Главная // Актуальные документы // ГОСТ Р (Государственный стандарт)СПРАВКА
Источник публикации
М.: Стандартинформ, 2018
Примечание к документу
Отдельные положения данного документа включены в
Перечень документов в области стандартизации, в результате применения которых на добровольной основе обеспечивается соблюдение требований Федерального
закона от 30.12.2009 N 384-ФЗ "Технический регламент о безопасности зданий и сооружений" (
Приказ Росстандарта от 02.04.2020 N 687).
Документ
введен в действие с 1 января 2019 года.
Название документа
"ГОСТ Р 58148-2018. Национальный стандарт Российской Федерации. Разработка алмазорудных месторождений открытым способом в криолитозоне. Требования к проектированию"
(утв. и введен в действие Приказом Росстандарта от 05.06.2018 N 309-ст)
"ГОСТ Р 58148-2018. Национальный стандарт Российской Федерации. Разработка алмазорудных месторождений открытым способом в криолитозоне. Требования к проектированию"
(утв. и введен в действие Приказом Росстандарта от 05.06.2018 N 309-ст)
Утвержден и введен в действие
агентства по техническому
регулированию и метрологии
от 5 июня 2018 г. N 309-ст
НАЦИОНАЛЬНЫЙ СТАНДАРТ РОССИЙСКОЙ ФЕДЕРАЦИИ
РАЗРАБОТКА АЛМАЗОРУДНЫХ МЕСТОРОЖДЕНИЙ
ОТКРЫТЫМ СПОСОБОМ В КРИОЛИТОЗОНЕ
ТРЕБОВАНИЯ К ПРОЕКТИРОВАНИЮ
Opencast diamond development in cryolithozone.
Design requirements
ГОСТ Р 58148-2018
Дата введения
1 января 2019 года
1 РАЗРАБОТАН Институтом "Якутнипроалмаз" АК "АЛРОСА" (ПАО), ОАО "Научно-исследовательский институт горной геомеханики и маркшейдерского дела - Межотраслевой научный центр ВНИМИ", ЗАО "Геоэксперт", Институтом горного дела УрО РАН, Институтом горного дела Севера СО РАН, ООО "Союз маркшейдеров России", АНО "Институт безопасности труда", ФГБОУ ВО "Уральский государственный горный университет", ООО НТЦ "НОВОТЭК", НИИ прикладной экологии Севера СВФУ им. М.К. Аммосова, НИТУ "МИСиС", ФГБУ ВНИИ ГОЧС (ФЦ), ООО "Научно-производственное предприятие "Уралкомплекс", АООН "НАЭН"
2 ВНЕСЕН Техническим комитетом по стандартизации ТК 431 "Геологическое изучение, использование и охрана недр"
3 УТВЕРЖДЕН И ВВЕДЕН В ДЕЙСТВИЕ
Приказом Федерального агентства по техническому регулированию и метрологии от 5 июня 2018 г. N 309-ст
4 В настоящем стандарте реализованы нормы
Закона Российской Федерации "О недрах", Федерального
закона "Технический регламент о безопасности зданий и сооружений", а также требования федеральных норм и правил в области промышленной безопасности "
Правила безопасности при ведении горных работ и переработке твердых полезных ископаемых" и "
Правила безопасности при взрывных работах"
5 ВВЕДЕН ВПЕРВЫЕ
Правила применения настоящего стандарта установлены в
статье 26 Федерального закона от 29 июня 2015 г. N 162-ФЗ "О стандартизации в Российской Федерации". Информация об изменениях к настоящему стандарту публикуется в ежегодном (по состоянию на 1 января текущего года) информационном указателе "Национальные стандарты", а официальный текст изменений и поправок - в ежемесячном информационном указателе "Национальные стандарты". В случае пересмотра (замены) или отмены настоящего стандарта соответствующее уведомление будет опубликовано в ближайшем выпуске ежемесячного информационного указателя "Национальные стандарты". Соответствующая информация, уведомление и тексты размещаются также в информационной системе общего пользования - на официальном сайте Федерального агентства по техническому регулированию и метрологии в сети Интернет (www.gost.ru)
Настоящий стандарт распространяется на коренные месторождения алмазов и пространственно связанные с ними россыпи, залегающие в криолитозоне и подлежащие разработке открытым способом, а также на отдельные объекты разработки в пределах одного месторождения, и устанавливает требования к проектной документации и техническим проектам на строительство, реконструкцию, расширение или техническое перевооружение алмазодобывающих предприятий с открытым способом разработки, а также предпроектным материалам.
Настоящий стандарт применяется государственными органами, осуществляющими:
- управление государственным фондом недр Российской Федерации;
- государственную экспертизу и учет запасов полезных ископаемых;
- государственный геологический контроль и надзор за геологическим изучением, использованием и охраной недр;
- государственную экспертизу проектной документации объектов капитального строительства;
- государственный надзор за безопасным ведением работ, связанных с пользованием недрами;
- согласование технических проектов разработки месторождений полезных ископаемых и иной проектной документации на выполнение работ, связанных с пользованием участками недр, по видам полезных ископаемых и видам пользования недрами.
Настоящим стандартом руководствуются:
- пользователи недр;
- предприятия, ведущие геологическое изучение, разведку и добычу алмазорудного сырья;
- инновационные организации и предприятия, создающие новые методы, технику и технологии разработки месторождений твердых полезных ископаемых открытым способом;
- проектные организации, разрабатывающие проектно-технологическую документацию для геологического изучения и разработки алмазорудных месторождений.
В настоящем стандарте использованы ссылки на следующие документы:
ГОСТ 7.32 Система стандартов по информации, библиотечному и издательскому делу. Отчет о научно-исследовательской работе. Структура и правила оформления
ГОСТ 12.1.005 Система стандартов безопасности труда. Общие санитарно-гигиенические требования к воздуху рабочей зоны
ГОСТ 14.322 Нормирование расхода материалов. Основные положения
ГОСТ 17.2.3.02 Правила установления допустимых выбросов загрязняющих веществ промышленными предприятиями
ГОСТ 17.4.3.02 Охрана природы. Почвы. Требования к охране плодородного слоя почвы при производстве земляных работ
ГОСТ 17.5.1.03-86 Охрана природы. Земли. Классификация вскрышных и вмещающих пород для биологической рекультивации земель
ГОСТ 17.5.3.06-85 Охрана природы. Земли. Требования к определению норм снятия плодородного слоя почвы при производстве земляных работ
ГОСТ 21.302 Система проектной документации для строительства. Условные графические обозначения в документации по инженерно-геологическим изысканиям
ГОСТ 5180 Грунты. Методы лабораторного определения физических характеристик
ГОСТ 12071 Грунты. Отбор, упаковка, транспортирование и хранение образцов
ГОСТ 12248 Грунты. Метод лабораторного определения прочности и деформируемости мерзлых грунтов
ГОСТ 32144 Электрическая энергия. Совместимость технических средств электромагнитная. Нормы качества электрической энергии в системах электроснабжения общего назначения
ГОСТ 20276 Грунты. Методы полевого определения характеристик прочности и деформируемости
ГОСТ 21153.0 Породы горные. Отбор проб и общие требования к методам физических испытаний
ГОСТ 24847 Грунты. Методы определения глубины сезонного промерзания
ГОСТ 25358 Грунты. Методы полевого определения температуры
ГОСТ 26262 Грунты. Методы полевого определения глубины сезонного оттаивания
ГОСТ 26263 Грунты. Метод лабораторного определения теплопроводности мерзлых грунтов
ГОСТ 28622 Грунты. Метод лабораторного определения степени пучинистости
ГОСТ 30356 Энергосбережение. Методы определения норм расходования электроэнергии горными предприятиями
ГОСТ Р 21.1101 Система проектной документации для строительства. Основные требования к проектной и рабочей документации
ГОСТ Р 22.3.03 Безопасность в чрезвычайных ситуациях. Защита населения. Основные положения
ГОСТ Р 41.48-2004 (Правила ЕЭК ООН N 48) Единообразные предписания, касающиеся сертификации транспортных средств в отношении установки устройств освещения и световой сигнализации
ГОСТ Р 51519.1 Алмазы природные необработанные. Классификация. Основные признаки
ГОСТ Р 51519.2 Алмазы природные необработанные. Сортировка алмазов. Основные положения
ГОСТ Р 52289 Технические средства организации дорожного движения. Правила применения дорожных знаков, разметки, светофоров, дорожных ограждений и направляющих устройств
ГОСТ Р 53582 Грунты. Метод определения сопротивления сдвигу оттаивающих грунтов
ГОСТ Р 53795 Изучение недр геологическое. Термины и определения
ГОСТ Р 55201-2012 Безопасность в чрезвычайных ситуациях. Порядок разработки перечня мероприятий по гражданской обороне, мероприятий по предупреждению чрезвычайных ситуаций природного и техногенного характера при проектировании объектов капитального строительства
СП 1.13130.2009 Системы противопожарной защиты. Эвакуационные пути и выходы
СП 2.13130.2012 Системы противопожарной защиты. Обеспечение огнестойкости объектов защиты
СП 3.13130.2009 Системы противопожарной защиты. Система оповещения и управления эвакуацией людей при пожаре. Требования пожарной безопасности
СП 4.13130.2013 Системы противопожарной защиты. Ограничение распространения пожара на объектах защиты. Требования к объемно-планировочным и конструктивным решениям
СП 5.13130.2009 Системы противопожарной защиты. Установки пожарной сигнализации и пожаротушения автоматические. Нормы и правила проектирования
СП 6.13130.2013 Системы противопожарной защиты. Электрооборудование. Требования пожарной безопасности
СП 7.13130.2013 Отопление, вентиляция и кондиционирование. Противопожарные требования
СП 8.13130.2009 Системы противопожарной защиты. Источники наружного противопожарного водоснабжения. Требования пожарной безопасности
СП 10.13130.2009 Системы противопожарной защиты. Внутренний противопожарный водопровод. Требования пожарной безопасности
СП 11.13130.2009 Места дислокации подразделений пожарной охраны. Порядок и методика определения
| | ИС МЕГАНОРМ: примечание. В официальном тексте документа, видимо, допущена опечатка: СП 12.13130.2009 имеет название "Определение категорий, помещений, зданий и наружных установок по взрывопожарной и пожарной опасности". | |
СП 12.13130.2009 Определение категорий, помещений, зданий и наружных установок по взрывопожарной и пожарной безопасности
СП 25.13330.2012 Свод правил. Основания и фундаменты на вечномерзлых грунтах. Актуализированная редакция СНиП 2.02.04-88
СП 34.13330.2012 Свод правил. Автомобильные дороги. Актуализированная редакция СНиП 2.05.02-85
СП 37.13330.2012 Свод правил. Промышленный транспорт. Актуализированная редакция СНиП 2.05.07-91
СП 47.13330.2016 Свод правил. Инженерные изыскания для строительства. Основные положения. Актуализированная редакция СНиП 11-02-96
СП 51.13330.2011 Свод правил. Защита от шума. Актуализированная редакция СНиП 23-03-2003
СП 52.13330.2016 Свод правил. Естественное и искусственное освещение. Актуализированная редакция СНиП 23-05-95
СП 60.13330.2012 Свод правил. Отопление, вентиляция и кондиционирование воздуха. Актуализированная редакция СНиП 41-01-2003
СП 103.13330.2012 Свод правил. Защита горных выработок от подземных и поверхностных вод. Актуализированная редакция СНиП 2.06.14-85
СП 104.13330.2016 Свод правил. Инженерная защита территории от затопления и подтопления. Актуализированная редакция СНиП 2.06.15-85
СП 116.13330.2012 Свод правил. Инженерная защита территорий, зданий и сооружений от опасных геологических процессов. Основные положения. Актуализированная редакция СНиП 22-02-2003
СП 132.13330.2011 Свод правил. Обеспечение антитеррористической защищенности зданий и сооружений. Общие требования проектирования
Примечание - При пользовании настоящим стандартом целесообразно проверить действие ссылочных стандартов (сводов правил) в информационной системе общего пользования - на официальном сайте Федерального агентства по техническому регулированию и метрологии в сети Интернет или по ежегодному информационному указателю "Национальные стандарты", который опубликован по состоянию на 1 января текущего года, и по выпускам ежемесячного информационного указателя "Национальные стандарты" за текущий год. Если заменен ссылочный стандарт, на который дана недатированная ссылка, то рекомендуется использовать действующую версию этого стандарта с учетом всех внесенных в данную версию изменений. Если заменен ссылочный стандарт, на который дана датированная ссылка, то рекомендуется использовать версию этого документа с указанным выше годом утверждения (принятия). Если после утверждения настоящего стандарта в ссылочный стандарт, на который дана датированная ссылка, внесено изменение, затрагивающее положение, на которое дана ссылка, то это положение рекомендуется применять без учета данного изменения. Если ссылочный стандарт отменен без замены, то положение, в котором дана ссылка на него, рекомендуется применять в части, не затрагивающей эту ссылку.
В настоящем стандарте применены термины по
ГОСТ Р 53795, а также следующие термины с соответствующими определениями:
3.1 безлюдная технология: Технологические процессы, осуществляемые автоматизированными устройствами, которые освобождают человека от выполнения производственных операций.
3.2 берма: Горизонтальная или слабонаклонная площадка на нерабочем борту или нерабочем участке борта карьера, разделяющая смежные по высоте уступы.
Примечание - Различают берму предохранительную и транспортную. Предохранительная берма служит для повышения устойчивости и уменьшения генерального угла наклона борта карьера, а также для предохранения расположенных ниже уступов от случайного падения кусков горной массы. Транспортная берма предназначена для размещения транспортных путей, соединяющих площадки уступов с капитальными траншеями.
3.3 биомат: Проницаемая дискретно-упрочненная пространственная конструкция из полимерных мононитей, волокон и других элементов, содержащая в своей структуре семена растений.
3.4 выемочная единица: Наименьший участок месторождения, отрабатываемый одной системой разработки, для которого определены балансовые запасы и ведется отдельный учет добычи рудной массы по количеству и содержанию в ней полезных компонентов и минералов.
3.5 горная выработка: Полость, образуемая в пределах карьерного поля, имеющая заданные размеры и создающая возможность планомерного производства открытых горных работ.
Примечание - Различают следующие разновидности горных выработок по расположению относительно горизонтальной плоскости:
- вертикальные;
- наклонные и крутонаклонные;
- горизонтальные.
3.6 границы карьера: Границы открытых горных работ.
Примечание - Различают следующие разновидности границ карьера:
- перспективные границы - представляют максимально возможные конечные границы, которые необходимы для генерального планирования поверхности.
- промежуточные границы - являются границами максимально адаптированными к реальным экономическим и технологическим условиям, определяемые при проектировании как предварительные и последовательно уточняемые в режиме мониторинга в процессе строительства и эксплуатации.
- конечные границы - границы, реализуемые на последнем этапе проектирования по поверхности;
- углубочные границы - границы на нижних горизонтах по мере уточнения геологической информации, физико-механических свойств пород и параметров вскрывающих выработок в части корректировки углов наклона бортов в предельном положении и глубины карьера.
3.7 горная порода мерзлая: Горная порода в условиях отрицательных температур.
3.8 горная порода смерзшаяся: Первоначально рыхлая, связная или разрушенная горная порода, сцементированная льдом.
3.9 горно-капитальные работы: Горные работы, проводимые для вскрытия и разработки месторождения или его части.
Примечание - В горные работы включают проведение въездных и разрезных траншей, необходимых для обеспечения карьера подготовленными и готовыми к выемке запасами, достаточными для его нормальной эксплуатации в соответствии с техническим проектом, а также работы по проведению специальных горных выработок, предназначенных для осушения и гидрозащиты карьерных полей (шахтные стволы, шурфы).
3.10 горно-геометрический анализ: Совокупность методов графического или графоаналитического исследования развития горных работ в карьере для определения зависимости извлекаемых объемов горной массы, вскрышных пород, полезного ископаемого, а также текущего коэффициента вскрыши от глубины карьера во времени.
3.11 закол: Трещина, образующаяся в массиве горных пород вблизи поверхностей обнажения, при этом локально отслоившаяся часть массива зависает и может вызвать внезапное обрушение, либо сползание породы с верхней части уступа.
Примечание - Для предотвращения неблагоприятных последствий проводят оборку заколов и их ликвидацию на стадии подготовки забоя к выемке.
3.12 контурный слой в зоне вскрышных работ: Объем вскрышных пород, прирезаемых к карьеру при увеличении его глубины в процессе проектирования на один слой (уступ).
3.13 коэффициент вскрыши: Количество вскрышных пород, приходящихся на единицу добытых полезных ископаемых или подлежащего добыче полезного ископаемого при открытом способе разработки месторождения.
3.14 криолитозона: Часть криосферы в пределах верхнего слоя земной коры, характеризующаяся наличием отрицательных температур и возможностью существования подземных льдов.
Примечание - Включает деятельный слой и многолетнюю криолитозону. Нижняя граница криолитозоны - изотермическая поверхность с температурой 0 °C. Глубина ее залегания достигает от нескольких метров в умеренных широтах до нескольких километров в высоких широтах.
3.15 криопэги: Подземные соленые воды, имеющие отрицательную температуру.
3.16 негабарит: Обломки скальной породы, не помещающиеся в ковш экскаватора или погрузчика или в приемный бункер обогатительной фабрики.
3.17 оборка уступа: Операция механизированного или ручного удаления заколов и козырьков на откосах уступов при ведении открытых горных работ, выполняемая для предупреждения случайного падения горной породы с поверхности уступа.
3.18 остаточный коэффициент отвальной массы: Отношение объема породы, остающейся у верхней бровки отвала после разгрузки автосамосвалов, к общему объему породы, поступающей в отвал автотранспортом.
3.19 отвал: Размещение на поверхности вскрышных пород отходов или шлаков от различных производств и сжигания твердого топлива.
Примечание - Отвал может занимать и отрицательные формы рельефа низины, овраги и другие подобные участки. Различают следующие разновидности отвала:
- внутренний отвал - размещение отвала в выработанном пространстве карьера;
- предотвал - насыпь, устраиваемая перед основным отвалом, и меньшая по высоте, чем последняя. Предотвал предназначен для повышения устойчивости основного отвала и других целей;
- отвал хвостохранилища.
3.20 отвалообразование: Процесс размещения вскрышных пород в отвале, являющийся завершающим звеном в производстве вскрышных работ на карьерах.
Примечание - Землеемкость отвала - отношение площади отвала к размещенному на ней его объему.
3.21 отвал хвостохранилища: Искусственная насыпь, образуемая в результате размещения на специально отведенной площадке конечных продуктов обогащения руд, в которых содержание ценного компонента ниже, чем в исходных рудах или в продуктах их переработки.
3.22 отрезная щель: Искусственно созданная полость разрыва между отбиваемым и охраняемым участками горного массива, представляющая собой экран для предотвращения нарушения устойчивости бортов при производстве взрывов вблизи предельного контура карьера.
Примечание - Отрезная щель образуется путем взрыва строчки сближенных скважинных зарядов взрывчатых веществ по контуру до приближения взрывных работ к охраняемым участкам горного массива.
3.23 понижение фронта горных работ: Ежегодное опускание горизонта горных работ по вертикали.
3.24 ископаемое полезное отбитое: Полезное ископаемое, отделенное от массива и вместе с примешенными вмещающими породами готовое для последующего перемещения.
3.25 ископаемое полезное добытое (добытая руда): Отбитое полезное ископаемое с примешенными вмещающими породами, перемещенное из забоя на дневную поверхность, прошедшее первичный учет геолого-маркшейдерской службой предприятия и пригодное для последующего использования в сфере материального производства и потребления непосредственно или после переработки.
Примечание - Добытое полезное ископаемое по своему качеству должно соответствовать национальному, региональному или международному стандарту, а в случае отсутствия указанных стандартов для отдельного добытого полезного ископаемого стандарту организации.
3.26 потери руды при добыче: Часть вовлеченных в разработку балансовых запасов руды в пределах установленного лицензией контура горных работ предприятия, не извлеченная из недр или не попавшая в дальнейшую переработку в течение периода существования предприятия.
3.27 потери полезного ископаемого при разработке месторождения: Часть балансовых запасов полезных ископаемых, не извлеченная из недр при разработке месторождения.
Примечание - В потери входят полезные ископаемые, добытые и направленные в породные отвалы, оставленные в местах складирования, погрузки, первичной обработки (подготовки), на транспортных путях горного производства, а также потери при первичной переработке минерального сырья. Потери драгоценных металлов и драгоценных камней при их первичной переработке отнесены к потерям при добыче. Определяются как потери балансовых запасов, учтенных государственным балансом запасов, при разработке месторождения.
3.28 потеря качества (разубоживание) полезного ископаемого: Происходящее в процессе добычи снижение содержания полезного компонента или полезной составляющей в добытом ПИ по сравнению с содержанием их в массиве ПИ (в балансовых запасах) вследствие примешивания к нему пустых пород или некондиционного ПИ, а также потерь части полезного компонента или полезной составляющей (в виде обогащенной мелочи, в результате выщелачивания полезного компонента).
Примечание - Характеризуется коэффициентом потери качества Kр = (c - a)/c, где c и a - содержание полезного компонента в погашенных балансовых запасах и в добытой рудной массе, соответственно.
3.29 приконтурная зона: Полоса вдоль рудного контура, в которой при выемочных работах теряется руда, а к извлекаемому полезному ископаемому примешиваются вмещающие породы.
Примечание - Границами приконтурной зоны являются внешний контур выемки, исключающий потери руды, и внутренний контур выемки, исключающий примешивание вмещающих пород. Рациональные границы приконтурной зоны определяются технико-экономическими расчетами.
3.30 проективное покрытие: Основной показатель результатов биологической рекультивации, отражающий долю растительного покрова на поверхности рекультивированного объекта.
Примечание - Величина показателя выражается в процентах.
3.31 рабочие площадки: Площадки, на которых размещается буровое, выемочное или транспортное оборудование.
Примечание - Рабочая площадка характеризуется ее шириной, определяемой принятой технологией ведения горных работ.
3.32 талик: Толща талых грунтов, залегающая среди многолетнемерзлых грунтов.
Примечание - По взаимоотношению с толщами многолетнемерзлых грунтов различают сквозные и несквозные талики, надмерзлотные, межмерзлотные и подмерзлотные талики.
3.33 уступ: Горизонтальный слой горных пород, вынимаемый при открытой разработке полезных ископаемых.
3.34 щель-проран: Пространство, сформированное между отвалами вскрышных пород при их размещении на дневной поверхности за пределами карьера.
3.35 забой: Поверхность отбитой горной массы, которая перемещается в процессе горных работ.
3.36 дайка: Пластинообразное, вертикально расположенное геологическое тело, ограниченное параллельными стенками и секущее вмещающие породы.
В настоящем стандарте применяются следующие сокращения:
БПП - блочная понизительная подстанция;
ВВ - взрывчатые вещества;
ВЕ - выемочная единица;
ГКЗ - государственная комиссия по запасам;
ГОЧС - гражданская оборона и чрезвычайные ситуации природного и техногенного характера;
ГПП - главная понижающая подстанция;
ТЭО - технико-экономическое обоснование;
ПДК - предельно допустимые концентрации загрязняющих веществ;
ПСП - плодородный слой почвы;
ППС - потенциально-плодородный слой почвы;
РП - распределительный пункт;
ТП - трансформаторная подстанция.
5.1 Общие требования к проекту разработки месторождения
5.1.1 Разработку месторождения осуществляют в соответствии с проектной документацией на строительство, реконструкцию, расширение или техническое перевооружение алмазодобывающих предприятий в соответствии с требованиями
Закона Российской Федерации
[1], Технического
регламента [2], а также норм и правил в области промышленной безопасности
[3] -
[5].
5.1.2 Проектная документация или технический проект разработки месторождений включает:
- мероприятия по безопасному ведению работ, связанных с недропользованием;
- мероприятия по рациональному использованию и охране недр;
- мероприятия по обеспечению требований в области охраны окружающей среды и обеспечения экологической безопасности при пользовании недрами;
- информацию о сроках и условиях выполнения работ по консервации и/или ликвидации объектов горных работ, а также рекультивации земель.
5.1.3 Подготовку проектной документации или технического проекта разработки осуществляет, как правило, научно-исследовательская (проектная) организация на основании технического задания, которое утверждает заказчик-недропользователь.
5.1.4 Проектную документацию или технический проект разработки оформляют с учетом требований к составу и содержанию проектной документации
[6], а также требований к структуре и оформлению проектной документации на разработку месторождений твердых полезных ископаемых, утвержденных Минприроды России
[7]. При оформлении учитываются требования
ГОСТ 7.32 в части размеров шрифта, объема страниц в одном томе (книге), формата рисунков и таблиц, нумерации разделов, рисунков и таблиц и библиографических ссылок.
5.1.5 Проектный документ оформляют на бумажных и электронных носителях. Все экземпляры должны быть идентичны по содержанию. На титульном листе проектного документа указывают:
- Ф.И.О. заказчика проектного документа и недропользователя;
- наименование организации, которая составила проектный документ;
- полное название документа с указанием наименования месторождения (объекта разработки);
- год составления.
Титульный лист подписывают должностные лица указанных организаций, подписи заверяют печатью.
5.1.6 Проектная документация или технический проект разработки в установленном порядке согласовываются с уполномоченными органами государственной власти.
5.1.7 Разрабатываемая проектная документация или разрабатываемые технические проекты должны обеспечивать внедрение новых высокоэффективных технологических процессов, комплексов механизации и автоматизации, в том числе систем дистанционного управления, повышения коэффициента сменной работы оборудования, роста производительности труда и высоких технико-экономических показателей производства.
В проектной документации или техническом проекте должна рассматриваться целесообразность использования в оптимальных условиях новых типов машин и оборудования, прошедших промышленную апробацию для получения максимального экономического эффекта от их применения.
5.1.8 Построенные или реконструированные алмазодобывающие предприятия на момент ввода в действие должны быть технически передовыми и экономически эффективными. При этом должны быть выполнены требования безопасности горнодобывающего сооружения, безопасность и комфортность условий труда, минимально допустимое экологическое воздействие на окружающую среду во время производства и после завершения открытых горных работ на месторождении.
5.1.9 Решения проектной документации или технического проекта разработки должны быть направлены:
- на достижение максимально возможной эффективности отработки месторождения при обеспечении полноты выемки запасов;
- на получение новой информации для подтверждения обоснованных в нем решений.
5.2 Техническое задание на составление проекта разработки
5.2.1 В техническом задании должно быть указано основание и цель проектирования, а также основные положения разработки месторождения:
- состав проекта разработки;
- требования по вариантной и конкурсной разработке;
- сведения о сырьевой базе;
- стратегия отработки балансовых запасов месторождения;
- режим работы предприятия;
- проектная мощность предприятия;
- основные требования к инженерному и технологическому оборудованию;
- особые условия строительства;
- требования по охране недр;
- требования по охране окружающей среды;
- требования по ликвидации (консервации) карьера;
- требования промышленной безопасности;
- требования проведения экспертизы;
- сроки проектирования;
- требования по комплектности проектной документации.
В техническом задании заказчиком могут быть указаны дополнительные требования к проекту.
5.2.2 На основании законодательства по промышленной безопасности, экологии и недропользованию субъекта Российской Федерации, на территории которого расположено месторождение, могут быть установлены дополнительные требования, в том числе по рекультивации нарушенных земель в форме технических условий, которые выдаются землепользователем или заказчиком проекта.
5.2.3 Недропользователь вправе устанавливать дополнительные требования по следующим пунктам:
- соответствие содержания разделов проектных документов по разработке внутренним нормативно-распорядительным документам недропользователя;
- использование имеющихся объектов переработки извлеченного сырья в районе месторождения;
- условия использования информации (фактических данных по разрабатываемому месторождению и конфиденциальной), предоставляемой недропользователем проектировщику.
5.3 Исходная информация для составления проекта разработки
5.3.1 Для составления проектной документации на объекты капитального строительства или технического проекта разработки должна быть использована следующая информация:
а) отраслевая нормативная информация, в том числе:
1) нормативные и правовые акты и положения в области недропользования;
2) законодательные акты и положения в области промышленной безопасности и охраны окружающей среды и недр;
б) материалы выполненных ранее геологоразведочных работ и инженерных изысканий;
в) принципиальные положения и основные технологические показатели разработки, предусмотренные последними проектными документами (для проектов реконструкции);
г) геологическая информация, включающая:
1) особенности геологического строения района месторождения;
2) геологическую, геофизическую, геохимическую изученность района;
3) литолого-стратиграфическую характеристику разреза;
4) особенности структурно-тектонического строения района;
5) характеристику разведанных и разрабатываемых месторождений полезных ископаемых в районе, включая сведения о строительных материалах;
6) геологическое строение месторождения;
7) структурные особенности месторождения;
д) материалы геофизических исследований;
е) результаты маркшейдерско-геодезической съемки;
ж) результаты научных исследований в области разработки алмазорудных месторождений, опубликованные в открытой печати, патентная информация;
и) экономическая информация, в том числе:
1) методика экономической оценки проекта;
2) отраслевые стоимостные и ценовые показатели;
3) размеры и условия уплаты налогов и платежей в соответствии с законодательством Российской Федерации;
к) экологическая информация, включающая:
1) данные о состоянии окружающей среды;
2) характеристику техники и технологий добычи, подготовки, переработки и хранения (допускается по объектам-аналогам) с позиции воздействия на окружающую среду.
5.3.2 Проектная документация или технический проект разработки месторождения должны быть основаны на запасах месторождения алмазов, прошедших государственную экспертизу. При этом необходимо предусматривать мероприятия по доразведке для перевода запасов и ресурсов в промышленные категории.
5.3.3 При недостатке исходной информации для обоснования проектных решений используют материалы по аналогичным месторождениям с соответствующим обоснованием. Аналогия должна быть установлена по следующим параметрам:
- геологическое строение;
- природно-климатические условия;
- географическое положение;
- наличие необходимой инфраструктуры;
- технические и технологические решения.
5.3.4 Проектом геологоразведочных работ в процессе разработки месторождения может быть предусмотрено проведение дополнительных исследований:
- доразведка месторождения при необходимости дополнения разрабатываемых запасов;
- опережающая и сопровождающая эксплуатационная разведка.
5.4 Требования к структуре и оформлению проектной документации
5.4.1 Требования к структуре проектной документации
5.4.1.1 Общая пояснительная записка содержит:
а) основание для разработки проекта;
б) исходные данные и условия для подготовки проектной документации, в том числе:
1) лицензия на право пользования недрами;
2) задание на проектирование;
3) распорядительные документы о согласовании места расположения объекта, включая акт выбора площадки;
4) отчетная документация по результатам инженерных изысканий;
5) технические условия на внешнее инженерное обеспечение;
6) иные исходно-разрешительные документы;
в) основные технические и экономические решения проекта.
5.4.1.2 Геологическое строение карьерного поля
1) общие сведения и природные условия;
2) геологическая изученность шахтного (карьерного) поля;
3) оценка сложности геологического строения шахтного (карьерного) поля;
4) гидрогеологические условия;
5) характеристика полезного ископаемого;
6) попутные полезные ископаемые и полезные компоненты;
7) отходы производства;
8) горно-геологические условия эксплуатации;
9) границы и запасы карьерного поля.
5.4.1.3 Технические решения включают в себя:
а) проектная мощность и режим работы карьера;
б) вскрытие и порядок отработки поля карьера:
1) порядок отработки;
2) вскрытие поля карьера;
в) система разработки:
1) общие сведения;
2) выбор системы разработки;
3) расчет основных параметров карьера (разреза), элементы системы разработки;
4) буровзрывные работы;
5) оборудование, машины и механизмы для вскрышных и добычных работ;
6) общая схема работ и календарный план разработки карьера, объемы и сроки работ, порядок ввода эксплуатационных объектов в разработку;
7) стратегия отработки всех разведанных запасов месторождения;
г) отвальное хозяйство:
1) общая характеристика отвальных работ;
2) устойчивость отвалов;
3) способ отвалообразования, механизация отвальных работ;
4) параметры отвалов;
5) порядок отсыпки отвалов, календарный план отвальных работ;
6) отвальное оборудование;
д) карьерный транспорт;
е) техника безопасности при ведении открытых горных работ;
ж) осушение поля карьера;
и) способы проветривания карьера;
к) технологический комплекс на поверхности;
л) прием и обработка полезного ископаемого;
м) погрузочно-складской комплекс;
н) ремонтно-складское хозяйство.
5.4.1.4 Качество полезного ископаемого
- ожидаемое качество добываемого полезного ископаемого;
- требования потребителей к качеству товарной продукции;
- ожидаемое качество товарной продукции;
- контроль качества добываемой и отгружаемой продукции.
5.4.1.5 Проектная документация должна содержать сведения об организации и технических решениях при ведении работ в опасных зонах.
5.4.1.6 Управление производством, предприятием. Организация и условия труда работников.
5.4.1.7 К архитектурно-строительным решениям относят:
- исходные данные;
- архитектурные решения;
- конструктивные и объемно-планировочные решения.
5.4.1.8 Инженерно-техническое обеспечение, сети и системы включают в себя:
- систему электроснабжения;
- систему водоснабжения;
- систему водоотведения и канализации;
- отопление, вентиляция и кондиционирование воздуха;
- теплоснабжение и тепловые сети, тепловой режим горного производства;
- пневматическое хозяйство;
- связь и сигнализация.
5.4.1.9 Информация о генеральном плане и внешнем транспорте:
- краткая характеристика района и площадки строительства;
- генеральный план;
- внешний транспорт.
5.4.1.10 Информация об организации строительства:
- характеристика района и условий строительства;
- основные параметры горных выработок, конструктивная характеристика зданий и сооружений;
- основные виды и объемы работ;
- потребность в основных строительных конструкциях и материалах;
- способ осуществления строительства (подрядный, хозяйственный);
- строительный генеральный план;
- определение продолжительности строительства;
- календарный план строительства;
- потребность в кадрах строителей;
- организационно-технические мероприятия;
- методы производства работ на поверхности;
- производство работ в зимнее время;
- основные строительные машины и механизмы.
5.4.1.11 Информация об охране недр и окружающей среды:
- охрана и рациональное использование недр;
- обоснование границ горного отвода, охранных и санитарно-защитных зон;
- расчет потерь и разубоживания полезного ископаемого;
- мероприятия по обеспечению наиболее полного извлечения из недр запасов полезного ископаемого, попутных полезных ископаемых и попутных полезных компонентов;
- использование вскрышных и вмещающих пород, отходов горного производства;
- эксплуатационная разведка;
- геолого-маркшейдерское обеспечение предприятия, документация;
- мероприятия по охране окружающей среды;
- охрана и рациональное использование земельных ресурсов, рекультивация земель;
- охрана атмосферного воздуха от загрязнения;
- охрана поверхностных и подземных вод от истощения и загрязнения;
- охрана окружающей среды при складировании (утилизации) отходов производства;
- охрана растительного и животного мира;
- возможность возникновения аварийных ситуаций;
- экологический мониторинг;
- экологические затраты, налоги и платежи;
- охрана окружающей среды на период строительства.
5.4.1.12 В проектной документации указывают информацию о мероприятиях по обеспечению пожарной безопасности.
5.4.1.13 В проектной документации указывают информацию об инженерно-технических мероприятиях гражданской обороны, мероприятиях по предупреждению чрезвычайных ситуаций.
5.4.1.14 В проектной документации указывают информацию о сметной документации.
5.4.1.15 В проектной документации указывают информацию об экономической оценке эффективности инвестиций.
5.4.1.16 В проектной документации указывают информацию о графических приложениях и документации.
5.4.2 Требования к оформлению проектной документации
Проектная документация на разработку месторождений твердых полезных ископаемых, ликвидацию и консервацию горных выработок и первичную переработку минерального сырья должна содержать все данные, позволяющие производить анализ проектных решений без личного участия авторов.
Объемы и детальность проработки отдельных разделов определяются авторами проектного документа в зависимости от сложности строения месторождений, количества эксплуатационных объектов и рассматриваемых вариантов их разработки, стадии проектирования.
Изменения, дополнения, корректировка проектной документации должны содержать только те разделы, которые подвергаются переработке в процессе разработки изменений. В изменении (дополнении, корректировке) к проектной документации допускается делать ссылки на неизмененные разделы технического проекта, либо помещать их в кратком изложении.
Титульный лист проектной документации содержит следующие сведения:
- наименование недропользователя;
- наименование организации - исполнителя проектной документации;
- грифы согласования и утверждения;
- наименование проектной документации;
- название месторождения (участка);
- место и год составления проектной документации.
Если проектная документация состоит из двух и более частей (томов), то каждая часть (том) должна иметь свой титульный лист, соответствующий титульному листу первой части (тома) и содержащий сведения, относящиеся к данной части (тому).
Реферат должен содержать: сведения об объеме проектной документации, количество таблиц, приложений, частей проектной документации, использованных источников, перечень ключевых слов, текст реферата.
Страницы текста проектной документации и включенные в нее таблицы должны соответствовать формату листа А4. Для таблиц допускается использовать формат А3.
Проектная документация должна быть выполнена любым печатным способом на одной стороне листа белой бумаги через полтора интервала. Цвет шрифта должен быть черным, высота букв, цифр и других знаков - не менее 1,8 мм (кегль - не менее 12 пунктов).
Опечатки, описки и графические неточности, обнаруженные в процессе подготовки проектной документации, допускается исправлять подчисткой или закрашиванием белой краской и нанесением на том же месте исправленного текста (графики). Повреждения листов текстовых документов, помарки и следы не полностью удаленного прежнего текста (графики) не допускаются.
Страницы проектной документации следует нумеровать арабскими цифрами, соблюдая сквозную нумерацию по всему тексту. Титульный лист проектной документации включают в общую нумерацию страниц. Номер страницы на титульном листе не проставляют.
Таблицы, расположенные на отдельных листах, включают в общую нумерацию страниц. Иллюстрации и таблицы на листе формата А3 учитывают как одну страницу.
Название таблицы следует помещать над таблицей слева, без абзацного отступа в одну строку с ее номером через тире.
Таблицы, за исключением таблиц приложений, следует нумеровать арабскими цифрами сквозной нумерацией. Допускается нумеровать таблицы в пределах раздела.
Сведения об использованных источниках следует располагать в порядке появления ссылок на источники в тексте проектной документации и нумеровать арабскими цифрами без точки и печатать с абзацного отступа.
Приложение к проектной документации оформляют как продолжение проектного документа на последующих его листах или выпускают в виде самостоятельной части (тома).
Приложения должны иметь сквозную нумерацию страниц. При необходимости такое приложение может иметь "Содержание".
6 Геологическая изученность карьерного поля
6.1 Геологическое обоснование проектных решений
6.1.1 Геологическое обоснование проектных решений основывается на отчете с подсчетом запасов, утвержденном государственной комиссией, с учетом замечаний и рекомендаций, выявленных в процессе его защиты.
Для характеристики изученности и особенностей геологического строения района месторождения должна быть приведена следующая информация:
- геологическая, гидрогеологическая, геокриологическая характеристика;
Примечание - Приводится крупномасштабная геологическая карта района с нанесенными месторождениями полезных ископаемых (М 1:10000 - 1:50000).
- геологическая, геофизическая, геохимическая изученность района, сведения о проведенных разведочных работах, выявленных геофизических, геохимических, иных природных аномалиях;
- литолого-стратиграфическая характеристика разреза от фундамента до поверхности;
Примечание - Приводится сводная литолого-стратиграфическая колонка.
- структурно-тектоническое строение района, приуроченность к крупным геологическим структурам, типы разрывных нарушений, наличие зон глубинных разломов, фиксирующихся на дневной поверхности, залеченных траппами и кимберлитами, особенности кимберлитового магматизма, морфология и размеры трубок, возраст, их сближенное групповое (кластеры) или цепочечное (разломы) расположение;
- глубина фундамента;
- результаты интерпретации сейсморазведочных исследований района;
- структурно-тектоническая крупномасштабная схема (1:10000 - 1:50000);
Примечание - Возможно совмещение с геологической картой.
- характеристика разведанных и разрабатываемых месторождений полезных ископаемых в районе, включая строительные материалы.
6.1.2 Для описания геологического строения месторождения необходимо использовать следующие материалы:
- геологическая карта масштаба 1:1000 - 1:2000 (в зависимости от размеров и сложности месторождения), геологические разрезы, погоризонтные планы, проекции;
- топографическая основа района месторождения 1:10000 - 1:25000 для генеральной схемы будущей инфраструктуры, непосредственно на участок месторождения - топоплан 1:1000 - 1:2000 с вынесенными горными выработками, разведочными геологическими и геофизическими профилями;
- тектоническая схема масштаба 1:5000 - 1:10000 (для вскрытых месторождений), отражающая расположение месторождения по отношению к крупным тектоническим структурам, разломам;
- литолого-стратиграфическое и петрографическое описание перекрывающих и вмещающих пород, их мощность, глубина и элементы залегания, направления и углы падения слоев;
- характеристика трещиноватости прибортового массива, наличие дизъюнктивных нарушений, их пространственное положение;
- физико-механические свойства перекрывающих и вмещающих пород, сведения о степени льдистости, карстообразовании, границах многолетнемерзлых пород, таликов, засоленности, приуроченности к водоносным горизонтам;
- поверхностные воды, типы подземных вод, их характеристика, распространение, химический состав. Основные водоносные и водоупорные горизонты, их мощность, в том числе эффективная, абсолютные отметки кровли, подошвы, фильтрационные свойства, прогнозные водопритоки в горные выработки;
- многолетнемерзлые породы, их температурный режим, мощность и глубина залегания, льдистость пород, состав льда, распространение;
- газонасыщенность рассолов, состав газа;
- характер газонефтепроявлений, приуроченность к структурно-тектоническим нарушениям, пространственное распространение в карьерном поле.
6.1.3 Классификация месторождения по сложности геологического строения проводится в соответствии с
[8].
6.1.4 Описание морфологии, строения, вещественного состава коренной части месторождения включает следующие элементы:
- краткую характеристику формы и строения кимберлитовой трубки, дайки - площадь поверхностного выхода или выхода под перекрывающие наносы, изменение площади поперечного сечения с глубиной до выклинивания или предельной глубины разведки, элементы залегания рудных тел, характер контактов с вмещающими породами, тектонические особенности эндо- и экзоконтактовых зон трубок, степень трещиноватости руды, водо-, нефте- и газопроявления, приуроченность к водоносным горизонтам, зонам многолетнемерзлых пород;
- контактовые взаимоотношения между трапповой интрузией и кимберлитовым телом, возраст трапповой интрузии, характер преобразования кимберлитов под действием трапповой интрузии, сохранность алмазов в зонах скарнирования кимберлитов;
- характер и положение границ структурно-морфологических зон, выделяемых на месторождении - кратерная часть, жерловая (диатремовая), корневая. Взаимоотношение кимберлитов разных фаз внедрения, характер контактов между ними, их относительный возраст (фазы внедрения);
- петрографический, минералогический и химический состав руды, выделение типов кимберлитов, их связь с фазами внедрения;
- наличие ксенолитов глубинных включений, вторичных изменений кимберлитов;
- содержание ксеногенного материала вмещающих пород, зональность распределения ксенолитов, выделение участков их концентрации.
6.1.5 Строение россыпного месторождения, прилегающего или перекрывающего трубку, дайку, должно быть отражено следующими составляющими:
- характеристикой геоморфологических (для погребенных россыпей - палеогеографических) особенностей локализации россыпи: ее связь с источниками питания: особенностей морфологии, размера, строения и состава продуктивного пласта, литологический контроль продуктивности отложений; состав и мощность торфов и других перекрывающих отложений; геологическое строение и рельеф плотика, глубина его залегания;
- литолого-стратиграфическая приуроченность продуктивного пласта: гранулометрический состав, валунистость, глинистость, льдистость песков и торфов; наличие зон многолетнемерзлых пород, таликов; содержание алмазов в песках, торфах, других перекрывающих отложениях и породах плотика, гранулометрия, форма и качество алмазов.
6.1.6 Алмазоносность руды и россыпей определяется по результатам обогащения валовых проб, полученных при бурении с отбором керна на различных стадиях разведки, а также отобранных при опробовании по канавам, шурфам, подземным горным выработкам.
В геологическом отчете должны быть отражены характеристики алмазоносности: зональные изменения по вертикали и в плане, гранулометрический состав по ситовым или весовым классам крупности для основных разновидностей руд, и в целом для месторождения; физические и кристаллографические свойства, сортность и стоимость алмазов.
Коммерческая оценка алмазов проводится в соответствии с
ГОСТ Р 51519.1 и ГОСТ Р 51519.2 по ежегодным прейскурантам.
6.1.7 Горно-геологическое моделирование месторождения, перекрывающих и вмещающих пород является одним из этапов подготовки геологических материалов к проектированию. Моделирование позволяет:
- отразить морфологию месторождения, внутреннее строение рудного тела или россыпи;
- внести в модель необходимые количественные и качественные данные: физико-механические свойства, литологию;
- учесть фактическое положение горных работ.
Каркасные и блочные модели, используемые при проектировании, должны соответствовать утвержденным запасам с учетом их фактической отработки.
Подсчет и утверждение запасов уполномоченным органом управления государственным фондом недр проводится в соответствии с требованиями к составу и правилам оформления представляемых на государственную экспертизу материалов
[9] -
[11].
6.1.8 Факторы, которые необходимо описать при геологическом обосновании проектных решений в условиях криолитозоны:
- горно-геологические условия месторождения, определяющие способ вскрытия и технологию его разработки, такие как рельеф местности, мощность и характеристика современных покровных и древних выветрелых отложений, особенности строения и условия залегания тел полезных ископаемых, их мощность, углы падения, выдержанность и источник водоснабжения будущего предприятия;
- инженерно-геологические условия месторождения в карьерном поле, осложняющие проектирование ОГР: сейсмичность, опасность возникновения оползней, наличие анизотропии, данные о составе, характере слоистости, межпластовых прослоях, трещиноватости, текстурных и структурных особенностях пород и руд, степени их тектонической нарушенности, направлении и угла падения пластов прибортового массива; сведения о тектонических нарушениях, пространственном положении участков с ослабленной устойчивостью вмещающих пород, зон выветривания, тектонического дробления, карстообразования; наличии обводненных разломов, трещиноватых зонах поглощения и зонах разгрузки поверхностных вод, наличии рассолов, агрессивных к планируемым сооружениям; газонефтепроявления, наличие токсичных соединений, радиоактивности;
- характерные свойства горного массива в условиях криолитозоны, изменение которых в процессе эксплуатации карьера требует учета в проектных решениях: наличие многолетнемерзлых пород, их пространственное положение, глубина распространения и температурный режим, изменение свойств многолетнемерзлых пород при сезонном промерзании и оттаивании; льдистость пород, глубина сезонной оттайки; наличие островной мерзлоты, сквозных и несквозных таликов под руслами рек, озерами и зонами разгрузки подземных вод, крупные наледи;
- данные о физико-механических свойствах руды, песков россыпи, вмещающих и перекрывающих пород, их буримости и взрываемости, слеживаемости, кусковатости;
- информация о местоположении площадей без залежей полезных ископаемых, где могут размещаться объекты производственного и жилищно-гражданского назначения, склады руды, отвалы пустых пород.
6.2.1 Определение границ алмазорудных карьеров следует проводить с учетом запасов месторождения, глубины и мощности рудного тела, ценности руды и экономической целесообразности отработки нижней части месторождения подземным способом.
6.2.2 Для карьеров, отрабатывающих товарные месторождения алмазов, которые технически возможно и экономически целесообразно разрабатывать комбинированным открыто-подземным способом, границы следует определять на основе сравнения дисконтированных контурных коэффициентов вскрыши с граничными, определяемыми на основе стоимостных показателей открытых и подземных работ.
Доработка не вошедших в границы карьера запасов полезного ископаемого проводится подземным способом. Границы карьера определяются переходом от открытых работ к подземным.
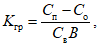
Для минимизации суммарных приведенных затрат на разработку месторождения последовательно по глубине открытым и подземным способом, границы карьера устанавливаются на основе приравнивания контурного коэффициента вскрыши к дисконтированному граничному коэффициенту Kгр, определяемому по выражению:

