Главная // Актуальные документы // ГОСТ (Государственный стандарт)СПРАВКА
Источник публикации
М.: Издательство стандартов, 1987
Примечание к документу
С 1 июля 2003 года до вступления в силу технических регламентов акты федеральных органов исполнительной власти в сфере технического регулирования носят рекомендательный характер и подлежат обязательному исполнению только в части, соответствующей целям, указанным в
пункте 1 статьи 46 Федерального закона от 27.12.2002 N 184-ФЗ.
Документ
введен в действие с 1 июля 1985 года.
Взамен ГОСТ 8032-56.
Название документа
"ГОСТ 8032-84 (СТ СЭВ 3961-83). Государственный стандарт Союза ССР. Предпочтительные числа и ряды предпочтительных чисел"
(введен в действие Постановлением Госстандарта СССР от 09.08.1984 N 2828)
"ГОСТ 8032-84 (СТ СЭВ 3961-83). Государственный стандарт Союза ССР. Предпочтительные числа и ряды предпочтительных чисел"
(введен в действие Постановлением Госстандарта СССР от 09.08.1984 N 2828)
Постановлением Государственного
комитета СССР по стандартам
от 9 августа 1984 г. N 2828
ГОСУДАРСТВЕННЫЙ СТАНДАРТ СОЮЗА ССР
ПРЕДПОЧТИТЕЛЬНЫЕ ЧИСЛА И РЯДЫ ПРЕДПОЧТИТЕЛЬНЫХ ЧИСЕЛ
Preferred numbers and series of preferred numbers
ГОСТ 8032-84
(СТ СЭВ 3961-83)
Взамен
ГОСТ 8032-56
Постановлением Государственного комитета СССР по стандартам от 9 августа 1984 г. N 2828 срок введения установлен
с 1 июля 1985 года
Переиздание. Сентябрь 1986 г.
Настоящий стандарт устанавливает предпочтительные числа и ряды предпочтительных чисел, которые должны применяться при установлении градаций и отдельных значений параметров технических объектов (продукции, условий ее существования, технологических процессов и др.), а также ряды чисел (в том числе содержащих непредпочтительные числа), применяемые в случаях, когда использование рядов предпочтительных чисел невозможно или нецелесообразно (далее - предпочтительные ряды чисел).
Стандарт не распространяется на параметры технических объектов, естественная закономерность изменения значений которых отличается от закономерностей образования рядов, установленных настоящим стандартом.
Настоящий стандарт полностью соответствует СТ СЭВ 3961-83.
1.1. Предпочтительные числа получают на основе геометрической прогрессии, i-й член которой равен
(знаменатель прогрессии

