Главная // Актуальные документы // ГОСТ Р (Государственный стандарт)СПРАВКА
Источник публикации
М.: Стандартинформ, 2011
Примечание к документу
Документ
введен в действие с 1 января 2011 года.
Название документа
"ГОСТ Р 53466-2009. Национальный стандарт Российской Федерации. Оптика и оптические приборы. Тепловизоры медицинские. Общие технические требования. Методы измерений основных параметров"
(утв. и введен в действие Приказом Ростехрегулирования от 09.12.2009 N 618-ст)
"ГОСТ Р 53466-2009. Национальный стандарт Российской Федерации. Оптика и оптические приборы. Тепловизоры медицинские. Общие технические требования. Методы измерений основных параметров"
(утв. и введен в действие Приказом Ростехрегулирования от 09.12.2009 N 618-ст)
Утвержден и введен в действие
агентства по техническому
регулированию и метрологии
от 9 декабря 2009 г. N 618-ст
НАЦИОНАЛЬНЫЙ СТАНДАРТ РОССИЙСКОЙ ФЕДЕРАЦИИ
ОПТИКА И ОПТИЧЕСКИЕ ПРИБОРЫ
ТЕПЛОВИЗОРЫ МЕДИЦИНСКИЕ
ОБЩИЕ ТЕХНИЧЕСКИЕ ТРЕБОВАНИЯ.
МЕТОДЫ ИЗМЕРЕНИЙ ОСНОВНЫХ ПАРАМЕТРОВ
Optics and optical equipment.
Medical thermographs. General technical requirements.
Methods of measuring the basic parameters
ГОСТ Р 53466-2009
Дата введения
1 января 2011 года
Цели и принципы стандартизации в Российской Федерации установлены Федеральным
законом от 27 декабря 2002 г. N 184-ФЗ "О техническом регулировании", а правила применения национальных стандартов Российской Федерации -
ГОСТ Р 1.0-2004 "Стандартизация в Российской Федерации. Основные положения".
1. Разработан Открытым акционерным обществом "ТКС-оптика".
2. Внесен Техническим комитетом по стандартизации ТК 296 "Оптика и оптические приборы".
3. Утвержден и введен в действие
Приказом Федерального агентства по техническому регулированию и метрологии от 9 декабря 2009 г. N 618-ст.
4. Введен впервые.
Информация об изменениях к настоящему стандарту публикуется в ежегодно издаваемом информационном указателе "Национальные стандарты", а текст изменений и поправок - в ежемесячно издаваемых информационных указателях "Национальные стандарты". В случае пересмотра (замены) или отмены настоящего стандарта соответствующее уведомление будет опубликовано в ежемесячно издаваемом информационном указателе "Национальные стандарты". Соответствующая информация, уведомление и тексты размещаются также в информационной системе общего пользования - на официальном сайте национального органа Российской Федерации по стандартизации в сети Интернет.
Стандарт распространяется на тепловизоры, предназначенные для оценки распределения радиационных температур объектов медицинских исследований.
Настоящий стандарт устанавливает общие технические требования к медицинским тепловизорам (далее по тексту - тепловизоры) и методы измерения (контроля) их основных энергетических и оптических параметров и характеристик.
Стандарт не распространяется на тепловизоры с регистрирующим блоком на основе пировидикона и на приборы тепловизионные измерительные.
В настоящем стандарте использованы нормативные ссылки на следующие стандарты:
ГОСТ Р 8.568-97 Государственная система обеспечения единства измерений. Аттестация испытательного оборудования. Основные положения
ГОСТ Р 8.619-2006 Государственная система обеспечения единства измерений. Приборы тепловизионные измерительные. Методика поверки
ГОСТ Р 12.4.026-2001 Система стандартов безопасности труда. Цвета сигнальные, знаки безопасности и разметка сигнальная. Назначение и правила применения. Общие технические требования и характеристики. Методы испытаний
ГОСТ Р 12.4.230.1-2007 (ЕН 166-2002) Система стандартов безопасности труда. Средства индивидуальной защиты глаз. Общие технические требования
ГОСТ Р 50267.0-92 (МЭК 601-1-1988) Изделия медицинские электрические. Часть 1. Общие требования безопасности
| | ИС МЕГАНОРМ: примечание. В официальном тексте документа, видимо, допущена опечатка: здесь и далее имеется в виду ГОСТ Р 50267.0.2-2005, а не ГОСТ Р 50267.02-2005. ГОСТ Р 50267.0.2-2005 утратил силу с 1 января 2015 года в связи с введением в действие ГОСТ 30324.1.2-2012 (Приказ Росстандарта от 01.11.2012 N 619-ст). | |
ГОСТ Р 50267.02-2005 (МЭК 601-1-2-2001) Изделия медицинские электрические. Часть 1-2. Общие требования безопасности. Электромагнитная совместимость. Требования и методы испытаний
ГОСТ Р 50444-92 Приборы, аппараты и оборудование медицинское. Общие технические условия
ГОСТ Р 51401-99 (ИСО 3744-94) Шум машин. Определение уровней звуковой мощности источников шума по звуковому давлению. Технический метод в существенно свободном звуковом поле над звукоотражающей плоскостью
ГОСТ Р 51402-99 (ИСО 3746-95) Шум машин. Определение уровней звуковой мощности источников шума по звуковому давлению. Ориентировочный метод с использованием измерительной поверхности над звукоотражающей плоскостью
ГОСТ Р 51609-2000 Изделия медицинские. Классификация в зависимости от потенциального риска применения. Общие требования
ГОСТ Р ИСО 5725-4-2002 Точность (правильность и прецизионность) методов и результатов измерений. Часть 4. Основные методы определения правильности стандартного метода измерений
ГОСТ Р ИСО 15223-2002 Медицинские изделия. Символы, применяемые при маркировании на медицинских изделиях, этикетках и в сопроводительной документации
ГОСТ Р МЭК 60601-1-1-2007 Изделия медицинские электрические. Часть 1-1. Общие требования безопасности. Требования безопасности к медицинским электрическим системам
ГОСТ 2.601-2006 Единая система конструкторской документации. Эксплуатационные документы
ГОСТ 3-88 Перчатки хирургические резиновые. Технические условия
ГОСТ 8.009-84 Государственная система обеспечения единства измерений. Нормируемые метрологические характеристики средств измерений
ГОСТ 9.014-78 Единая система защиты от коррозии и старения. Временная противокоррозионная защита изделий. Общие требования
ГОСТ 9.301-86 Единая система защиты от коррозии и старения. Покрытия металлические и неметаллические неорганические. Общие требования
ГОСТ 9.303-84 Единая система защиты от коррозии и старения. Покрытия металлические и неметаллические неорганические. Общие требования к выбору
ГОСТ 9.401-91 Единая система защиты от коррозии и старения. Покрытия лакокрасочные. Общие требования и методы ускоренных испытаний на стойкость к воздействию климатических факторов
ГОСТ 12.1.010-76 Система стандартов безопасности труда. Взрывобезопасность. Общие требования
ГОСТ 12.2.007.0-75 Система стандартов безопасности труда. Изделия электротехнические. Общие требования безопасности
ГОСТ 12.4.011-89 Система стандартов безопасности труда. Средства защиты работающих. Общие требования и классификация
| | ИС МЕГАНОРМ: примечание. В официальном тексте документа, видимо, допущена опечатка: здесь и далее имеется в виду ГОСТ Р 52921-2008, а не ГОСТ 52921-2008. | |
ГОСТ 52921-2008 Термометры медицинские максимальные стеклянные. Технические условия
ГОСТ 4997-75 Ковры диэлектрические резиновые. Технические условия
ГОСТ 7502-98 Рулетки измерительные металлические. Технические условия
ГОСТ 8032-84 Предпочтительные числа и ряды предпочтительных чисел
ГОСТ 9829-81 Осциллографы светолучевые. Общие технические условия
ГОСТ 9999-94 Электроизмерительные самопишущие приборы прямого действия и вспомогательные части к ним
ГОСТ 15150-69 Машины, приборы и другие технические изделия. Исполнения для различных климатических районов. Категории, условия эксплуатации, хранения и транспортирования в части воздействия климатических факторов внешней среды
ГОСТ 18145-81 Цепи на стыке С2 аппаратуры передачи данных с оконечным оборудованием при последовательном вводе-выводе данных. Номенклатура и технические требования
ГОСТ 20010-93 Перчатки резиновые технические. Технические условия
ГОСТ 23171-78 Эмали АК-512. Технические условия
ГОСТ 28498-90 Термометры жидкостные стеклянные. Общие технические требования. Методы испытаний.
Примечание. При пользовании настоящим стандартом целесообразно проверить действие ссылочных стандартов в информационной системе общего пользования - на официальном сайте Федерального агентства по техническому регулированию и метрологии в сети Интернет или по ежегодно издаваемому информационному указателю "Национальные стандарты", который опубликован по состоянию на 1 января текущего года, и по соответствующим ежемесячно издаваемым информационным указателям, опубликованным в текущем году. Если ссылочный стандарт заменен (изменен), то при пользовании настоящим стандартом следует руководствоваться заменяющим (измененным) стандартом. Если ссылочный стандарт отменен без замены, то положение, в котором дана ссылка на него, применяется в части, не затрагивающей эту ссылку.
В настоящем стандарте применены следующие термины с соответствующими определениями:
3.1. Тепловизор (Ндп. термовизор): прибор, преобразующий инфракрасное излучение, исходящее от объектов, в видимое изображение объектов.
3.2. Медицинский тепловизор: тепловизор, предназначенный для оценки распределения радиационных температур объектов медицинских исследований.
3.3. Тепловое (инфракрасное) изображение: изображение объекта, создаваемое за счет его собственного излучения и определяемое температурными различиями и/или различиями излучательной способности на его поверхности.
3.4. Тепловой (инфракрасный) излучатель (излучатель): источник теплового (инфракрасного) излучения, выполненный в виде модели абсолютно черного тела и предназначенный для градуировки медицинского тепловизора по радиационной температуре.
3.5. Тепловой (инфракрасный) излучатель протяженного типа: излучатель, размеры которого не менее чем в десять раз превосходят размеры мгновенного поля зрения тепловизора.
3.6. Мгновенное поле зрения тепловизора: пространственный угол с вершиной в центре входного зрачка оптической системы тепловизора, в пределах которого осуществляется прием излучения от объекта одним чувствительным элементом приемника излучения.
3.7. Термограмма (Ндп. теплограмма): видимый аналог теплового (инфракрасного) изображения.
3.8. Тепловизионная камера (камера): составная часть тепловизора, которая обеспечивает прием теплового (инфракрасного) излучения во всем поле зрения, преобразование излучения в электрический сигнал и его предварительную обработку.
3.9. Фотоприемное устройство тепловизора: часть тепловизионной камеры, включающая приемник излучения и схемы первичной электронной обработки.
3.10. Порог температурной чувствительности: разность температур двух абсолютно черных тел, которой соответствует отношение пикового значения сигнала к среднеквадратическому значению шума на выходе предусилителя, равное единице, т.е. разность температур, эквивалентная шуму.
3.11. Минимальная разрешаемая разность температур: наименьшее значение разности температур штрихового тест-объекта с известной пространственной частотой, излучающего как абсолютно черное тело, при которой штрихи тест-объекта в выходном изображении различаются наблюдателем с вероятностью, заданной в нормативной документации на конкретный тип прибора.
3.12. Градуировочная характеристика: зависимость выходного сигнала тепловизора от температуры теплового излучателя протяженного типа при заданном уровне температуры окружающей среды.
3.13. Угловое разрешение: минимальное значение плоского угла между центрами штрихов тест-объекта, которые при заданной разности температур воспроизводятся в выходном изображении раздельно.
3.14. Температурно-частотная характеристика: зависимость минимальной разрешаемой разности температур от пространственной частоты тест-объекта.
3.15. Угловое поле зрения: пространственный угол, в пределах которого излучение от объекта исследования регистрируется тепловизором за время воспроизведения одного кадра.
3.16. Цикл работы: продолжительность работы в режиме одноразовой заливки приемника излучения хладагентом.
Примечание. В случае применения незаливного приемника излучения - время автономной работы при использовании термоэлектрической или специальной системы охлаждения.
3.17. Стабильность показаний: воспроизводимость выходного сигнала или сохранение в течение длительного времени (одного или более циклов) постоянного значения выходного сигнала тепловизора при визировании прибором в режиме радиометра стабильного источника излучения.
3.18. Время выхода на рабочий режим: время готовности тепловизора к работе, отсчитанное от момента включения.
3.19. Входное окно тепловизора: отверстие в корпусе прибора, через которое излучение от объекта попадает в прибор.
3.20. Рабочее расстояние: расстояние от входного окна тепловизора до исследуемого объекта.
Примечание. Для тепловизора с телескопическими насадками - расстояние от передней главной плоскости оптической системы до исследуемого объекта.
3.21. Температура излучателя: температура абсолютно черного тела, имеющего в заданном спектральном интервале ту же энергетическую яркость, что и излучающая поверхность теплового источника.
3.22. Спокойная атмосфера: состояние рабочего пространства, которое характеризуется требованиями по
5.1.1 стандарта.
3.23. Сосуд Дьюара: сосуд криогенный, предназначенный для хранения и транспортирования жидкого азота.
3.24. Термопрофиль: график распределения сигнала от исследуемого объекта вдоль заданной линии на его поверхности.
3.25. Дрейф: случайное или неслучайное изменение сигнала в функции от времени.
3.26. Линейное разрешение: минимальное расстояние между центрами одинаково излучающих элементов объекта, отделенных друг от друга элементом, равным им по размеру и отличающимся по радиационному контрасту, при котором эти элементы воспринимаются в выходном изображении раздельно.
3.27.
Предел повторяемости (сходимости): значение, которое с доверительной вероятностью 95% не превышается абсолютной величиной разности между результатами двух измерений (или испытаний), полученными в условиях повторяемости (сходимости). |
3.28. Радиационная температура объекта исследования: температура абсолютно черного тела, энергетическая светимость (излучательность) которого в спектральном диапазоне чувствительности тепловизора равна энергетической светимости (излучательности) объекта исследования.
3.29. Штриховой тест-объект: четырехштриховая мира, в которой отношение длины штриха к его ширине равно семи.
3.30. Изотерма: выделяемое на термограмме геометрическое место точек, соответствующих участкам одинаковой радиационной температуры на поверхности исследуемого объекта.
3.31. Регистрация изображения: воспроизведение инфракрасного изображения на каком-либо носителе.
3.32. Время обзора одного кадра: отрезок времени, соответствующий периоду осмотра всего поля зрения.
3.33. Градиент температуры: величина, определяемая отношением