(1)
где Cп - себестоимость 1 м3 полезного ископаемого, добытого подземным способом, руб./м3;
Cо - себестоимость 1 м3 полезного ископаемого, добытого открытым способом, без учета затрат на удаление вскрышных работ, руб./м3;
Cв - себестоимость удаления 1 м3 вскрышных пород с учетом ожидаемого соотношения рыхлых и скальных разностей, руб./м3;
B - коэффициент дисконтирования, учитывающий опережающее удаление вскрышных пород по сравнению с выемкой полезного ископаемого.
B определяется по статистической зависимости от основных определяющих факторов, установленной по исследованиям горно-геологических и горнотехнических параметров и показателей представительного массива в типичных условиях разработки алмазосодержащих руд:
B = 1,26 + 0,016T + 0,0073T2, (2)
где T - продолжительность отработки контурного слоя в зоне вскрышных работ, лет.
Величина T рассчитывается по формуле

(3)
где Hв - высота зоны вскрышных работ, м;

- угол погашения борта карьера, °;

- угол наклона рабочего борта карьера, °;
hг - скорость снижения горных работ, м/год.
6.2.3 Границы карьеров, отрабатывающих месторождения, применение на которых подземного способа разработки полностью или частично неэффективно, следует определять методом вариантов, приравнивая чистый дисконтированный доход к нулю и определяя величину граничного коэффициента вскрыши по формуле

(4)
где Cд - допустимая себестоимость руды, обеспечивающая безубыточную добычу и переработку, руб./м3.
Величина Cд рассчитывается по формуле
| | ИС МЕГАНОРМ: примечание. Формула дана в соответствии с официальным текстом документа. | |

(5)
где Цк - замыкающие затраты на единицу товарной руды, руб./т;
p - объемная масса сырой руды, т/м3;

- извлечение ценного компонента при переработке полезного ископаемого, %.
6.2.4 Для количественной оценки границ карьера, исследования режима горных работ и выбора оптимального порядка развития карьерного пространства следует применять современное горно-геологическое программное обеспечение, использование которого особенно целесообразно при разработке месторождений со сложными горно-геологическими условиями и характером алмазорудного сырья.
При обосновании выбора глубины разработки и параметров горных работ в качестве экономического критерия следует использовать чистый дисконтированный доход или чистую прибыль предприятия в соответствии с
[9].
6.2.5 В качестве источника исходных данных для определения капитальных вложений и эксплуатационных затрат, обеспечивающих повышение надежности определения границ, следует использовать:
- показатели предприятий-аналогов;
- собственные показатели действующих предприятий;
- сметно-финансовые расчеты;
- удельные показатели, устанавливаемые на основе разрабатываемых и периодически корректируемых статистических зависимостей.
6.2.6 При сроках разработки до 15 - 20 лет применяется одностадийное определение границ.
При сроках службы карьера, превышающих указанные значения, для повышения точности расчетов следует применять поэтапное проектирование с уточнением исходных горно-геологических и технико-экономических показателей в процессе эксплуатации месторождения.
6.2.7 При поэтапном проектировании следует устанавливать перспективные, промежуточные, конечные и углубочные границы. Продолжительность этапа не более 15 лет при общей продолжительности оцениваемого периода, равного сроку отработки месторождения.
6.2.8 Поэтапное проектирование должно осуществляться в следующем порядке. На первом этапе устанавливаются промежуточные границы. Затем на следующих этапах операцию первого этапа повторяют до тех пор, пока промежуточные границы не превращаются в конечные, ограничивающие карьер по поверхности.
По мере дальнейшего понижения горных работ проводят наращивание конечных границ в глубину под крутыми углами погашения бортов, главным образом за счет применения крутых уклонов вскрывающих выработок. При проектировании следует учитывать необходимость своевременного разноса бортов карьера, реконструкции схем вскрытия и прочих мероприятий, связанных с переходом от одного промежуточного контура к другому. Порядок регулирования годовых объемов вскрышных работ на основе временной консервации участков рабочих бортов приведен в
7.3.5.
6.2.9 Определение перспективных границ карьеров для генерального планирования поверхности рекомендуется проводить на основе статистической зависимости вероятного увеличения глубины карьера

от доверительной вероятности
d
| | ИС МЕГАНОРМ: примечание. Обозначения даны в соответствии с официальным текстом документа. | |
 , % | D |
59,5 | 0,975 |
50,0 | 0,950 |
47,4 | 0,925 |
39,0 | 0,900 |
31,6 | 0,850 |
25,5 | 0,800 |
Доверительная вероятность для технико-экономических расчетов 0,8 - 0,85, а в сложных условиях залегания и разработки высокоценных полезных ископаемых - 0,9 - 0,95. Перспективную глубину карьера следует определять по формуле

(6)
где

- глубина карьера, установленная на первом этапе проектирования при определении размещения долговременных зданий и сооружений, оформлении горного и земельного отвода, м.
Перспективные контуры карьера по поверхности следует устанавливать с учетом вероятности погрешности углов погашения бортов, равной 25%.
6.2.10 Для увеличения экономически целесообразных углубочных границ карьеров необходимо проводить совершенствование техники и технологии горных работ, включая:
- разработку скоростных способов проведения крутонаклонных вскрывающих выработок;
- способов формирования малогабаритных перегрузочных пунктов и других ресурсосберегающих способов;
- увеличения конструктивных углов погашения бортов;
- одновременное при наличии возможности проведение вскрышных и добычных работ.
6.3 Проектирование карьеров с учетом комбинированного способа разработки
6.3.1 К основным особенностям комбинированной разработки алмазорудных месторождений в криолитозоне относятся:
- высокая ценность сырья, определяющая необходимость доработки рудных целиков, оставляемых в бортах и на дне карьера;
- большая глубина перехода на подземную отработку подкарьерных запасов;
- большая обводненность и газообильность месторождений;
- высокая разность температуры атмосферы карьера и подземных выработок;
- необходимость разработки специальных мероприятий для исключения смерзаемости, слеживаемости и зависаний отбитой рудной массы.
6.3.2 При проектировании карьеров, предусматривающих комбинированный способ разработки, карьерное пространство следует рассматривать как главную вскрывающую выработку для подземной отработки запасов за контуром карьера в следующих случаях:
- вскрытие и отработка локальных участков в бортах и основании карьера;
- подготовка основных запасов подземного рудника параллельно со строительством шахтных стволов;
- применение комбинированной схемы транспортирования горной массы по подземным и карьерным транспортным выработкам;
- экономическая целесообразность отказа от шахтного подъема горной массы или ее части.
6.3.3 При проектировании карьеров для использования их в качестве вскрывающей выработки для открыто-подземной и подземной отработки запасов необходимо предусматривать формирование площадок для размещения порталов подземных вскрывающих выработок.
6.3.4 При проведении капитальных и подготовительно-нарезных выработок из карьера допускается забор вентиляционной струи из карьерного пространства при обязательной проверке соответствия воздуха требованиям ПДК.
6.3.5 Оценку устойчивости бортов карьера при комбинированной разработке месторождения необходимо проводить с учетом влияния подземных горных работ.
6.3.6 Основными задачами переходного периода от открытых горных работ к подземным, наряду с постепенным возмещением выбывающих мощностей карьера и наращиванием производственной мощности подземного рудника, является создание благоприятных условий для отработки нижележащих запасов подземного рудника: надежной изоляции подземных выработок от атмосферной среды, паводковых и ливневых стоков, воздействия от обрушающихся с бортов оползневых масс.
6.3.7 Необходимо выделение технологии отработки запасов переходной зоны, оставленных в донной части и за контуром карьера, в отдельный специальный проект, предусматривающий комбинированную выемку запасов, дифференцированную по участкам массива в соответствии со спецификой их расположения относительно карьерного пространства и возможностями рациональной комбинации различных систем разработки и технологических процессов открытого и подземного способов добычи.
6.3.8 На период выполнения работ в переходной зоне карьер следует рассматривать как основную вскрывающую выработку, выполняющую функции вентиляции, водоотлива, доставки вспомогательных материалов, оборудования и людей, а также выдачи руды и пород от проходческих и очистных работ. Карьерный съезд необходимо поддерживать в рабочем состоянии до завершения работ в переходной зоне.
6.3.9 Одновременно отрабатываемые блоки в карьере и на подземных работах при комбинированной разработке месторождения должны быть рассредоточены в пространстве для исключения их негативного взаимного влияния.
6.3.10 При разработке месторождения комбинированным способом между открытыми и подземными горными работами предусматривать предохранительный барьерный целик. Размеры целика определяются проектом.
6.3.11 Отработку предохранительного целика следует проводить по отдельному проекту, учитывающему соблюдение мер, исключающих обрушение целика и бортов карьера при обеспечении безопасности работ.
6.3.12 Работы по осуществлению комбинированного способа разработки выполняются по отдельному проекту с учетом накопленного опыта и реальных условий разработки месторождения к моменту начала переходного периода.
7.1 Мощность и срок существования карьера
7.1.1 Под проектной мощностью алмазодобывающего предприятия понимается возможный годовой, суточный или сменный объем добычи и переработки руды для получения продукции намеченной номенклатуры и ассортимента в расчетном периоде при полном использовании оборудования и применении проектной технологии.
7.1.2 Выбор производственной мощности карьера делится на два этапа:
- определение производительности по горнотехническим возможностям;
- обоснование оптимальной производительности по экономическим факторам.
Производительность карьера, установленная по горнотехническим возможностям, считается верхним технически достижимым пределом. В течение срока эксплуатации должны обеспечиваться стабильная производительность по руде и неснижаемый норматив подготовленных запасов.
7.1.3 Проектная производительность карьера по полезному ископаемому должна обеспечивать экономически эффективную разработку месторождения и работу предприятия.
Примечание - Под проектной производительностью по руде понимают установленный проектом постоянный на фиксированный период времени объем добычи полезных ископаемых в тоннах или кубометрах установленной номенклатуры, соответствующего качества, поставляемых потребителям с заданной ритмичностью.
7.1.4 Мощность карьера по добыче руды по горнотехническим условиям определяется по формуле

(7)
где hг - среднегодовое понижение уровня добычных работ, м/год;
S - средняя площадь рудного тела, м2;

- коэффициент извлечения руды, доли единицы;
Zo - коэффициент разубоживания, доли единицы;

- объемная масса руды, т/м
3.
7.1.5 Среднегодовое понижение уровня добычных работ определяется по формуле

(8)
где
hб - базовая среднегодовая скорость понижения добычных работ, м/год (определяется по
таблице 1),

- поправка при автомобильном транспорте (определяется по
таблице 2).
Таблица 1
Среднегодовая скорость понижения уровня добычных работ
Площадь карьера по поверхности, км2 | Угол откоса рабочего борта карьера, ° |
6 - 8 | 8 - 10 | 10 - 12 | 12 - 14 | 14 - 16 | 16 - 18 | 18 - 20 | 20 - 30 |
Среднегодовая скорость понижения уровня добычных работ, м/год |
До 1 | 10,0 | 11,0 | 12,5 | 14,0 | 15,5 | 17,0 | 18,0 | 19,0 |
1 - 2 | 11,0 | 12,5 | 14,0 | 15,5 | 17,0 | 18,0 | 19,5 | 21,0 |
2 - 3 | 12,5 | 14,0 | 15,5 | 17,0 | 18,0 | 19,5 | 21,0 | |
3 - 4 | 14,0 | 15,5 | 17,0 | 18,0 | 19,5 | 21,0 | 22,5 | |
5 и более | 15,5 | 17,0 | 18,0 | 19,5 | 21,0 | 22,5 | 24,0 | |
Таблица 2
Поправки на скорость понижения уровня горных работ
при автомобильном и комбинированном транспорте
Средняя емкость ковша экскаватора, м3 | Угол падения рудного тела, ° |
30 - 50 | 50 - 70 | 70 - 90 |
Поправки на скорость понижения, м/год |
6 | 0,6 | 1,2 | 1,8 |
8 и более | 5,6 | 6,2 | 6,8 |
7.1.6 Минимальный срок существования карьера
T, лет (с учетом времени на развитие и затухание добычи, но без учета периода строительства), если он является единственным в составе алмазодобывающего предприятия, принимать по
таблице 3 или по
формуле (3).
Таблица 3
Минимальный срок существования карьера
Годовая производительность, млн т | Минимальный срок существования карьера, лет |
До 1 | 10 |
1 - 2 | 10 - 15 |
2 - 5 | 15 - 20 |
5 - 10 | 20 - 25 |
10 - 20 | 30 - 40 |