),
где R = 5, 10, 20, 40, 80 и 160, а i принимает целые значения в интервале от 0 до R.
Значение R определяет число членов прогрессии в одном десятичном интервале.
Предпочтительные числа представляют собой округленные значения членов ряда данной прогрессии.
Члены прогрессии, расположенные в интервале от 1,00 до 10,00 составляют исходный ряд.
1.2. Ряды предпочтительных чисел не ограничиваются в обоих направлениях, при этом предпочтительные числа менее 1 и более 10 получают делением или умножением членов исходного ряда на число 10, 100, 1000 и т.д.
1.3. Предпочтительные числа одного ряда могут быть либо только положительными, либо только отрицательными.
1.4. Свойства рядов предпочтительных чисел приведены в справочном
приложении 1.
2. ОСНОВНЫЕ РЯДЫ ПРЕДПОЧТИТЕЛЬНЫХ ЧИСЕЛ
2.1. Обозначения и знаменатели основных рядов предпочтительных чисел устанавливаются по табл. 1, а члены в интервале от 1 до 10 - по
табл. 2.
Таблица 1
Обозначение основного ряда | Знаменатель ряда |
Округленное значение Qо | Точное значение Qт |
R5 | 1,6 | |
R10 | 1,25 | |
R20 | 1,12 | |
R40 | 1,06 | |
R5 | R10 | R20 | R40 | Порядковый номер i-го предпочтительного числа | Мантисса десятичного логарифма | Расчетное значение предпочтительного числа | Относительное отклонение предпочтительных чисел основных рядов от расчетных значений, % |
1,0 | 1,00 | 1,00 | 1,00 | 0 | 000 | 1,0000 | 0,00 |
| | | 1,06 | 1 | 025 | 1,0593 | +0,07 |
| | 1,12 | 1,12 | 2 | 050 | 1,1220 | -0,18 |
| | | 1,18 | 3 | 075 | 1,1885 | -0,71 |
| 1,25 | 1,25 | 1,25 | 4 | 100 | 1,2589 | -0,71 |
| | | 1,32 | 5 | 125 | 1,3335 | -1,01 |
| | 1,40 | 1,40 | 6 | 150 | 1,4125 | -0,88 |
| | | 1,50 | 7 | 175 | 1,4962 | +0,25 |
1,6 | 1,60 | 1,60 | 1,60 | 8 | 200 | 1,5849 | +0,95 |
| | | 1,70 | 9 | 225 | 1,6788 | +1,26 |
| | 1,80 | 1,80 | 10 | 250 | 1,7783 | +1,22 |
| | | 1,90 | 11 | 275 | 1,8836 | +0,87 |
| 2,00 | 2,00 | 2,00 | 12 | 300 | 1,9953 | +0,24 |
| | | 2,12 | 13 | 325 | 2,1135 | +0,31 |
| | 2,24 | 2,24 | 14 | 350 | 2,2387 | +0,06 |
| | | 2,36 | 15 | 375 | 2,3714 | -0,48 |
2,5 | 2,50 | 2,50 | 2,50 | 16 | 400 | 2,5119 | -0,47 |
| | | 2,65 | 17 | 425 | 2,6607 | -0,40 |
| | 2,80 | 2,80 | 18 | 450 | 2,8184 | -0,65 |
| | | 3,00 | 19 | 475 | 2,9854 | +0,49 |
| 3,15 | 3,15 | 3,15 | 20 | 500 | 3,1623 | -0,39 |
| | | 3,35 | 21 | 525 | 3,3497 | +0,01 |
| | 3,55 | 3,55 | 22 | 550 | 3,5481 | +0,05 |
| | | 3,75 | 23 | 575 | 3,7584 | -0,22 |
4,0 | 4,00 | 4,00 | 4,00 | 24 | 600 | 3,9811 | +0,47 |
| | | 4,25 | 25 | 625 | 4,2170 | +0,78 |
| | 4,50 | 4,50 | 26 | 650 | 4,4668 | +0,74 |
| | | 4,75 | 27 | 675 | 4,7315 | +0,39 |
| 5,00 | 5,00 | 5,00 | 28 | 700 | 5,0119 | -0,24 |
| | | 5,30 | 29 | 725 | 5,3088 | -0,17 |
| | 5,60 | 5,60 | 30 | 750 | 5,6234 | -0,42 |
| | | 6,00 | 31 | 775 | 5,9566 | +0,73 |
6,3 | 6,30 | 6,30 | 6,30 | 32 | 800 | 6,3096 | -0,15 |
| | | 6,70 | 33 | 825 | 6,6834 | +0,25 |
| | 7,10 | 7,10 | 34 | 850 | 7,0795 | +0,29 |
| | | 7,50 | 35 | 875 | 7,4989 | +0,01 |
| 8,00 | 8,00 | 8,00 | 36 | 900 | 7,9433 | +0,71 |
| | | 8,50 | 37 | 925 | 8,4140 | +1,02 |
| | 9,00 | 9,00 | 38 | 950 | 8,9125 | +0,98 |
| | | 9,50 | 39 | 975 | 8,4406 | +0,63 |