, где

- перепад температур между двумя соседними точками на поверхности исследуемого объекта, а

- кратчайшее расстояние между ними.
3.34. Перепад температур: разность радиационных температур между двумя точками в один и тот же момент времени.
3.35. Эксплуатационная документация: по
ГОСТ 2.601.
3.36.
| | ИС МЕГАНОРМ: примечание. ГОСТ 26148-84 утратил силу с 1 июля 2017 года в связи с введением в действие ГОСТ 8.654-2016 (Приказ Росстандарта от 13.10.2016 N 1393-ст). | |
|
Энергетическая светимость  (Ндп. излучательность): физическая величина, определяемая отношением потока излучения, исходящего от малого участка поверхности, содержащего рассматриваемую точку, к площади этого участка  . [ГОСТ 26148-84, пункт 28] |
3.37.
Коэффициент излучения теплового излучателя  (Ндп. степень черноты): величина, определяемая отношением тепловой энергетической светимости тела к энергетической светимости черного тела при той же температуре. [ГОСТ 26148-84, пункт 71а] |
4. Общие технические требования
4.1.1. Тепловизоры должны изготавливаться в соответствии с требованиями настоящего стандарта,
ГОСТ Р 50444 и нормативной документации на конкретный тип тепловизора, утвержденной в установленном порядке.
4.1.2. Общие требования к классификации тепловизоров в зависимости от потенциального риска применения должны соответствовать приведенным в
ГОСТ Р 51609.
4.1.3. Изготовитель тепловизоров должен проводить процедуру менеджмента риска в соответствии с требованиями
ГОСТ Р ИСО 14971, целью которой являются:
- оценка вероятности возникновения риска для пациента;
- оценка последствий нанесения вреда (степень тяжести нанесения).
4.1.4. Блоки тепловизоров, которые предназначены для непосредственного контакта с кожей пациента или оператора, должны быть изготовлены из нетоксичных материалов, не вызывающих аллергических реакций, при использовании по назначению, предполагаемому изготовителем, и быть разрешенными к применению органами Роспотребнадзора.
4.2. Требования назначения
4.2.1. Требования назначения тепловизоров устанавливают номенклатурой показателей следующих технических параметров и характеристик:
а) частота кадров, Гц, или период кадровой развертки, с, или время сканирования (обзора) одного кадра в пространстве объекта, с;
б) формат кадра (число пикселей по строке и кадру), или степень дискретизации одного кадра (число пикселей по строке и кадру) или число строк в кадре и число элементов в строке;
в) мгновенный угол поля зрения оптической системы, мрад или угл. мин.;
г) линейное увеличение оптической системы, крат;
д) диапазон рабочих расстояний или диапазон расстояний от входного окна тепловизора до объекта исследования, м или см;
е) расстояние от входного окна тепловизора до передней главной плоскости оптической системы, м или см;
ж) способ регистрации (отображения) теплового изображения;
з) варианты визуализации теплового изображения (позитив, негатив, черно-белое, цветное, полутоновое, градационное, совмещенное);
| | ИС МЕГАНОРМ: примечание. Нумерация пунктов дана в соответствии с официальным текстом документа. | |
т) число полутоновых (яркостных, цветовых) градаций в изображении;
й) дополнительные возможности анализа изображения (маркеры, термопрофили, изотермы);
к) возможность регистрации дополнительной и служебной информации (диапазон регистрируемого перепада температур, средний уровень отсчета регистрируемого перепада температур, номер кадра);
л) рабочий спектральный диапазон тепловизора, мкм;
м) используемый приемник инфракрасного излучения:
1) тип приемника;
2) размер чувствительного элемента;
3) число чувствительных элементов;
4) необходимость и способ охлаждения (использование жидкого азота, термо-электрического охлаждения или специальной системы охлаждения): расход жидкого азота на одну заливку; время хранения хладагента в криостате приемника; время непрерывной работы при одной заливке хладагента; время автономной работы);
н) продолжительность непрерывной работы с периодической дозаливкой жидкого азота, мин или час;
о) время выхода на рабочий режим, мин;
п) наличие дополнительных устройств, расширяющих функциональные возможности тепловизора (сменные объективы, наклонные зеркала, тепловые излучатели, цветные принтеры) и облегчающих его эксплуатационное обслуживание (фотоприставки, тележки для перемещения);
р) возможность работы с компьютером: наличие стандартного интерфейса для связи с компьютером, тип операционной системы;
с) напряжение, В, и частота питающей сети, Гц;
т) потребляемая мощность, Вт;
у) габаритные размеры, мм, и масса прибора, кг;
ф) масса комплектующих изделий, входящих в комплект поставки, кг;
х) диапазон рабочих температур (диапазон измеряемых температур, диапазон регистрируемых температур, диапазон температур обследуемых объектов), °C;
ц) порог температурной чувствительности или разность температур, эквивалентная шуму (на уровне конкретного значения температуры), °C;
ч) минимальная разрешаемая разность температур, °C;
ш) угловое разрешение, мрад;
щ) температурно-частотная характеристика;
ы) угловое поле зрения (...°);
э) градуировочная характеристика;
ю) стабильность показаний;
я) оценка систематической погрешности определения разности температур и радиационной температуры в рабочем диапазоне.
Примечания.
1. Числовые значения технических параметров тепловизоров должны быть установлены в нормативных документах на конкретный тип тепловизора.
2. Номенклатуру показателей технических параметров и характеристик тепловизоров допускается изменять (уточнять) по согласованию с заказчиком.
3. Применяемость основных показателей технических параметров и характеристик в нормативной документации приведена в
Приложении А.
4.3. Требования надежности
4.3.1. Состав, общие правила задания требований по надежности и требования надежности тепловизоров - по
ГОСТ Р 50444 и
[1].
4.3.2. Средняя наработка на отказ

тепловизоров должна быть не менее 500 часов.
4.3.3. Средний срок службы до ремонта

тепловизоров должен быть не менее 2 лет.
Средний срок службы

тепловизоров должен быть не менее 5 лет по
ГОСТ Р 50444 для класса B.
Критериями предельного состояния тепловизоров является невозможность их восстановления или нецелесообразность ремонта после выработки ресурса.
4.3.4. Среднее время восстановления