(9)
где R - балансовые запасы руды в тоннах.
7.1.7 При проектировании следует установить предельную производительность и срок существования карьера сравнением вариантов, рассчитанных для разных значений среднегодового понижения добычных работ hг < hmax. Лучшим считается вариант, обеспечивающий наибольшую производительность по руде при себестоимости добычи меньше или равной показателям карьера-аналога.
7.1.8 Принятый вариант предельной производительности и срока существования карьера следует проверить на величину чистого дисконтированного дохода при отработке балансовых запасов алмазоносной кимберлитовой руды и других показателей, характеризующих разновременность затрат и доходов. Календарный график отработки считается рациональным, если срок окупаемости вложений не превышает половины срока службы карьера.
7.1.9 Если в состав алмазодобывающего предприятия входят несколько карьеров, имеющих общий транспортный цех, ремонтную службу и остальное вспомогательное производство, то минимальный срок существования отдельных карьеров не ограничивается. Общий срок службы карьеров не должен быть менее указанного в
таблице 3, а их суммарная производственная мощность в течение всего периода (за вычетом времени на развитие и затухание) была постоянной. По каждому из карьеров-участков должен быть проведен горно-геометрический анализ, определен режим горных работ, производственная мощность по руде и вскрышным породам на основании максимальной производительности по горнотехническим возможностям.
7.1.10 При оценке сроков существования алмазодобывающего предприятия учитывать возможность прироста запасов руды как на рассматриваемом месторождении (карьере), так и других рядом расположенных карьеров, а также прироста запасов за счет перспективных месторождений, расположенных вблизи действующего предприятия.
7.1.11 При проектировании необходимо учитывать возможное колебание производительности переработки в зависимости от крепости исходной руды и соответствующее изменение производительности карьера по добыче руды, которое может составлять для алмазорудных карьеров до 20%.
7.2 Вскрытие месторождения и горно-капитальные работы
7.2.1 Способ вскрытия должен быть обоснован технико-экономическими расчетами и его следует выбирать, исходя из принятой системы разработки, вида карьерного транспорта и конкретных климатических и горно-геологических условий.
Параметры, конструкция, пропускная способность вскрывающих выработок и перегрузочных пунктов должны обеспечивать принятый календарный график отработки месторождения.
7.2.2 При проектировании схемы вскрытия для обеспечения оптимальной формы бортов карьера и сокращения объема вскрышных работ в контурах карьера следует учитывать горно-геологические условия месторождения и при необходимости предусматривать трансформацию схемы вскрытия по глубине.
7.2.3 Допускается применение схем вскрытия карьеров крутонаклонными съездами с применением самоходного транспорта (полноприводные пневмоколесные самосвалы, гусеничные самосвалы) для сокращения объемов вскрышных работ в контурах карьера и увеличения экономически эффективной глубины отработки месторождения открытым способом. В этом случае параметры вскрывающих выработок необходимо принимать по требованиям СП 37.13330.2012
(раздел 7) и
7.4 и
7.9 и обосновывать в проекте.
7.2.4 При использовании поточных и специальных видов транспорта (наклонные скиповые, автомобильные и иные виды подъемников), а также при вскрытии горизонтов месторождения подземными выработками, в том числе из карьерного пространства, следует предусматривать заблаговременное формирование борта карьера, учитывая размещение стационарных транспортных коммуникаций или подземных выработок.
7.2.5 При этапной отработке месторождения схема вскрытия на каждом предыдущем этапе должна обеспечивать возможность экономически обоснованного перехода к схеме вскрытия последующего этапа. Должны учитываться изменения транспортной системы, схемы вскрытия карьера и применяемые виды транспорта на весь период отработки месторождения. Эти положения следует предварительно определить в стратегии разработки балансовых запасов месторождения, сформулированной в виде этапов с проработанными техническими и технологическими решениями в части отработки всех балансовых запасов.
7.2.6 При проектировании схем вскрытия карьеров глубиной более 300 м и схем вскрытия с крутонаклонными съездами необходимо рассматривать возможность применения комбинированных видов транспорта. Переход с одного вида транспорта на другой следует обосновывать в проекте технико-экономическими и горно-геометрическим расчетами по
7.2.5.
7.2.7 При обосновании схемы вскрытия следует учитывать возможность применения перспективных видов и типоразмеров горнотранспортного оборудования, руководствуясь прогнозными оценками его выпуска, эксплуатационными и технико-экономическими показателями, полученными на основании результатов научно-исследовательских и опытно-конструкторских работ.
Внедрение перспективных видов оборудования следует предусматривать отдельным этапом проекта или локальным проектом отработки участков карьера с обязательным опытно-промышленным испытанием. Параметры и конструкцию вскрывающих выработок необходимо обосновывать по рекомендациям соответствующих научно-исследовательских и проектно-конструкторских организаций.
7.2.8 В проекте необходимо определить объем горно-капитальных работ. В период строительства карьера к таким работам относятся горные работы, обеспечивающие возможность ввода карьера в эксплуатацию на пусковую мощность и дальнейшее его развитие до достижения проектной производительности. При реконструкции карьера - дополнительные работы по разносу законсервированных бортов и по проходке вскрывающих выработок вне и внутри контура карьера, по осушению и дренажу месторождения.
При попутной добыче в периоды строительства, реконструкции карьера и достижения проектной мощности из объема горно-капитальной горной массы следует исключать часть вскрышных работ, относимых на эксплуатацию в соответствии с величиной эксплуатационного коэффициента погашения вскрыши, определяемого из условия последующей рентабельной работы карьера.
7.2.9 Пусковая мощность карьера при сдаче его в эксплуатацию не должна быть менее пусковой мощности обогатительной фабрики или ее доли при общей для нескольких карьеров фабрике.
7.2.10 При сдаче в эксплуатацию на полную мощность карьер должен иметь фронт работ, обеспеченный готовыми и подготовленными к выемке запасами руды и вскрышных пород, достаточными для безостановочной работы карьера. Размещение этих запасов по высоте рабочей зоны и в плане должно соответствовать намеченному направлению развития горных работ и обеспечивать техническую возможность поддержания запасов руды и вскрышных пород по мере их отработки.
7.2.11 Скорость понижения фронта горных работ карьера в период эксплуатации должна обеспечивать обогатительную фабрику добываемой рудой в соответствии с нарастанием ее мощности до проектных значений.
Скорость понижения фронта горных работ в период строительства следует, как правило, принимать выше скорости понижения в период эксплуатации карьера. Значение скорости необходимо обосновывать в проекте, учитывая:
- проектную производственную мощность карьера;
- горно-геологические условия;
- сроки ввода в эксплуатацию обогатительных мощностей;
- применяемое при строительстве оборудование и схемы вскрытия месторождения.
7.3 Обоснование основных параметров и показателей интенсивности систем разработки коренных месторождений алмазов
7.3.1 К основным параметрам систем разработки, существенно влияющим на динамику объема горных работ и уровень технико-экономических показателей, относятся высота рабочих уступов и ширина рабочих площадок. Эти параметры определяются по показателям интенсивности отработки карьера: скорости продвижения работ в плане и вертикальной скорости понижения добычных работ.
7.3.2 Высота уступа должна выбираться с учетом следующих факторов:
- безопасное ведение горных работ;
- свойства горных пород;
- вид и тип применяемого оборудования;
- потери и засорение полезного ископаемого;
- требуемая производственная мощность карьера;
- рациональное распределение объема горной массы во времени.
Высота добычного уступа с учетом потерь определяется по
8.3. Рациональную высоту рабочих уступов следует определять одновременно с выбором основного горнотранспортного оборудования.
При оценке вариантов высоты уступов необходимо учитывать следующие последствия увеличения высоты уступов:
- увеличение угла откоса рабочего борта и перенос части объема вскрышных работ на более поздние периоды отработки карьера при фиксированном графике развития добычных работ;
Примечание - На месторождениях с большой покровной толщей это приводит также к сокращению объема горно-капитальных работ.
- уменьшение протяженности транспортных коммуникаций на рабочих уступах;
- уменьшение работ по ремонту, строительству и содержанию автомобильных дорог;
- увеличение эксплуатационных потерь и засорения руды.
7.3.3 Ширина рабочей площадки связана B, M, с интенсивностью разработки следующей зависимостью:
B = Bmin + Bрез + Bmin + Lг·t, (10)
где B - средняя ширина рабочей площадки;
Bmin - минимальная ширина рабочей площадки (принята 30 м);
Bрез - средняя ширина резервной полосы готовых к выемке запасов горной массы, м;
Lг - скорость подвигания горных работ в плане, м/год;
t - обеспеченность (коэффициент резерва) готовыми к выемке запасами горной массы, год, которая определяется по формуле
t = t1 + t2, (11)
где t1 - коэффициент резерва, связанный с организацией буровзрывных работ, год, для рыхлых пород t1 = 0;
t2 - коэффициент резерва, связанный с неравномерностью подвигания смежных уступов, год.
Расчет норматива готовых к выемке запасов - по
8.2.
При изменении по высоте рабочей зоны таких величин, как высота уступов, минимальная ширина рабочих площадок, норматива готовых к выемке запасов при определении ширины нормальных рабочих площадок следует исходить из интенсивности разработки нижней группы уступов.
7.3.4 Максимальная скорость понижения добычных работ определяется возможной скоростью продвижения рабочего борта карьера. Рабочие горизонты по высоте рабочей зоны могут отличаться различным типом пород (скальные, полускальные, рыхлые), разной высотой разрабатываемых уступов и длиной горизонтов, различной технологией разработки. Скорость продвижения рабочего уступа Lг, м/год, определяют по формуле

(12)
где Qэ - производительность экскаватора, м3/год;
Фу - длина фронта работ на рабочем горизонте, м;
n - количество одновременно работающих на горизонте экскаваторов, шт.
При максимальной скорости продвижения борта карьера максимальная скорость понижения добычных работ определяется по формуле

(13)
где hг max - максимальная скорость понижения добычных работ карьера, м/год;
h - высота рабочего уступа, м;
Lогр - максимально возможная скорость продвижения фронта работ на ограничивающем горизонте, м/год;

- угол наклона рабочего уступа, °;
t - продолжительность периода оценки, лет;

- проекция угла направления понижения добычных работ на плоскость нормального к рабочему борту сечения, °.
Примечание - В знаменателе
формулы (13) знак минус перед

ставится при определении скорости углубления по косогору.
7.3.5 При календарном планировании должно быть установлено рациональное распределение объема горных работ во времени и в пространстве в виде серии последовательных во времени планов карьера, соответствующих принятому порядку развития горных работ, и графика развития производительности карьера по руде, вскрышным породам и горной массе.
При фиксированной схеме вскрытия и графике развития производительности карьера по руде, календарное планирование для достижения минимума суммарных приведенных во времени затрат проводится с учетом целесообразности переноса объема горных работ и соответствующих им затрат на возможно более поздние периоды эксплуатации карьера Зпр, руб., которые определяют по формуле

(14)
где Зt - текущие и капитальные затраты в t-ом году, руб.;
T - продолжительность периода оценки, лет;
B - норматив для приведения разновременных затрат.
При сравнении вариантов календарного плана, существенно отличающихся друг от друга не только динамикой годового объема вскрышных работ, но и динамикой качественных показателей добываемой руды, необходимо учитывать разницу в добыче эксплуатационной руды по вариантам. На стадиях предпроектной проработки оценка сравниваемых вариантов может быть проведена по коэффициенту горной массы, определяемому количеством горной массы, приходящейся на одну тонну руды или на один карат алмазов.
Для составления календарного плана горных работ исходными данными служат:
- запасы полезного ископаемого с выделением технологических разновидностей руды и ее качества;
- количество вскрышных пород в границах карьера по эксплуатационным слоям;
- принятая производительность карьера по полезному ископаемому;
- выбранный порядок отработки месторождения;
- применяемая система разработки и ее основные параметры;
- принятая схема вскрытия и вид внутрикарьерного транспорта.
При составлении календарного плана горных работ должны учитываться следующие основные требования:
- минимальная продолжительность периода строительства карьера;
- объем горно-капитальных работ в период строительства;
- минимально возможный срок развития добычи до проектного уровня при отсутствии ограничений со стороны обогатительной фабрики;
- период максимальной производительности карьера по горной массе с продолжительностью не менее 7 - 10 лет;
- наличие нормативного количества готовых к выемке запасов руды и вскрышных пород.
По сформулированным выше исходным данным и требованиям строится календарный график горно-добычных работ на весь период отработки карьера. Анализируются соотношения запасов руды и объема вскрышных пород, заключенных между смежными планами, выделяется период со стабильным коэффициентом вскрыши, а при достаточной продолжительности срока службы - ряд периодов, каждый со своим эксплуатационным коэффициентом вскрыши и годовым объемом работ по вскрышным породам и горной массе. Должна рассматриваться рациональность уменьшения коэффициента вскрыши в первый период работы при переносе объема вскрышных работ на более поздние периоды.
Годовой объем горных работ регулируется выбором направления развития работ, варьированием таких параметров системы разработки, как ширина рабочих площадок и высота уступа и временной консервацией участков рабочего борта для уточнения графика производительности и обоснования работоспособности генеральной схемы вскрытия карьера в процессе эксплуатации.
7.3.6 Расчет параметров временных целиков и временной консервации участков рабочего борта, применяемых для отнесения выемки части породы на более поздние периоды разработки, проводится по методике, не допускающей сокращение разрабатываемых рудных площадей за счет целиков.
Для крупных карьеров, имеющих значительную глубину и размеры в плане, рекомендуется передвижение временных целиков по направлению к конечному борту через несколько промежуточных положений.
При расчете должны задаваться либо величина шага передвижки целика, либо размер рабочей зоны в плане между двумя соседними по высоте участками целика. Эти величины должны быть установлены при рациональной концентрации горных работ по разносу целика и рациональной продолжительности работ на каждом горизонте. Должна обеспечиваться стабильность размещаемых в целике транспортных коммуникаций, предотвращение частых перегонов горного оборудования.
7.4 Параметры и конструкция автомобильных технологических дорог для карьеров алмазодобывающих предприятий, разрабатываемых в криолитозоне.
7.4.1 Для обеспечения технологических перевозок автотранспортными средствами на территории промышленных площадок алмазодобывающих карьеров, расположенных в криолитозоне, проектируются и возводятся автомобильные дороги открытых горных выработок категории "к" в соответствии с СП 37.13330.2012 (
7.2.1 и
7.2.2). Расчетная скорость принимается по СП 37.13330.2012
(таблица 7.2), а параметры плана и продольного профиля автомобильных дорог - по СП 37.13330.2012 (
таблицы 7.3 и
7.4).
7.4.2 Геометрические элементы автомобильных дорог алмазодобывающих карьеров, расположенных в криолитозоне, определяются исходя из движения по ним автотранспортных средств с максимальными значениями осевой нагрузки и габаритной шириной автомобиля, которая принимается в соответствии с ГОСТ Р 41.48-2004 (
2.14 и
2.15).
Ширина карьерной автомобильной дороги W, м, определяется по формуле
W = (1,5 x L + Kк)X, (15)
где L - число полос движения;
Kк - коэффициент категории дороги;
X - габаритная ширина автомобиля, м.
Минимальные значения параметра автомобильной дороги следует определять интерполяцией с округлением в большую сторону до 0,5 м. Для однополосных дорог к полученным значениям добавлять 0,5 м.
Коэффициенты категории дороги
Kк для различных категорий и их местоположения приведены в
таблице 4.
Таблица 4
Коэффициент категории дороги
Kк
Категория дороги | Местоположение |
В карьере | На поверхности и отвале |
Двухполосная дорога | Однополосная дорога | Двухполосная дорога | Однополосная дорога |
I-к | 0,5 | - | 1,0 | - |
II-к | 0,4 | 0,5 | 0,8 | - |
III-к | 0,2 | 0,5 | 0,6 | 0,5 |
IV-к | 0,0 | 0,5 | 0,0 | 0,5 |
7.4.3 Автомобильные дороги внутри карьера (кроме забойных) необходимо ограждать от призмы обрушения предохранительными сооружениями. Высоту предохранительных сооружений следует принимать в соответствии с
пунктом 726 правил безопасности при ведении горных работ
[3].
Минимальные значения высоты конструкций ограждений следует принимать по СП 37.13330.2012
(таблица 7.25).
Параметры остальных элементов поперечного профиля транспортной бермы карьерных автомобильных дорог приведены в
таблице 5.
7.4.4 Расчет конструкции дорожной одежды следует проводить в соответствии с требованиями
7.8 СП 37.13330.2012. При выполнении расчетов для дорожно-климатической зоны категории I-к расчетные сроки их службы до капитального ремонта принимаются по СП 37.13330.2012
(таблица 7.18).
Таблица 5
Минимальные параметры элементов
поперечного профиля транспортной бермы
В метрах
Со стороны вышележащего уступа | Со стороны нижележащего уступа |
Площадка сбора осыпей | Водоотводная канава (лоток) <1> | Полоса выветривания (от края уступа до ограждения) <2> |
0,5 | 0,5 | 1,0 |
<1> Сечение водоотводных канав или бетонных лотков надлежит назначать на основе гидравлических расчетов, при этом ширина кюветов и лотков не менее 0,5 м. <2> Для устойчивого угла уступа. При неустойчивом угле откоса уступа прибавлять ширину призмы обрушения. |
7.4.5 Заложение откосов насыпей дорог на дневной поверхности на прочном основании - согласно СП 34.13330.2012
(таблица 7.4).
7.4.6 Проектирование выемки в вечной мерзлоте при строительстве поверхностных дорог разрешается на участках с благоприятными грунтово-гидрогеологическими условиями. В насыпи дороги обязательна установка водопропускных сооружений, согласованных с генеральным планом горнорудного предприятия, учитывающим направления поверхностного стока вод.
Устойчивость насыпи обеспечивается высотой, при которой верхний горизонт вечномерзлых грунтов будет сохраняться в критический по балансу тепла год на требуемой глубине и осадка насыпи при этом в оттаявшие грунты основания не будет превосходить допустимой величины.
Расчет высоты насыпи на устойчивость проводится по нормам проектирования и строительства автомобильных дорог в районах вечной мерзлоты
(приложение 4) в соответствии с
[12]. В этом случае высота насыпи равна глубине сезонного оттаивания конструкции, включающей земляное полотно и дорожную одежду. В частности, для условий криолитозоны высота не менее 2 м.
Все принятые элементы плана трассы должны обеспечивать видимость поверхности дороги и встречного автомобиля по требованию
7.4.1 СП 37.13330.2012. Принимаемые варианты должны быть рассчитаны для обеспечения безопасности движения транспортных средств с учетом скорости движения транспортных средств и интенсивности движения.
Для защиты трассы от занесения снегом и от попадания на трассу животных согласно
7.32 СП 34.13330.2012 возвышение бровки земляного полотна над расчетным уровнем снегового покрова должно быть не менее 0,6 м.
Для организации и регулирования безопасности движения транспорта, ориентации водителей, повышения транспортно-эксплуатационных качеств автомобильной дороги проектом должна быть предусмотрена установка направляющих устройств, а также установка дорожных знаков по
ГОСТ Р 52289.
7.5 Выемочно-погрузочные работы
7.5.1 Тип и модель выемочно-погрузочного оборудования выбирается в соответствии с производственной мощностью карьера по горной массе и горнотехническими условиями разработки месторождения.
7.5.2 Вид и типоразмер транспортного средства для перевозки горной массы выбирают в соответствии с параметрами выемочно-погрузочного оборудования, горнотехническими условиями эксплуатации и обосновывают технико-экономическими расчетами.
7.5.3 Годовая производительность выемочно-погрузочного оборудования рассчитывается исходя из средней сменной производительности и количества рабочих смен. Сменная норма выработки экскаватора рассчитывается для каждой категории пород по трудности экскавации в соответствии с требованиями
[13] по методике
(приложение А).
7.5.4 Среднесменная производительность экскаватора или погрузчика устанавливается для наиболее распространенных факторов и рациональных условий выполнения работы. Для других условий и факторов принимается с учетом поправочных коэффициентов, учитывающих влияние горнотехнических условий
(приложение Б).
7.5.5 Продолжительность цикла экскавации определяется на основе технических характеристик оборудования, данных хронометражных наблюдений в аналогичных условиях разработки.
7.5.6 Количество рабочих смен (Tраб) определяют по формуле:
Tраб = Tкал - Tреж - Tрем - Tвз, (16)
где Tкал - количество календарных смен в году;
Tреж - количество нерабочих смен, связанное с принятым режимом работы карьера (праздничные, выходные дни);
Tрем - затраты времени на техническое обслуживание и ремонт в течение года;
Tвз - количество нерабочих смен оборудования, связанное с производством взрывных работ.
Примечание -
Tрем принимается в соответствии с ремонтным циклом по положению о планово-предупредительных ремонтах для отечественного оборудования и по инструкциям заводов-изготовителей по техническому обслуживанию для оборудования, приобретаемого по импорту.
Tвз определяется расчетом в соответствии с принятым графиком производства взрывных работ и требованиями
правил безопасности при взрывных работах
[4].
7.5.7 В проектах реконструкции и при определении потребности в выемочно-погрузочном оборудовании по годам разработки месторождения производительность оборудования следует принимать с учетом понижающих коэффициентов, учитывающих срок службы экскаваторов (см.
таблицу 6) и глубину горных работ (см.
таблицу 7).
Примечание - Приведенные значения коэффициентов снижения производительности экскаваторов отражают специфику отработки алмазорудных месторождений, расположенных в криолитозоне: высокую скорость углубки, этапность отработки, сокращение параметров рабочей зоны с глубиной горных работ, суровые климатические условия. Для карьеров с иной технологией разработки, расположенных не в зоне вечной мерзлоты, значения коэффициентов могут быть скорректированы на основе исследований и анализа существующего опыта.
Таблица 6
Коэффициенты снижения производительности в зависимости
от срока службы выемочно-погрузочного оборудования
Вид оборудования | Продолжительность эксплуатации, лет |
1 - 3 | 3 - 5 | 5 - 8 | 8 - 10 | 10 - 12 | 13 - 16 | 16 - 20 | > 20 |
Коэффициенты снижения производительности оборудования |
Экскаваторы электрические | 1,0 - 0,95 | 0,95 - 0,97 | 0,97 - 0,83 | 0,83 - 0,79 | 0,79 - 0,73 | 0,73 - 0,62 | 0,62 - 0,50 | 0,50 - 0,42 |
Экскаваторы гидравлические | 1,0 - 0,9 | 0,89 - 0,85 | 0,84 - 0,69 | 0,68 - 0,60 | - | - | - | - |
Таблица 7
Коэффициенты снижения производительности оборудования
в зависимости от глубины горных работ
Вид оборудования | Глубина горных работ, м |
0 - 100 | 100 - 200 | 200 - 300 | 300 - 400 | свыше 400 |
Коэффициенты снижения производительности оборудования |
Экскаваторы электрические | 1,0 | 0,94 - 0,90 | 0,89 - 0,85 | 0,84 - 0,80 | 0,79 - 0,75 |
Экскаваторы гидравлические | 1,0 | 0,97 - 0,95 | 0,94 - 0,92 | 0,91 - 0,89 | 0,88 - 0,86 |
7.6 Подготовка горных пород к выемке в криолитозоне
7.6.1 Направления подготовки работ
Подготовка горных пород к выемке при открытой разработке месторождения проводится по двум направлениям: буровзрывные работы и механическое разрушение.
Механическое разрушение применяется для выемочных работ, когда использование взрыва затруднительно либо нецелесообразно.
7.6.2 Буровзрывные работы
7.6.2.1 Параметры буровзрывных работ должны определяться по величине удельного расхода взрывчатого вещества. Предварительное определение этой величины следует проводить при предпроектных разработках, а уточнение - по результатам опытного взрывания при строительстве карьера. Допускается уточнение удельного расхода взрывчатого вещества при эксплуатации месторождения, в том числе по данным об энергоемкости бурения, анализе качества взрывной подготовки, проведения оптимизации параметров буровзрывных работ.
Средством оперативного получения данных по прочностным характеристикам взрываемых пород может быть применение современных специализированных программно-технических комплексов типа "BLASTMAKER" или их аналогов.
Инструкции, технологические регламенты, проекты и типовые проекты буровзрывных работ должны удовлетворять требованиям к охране труда, изложенным в
[14]. Формулировки в используемых документах должны исключать двойное толкование. В инструкциях должен быть определен порядок действий при возникновении непредвиденных обстоятельств, угрожающих жизни и здоровью людей.
7.6.2.2 В тексте типового проекта буровзрывных работ не допускается двойное толкование. Текст не следует перегружать дополнительной информацией о вариантах буровзрывных работ, должен приводиться лишь порядок расчета. Количество таблиц должно быть минимально необходимым для понимания расчетных приемов и определения исходных данных. Дополнять разделы типового проекта вариантами данных следует только в том случае, если анализ этих данных встроен в расчетную схему.
Сменную производительность буровых станков следует определять в зависимости от их технических характеристик по скорости бурения с учетом времени на сопутствующие операции.
Годовую производительность буровых станков следует определять по сменной производительности и рабочему времени. Рабочее время в году определяется графиком работы предприятия и правилами эксплуатации конкретного бурового оборудования.
7.6.2.3 Для обеспечения лучшей сохранности алмазов при отделении кимберлитов и продуктивных песков от вмещающих пород буровзрывными методами минимальные расстояния между скважинами и рядами скважин должны быть ограничены величиной а = в = (21/24)dскв, где а - расстояние между скважинами, м; в - расстояние между рядами скважин, м; dскв - диаметр взрываемых скважин, м. Рекомендуется применение низко бризантных ВВ.
7.6.2.4 При подходе к предельному контуру карьера необходимо применять специальную технологию ведения буровзрывных работ, обеспечивающую сохранность берм и откосов уступов. Ширина зоны, в которой допускается проводить специальные мероприятия по экранированию массива от взрыва, составляет от 30 до 40 м от границы предельного контура. С оставлением приконтурного целика шириной 30 - 40 м по линии контура карьера следует предварительно создавать отрезную (предохранительную) щель. Комплекс исследований и разработок при буровзрывных работах на предельном контуре карьера рекомендуется оформлять в виде единого технологического регламента.
Параметры экранирования в приконтурной зоне необходимо определять в соответствии с конкретными условиями производства работ. Расстояния между контурными скважинами должны обеспечивать образование поверхности экрана и возможность нормального маневрирования при смене позиции используемого бурового станка.
Контурные заряды отрезной щели необходимо взрывать до зарядов дробления. При возможности взрывы для создания отрезных полостей необходимо выполнять заранее.
Сейсмобезопасную массу зарядов взрывчатого вещества для сохранности зданий и сооружений промышленных площадок следует определять по
правилам безопасности при взрывных работах в соответствии с требованиями
[4]. Для сохранности бортов карьера в процессе эксплуатации месторождения сейсмобезопасную массу зарядов рекомендуется определять по результатам специальных исследований.
Емкость базисных складов взрывчатых материалов не должна превышать трехмесячную потребность. На месторождениях, где возможна только сезонная поставка взрывчатых материалов, емкость базисного склада не должна превышать годовую потребность.
7.6.2.5 Размер негабарита взорванной горной массы определяется параметрами выемочной техники и дробильного оборудования. При общем годовом выходе негабарита более 20% от взорванной горной массы необходимо проводить корректирование проектной документации буровзрывных работ.
Дробление негабарита проводится взрывами или специальными устройствами для механического разрушения пород. Схема раскладки негабарита и перемещения устройства при механическом разрушении должна обеспечивать безопасность выполнения этих работ, а также работ в процессах, проходящих рядом.
7.6.3 Дробление негабарита
Дробление негабарита производится взрывом либо специальными устройствами для механического разрушения пород. Выбор способа дробления определяется экономической эффективностью и безопасностью его применения в конкретных условиях.
Дробление негабарита взрывом производится шпуровыми или накладными зарядами по утвержденному паспорту буровзрывных работ на взрывание негабарита. Массу одновременно взрываемых зарядов ВВ определяют по паспорту исходя из условий обеспечения безопасности персонала, техники и охраняемых объектов.
При механическом дроблении кусков на рудном складе технологическая схема работы должна предусматривать предварительную раскладку негабаритов полосами на специальной площадке. Расстояния между полосами должны обеспечивать возможность нормального маневрирования устройства для разрушения в соответствии с его размерами. Расстояние между работающим экскаватором и этим устройством - не менее 35 м, длина площадки - от 70 до 200 м, ширина - от 30 до 60 м.
7.6.4 Использование машин механического рыхления при добыче кимберлитов и алмазосодержащих песков
7.6.4.1 Механическое рыхление применяется, если добыча этим способом экономически эффективна и экологически приемлема.
7.6.4.2 По назначению и выполняемым функциям в общем технологическом цикле оборудование для безвзрывной разработки делится на две группы:
- машины, выполняющие только разрушение горных пород;
- выемочно-погрузочные машины, выполняющие как разрушение, так и погрузку горной массы.
Породоразрушающие механизмы делятся на механизмы мелкого скола (45 - 60 мм), среднего (100 - 300 мм) и крупного (более 300 мм). По конструктивно-технологическим признакам выделяются следующие типы машин, отличающиеся конструктивным исполнением и способом рыхления горных пород:
- бульдозерно-рыхлительные агрегаты;
- горные комбайны;
- роторные экскаваторы;
- одноковшовые экскаваторы для безвзрывной разработки массивов горных пород;
- навесные гидромолоты;
- струги (многомашинные подвесные агрегаты).
7.6.4.3 Бульдозерно-рыхлительные агрегаты характеризуются высокой маневренностью и возможностью селективной разработки горизонтальных и пологих залежей малой мощности. Максимальное усилие копания в основном зависит от массы бульдозера, а эффективность рыхления - от структурно-прочностных и акустических показателей массива (см.
таблицу 8).
Таблица 8
Область эффективного применения
бульдозерно-рыхлительных агрегатов
Группа пород | Скорость продольных волн в породах, км/с | Максимально допустимый коэффициент крепости пород f |
Магматические породы | 2,55 | 8 - 9 |
Осадочные породы | 2,77 | 8 - 11 |
Метаморфические породы | 2,62 | 8 - 9 |
Минералы и руды | 2,87 | 9 - 10 |
Валунная глина | 2,25 | 7 - 8 |
7.6.4.4 Карьерные комбайны относятся к машинам послойного фрезерования. При движении машины срезается слой пород, дробленое полезное ископаемое направляется по спирали барабана режущего органа на боковой конвейер, оттуда на погрузочный конвейер в хвостовой части. Эффективная область применения карьерных комбайнов - породы с коэффициентом крепости f 3 - 7, в отдельных случаях до 10 - 12 по шкале Протодьяконова М.М. При выборочной выемке точность разделения составляет:
- тонкослоевая выемка с точностью разделения b < +/- 5 см и глубиной черпания m < 0,5 м;
- селективная выемка: b = +/- 5 - 10 см, m = 0,5 - (1,5) м;
- условно-селективная, валовая выемка: b = +/- 5 - 30 см, m = 0,5 - 3 м.
7.6.4.5 Роторные экскаваторы относятся к машинам непрерывного действия. Роторный экскаватор следует применять, если его установка в конкретных условиях возможна и экономически целесообразна. Экскаваторы данного типа могут разрабатывать массивы горных пород с коэффициентом крепости f равным 1 - 8 при температуре окружающего воздуха до минус 50 °C.
7.6.4.6 Гидравлические молоты относятся к вспомогательному навесному оборудованию со значительной энергией удара при относительно небольшой массе. Они применяются для ударного воздействия на породы различной крепости. Наиболее эффективное применение навесных гидромолотов - при совмещении их в технологической схеме с рыхлительно-бульдозерными агрегатами или экскаваторами.
7.6.4.7 Струг - многомашинный агрегат, включающий буровое оборудование, связанное конструктивно с генераторами газовых импульсов высокого давления и сопряженное с расклинивающим устройством. При отбойке породы на откосе сначала происходит бурение полостей, потом разрушающее их расклинивание и на завершающем этапе - срезание разрушенной кромки. Затем горная масса под собственным весом перемещается в подставленный к откосу на нижележащем горизонте приемный бункер, откуда конвейером осуществляется транспортирование горной массы к месту перегрузки и переработки.
Синхронизация формирования потока разрушенной породы, последующей перегрузки и транспортирования позволяет осуществить поточную разработку месторождений в породах различной крепости, включая скальные породы с коэффициентом крепости f до 10 - 12 по шкале Протодьяконова М.М.
7.7 Отвальное хозяйство в условиях криолитозоны
7.7.1 Породные отвалы размещают вне карьера (внешние отвалы) или в выработанном пространстве карьера (внутренние отвалы).
7.7.2 Участки для размещения отвалов должны выбираться после проведения инженерно-геологических и гидрогеологических изысканий. В проекте должна быть приведена характеристика грунтов на участках, предназначенных для размещения отвалов.
Порядок образования и эксплуатации отвалов, расположенных над действующими подземными выработками, а также засыпки провалов и отработанных участков объектов открытых горных работ должен определяться специальным проектом.
7.7.3 Емкость отвалов необходимо определять на весь объем пород, удаляемых из карьера. При определении емкости отвалов величину коэффициента остаточного разрыхления следует принимать в соответствии с физико-механическими свойствами пород. Коэффициент остаточного разрыхления для полускальных пород принимается равным 1,20, для смешанных пород и твердых глин - от 1,06 до 1,12.
7.7.4 Параметры отвалов следует принимать по результатам исследований или на основании расчетов, выполненных специализированными организациями.
Высота породных отвалов и отвальных ярусов, углы откоса и призмы обрушения, скорость продвижения фронта отвальных работ устанавливаются в зависимости от физико-механических свойств пород отвала и его основания, способов отвалообразования и рельефа местности.
При обосновании высоты отвалов и ярусов необходимо учитывать физико-механические свойства пород, рельеф местности, несущую способность основания отвалов и тип оборудования, принятого для механизации отвальных работ.
В проекте для мониторинга устойчивости пород в отвале следует предусматривать систему геомеханического контроля.
7.7.5 Отсыпка отвала на твердое основание может осуществляться в любое время года.
На рыхлом основании отвалы начинают отсыпаться в зимнее время, после его промерзания.
При отсыпке породы на мерзлое основание высоту отсыпаемого предотвала следует принимать не менее 12 - 15 м, чтобы при максимальном оттаивании температура основания не поднималась выше 2 °C. При этом отвал можно досыпать в летне-осенний период до высоты, рекомендованной для мерзлых оснований.
Формирование внешних отвалов (высотой до 100 м) следует проводить, как правило, в один ярус.
7.7.6 Расположение внешних отвалов относительно карьера, их количество и форма, а также порядок формирования необходимо определять на основании технико-экономических расчетов для обеспечения минимальных затрат на транспортирование пород, на последующие природоохранные мероприятия и интенсификацию естественного проветривания. Расчеты интенсификации естественного проветривания следует проводить по
7.12.
7.7.7 В зависимости от вида транспорта, доставляющего породу в отвал, применяются следующие способы механизации отвальных работ:
- при автомобильном транспорте - бульдозерный;
- при конвейерном транспорте - отвалообразователями непрерывного действия.
Применение других способов механизации отвальных работ необходимо обосновывать технико-экономическими расчетами.
7.7.8 При бульдозерном способе отвалообразования объем породы, подлежащий сталкиванию бульдозерами на отвалах, определяется по отвальному коэффициенту: отношению объема породы, остающейся у верхней бровки отвала после разгрузки автосамосвала, к объему породы, доставленной в отвал автотранспортом.
7.7.9 Поверхность бульдозерного отвала следует проектировать с подъемом на три градуса в сторону разгрузочной бермы.
7.7.10 Сменная производительность бульдозеров Qсм, м3, при перемещении грунта на отвалах на расстояние до 10 м определяется по формуле