10,0 | 10,00 | 10,00 | 10,00 | 40 | 000 | 10,0000 | 0,00 |
2.2. При необходимости ограничения основных рядов в их обозначениях указываются предельные члены, которые всегда включаются в ограниченные ряды. Например:
R10 (1,25 ...) - ряд R10, ограниченный членом 1,25 (включительно) в качестве нижнего предела;
R20 (... 45) - ряд R20, ограниченный членом 45 (включительно) в качестве верхнего предела;
R40 (75 ... 300) - ряд R40, ограниченный членами 75 и 300 и включающий оба члена.
3. ДОПОЛНИТЕЛЬНЫЕ РЯДЫ ПРЕДПОЧТИТЕЛЬНЫХ ЧИСЕЛ
3.1. Обозначения и знаменатели дополнительных рядов предпочтительных чисел устанавливаются по табл. 3, а члены в интервале от 1 до 10 - по
табл. 4.
Таблица 3
Обозначение дополнительного ряда | Знаменатель ряда |
Округленное значение Qо | Точное значение Qт |
R80 | 1,03 | |
R160 | 1,015 | |
R80 | R160 | R80 | R160 | R80 | R160 |
1,00 | 1,000 | 1,36 | 1,360 | 1,90 | 1,900 |
| 1,015 | | 1,380 | | 1,925 |
1,03 | 1,030 | 1,40 | 1,400 | 1,95 | 1,950 |
| 1,045 | | 1,425 | | 1,975 |
1,06 | 1,060 | 1,45 | 1,450 | 2,00 | 2,000 |
| 1,075 | | 1,475 | | 2,030 |
1,09 | 1,090 | 1,50 | 1,500 | 2,06 | 2,060 |
| 1,105 | | 1,525 | | 2,090 |
1,12 | 1,120 | 1,55 | 1,550 | 2,12 | 2,120 |
| 1,135 | | 1,575 | | 2,150 |
1,15 | 1,150 | 1,60 | 1,600 | 2,18 | 2,180 |
| 1,165 | | 1,625 | | 2,210 |
1,18 | 1,180 | 1,65 | 1,650 | 2,24 | 2,240 |
| 1,190 | | 1,675 | | 2,270 |
1,22 | 1,220 | 1,70 | 1,700 | 2,30 | 2,300 |
| 1,230 | | 1,725 | | 2,330 |
1,25 | 1,250 | 1,75 | 1,750 | 2,36 | 2,360 |
| 1,265 | | 1,775 | | 2,395 |
1,28 | 1,280 | 1,80 | 1,800 | 2,43 | 2,430 |
| 1,300 | | 1,825 | | 2,465 |
1,32 | 1,320 | 1,85 | 1,850 | 2,50 | 2,500 |
| 1,340 | | 1,825 | | 2,540 |
Продолжение табл. 4
R80 | R160 | R80 | R160 | R80 | R160 |
2,58 | 2,580 | 4,12 | 4,120 | 6,50 | 6,500 |
| 2,615 | | 4,185 | | 6,600 |
2,65 | 2,650 | 4,25 | 4,250 | 6,70 | 6,700 |
| 2,685 | | 4,315 | | 6,800 |
2,72 | 2,720 | 4,37 | 4,370 | 6,90 | 6,900 |
| 2,760 | | 4,440 | | 7,000 |
2,80 | 2,800 | 4,50 | 4,500 | 7,10 | 7,100 |
| 2,850 | | 4,560 | | 7,200 |
2,90 | 2,900 | 4,62 | 4,620 | 7,30 | 7,300 |
| 2,950 | | 4,685 | | 7,400 |
3,00 | 3,000 | 4,75 | 4,750 | 7,50 | 7,500 |
| 3,035 | | 4,815 | | 7,625 |
3,07 | 3,070 | 4,87 | 4,870 | 7,75 | 7,750 |
| 3,110 | | 4,930 | | 7,875 |
3,15 | 3,150 | 5,00 | 5,000 | 8,00 | 8,000 |
| 3,200 | | 5,075 | | 8,125 |
3,35 | 3,250 | 5,15 | 5,150 | 8,25 | 8,250 |
| 3,300 | | 5,225 | | 8,375 |
3,35 | 3,350 | 5,30 | 5,300 | 8,50 | 8,500 |
| 3,400 | | 5,375 | | 8,625 |
3,45 | 3,450 | 5,45 | 5,450 | 8,75 | 8,750 |
| 3,500 | | 5,525 | | 8,875 |
3,55 | 3,550 | 5,60 | 5,600 | 9,00 | 9,000 |
| 3,600 | | 5,700 | | 9,125 |
3,65 | 3,650 | 5,80 | 5,800 | 9,25 | 9,250 |
| 3,700 | | 5,900 | | 9,375 |
3,75 | 3,750 | 6,00 | 6,000 | 9,50 | 9,500 |
| 3,810 | | 6,075 | | 9,625 |
3,87 | 3,870 | 6,15 | 6,150 | 9,75 | 9,750 |
| 3,935 | | 6,225 | | 9,875 |
4,00 | 4,000 | 6,30 | 6,300 | 10,00 | 10,000 |
| 4,060 | | 6,400 | | |
3.2. Обозначения ограниченных дополнительных рядов аналогичны обозначению ограниченных основных рядов (см.
п. 2.2).
4. ВЫБОРОЧНЫЕ РЯДЫ ПРЕДПОЧТИТЕЛЬНЫХ ЧИСЕЛ
