35 °C до 200 °C при 15 °C/мин b) От 30 °C до 250 °C при 30 °C/мин | Изотермическая | Изотермическая | a) От 30 °C до 120 °C при 12°C/мин b) От 35 °C до 240 °C при 8 °C/мин |
Газ-носитель | a) Гелий b) Аргон | Гелий | Гелий | a) Аргон b) Азот |
Детекторы | a) ДТП и ПИД b) ДТП | ДТП | ДТП | a) ДТП и ПИД b) ПИД |
Переключение (коммутация) колонки | Нет | Да | Да | Да |
Время анализа | a) 44 мин b) 24 мин | < 20 мин | От 7 до 12 мин | a) 43 мин b) 40 мин |
Время цикла | 60 мин | < 20 мин | От 7 до 12 мин | 55 мин |
Примечание - Показатели a) и b) относятся к отдельным (разным) частям аналитической методики. |
(справочное)
СОПОСТАВЛЕНИЕ СТРУКТУРЫ НАСТОЯЩЕГО СТАНДАРТА СО СТРУКТУРОЙ
ПРИМЕНЕННОГО В НЕМ МЕЖДУНАРОДНОГО СТАНДАРТА
Таблица ДГ.1
Структура настоящего стандарта | Структура международного стандарта ISO 6974-1:2012 |
Формулы | | Формулы | 1 - 16 |
| - |
| 17 |
| 18 |
Приложения | - | Приложения | A |
| B |
| C |
| D |
| E |
| F |
| G |
| H |
| - |
| - |
| - |
| - |
Примечание - Сопоставление структур стандартов приведено, начиная с приложений, т.к. предыдущие разделы стандартов и их иные структурные элементы идентичны. |
| Vargha G., Milton M., Cox M. and Kamvissis S. Согласование парных градуировочных кривых для снижения корреляционных эффектов при анализе природного газа методом газовой хроматографии (Harmonisation of Coupled Calibration Curves to Reduce Correlated Effects in the Analysis of Natural Gas by Gas Chromatography), J. Chromatogr. A., 2005, 1062, pp. 239 - 245 |
| Рекомендации Рабочей группы и CIPM INC-1 (1980) | Выражение экспериментальных неопределенностей (Recommendation INC-1. Expression of experimental uncertainties) |
| | Государственная система обеспечения единства измерений. Стандартные образцы состава природного газа магистрального и имитаторов природного газа. Методика определения метрологических характеристик |
| Международный словарь по метрологии. Основные и общие понятия и соответствующие термины/Пер. с англ. и фр./Всерос. научно-исслед. ин-т метрологии им. Д.И. Менделеева, Белорус. гос. ин-т метрологии. 2-е изд., испр. - СПб.: НПО "Профессионал", 2010 <1>. - 82 с. |
(JCGM 200:2008) | [International vocabulary of metrology - Basic and general concepts and associated terms (VIM)] |
| ИСО 10723:2012 | Газ природный. Оценка эффективности аналитических систем <2> |
(ISO 10723:2012) | (Natural gas - Performance evaluation for analytical systems) |
| ИСО 16664:2017 | Анализ газов. Обращение с градуировочными газами и газовыми смесями. Руководящие указания |
(ISO 16664:2017) | (Gas analysis - Handling of calibration gases and gas mixtures - Guidelines) |
| ИСО 6143:2001 | Анализ газов. Сравнительные методы для определения и проверки состава газовых смесей для калибровки |
(ISO 6143:2001) | (Gas analysis - Comparison methods for determining and checking the composition of calibration gas mixtures) |
| ИСО 6142:2001 | Анализ газов. Приготовление градуировочных газовых смесей. Гравиметрический метод |
(ISO 6142:2001) | (Gas analysis - Preparation of calibration gas mixtures - Gravimetric method) <3> |
| Draper N.R. and Smith H. Прикладной регрессионный анализ (Applied Regression Analysis), 3rd edition, Wiley, New York, 1998 |
| Kaiser R. Хроматография в газовой фазе (Gas Phase Chromatography), Part 3, Butterworths, London, 1963 |
| ИСО 5725-1:1994 | Точность (достоверность и прецизионность) методов и результатов измерений. Часть 1. Общие принципы и определения <4> |
(ISO 5725-1:1994) | [Accuracy (trueness and precision) of measurement methods and results - Part 1: General principles and definitions] |
[12] | ИСО 5725-2:1994 | Точность (достоверность и прецизионность) методов и результатов измерений. Часть 2. Общий метод для определения сходимости и воспроизводимости стандартного метода измерений <5> |
(ISO 5725-2:1994) | [Accuracy (trueness and precision) of measurement methods and results - Part 2: Basic method for the determination of repeatability and reproducibility of a standard measurement method] |
| ИСО 5479:97 | Статистическая обработка данных. Тесты на отклонения от нормального распределения <6> |
(ISO 5479:97) | (Statistical interpretation of data - Tests for departure from the normal distribution) |
| ИСО 8258:91 | Контрольные карты Шухарта |
(ISO 8258:91) | (Shewhart control charts) <7> |
--------------------------------
<1> Ссылка на ISO/IEC Guide 99:2007 "International vocabulary of metrology - Basic and general concepts and associated terms (VIM)" заменена ссылкой на более современный аналогичный документ, опубликованный официально и являющийся идентичным переводом.
<2> В Российской Федерации действует
ГОСТ Р ИСО 10723-2016 "Газ горючий природный. Оценка эффективности аналитических систем".
<3> Заменен. Действует ISO 6142:2015. В Российской Федерации действует
ГОСТ Р ИСО 6142-2008 "Анализ газов. Приготовление градуировочных газовых смесей. Гравиметрический метод".
<4> В Российской Федерации действует
ГОСТ Р ИСО 5725-1-2002 "Точность (правильность и прецизионность) методов и результатов измерений. Часть 1. Основные положения и определения".
<5> В Российской Федерации действует
ГОСТ Р ИСО 5725-2-2002 "Точность (правильность и прецизионность) методов и результатов измерений. Часть 2. Основной метод определения повторяемости и воспроизводимости стандартного метода измерений".
<6> В Российской Федерации действует
ГОСТ Р ИСО 5479-2002 "Статистические методы. Проверка отклонения распределения вероятностей от нормального распределения".
<7> Отменен. В Российской Федерации действует
ГОСТ Р 50779.42-99 (ИСО 8258-91) "Статистические методы. Контрольные карты Шухарта".
УДК 662.767:658.562:006.354 | | MOD |
Ключевые слова: природный газ, определение компонентного состава, молярная доля, метод газовой хроматографии, оценка неопределенности, методы анализа, обработка и оформление результатов измерений |