тепловизоров должно быть установлено в нормативной документации на конкретный тип тепловизора.
4.4. Требования стойкости к внешним воздействующим факторам
4.4.1. Тепловизоры при эксплуатации должны быть устойчивы к механическим воздействиям по
ГОСТ Р 50444 для изделий групп 1 и 3 и не должны терять функциональные свойства при эксплуатации. Группа изделия и значения нагрузок при испытаниях тепловизоров должны быть установлены в нормативной документации на конкретный тип тепловизора.
4.4.2. Тепловизоры при эксплуатации должны быть устойчивы к воздействию климатических факторов по
ГОСТ Р 50444 и не должны терять функциональные свойства при эксплуатации в климатическом исполнении УХЛ категории 4.2 по
ГОСТ 15150.
4.4.3. В процессе и после испытаний на внешние воздействующие факторы тепловизоры должны обеспечивать заданные характеристики.
Критерием выполнения требований к внешним воздействующим факторам является обеспечение характеристик тепловизоров в пределах норм, установленных в нормативной документации на конкретный тип тепловизора.
4.5. Требования эргономики и технической эстетики
4.5.1. Требования эргономики и технической эстетики к тепловизорам должны соответствовать требованиям настоящего подраздела и требованиям, установленным в технической документации на конкретный тип тепловизора.
4.5.2. Тепловизоры должны быть снабжены органами управления.
Примечание. Под органами управления понимают ручки, кнопки, тумблеры и т.п.
4.5.2.1. Органы управления должны снабжаться надписями, символами, оцифрованной шкалой, указывающими их назначение и состояние ("Сеть", "Включено", "Отключено", "Ослабление", "Компенсация" и т.п.), соответствующими данному положению органа управления и/или дающими другую необходимую для конкретного случая информацию.
4.5.2.2. Пользование органами управления в последовательности, отличной от установленной, не должно приводить к возникновению опасных ситуаций или должно быть исключено введением соответствующей блокировки.
4.5.2.3. Органы управления, имеющие фиксацию в установленном положении, должны снабжаться указателем или шкалой, показывающими положение и необходимое направление перемещения органа управления.
4.5.2.4. Температура на поверхности органов управления, предназначенных для выполнения операций без применения средств индивидуальной защиты рук, должна быть не более 40 °C для органов управления, выполненных из металла, и не более 45 °C для органов управления, выполненных из материалов с низкой теплопроводностью.
4.5.3. Усилия нажатия на ручки, кнопки должны соответствовать усилиям, установленным в
ГОСТ 12.2.007.0, при частоте включений в сеть до трех в час.
4.5.4. Предупредительная сигнализация тепловизоров - световая или звуковая.
4.5.4.1. Для световых сигналов должны применяться цвета по
ГОСТ Р 50267.0.
4.5.4.2. Сигнальные лампы должны иметь знаки или надписи, указывающие значения сигналов. Например, "Включено", "Отключено", "Сеть".
4.5.5. Маркировка табличек на блоках тепловизоров должна быть выполнена в соответствии с чертежом на конкретную табличку. Требования к символам, применяемым при маркировании тепловизоров, по
ГОСТ Р ИСО 15223.
4.5.6. Расположение и форма ручек, кнопок, тумблеров, шкал, лимбов на блоках тепловизоров должны обеспечивать удобство, быстроту и оптимальную последовательность операций выполнения измерений их основных параметров и характеристик.
4.5.7. Форма, цвет и компоновка блоков тепловизоров должны соответствовать современным требованиям технической эстетики.
4.5.8. Требования к цветовому оформлению конкретных типов средств измерений тепловизоров должны устанавливаться в соответствии с требованиями
ГОСТ Р 12.4.026.
4.6. Требования технического обслуживания и ремонта
4.6.1. Время непрерывной работы тепловизора должно быть не менее 8 ч при условии периодической дополнительной заливки хладагента в колбу приемника излучения. Периодичность заливки хладагента - не менее 1,5 ч.
4.6.2. Время выхода на рабочий режим тепловизора после включения источника питания должно быть не более 10 мин в зависимости от конкретного типа тепловизора.
4.6.3. Требования по последовательности операций технического обслуживания тепловизоров устанавливают изготовители в эксплуатационной документации на конкретный тип тепловизора.
4.6.4. При проведении измерений основных параметров тепловизоров должны выполняться требования
5.3 настоящего стандарта.
Измерения (контроль) параметров и характеристик тепловизоров проводят инженер, техник или оператор, прошедший специальное обучение на курсах повышения квалификации при медицинских специализированных организациях.
4.6.5. Конструкция и расположение разъемных соединений должны обеспечивать применение стандартного инструмента при ремонте и монтаже тепловизоров.
4.6.6. Тепловизоры должны быть ремонтопригодными и обеспечивать возможность блочной системы ремонта.
Для обнаружения неисправностей в определенных узлах тепловизора должны быть предусмотрены контрольные точки, размещение и назначение которых должны быть указаны в эксплуатационной документации на конкретный тип тепловизора.
4.7. Требования к транспортированию, упаковке, хранению и маркировке
4.7.1. Требования к транспортированию, упаковке, хранению и маркировке тепловизоров должны соответствовать требованиям ГОСТ Р 50444
(раздел 8),
ГОСТ Р 50267.0 в части маркировки электрических параметров, дополнений и уточнений, изложенных в настоящем подразделе.
4.7.2. Тепловизоры при транспортировке в упаковке изготовителя должны быть устойчивы к транспортной тряске по
ГОСТ Р 50444.
4.7.3. Тепловизоры при транспортировке в упаковке изготовителя должны быть устойчивы к воздействию климатических факторов по
ГОСТ 15150 для группы 5.
4.7.4. Тепловизоры должны выдерживать транспортировку в упаковочной таре на любые расстояния транспортом любого вида с соблюдением правил перевозки, действующих на транспорте данного вида.
4.7.5. Упаковку тепловизоров производят в упаковочных ящиках, предварительно поместив их в чехол из полиэтиленовой пленки по
ГОСТ 10354.
4.7.6. Внутренняя упаковка тепловизора должна соответствовать ВУ-4 по
ГОСТ 9.014. Консервация - методом статического осушения воздуха ВЗ-10 по
ГОСТ 9.014.
4.7.7. Все блоки тепловизора в упаковке должны быть предохранены от перемещения деревянными колодками и тормозными устройствами.
4.7.8. Маркировка транспортной тары - по
ГОСТ 14192 с указанием условного обозначения допустимых условий хранения и транспортирования по
ГОСТ 15150 для климатического исполнения УХЛ категории 4.2.
4.7.9. На упаковочных ящиках должны быть нанесены манипуляционные знаки: "Верх", "Не кантовать", "Боится сырости".
4.7.10. Все упаковочные ящики должны иметь опись вложений, согласно которой производят упаковку.
4.7.11. Хранение тепловизоров производится в упаковке изготовителя в сухих складских помещениях в условиях хранения 2 (С) по
ГОСТ 15150.
Тепловизоры, в состав которых входят детали и сборочные единицы, подлежащие хранению в условиях менее жестких, чем условия хранения 2 (С) по
ГОСТ 15150, следует хранить в условиях хранения деталей и сборочных единиц, указанных в эксплуатационной документации на них.
4.7.12. Запрещается хранение тепловизоров в помещениях возле отопительных приборов совместно с химически активными веществами (кислотами, щелочами) и газами.
4.8. Требования безопасности
4.8.1. Корректированный уровень звуковой мощности, создаваемый тепловизорами на расстоянии 1 м, не должен превышать значений по
ГОСТ Р 51401 и
ГОСТ Р 51402.
4.8.2. Требования к электромагнитной совместимости тепловизоров - по ГОСТ Р 50267.02.