4.1. Выборочные ряды предпочтительных чисел получают отбором каждого 2, 3, 4 ...
n-го члена основного или дополнительного ряда, начиная с любого числа ряда.
4.2. Обозначение выборочного ряда состоит из обозначения исходного основного ряда, после которого ставится косая черта и число 2, 3, 4 ...
n соответственно. Если ряд ограничен, обозначение должно содержать члены, ограничивающие ряд; если ряд не ограничен, должен быть указан хотя бы один его член, например:
R5/2 (1 ... 1000000) - выборочный ряд, составленный из каждого второго члена основного ряда R5, ограниченный членами 1 и 1000000;
R10/3 (... 80 ...) - выборочный ряд, составленный из каждого третьего члена основного ряда R10, включающий член 80 и не ограниченный в обоих направлениях;
R20/4 (112 ...) - выборочный ряд, составленный из каждого четвертого члена основного ряда R20 и ограниченный по нижнему пределу членом 112;
R40/5 (... 60) - выборочный ряд, составленный из каждого пятого члена основного ряда R40 и ограниченный по верхнему пределу членом 60.
4.3. Выборочные ряды предпочтительных чисел должны применяться, когда уменьшение числа градаций создает дополнительный эффект по сравнению с использованием полных рядов. При этом предпочтение следует отдавать рядам, приведенным в справочном
приложении 2.
4.4. Из выборочных рядов с одинаковым знаменателем предпочтение следует отдавать ряду, содержащему единицу или число, единственной значащей цифрой которого является единица (например, 0,01; 0,1; 10, 100 и т.д.).
5. СОСТАВНЫЕ РЯДЫ ПРЕДПОЧТИТЕЛЬНЫХ ЧИСЕЛ
5.1. Составные ряды предпочтительных чисел получают путем сочетания различных основных и (или) выборочных рядов.
Составной ряд в различных интервалах имеет неодинаковые знаменатели.
5.2. Количество основных и выборочных рядов, используемых при получении составного ряда, должно быть минимальным.
5.3. Конечные и начальные члены смежных рядов, образующих составной ряд, должны быть одинаковыми, например:
R20 (1 ... 2) R10 (2 ... 10) R5/2 (10 ... 1000)
5.4. Составные ряды предпочтительных чисел должны применяться, если требуемая плотность значений параметра в рассматриваемом интервале неодинакова.
6. ПРИБЛИЖЕННЫЕ ПРЕДПОЧТИТЕЛЬНЫЕ ЧИСЛА
6.1. В обоснованных случаях вместо основных рядов предпочтительных чисел R и отдельных чисел этих рядов допускается применять ряды приближенных предпочтительных чисел, а также отдельные приближенные предпочтительные числа R' и R", приведенные в табл. 5.
6.2. В альтернативных ситуациях следует отдавать предпочтение числам из рядов R перед числами R', а числам R' перед числами R".
6.3. Включение приближенных предпочтительных чисел в дополнительные ряды не допускается.
Значения членов рядов | Относительное отклонение приближенных предпочтительных чисел от расчетных значений, в % |
R5 | R"5 | R10 | R'10 | R"10 | R20 | R'20 | R"20 | R40 | R'40 |
1,0 | | 1,00 | | | 1,00 | | | 1,00 | | |
| | | | | | | | 1,06 | 1,05 | -0,88 |
| | | | | 1,12 | 1,10 | | 1,12 | 1,10 | -1,96 |
| | | | | | | | 1,18 | 1,20 | +0,97 |
| | 1,25 | | 1,20 | 1,25 | | 1,20 | 1,25 | | -4,68 |
| | | | | | | | 1,32 | 1,30 | -2,51 |
| | | | | 1,40 | | | 1,40 | | |