(17)
где Tсм - продолжительность смены, ч;
V - объем призмы волочения, м3;
kисп - коэффициент использования бульдозера;
Tц - время цикла, с;
kр - коэффициент разрыхления породы.
Объем призмы волочения V, м3, определяется по формуле

(18)
где hо - высота отвала бульдозера, м;
lо - ширина отвала бульдозера, м;

- угол откоса развала породы, °.
Время цикла Tц, с, определяется по формуле

(19)
где Lг - расстояние перемещения породы бульдозером, м;
vпп - скорость движения при перемещении породы, м/с;
vзх - скорость движения бульдозера задним ходом, м/с;
tп - время на переключение скорости, с.
7.7.11 Годовая производительность бульдозера на приемку вскрышных пород и формирование отвала Qг, м3/год, определяется по формуле
Qг = Qсм·Nсм, (20)
где Nсм - количество смен в году.
Полученный по расчетам рабочий парк бульдозеров корректируется по числу одновременно действующих отвалов. Инвентарный парк бульдозеров для отвальных работ принимается с учетом коэффициента технической готовности и резерва.
7.8 Откосы бортов карьеров и отвалов, разрабатываемых в криолитозоне
7.8.1 Общие положения
7.8.1.1 Этот раздел проекта разработки разрабатывается с учетом правил обеспечения устойчивости откосов, методик определения максимальных параметров устойчивых бортов, уступов и отвалов на угольных разрезах, утвержденных
[15], с учетом особенностей разработки алмазорудных месторождений открытым способом и конструктивных параметров отработанных карьеров в криолитозоне.
Параметры нерабочих бортов карьеров должны быть равны 385 - 640 м, при генеральных углах 38 - 55°, с уступами высотой до 60 м и углами до 90°, при средних прочностных характеристиках - условное сцепление 7,85 - 11,84 МПа, угол внутреннего трения 28,1 - 37,4°, коэффициенте структурного ослабления 0,085 - 0,11.
7.8.1.2 Максимальные углы наклона устойчивых бортов, откосов уступов карьера и отвалов устанавливаются геомеханическими расчетами на основе изучения физико-механических свойств вмещающих пород и руд, геологических, гидрогеологических, климатических и горнотехнических условий месторождения.
7.8.1.3 Предельные углы откосов временно консервируемых участков борта, параметры рабочих и нерабочих уступов, предохранительных берм в процессе эксплуатации устанавливаются проектом на основе геомеханических расчетов.
7.8.1.4 В проекте необходимо предусмотреть основные принципы оценки состояния прибортового массива по инженерно-геологическим изысканиям и гидрогеомеханическому мониторингу. Предусматривается также выполнение работ по обеспечению устойчивости бортов и отдельных уступов карьера, в частности дренаж прибортового массива, укрепление отдельных участков уступов, увеличение ширины предохранительных берм на верхних горизонтах карьера.
В проекте гидрогеомеханического мониторинга рекомендуется предусматривать наблюдения за сработкой верхней бровки уступов и накоплением осыпей в процессе выветривания.
7.8.1.5 Мониторинг должен включать уточнение инженерно-геологических условий в период строительства и эксплуатации карьеров. Для этого проводится детальное изучение тектонического строения массива, деформации бортов карьеров, физико-механических свойств горных пород, их трещиноватости, условий залегания слоев пород по мере их вскрытия, влияние рассолов на их прочностные свойства.
7.8.2 Инженерно-геологическое обеспечение
7.8.2.1 Ориентировочное число инженерно-геологических скважин, необходимых для проектирования разработки месторождений кимберлитовых трубок в зависимости от сложности геологического строения и пространственного распространения многолетней мерзлоты, приведено в
таблице 9.
Таблица 9
Ориентировочное число инженерно-геологических скважин
Группа месторождений по прочности слагающих их пород | Подгруппа месторождения по сложности геологического строения | Количество инженерно-геологических скважин |
Отсутствие мерзлоты или сплошное развитие | Наличие таликов или островное развитие |
I <1> - Скальные породы  | 1 Ненарушенные или слабо нарушенные, горизонтальное, пологое залегание пород, простые гидрогеологические условия | 2 - 3 | 2 - 3 |
2 Тектонически нарушенное наклонное и крутое залегание пород | 3 - 4 | 3 - 4 |
3 Интенсивно тектонически нарушенное наклонное и крутое залегание пород | 4 - 6 | 4 - 6 |
II <2> - Полускальные породы  | 1 Спокойное горизонтальное или пологое залегание пород, простые гидрогеологические условия | 0,5 - 0,8 | 1,0 - 1,6 |
2 Горизонтальное, наклонное и крутое залегание пород, осложненное разрывными нарушениями. Более сложные гидрогеологические условия, особенно со стороны лежачего бока: сохранение напоров, разуплотнение и набухание горных пород в уступах, фильтрационные деформации | 0,8 - 1,5 | 1,6 - 3 |
3 Наклонное и крутое залегание пород, интенсивная тектоническая нарушенность | 2 - 3 | 4 - 6 |
III <2> - Слабые породы  | 1 Горизонтальное залегание пород, простые гидрогеологические условия | 2 - 3 | 4 - 6 |
2 Пологое залегание пород, сложные гидрогеологические условия | 4 - 6 | 8 - 12 |
3 Горизонтальное, пологое и крутое залегание пород, развитые дизъюнктивные нарушения, сложные гидрогеологические условия | 6 - 8 | 12 - 16 |
<1> Число скважин на все поле карьера. <2> Число скважин на 1 км 2 поля карьера. |
7.8.2.2 Геомеханическому расчету должно предшествовать районирование прибортового массива по инженерно-геологическим условиям, определяющим устойчивость откосов по следующим параметрам:
- прочность пород;
- структурное строение массива;
- гидрогеологические и криологические условия;
- высота борта.
Рекомендуется при районировании прибортового массива проводить кинематический анализ структурного строения массива, построение трехмерных структурно-тектонических схем, моделирования трещинно-блочной структуры массива горных пород.
7.8.2.3 Для геомеханического расчета устойчивости откосов необходимо получить данные о свойствах пород как в мерзлом, так и в талом состояниях, а также после различного числа циклов периодически повторяющегося замораживания и последующего оттаивания.
7.8.2.4 Для лабораторных испытаний должен проводиться отбор образцов скальных и полускальных пород из керна инженерно-геологических скважин каждой литологической разности. Интервал отбора образцов не более 50 м.
Объем проб и размеры образцов должны определяться программой изысканий и методикой испытаний.
7.8.3 Оценка устойчивости бортов карьеров, уступов и отвалов
7.8.3.1 Устойчивость борта карьера в многолетнемерзлых породах в целом определяется прочностью мерзлых пород.
Увеличение прочности массива при замерзании происходит при смерзании контактов по поверхностям ослабления: наслоение, трещины, тектонические нарушения.
7.8.3.2 При расчетах рекомендуется принимать характеристики прочности мерзлых пород, соответствующие длительному действию нагрузки. Длительная прочность мерзлого массива скальных и полускальных пород составляет примерно 80% от прочности кратковременной.
7.8.3.3 Величина сцепления пород в массиве Cм, МПа, определяется по формуле

(21)
W - интенсивность трещиноватости участка горного массива равная;
| | ИС МЕГАНОРМ: примечание. Обозначение дано в соответствии с официальным текстом документа. | |
I - средний размер структурного блока, м;
H - высота массива, м.
Таблица 10
Прочностные характеристики по поверхностям
ослабления полускальных пород
Характеристика поверхностей ослабления массива | Величина сцепления, МПа | Угол внутреннего трения, ° |
Контакты шероховатые | 0,07 - 0,28 | 27 - 33 |
Контакты гладкие | 0,03 - 0,06 | 26 - 30 |
Контакты мерзлые | 0,35 - 0,85 | 25 - 35 |
Таблица 11
Группа пород | Породы и характер трещиноватости | Сцепление в монолите, МПа | Коэффициент a |
III | Слабоуплотненные и слаботрещиноватые песчано-глинистые отложения: сильновыветрелые, полностью каолинизированные изверженные породы | 0,4 - 0,9 | 0,5 |
Уплотненные песчано-глинистые породы, в основном, нормальносекущей трещиноватости | 1,0 - 2,0 | 2 |
II | Сильно каолинизированные изверженные породы | 3,0 - 8,0 | 2 |
Уплотненные песчано-глинистые породы с развитой кососекущей трещиноватостью, каолинизированные изверженные породы | 3,0 - 8,0 | 2 |
Средней прочности слоистые породы, преимущественно нормальносекущей трещиноватости | 10,0 - 15,0 | 3 |
15,0 - 17,0 | 4 |
17,0 - 20,0 | 5 |
I | Прочные породы, преимущественно нормальносекущей трещиноватости | 20,0 - 30,0 | 6 |
> 30,0 | 7 |
Прочные изверженные породы с развитой кососекущей трещиноватостью | > 20,0 | 10 |
7.8.3.4 Рассчитанный коэффициент структурного ослабления