4.8.4. При проведении измерений основных параметров тепловизоров необходимо соблюдать правила безопасности работы с жидким азотом и сосудами, наполненными им.
4.8.5. Средства индивидуальной защиты при работе с тепловизором должны соответствовать требованиям
ГОСТ 12.4.011.
4.9. Конструктивные требования
4.9.1. Тепловизоры, рассчитанные на работу совместно с персональным компьютером, для связи с ним должны комплектоваться стандартными интерфейсами по ГОСТ 18145.
4.9.1.1. Тип (исполнение) компьютера, программное обеспечение должны быть указаны изготовителем в нормативной документации на конкретный тип тепловизора.
4.9.2. В блоке регистрации должны быть выведены гнезда для подключения прибора для записи термопрофиля.
4.9.3. Тепловизоры должны работать от сети переменного тока при напряжении питания 220 В, частоте 50 Гц или от автономных источников питания, требования к которым должны быть установлены в нормативной документации на конкретный тип тепловизора.
4.9.4. Тепловизоры с питанием от сети переменного тока должны быть работоспособными при отклонении напряжения питания на +/- 10% номинального значения и при отклонении частоты на +/- 1% номинального значения.
4.9.5. Защитно-декоративные лакокрасочные покрытия должны соответствовать III классу по
ГОСТ 9.401 для условий эксплуатации УХЛ 4.2 по
ГОСТ 15150.
4.9.6. Металлические и неметаллические неорганические покрытия должны соответствовать требованиям
ГОСТ 9.301 и
ГОСТ 9.303 для условий эксплуатации УХЛ, группа исполнения 1 по
ГОСТ 15150.
4.9.7. Масса стационарных тепловизоров (группа 1) должна быть указана в нормативной документации на конкретный тип тепловизора и согласована с заказчиком.
Масса портативных тепловизоров (группа 3) должна быть не более 2,0 кг.
Примечание. Под портативным тепловизором понимается тепловизор, переносимый в руке.
5. Методы измерений основных параметров тепловизоров
5.1. Требования к условиям измерений
5.1.1. В помещении для проведения измерений основных параметров тепловизоров должны быть обеспечены следующие условия:
- температура окружающего воздуха, °C ......... 21,0 +/- 2,0
- относительная влажность воздуха, % .......... от 45 до 80
- атмосферное давление, гПа (мм рт. ст.) ...... от 866,4 до 1066,4
(от 650 до 800)
- освещенность в помещении, лк, не менее ...... 300
5.1.2. При проведении измерений не следует допускать вынужденную конвекцию воздуха вблизи испытуемого тепловизора.
5.1.3. В помещениях для измерений в качестве осветительных приборов следует использовать источники дневного света. Посторонние источники теплового излучения должны быть экранированы.
Примечание. Под посторонними источниками теплового излучения подразумевают батареи отопления, приборы, излучающие тепло.
5.1.4. Попадание прямого солнечного света на испытуемый тепловизор и средства измерений не допускается.
5.1.5. Измерения основных параметров по
5.4 -
5.9 настоящего стандарта должны проводиться с рабочего расстояния не менее 1 м.
5.1.6. Для визуальной оценки термограммы привлекаются операторы, не имеющие нарушений функций зрительного аппарата и прошедшие освидетельствование у врача-окулиста.
5.1.7. Число наблюдателей при визуальной оценке термограмм должно быть не менее трех.
5.1.8. Наполнение сосудов Дьюара жидким азотом должно проводиться через воронку, вставленную в горловину на глубину не менее 300 мм.
5.1.9. Стеклянные сосуды Дьюара должны быть помещены в защитный металлический кожух и закреплены с помощью асбеста, горловина сосуда Дьюара должна быть закрыта штатной пенопластовой пробкой.
5.1.10. Сосуды Дьюара должны проверяться с целью оценки пригодности к работе не реже одного раза в 6 месяцев.
5.1.11. При выполнении измерений основных параметров тепловизоров следует пользоваться следующими основными средствами индивидуальной защиты:
- коврик резиновый диэлектрический для защиты от электричества - по
ГОСТ 4997;
- перчатки резиновые хирургические для защиты рук при чистке деталей и приборов - по
ГОСТ 3;
- перчатки резиновые технические для защиты от попадания жидкого азота - по
ГОСТ 20010;
5.1.12. Периодичность проверки основных параметров и характеристик определяют экспериментально для конкретного типа тепловизора.
5.2. Требования к средствам измерений, аппаратуре и вспомогательным устройствам
5.2.1.
Перечень средств измерений и вспомогательных устройств, их метрологические характеристики приведены в Приложении Б.
Используемые при измерении основных параметров тепловизоров средства измерений должны быть поверены и аттестованы в соответствии с
ГОСТ Р 8.568.
5.2.2. При выполнении измерений основных параметров тепловизоров по
5.4 -
5.9 настоящего стандарта в качестве средства измерений используются тепловые (инфракрасные) излучатели:
- излучатель-термостат;
- тепловой излучатель протяженного типа.
5.2.2.1. Излучатель-термостат конструктивно выполняется в виде кюветы (медного бака).
Рабочая грань кюветы, входящей в состав излучателя-термостата, должна иметь размеры не менее (400 x 400) мм и коэффициент теплового излучения - не менее 0,96.
Неравномерность температуры по поверхности кюветы должна быть не более 0,1 °C.
Температуру воды в кювете устанавливают на 10 °C - 15 °C выше температуры окружающей среды и поддерживают с погрешностью, не выходящей за пределы интервала +/- 0,1 °C.
5.2.2.2. Тепловой излучатель протяженного типа должен иметь электронный блок регулирования температуры.
Диапазон температур, воспроизводимых тепловым излучателем протяженного типа, должен перекрывать интервал температуры от 28 °C до 36 °C.
Основная погрешность воспроизведения температуры не должна выходить за пределы интервала температур +/- 0,2 °C.
Дополнительная погрешность воспроизведения температуры, обусловленная колебаниями температуры окружающей среды, не должна выходить за пределы интервала +/- 0,1 °C от установившейся температуры окружающей среды.
Неравномерность температуры по рабочей поверхности должна быть не более 0,1 °C.
Коэффициент излучения рабочей поверхности теплового излучателя должен быть не менее 0,96.
5.2.2.3. Используемые при измерении основных параметров тепловизоров тепловые излучатели должны проходить поверку по энергетической светимости один раз в два года.
5.2.3. При выполнении измерений основных параметров по
5.4 -
5.9 настоящего стандарта в качестве вспомогательных устройств используются тест-объекты в виде штриховых мир, щелевых мир, нейтральный ослабляющий фильтр или набор фильтров, экран-фон. Виды тест-объектов приведены в Приложении В,
рисунки В.1 -
В.3.
5.2.3.1. Тест-объекты в виде набора штриховых мир с периодической структурой приведены на
рисунке В.1.
Коэффициент излучения поверхности мир, обращенной к наблюдателю, должен быть не менее 0,96.
Коэффициент излучения поверхности мир, обращенной к излучателю, должен быть не более 0,1 - 0,2.
5.2.3.2. Щелевые миры с регулируемой шириной щели или набор щелевых мир приведены на
рисунке В.2.
Полный раствор щели по ширине должен быть не менее 10 мм.
Погрешность установки размеров щели не должна выходить за пределы интервала +/- 0,3 мм.
Коэффициент излучения поверхности миры, обращенной к наблюдателю, должен быть не менее 0,9.
5.2.3.3. Тест-объект в виде миры с метками и отверстиями (сетчатое поле) приведен на
рисунке В.3.
Размер тест-объекта должен быть не менее 500 x 500 мм.
Коэффициент излучения поверхности тест-объекта должен быть не более 0,6.
Метки наносят с помощью глубокоматовых эмалей типа АК-512 по ГОСТ 23171, ХС-119 по
ГОСТ 21824 в виде горизонтальных и вертикальных полос.
5.2.3.4. Нейтральный ослабляющий фильтр имеет ослабление n = 10, ослабление для набора фильтров выбирается из основного ряда предпочтительных чисел в соответствии с
ГОСТ 8032.
Допуск на ослабление