| | | | | | | | 1,50 | | |
1,6 | 1,5 | 1,6 | | 1,50 | 1,60 | | | 1,60 | | -5,36 |
| | | | | | | | 1,70 | | |
| | | | | 1,80 | | | 1,80 | | |
| | | | | | | | 1,90 | | |
| | 2,00 | | | 2,00 | | | 2,00 | | |
| | | | | | | | 2,12 | 2,10 | -0,64 |
| | | | | 2,24 | 2,20 | | 2,24 | 2,20 | -1,73 |
| | | | | | | | 2,36 | 2,40 | +1,21 |
2,5 | | 2,50 | | | 2,50 | | | 2,50 | | |
| | | | | | | | 2,65 | 2,60 | -2,28 |
| | | | | 2,80 | | | 2,80 | | |
| | | | | | | | 3,00 | | |
| | 3,15 | 3,20 | 3,00 | 3,15 | 3,20 | 3,00 | 3,15 | 3,20 | |
| | | | | | | | 3,35 | 3,40 | +1,50 |
| | | | | 3,55 | 3,60 | 3,50 | 3,55 | 3,60 | |
| | | | | | | | 3,75 | 3,80 | +1,11 |
4,0 | | 4,00 | | | 4,00 | | | 4,00 | | |
| | | | | | | | 4,25 | 4,20 | -0,40 |
| | | | | 4,50 | | | 4,50 | | |
| | | | | | | | 4,75 | 4,80 | +1,45 |
| | 5,00 | | | 5,00 | | | 5,00 | | |
| | | | | | | | 5,30 | | |
| | | | | 5,60 | | 5,50 | 5,60 | | -2,19 |
| | | | | | | | 6,00 | | |
6,30 | 6,00 | 6,30 | | 6,00 | 6,30 | | 6,00 | 6,30 | | -4,90 |
| | | | | | | | 6,70 | | |
| | | | | 7,10 | | 7,00 | 7,10 | | -1,11 |
| | | | | | | | 7,50 | | |
| | 8,00 | | | 8,00 | | | 8,00 | | |
| | | | | | | | 8,50 | | |
| | | | | 9,00 | | | 9,00 | | |
| | | | | | | | 9,50 | | |
10,0 | | 10,0 | | | 10,0 | | | 10,0 | | |
--------------------------------
<*> В числителе приведено значение разности в %, определяющей отклонение приближенных чисел ряда R' от их расчетных значений, в знаменателе - отклонение чисел ряда R".
Примечания:
1. Для рядов R' и R" указаны только те предпочтительные числа, которые отличаются от чисел соответствующего основного ряда R. Следовательно, в интервале от 1 до 10, например, ряд R"5 состоит из следующих предпочтительных чисел: 1,0; 1,5; 2,5; 4,0; 6,0; 10,0. Ряд R'10 идентичен ряду R10, за исключением члена 3,15, который заменен членом 3,20.
2. Когда нет необходимости в строгом геометрическом ряде и в то же время нужно использовать простые значения для построения ряда, допускается брать числа 1,15 вместо 1,18; 1,20 вместо 1,25, чтобы в интервале получить ряд: 1; 1,05; 1,10; 1,15; 1,20; 1,30.
7. ПРОИЗВОДНЫЕ ПРЕДПОЧТИТЕЛЬНЫЕ РЯДЫ ЧИСЕЛ
7.1. Производные предпочтительные ряды чисел устанавливаются для случаев, в которых из-за естественных закономерностей не могут быть применены геометрические ряды, регламентированные
разделами 1,
2,
3,
4,
5 и
6 настоящего стандарта. Производные ряды получают путем простейшего преобразования основных и дополнительных рядов предпочтительных чисел, и соответственно, производные ряды также делятся на основные и дополнительные.
7.2. Убывающие ряды положительных предпочтительных чисел получают на основе убывающей геометрической прогрессии, i-й член которой равен
Эти ряды чисел применяются для установления значений параметров, асимптотически приближающихся к нулю, например, загрязнения вещества.
7.2.1. Убывающие ряды положительных предпочтительных чисел содержат числа, приведенные в
табл. 2,
4 и
5.
7.2.2. Обозначение убывающего ряда положительных предпочтительных чисел получают добавлением к обозначению каждого основного или дополнительного ряда предпочтительных чисел знака