и сцепление по поверхностям ослабления, полученные по результатам лабораторных испытаний, уточняются по натурным испытаниям в подземных выработках и бортах карьеров, а также по результатам выполнения обратных расчетов по нарушениям устойчивости откосов.
Значения коэффициента структурного ослабления и физико-механические свойства основных горных пород по месторождениям приведены в
приложении В.
7.8.3.5 Угол внутреннего трения пород в массиве и угол трения по поверхностям ослабления определяется по результатам лабораторных испытаний образцов в талом и мерзлом состоянии.
Угол внутреннего трения в массиве принимается равным углу внутреннего трения, полученному при лабораторных испытаниях в образце.
7.8.3.6 Для оценки устойчивости бортов, уступов и откосов отвалов следует применять методы, основанные на теории предельного равновесия. Основным является интегральный критерий оценки устойчивости горного массива по некоторой, заранее выбранной, либо определяемой в процессе расчета поверхности вероятного скольжения
[15].
Для определения критерия прочности при оценке устойчивости откосов рекомендуется использовать закон Кулона-Мора. Методика проведения кинематического анализа также изложена в
[15].
Построение трехмерных структурно-тектонических схем карьеров проводят специализированные геологические организации по типовым методикам, включающим следующие элементы:
- замер в карьере основных характеристик разрывных нарушений и тектонической трещиноватости;
- уточнение блоков слабонарушенных пород и ограничивающих их крупных разрывных нарушений (зоны дробления и/или повышенной трещиноватости);
- уточнение основных геометрических характеристик блоков слабонарушенных пород и особенностей распределения в их пределах основных систем крупных трещин и разрывов;
- характеристика особенностей строения и основных параметров (пространственная ориентировка, ширина, предполагаемая длина, материал заполнения и т.д.) разрывных нарушений и зон повышенной трещиноватости;
- уточнение на основе собранных данных схемы разломно-блокового строения трубки в масштабе 1:2000;
- районирование горного массива на основе кинематического анализа откосов уступов карьера (построение стереограмм, полярных диаграмм, разбивка на структурные домены (блоки) с выделением участков сползания, выклинивания, опрокидывания; определение потенциально неустойчивых участков борта (уступов, блоков); дать погоризонтную характеристику структурной выдержанности массива);
- выполнение трехмерной совмещенной схемы проекта карьера и разломно-блокового строения вмещающих пород;
- выполнение геомеханического районирования бортов, поставленных в конечное положение с учетом результатов уточнения разломно-блокового строения вмещающих пород.
7.8.3.7 Оценка геомеханической устойчивости откосов проводится путем сравнения расчетных коэффициентов запаса устойчивости
Kзу,р откосов и их допускаемых значений
Kзу,д. Допускаемый коэффициент зависит от стадии освоения месторождения и способа получения исходных характеристик, входящих в расчеты. Допускаемые коэффициенты принимаются согласно
таблице 12.
Таблица 12
Допускаемые значения коэффициента запаса устойчивости
Стадия освоения месторождения | Нерабочий борт, сроки стояния |
Борт | | Уступ | Борт | | Уступ | Борт | | Уступ | Борт | | Уступ |
до 5 лет | более 5 лет | более 15 лет | более 30 лет |
Проектирование | по геологическим данным методом аналогий <1> | 1,4 | 1,4 | 2,0 | 1,5 | 1,5 | 2,5 | 2,0 | 2,0 | 3,0 | - | - | - |
по данным кернового изучения массива горных пород | 1,2 | 1,25 | 1,5 | 1,3 | 1,3 | 2,0 | 1,35 | 1,35 | 2,10 | | | |
Постановка борта по результатам длительного изучения массива на больших обнажениях | - | - | - | 1,3 | 1,3 | 2,0 | 1,3 | 1,3 | 2,0 | 1,35 | 1,35 | 2,1 |
до 1 года | от 1 до 2 лет | от 2 до 3 лет | от 3 до 5 лет |
1,1 | 1,15 | 1,3 | 1,15 | 1,2 | 1,35 | 1,2 | 1,25 | 1,4 | 1,25 | 1,3 | 1,5 |
<1> На основании опыта разработки близлежащих месторождений. <2> Участок борта - группа уступов, оконтуренная поверхностью скольжения, по которой выполняется оценка (прогноз) устойчивости группы откосов, при выходе поверхности скольжения на берму n-уступа. <3> Прочностные характеристики принимаются с учетом длительной прочности. |
7.8.3.8 Коэффициент запаса устойчивости принимается как отношение суммы всех удерживающих откос сил к сумме всех сдвигающих сил рассматриваемых участков борта, уступов и откосов отвала.
Действие этих сил во всех инженерных методах расчета устойчивости откосов переносится на наиболее напряженную поверхность скольжения, для которой расчетный коэффициент запаса устойчивости откоса принимает минимальное значение.
7.8.3.9 Расчет устойчивости карьеров должен проводиться с учетом внешней нагрузки от отвалов и других объектов горного предприятия, находящихся в зоне возможных деформаций земной поверхности прибортового массива карьера.
7.8.3.10 Определение параметров уступов и бортов карьеров в многолетнемерзлых породах должно быть увязано с температурным режимом массивов слагающих их пород и прогнозом его изменения.
При расчете устойчивости для участков, сложенных охлажденными и морозными породами, принимаются показатели прочности, характеризующие талый массив.
При попадании отрабатываемых горизонтов в таликовую зону необходимо проводить уточнение физико-механических свойств горного массива.
7.8.3.11 При оценке напряженно-деформированного состояния горного массива на локальных участках, осложненных влиянием горных выработок и участков борта сложного профиля, рекомендуется проводить уточняющие расчеты оптимизации конструкций бортов в многолетнемерзлых горных породах в пространственной постановке, на основе методов конечных элементов, граничных и дискретных элементов.
Использование численных методов решения задачи устойчивости откосов позволяет оценивать устойчивость как в дифференциальной форме (через напряжения в точке), так и в интегральной (через усилия по поверхности скольжения).
7.8.3.12 При проектировании локальных участков борта при наличии поверхностей ослабления массива (в зонах региональных разломов, даек и других поверхностей ослабления) следует учитывать исходное поле напряжений.
7.8.3.13 При проектировании необходимо учитывать технологические риски разрушения откоса. Эти риски следует оценивать по коэффициенту надежности, который определяют как функцию категории борта и срока стояния борта.
7.8.3.14 Высота и угол откоса уступа должны определяться:
- по результатам исследования физико-механических свойств горных пород и горно-геологических условий их залегания;
- по срокам эксплуатации уступа.
7.8.3.15 Углы откосов уступов в условиях многолетней мерзлоты следует определять с учетом склонности пород к осыпанию и выполаживанию.
7.8.3.16 При расчете устойчивости отдельных уступов в многолетнемерзлых породах следует учитывать зоны сезонного оттаивания мерзлых пород.
7.8.3.17 Высота отвалов породы и отвальных ярусов, углы откоса и скорость продвижения фронта отвальных работ устанавливаются проектом на основе геомеханических расчетов в зависимости от следующих факторов:
- физико-механические свойства пород отвала и его основания;
- способы отвалообразования;
- рельеф местности.
7.8.3.18 Для обеспечения отрицательной температуры в основании отвала отсыпка пород должна проводиться в зимнее время на мерзлое основание высотой подъяруса не менее 12 м.
7.8.3.19 Возможность разгрузки на отвале автосамосвалов под откос устанавливается расчетом необходимого коэффициента запаса устойчивости в наиболее напряженной поверхности скольжения. Эта поверхность выходит в дальнюю от верхней бровки откоса точку пятна заднего колеса машины при ее разгрузке.
7.8.4 Обеспечение устойчивости бортов и отдельных уступов карьера
7.8.4.1 При эксплуатации для точного определения положения реперов, при проведении деформационного мониторинга и контроля устойчивости бортов карьеров рекомендуется использовать:
- лазерные сканирующие системы;
- спутниковые радионавигационные системы;
- электронные тахеометры и геометрическое нивелирование.
7.8.4.2 Максимальная допускаемая погрешность измерения положения наблюдаемых реперов не должна быть более 5 мм.
7.8.4.3 Периодичность измерений в зависимости от скорости деформирования и интенсивности ведения горных работ устанавливается по
таблице 13.
Таблица 13
Требования к периодичности наблюдений
Скорость смещения (не более), мм/сут | Периодичность наблюдений, сут | Средняя продолжительность одной серии наблюдений, час |
0,1 | 730 | 720 |
0,5 | 150 | 144 |
1,0 | 75 | 72 |
2,0 | 40 | 36 |
5,0 | 15 | 15 |
10,0 | 8 | 7 |
20,0 | 4 | 4 |
7.8.4.4 Закладку всех реперов необходимо проводить, учитывая зоны сезонного промерзания - оттаивания горных пород и грунтов.
7.8.4.5 Укрепление бортов карьеров и откосов следует проводить с учетом опыта укрепления горных пород при открытой разработке в многолетней мерзлоте с использованием теплоизолирующих покрытий, предохранительных намороженных валов и скважин.
7.9 Выбор вида карьерного транспорта
7.9.1 Общие положения
7.9.1.1 Выбор карьерного транспорта должен быть основан на технико-экономической оценке вариантов в зависимости от следующих положений:
- проектируемые технологии;
- этапы и режим горных работ;
- количество селективно вынимаемой руды;
- возможность организации внутрикарьерных перегрузочных пунктов при комбинированном транспорте;
- влияние вида транспорта на контуры и объем карьера.
Отбор вариантов следует проводить в соответствии с областью применения внутрикарьерных видов транспорта для алмазорудных карьеров криолитозоны
(таблица 14).
Таблица 14
Области применения внутрикарьерных видов транспорта
для алмазорудных карьеров криолитозоны
Вид транспорта | Тип (сборочный, магистральный)/преимущества | Параметры карьера | Расстояние транспорт./уклон | Грузооборот годовой, млн т | Максимальная скорость углубки, м/год | Расчетный срок работ, лет |
Высота подъема, м | Размеры в плане, км/угол борта, ° |
Традиционные виды транспорта |
Автомобильный | Сборочный и сборочно-магистральный/высокая маневренность, скорость ввода, темп углубки | При производственной мощности карьера: - 1 - 10 млн т - до 600 - 700 м - более 10 млн т - 100 - 300 м в качестве сборочного транспорта | 0,5 - 3/- | 0,5 - 20 км/ до 12% | До 50 - 60 | До 30 - 40 | Любой |
Железнодорожный | Магистральный/низкая себестоимость | На поверхности или с вводом на верхние горизонты | Более 2 - 3/- | Более 10/ до  | Более 10 - 15 до 200 | До 12 - 15 | > 15 - 20 |
Конвейерный (в т.ч. крутонаклонный (КНК) с прижимной лентой и др.) | Магистральный/низкая себестоимость | До 300 - 500 | Более 1/- | До 12 - 15/ до 15 - 18° (КНК до 80°) | 10 и более | До 20 - 25 | > 7 - 10 |
Специальные виды транспорта (как правило, в схемах комбинированного транспорта) |
Полноприводные автосамосвалы (ШСС) | Сборочный/крутонаклонные съезды | 200 - 300 до 500 - 700 м | -/45 - 60 | 0,5 - 5 км/ До 25% | До 10 - 15 | До 60 | Любой |
Гусеничные самосвалы | Сборочный/крутонаклонные съезды | 200 - 300 до 500 - 700 м | -/45 - 60° | 0,5 - 2 км/ 15 - 35% | До 10 | До 60 | Любой |
Скиповой | Сборочный/кратчайшее расстояние | Более 150 до 450 (отд. сл. 700) | -/до 60 | -/до 60° | 4 - 10 (на 1 установку) | До 20 - 25 | >10 |
Дизель-троллейвозный и троллейвозный | Магистральный/низкая себестоимость | 100 - 700 | -/ 45 - 55 | 0,5 - 20 км/ 12% | > 10 - 15 | До 30 | > 5 - 10 |
Кабельные краны, башенные краны и специальные подъемники | Бестраншейное вскрытие | До 200 - 300 | Длина пролета до 1,0/ 45 - 75 | Вертикальный подъем | До 3 - 5 (на 1 кран) | До 30 - 40 | > 3 - 5 |
Грузовая подвесная канатная дорога | Магистральный/низкая себестоимость | 100 - 500 | Более 1/- | Не огранич./ до 45° | 2 - 5 (на 1 линию) | До 20 - 25 | > 5 |
Для энерго- и ресурсосбережения, снижения затрат на транспортирование, особенно на карьерах глубиной более 300 м, следует применять комбинированный транспорт:
- автомобильно-конвейерный;
- автомобильно-железнодорожный;
- автомобильно-троллейвозный;
- самосвалы полноприводные и гусеничные с перегрузкой в автосамосвалы карьерные;
- автосамосвалы карьерные;
- автомобильный транспорт с перегрузкой в магистральные виды промышленного транспорта.
Развитие транспортных систем должно проектироваться до конечной глубины карьера.
7.9.1.2 Для карьеров, отработка которых предусматривается в несколько этапов, должно предусматриваться соответствующее развитие транспортной системы, в том числе переход на схемы комбинированного транспорта.
7.9.1.3 Проектирование карьерного транспорта, внутриплощадочного и межплощадочного транспорта должно проводиться в соответствии с СП 37.13330.2012 (
разделы 5 -
10), а также
правилами безопасности при ведении горных работ
[3].
7.9.1.4 Для работы в сложных и/или опасных условиях необходимо предусмотреть возможность применения транспортных машин с дистанционным или роботизированным управлением как локально, так и с внедрением комплекса таких машин для реализации безлюдной технологии. При технико-экономической целесообразности следует использовать эти системы для повышения производительности.
При использовании машин с дистанционным или роботизированным управлением системы безопасности должны обеспечивать защиту людей от возможности наезда на них работающих машин. Для этого необходимо использование системы контроля доступа персонала в опасную зону или распознавания присутствия людей на пути следования с автоматической остановкой роботизированных машин.
7.9.1.5 Для эффективного использования транспортных средств следует предусмотреть возможность их заказа на заводах-изготовителях по индивидуальным техническим заданиям, максимально адаптированным к конкретному карьеру.
7.9.1.6 Способ вскрытия карьера, связанный с принятым видом карьерного транспорта, следует выбирать на основе технико-экономических расчетов. При этом необходимо учитывать:
- способ доработки месторождения ниже дна карьера;
- количество этапов разработки карьера и интервал времени между ними;
- условия обеспечения долговременной устойчивости бортов.
7.9.2 Автомобильный транспорт
7.9.2.1 Автомобильный транспорт по своим характеристикам может применяться как в качестве единственного технологического транспорта, так и в комбинированных схемах.
Для внутрикарьерного транспорта предпочтительно применение карьерных автосамосвалов с колесной формулой 4 x 2 и полноприводных автосамосвалов карьерного исполнения.
Для доставки руды от месторождений к обогатительным фабрикам на расстояния более 5 км следует использовать магистральные автосамосвалы и автопоезда.
Модификация и типоразмер автомобильного транспорта должны быть обоснованы в проекте технико-экономическими расчетами, учитывая при этом совместимость автосамосвала с выемочно-погрузочным оборудованием, применяемым на карьере.
7.9.2.2 Автодороги следует проектировать по СП 37.13330.2012
(раздел 7). Элементы и параметры поперечного профиля проектируются в соответствии с
7.4.
7.9.2.3 Автодороги, по которым горная масса перевозится от удаленных месторождений к рудным складам и обогатительным фабрикам, если по ним не предусмотрено движение общественного транспорта, относятся к технологическим. Такие автодороги необходимо проектировать в соответствии с СП 37.13330.2012
(раздел 7), а в обоснованных случаях для снижения затрат на строительство автодорог, эксплуатацию транспорта и/или повышения его производительности применять только магистральные автосамосвалы и автопоезда в соответствии с
СП 34.13330.2012.
7.9.2.4 Для карьеров, удаленных от основной промышленной площадки предприятия на расстояние более 15 км, если технологический автотранспорт работает в зимнее время, обязательно наличие отапливаемого помещения, рассчитанного, по крайней мере, на одно машино-место для наибольшего по габаритам автомобиля, эксплуатируемого на карьере или перевозящего горную массу от карьера к обогатительной фабрике.
7.9.2.5 Специальные модификации автомобильного транспорта, такие как дизель-троллейвозный, троллейвозный, должны использоваться в соответствии с требованиями, предъявляемыми к технологическому автомобильному транспорту. Особенности, связанные со строительством контактных электросетей, в частности необходимость расширения дорог для установки опор контактных сетей, необходимо обосновывать в проекте на основе технической документации заводов - изготовителей троллейвозных и дизель-троллейвозных систем, либо на базе локального проекта.
7.9.2.6 Для доставки в карьер материалов, персонала и взрывчатых материалов необходимо применять транспортные средства, характеристики которых обеспечивают надежную работу на автодорогах с максимальным уклоном на карьере.
7.9.2.7 Для строительства и обслуживания автодорог следует применять дорожно-строительные машины (автогрейдеры, бульдозеры), соответствующие по характеристикам параметрам обслуживаемых дорог.
7.9.3 Конвейерный транспорт
7.9.3.1 При проектировании и эксплуатации промышленных предприятий с использованием конвейерного транспорта для внутрикарьерных, внутризаводских и магистральных перевозок единичных и массовых грузов необходимо учитывать требования СП 37.13330.2012
(раздел 10),
норм и правил безопасности при ведении горных работ
[3]. Конструкция применяемых конвейеров должна соответствовать указанным требованиям.
При использовании специальных крутонаклонных конвейеров (например, с прижимной лентой) углы наклона конвейеров устанавливаются на основе рекомендаций заводов-изготовителей.
7.9.3.2 Выбор типа конвейеров (ленточный, канатно-ленточный, многоприводный, подвесной, крутонаклонный) следует проводить на основании технико-экономической оценки вариантов. Для максимального использования технических возможностей оборудования должны учитываться проектируемые технологии, режим горных работ, климатические и инженерно-геологические условия, взаимосвязь контуров и объема карьера с типом применяемого конвейера.
7.9.4 Комбинированный транспорт
7.9.4.1 При проектировании карьеров, разрабатывающих глубокозалегающие коренные месторождения алмазов, необходимо на стадии ТЭО рассматривать целесообразность использования комбинированных видов карьерного транспорта.
При выборе вида карьерного транспорта при проектировании для оптимизации принимаемых решений целесообразно привлекать научно-исследовательские организации, занимающиеся исследованиями в области карьерного транспорта.
7.9.4.2 Тип, количество, местоположение перегрузочных пунктов по глубине карьера, продолжительность работы перегрузочного пункта на одном концентрационном горизонте следует определять на основании технико-экономического расчета с учетом энерго- и ресурсосбережения и режима горных работ.
7.9.4.3 Применение комбинированных видов карьерного транспорта проектируется до конечной глубины карьеров. При этом необходимо максимально адаптировать системы карьерного транспорта в карьерном пространстве путем взаимоувязанного развития транспортных коммуникаций отдельных этапов разработки таким образом, чтобы добиться рационального размещения коммуникаций в конечном контуре карьера.
7.9.5 Специальные виды транспорта
7.9.5.1 При обоснованном учете рисков допускается закладывать в проект новые виды оборудования, которое перед фактическим внедрением на карьере должно быть опробовано на опытно-промышленном участке.
7.9.5.2 В зависимости от конкретных горно-геологических, горно-технических, социально-экономических условий должна быть обоснована целесообразность применения следующих специальных видов транспорта:
- грузовая подвесная канатная дорога;
- наращиваемый башенный подъемник;
- кабельный кран;
- грейфер;
- гусеничный самосвал;
- скиповой подъемник;
- наклонный автомобильный подъемник.
7.9.5.3 При проектировании новых и реконструкции эксплуатируемых грузовых подвесных одноканатных и двухканатных дорог с кольцевым и маятниковым движением вагонеток, предназначенных для транспортирования насыпных и штучных грузов, необходимо соблюдать требования СП 37.13330.2012
(раздел 9), а также
правил безопасности при ведении горных работ
[3] и безопасности эксплуатации грузовых подвесных канатных дорог
[16].
7.9.5.4 При проектировании специальных видов транспорта необходимо учитывать требования СП 37.13330.2012 (
разделы 4,
12),
[3], а также требования нормативно-технических документов к конструкциям соответствующего вида транспорта.
7.9.5.5 При проектировании доставки руды гусеничными самосвалами допускается применение двух вариантов транспортных коммуникаций:
- съезды, спроектированные по требованиям СП 37.13330.2012
(раздел 7) и
7.4, предъявляемым к карьерным автомобильным дорогам. В этом случае допускается движение по таким дорогам автомобильного транспорта и технологического оборудования, способного преодолевать соответствующий уклон;
- крутонаклонные съезды со специфическими параметрами, обоснованными в проекте из соображений безопасности, энерго- и ресурсосбережения, по которым разрешено движение только специальной гусеничной техники, способной передвигаться по заданным уклонам. Параметры таких съездов должны быть обоснованы с привлечением соответствующих научно-исследовательских организаций.
В карьере одновременно могут быть реализованы оба варианта транспортных коммуникаций на различных его участках.
Для гусеничных самосвалов допускается увеличивать продольный уклон дорог до 30%, а в технико-экономически обоснованных случаях и более. При этом обязательно наличие положительных результатов испытаний и обеспечение безопасности персонала.
Допускается движение гусеничных самосвалов по технологическим автомобильным дорогам при условии соблюдения допустимого удельного давления гусениц на дорожное полотно.
7.10 Промышленная безопасность и безопасность труда
7.10.1 Основными производственными факторами, являющимися источниками рисков, которые следует учитывать при проектировании, являются:
- неустойчивость горных пород;
- действующие электроустановки;
- угроза затопления;
- запыленность;
- повышенный уровень шума на рабочих местах;
- неправильные действия персонала;
- лавины и сели в горной местности;
- загрязнение воздушной среды;
- радиационная опасность;
- взрывопожароопасность.
7.10.2 Для безопасной организации буровзрывных и взрывных работ в проектах должны содержаться следующие положения:
- основные параметры работ;
- способы инициирования зарядов;
- расчеты взрывных сетей;
- конструкция зарядов и боевиков;
- предполагаемый расход взрывчатых материалов;
- определение опасной зоны и охрана этой зоны;
- здания, сооружения, коммуникации, находящиеся в пределах этой зоны;
- проветривание района взрывных работ.
В проектах буровзрывных и взрывных работ должны учитываться
правила безопасности при взрывных работах
[4] и требования к взрывчатым веществам и изделиям на их основе, установленные
[17].
7.10.3 В проекте должен быть определен порядок горных работ по проведению траншей, разработке уступов, дражных полигонов, отсыпке отвалов.
7.10.4 Проектируемые методы вскрытия и подготовки к эксплуатации объектов ведения открытых горных работ должны обеспечивать устойчивость бортов, уступов и берм в местах работы или нахождения людей и оборудования. При проектировании рабочей площади уступа ее ширина и высота должны соответствовать типу оборудования, которое будет применено для расчистки площадки или подготовки бортов, уступов и берм. Должна быть обеспечена безопасность людей и транспортных средств, работающих или передвигающихся на площадке.
7.10.5 В проектной документации устанавливаются:
- углы откосов рабочих уступов;
- устойчивые углы откосов уступов;
- временно консервируемые участки борта;
- параметры уступов и предохранительных берм в процессе эксплуатации;
- общий угол откоса бортов при погашении уступов и постановке их в предельное положение;
- высота породных отвалов и отвальных ярусов;
- углы откоса и призмы обрушения;
- скорость продвижения фронта отвальных работ.
7.10.6 Проектная высота уступа должна определяться по результатам исследований физико-механических свойств горных пород, горно-геологических условий их залегания и параметров применяемого оборудования. Высота уступа при разработке вручную рыхлых устойчивых плотных пород - 6 м, рыхлых неустойчивых сыпучих пород - 3 м.
7.10.7 При использовании безлюдной технологии в проекте необходимо предусматривать:
- обозначение предупредительными знаками и оснащение автоматизированными системами контроля доступа и связи границы ведения горных работ;
- безопасное расстояние между оборудованием и размещение рабочего места оператора, контролирующего применение безлюдной технологии погрузки и движения автотранспорта.
7.10.8 Проект маркшейдерских работ должен включать периодичность осмотра и инструментального наблюдения за деформациями бортов, откосов, уступов и отвалов, а также объектов на земной поверхности, попадающих в зоны влияния горных работ.
7.10.9 Проект наблюдательной станции или проект производства маркшейдерских работ должен устанавливать:
- периодичность наблюдений за деформацией площади отвала;
- количество профильных линий и их протяженность;
- расположение, типы грунтовых реперов и расстояние между ними;
- методы и способы наблюдений и оценки их результатов.
7.10.10 Оборка уступов с применением буровзрывных работ должна проводиться по специально разработанному проекту.
Эти меры должны обеспечивать:
- устойчивость откосов горных выработок и отвалов;
- снижение влажности разрабатываемых и вскрышных пород;
- создание безопасных условий работы горного и транспортного оборудования.
7.10.12 При необходимости инженерной защиты объектов ведения открытых горных работ от опасных геологических процессов в проектной документации должны быть предусмотрены необходимые сооружения и меры безопасности в соответствии с требованиями
разделов 5 -
14 СП 116.13330.2012.
7.10.13 Если склонность к нарушению устойчивости проявилась в процессе горных работ, необходимо провести дополнительные исследования геолого-структурных особенностей, физико-механических свойств пород, предусмотреть необходимые меры безопасности и внести соответствующие изменения в проектную документацию.
7.10.14 Старые и затопленные выработки, скважины и водоемы должны быть указаны на схеме горных работ, которая включается в состав проектной документации.
7.10.15 В проекте открытых горных работ вблизи затопленных выработок или водоемов должны предусматриваться целики для предотвращения прорыва воды.
7.10.16 Для сообщения между уступами объекта открытых горных работ должны быть предусмотрены прочные лестницы с двусторонними поручнями и наклоном не более 60° или съезды с уклоном не более 20°.
Маршевые лестницы при высоте более 10 м должны быть шириной не менее 0,8 м с горизонтальными площадками на расстоянии друг от друга по высоте не более 15 м. Расстояние и места расположения лестниц по длине уступа устанавливаются планом развития горных работ.
7.10.17 В проекте должны быть определены:
- ширина рабочих площадок объекта открытых горных работ с учетом их назначения и расположения на них горного и транспортного оборудования;
- транспортные коммуникации;
- линии электроснабжения и связи.
7.10.18 Уклоны и радиусы рельсовых путей и дорог для многоковшовых экскаваторов на рельсовом, шагающе-рельсовом и гусеничном ходу должны соответствовать руководству по эксплуатации или техническому паспорту экскаватора.
7.10.19 Выбор участков для размещения отвалов должен производиться после проведения инженерно-геологических и гидрогеологических изысканий. В проекте должна быть приведена характеристика грунтов на участках, предназначенных для размещения отвалов.
7.10.20 Порядок образования и эксплуатации отвалов, расположенных над действующими подземными выработками, а также засыпки провалов и отработанных участков объектов открытых горных работ должен определяться специальным проектом.
7.10.21 В состав проектной документации при необходимости включается проект выполнения горных работ с промежуточными отвалами.
7.10.22 В проекте должна быть предусмотрена возможность отсыпки отвалов на заболоченных и обводненных территориях и необходимые меры безопасности при выполнении отвальных работ.
7.10.23 Запрещается размещение отвалов на площадях месторождений, подлежащих отработке открытым способом.
7.10.24 Если при разработке месторождения требуется устройство перегрузочных пунктов в зоне карьера, то в состав проектной документации включается проект перегрузочного пункта, обеспечивающий промышленную безопасность и безопасность работ.
7.10.25 При размещении отвалов на косогорах необходимо предусматривать специальные меры, препятствующие сползанию отвалов.
7.10.26 Высота породных отвалов и отвальных ярусов, углы откоса и призмы обрушения, скорость продвижения фронта отвальных работ устанавливаются проектом в зависимости от физико-механических свойств пород отвала и его основания, способов образования отвалов и рельефа местности. Допускается формирование подъярусов, не превышающих высоту отвального яруса и отвечающих правилам безопасности при ведении горных работ
[3] (
раздел V, пункты 558 -
589).
7.10.27 Карьерные дороги должны располагаться за пределами границ скатывания кусков породы с откосов отвалов.
7.10.28 Поперечный уклон площадки бульдозерных отвалов и перегрузочных пунктов должен быть по всему фронту разгрузки не менее 3°, его направление от бровки откоса в глубину отвала - на длину базы работающих самосвалов. Предусматривается также необходимый фронт для маневра техники.
7.10.29 Высота предохранительного вала на отвалах и перегрузочных пунктах по всему фронту в зоне разгрузки должна составлять не менее половины диаметра колеса автомобиля максимальной грузоподъемности, применяемого в данных условиях.
7.10.30 Высота ограждения загрузочного отверстия приемного бункера должна быть не менее половины диаметра колеса автомобиля. При использовании автомобилей различной грузоподъемности подъезд к приемному бункеру должен быть разбит на секторы с высотой ограждения загрузочного отверстия для автомобилей соответствующей грузоподъемности.
7.10.31 Должны быть разработаны проекты выполнения работ (паспорта, технологические карты) на все работы с использованием горных, транспортных и дорожных машин.
7.10.32 Ширина проезжей части внутрикарьерных дорог, продольные и поперечные уклоны автодорог, радиусы кривых в плане устанавливаются проектом с учетом размеров используемых автомобилей и автопоездов.
7.10.33 Временные въезды в траншеи должны проектироваться так, чтобы вдоль них при движении транспорта оставался свободный проход шириной не менее 1,5 м с обеих сторон.
7.10.34 Проект проезжей части дороги внутри контура карьера (кроме забойных дорог) должен предусматривать ограждение от призмы возможного обрушения.
7.10.35 Проекты сетей электроснабжения объектов открытых горных работ, установленное электрооборудование и электрифицированные горные механизмы должны обеспечивать электробезопасность работников карьера, пожаробезопасность при ведении открытых горных работ.
7.10.36 В электрических схемах электроснабжения объектов открытых горных работ, установленном электрооборудовании и в электрифицированных горных механизмах должна быть предусмотрена защита потребителей и оборудования от токов перегрузки и токов короткого замыкания. Электроустановки с изолированной нейтралью должны иметь устройства защитного отключения при замыкании на "землю" и при снижении изоляции ниже допустимых пределов. Допускается применять электроустановки с заземленной нейтралью для питания освещения отвалов, при этом сеть освещения должна быть защищена устройством защитного отключения с током срабатывания до 30 мА.
7.10.37 Подсоединение передвижных машин к питающим карьерным линиям электропередачи должно проводиться при помощи передвижных переключательных пунктов либо передвижных комплектных трансформаторных подстанций. Для питания передвижных и самоходных электроустановок должны применяться сети напряжением не выше 35 кВ с изолированной нейтралью трансформаторов. Допускается применять сети, заземленные через высокоомные резисторы либо трансформаторы.
7.10.38 Для защиты людей от поражения электрическим током должны предусматриваться защитное заземление и быстродействующая защита от утечек тока на землю с автоматическим отключением электроустановки (за исключением цепей напряжением до 60 В). Общее время отключения не должно превышать 200 мс при напряжении до 1000 В и 120 мс - при напряжении выше 1000 В.
Проектом должны быть определены требования к устройству центральных вспомогательных заземлителей, а также выполнению местного (индивидуального) заземления непосредственно на месте установки электрооборудования и на месте работы электрифицированного горного оборудования и механизмов.
7.10.39 Электроподстанции должны иметь телефонную или радиосвязь с оперативным персоналом энергоснабжающей организации или с коммутатором карьера. Все переговоры по любым видам проводной и беспроводной связи должны быть записаны на цифровых носителях с архивацией на срок не менее 30 дней.
7.10.40 В проекте должны быть отражены мероприятия по обеспечению электробезопасности для персонала, эксплуатирующего и обслуживающего троллейвозный или дизель-троллейвозный транспорт.
7.10.41 При проектировании открытых горных работ для создания нормативных условий труда следует предусматривать:
- комплексную механизацию вскрышных и добычных работ с использованием горнотранспортного оборудования, отвечающего эргономическим и гигиеническим требованиям;
- комплексное обеспыливание, включающее пылеподавление, пылеулавливание и утилизацию собранной пыли;
- предотвращение загрязнения атмосферного воздуха пылью за пределами санитарно-защитной зоны;
- соблюдение предельно допустимых уровней шума и вибрации путем выбора оборудования с учетом свойств горных пород, а также применения вибро- и звукоизолированных кабин управления.
7.10.42 Должны быть определены возможные места выделения газов и пыли. В необходимых случаях проектом должны быть предусмотрены меры по борьбе с пылью и газами для обеспечения проектных значений предельно допустимых концентраций. Если невозможно обеспечить предельно допустимые концентрации, предусмотренные проектом, в проекте должно быть предусмотрено использование средств индивидуальной защиты органов дыхания.
7.10.43 Если возможно выделение ядовитых газов из дренируемых вод на территорию объекта открытых горных работ, предусматривают меры, сокращающие или полностью устраняющие фильтрацию воды через откосы уступов объекта.
7.10.44 Каждое рабочее место объекта открытых горных работ должно обеспечиваться освещением. При проектировании освещения необходимо учитывать требования
СП 52.13330.2016 и нормы освещенности согласно правилам безопасности при ведении горных работ
[3] (пункт 524, таблица 7).
7.10.45 Проектная документация на производственные здания и сооружения должна разрабатываться в соответствии с
СП 60.13330.2012 и предусматривать системы вентиляции, газоочистки, пылеулавливания и кондиционирования воздуха. Эти системы должны обеспечивать параметры микроклимата и состав воздушной среды на рабочих местах, соответствующие санитарно-эпидемиологическим требованиям.
7.10.46 Документация на здания, сооружения и технологические процессы, связанные с разработкой алмазорудных месторождений, должна содержать пожарно-технические характеристики объектов защиты, предусмотренные Техническим
регламентом о требованиях пожарной безопасности
[18].
7.10.47 Состав и функциональные характеристики систем обеспечения пожарной безопасности производственных объектов оформляются в виде самостоятельного раздела проектной документации.
7.10.48 В проектную документацию должны быть включены места хранения горюче-смазочных материалов, оснащенные средствами автоматического пожаротушения.
7.11 Водоотлив и осушение. Размещение дренажных вод в пластах горных пород
7.11.1 Проектирование мероприятий по осушению алмазорудных месторождений должно учитывать следующие факторы:
- геологическое строение, инженерно-геологические и гидрогеологические условия, число и водообильность водоносных горизонтов, обводняющих горные выработки;
- схема вскрытия, система и технология разработки месторождения, тип применяемого горного и транспортного оборудования;
- сроки строительства алмазодобывающего предприятия и разработки месторождения.
7.11.2 При проектировании осушения алмазорудных месторождений предусматриваются как активные, так и пассивные способы осушения. Критериями выбора способа являются оптимальность затрат и минимизация негативного воздействия на окружающую среду.
7.11.3 В проекте системы защиты месторождений от дренажных вод должны использоваться технологии, опробованные и усовершенствованные на уже эксплуатируемых алмазорудных месторождениях в условиях криолитозоны.
7.11.4 Основными технологическими приемами в проектах по размещению в пластах горных пород дренажных вод алмазорудных месторождений в условиях криолитозоны являются:
- обратная закачка дренажных вод в осушаемые пласты горных пород на участках закачки, располагающихся на оптимальных расстояниях от защищаемого месторождения. Удаленность участка закачки от защищаемого месторождения определяется оптимизацией затрат на откачку расхода возврата дренажных вод и затрат на строительство системы закачки, в том числе водоводов, обслуживающих дорог, закачных и наблюдательных скважин;
- размещение дренажных вод в интервалы многолетнемерзлых пород на участках недр в зонах региональных разломов. Размещение и количество закачных и наблюдательных скважин должно проводиться по материалам специальных геолого-разведочных работ. Должны также учитываться требования оптимизации затрат и охраны окружающей среды.
7.11.5 Для контроля экологической безопасности эксплуатации участков закачки должны проводиться режимные определения следующих параметров:
- состав закачиваемых вод;
- режим закачки;
- уровни закачиваемых вод в рабочих интервалах пород;
- изменения температурного режима в рабочих пластах;
- специальные наземные геофизические наблюдения.
7.11.6 Основанием для разработки проектной документации по осушению горнорудного предприятия и размещению дренажных вод в недрах является техническое задание на проектирование. Вместе с заданием должны быть выданы исходные материалы:
- отчет и заключение по гидрогеологическим, инженерно-геологическим и геофизическим исследованиям, выполненным при разведке месторождения и поискам структур, оценки пригодности участков недр для размещения дренажных вод;
- в случае реконструкции действующего алмазодобывающего предприятия - утвержденные проекты осушения на предыдущей стадии разработки и материалы по их рассмотрению и утверждению.
7.12 Пылегазоподавление и естественное проветривание карьеров
7.12.1 Содержание вредных веществ в воздухе рабочей зоны и на рабочих местах в карьере не должно превышать ПДК, установленных
ГОСТ 12.1.005 и гигиеническими
нормативами [19].
7.12.2 Основными источниками загазованности и пыли в карьерах являются газы, образующиеся при работе двигателей внутреннего сгорания и после проведения взрывных работ, и пыль, образующаяся при ведении буровых работ, выемочно-погрузочных и транспортных операциях, и пыль, взметываемая ветровыми потоками.
7.12.3 Для снижения выбросов пыли в атмосферу при разработке и эксплуатации карьера следует предусматривать:
- увлажнение разрыхленной горной массы в развале и на складах;
- пылеулавливание;
- полив автодорог;
- увлажнение пылеобразующих поверхностей.
Применение воды для борьбы с пылью возможно при положительной температуре окружающего воздуха. Количество дней применения воды устанавливается проектом в зависимости от климатических особенностей в районе расположения карьера.
7.12.4 Оборудование для бурения скважин на карьерах должно иметь пылеулавливающую систему.
7.12.5 Постоянные площадные источники пылевыделения следует покрывать растворами длительного действия.
7.12.6 Пылеподавление с применением воды при различных технологических процессах в карьерах рекомендуется выполнять поливочными установками на базе автомобилей.
7.12.7 Нормальные атмосферные условия труда в карьере необходимо создавать за счет интенсификации естественного проветривания.
7.12.8 Для повышения эффективности естественного воздухообмена выездные траншеи, внешние отвалы вскрышных пород и некондиционных руд, рудные склады и объекты промплощадки карьера необходимо располагать с учетом преобладающих направлений ветра. При расположении отвалов со стороны преобладающего направления ветра следует предусматривать между ними щели-прораны.
7.12.9 Для сокращения возможного простоя карьера от загрязнения его атмосферы вредными веществами выше ПДК должны быть разработаны мероприятия, обеспечивающие выполнение санитарных норм пылегазовой обстановки на рабочих местах карьера.
7.12.10 При проектировании карьеров с глубиной более 300 м в проекте необходимо предусматривать автоматизированную систему наблюдений и контроля атмосферы карьера, для своевременного предупреждения работающих об опасных концентрациях вредных веществ и превышении их ПДК в воздухе рабочей зоны.
7.12.11 Должна быть предусмотрена очистка воздуха рабочих мест от вредных веществ средствами автономного воздухоснабжения системы коллективной и индивидуальной защиты.
7.12.12 В проекте необходимо предусмотреть следующие мероприятия по сокращению простоя карьера от загрязнения его атмосферы вредными веществами выше ПДК:
- изменение технологии горных работ и внедрение технических средств воздействия на пылегазовый режим;
- организация оперативного контроля загазованности атмосферы;
- перераспределение объема горных работ по глубине карьера в течение года;
- обеспечение очистки воздуха рабочих мест от вредных веществ;
- контроль качества дизельного топлива;
- очистка выхлопных газов;
- перевод автомобилей на газовое топливо;
- использование нетрадиционных видов транспорта (дизель-троллейвозы, электромобили).
8 Управление качеством полезного ископаемого
8.1 Нормативы потерь и разубоживания
8.1.1 При проектировании открытой разработки месторождений алмазов учетными показателями использования недр являются потери и разубоживание полезного ископаемого, коэффициент извлечения его из недр и изменение качества. Уровень этих показателей следует определять технико-экономическими расчетами на многовариантной основе, исходя из ценности руды, эффективности использования недр, технологии добычи и обогащения. Следует применять методику сравнения различных вариантов отработки выемочных единиц по величине прибыли с единицы балансовых запасов. При этом вариант с максимальной прибылью является оптимальным, а величина потерь и разубоживания - нормативной. Использование рассчитанных по этой методике потерь и разубоживания руды должно обеспечивать максимально возможную эффективность горных работ.
8.1.2 Экономическая оценка потерь и разубоживания при добыче алмазосодержащих руд и песков включает:
- выбор экономически целесообразной полноты извлечения на базе оценки потерь;
- выбор экономически допустимого уровня разубоживания в зависимости от экономических последствий снижения качества добываемых руд (песков);
- определение экономического ущерба, наносимого предприятию превышением экономически допустимых уровней потерь и разубоживания.
Для расчета экономически допустимых потерь и разубоживания должен использоваться метод вариантов. Окончательно принимается вариант с максимальной прибылью, получаемой с единицы погашаемых балансовых запасов. При этом должны учитываться технико-экономические показатели переработки алмазосодержащих руд и песков на предприятии.
8.1.3 Основой установления проектных нормативов потерь и разубоживания руды являются:
- проектные технико-экономические показатели работы будущего предприятия или предприятия аналога;
- результаты научно-исследовательских и проектно-конструкторских работ;
- результаты эксплуатационной разведки, геолого-технологического картирования и компьютерного моделирования месторождения.
8.1.4 Методика нормирования потерь и разубоживания руды включает следующие этапы:
- учет абсолютных нормативных потерь и разубоживания в местах их образования;
- расчет суммарных нормативов потерь и разубоживания руды в каждой системе разработки;
- определение полноты использования недр по коэффициентам извлечения алмазов из погашаемых балансовых запасов и изменения качества руды при добыче каждой системой разработки
(8.1.1);
- определение экономических последствий потерь и разубоживания по конкурирующим системам или по вариантам одной системы.
8.1.5 Нормирование потерь и разубоживания руды должно быть основано на применении наиболее прогрессивной технологии добычи и переработки алмазосодержащего сырья. При обосновании уровня потерь и разубоживания при проектировании или реконструкции алмазодобывающего предприятия расчетные показатели должны сравниваться с фактически достигнутыми показателями потерь и разубоживания на аналогичных действующих предприятиях.
8.1.6 Структура потерь и разубоживания алмазосодержащих руд приведена на
рисунках 1 и
2.
Рисунок 1 - Структура потерь алмазосодержащих руд
Рисунок 2 - Структура разубоживания алмазосодержащих руд
8.1.7 Нормативы потерь и разубоживания руды рассчитываются дифференцированно для каждой выемочной единицы в зависимости от их геологического строения, горнотехнических условий разработки, применяемой техники и технологии. Нормативы должны базироваться на технико-экономическом обосновании рационального уровня извлечения балансовых запасов из недр.
8.1.8 Вариант с максимальной прибылью является оптимальным, а значения коэффициентов потерь и разубоживания руды по данному варианту - нормативными. Коэффициент оптимального соотношения потерь и разубоживания:

(22)
где Уп - экономический ущерб, обусловленный потерями 1 тонны погашаемых запасов руды в приконтактной зоне;
Ур - экономический ущерб от добычи и переработки 1 т разубоживающих пород.
8.1.9 Ущерб от потерь складывается из извлекаемой ценности потерянной части балансовых запасов Ци, понесенных затрат Зп и затрат, которые на потерянное полезное ископаемое еще не сделаны, но которые предстоит сделать Зн:
Уп = Ци - Зп + Зн, (23)
Уп = Ц·С·Ир - (Зд + Зтр + Зобр + Зэр + Зско + Н) +
+ (Зв + Зтр.в), (24)
где Ц - отпускная цена за один карат, руб.;
Н - сумма налогов, выплачиваемых с выручки предприятия и включаемых в состав себестоимости, отнесенных на 1 т балансовых запасов, руб./т;
С - среднее содержание в приконтурной зоне, кар/т (при отсутствии данных принимается по выемочной единице по данным детальной разведки);
Зв - суммарные годовые затраты на вскрышные работы, отнесенные на 1 т балансовых запасов руды, руб./т;
Зэр - суммарные годовые затраты на проведение эксплуатационной разведки, отнесенные на 1 т балансовых запасов руды, руб./т;
Зд - суммарные годовые затраты на добычу руды, отнесенные на 1 т балансовых запасов руды, руб./т;
Зтр - суммарные годовые затраты на транспортирование руды на фабрику, отнесенные на 1 т балансовых запасов руды, руб./т;
Зобр - суммарные годовые затраты на обработку руды на фабрике, отнесенные на 1 т балансовых запасов руды, руб./т;
Зско - суммарные годовые затраты на сортировку, первичную классификацию и оценку алмазного сырья в пересчете на 1 т балансовых запасов, руб./т;
Зтр.в - суммарные годовые затраты на транспортирование вскрышных пород на отвал пустых пород, отнесенные на 1 т балансовой руды, руб./т.
8.1.10 Экономический ущерб от разубоживания Ув определяется затратами, связанными с выемкой пород, транспортированием их к месту обогащения и переработкой. Если в разубоживающих породах содержатся алмазы, ущерб снижается на величину ценности извлекаемого полезного компонента с 1 т породы (Цв).
При в = 0:
Ув = Зд + Зтр + Зобр. (25)
При в > 0:
Ув = Зд + Зтр + Зобр + Зско + Н - Ц·В·Ио, (26)
где в - содержание алмазов в разубоживающей породе.
8.1.11 Расчетная схема установления нормативов потерь и разубоживания руды показана на
рисунке 3.
Рисунок 3 - Схема к расчету нормативов
потерь и разубоживания руды
Величина потерь и разубоживания руды определяется площадью теряемой руды Sп и разубоживающей породы Sв, зависящей от высоты точки пересечения контуров рудного тела и выемки.
Площади треугольников потерь и разубоживания руды по одному из контуров рудного тела определяются по формулам

(27)

(28)
где h - высота треугольников потерь, м2;
H - высота уступа, м2;

- угол падения рудного тела, °;

- угол откоса забоя (контура выемки), °.
Знак "плюс" принимается для случая несогласованного положения контуров выемки и рудного тела.
Условие минимального ущерба от потерь и разубоживания при разработке кимберлитовых трубок:

(29)
откуда после дифференцирования по h:

(30)
8.1.12 Потери руды П от разлета кусков при взрывании определяются измерением количества и усредненного размера разлетающихся кусков при отработке периферийной части рудного тела, примыкающей непосредственно к контакту рудного тела, по формуле

(31)
где Hу - высота рабочего уступа (горизонта), м;
D - диаметр кимберлитовой трубки, м.
8.1.13 Потери отбитой руды при погрузке рассчитываются по измерениям площади и высоты слоя просыпавшейся руды. Эти потери не должны превышать 0,001%.
8.1.14 Потери руды при транспортировке автосамосвалами определяются статистическим методом на основе измерений количества просыпавшейся руды на транспортных коммуникациях. Эти потери также не должны превышать 0,001%.
8.1.15 Потери руды от взрывания, погрузки и транспортировки суммируются с потерями, полученными при расчетах потерь при отработке контурных зон между рудной и породной частями отрабатываемого массива.
8.1.16 Нормативы потерь и разубоживания могут быть определены компьютерным моделированием по специально разработанной методике. Все расчеты должны проводиться с применением современных программных средств.
8.2 Обеспеченность карьера готовыми к выемке запасами
8.2.1 При проектировании необходимо определять запасы руды и объемы вскрышных пород, готовых к выемке, на все моменты, предусмотренные планами горных работ разрабатываемого проекта.
8.2.2 Нормативы запасов по степени подготовленности к добыче устанавливаются оптимальными в том плане, что отклонение фактической обеспеченности от нормативной как в сторону уменьшения, так и в сторону увеличения ведет к снижению экономической эффективности горного предприятия.
8.2.3 Общая структура запасов при проектировании разработки месторождения открытым способом приведена на
рисунке 4.
Рисунок 4 - Структура запасов при проектировании
разработки месторождения открытым способом
8.2.4 В приведенной структуре промышленные запасы, включающие вскрытые, подготовленные и готовые к выемке, являются частью балансовых запасов, извлекаемых по проекту или плану развития горного предприятия, за вычетом проектных потерь в массиве. На основе запасов в основном формируются технологические резервы рудной массы, позволяющие обеспечить стабильность горных работ, ритмичность и эффективность добычи.
8.2.5 К вскрытым относятся промышленные запасы месторождения из числа балансовых, которые подсечены выездной траншеей, пройденной на отметку рабочего горизонта и освобожденные от покрывающих пород или руды вышележащих уступов в пределах, обеспечивающих безопасное ведение эксплуатационной разведки и горно-подготовительных работ. Вскрытые запасы характеризуют перспективу добычных работ и позволяют определить срок существования карьера при остановке вскрышных работ. Снижение вскрытых запасов при неизменной вскрываемой площади рудной залежи указывает на снижение интенсивности вскрышных работ.
К подготовленным запасам относятся промышленные запасы полезного ископаемого из числа вскрытых на уступах с обнаженной верхней и боковой поверхностями с минимальной технологически допустимой шириной рабочих площадок, для разработки которых выполнены горно-подготовительные работы, предусмотренные проектом. Подготовленные запасы характеризуют ближайшую перспективу добычных работ в карьере на подготовленных к разработке рудных уступах.
К готовым к выемке запасам горной массы относится объем горной массы, который можно извлечь с каждого рабочего горизонта при остановке уступа на вышележащем смежном горизонте и сокращении рабочей площадки на последнем до минимально допустимой.
На верхнем рабочем горизонте готовые к выемке запасы горной массы следует определять исходя из проектных годовых объемов извлекаемой горной массы на горизонте и норматива обеспеченности этими запасами по
таблице 15 и
рисунку 5.
Готовые к выемке запасы должны обеспечивать стабильный объем добычи и качество руды. Учет движения запасов проводится маркшейдерской службой горного предприятия.
1 - разрезная траншея; 2 - подготовленные запасы
во временных целиках; 3 - подготовленные запасы
(незачищенные); 4 - подготовленные запасы; 5 - вскрытые
запасы; 6 - минимальная ширина рабочей площадки;
7 - вскрышной уступ; 8 - контур рудного тела;
9 - взорванная руда; 10 - готовые к выемке запасы;
11 - берма безопасности
Рисунок 5 - Определение запасов
по степени подготовленности к выемке
Таблица 15
Обеспеченность карьера запасами
по степени готовности к выемке
Период эксплуатации карьера | Обеспеченность запасами, мес. |
Вскрытый | Подготовленный | Готовый к выемке |
Ввод в эксплуатацию | 12,0 - 6,0 | 6,0 - 4,0 | 1,5 - 0,5 |
Работа с проектной мощностью | 7,0 - 4,5 | 3,0 - 2,0 | 1,5 - 1,0 |
Затухание горных работ | 4,5 - 3,5 | 3,5 - 1,5 | 1,0 - 0,5 |
8.2.6 Размещение готовых к выемке запасов по высоте рабочей зоны и в плане должно соответствовать принятому направлению развития горных работ и обеспечивать техническую возможность своевременного воссоздания запасов по руде и вскрышным породам по мере их отработки.
8.2.7 На рабочем горизонте, смежном с вышележащей сезонно разрабатываемой толщей вскрышных пород, обеспеченность готовыми к выемке запасами горной массы к расчетному началу сезона вскрышных работ необходимо принимать не менее одного месяца.
8.2.8 При использовании на карьере комбинированных транспортных систем величину готовых к выемке запасов руды и объемов вскрышных пород следует обосновать расчетом.
8.2.9 Нормирование запасов руды коренных месторождений алмазов по степени подготовленности к добыче при проектировании необходимо проводить для выбранного варианта системы разработки по критерию максимума прибыли, получаемой с единицы погашаемых запасов по методике, предусматривающей выполнение следующих этапов работ:
- обоснование для планируемой к отработке выемочной единицы рациональной системы разработки по критерию максимума прибыли на единицу погашаемых запасов, при этом для каждой системы определяют абсолютные нормативные величины на участках их образования;
- расчет суммарных нормативов подготовленности запасов руды по каждой системе разработки при содержании полезного компонента в перекрывающих и вмещающих породах ниже бортового;
- определение показателей полноты использования недр - параметров извлечения алмазов из погашаемых балансовых запасов и изменения качества руды при добыче каждой системой разработки;
- определение экономических последствий нормирования запасов по степени подготовленности по конкурирующим системам или вариантам одной системы.
При нормировании должна учитываться возможность использования наиболее прогрессивной техники и технологии добычи и переработки алмазосодержащего сырья.
8.2.10 Нормативы запасов по степени подготовленности к выемке должны:
- обеспечить безусловное выполнение производственных планов при ритмичной работе предприятий по добыче алмазов;
- учитывать специфику горно-геологических и климатических условий;
- способствовать наиболее рациональному использованию запасов алмазов;
- соответствовать принципу минимального объема горно-капитальных, горно-подготовительных и вспомогательных работ, а также максимальной экономии трудовых и материальных затрат.
8.2.11 Нормативы запасов по степени подготовленности к выемке могут быть определены в результате компьютерного моделирования по специально разработанной методике с применением современных программных средств.
8.3 Обоснование высоты добычного уступа
8.3.1 Обоснование высоты добычного уступа при проектировании алмазорудных карьеров должно проводиться с учетом оценки ущерба от потерь, отнесенных на 1 т добытой рудной массы, и обеспечить максимально возможную эффективность предприятия в конкретных горно-геологических условиях.
8.3.2 Влияние высоты добычного уступа на удельную себестоимость добычи рудной массы рассчитывается путем суммирования величин ущербов от потерь и разубоживания и величин изменения затрат и себестоимости технологических процессов добычи в зависимости от выбранной высоты. Минимум суммарной удельной себестоимости определяет оптимальную высоту добычного уступа:

(32)
где У - величина ущерба от потерь, руб.;
З - величина ущерба от разубоживания, руб.;
У1 - ущерб от повышенных потерь полезного ископаемого при увеличении высоты добычного уступа, руб./т;
У2 - ущерб от повышенного разубоживания при увеличении высоты добычного уступа, руб./т;
У3 - ущерб от переподъема рудной массы при увеличении высоты добычного уступа, руб./т;
З1 - снижение затрат на проведение буровзрывных работ при увеличении высоты добычного уступа, руб./т;
З2 - снижение себестоимости экскавации рудной массы при увеличении высоты добычного уступа, руб./т;
З3 - снижение себестоимости создания, содержания и ремонта временных внутрикарьерных автодорог при увеличении высоты добычного уступа, руб./т.
8.3.3 Значения параметров, входящих в формулу критерия оптимизации, устанавливаются для любых значений высоты добычного уступа в рассматриваемом диапазоне оптимизации. Данный диапазон устанавливается наличием фактических технико-экономических показателей работы предприятия для различных значений высот добычного уступа, но не может превышать полуторной величины максимальной высоты черпания используемых экскаваторов.
8.3.4 При проектировании в качестве аналогов следует использовать действующие предприятия и установленные для них экспериментальные зависимости.
8.3.5 При попутной разработке в пределах карьерного поля россыпных месторождений алмазов открытым раздельным способом высота снимаемого слоя должна быть равна мощности алмазоносных песков.
8.3.6 Высота добычного уступа может быть определена компьютерным моделированием по специально разработанной методике.
8.4 Обоснование выемочных единиц при определении эксплуатационных потерь
8.4.1 При проектировании алмазорудных карьеров относительные среднеквадратические погрешности фактических потерь не должны превышать более чем на 30% погрешность определения фактических потерь при различных выемочных единицах для открытого способа разработки в условиях криолитозоны, обеспечивающих максимально возможную эффективность производства горных работ.
8.4.2 При обосновании выемочных единиц следует ориентироваться на применение современных методов и новых технических средств составления геологической и маркшейдерской документации горных выработок, а также широкое применение компьютерных технологий.
Величина выемочных единиц при определении эксплуатационных потерь должна быть определена в результате компьютерного моделирования по специально разработанной методике.
8.4.3 В условиях открытой разработки коренных месторождений алмазов следует принимать следующие выемочные единицы:
- при одном подсчетном геологическом блоке в составе выемочной единицы - четыре уступа;
- при двух и более подсчетных геологических блоках в составе выемочной единицы - два уступа.
9 Режим работы карьера и численность персонала
9.1 При разработке данного раздела проектной документации следует руководствоваться
статьей 100 Трудового кодекса Российской Федерации
[14].
9.2 При проектировании новых предприятий режим работы карьеров, расположенных в криолитозоне, как правило, следует принимать круглогодовой (365 дней в году) при непрерывной рабочей неделе и круглосуточной организации производства. Количество рабочих смен в сутки, в основном, в две смены по 12 часов. При реконструкции действующих предприятий возможно сохранение существующего режима работы.
Для карьеров, расположенных в сложных горнотехнических условиях, существенно изменяющихся в зависимости от сезона либо по иным условиям организации производства, может применяться сезонный режим работы карьера. Продолжительность сезона устанавливается проектом.
Режим работы отдельных участков предприятия может варьироваться в соответствии с действующими нормами и правилами федерального и локального уровня, а также внутренними организационно-распорядительными документами предприятия, осуществляющего разработку месторождения, с учетом вредности и опасности условий труда.
При вахтовом методе организации труда для уменьшения числа сотрудников, проживающих в вахтовом поселке, необходимо принимать минимально возможное количество рабочих смен в сутки.
9.3 Численность персонала предприятия следует определять расчетным путем. Фонд рабочего времени принимается исходя из продолжительности рабочей недели, нормированных невыходов на работу.
Если проектируемый объект входит в состав действующего предприятия, то численность персонала основных и вспомогательных участков, напрямую или косвенно задействованных в технологии производства проектируемого объекта, пересчитывается в соответствии с изменением объема работ.
При расчете численности персонала необходимо учитывать:
- технические и организационные положения проекта;
- действующие на момент разработки проекта нормы и нормативы по труду, в том числе локальные нормативные документы предприятия, осуществляющего разработку месторождения;
- типовые проекты организации рабочих мест, бригад, смен, видов работ;
- передовые приемы и формы организации труда, применяемые на отечественных и зарубежных предприятиях;
- время работы и паспортную производительность оборудования;
- требуемое количество персонала в смену на единицу оборудования согласно рекомендациям завода-изготовителя и специфике эксплуатации оборудования в криолитозоне.
При разработке проектов организационной структуры новых алмазодобывающих предприятий необходимо ориентироваться на действующие предприятия-аналоги, расположенные в сходных природно-климатических и горнотехнических условиях.
В зависимости от объема горных работ, горнотехнических условий и наличия других карьеров на предприятии организационная структура может быть оптимизирована путем объединения либо исключения ряда участков (бюро, служб и должностей административно-управленческого персонала).
При остром дефиците трудовых ресурсов в районе размещения проектируемого объекта, при вахтовом методе организации работ, в проекте необходимо предусмотреть технические решения по вспомогательным и специализированным участкам предприятия, позволяющие сократить потребность в обслуживающем персонале.
10 Инженерно-техническое обеспечение
10.1.1 Область применения
Данным разделом следует руководствоваться при проектировании систем электроснабжения напряжением до 1 кВ и выше вновь строящихся и реконструируемых алмазодобывающих предприятий, занимающихся разработкой месторождений открытым способом в криолитозоне.
Настоящий раздел следует рассматривать совместно с правилами устройства электроустановок, утвержденными Министерством энергетики России.
10.1.2 Общие требования
10.1.2.1 Основные определяющие факторы при проектировании электроснабжения - характеристики источников питания и потребителей электроэнергии. Качество электроэнергии должно соответствовать
ГОСТ 32144.
10.1.2.2 Определение электрической нагрузки при разработке схемы электроснабжения алмазодобывающих предприятий должно проводиться на всех стадиях проектирования.
10.1.2.3 При предпроектной проработке следует определять суммарную нагрузку предприятия, позволяющую решить вопросы присоединения его к сетям питающей системы. Ожидаемая расчетная нагрузка определяется по коэффициенту спроса, исходя из фактических графиков нагрузки аналогичных алмазодобывающих предприятий. Следует использовать данные о суммарной установленной мощности электроприемников, либо по удельному расходу электроэнергии.
10.1.2.4 На стадии проекта расчет электрической нагрузки следует проводить:
- для выполнения схемы электроснабжения напряжением 6 - 10 кВ и выше;
- для выбора и заказа электрооборудования подстанций и других элементов электрической сети алмазодобывающих предприятий, разрабатывающих алмазорудные месторождения открытым способом.
Расчет электрической нагрузки должен проводиться параллельно с построением системы электроснабжения в следующей последовательности:
- выполняется расчет электрической нагрузки напряжением до 1 кВ по участкам, видам работ, технологическим процессам, корпусам и предприятию в целях для определения общего количества и мощности участковых и цеховых ТП;
- выполняется расчет электрической нагрузки на напряжение 6 - 10 кВ и выше на сборных шинах РП, ТП (БПП), ГПП;
- определяется расчетная электрическая нагрузка алмазодобывающего предприятия в точке балансового разграничения с энергосистемой, а в некоторых случаях с локальным собственным источником питания;
- определяется расчетная электрическая нагрузка питающих сетей напряжением до 1 кВ и на шинах каждой участковой или цеховой подстанции. Расчет ведется одновременно с построением питающей сети напряжением до 1 кВ.
Примечание - Значение нагрузки необходимо для определения сечения питающих линий напряжением до 1 кВ, выбора защитно-коммутационных аппаратов и уточнения мощности трансформаторов участковых или цеховых ТП.
10.1.3 Энергообеспечение
Выбор первичных энергоресурсов внешнего энергообеспечения алмазодобывающих предприятий выполняется по технико-экономическому обоснованию вариантов энергообеспечения в соответствии с методическими
рекомендациями, утвержденными Минэкономики РФ, Минфином РФ и Госстроем РФ
[20].
При выборе вариантов энергообеспечения необходимо учитывать влияние энергопотребления на окружающую среду, в том числе размер экологических платежей и прогнозную динамику тарифов и цен на энергоресурсы.
Энергетическую нагрузку следует определять на основании требуемого потребления энергетических ресурсов с учетом времени использования энергетических нагрузок в течение года.
При энергообеспечении алмазодобывающих предприятий, разрабатывающих месторождения, расположенные в одном географическом направлении от источника питания, следует применять магистральные схемы энергоснабжения, особенно в случае, если месторождения отрабатываются последовательно.
10.1.4 Определение электрической нагрузки
Исходными для расчета параметров (средней и максимальной мощности, удельного расхода электроэнергии) и показателей коэффициентов использования, спроса, максимума, графиков нагрузки являются таблицы-задания от технологических подразделений, в которых указываются перечень электроприемников, данные электроприемников, режимы работы.
При расчете электрической нагрузки следует пользоваться средними значениями коэффициента использования Kи, коэффициента максимума Kmax и коэффициента спроса Kс, которые определяются по статистическим данным аналогичных алмазодобывающих предприятий:

(33)
где Pср - расход электроэнергии (месяц, квартал, год), кВт·ч, равный W/T;
T - продолжительность работы, в периоды, для которых определяется Pср, час;
Pmax - максимальная нагрузка за время T;
| | ИС МЕГАНОРМ: примечание. Обозначение дано в соответствии с официальным текстом документа. | |

- суммарная номинальная (установленная) мощность участка, цеха, технологического процесса или предприятия в целом;
n - количество потребителей.
Расчетные значения активной и реактивной мощностей следует определять по выражениям:

(34)
где

- коэффициент реактивной мощности (по данным алмазодобывающих предприятий).
При расчете электрических нагрузок следует пользоваться постоянными времени нагрева:
Tо = 10 мин - для сетей напряжением до 1 кВ, питающих распределительные шинопроводы, распределительные пункты, сборки, щиты;
Tо = 150 мин - для магистральных шинопроводов и участковых или цеховых трансформаторов;
Tо = 30 мин - для кабелей напряжением 6 кВ и выше, питающих участковые или цеховые подстанции и распределительные устройства.
Для сетей напряжением до 1 кВ коэффициент расчетных нагрузок должен определяться в зависимости от коэффициента использования.
Коэффициент одновременности kо для расчета нагрузок на шинах 6 - 10 кВ РП, ТП (БПП), ГПП должен определяться в зависимости от средневзвешенных коэффициентов использования и числа присоединений 6 - 10 кВ на сборных шинах этих устройств.
Фактическим значениям электрической нагрузки алмазодобывающего предприятия допускается превышать расчетные с вероятностью не более 0,05.
При определении расчетной нагрузки электроприемников, групп потребителей и предприятия в целом необходимо учитывать коэффициенты одновременности участия в максимуме нагрузки.
Расчетную электрическую нагрузку следует определять через удельные показатели по формуле

(35)
где Wудi - удельный расход электроэнергии, рассчитанный по графикам нагрузок алмазодобывающих предприятий, расположенных в криолитозоне и разрабатывающих месторождения открытым способом, кВтч/т;
Ai - производительность потребителя, технологического процесса или предприятия в целом, т;
T - продолжительность работы, ч.
Производительность Ai для вскрышных работ может быть выражена в объемных единицах (м3), соответственно удельный расход электроэнергии Wудi при этом рассчитывается в кВт·ч/м3.
Годовой расход активной и реактивной энергии, потребляемой алмазодобывающим предприятием, следует определять на основании расчетной электрической нагрузки, годового числа использования максимума активной и реактивной мощности и коэффициента мощности, характерных для алмазодобывающих предприятий, расположенных в криолитозоне и разрабатывающих месторождения открытым способом.
10.2 Нормативы расхода основных материалов и энергоресурсов
10.2.1 Нормативы расхода материалов и энергоресурсов определяются с учетом особенностей производства. Удельные нормы расхода принимаются на одну тонну руды, один кубический метр вскрышных пород, один кубический метр горной массы. Для разработки норм используют расчетно-аналитический или опытный методы в соответствии с
ГОСТ 14.322.
10.2.2 Удельные нормы расхода электроэнергии на экскавацию вскрышных пород и руды, бурение скважин определяются по ГОСТ 30356.
10.2.3 Удельная норма расхода дизельного топлива для горного оборудования определяется по индивидуальным нормам и техническим характеристикам машин по данным изготовителя с учетом проектируемых режимов и условий эксплуатации.
10.2.4 Удельная норма расхода дизельного топлива карьерными автосамосвалами определяется по данным изготовителя с учетом горнотехнических условий эксплуатации.
10.2.5 Показатели удельного расхода смазочных масел для горных машин и карьерных автосамосвалов рассчитываются по регламенту замены масла изготовителя и проектируемых режимов эксплуатации.
При внедрении новых прогрессивных смазочных масел удельный расход определяется в соответствии с регламентом по их замене, утвержденным приказом по предприятию.
10.2.6 Удельная норма расхода ВВ рассчитывается как средневзвешенная величина паспортного или проектного расхода ВВ по каждой категории пород и их процентного соотношения. Годовой расход ВВ определяется с учетом дополнительного расхода ВВ на контурное взрывание и дробление негабарита. Расход средств инициирования определяется с учетом схем монтажа взрывной сети согласно типовому проекту буровзрывных работ.
10.2.7 Удельная норма расхода шарошечных долот q определяется расчетом на 1000 пог. м:

(36)
где Yi - доля каждой категории пород в общем объеме бурения;
Ci - стойкость долот на n-ой категории пород, пог. м;
Kд = 1,03 - 1,05 - коэффициент дополнительного расхода за счет поломок и раннего износа долот.
10.2.8 Нормы эксплуатационного пробега крупногабаритных шин (КГШ) карьерных автосамосвалов устанавливаются по данным эксплуатации и планируемого пробега шин на алмазодобывающих карьерах, использующих данную модель КГШ (см.
приложение Г).
10.2.9 Удельные нормы расхода стального каната, толстолистовой стали, экскаваторных зубьев, коронок рыхлителя, электрического кабеля рассчитываются опытно-статистическим методом по данным эксплуатации алмазодобывающих карьеров (см.
приложение Г).
10.3 Автоматизация технологических и производственных процессов
10.3.1 Общие положения проектирования систем автоматизации
10.3.1.1 При проектировании систем автоматизации необходимо предусмотреть охват всех уровней производства, управление основными и вспомогательными технологическими процессами.
10.3.1.2 В проектах разработки, освоения и эксплуатации алмазорудных месторождений необходимо предусматривать следующие системы: автоматизации производственных и технологических процессов и системы промышленной и технологической безопасности:
- информационная система управления производственными процессами алмазодобывающего предприятия;
- система управления горнотранспортными работами;
- системы управления технологическими процессами обогатительных фабрик;
- системы управления объектами энергообеспечения и инфраструктуры;
- система управления транзитным транспортом;
- системы промышленной безопасности: охранно-пожарной сигнализации, охранного видеонаблюдения, контроля доступа, мониторинга и оповещения персонала;
- система мониторинга технологической безопасности для оценки состояния инженерных сооружений и прогнозирования опасных ситуаций в криолитозоне, в том числе, контроля устойчивости бортов карьеров, состояния оснований и конструкций зданий, состояния гидросооружений.
10.3.1.3 Проектируемые системы автоматизации должны обеспечивать:
- безопасное ведение горных работ;
- повышение эффективности производства;
- максимальное применение безлюдных технологий;
- эффективное использование энергоресурсов;
- минимальное экологическое воздействие на окружающую среду;
- унификацию технических решений и типов оборудования.
10.3.1.4 Степень автоматизации должна обеспечивать минимизацию численности оперативного и обслуживающего персонала на объектах. Общепромышленные объекты, такие как насосные, компрессорные, котельные, трансформаторные подстанции необходимо проектировать для работы в полностью автоматическом режиме, без постоянного присутствия оперативного персонала.
Необходимо предусматривать технологии безлюдного ведения горных работ в опасных зонах с применением роботизированных комплексов и систем, позволяющих осуществлять управление горными машинами в дистанционном и автоматическом режимах.
Примечание - Состав систем и объем автоматизируемых функций для каждого объекта определяются Заказчиком на этапе подготовки технического задания на разработку систем. Принимаемые экономические решения должны быть обоснованы.
10.3.1.5 При проектировании необходимо предусматривать:
- максимальную унификацию системотехнических решений, типов оборудования и программно-технических комплексов;
- широкое использование типовых схем и конструкций;
- применение современных технологий: бесконтактных и беспроводных средств измерений, систем видеоанализа, геоинформационных технологий, регулируемых приводов.
10.3.2 Основные принципы построения систем автоматизации
10.3.2.1 При проектировании систем автоматизации необходимо выполнять декомпозицию управляющих функций и вычислительных комплексов по технологическим узлам и агрегатам в сочетании с рациональной концентрацией и централизацией функций координирующего управления, учета, анализа и представления информации.
10.3.2.2 В составе проектов автоматизированных систем реализацию функций сбора данных, контроля и управления технологическими процессами необходимо предусматривать с помощью управляющих комплексов на основе программируемых логических контроллеров.
Контроллеры обеспечивают связь с полевыми устройствами, организуют инфраструктуру промышленных сетей и устанавливают обмен информацией с другими вычислительными комплексами по локальной вычислительной сети.
Контроллеры должны иметь проектно-компонуемую структуру, развитые сетевые средства и средства визуального программирования.
10.3.2.3 Информация из контроллеров поступает на серверы и на операторские станции. Необходимо разделять серверы по их функциональному назначению - технологические, административные, безопасности. Для технологических серверов необходимо предусматривать резервирование.
10.3.2.4 Представление информации и взаимодействие персонала с технологическим процессом и системой управления - человеко-машинный интерфейс - устанавливается на ПК-совместимых рабочих станциях.
Для управления, визуализации, ведения баз данных должен предусматриваться программный комплекс, обеспечивающий выполнение функций диспетчерского управления и сбора данных многопользовательской клиент-серверной архитектуры.
10.3.2.5 Связь вычислительных устройств автоматизированных объектов между собой необходимо предусматривать по локальной вычислительной сети кольцевой структуры на базе современных технологий построения сетей с использованием оптоволоконных линий связи и радиоканалов.
10.3.2.6 Для управления оборудованием должны предусматриваться три режима управления:
- ручной режим местного управления;
- дистанционный;
- автоматический режим.
Выбор режима "местный-дистанционный" выполняется ключом режима на посту местного управления. Выбор режима "дистанционный-автоматический" выполняется на операторской станции. Должна быть исключена возможность одновременного включения механизмов из двух мест.
10.3.2.7 Для получения информации о процессе необходимо предусмотреть датчики с унифицированным выходным сигналом от 4 до 20 мА. Для контроля открытых рудных потоков возможно использование датчиков на основе систем машинного зрения или систем видеонаблюдения. Для регулирующих органов предусматриваются, как правило, электрические исполнительные механизмы.
10.3.2.8 Оборудование автоматизированных систем и программное обеспечение необходимо применять из перечня, определенного на предприятии в качестве базового. Необходимо ограничивать применение систем, содержащих в своем составе несерийные и нестандартные изделия, не сертифицированные соответствующими органами.
10.3.2.9 Для повышения надежности программно-технических комплексов необходимо предусматривать системы бесперебойного электропитания с автоматическим вводом резерва. Необходимо предусматривать отдельный от силового контур заземления.
10.3.2.10 В проектах необходимо предусматривать организацию служб эксплуатации автоматизированных систем, включая мастерские и складские помещения, комплекты сервисного оборудования и запасных частей.
10.4 Системы и сети связи
10.4.1 Общие положения проектирования сетей и систем
10.4.1.1 При проектировании сетей и систем связи необходимо предусмотреть следующие компоненты:
- каналы передачи информации;
- системы автоматической телефонной связи;
- системы сотовой телефонной связи;
- системы транкинговой радиотелефонной связи;
- системы фиксированного доступа;
- системы диспетчерской связи;
- системы аварийно-резервной связи;
- опорные сети передачи информации;
- локальные вычислительные сети.
Все компоненты систем связи должны быть интегрированы в единый комплекс и управляться централизованной системой управления сетевой инфраструктуры.
Примечание - Состав сетей и систем связи для каждого объекта определяется заказчиком на этапе подготовки технического задания на разработку систем с учетом экономической обоснованности принимаемых решений.
10.4.1.2 Система телефонной связи должна обеспечивать взаимодействие с системами связи общего пользования, в том числе международной, междугородней, местной и взаимодействие с сетью Интернет в соответствии с требованиями законодательства Российской Федерации.
10.4.1.3 При проектировании должны применяться следующие принципы построения и развития сети связи:
- множественная кольцевая топология архитектуры сети;
- мультисервисность - одновременная передача по сети всех видов трафика;
- использование стандартизированных протоколов и интерфейсов;
- унификация и типизация решений;
- разделение технологических и корпоративных сегментов сети;
- возможность динамического изменения скорости передачи информации;
- масштабируемость сети;
- обеспечение информационной безопасности;
- инвариантность доступа к полному набору услуг;
- интеллектуальность;
- автоматизация процессов диагностики и управления;
- использование единого плана сетевой адресации.
10.4.2 Система мониторинга и управления систем связи
Мониторинг сетевой инфраструктуры и управление сетями должны осуществляться с использованием единой централизованной системы. Вся информация, необходимая для управления сетью, должна располагаться в единой базе данных. Обмен служебными данными системы управления должен проводиться с использованием транспортной системы управляемой сети.
В системе должны быть реализованы следующие функции управления сетью:
- мониторинг загрузки каналов передачи данных, активности использования рабочих станций, серверов, информационных ресурсов сети, сетевого трафика в режиме реального времени;
- удаленное администрирование; создание резервных копий и их восстановление; наличие информационно-справочной системы;
- конфигурирование, мониторинг и управление неисправностями;
- учет физических и логических ресурсов сети;
- управление производительностью;
- контроль выполнения задач по устранению неисправностей;
- управление качеством предоставляемых услуг;
- контроль доступа к ресурсам сети.
11 Генеральный план карьера
11.1 Генеральный план алмазодобывающего предприятия с открытым способом разработки необходимо разрабатывать в соответствии с федеральными и ведомственными нормативными документами и специальными нормами, обязательными для горнодобывающей промышленности.
11.2 Алмазодобывающие предприятия с открытым способом разработки включают, как правило, следующие объекты:
- карьер;
- внешние и внутренние отвалы вскрышных пород и забалансовых руд, склады руды и инертных материалов, водо- и хвостохранилища, отвалы сухих хвостов, хвосты тяжелосредной сепарации;
- нагорные канавы, карьерный водоотлив, полигон обратной закачки карьерных вод;
- бортокольцевая линия электропередачи, подстанции, вышки освещения;
- сооружения систем связи;
- промышленные объекты основного и вспомогательного производственного назначения, объекты обслуживающего ремонтного, складского, энергетического и транспортного хозяйства;
- базисные и расходные склады ВМ, завод эмульсионных ВВ;
- автовесовые объекты;
- объекты водоснабжения, канализации, теплоснабжения.
11.3 В отдельных случаях в состав алмазодобывающего предприятия может входить жилой поселок, карьеры строительных материалов, объекты инженерного и социального назначения. При размещении жилого поселка должно учитываться преобладающее направление ветра по розе ветров - векторной диаграмме, характеризующей режим ветра в данном месте.
При значительной удаленности карьера в непосредственной близости от него следует размещать площадку для обслуживания и заправки горной техники для обеспечения необходимого технического обслуживания, заправки горной техники, создания необходимых санитарных условий для сотрудников и энергетического обслуживания горных работ.
11.4 Генеральный план алмазодобывающего предприятия должен выполняться на основе конкретного состава предприятия. Должны использоваться:
- совершенные технологии работ по добыче и переработке полезного ископаемого;
- эффективные виды технологического транспорта;
- оптимальные строительные решения;
- целесообразная компоновка объектов предприятия;
- категория участков, требуемых для отвода земли.
11.5 Генеральный план горного предприятия следует разрабатывать при рациональном расходовании земельных ресурсов. При наличии нескольких вариантов решения схемы генерального плана, выявленных при разработке ТЭО или основных положений проекта, выбор оптимального варианта определяется технико-экономическим сравнением этих вариантов с учетом следующих факторов:
- природные условия;
- ценность занимаемых земель;
- результаты научно-исследовательских работ по выбору рациональной технологии;
- конкретные условия, выявленные при выборе площадок для строительства горного предприятия;
- возможность дальнейшего расширения предприятия.
11.6 Промышленные площадки, внешние отвалы вскрышных пород и некондиционных руд следует располагать на минимально допустимом расстоянии от верхнего контура карьера. При этом необходимо учитывать перспективный контур карьера, границы зоны сдвижения по поверхности на безрудных территориях при возможной последующей доработке месторождения подземным способом, требования безопасности при ведении взрывных работ. Следует также учитывать:
- санитарные требования к застроенной территории предприятия
[21];
- естественное проветривание карьера.
Отклонения от этих требований должны обосновываться технико-экономическими расчетами и согласовываться:
- с федеральной службой по надзору в сфере защиты прав потребителей и благополучия человека;
- с центром гигиены и эпидемиологии субъекта Российской Федерации, на территории которого расположено месторождение.
Расположение промышленных площадок должно удовлетворять санитарным требованиям и условиям безопасности при ведении взрывных работ. Технологические комплексы необходимо проектировать в виде нескольких крупных блоков.
11.7 При разработке генерального плана для исключения загрязнения земель необходимо предусматривать:
- сбор загрязненных стоков с территории промышленных площадок, отвалов вскрышных пород и забалансовых руд;
- мероприятия по благоустройству и озеленению территорий.
11.8 При ширине взрывоопасной зоны вокруг карьера от 200 до 450 м разрешается размещать:
- технологические транспортные коммуникации;
- внешние отвалы вскрышных пород и некондиционных руд при максимальном приближении к бортам карьера с учетом обеспечения их устойчивости;
- дренажные установки и сооружения по водопонижению в карьерах;
- здания карьерных диспетчерских при условии обеспечения их специальными средствами защиты от разлета кусков породы при взрывных работах;
- сооружения гражданской обороны при максимальном их приближении к выездам из карьера.
11.9 Пожарную охрану следует проектировать в соответствии с требованиями
СП 112.13330.2011. Расположение пожарных депо и постов, их мощность следует проектировать в соответствии с
[18].
11.10 Размещение базисного и расходного складов взрывчатых материалов ВМ и комплекса подготовки компонентов эмульсионных ВВ допускается согласно
[4] при удалении их на расстояние не менее 100 м от основных зданий и сооружений.
11.11 Для размещения засоленных вскрышных пород целесообразно использовать отработанные карьеры. Площадки для узла закачки минерализованных вод следует размещать на водораздельном участке, приуроченном к зоне разлома, на оптимальном расстоянии до защищаемого карьера.
11.12 Площадки для объектов основного и вспомогательного производственного назначения, обогатительная фабрика, объекты обслуживающего ремонтного, складского, энергетического и транспортного хозяйства, объекты инженерного и социального назначения, селитебные территории необходимо размещать с подветренной стороны от пылящих объектов и выбросов загрязняющих веществ с соблюдением санитарных норм.
11.13 Резервуарные парки или отдельно стоящие резервуары с легковоспламеняющимися и горючими жидкостями, сжиженными горючими газами, ядовитыми веществами, площадки для заправки горной техники должны располагаться, как правило, на более низких отметках по отношению к зданиям и сооружениям. В соответствии с требованиями противопожарных норм они должны быть обнесены с учетом рельефа местности сплошными несгораемыми стенами, монолитными бортиками высотой 20 см или земляными валами с высотой, принятой по расчету.
Противопожарное расстояние от зданий и сооружений по взрывопожарной и пожарной опасности следует принимать в соответствии с
СП 155.13130.2014; при размещении площадок и зданий вдоль линий электроснабжения необходимо учитывать охранную зону.
11.14 В целях защиты территории от подтопления водами с верховой стороны необходимо предусматривать устройство нагорных канав и нагорных валиков. Нагорные канавы следует располагать не менее 5 м от подошвы насыпи территории.
12 Характеристика района и условий строительства в условиях криолитозоны
12.1 Инженерные изыскания
12.1.1 Общие требования
Инженерные изыскания при разработке алмазорудных месторождений открытым способом в криолитозоне для объектов инфраструктуры горнорудного предприятия должны выполняться по требованиям
СП 47.13330.2016,
[62] (части 1 - 3),
[63] (части 1 - 6),
[61], а также инструкций и правил по проведению геодезических, топографических и картографических работ, утвержденных органами исполнительной власти
[22] -
[26].
Инженерные изыскания включают в себя комплекс геодезических, геологических и гидрометеорологических работ, выполняемых в подготовительный, полевой и камеральный периоды.
Состав, методы выполнения и объем отдельных видов работ устанавливаются программой инженерных изысканий, разработанной на основании задания застройщика или технического заказчика.
В результате инженерных изысканий должны быть получены материалы, достаточные для подготовки проектной документации на объекты капитального строительства горнорудного предприятия.
12.1.2 Инженерно-геодезические изыскания
В состав инженерно-геодезических изысканий входят следующие основные виды работ:
- создание, развитие и обновление опорной геодезической сети и геодезической сети сгущения;
- трассирование линейных объектов;
- топографическая съемка в масштабе от 1:5000 до 1:200;
- создание и обновление инженерно-топографических планов в цифровом и/или графических видах в масштабе от 1:5000 до 1:200;
- инженерно-гидрографические работы;
- топографо-геодезическое обеспечение инженерно-геологических и инженерно-гидрометеорологических изысканий;
- геодезические наблюдения за деформациями зданий и сооружений, движениями земной поверхности и опасными природными процессами;
- камеральная обработка материалов и составление технического отчета.
12.1.3 Инженерно-геологические и инженерно-геотехнические изыскания
Инженерно-геологические изыскания для подготовки проектной документации выполняются в один этап. При необходимости, для построения расчетной геомеханической модели взаимодействия проектируемых зданий или сооружений с основанием, в состав инженерно-геологических изысканий включаются инженерно-геотехнические изыскания.
В состав инженерно-геологических и инженерно-геотехнических изысканий входят следующие виды работ:
- рекогносцировочное обследование, маршрутные наблюдения;
- инженерно-геологическая съемка;
- проходка горных выработок;
- инженерно-геофизические исследования;
- инженерно-геокриологические исследования;
- полевые исследования грунтов;
- гидрогеологические исследования;
- лабораторные исследования грунтов и подземных вод;
- камеральная обработка материалов и составление технического отчета.
12.1.4 Инженерно-гидрометеорологические изыскания
В состав инженерно-гидрометеорологических изысканий входят следующие виды работ:
- сбор и обобщение материалов стационарных наблюдений Росгидрометцентра России и материалов ранее выполненных инженерно-гидрометеорологических изысканий и исследований;
- рекогносцировка района изысканий, в том числе обследование водных объектов в районе намеченного размещения площадок строительства;
- наблюдение за элементами гидрометеорологического режима;
- изучение опасных гидрометеорологических процессов и явлений;
- камеральная обработка полученных материалов и определение необходимых расчетных характеристик;
- составление технического отчета.
12.2 Инженерно-геокриологические изыскания
12.2.1 Инженерно-геокриологические изыскания должны обеспечивать комплексное изучение инженерно-геокриологических условий территории строительства всех объектов карьера и будущего рудника, включая наземные здания, протяженные коммуникации, сооружения, водохранилища, насосные станции, дамбы, отвалы хвостохранилищ.
Изыскания должны выявить состав, состояние, физико-механические и физико-технические свойства грунтов в мерзлом и талом состояниях и дать необходимые сведения:
- для составления прогноза изменений инженерно-геокриологических условий при взаимодействии проектируемых объектов с геологической средой территории, предназначенной для строительства карьера и наземных объектов;
- для определения основных направлений разработки инженерной защиты строящихся объектов и охраны окружающей среды.
Объем и программа изысканий определяются категорией инженерно-геокриологических условий площадок строительства всех объектов карьера, а также действующими требованиями разработки предпроектной и проектной документации.
12.2.2 При выполнении предпроектных и проектных работ должны быть использованы результаты сбора, анализа и обработки изысканий прошлых лет, содержащие оценку степени изученности инженерно-геологических и геокриологических условий исследуемой территории, уровень их сложности.
При обработке материалов ранее проведенных изысканий следует особое внимание уделять выявлению динамики развития негативных геокриологических процессов на исследуемой территории для оценки степени их опасности для всех проектируемых объектов. На основе этого анализа составляется перечень необходимых дополнительных изыскательских работ.
12.2.3 По итогам рекогносцировочных работ, обобщения и анализа имеющихся материалов составляются планы дальнейших наблюдений, уточняющих особенности отдельных элементов геокриологической обстановки, намечаются места размещения стационарных наблюдательных постов.
12.2.4 В качестве стационарных наблюдательных постов могут быть использованы уже имеющиеся, законсервированные, пригодные для ведения наблюдений. При их отсутствии должны быть оборудованы новые, включающие специальные горные выработки, или пробурены специальные скважины требуемого диаметра и глубины.
12.2.5 При бурении наблюдательных скважин предпочтение должно отдаваться колонковому механическому бурению укороченными рейсами с продувкой забоя предварительно охлажденным сжатым воздухом со сплошным отбором керна. Скважины, предназначенные для измерений температуры породных массивов, должны быть оборудованы в соответствии с требованиями
ГОСТ 25358. Количество скважин определяется программой исследований, требуемой детальностью мерзлотной съемки с учетом ее масштаба и применяемой техники.
12.2.6 При проведении полевых работ уточняются данные ранее проведенных изысканий на территории, отбираются образцы пород для определения их физико-механических и физико-технических свойств в полевых и лабораторных условиях, проводятся скважинные и наземные геофизические исследования. Упаковку, доставку, хранение отобранных образцов следует выполнять в соответствии с требованиями
ГОСТ 12071 и
ГОСТ 21153.0. Определение свойств грунтов и пород следует выполнять в соответствии с требованиями
ГОСТ 5180,
ГОСТ 12248,
ГОСТ 20276,
ГОСТ 26263,
ГОСТ 28622,
ГОСТ Р 53582.
12.2.7 Для оценки влияния на устойчивость бортов и берм карьеров сезонных периодов промерзания и оттаивания вмещающих и перекрывающих пород, приводящих к осыпанию и растрескиванию, на керне горных пород, отобранных со всей проектной глубины карьеров, проводятся лабораторные испытания по циклам промерзания-оттаивания. Результаты испытаний учитываются в проектных решениях по конструкции и высоте берм карьеров.
12.2.9 В случаях обнаружения надмерзлотных, межмерзлотных и подмерзлотных вод по глубине карьера наряду с геокриологическими работами проводятся специальные гидрогеологические исследования.
12.2.10 Качественный и количественный прогноз возможных негативных изменений инженерно-геокриологических условий при определении степени опасности криогенных процессов для проектируемых наземных объектов карьера, а также сопредельных территорий должен выполняться в соответствии с требованиями
СП 25.13330.2012.
| | ИС МЕГАНОРМ: примечание. В официальном тексте документа, видимо, допущена опечатка: раздел 6.7 в СП 47.13330.2016 отсутствует. | |
12.2.11 Результаты инженерно-геокриологических изысканий следует представлять в соответствии с требованиями
ГОСТ 21.302 и
СП 47.13330.2016 (раздел 6.7).
13 Охрана недр и окружающей среды
13.1 Геолого-маркшейдерское обеспечение горных работ
13.1.1 Геолого-маркшейдерские работы проводятся для обеспечения оптимального технологического цикла работ по добыче полезного ископаемого, промышленной безопасности и охраны недр. В них включаются следующие работы:
- поиск, оценка и разведка месторождения;
- строительство горного производства;
- эксплуатация в соответствии с действующим проектом разработки месторождения;
- консервация и ликвидация объектов недропользования.
13.1.2 Геолого-маркшейдерское обеспечение геологических работ должно быть согласовано с положениями разделов проекта, в которых упоминаются геологические мероприятия.
13.1.3 Для отдельных видов специальных геолого-маркшейдерских работ должны разрабатываться следующие проектные документы:
- проект доразведки месторождения;
- проект наблюдательной станции;
- проект горного отвода.
13.1.4 Раздел проектной документации "Геолого-маркшейдерское обеспечение горных работ" должен включать:
- виды и объем работ при освоении месторождения;
- материально-техническое обеспечение работ;
- организационное обеспечение работ;
- документирование работ;
- специальные работы;
- информационное обеспечение.
13.1.5 В пункте "Виды и объем геолого-маркшейдерских работ при освоении месторождения" должны быть определены технические решения по работам, необходимым для реализации основных проектных решений по стадиям освоения месторождения. Эти решения должны включать:
1) опробование горных выработок и скважин различного назначения;
2) проведение химических, спектральных и других видов анализа на полезные компоненты и вредные примеси;
3) исследования технологических свойств полезных ископаемых;
4) геологические работы по изучению и уточнению строения участка недр, технологических свойств и горнотехнических условий его использования;
5) производство маркшейдерских и геологических работ в объеме, позволяющем достоверно оценить:
- разведанные запасы полезных ископаемых;
- условия для строительства и эксплуатации объектов по добыче полезных ископаемых;
- безопасное ведение горных работ;
- возможность наиболее полного извлечения запасов из недр;
- охрану зданий, сооружений, природных объектов и земной поверхности от вредного влияния горных разработок;
6) учет состояния и движения запасов, потерь и разубоживания полезных ископаемых;
7) учет попутно добываемых, но временно не используемых полезных ископаемых, вскрышных и вмещающих пород и образующихся отходов производства, содержащих полезные компоненты;
8) обоснование нормативов потерь и разубоживания полезных ископаемых при их добыче;
9) ведение следующих установленных федеральных форм государственного статистического наблюдения:
- учет запасов полезных ископаемых, объем добычи, извлечения и потерь полезных ископаемых, по недропользованию, рекультивации нарушенных и отработанных земель;
- подготовка материалов для переоценки и списания запасов с учета предприятия, а также исходных данных для исчисления платежей за пользование недрами;
- ведение и систематическое пополнение установленных форм геологической и маркшейдерской документации, меры по ее сохранности;
10) мониторинг состояния недр, включая процессы сдвижения горных пород и земной поверхности, геомеханических и геодинамических процессов при недропользовании для предотвращения вредного влияния горных разработок на горные выработки, объекты поверхности и окружающую природную среду;
11) определение и своевременное нанесение на горную графическую документацию опасных зон;
12) контроль соблюдения требований по безопасному ведению горных работ вблизи и в пределах опасных зон.
13.1.6 В пункте "Материально-техническое обеспечение геологических и маркшейдерских работ" должны быть определены:
- необходимые геологические и маркшейдерские приборы и оборудование;
- программные комплексы;
- картографические материалы;
- данные дистанционного зондирования Земли, включая космические и аэрофотоснимки;
- помещения, оргтехника и транспорт для обеспечения основных этапов освоения месторождения.
При использовании в проектных решениях новых технологий, приборов и оборудования, программных продуктов при проектировании должны подготавливаться предложения по внесению в нормативные документы горнодобывающего предприятия соответствующих дополнений и изменений.
13.1.7 В пункте "Организационное обеспечение геологических и маркшейдерских работ" должны определяться основные требования к промышленной безопасности и охране недр согласно
положению, утвержденному Госгортехнадзором России
[27]. Основные требования включают:
- права и обязанности служб главного геолога и главного маркшейдера;
- функции главного маркшейдера и главного геолога организации;
- подчинение главного маркшейдера и главного геолога непосредственно руководителю организации;
- расчет численности маркшейдерской и геологической служб карьера.
13.1.8 В пункте "Документирование геологических и маркшейдерских работ" приводятся перечни и формы основной геолого-маркшейдерской документации в соответствии с
инструкцией, утвержденной Госгортехнадзором России
[28]:
- книги и реестры;
- горная графическая документация;
- табличные материалы;
- исполнительная документация.
13.1.9 В пункте "Специальные геологические и маркшейдерские работы" приводится перечень проектов по выполнению этих работ, необходимых для реализации основных проектных решений. Определяются цели и задачи, решаемые этими проектными документами, технологические условия проектирования, вытекающие из общих проектных решений по разработке месторождения.
Специальные проекты могут составляться по объекту разработки и должны обеспечивать:
- опережающее геологическое изучение недр;
- наблюдения за состоянием горных отводов и обоснование их границ;
- производство комплекса геолого-маркшейдерских работ в соответствии с установленными требованиями.
13.1.10 В пункте "Информационное обеспечение геологических и маркшейдерских работ" приводятся технические решения по созданию геоинформационной системы. Система должна включать создание и хранение картографической и горной графической документации, пространственной привязки геологических и маркшейдерских данных.
Определяются потребности геолого-маркшейдерской службы в специализированных информационно-обучающих комплексах. Эти комплексы должны включать:
- электронную библиотеку технической и нормативно-методической литературы;
- предварительную аттестационную подготовку специалистов;
- квалификационное тестирование и консультационную поддержку.
13.2 Мероприятия по охране окружающей среды
13.2.1 Мероприятия по охране окружающей среды, восстановлению природной среды, рациональному использованию и воспроизводству природных ресурсов, обеспечению экологической безопасности при проектировании объектов разработки алмазорудных месторождений разрабатываются с учетом требований Федерального
закона [29].
13.2.2 Исходными материалами при проектировании мероприятий являются:
- технический отчет с результатами инженерно-экологических, инженерно-геологических, инженерно-гидрометеорологических изысканий;
- оценка воздействия на окружающую среду;
- технико-экономическое обоснование разведочных кондиций для подсчета запасов и оценки эффективности инвестиций;
- разделы проектной документации, содержащие сведения о планировке земельного участка, инженерном оборудовании, перечень инженерно-технических мероприятий, основных технологических решений, сведения об организации строительства;
- проекты нормативов предельно допустимых выбросов, сбросов, нормативов образования отходов и лимитов на их размещение, проекты организации санитарно-защитной зоны и природоохранная разрешительная документация (для действующих предприятий);
- топографический план местности с указанием границ охраняемых территорий, ценности земель, границ и размеров водоемов с указанием их хозяйственного использования;
- сведения об агрохимических свойствах вмещающих и вскрышных пород, их пригодности для проведения биологического этапа рекультивации;
- сведения о геохимических свойствах руд и вмещающих пород, возможности геохимического загрязнения почв и водных источников в районе расположения горнорудного предприятия;
- сведения о составе дренажных вод, поступающих из горных выработок и отвалов;
- сведения о размерах депрессионной воронки, образующейся в результате осушения месторождения;
- информация о фоновых концентрациях вредных веществ и климатических характеристиках по району строительства от территориального органа Федеральной службы России по гидрометеорологии и мониторингу окружающей среды.
13.2.3 Мероприятия по охране атмосферного воздуха должны разрабатываться при проектировании алмазодобывающих предприятий в соответствии с требованиями Федерального закона
[30] (статья 16) и гигиенических требований к обеспечению качества атмосферного воздуха населенных мест.
Установление подлежащих государственному учету и нормированию источников и определение перечня выброса загрязняющих веществ в атмосферный воздух проводится в соответствии с
порядком, утвержденным приказом Минприроды России
[31].
Расчеты выбросов загрязняющих веществ в атмосферу от источников следует проводить по действующим методикам.
Расчеты рассеивания выбросов загрязняющих веществ следует проводить для периода с максимальными выбросами.
Нормативы предельно допустимых выбросов загрязняющих веществ должны разрабатываться по
ГОСТ 17.2.3.02.
Охрана атмосферного воздуха включает планировочные, технологические и специальные мероприятия, направленные на сокращение объема выбросов и снижение приземных концентраций загрязняющих веществ в атмосфере.
Планировочные мероприятия должны быть направлены на уменьшение воздействия выбросов предприятия на жилые зоны. Одним из необходимых мероприятий является создание санитарно-защитной зоны, размеры которой определяются в соответствии с санитарно-эпидемиологическими
правилами и нормативами [32].
Санитарно-защитные зоны предлагаются на основании расчета таких зон для предприятий, расположенных в местах проживания населения.
Проекты санитарно-защитных зон не разрабатываются для объектов, расположенных на удалении от нормируемых территорий на расстояние 10 км и более, при условии, что в радиусе 1000 м от границы территории объекта отсутствуют нормируемые территории, а перспективная жилая застройка, в соответствии с генеральным планом развития городского или сельского поселения, не будет приближаться к границе ориентировочной санитарно-защитной зоны предприятия.
В соответствии с
правилами охраны недр
[5] не допускается размещение в населенных пунктах отвалов пород и хранилищ отходов, являющихся источниками загрязнения атмосферного воздуха.
К технологическим и специальным мероприятиям по охране воздуха относятся:
- использование малоотходной и безотходной технологии,
- комплексное использование природных ресурсов,
- мероприятия по улавливанию, обезвреживанию и утилизации вредных выбросов и отходов.
13.2.4 Мероприятия по охране и рациональному использованию земельных ресурсов и почвенного покрова, в том числе мероприятия по рекультивации нарушенных или загрязненных земельных участков, проводятся по Земельному кодексу Российской Федерации
[33] (статья 13).
Оценка состояния почвы для охраны здоровья человека и окружающей среды должна проводиться по гигиеническим нормативам предельно допустимой концентрации вредных веществ, вредных микроорганизмов и других загрязняющих почву биологических продуктов. Должны учитываться также санитарно-эпидемиологические требования к качеству почвы.
Для минимизации возможного отрицательного воздействия и для рационального использования земельных ресурсов необходимо размещать проектируемые объекты компактно, в едином узле с минимальными расстояниями между объектами.
При планировке территории и производстве земляных работ следует учитывать требования к инженерной защите территорий по
СП 104.13330.2016.
В проекте разработки месторождений полезных ископаемых должны быть предусмотрены мероприятия, предотвращающие или препятствующие развитию водной и ветровой эрозии почв, засолению, заболачиванию или другим формам утраты плодородия земель. Предусматривается также использование снятого верхнего плодородного слоя почвы для рекультивации нарушенных земель. Эти мероприятия должны проводиться в соответствии с
правилами охраны недр
[5].
При определении норм снятия плодородного слоя почвы и потенциально плодородного слоя следует руководствоваться требованиями
ГОСТ 17.5.3.06,
ГОСТ 17.4.3.02.
Обустройство объектов, связанных с разработкой месторождений полезных ископаемых на лесных территориях, должно исключать развитие эрозионных процессов на занятой и прилегающей территории. Для защиты почвенного покрова от загрязнения сточными водами необходимо предусмотреть мероприятия по отведению и очистке поверхностного стока с территории промышленной площадки, стоянки автотранспорта, отвалов, складов, карьера, автозаправочных станций.
13.2.5 Мероприятия по снижению неблагоприятного воздействия отходов на окружающую среду должны разрабатываться по основным принципам и направлениями государственной политики в области обращения с отходами, изложенным в Федеральном
законе [34].
В соответствии с этим законом при проектировании, строительстве, реконструкции, консервации и ликвидации предприятий, зданий, строений, сооружений и иных объектов, в процессе эксплуатации которых образуются отходы, необходимо предусматривать площадки для сбора отходов.
Необходимо также руководствоваться гигиеническими требованиями к размещению, устройству, технологии, режиму эксплуатации и рекультивации мест централизованного использования, обезвреживания и захоронения отходов производства и потребления и гигиеническими требованиями к организации мест временного хранения промышленных отходов в соответствии со
статьей 12 Федерального закона
[34] и
пунктом 9 санитарно-эпидемиологических правил
[35].
Код и класс опасности образующихся отходов следует определять по Федеральному классификационному каталогу отходов. При определении опасности, не учтенной в каталоге, необходимо руководствоваться санитарными
правилами [36] и
приказом Минприроды РФ
[37].
Самыми объемными отходами алмазодобывающей промышленности являются вскрышные и вмещающие породы (незасоленные и засоленные). Незасоленные вскрышные и вмещающие породы размещаются во внешних отвалах, а засоленные породы складируются в выработанное пространство карьеров для их изоляции и уменьшения влияния на окружающую среду.
Вскрышные и вмещающие горные породы IV и V классов опасности могут использоваться при ликвидации горных выработок. Эти породы, при условии их пригодности, могут быть использованы для биологической рекультивации нарушенных земель.
13.2.6 В соответствии с
правилами охраны недр
[5] при разработке месторождений, залегающих в сложных горно-геологических условиях, должны проводиться мероприятия, обеспечивающие выполнение требований по безопасности горных работ и предотвращающие или резко снижающие вредное влияние природных факторов на рациональное комплексное использование запасов полезных ископаемых и охрану недр.
13.2.7 Мероприятия по охране водных объектов и сохранению водных биологических ресурсов и среды их обитания должны быть основаны на Водном кодексе Российской Федерации
[38] (статья 3). Эти мероприятия в соответствии с
главой 6 Водного кодекса включают охрану от засорения и истощения поверхностных и подземных водных объектов, болот.
Вода, отводимая с территории объектов горных работ, должна сбрасываться в ближайший водоток или в место, исключающее:
- возможность ее обратного проникновения через трещины, провалы или водопроницаемые породы в выработки;
- заболачивание прилегающих территорий.
При разработке алмазорудных месторождений открытым способом следует предусматривать мероприятия по сбору, отведению, очистке поверхностного стока с территории карьера и площади отвалов. При вскрытии водоносных горизонтов минерализованные водопритоки и поверхностный сток подлежат раздельному сбору. Должна быть предусмотрена обратная закачка минерализованных водопритоков.
При проектировании строительства и реконструкции алмазодобывающего предприятия необходимо учитывать ограничения, связанные:
- с водоохранными зонами, прибрежными защитными полосами, предусмотренными
статьей 65 Водного кодекса
[38];
- с зонами санитарной охраны источников питьевого водоснабжения;
- с рыбохозяйственными заповедными зонами, предусмотренными
статьей 49 Федерального закона
[39].
Гигиенические требования к охране поверхностных и подземных вод установлены санитарными нормами и правилами
[41] и
[42].
Поддержание поверхностных и подземных вод в состоянии, соответствующем требованиям
статьи 35 Водного кодекса
[38], обеспечивается установлением и соблюдением нормативов допустимого воздействия на водные объекты. Эти нормативы разрабатываются на основании предельно допустимой концентрации химических веществ, микроорганизмов и других показателей качества воды в водных объектах, утвержденных
приказом Минприроды России
[43].
Качество воды водных объектов рыбохозяйственного значения должно соответствовать
нормативам, утвержденным Приказом Росрыболовства
[44].
Нормативы качества воды водных объектов, используемых для хозяйственно-питьевого водоснабжения, установлены санитарными
нормами и правилами [41] и гигиеническими нормами
[45] и
[46].
13.2.8 Мероприятия по охране растительного покрова разрабатываются с учетом утвержденного Рослесхозом порядка использования лесов для выполнения работ по геологическому изучению недр и разработки месторождений полезных ископаемых
[47] (
пункты 18,
19).
Использование лесов для строительства, реконструкции и эксплуатации объектов в соответствии с требованиями Лесного кодекса Российской Федерации
[48] (статья 21) допускается, при условии, что это не связано с созданием лесной инфраструктуры, в том числе для работ по геологическому изучению недр и разработки полезных ископаемых.
13.2.9 Для охраны растительного и почвенного покрова в зоне притундровых лесов и редкостойной тайги, перебазировка подвижного состава и грузов, а также механизированная валка деревьев, трелевка древесины, уборка порубочных остатков должны проводиться преимущественно в зимний период в соответствии с
пунктом 17 порядка использования лесов
[47].
| | ИС МЕГАНОРМ: примечание. В официальном тексте документа, видимо, допущена опечатка: имеется в виду пункт [48] библиографии, а не пункт [47]. | |
13.2.10 Охрана редких и находящихся под угрозой исчезновения видов деревьев, кустарников, лиан, иных лесных растений должна быть основана на
статье 59 Лесного кодекса
[47], в соответствии с утвержденными
Приказом Минприроды РФ
[49] Перечнями (списками) объектов растительного мира, занесенных в Красную книгу РФ и исключенных из Красной книги РФ.
13.2.11 Мероприятия по сохранению среды обитания объектов животного мира и условий их размножения, нагула, отдыха и путей миграции, нарушаемых при проведении геологоразведочных работ, добыче полезных ископаемых и осуществлении других видов хозяйственной деятельности, разрабатываются в соответствии с Федеральным
законом [50].
Мероприятия по охране объектов животного мира в соответствии с
требованиями, утвержденными Постановлением Правительства Российской Федерации
[51], должны быть направлены на предотвращение гибели объектов животного мира при производственных процессах и при эксплуатации транспортных магистралей, трубопроводов, линий связи и электропередач.
Строительство и реконструкцию объектов капитального строительства и иную деятельность, оказывающую воздействие на водные биологические ресурсы и среду их обитания, в соответствии с
Постановлением Правительства Российской Федерации
[52] необходимо согласовывать с Федеральным агентством по рыболовству.
Охрана редких и находящихся под угрозой исчезновения объектов животного мира должна быть основана на
статье 24 Федерального закона
[50], в соответствии с Перечнями объектов животного мира, занесенных в Красную книгу Российской Федерации, а также Красные книги субъектов Российской Федерации, на территории которых проектируется разработка алмазорудных месторождений.
13.2.12 Противоаварийные мероприятия должны соответствовать нормам в области защиты населения и территорий от чрезвычайных ситуаций, санитарно-эпидемиологического благополучия населения, охраны окружающей среды, экологической безопасности, пожарной безопасности, охраны труда, строительства и
статье 3 Федерального закона
[53].
Требования промышленной безопасности к деятельности организаций, ведущих горные работы, установлены
правилами безопасности
[3].
Возможные аварийные ситуации должны быть ликвидированы в соответствии с планом. Порядок разработки планов мероприятий по локализации и ликвидации последствий аварий на опасных производственных объектах и требования к их содержанию установлены
Положением, утвержденным Постановлением Правительства Российской Федерации
[54].
13.2.13 В процессе хозяйственной деятельности необходимо проводить производственный экологический контроль в области охраны окружающей среды.
Основные требования к программе производственного экологического контроля изложены в
статье 67 Федерального закона
[29].
13.2.14 При проектировании мероприятий по защите от шума на территории жилой застройки, в том числе при определении норм допустимого шума, учитываются требования
СП 51.13330.2011 и санитарных
норм, утвержденных постановлением Госкомсанэпиднадзора России
[55].
13.3 Рекультивация земель
13.3.1 Исходными данными для проектирования рекультивации нарушенных в результате открытых горных работ земель являются технические условия, выданные заказчиком проекта и/или землепользователем. Они должны содержать:
- обоснование вида дальнейшего использования рекультивируемых земель и выбор направления рекультивации;
- требования к рекультивации и ее характеристики;
- характеристика объекта рекультивации;
- общую площадь участка рекультивации, в том числе площадь нарушенных и ненарушенных земель по категориям;
- характеристика почв и почвогрунтов территории нарушенных земель;
- требования биологического этапа рекультивации в зависимости от зоны расположения объекта рекультивации;
- срок возвращения восстановленных земель.
13.3.2 Технический этап рекультивации разрабатывается, исходя из положений технического проекта по ликвидации или консервации объекта недропользования.
В зависимости от направления рекультивации на этом этапе предусматриваются следующие виды работ:
- грубая и чистая планировка рекультивируемой поверхности отвалов;
- засыпка нагорных и водоотводных канав;
- отсыпка ППС или ПСП мощностью не менее 0,1 м при наличии необходимого объема такой почвы.
Рекультивация карьеров, расположенных в криолитозоне, ограничивается ликвидацией или консервацией объекта в соответствии с
разделом 16.
В зоне средней тайги (до 64° с.ш.) допускается нанесение ППС или ПСП несколькими способами:
- раздельно-рядовой (кулисами);
- квадратные площадки.
Для дальнейшего самозарастания территория нанесения ППС или ПСП должна занимать не менее 30% от площади, подлежащей рекультивации.
В зоне северной тайги (к северу от 64° с.ш.), при невозможности нанесения ПСП или ППС, рекультивацию следует проводить нетрадиционными способами биологической рекультивации.
13.3.3 Биологический этап рекультивации должен выполняться после полного завершения технического этапа.
В криолитозоне и экстремальных климатических условиях в проекте этого этапа рекультивации нарушенных земель необходимо предусмотреть определение состояния техногенного ландшафта, грунтов и техногенной растительности.
Сельскохозяйственное и лесохозяйственное направления рекультивации не могут быть реализованы в условиях криолитозоны из-за малой мощности почвенного покрова и суровых климатических условий.
В условиях криолитозоны выбираются следующие направления рекультивации нарушенных земель:
- санитарно-гигиеническое;
- природоохранное.
В районах с мощностью почвенного покрова менее 10 см создание рекультивационного слоя от 0,1 до 0,4 м невозможно, поэтому селективное снятие ПСП и ППС не проводится.
Для зоны средней тайги используются традиционные способы рекультивации - с частичной отсыпкой плодородного слоя и гидропосевом.
Для зоны северной тайги рекомендуется использовать как традиционный способ гидропосева, так и нетрадиционные способы - без отсыпки плодородного слоя:
- использование осадков канализационных очистных сооружений;
- применение прошлогодней травы;
- применение биоматов с семенами районированных и местных видов растений.
Вскрышные породы месторождений, складируемые в отвалы, по физическим и химическим свойствам относятся к группе малопригодных для биологической рекультивации и не используются.
При проведении биологической рекультивации нарушенных земель в условиях криолитозоны предусматриваются следующие видов работ:
- внесение комплексных минеральных удобрений с внесением 100 кГ действующего вещества на гектар;
- посев трав, с использованием семян местных видов растений: травосмесь однолетников, двулетников и многолетников в пропорции 2:1:5. Норма высева - 30 кГ/га в зоне средней тайги, 35 кГ/га в зоне северной тайги.
Рекомендуемые приемы посева:
- раздельно-рядовой (кулисами);
- квадратными площадками;
- вразброс.
Рекомендуемые виды растений:
1) для зоны средней тайги:
- злаки: пырейник сибирский, волоснец сибирский, ячмень гривастый, бескильница Гаупта, овсяница красная, кострец;
- бобовые: вика мышиная, донник белый, клевер ползучий, астрагал датский;
- разнотравье: иван-чай узколистный.
2) для зоны северной тайги:
- злаки: овес посевной, овсяница красная, бекмания восточная, пырейник сибирский;
- бобовые: люцерна серповидная, донник белый, клевер ползучий, клевер люпиновый;
- разнотравье: ромашка лекарственная.
Рекомендуемые виды кустарников для зоны средней тайги: малина сахалинская, шиповник иглистый, береза кустарниковая.
Степень зарастания отвалов растительностью:
- незаросшие - проективное покрытие травостоя меньше 10%;
- среднезаросшие - до 25%;
- заросшие - более 50%.
Территория считается рекультивированной при среднем проектном покрытии травостоя не менее 50%.
13.4 Инженерно-экологические изыскания
13.4.1 Инженерно-экологические изыскания входят в комплекс инженерных изысканий для строительства объектов разработки алмазорудных месторождений. Они выполняются для изучения природных условий и факторов техногенного воздействия этих объектов. Полученные данные используются для обоснования проектной документации на их строительство или реконструкцию в соответствии с СП 47.13330.2016 (
4.1,
4.7,
8.1.1).
Инженерно-экологические изыскания выполняются по требованиям
[60] и СП 47.13330.2016
(раздел 8).
Состав инженерно-экологических изысканий, методы выполнения и объем отдельных видов работ устанавливаются в программе инженерно-экологических изысканий, разработанной на основе технического задания заказчика в соответствии с СП 47.13330.2016
(4.7).
Необходимость выполнения отдельных видов работ и исследований, условия их взаимозаменяемости и сочетания с другими видами изысканий устанавливают в программе в зависимости от степени экологической изученности территории, характера проектируемого объекта, особенностей природно-техногенной обстановки согласно СП 47.13330.2016
(8.1.1).
13.4.2 Отбор проб и образцов рекомендуется совмещать с аналогичными работами при других видах инженерных изысканий, а полученные материалы обрабатывать с учетом гидрометеорологических, инженерно-геологических и инженерно-геокриологических данных.
Лабораторные химико-аналитические исследования отобранных проб должны выполняться с использованием средств измерений, входящих в Государственный реестр средств измерений, и методик, аттестованных в установленном порядке. Все химико-аналитические исследования должны проводиться в лабораториях, прошедших государственную аккредитацию.
| | ИС МЕГАНОРМ: примечание. В официальном тексте документа, видимо, допущена опечатка: пункт 8.4.9 в СП 47.13330.2016 отсутствует. | |
13.4.3 Биологические, в том числе флористические геоботанические, фаунистические исследования выполняют для определения видового состава флоры и основных растительных сообществ, выявления структуры и состояния популяций животных, путей их сезонных миграций в соответствии с
СП 47.13330.2016 (8.4.9).
При проведении изысканий на водотоках суши дополнительно исследуют характеристики фитопланктона, макрофитобентоса, бактериопланктона методом гидробиологического анализа поверхностных вод и донных отложений.
| | ИС МЕГАНОРМ: примечание. В официальном тексте документа, видимо, допущена опечатка: пункт 4.7.9 в СП 11-102-97 отсутствует. Возможно, имеется в виду пункт 4.7. | |
Основным методом изучения растительности является маршрутное наблюдение с геоботаническим описанием пробных площадок, заложенных в типичных биотопах по
[60] (
4.6,
4.7.9). Размеры геоботанических площадок составляют 20 x 20 м для лесных и 10 x 10 м для иных типов растительных сообществ.
Геоботанические описания должны выполняться в вегетационный период по стандартной методике. Особое внимание должно уделяться выявлению редких и охраняемых видов растений, включенных в Красные книги РФ и субъекта РФ. Геоботанические описания при необходимости сопровождаются отбором образцов и гербаризацией.
Изучение животного мира проводится маршрутными наблюдениями в природных биотопах, при изучении орнитофауны - маршрутным учетом численности птиц без ограничения дальности обнаружения в соответствии с
[60] (
4.6,
4.7.9).
13.4.4 Археологические исследования территории проектируемой разработки алмазорудных месторождений проводят на основании открытого листа - единого квалификационного документа, удостоверяющего профессиональный уровень исследователя и дающего право на проведение научного исследования археологического наследия. Документ выдается Институтом археологии Российской академии наук. Выполняются обследования перспективных участков для определения памятников культурного наследия, а также обследование непосредственно территории месторождения в контурах лицензионного соглашения.
13.4.5 Материалы почвенных исследований должны содержать сведения о мощности плодородного и потенциально-плодородного слоев почвы для разработки мероприятий по рекультивации нарушенных земель. Сведения о целесообразности снятия плодородного слоя почвы предоставляются на участки выемок (карьер, нагорные, водоотводные канавы).
Обоснование мощности потенциально-плодородного слоя почвы - по
ГОСТ 17.5.1.03. Фоновый уровень загрязнения почв оценивается по следующим показателям:
- данные количественной оценки содержания химических веществ в фоновой пробе, отобранной вне сферы локального антропогенного воздействия;
- сведения (при их наличии) о региональном фоновом содержании химических веществ;
- по экологическому мониторингу территории уполномоченными государственными органами субъекта Российской Федерации;
- по опубликованным данным и фондовым материалам научно-исследовательских организаций и других ведомств.
14 Мероприятия по обеспечению пожарной безопасности
14.1 Общие требования к проектной документации
Проект разработки алмазорудных месторождений открытым способом в условиях криолитозоны должен предусматривать системы и мероприятия по обеспечению пожарной безопасности в соответствии с законодательством Российской Федерации
[2].
Согласно законодательству Российской Федерации о пожарной безопасности
[18] должны быть предусмотрены две системы:
- система предотвращения пожара;
- система противопожарной защиты.
Система предотвращения пожара - комплекс организационных мероприятий и технических средств, исключающих возможность возникновения пожара на объекте защиты. Предотвращение пожаров достигается исключением условий образования горючей среды и/или образования в горючей среде или внесения в нее источников зажигания.
Система противопожарной защиты - комплекс организационных мероприятий и технических средств, направленных на защиту людей и имущества от воздействия опасных факторов пожара и ограничение последствий воздействия опасных факторов пожара на объект защиты. Система должна обеспечивать снижение динамики нарастания опасных факторов пожара, эвакуацию людей и имущества в безопасную зону и тушение пожара. Система должна быть надежной и устойчивой к воздействию опасных факторов пожара в течение времени, необходимого для обеспечения пожарной безопасности.
Для предприятий по разработке алмазорудных месторождений открытым способом в условиях криолитозоны приоритетной должна являться система предотвращения пожара.
Согласно
статье 92 Технического регламента о требованиях пожарной безопасности
[18] проектная документация на производственные объекты, в том числе на здания, сооружения, строения, технику и на технологические процессы, должна содержать пожарно-технические характеристики, в самостоятельном разделе в соответствии с требованиями
пункта 26 к составу и содержанию разделов проектной документации
[6].
Для линейных объектов пожарно-технические характеристики приводятся в самостоятельном разделе с содержанием согласно требованиям
пункта 41 к составу и содержанию разделов проектной документации
[6].
14.2 Требования к расчету пожарного риска
Проектная документация на производственные объекты должна предусматривать расчет пожарного риска и сравнение его с нормативным пожарным риском. Нормативные значения пожарного риска для производственных объектов не должны превышать значений, определенных в
статье 93 Технического регламента о требованиях пожарной безопасности
[18], а порядок его расчета должен соответствовать требованиям
главы 21 этого регламента и
правилам расчета, утвержденным Правительством Российской Федерации
[56] и
методике, утвержденной МЧС России
[57].
В соответствии с
пунктом 41 Положения о составе разделов проектной документации и требованиях к их содержанию
[6] при выполнении обязательных требований пожарной безопасности, установленных техническими регламентами и выполняемыми в добровольном порядке в соответствии с нормативными документами по пожарной безопасности по СП 1.13130.2009 - СП 155.13130.2014, расчет пожарных рисков не требуется.
15 Мероприятия по гражданской обороне и по предупреждению чрезвычайных ситуаций природного и техногенного характера
15.1 Общие требования к проектной документации
В соответствии с ГОСТ Р 55201
(4.1) мероприятия по гражданской обороне разрабатываются при подготовке проектной документации на объекты капитального строительства, а также при подготовке проектной документации в отношении отдельных этапов строительства, реконструкции и капитального ремонта объектов капитального строительства. Проектные решения раздела ГОЧС должны быть направлены:
- на защиту населения и территории;
- на снижение материального ущерба от чрезвычайных ситуаций техногенного и природного характера, опасностей, возникающих при ведении военных действий или вследствие этих действий, а также при диверсиях.
При подготовке проектной документации мероприятия ГОЧС в соответствии с
ГОСТ Р 21.1101 информацию о ГОЧС оформляют подразделом, содержащим перечень мероприятий по гражданской обороне и мероприятий по предупреждению чрезвычайных ситуаций. Этот подраздел может входить в раздел с иной документацией в случаях, предусмотренных
пунктом 32 требований к составу и содержанию проектной документации
[6]. В соответствии с ГОСТ Р 55201
(4.8) мероприятия ГОЧС должны содержать необходимые исходные данные и соответствовать техническим условиям для разработки мероприятий ГОЧС в составе проектной документации объекта капитального строительства. Эти технические условия выдаются уполномоченным органом исполнительной власти соответствующего субъекта Российской Федерации, а в случаях, предусмотренных законодательством Российской Федерации, территориальным органом МЧС России по соответствующему субъекту Российской Федерации.
| | ИС МЕГАНОРМ: примечание. В официальном тексте документа, видимо, допущена опечатка: имеется в виду ГОСТ Р 55201, а не ГОСТ 55201. | |
Подготовка исходных данных для разработки мероприятий по гражданской обороне и по предупреждению чрезвычайных ситуаций природного и техногенного характера должна выполняться по ГОСТ 55201
(раздел 5).
Подраздел мероприятий ГОЧС оформляют согласно требованиям
ГОСТ Р 21.1101.
15.2 Перечень мероприятий по гражданской обороне
15.2.1 Перечень мероприятий по гражданской обороне разрабатывается для территорий и объектов в соответствии с законодательством Российской Федерации и
ГОСТ Р 55201.
15.2.2 Не требуется строительство защитных сооружений для проектируемых и строящихся объектов, за исключением случаев, когда организация, в состав которой входит проектируемый объект, отнесена к категории по ГО.
15.2.3 Не требуется строительство защитных сооружений для проектируемых и строящихся объектов за пределами зоны возможных сильных разрушений, за исключением случаев, когда организация, в состав которой входит проектируемый объект, находится в зоне возможного радиоактивного заражения.
15.3 Перечень мероприятий по предупреждению чрезвычайных ситуаций природного и техногенного характера
Проектные решения по предупреждению чрезвычайных ситуаций природного и техногенного характера следует разрабатывать с учетом потенциальной опасности объекта строительства и рядом расположенных объектов. Необходимо учитывать результаты инженерных изысканий, оценки природных условий и окружающей среды.
Перечень мероприятий по предупреждению чрезвычайных ситуаций должен включать сведения и мероприятия, разработанные согласно
ГОСТ Р 22.3.03 и ГОСТ Р 55201
(6.2.3).
15.4 Мероприятия по противодействию терроризму
Мероприятия по противодействию терроризму разрабатываются согласно требованиям к составу и содержанию разделов проектной документации
[6]:
- в составе подраздела "Сети связи" раздела 5
(пункт 20) в части, касающейся системы охранного теленаблюдения;
- в составе подраздела "Технологические решения" раздела 5
(пункт 22) в части, касающейся описания мероприятий и обоснования проектных решений, направленных на предотвращение несанкционированного доступа на объект физических лиц, транспортных средств и грузов;
- в составе раздела 6 "Проект организации строительства"
(пункт 23) в части, касающейся описания проектных решений и мероприятий по охране объектов в период строительства.
Мероприятия по противодействию терроризму на проектируемых объектах разрабатываются в соответствии с требованиями
СП 132.13330.2011. В отдельных случаях учитываются исходные данные, выданные федеральным органом исполнительной власти в области обеспечения безопасности Российской Федерации.
16 Консервация и ликвидация объектов недропользования
16.1 Порядок консервации или ликвидации объектов недропользования разрабатывается по
инструкции, утвержденной Госгортехнадзором России
[58].
16.2 Проектная документация ликвидации и консервации объектов недропользования по добыче алмазов, расположенных в криолитозоне, должна обеспечивать безопасность жизни и здоровья населения, охрану недр, природной среды и водных ресурсов от загрязнения и соответствовать нормативным правовым актам Российской Федерации
[1],
[5],
[7],
[53],
[59].
16.3 В проектной документации на разработку месторождения следует определять сроки начала подготовки технического проекта на ликвидацию и консервацию горных выработок не менее чем за пять лет до конца отработки запасов и технические условия его подготовки. Технический проект на ликвидацию и консервацию горных выработок подлежит экспертизе и согласованию в соответствии с законодательством Российской Федерации.
(рекомендуемое)
РАСЧЕТ СМЕННОЙ НОРМЫ ВЫРАБОТКИ ЭКСКАВАТОРОВ
ПРИ ПОГРУЗКЕ В АВТОСАМОСВАЛЫ
Сменная норма выработки Qсм, м3, рассчитывается по формуле