не должен выходить за пределы интервала

.
5.2.3.5. В качестве экрана-фона может применяться лист переплетного картона по
ГОСТ 7950 или другой материал с размерами 750 x 750 мм, имеющий диффузно отражающую поверхность и коэффициент теплового излучения не менее 0,9.
5.3. Порядок подготовки к проведению измерений
5.3.1. При подготовке к проведению измерений основных параметров тепловизоров должны быть проведены следующие работы.
5.3.1.1. Перед началом измерений испытуемый тепловизор необходимо прогреть в течение времени, указанного в эксплуатационной документации на конкретный тип тепловизора.
5.3.1.2. Во время проведения измерений не допускается проводить дополнительную заливку жидкого азота в колбу приемника излучения.
5.3.1.3. Если испытуемый тепловизор отключают даже на непродолжительное время, измерение параметров можно начинать после повторного прогрева тепловизора по
5.3.1.1.
5.3.1.4. Для нормирования фоновых условий при измерении параметров тепловизоров тепловые излучатели, миры, тест-объекты и прочие приспособления следует располагать на фоне, аналогичном фону, который будет применен при эксплуатации тепловизора.
5.3.2. Перед каждым измерением параметра необходимо записывать значение температуры окружающей среды.
5.4. Метод измерения порога температурной чувствительности
5.4.1. Порядок проведения измерений
5.4.1.1. Измерение порога температурной чувствительности тепловизора проводят по схеме, приведенной на рисунке 1.
Т - испытуемый тепловизор (1 - блок регистрации;
2 - оптическая головка); 3 - прибор для регистрации
термопрофиля; 4 - излучатели-термостаты; 5 - экран-фон
Рисунок 1. Схема измерения порога температурной
чувствительности тепловизора
5.4.1.2. Принцип измерения порога температурной чувствительности тепловизора состоит в измерении отношения пикового значения сигнала

к среднеквадратическому значению шума

при регистрации перепада температур, значительно превышающего порог температурной чувствительности, и последующем вычислении перепада температур, эквивалентного шуму, т.е. перепада температур при условии, когда

.
5.4.1.3. При выполнении измерения порога температурной чувствительности должны быть проведены следующие операции:
В поле зрения испытуемого тепловизора Т на расстоянии 1 м от входного окна устанавливают два излучателя-термостата 4, при этом кюветы, входящие в состав излучателя-термостата, располагают на одном уровне на расстоянии не менее 100 мм друг от друга.
Температуру воды в кюветах устанавливают от 5 °C до 10 °C выше температуры окружающей среды, при этом разность температур между кюветами

в 5 - 10 раз должна превосходить ожидаемый порог температурной чувствительности тепловизора.
Проводят запись термопрофиля через обе кюветы с помощью прибора для регистрации термопрофиля 3.
5.4.2. Правила обработки результатов измерений
5.4.2.1. Пример записи термопрофиля приведен на рисунке 2.
Рисунок 2. Пример записи термопрофиля для определения
порога температурной чувствительности тепловизора
5.4.2.2. Порог температурной чувствительности тепловизора

, °C, определяют по формуле

, (1)
где

- эффективное значение напряжения шума, В;

- среднеквадратическое значение напряжения шума, В;

- установленная разность температур между кюветами излучателя-термостата, °C;

- максимальное (пиковое) значение выходного сигнала тепловизора, измеренное по записанному термопрофилю, В.
5.4.2.3. Порог температурной чувствительности тепловизора

должен быть не более 0,1 °C. Значение

приводят в нормативной документации на конкретный тип тепловизора с указанием фона, на котором его измеряют.
5.4.3. Правила оформления результатов измерений
5.4.3.1. Форма представления результатов измерений порога температурной чувствительности - по [
2, раздел 4].
5.4.4. Точность результатов измерений
5.4.4.1. Предел повторяемости (сходимости) результатов измерений порога температурной чувствительности должен составлять +/- 20%.
5.5. Методы измерений минимальной разрешаемой разности температур и определения температурно-частотной характеристики
5.5.1. Порядок проведения измерений
5.5.1.1. Измерение минимальной разрешаемой разности температур тепловизора проводят по схеме, приведенной на рисунке 3.
Т - испытуемый тепловизор (1 - блок регистрации,
2 - оптическая головка); 3 - нейтральный ослабляющий фильтр;
4 - штриховая мира; 5 - излучатель-термостат; 6 - экран-фон
Рисунок 3. Схема измерения минимальной разрешаемой
разности температур
5.5.1.2. Принцип измерения минимальной разрешаемой разности температур основан на измерении предельного перепада температур, воспринимаемого наблюдателями на фиксированной пространственной частоте с заданной вероятностью.
5.5.1.3. При выполнении измерения минимальной разрешаемой разности температур должны быть проведены следующие операции:
Перед входным окном испытуемого тепловизора Т или непосредственно перед объективом устанавливают нейтральный ослабляющий фильтр 3. Режим работы тепловизора должен соответствовать режиму оптимальной чувствительности.
На расстоянии 1 м от входного окна тепловизора в его поле зрения устанавливают четырехштриховую миру 4 с наименьшей пространственной частотой штрихов (наибольшей шириной штриха

).
За штриховой мирой на расстоянии от 30 до 50 мм от нее располагают излучатель-термостат 5.
Включают излучатель-термостат и устанавливают температуру воды в кювете, входящей в состав излучателя-термостата, близкой к температуре окружающей среды, так, чтобы разность температур штрихов и промежутков между ними была близка к нулю.
Постепенно увеличивают температуру воды до тех пор, пока штрихи на термограмме не окажутся различимыми хотя бы двумя наблюдателями.
Записывают значение разности температур между мирой и излучателем-термостатом -

.
Перед кюветой, входящей в состав излучателя-термостата, устанавливают следующую миру (с большей пространственной частотой штрихов) и проводят аналогичные измерения.
Записывают значение разности температур между мирой и излучателем-термостатом -