, например:

,

(... 1,25),

(45 ...),

(300 ... 75).
7.2.3. Для убывающих рядов положительных предпочтительных чисел сохраняются положения
пп. 1.2,
1.3,
4.1 и
раздела 5 настоящего стандарта.
7.3. Комплементарные предпочтительные ряды чисел получают на основе убывающей геометрической прогрессии. Выражение для i-го члена комплементарного ряда имеет вид:
где m - целое число или нуль.
Для образования комплементарных рядов следует брать предпочтительные числа, приведенные в
табл. 2,
4,
5 и вычитать их из 10
m.
Комплементарные предпочтительные ряды чисел следует использовать для установления значений параметров, асимптотически стремящихся к 10m, например, чистоты вещества, КПД, вероятности безотказной работы.
7.3.1. Члены комплементарного ряда за некоторым исключением не есть предпочтительные числа.
7.3.2. Обозначение комплементарного ряда получают добавлением к обозначению исходного основного или дополнительного ряда предпочтительных чисел знака "-", например,

,

(0,875 ...),

(... 0,99955),

(0,700 ... 0,925).
7.3.3. Для комплементарных предпочтительных рядов чисел сохраняются положения
п. 4.1 и
раздела 5.
7.4. Арифметические предпочтительные ряды чисел получают на основе прогрессии,
i-й член которой определяется выражением
при условиях, что
a0 кратно 10
m/R и

,
где m - целое число или нуль.
Арифметический ряд предпочтительных чисел представляет собой арифметическую прогрессию с разностью D = 10m/R, причем и сама разность, и члены ряда имеют точные значения.
Примечание. Условие, что a0 должно быть кратно 10m/R можно сформулировать так: при отсутствии ограничений арифметический предпочтительный ряд чисел должен содержать в качестве одного члена нуль.
7.4.1. Арифметические предпочтительные ряды чисел должны применяться при установлении значений параметров:
сумма или разность которых должна принадлежать тому же ряду (например, при блочном проектировании и модульной координации размеров);
лежащих в ограниченных пределах, в которых целесообразна линеаризация (например, интервалы температур окружающего воздуха, определяющие нормы, размеры обуви и одежды);
когда равномерная градация обусловлена удобством использования (например, значения аргументов в таблицах, градуирование шкал приборов);
когда нужны точные целые значения (например, эталонные значения параметров);
выраженных в значениях логарифмов или в децибелах (например, нормы на уровень шума).
7.4.2. Точные значения членов арифметических рядов в интервале 0 - 1000 представляют собой мантиссы десятичного логарифма исходных (точных) значений предпочтительных чисел.
7.4.3. Арифметические предпочтительные ряды чисел ограничены в обоих направлениях условиями
п. 7.4.
7.4.4. Предпочтительные арифметические ряды могут быть положительными и отрицательными или могут переходить через нуль.
7.4.5. При сложении или вычитании числа предпочтительного арифметического ряда дают число того же ряда, если оно не выходит за его пределы.
7.4.6. Обозначения и разности основных и дополнительных арифметических предпочтительных рядов чисел устанавливаются по табл. 6.
Таблица 6
Обозначение | Значащие цифры разности (точные значения) |
исходного геометрического ряда | производного арифметического ряда |
Основные ряды | |
R5 | A20 | 2 |
R10 | A10 | 1 |
R20 | A5 | 5 |
R40 | A2,5 | 25 |
Дополнительные ряды | |
R80 | A1,25 | 125 |
R160 | A0,625 | 625 |
Примечание. Точные значения членов основных арифметических рядов в интервале от 0 до 1000 приведены в
табл. 2 в графе "Мантисса десятичного логарифма".
7.4.7. В обозначениях арифметических предпочтительных рядов чисел должны указываться их разность и числа, ограничивающие ряд, например:
A2 (-10 ... +10)
A0,5 (0 ... 40)
A1250 (5·103 ... 2·104).
7.4.8. Для арифметических предпочтительных рядов чисел сохраняются положения
п. 4.1 и
раздела 4 настоящего стандарта.
Примечание. Обозначение выборочных арифметических рядов образуется аналогично обозначениям выборочных рядов предпочтительных чисел по
п. 4.2.
8. СПЕЦИАЛЬНЫЕ РЯДЫ ЧИСЕЛ
8.1. В случаях, когда ряды чисел, перечисленные в
разделах 1 -
7 не могут быть применены из-за естественной закономерности изменения значений параметра, используют специальные ряды чисел, правила построения которых приведены в справочном
приложении 3.
9. ОБЩИЕ ПРАВИЛА ПРИМЕНЕНИЯ ПРЕДПОЧТИТЕЛЬНЫХ ЧИСЕЛ
И ПРЕДПОЧТИТЕЛЬНЫХ РЯДОВ ЧИСЕЛ
9.1. Предпочтительные числа и их ряды должны использоваться:
при установлении стандартных значений и рядов стандартных значений величин;
при нормировании значений исходных параметров продукции, условий ее существования и процессов, а также разрешенных и допускаемых их отклонений;
при нормировании значений параметров продукции, связанных логарифмируемой зависимостью с исходными параметрами, значения которых нормируются посредством предпочтительных чисел;
при приведении значений параметров предметов и процессов (в т.ч. природных констант), если использование предпочтительных чисел не влечет выхода за пределы допускаемого отклонения.
9.2. Производные и специальные ряды чисел допускается применять только в случае, если применение рядов предпочтительных чисел невозможно или нецелесообразно.
9.3. В случае альтернативных вариантов предпочтение следует отдавать ряду, имеющему меньшее число градаций, а также основному ряду перед выборочным и составным.
9.4. Применение дополнительных рядов предпочтительных чисел и предпочтительных рядов чисел допускается только в том случае, если ряд R40 или созданный на его основе производный ряд чисел не обеспечивает требуемого числа градаций. Применение дополнительного ряда должно сопровождаться подробным обоснованием.
9.5. Не допускается образовывать составные ряды путем соединения предпочтительных рядов различных видов, например, геометрического и арифметического, комплементарного и геометрического и т.д.
Справочное
СВОЙСТВА РЯДОВ ПРЕДПОЧТИТЕЛЬНЫХ ЧИСЕЛ
1. Произведение или частное двух предпочтительных чисел, а также положительные или отрицательные степени чисел ряда дают предпочтительное число этого же ряда с относительной ошибкой в пределах от -1,01 до +1,26%.
2. Куб любого числа ряда R10 в два раза больше куба предыдущего числа, а квадрат - в 1,6 раза больше квадрата предыдущего числа (с относительной ошибкой до 0,1%).
3. Члены ряда R10 удваиваются через каждые три числа, ряда R20 - через шесть, ряда R40 - через 12 членов и т.д.
4. В рядах, начиная с R10 находится число 3,15, приблизительно равное

, т.е. длины окружности и площади круга примерно равны предпочтительным числам, если диаметр - предпочтительное число.
5. Ряд R40 включает предпочтительные числа 3000, 1500, 750 и 375, представляющие собой синхронные частоты вращения валов электродвигателей в оборотах в минуту.
6. Основные и дополнительные ряды предпочтительных чисел содержат все целые степени десяти.
Рекомендуемое
ПРЕДПОЧТИТЕЛЬНЫЕ ВЫБОРОЧНЫЕ РЯДЫ ПРЕДПОЧТИТЕЛЬНЫХ ЧИСЕЛ
Выборочные ряды | Округленное значение знаменателя ряда Qо | Относительная разность между соседними членами ряда, % | Основные ряды, имеющие тот же знаменатель |
R5/3 | 4 | 300 | |
R5/2 | 2,5 | 150 | |
R10/3 | 2 | 100 | |
R10/2 | 1,6 | 60 | R5 |
R40/8 | 1,6 | 60 | R5 |
R20/3 | 1,4 | 40 | |
R20/2 | 1,25 | 25 | R10 |
R40/4 | 1,25 | 25 | R10 |
R40/3 | 1,18 | 18 | |
R40/2 | 1,12 | 12 | R20 |
R80/3 | 1,09 | 9 | |
- | 1,06 | 6 | R40 |
Примечание: Использование выборочных рядов, знаменатель которых равен знаменателю основного ряда, допускается только для установления значений зависимых параметров.
Справочное
СПЕЦИАЛЬНЫЕ РЯДЫ ЧИСЕЛ И ЗНАЧЕНИЙ ВЕЛИЧИНЫ (ПАРАМЕТРА)
1. Двоичный ряд чисел
i-й член ряда находится из выражения
fi = 2i.
Применяется в вычислительной технике.
2. Форматные ряды стандартных значений линейного размера стороны листа
Данный ряд линейного размера образуется из условия, что стороны формата листа связаны соотношением a/b = 2b/a, т.е. меньший формат получается путем разрезания большего формата при сохранении соотношения сторон.
Отсюда выражение для i-го члена ряда, определяющего размеры сторон листов различного формата имеет вид:
значение a выбирается из двух условий:
площадь исходного листа равна 1 м2;
ряд должен содержать линейный размер 1 м.
В первом случае