.
Повторяют аналогичные измерения для остальных мир.
Примечание. Поддержание заданных значений разности температур между сменными мирами и энергетической светимостью поверхности излучателя-термостата может осуществляться с помощью регулятора разности температур с дифференциальными термопарами в качестве датчиков. В этом случае отпадает необходимость использования нейтрального ослабляющего фильтра.
5.5.2. Правила обработки и оформления результатов измерений
5.5.2.1. Данные измерений, полученные для каждой миры, записывают в первую и вторую строки таблицы 1.
Таблица 1
Форма представления результатов измерений
Измеряемый параметр | Результат измерения |
| |
Ширина штриха  , мм | | |
Разность температур  , °C | | |
Минимальная разрешаемая разность температур  , °C | | |
Пространственная частота  | | |
5.5.2.2. Расчет минимальной разрешаемой разности температур тепловизоров

проводят по формуле

, (2)
где

- коэффициент излучения рабочей поверхности излучателя-термостата и миры;

- разность температур штрихов и промежутков между ними (разность температур между мирой и рабочей поверхностью излучателя-термостата),°C;
n - коэффициент ослабления фильтра.
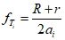
5.5.2.3. Расчет пространственной частоты миры

проводят по формуле

, (3)
где R - рабочее расстояние, мм;
r - расстояние от входного окна тепловизора до передней главной плоскости оптической системы, мм (указывается в нормативной документации на конкретный тип тепловизора);

- ширина штриха миры, мм.
5.5.2.4. Минимальная разрешаемая разность температур тепловизора

должна быть не более 0,3 °C при разрешении температурных неоднородностей от 2 до 5 мм.
5.5.2.5. Температурно-частотную характеристику тепловизора определяют в диапазоне пространственных частот от

до

.
При этом предельное линейное разрешение тепловизора на высоких частотах должно быть от 2 до 5 мм, а предельное значение минимальной разрешаемой разности температур на нижних пространственных частотах - не более 0,3 °C.
5.5.2.6. По данным
таблицы 1 строят температурно-частотную характеристику тепловизора.
5.5.3. Точность результатов измерений
5.5.3.1. Предел повторяемости (сходимости) результатов измерений

должен составлять +/- 20%.
5.6. Метод измерения углового (или линейного) разрешения
5.6.1. Порядок проведения измерений
5.6.1.1. Измерение углового разрешения тепловизора проводят по схеме, приведенной на рисунке 4.
Т - испытуемый тепловизор (1 - блок регистрации,
2 - оптическая головка); 3 - щелевая мира;
4 - излучатель-термостат; 5 - экран-фон; 6 - осциллограф
Рисунок 4. Схема измерения углового (или линейного)
разрешения тепловизора
5.6.1.2. Принцип измерения углового разрешения тепловизора состоит в измерении сигнала от щелевой миры при его уменьшении до 75% максимального значения и последующем расчете углового разрешения исходя из полученной ширины щели миры и параметров оптической системы тепловизора.
5.6.1.3. При выполнении измерения углового разрешения тепловизора проводят следующие операции.
На расстоянии 1 м от входного окна испытуемого тепловизора Т и 20 см от рабочей поверхности излучателя-термостата 4 устанавливают щелевую миру 3 в направлении, перпендикулярном направлению строк. Непосредственно за излучателем-термостатом устанавливают экран-фон 5.
Разность температур между краями щели миры и рабочей поверхностью излучателя-термостата устанавливают таким образом, чтобы испытуемый тепловизор работал в области линейности и не в режиме насыщения. При этом на экране осциллографа 6 наблюдают в выходном сигнале участок уплощения, амплитуда которого

изменяется в зависимости от изменения температуры

рабочей поверхности излучателя-термостата

.
Проводят фокусировку по резкости изображения щелевой миры на термограмме или по крутизне фронта сигнала от щели на экране осциллографа. Постепенно сужают щель до размера

, при котором наблюдается исчезновение горизонтального участка. Продолжают сужать щель до размера

, при котором амплитуда сигнала становится равной 75% первоначального значения.
5.6.2. Правила обработки результатов измерений
5.6.2.1. Примеры выходного сигнала на экране осциллографа приведены на рисунке 5.
Рисунок 5. Примеры выходного сигнала на экране осциллографа
5.6.2.2. Определяют размер изображения щели в плоскости приемника излучения по формуле

, (4)
где

- линейное увеличение оптической системы тепловизора (приводится в нормативной документации на тепловизор конкретного типа).
5.6.2.3. Определяют отношение

по формуле

, (5)
где

- линейный размер чувствительной площадки приемника излучения, мм (приводится в нормативной документации на конкретный тип тепловизора).
5.6.2.4. Пересчитывают параметр

, полученный по щелевой мире, в параметр

, эквивалентный измерениям по двум сближающимся квадратам при уменьшении сигнала до 50%, по формуле

. (6)
5.6.2.5. Определяют угловое разрешение тепловизора

по формуле

, (7)
где

- мгновенный угол зрения оптической системы, угл. мин. (приводится в нормативной документации на конкретный тип тепловизора).
5.6.2.6. Определяют линейное разрешение тепловизора

, мм, в плоскости изображения по формуле

. (8)
5.6.2.7. Определяют линейное разрешение по строке

в плоскости предметов по формуле
| | ИС МЕГАНОРМ: примечание. Формула дана в соответствии с оригиналом. | |

. (9)
Примечание. В случае необходимости измерения

- линейного разрешения по кадру устанавливают щелевую миру 3 вдоль направления строк и проводят операции в соответствии с
5.6.1 -
5.6.2 в той же последовательности.
5.6.2.8. Угловое разрешение тепловизора рассчитывают по линейному разрешению, предельное значение которого должно быть от 2 до 5 мм при измерении его с рабочего расстояния 1 м.
5.6.3. Правила оформления результатов измерений
5.6.3.1. Форма представления результатов измерений углового (линейного) разрешения - по [
2, раздел 4].
5.6.4. Точность результатов измерений
5.6.4.1. Предел повторяемости (сходимости) результатов измерений углового (линейного) разрешения должен составлять +/- 15%.
5.7. Метод контроля стабильности показаний
5.7.1. Порядок проведения контроля
5.7.1.1. Принцип контроля стабильности показаний тепловизора состоит в измерении дрейфа выходного сигнала тепловизора в течение интервала времени от включения напряжения питания тепловизора до полного испарения азота, охлаждающего приемник излучения.
5.7.1.2. Измерение дрейфа выходного сигнала тепловизора проводят по схеме, приведенной на рисунке 6.
Т - испытуемый тепловизор (1 - блок регистрации,
2 - оптическая головка); 3 - излучатель протяженного типа;
4 - экран-фон; 5 - прибор для регистрации выходного сигнала
Рисунок 6. Схема измерения дрейфа выходного
сигнала тепловизора
5.7.1.3. При выполнении измерения дрейфа выходного сигнала испытуемого тепловизора проводят следующие операции.
Устанавливают радиометрический режим работы тепловизора Т в соответствии с нормативной документацией на него.
На расстоянии 1 м от входного окна испытуемого тепловизора в центре его поля зрения устанавливают излучатель протяженного типа (далее - излучатель) 3 и включают его. Непосредственно за ним располагают экран-фон 4.
Устанавливают температуру излучателя на несколько градусов выше температуры окружающей среды. Подключают прибор для регистрации выходного сигнала 5 и включают его для прогрева. Заливают азот в колбу приемника излучения, включают испытуемый тепловизор и отмечают время начала отсчета

.
Регулируют положение оптической головки испытуемого тепловизора 2 таким образом, чтобы тепловизор визировал центр излучающей поверхности излучателя. По максимуму выходного сигнала осуществляют контроль.
Если в качестве измерительного прибора используется самописец, то регистрацию сигнала проводят непрерывно до полного испарения азота.
При регистрации выходного сигнала вольтметром, осциллографом или встроенным прибором его значение записывают периодически с интервалом от 5 до 10 мин до полного испарения азота.
Данные измерения записывают в таблицу 2.
Таблица 2
Форма представления результатов измерений времени
и регистрации выходного сигнала
Измеряемый параметр | Результат измерения |
Время отсчета t, ч и мин | |
Время, прошедшее с момента включения тепловизора  , мин | |
Выходной сигнал  , мВ | |
5.7.2. Правила обработки результатов измерений
5.7.2.1. По данным
таблицы 2 строят график изменения выходного сигнала во времени

. Типичная характеристика стабильности выходного сигнала тепловизора приведена на рисунке 7.
Рисунок 7. Характеристика стабильности выходного
сигнала тепловизора
5.7.2.2. На оси абсцисс откладывают точку