.
Во втором случае a = 1 м.
Отсюда форматный ряд линейного размера в мм будет в первом случае: Fs ... 1189, 841, 594, 420, 297, 210, 148, 105, 74, 52, 37, 26, 18, 13, 9 ...
Во втором случае: Fe ... 1414, 1000, 707, 500, 353, 250, 170, 125, 88, 62, 44, 31, 22, 15, 11 ...
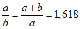
3. Ряды линейных размеров, полученные на основе "золотого сечения".
Значения линейных размеров прямоугольника с соотношением сторон на основе "золотого сечения" выбираются из соотношения:

или

.
Прямоугольник с таким соотношением сторон может быть составлен из квадратов или прямоугольников с таким же соотношением сторон.
Прямоугольники "золотого сечения" позволяют разместить наибольший объем информации, они обладают максимальной эстетической ценностью и могут быть рекомендованы, например, для книг, картин, плакатов, линейных размеров различного рода экранов, панно, витрин, фасадов строительных сооружений и т.д.
Выражение для i-го члена ряда, определяющего размеры сторон прямоугольников, полученных из исходного на основе "золотого сечения", имеет вид:
Значение a выбирается из двух условий:
площадь исходного прямоугольника равна 1 м2, или ряд должен содержать линейный размер 1 м.
В первом случае a = 1,272, и ряд линейного размера в мм имеет вид:
Gs ... 2058, 1272, 785, 485, 300, 185, 115, 70, 44, 27, 17, 10 ...
Во втором случае ряд в мм имеет вид:
Ge ... 2618, 1618, 1000, 618, 382, 236, 146, 90, 56, 34, 21, 13 ...
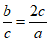
4. Ряд значений модульного линейного размера
Данный ряд линейного размера образуется из условия, что параллелепипед при делении большего размера пополам должен образовать два подобных ему параллелепипеда, линейные размеры которых соответствуют предпочтительным значениям, точно стыкуются друг с другом. Для обеспечения названного требования значения линейных размеров сторон модуля должны быть связаны соотношением:

;

.
Отсюда выражения для i-го члена ряда значений линейного размера имеет вид:
Из условия, что исходный объем параллелепипеда равен 1 м3, определяется следующий ряд значений линейных размеров модуля в мм (a = 1,260):
Mк: ... 1260, 1000, 794, 630, 500, 397, 315, 250, 198 ...
Данный ряд может быть использован при блочно-модульном конструировании.
5. Стандартный упаковочно-модульный ряд линейного размера
Стандартный упаковочно-модульный ряд линейного размера представляет собой модификацию предпочтительного модульного ряда линейного размера.
Данный ряд для внутренних линейных размеров упаковки вместо соотношения

использует соотношение

.
Использование стандартного упаковочно-модульного ряда линейных размеров обеспечивает следующее:
два тела, сложенные малыми сторонами, точно заполняют внутреннее пространство третьего, большего тела при укладке их вдоль меньшего размера этого тела;
средний и больший наружный линейные размеры тела образуются путем добавления единичной толщины стенки к внутреннему линейному размеру. Для внутренних линейных размеров ряд стандартных значений имеет вид:
Mу: 1000, 775, 600, 494, 359, 279, 215, 187, 129, 100.
6. Арифметические ряды времени и углового размера
В тех случаях, когда для измерения времени используются секунды и минуты или минуты и часы, а для измерения угловых размеров - угловые градусы, минуты и секунды, могут использоваться предпочтительные специальные арифметические ряды, образованные по
п. 7.4 настоящего стандарта и имеющие разности 3 и 1,5.
7. Стандартные ряды номинальной емкости электрических конденсаторов и номинального сопротивления резисторов
Данные ряды представляют собой геометрические ряды чисел со знаменателями, приведенными в таблице.
Обозначение ряда | Знаменатель ряда |
E6 | |
E12 | |
E24 | |
E48 | |
E96 | |
Тождественны следующие выборочные ряды:
8. Двоично-десятичный ряд чисел
Данный ряд представляет собой последовательность чисел
... 10
i, 2·10
i,

, 10
i+1 ...
т.е. ряд DD: ... 1, 2, 5, 10 ...
Ряд может быть рекомендован для норм, каждая из которых имеет самостоятельное применение, например, масштабов выполнения карт, чертежей, цены деления средств измерений.