, соответствующую времени, необходимому для выхода тепловизора на рабочий режим (приводится в нормативной документации на конкретный тип тепловизора), и проводят через нее линию, параллельную оси ординат.
5.7.2.3. По графику определяют дрейф выходного сигнала

, имеющий место при

.
5.7.2.4. По полученному значению

определяют нестабильность показаний тепловизора

по формуле

, (10)
где

- нестабильность показаний тепловизора, °C;

- коэффициент измерения выходного сигнала,

или

.
5.7.3. Правила оформления результатов измерений
5.7.3.1. Форма представления результатов измерений - по [
2, раздел 4] с учетом
таблицы 2.
5.7.4. Точность результатов измерений
5.7.4.1. Стабильность показаний тепловизора во времени, после выхода на рабочий режим, при наблюдении объекта с заданной температурой в стационарных условиях определяется составляющей, обусловленной временным дрейфом выходного сигнала, и не должна выходить за пределы +/- 0,25 °C.
5.8. Метод определения градуировочной характеристики
5.8.1. Порядок проведения измерений
5.8.1.1. Принцип определения градуировочной характеристики тепловизора основан на измерении выходного сигнала (реакции) тепловизора на заданное воздействие на входе (поток излучения от объекта с заданной температурой).
5.8.1.2. Измерение выходного сигнала тепловизора проводят по схеме, приведенной на
рисунке 6.
5.8.1.3. Определение градуировочной характеристики тепловизора проводят после выхода тепловизора на рабочий режим, т.е. после выполнения операций по
5.7.1.3.
Устанавливают минимальное значение температуры излучающей поверхности протяженного излучателя

и записывают соответствующее ему значение выходного сигнала

.
Устанавливают следующие значения температуры излучающей поверхности

,

и т.д. до

с шагом

и записывают соответствующие им значения выходного сигнала

,

и т.д. до

. Повторяют измерения в обратном порядке, т.е. изменяя температуру излучателя от

до

.
Измерения повторяют не менее двух раз.
5.8.2. Правила обработки результатов измерений
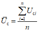
5.8.2.1. По нескольким значениям измеренного выходного сигнала

, полученным в одинаковых условиях, определяют среднее арифметическое значение результатов наблюдений для каждой температуры излучателя по формуле

, (11)
где n - число измерений;

- результат i-го измерения выходного сигнала, мВ.
5.8.2.2. Определяют среднеквадратическое отклонение единичного измерения S по выходному сигналу

и по температуре

по формулам

, (12)

, (13)
где

- коэффициент измерения выходного сигнала,

или

.
5.8.2.3. Определяют границы доверительного интервала

при заданной вероятности

и выполненном числе наблюдений n по формуле

, (14)
где

- коэффициент Стьюдента.
Таблица 3
Форма представления результатов измерений и расчетов
Температура излучателя, °C | Выходной сигнал  | | S | |
1 | 2 | ... | n | | |
28 | | | | | | | | |
... | | | | | | | | |
... | | | | | | | | |
42 | | | | | | | | |
5.8.2.5. По данным
таблицы 3 строят градуировочную характеристику тепловизора

.
5.8.2.6. Градуировочную характеристику тепловизора определяют в диапазоне температур, присущих телу пациента. Нижняя граница диапазона температур должна быть не менее 28 °C, верхняя граница - не более 42 °C. Изменение температуры должно производиться с шагом 1 °C.
5.8.3. Правила оформления результатов измерений
5.8.3.1. Форма представления результатов измерения - по [
2, раздел 4] с учетом
таблицы 2.
5.8.4. Точность результатов измерений
5.8.4.1. Предел повторяемости (сходимости) воспроизведения температуры излучателем, по которому проводят градуировку, в нормальных климатических условиях по
ГОСТ 15150 должен быть не более +/- 0,2 °C.
5.9. Метод измерения углового поля зрения
5.9.1. Порядок проведения измерений
5.9.1.1. Измерение углового поля зрения тепловизора проводят по схеме, приведенной на рисунке 8.
Т - испытуемый тепловизор (1 - блок регистрации, 2 -
оптическая головка); 3 - тест-объект в виде миры с метками
и отверстиями; 4 - излучатель-термостат; 5 - экран-фон
Рисунок 8. Схема измерения углового поля зрения тепловизора
5.9.1.2. Принцип измерения углового поля зрения тепловизора состоит в определении крайних точек сетчатого поля, отображаемых на границе поля обзора, измерении расстояния между ними и последующем расчете угловых размеров поля зрения.
5.9.1.3. При выполнении измерений углового поля зрения тепловизора проводят следующие операции.
На расстоянии 1 м от входного окна испытуемого тепловизора Т устанавливают миру в виде сетчатого поля 3. В непосредственной близости за ней располагают излучатель-термостат 4 и устанавливают температуру воды в кювете, входящей в состав излучателя-термостата, на 5 °C - 10 °C выше температуры окружающей среды. Кювету и миру располагают таким образом, чтобы оптическая ось тепловизора проходила через центры миры и кюветы.
Проводят запись термограммы тест-объекта, отмечая крайние метки, регистрируемые на термограмме, по вертикали и горизонтали.
5.9.2. Правила обработки, оформления и точность результатов измерений
5.9.2.1. Определяют угловые размеры поля зрения тепловизора

по формулам:

, (15)

, (16)
где

и

- углы поля зрения в горизонтальном и вертикальном направлениях соответственно, рад;
A и B - линейные размеры между крайними метками миры, регистрируемыми на термограмме, по вертикали и горизонтали соответственно, мм;
R - расстояние от входного окна тепловизора до объекта, мм;
r - расстояние от входного окна тепловизора до центра кадрового сканирующего устройства, мм.
Примечание. Расстояние r берут из оптической схемы согласно нормативной документации на тепловизор.
5.9.2.2. Угловое поле зрения тепловизора должно быть не менее (15° x 15°), чтобы обеспечить регистрацию теплового изображения по всей длине тела пациента с расстояния от 3 до 5 м двумя кадрами.
Примечание. Исключение составляют специальные тепловизоры с малым полем зрения (5° x 5°), работающие с больших расстояний от 3 до 4 м или предназначенные для регистрации теплового поля небольших объектов (лицо, кисть руки и т.п.) с близкого расстояния (менее 0,5 м).
(рекомендуемое)
ПРИМЕНЯЕМОСТЬ ОСНОВНЫХ ПОКАЗАТЕЛЕЙ
ТЕПЛОВИЗОРОВ В НОРМАТИВНОЙ ДОКУМЕНТАЦИИ
А.1. Применяемость основных показателей тепловизоров в нормативной документации [тактико-техническом задании (ТТЗ), технических условиях на конкретный тип тепловизора (ТУ) и настоящем стандарте] представлена в таблице А.1.
Таблица А.1
Применяемость основных показателей
тепловизоров в нормативной документации
Наименование показателя | Обозначение показателя | Применяемость показателя в нормативной документации |
ТТЗ | ТУ | Требования настоящего стандарта |
1. Показатели назначения: | | | | |
а) частота кадров, Гц, или период кадровой развертки, с, или время сканирования (обзора) одного кадра в пространстве объекта, с;* | | + | + | |
б) формат кадра (число пикселей по строке и кадру) или степень дискретизации одного кадра (число пикселей по строке и кадру), или число строк в кадре и число элементов в строке, шт.;* |  ,  | + | + | |
в) мгновенный угол поля зрения оптической системы, мрад или угл. мин.;* | | + | + | |
г) линейное увеличение оптической системы, крат; | | + | +/- | |
д) диапазон рабочих расстояний или диапазон расстояний от входного окна тепловизора до объекта исследования, м или см; | | + | + | |
е) расстояние от входного окна тепловизора до передней главной плоскости оптической системы, м или см; | | - | + | |
ж) способ регистрации (отображения) теплового изображения; | | - | + | |
з) варианты визуализации теплового изображения (позитив, негатив, черно-белое, цветное, полутоновое, градационное, совмещенное); | | + | + | |
и) число полутоновых (яркостных, цветовых) градаций в изображении, шт.; | | +/- | + | |
й) дополнительные возможности анализа изображения (маркеры, термопрофили, изотермы);* | | + | + | |
к) возможность регистрации дополнительной и служебной информации (диапазон регистрируемого перепада температур, средний уровень отсчета регистрируемого перепада температур, номер кадра);* | | + | - | |
л) рабочий спектральный диапазон тепловизора, мкм; | | + | + | |
м) используемый приемник инфракрасного излучения: - тип приемника; - размер чувствительного элемента; - число чувствительных элементов; - необходимость и способ охлаждения (использование жидкого азота, термо-электрического охлаждения или специальной системы охлаждения): расход жидкого азота на одну заливку, время хранения хладагента в криостате приемника, время непрерывной работы при одной заливке хладагента, время автономной работы); | | | | |
| |
| |
| |
+/- | +/- |
н) продолжительность непрерывной работы с периодической дозаливкой жидкого азота, мин или ч;* | | + | + | |
о) время выхода на рабочий режим, мин;* | | + | + | |
п) наличие дополнительных устройств, расширяющих функциональные возможности тепловизора (сменные объективы, наклонные зеркала, тепловые излучатели, цветные принтеры) и облегчающих его эксплуатационное обслуживание (фотоприставки, тележки для перемещения);* | | + | + | |
р) возможность работы с компьютером: наличие стандартного интерфейса для связи с компьютером, тип операционной системы;* | | + | + | |
с) напряжение, В, и частота, Гц, питающей сети; | | + | + | |
т) потребляемая мощность, Вт;* | | + | + | |
у) габаритные размеры, мм, и масса прибора, кг;* | | + | + | |
ф) масса комплектующих изделий, входящих в комплект поставки, кг; | | + | + | |
х) диапазон рабочих температур (диапазон измеряемых температур, диапазон регистрируемых температур, диапазон температур обследуемых объектов), °C; | | + | + | |
ц) порог температурной чувствительности или разность температур, эквивалентная шуму (на уровне конкретного значения температуры), °C;* | | + | + | |
ч) минимальная разрешаемая разность температур, °C;* | | - | + | |
ш) угловое разрешение, мрад; | | + | + | |
щ) температурно-частотная характеристика; | | - | + | |
ы) угловое поле зрения, град; | | + | + | |
э) градуировочная характеристика; | | - | + | |
ю) стабильность показаний; | | - | + | |
я) оценка погрешности определения разности температур и радиационной температуры в рабочем диапазоне** | | +/- | + | |
2. Показатели надежности: | | | | |
Установленная безотказная наработка, ч | | + | + | |
Средняя наработка на отказ, ч | | + | + | |
Установленный срок службы, годы | | - | + | |
3. Показатели стойкости к внешним воздействиям и живучести: | | | | |
Устойчивость к механическим воздействиям: | | | | |
- частота вибрационных нагрузок, Гц; | +/- | + | |
- амплитуда вибрационных нагрузок, мм | | +/- | + | |
Устойчивость к климатическим факторам | | + | + | |
4. Эргономические и эстетические показатели: | | | | |
- расположение органов управления отсчетных устройств; | | - | + | |
- усилия нажатия, Н; | | - | + | |
- маркировка; | | - | + | |
- форма, цвет, компоновка; | | +/- | + | |
- цветовое оформление средств измерений | | - | + | |
5. Показатели транспортабельности, упаковки, хранения: | | | | |
Устойчивость к транспортной тряске | | - | + | |
Устойчивость к воздействию температуры и влажности в упаковке при транспортировании | | - | + | |
Герметичность и консервация упаковки | | - | + | |
Условия хранения | | - | + | |
6. Показатели безопасности: | | | | ГОСТ Р 50267.02, |
Корректированный уровень звуковой мощности, дБ, по шкале А | | - | + | |
Электромагнитная совместимость | | +/- | + | |
Электробезопасность | | + | + | |
Применение средств индивидуальной защиты | | +/- | + | |
Взрывобезопасность | | - | +/- | |
7. Показатели технического обслуживания и ремонта: | | | | |
Время непрерывной работы, ч | | + | + | |
Время выхода на рабочий режим, мин | | + | + | |
Последовательность операций техобслуживания | | - | + | |
Ремонтопригодность | | + | + | |
Примечания. 1. Знаком "*" в таблице отмечены основные параметры и характеристики тепловизоров. 2. В таблице: знак "+" означает применяемость показателя в нормативной документации, знак "-" - неприменяемость показателя в нормативной документации, знак "+/-" - ограниченную применяемость показателя в нормативной документации. 3. Знак "**" означает, что вид погрешности и ее оценку допускается выбирать и проводить по ГОСТ 8.009, ГОСТ Р ИСО 5725-4 и [2] в зависимости от назначения тепловизора и используемых средств измерений при определении их основных параметров. |
(рекомендуемое)
СРЕДСТВ ИЗМЕРЕНИЙ И ВСПОМОГАТЕЛЬНЫХ УСТРОЙСТВ
Б.1. Перечень средств измерений и вспомогательных устройств, применяемых при измерении основных параметров тепловизоров, приведен в таблице Б.1.
Таблица Б.1
Наименование средства измерения, вспомогательного устройства | Обозначение, тип, метрологические характеристики средства измерения, характеристики вспомогательного устройства |
Средства измерений | |
Излучатель протяженного типа | РП-728 (РП-729) Диаметр излучающей поверхности - 50 мм (100 мм) Диапазон температур, воспроизводимых излучателем, - от 26 °C до 36 °C Коэффициент излучения рабочей поверхности излучателя - не менее 0,96 Погрешность воспроизведения температур - не более +/- 0,2 °C |
Излучатель протяженного типа | ИТ-85 [ИТ-200] Размеры излучающей поверхности - 90 x 90 мм или (300 x 50 мм) Диапазон температур, воспроизводимых излучателем, - от 26 °C до 85 °C Коэффициент излучения рабочей поверхности излучателя - не менее 0,97 |
Эталонный (образцовый) излучатель протяженного типа | |
Излучатель-термостат | |
Излучатель-термостат | ИФ-227 Коэффициент излучения рабочей поверхности излучателя - не менее 0,97 Диапазон разностей температур, воспроизводимых установкой, - от минус 10 °C до плюс 50 °C Предел повторяемости (сходимости) измерения разности температур между рабочими поверхностями миры и излучателя-термостата - не более 0,05 °C |
Эталонный (образцовый) инфракрасный излучатель | Фирма AGA, Швеция, Model 23 (Model 100) Диаметр излучающей поверхности - 40 мм (100 мм) Диапазоны температур - от 28 °C до 39 °C, от 16 °C до 40 °C, от 40 °C до 100 °C Коэффициент излучения рабочей поверхности - не менее 0,97 (0,96) Погрешность воспроизведения температур в спокойной атмосфере - +/- 0,1 °C |
Эталонный (образцовый) инфракрасный излучатель | Фирма Numelec, Франция, RCN 300A Размеры излучающей поверхности - 300 x 300 мм Диапазон температур - от температуры окружающей среды до 300 °C Коэффициент теплового излучения рабочей поверхности - 0,99 Температурная неоднородность по всей излучающей поверхности - не более 1 °C |
Осциллограф универсальный | С1-117 Полоса пропускания от 0 до 10 мГц, от 0 до 100 мГц, от 0,1 до 0,5 мВ/дел. Коэффициент отклонения: от 0,1 мВ/дел до 5 В/дел; с внешним делителем 1:10 до 50 В/дел. Пределы основной погрешности коэффициентов отклонения - +/- 4% Входное сопротивление 1 мОм и емкость 35 пФ |
Осциллограф | |
Милливольтметр | В 3-59 Диапазон частот 10 - 100 мГц Диапазон измеряемых напряжений от 0,265 мВ до 300 В Пределы основной погрешности - +/- (0,4 - 2,5)% |
Ампервольтметр | Н 339 по ГОСТ 9999 Класс точности 2,5; на переменном токе |
Термометр для измерения воды в кюветах и температуры окружающей среды | По ГОСТ 52921 |
Рулетка измерительная металлическая | |
Вспомогательные устройства | |
Тест-объект | |
Тест-объект | |
Нейтральные ослабляющие фильтры | |
Экран-фон | |
Примечания. 1. Допускается применение других средств измерений, метрологические характеристики которых не хуже приведенных в таблице Б.1. 2. Используемые нестандартные средства измерений должны быть поверены и аттестованы в установленном порядке. |
(справочное)
ВИДЫ ТЕСТ-ОБЪЕКТОВ
В.1. Виды тест-объектов, применяемых в качестве вспомогательных устройств при измерении основных параметров тепловизоров, приведены на рисунках В.1 -
В.3.
Рисунок В.1. Набор четырехштриховых мир для измерения
минимальной разрешаемой разности температур
Рисунок В.2. Щелевая мира с регулируемой шириной щели
Рисунок В.3. Мира с метками и отверстиями для измерения
величины поля обзора (сетчатое поле)
| | Требования к надежности. Правила и методы контроля показателей надежности |
| | Государственная система обеспечения единства измерений. Результаты и характеристики. Погрешности измерения. Формы представления. Способы использования при испытаниях образцов продукции и контроле их параметров |