(А.1)
где Tсм - продолжительность смены, мин;
Tпз - время перерывов в работе, связанное с проведением подготовительно-заключительных операций, мин;
Tоб - время перерывов в работе, связанное с обслуживанием рабочего места, мин;
Tлн - время перерывов в работе, связанное с личными надобностями, мин;
Tрег - время перерывов в работе, связанное с регламентированными перерывами (ожидание подчистки подъездов к экскаватору бульдозером), мин;
tп - норматив времени на погрузку одного автосамосвала, мин;
tуп - норматив времени на установку автосамосвала под погрузку, мин;
Vа - объем горной массы в массиве в одном автосамосвале, м3;
tуп = 0,8 мин для всех типов автосамосвалов;
здесь tп определяется по формуле

(А.2)
где tц - время одного цикла погрузки, мин;
nц - количество циклов (ковшей), необходимых для загрузки одного автосамосвала.
Количество ковшей для загрузки одного автосамосвала определяется по формуле

(А.3)
где Vк - объем горной массы в массиве в ковше экскаватора, м3, определяемый по формуле

(А.4)
здесь Eк - геометрическая вместимость ковша экскаватора (погрузчика), м3;
Kн - коэффициент наполнения ковша;
Kр - коэффициент разрыхления горной массы.
Аналогично определяется объем горной массы в кузове автосамосвала. Вместимость кузова автосамосвала принимается с учетом дополнительного объема к геометрическому объему. В
таблице А.1 приведены значения коэффициентов для различных категорий пород по трудности экскавации.
Таблица А.1
Коэффициенты разрыхления горной массы
и наполнения ковша экскаватора, погрузчика
Категория пород по трудности экскавации | Расчетный объемный вес горной массы в массиве (в целике), кг/м3 | Коэффициенты |
разрыхления горной массы Kр | наполнения ковша Kн |
1 | 1600 | 1,15 | 1,05 |
2 | 1800 | 1,25 | 1,05 |
3 | 2000 | 1,35 | 0,95 |
4 | 2500 | 1,50 | 0,90 |
5 | 3500 | 1,60 | 0,90 |
После определения количества загружаемых ковшей проверяется соответствие веса погруженной горной массы грузоподъемности автосамосвала. При несоблюдении данного условия уменьшается количество загружаемых ковшей.
(обязательное)
ПОПРАВОЧНЫХ КОЭФФИЦИЕНТОВ НА УСЛОВИЯ РАБОТЫ
ЭКСКАВАТОРОВ И ДРУГИХ ПОГРУЗЧИКОВ
Условия выполнения работы | Поправочные коэффициенты |
При высоте уступа ниже трехкратной высоты ковша, а также при зачистке рудного тела | 0,90 |
При разработке налипающих пород 1, 2, 3 категорий по трудности экскавации | 0,90 |
При раздельной выемке полезного ископаемого, наличии негабаритов, породных прослоек применять следующие коэффициенты: | |
- при содержании породных прослоек или негабарита от 10,0 до 20,0%; | 0,84 |
- свыше 20,0 до 30,0%; | 0,81 |
- свыше 30,0% | 0,77 |
При переэкскавации горной массы 1, 2, 3 и 4 категорий пород по трудности экскавации | 1,1 |
При производстве взрывных работ в течение смены, предусмотренных технологией ведения работ | 0,97 |
При орошении забоя в течение смены | 0,92 |
При работе с углом поворота свыше 140° к нормам выработки на экскавацию применять следующие коэффициенты: | |
- для оборудования с геометрической вместимостью ковша до 10 м3; | 0,9 |
- свыше 10 м3 | 0,93 |
При работе на неустойчивой почве с устройством настила | 0,94 |
(справочное)
ФИЗИКО-МЕХАНИЧЕСКИЕ СВОЙСТВА ОСНОВНЫХ ГОРНЫХ ПОРОД
ПО МЕСТОРОЖДЕНИЯМ КРИОЛИТОЗОНЫ
Таблица В.1
Значения физико-механических свойств горных пород
в образце и коэффициента структурного ослабления (КСО)
Трубка | Породы | Прочность при сжатии, МПа | Прочность при растяжении, МПа | Условное сцепление, МПа | Угол внутреннего трения, ° | Объемная масса, т/м3 | КСО |
Далдыно-Алакитский |
Айхал | Доломиты | 37,87 | 4,50 | 7,04 | 37,81 | 2,48 | 0,09 |
Известняки | 35,45 | 3,57 | 9,43 | 37,49 | 2,51 | 0,10 |
Мергели | 27,58 | 3,43 | 4,76 | 37,95 | 2,39 | 0,12 |
Среднее | 36,60 | 4,15 | 7,85 | 37,40 | 2,50 | 0,10 |
Комсомольская | Доломиты | 31,39 | 4,18 | 8,71 | 34,28 | 2,50 | 0,09 |
Известняки | 23,25 | 3,29 | 6,50 | 33,50 | 2,45 | 0,11 |
Мергели | 22,23 | 2,91 | 6,16 | 34,48 | 2,45 | 0,13 |
Среднее | 24,40 | 3,73 | 7,12 | 34,09 | 2,46 | 0,11 |
Юбилейная | Доломиты | 35,59 | 3,30 | 13,23 | 32,80 | 2,60 | 0,09 |
Известняки | 32,48 | 2,67 | 10,79 | 31,10 | 2,53 | 0,09 |
Мергели | 20,55 | 1,98 | 12,73 | 28,70 | 2,50 | 0,12 |
Среднее | 29,90 | 2,54 | 10,22 | 31,02 | 2,51 | 0,09 |
Дальняя | Известняки | 20,73 | 2,76 | 9,16 | 32,38 | 2,48 | 0,1 |
Среднее | 26,5 | 2,76 | 9,77 | 34,5 | 2,41 | 0,1 |
Сытыканская | Доломиты | 53,90 | 1,84 | 15,35 | 31,33 | 2,36 | 0,11 |
Известняки | 54,57 | 1,95 | 14,24 | 31,43 | 2,46 | 0,13 |
Среднее | 56,80 | 2,29 | 15,70 | 30,90 | 2,49 | 0,13 |
Удачная | Доломиты | 43,67 | 4,12 | 9,95 | 33,23 | 2,63 | 0,09 |
Известняки | 41,68 | 4,90 | 12,89 | 31,17 | 2,60 | 0,09 |
Мергели | 20,28 | 1,43 | 5,93 | 38,30 | 2,50 | 0,14 |
Среднее | 40,20 | 4,80 | 12,44 | 31,50 | 2,58 | 0,09 |
Зарница | Известняки | 45,05 | 4,10 | 17,10 | 36,10 | 2,48 | 0,1 |
Среднее | 43,60 | 3,60 | 12,30 | 35,20 | 2,46 | 0,10 |
Среднее по району | 36,86 | 3,41 | 10,77 | 33,52 | 2,49 | 0,1 |
Мало-Ботуобинский |
Интернациональная | Доломиты | 59,89 | 5,75 | 12,35 | 33,42 | 2,65 | 0,09 |
Известняки | 58,00 | 5,92 | 13,38 | 32,31 | 2,64 | 0,09 |
Мергели | 21,70 | 1,75 | 7,45 | 27,50 | 2,33 | 0,12 |
Среднее | 55,40 | 5,65 | 12,19 | 33,00 | 2,61 | 0,09 |
Мир | Доломиты | 45,52 | 5,10 | 13,55 | 34,37 | 2,67 | 0,09 |
Известняки | 42,43 | 3,47 | 13,34 | 35,70 | 2,65 | 0,09 |
Мергели | 11,84 | 1,61 | 3,42 | 32,35 | 2,45 | 0,12 |
Среднее | 38,50 | 4,33 | 11,49 | 34,60 | 2,60 | 0,09 |
Среднее по району | 46,95 | 4,99 | 11,84 | 33,80 | 2,61 | 0,09 |
Муно-Тюнгский |
Заполярная | Известняки | 48,83 | 5,43 | 9,70 | 28,27 | 2,58 | 0,1 |
Среднее | 48,50 | 5,43 | 9,66 | 28,20 | 2,58 | 0,10 |
Магнитная | Известняки | 49,10 | 4,73 | 10,13 | 27,80 | 2,65 | 0,1 |
Среднее | 48,30 | 4,52 | 9,78 | 28,00 | 2,63 | 0,10 |
Среднее по району | 48,40 | 4,97 | 9,72 | 28,10 | 2,61 | 0,1 |
Средне-Мархинский |
Ботуобинская | Доломиты | 59,00 | 4,81 | 17,31 | 38,24 | 2,61 | 0,09 |
Известняки | 60,06 | 4,49 | 18,20 | 39,07 | 2,57 | 0,1 |
Мергели | 40,96 | 3,19 | 12,20 | 38,06 | 2,60 | 0,12 |
Среднее | 53,50 | 3,90 | 15,90 | 34,10 | 2,57 | 0,10 |
Нюрбинская | Доломиты | 33,17 | 4,80 | 10,09 | 32,01 | 2,63 | 0,09 |
Известняки | 39,41 | 5,46 | 11,98 | 32,60 | 2,64 | 0,1 |
Мергели | 19,07 | 2,80 | 5,80 | 31,80 | 2,56 | 0,12 |
Среднее | 35,60 | 5,26 | 9,29 | 32,13 | 2,61 | 0,10 |
Среднее по району | 44,55 | 4,58 | 12,60 | 33,12 | 2,59 | 0,1 |
(справочное)
РАСХОДА МАТЕРИАЛОВ В УСЛОВИЯХ КРИОЛИТОЗОНЫ
Таблица Г.1
Нормы пробега КГШ в условиях криолитозоны
Модель КГШ | Нормы пробега, тыс. км |
33.00R51 (имп.) | 95 - 110 |
33.00R51 (Белшина) | 70 |
27.00R49 (имп.) | 118 - 120 |
27.00R49 (Белшина) | 70 |
21.00R35 (имп.) | 90 - 115 |
21.00R33 (имп.) | 80 - 93 |
12.00R20 (имп.) | 50 - 52 |
Примечание - Значения пробега приняты по данным Транспортного управления АК "АЛРОСА" (ПАО) о планируемых пробегах КГШ на карьерах Айхальского, Мирнинского, Нюрбинского и Удачнинского горно-обогатительных комбинатов в период с 2012 по 2014 гг. |
Таблица Г.2
Удельный расход стального каната,
толстолистовой стали, зубьев экскаваторных,
коронок рыхлителя, электрического кабеля
Наименование | Единица измерений | Норма расхода |
Канат стальной | кг/тыс. м3 | 11,3 |
Сталь толстолистовая | кг/тыс. м3 | 1,66 |
Зубья экскаваторные | шт./млн м3 | 14,4 |
Коронки рыхлителя | шт./млн м3 | 21,2 |
Кабель электрический | пог. м/млн м3 | 137,8 |
Примечание - Значения удельного расхода приняты по данным Технического управления АК "АЛРОСА" (ПАО) о планируемых расходах материалов на карьерах Айхальского, Нюрбинского и Удачнинского горно-обогатительных комбинатов в период с 2012 по 2014 гг. |
| Закон Российской Федерации от 21 февраля 1992 г. N 2395-1 (в редакции Федерального закона от 3 марта 1995 г. N 27-ФЗ) | О недрах |
| Федеральный закон от 30 декабря 2009 г. N 384-ФЗ | Технический регламент о безопасности зданий и сооружений |
| | Правила безопасности при ведении горных работ и переработке твердых полезных ископаемых (утверждены приказом Федеральной службы по экологическому, технологическому и атомному надзору от 11 декабря 2013 г. N 599) |
| | Правила безопасности при взрывных работах (утверждены приказом Федеральной службы по экологическому, технологическому и атомному надзору от 16 декабря 2013 г. N 605) |
| | Правила охраны недр (постановление Госгортехнадзора России от 6 июня 2003 г. N 71). Зарегистрировано в Минюсте РФ 18 июня 2003 г., рег. N 4718. Изменения утверждены приказом Минприроды России от 30 июня 2009 г. N 183 (зарегистрированы Минюстом России 18 июня 2003 г., рег. N 4718; 2 октября 2009 г., рег. N 14952) |
| Постановление Правительства Российской Федерации от 16 февраля 2008 г. N 87 | О составе разделов проектной документации и требованиях к их содержанию |
| Приложение к приказу Минприроды России от 25 июня 2010 г. N 218 | Требования к структуре и оформлению проектной документации на разработку месторождений твердых полезных ископаемых, ликвидацию и консервацию горных выработок и первичную переработку минерального сырья |
| Методические рекомендации по применению классификации запасов месторождений и прогнозных ресурсов твердых полезных ископаемых. Алмазы (утверждены распоряжением МПР России от 5 июня 2007 г. N 37-р) |
| Методические рекомендации по составу и правилам оформления представляемых на государственную экспертизу материалов по технико-экономическим обоснованиям кондиций для подсчета запасов месторождений полезных ископаемых (рекомендованы к использованию протоколом МПР России от 3 апреля 2007 г. N 11-17/0044-пр, утвержденным Заместителем Министра природных ресурсов Российской Федерации) |
[10] | Требования к составу и правилам оформления представляемых на государственную экспертизу материалов по подсчету запасов твердых полезных ископаемых (утверждены приказом Минприроды России от 23 мая 2011 г. N 378) |
| Методические рекомендации по технико-экономическому обоснованию кондиций для подсчета запасов месторождений твердых полезных ископаемых (кроме горючих углей и сланцев) (утверждены распоряжением МПР России от 5 июня 2007 г. N 37-р) |
| ВСН 84-89 (Минтрансстрой СССР) Ведомственные строительные нормы | Изыскания, проектирование и строительство автомобильных дорог в районах вечной мерзлоты (согласованы с Госстроем СССР N МЧ-4517-8 от 26 декабря 1988 г., Мингазпромом N РВ-501 от 19 мая 1988 г., Миннефтепромом N ШД-210 от 1 марта 1988 г.). Утверждены письмом Министерства транспортного строительства от 13 марта 1989 г. N АВ-110) |
| Единые нормы выработки на открытые горные работы для предприятий горнодобывающей промышленности. Ч. IV. Экскавация и транспортирование горной массы автосамосвалами (утверждены постановлением Государственного комитета СССР по труду и социальным вопросам 3 февраля 1988 г., изданы НИИ Труда) |
| Трудовой кодекс Российской Федерации от 30 декабря 2001 г. N 197-ФЗ | |
| | Правила обеспечения устойчивости откосов на угольных разрезах (утверждены Госгортехнадзором РФ 16 марта 1998 г.) |
| | Правила безопасности грузовых подвесных канатных дорог (утверждены Приказом Ростехнадзора от 22 ноября 2013 N 563, зарегистрированы в Министерстве юстиции Российской Федерации 17 января 2014 г. N 31036) |
| | Технический регламент Таможенного Союза. О безопасности взрывчатых веществ и изделий на их основе (принят Решением Совета Евразийской экономической комиссии от 20 июля 2012 г. N 57) |
| Федеральный закон от 22 июля 2008 г. N 123-ФЗ | Технический регламент о требованиях пожарной безопасности |
| | Предельно допустимые концентрации (ПДК) вредных веществ в воздухе рабочей зоны (утверждены постановлением Главного государственного санитарного врача РФ от 30 апреля 2003 г. N 76) |
| Методические рекомендации по оценке эффективности инвестиционных проектов (утверждены Минэкономики РФ, Минфином РФ, Госстроем РФ 21 июня 1999 г. N ВК 477) |
| | Санитарно-защитные зоны и санитарная классификация предприятий, сооружений и иных объектов |
| | Инструкция по топографической съемке в масштабах 1:5000, 1:2000, 1:1000 и 1:500 (утверждена Главным управлением геодезии и картографии при Совете Министров СССР 5 октября 1979 г.) |
| | ИС МЕГАНОРМ: примечание. В официальном тексте документа, видимо, допущена опечатка: инструкция "Инструкция по нивелированию I, II, III, IV классов" имеет номер ГКИНП (ГНТА)-03-010-03, а не ГКИНП (ГНТА)-03-010-02. | |
|
[23] | | Инструкция по нивелированию I, II, III, IV классов (утверждена Федеральной службой геодезии и картографии России 2003 г.) |
[24] | | Инструкция о порядке контроля и приемки геодезических, топографических и картографических работ (утверждена приказом руководителя Роскартографии от 29 июня 1999 г. N 86-пр) |
[25] | ГКИНП-07-016-91 | Правила закладки центров и реперов на пунктах геодезической и нивелирной сети СССР (утверждены приказом ГУГК СССР от 14 января 1991 г. N 6 п.) |
| | Инструкция по развитию съемочного обоснования и съемке ситуации и рельефа с применением глобальных навигационных спутниковых систем ГЛОНАСС и GPS (утверждена приказом руководителя Федеральной службы геодезии и картографии России от 18 января 2002 г. N 3-пр.) |
| Положение о геологическом и маркшейдерском обеспечении промышленной безопасности и охраны недр, утвержденное постановлением Госгортехнадзора России от 22 мая 2001 г. N 18 (зарегистрировано Минюстом России 5 июня 2001 г., рег. N 2738) |
| | Об утверждении "Инструкции по производству маркшейдерских работ" |
| Федеральный закон от 10 января 2002 г. N 7-ФЗ | Об охране окружающей среды |
| Федеральный закон от 4 мая 1999 г. N 96-ФЗ | Об охране атмосферного воздуха |
| Приказ Минприроды России от 31 декабря 2010 г. N 579 | О Порядке установления источников выбросов вредных (загрязняющих) веществ в атмосферный воздух, подлежащих государственному учету и нормированию, и о Перечне вредных (загрязняющих) веществ, подлежащих государственному учету и нормированию (с изменениями на 18 июля 2013 г.) (с учетом Распоряжения Правительства от 8 июля 2015 г. N 1316-р "Перечень загрязняющих веществ, в отношении которых применяются меры государственного регулирования в области охраны окружающей среды") |
| | Санитарно-эпидемиологические правила и нормативы. Санитарно-защитные зоны и санитарная классификация предприятий, сооружений и иных объектов (с изменениями на 9 сентября 2010 г.) (утверждены постановлением Главного государственного санитарного врача РФ от 25 сентября 2007 г. N 74) |
| Земельный кодекс Российской Федерации от 25 октября 2001 г. N 136-ФЗ |
| Федеральный закон от 24 июня 1998 г. N 89-ФЗ | Об отходах производства и потребления |
| | Санитарно-эпидемиологические правила. Гигиенические требования к проектированию вновь строящихся и реконструируемых промышленных предприятий (утверждены постановлением Главного государственного санитарного врача Российской Федерации от 30 апреля 2003 г. N 88. Зарегистрировано в Министерстве юстиции Российской Федерации 19 мая 2003 г., регистрационный номер 4567) |
| | Санитарные правила по определению класса опасности токсичных отходов производства и потребления (утверждены постановлением Главного государственного санитарного врача Российской Федерации от 16 июня 2003 г. N 144. Зарегистрировано в Минюсте РФ 19 июня 2003 г. N 4755) |
| Приказ Минприроды РФ от 15 июня 2001 г. N 511 | Об утверждении критериев отнесения опасных отходов к классу опасности для окружающей природной среды |
| Водный кодекс Российской Федерации от 3 июня 2006 г. N 74-ФЗ | |
| Федеральный закон от 20 декабря 2004 г. N 166-ФЗ | О рыболовстве и сохранении водных биологических ресурсов |
| Постановление Правительства Российской Федерации от 6.10.2008 г. N 743 | Об утверждении правил установления рыбоохранных зон |
| | Водоотведение населенных мест. Санитарная охрана водных объектов. Гигиенические требования к охране поверхностных вод. Санитарные правила и нормы (утверждены Главным государственным санитарным врачом РФ 22 июня 2000 г.) |
| | Водоотведение населенных мест. Санитарная охрана водных объектов. Гигиенические требования к охране подземных вод от загрязнения. Санитарные правила (утверждены постановлением Главного государственного санитарного врача РФ от 25 июля 2001 г. N 19. Зарегистрировано в Минюсте РФ 21 августа 2001 г. N 2886) |
| Приказ Минприроды России от 17 декабря 2007 г. N 333 | Об утверждении методики разработки нормативов допустимых сбросов веществ и микроорганизмов в водные объекты для водопользователей |
| Приказ Росрыболовства от 18 января 2010 г. N 20 | Об утверждении нормативов качества воды водных объектов рыбохозяйственного значения, в том числе нормативов предельно допустимых концентраций вредных веществ в водах водных объектов рыбохозяйственного значения |
| | Предельно допустимые концентрации (ПДК) химических веществ в воде водных объектов хозяйственно-питьевого и культурно-бытового водопользования. Гигиенические нормативы (утверждены постановлением Главного государственного санитарного врача РФ от 30 апреля 2003 г. N 78. Зарегистрировано в Минюсте России 19 мая 2003 г. N 4550) |
| | Водоотведение населенных мест, санитарная охрана водоемов. Ориентировочные допустимые уровни (ОДУ) химических веществ в воде водных объектов хозяйственно-питьевого и культурно-бытового водопользования. Гигиенические нормативы (утверждены постановлением Главного государственного санитарного врача РФ от 19 декабря 2007 г. N 90. Зарегистрировано в Минюсте России 21 января 2008 г. N 10923) |
| Порядок использования лесов для выполнения работ по геологическому изучению недр, для разработки месторождений полезных ископаемых (утвержден приказом Рослесхоза от 27 декабря 2010 г. N 515) |
| Лесной кодекс Российской Федерации от 4 декабря 2006 г. N 200-ФЗ | |
| Приказ Минприроды РФ от 25 октября 2005 г. N 289 | Об утверждении перечней (списков) объектов растительного мира, занесенных в Красную книгу Российской Федерации и исключенных из Красной книги Российской Федерации (по состоянию на 1 июня 2005 г.) |
| Федеральный закон от 24 апреля 1995 г. N 52-ФЗ | О животном мире |
| Постановление Правительства Российской Федерации от 13 августа 1996 г. N 997 | Об утверждении Требований по предотвращению гибели объектов животного мира при осуществлении производственных процессов, а также при эксплуатации транспортных магистралей, трубопроводов, линий связи и электропередачи (в редакции ПП РФ от 13 марта 2008 г. N 169) |
| Постановление Правительства Российской Федерации от 30 апреля 2013 г. N 384 | О согласовании Федеральным агентством по рыболовству строительства и реконструкции объектов капитального строительства, внедрения новых технологических процессов и осуществления иной деятельности, оказывающей воздействие на водные биологические ресурсы и среду их обитания |
| Федеральный закон от 21 июля 1997 г. N 116-ФЗ | О промышленной безопасности опасных производственных объектов |
| Постановление Правительства Российской Федерации от 26 августа 2013 г. N 730 | Об утверждении Положения о разработке планов мероприятий по локализации и ликвидации последствий аварий на опасных производственных объектах |
| | Санитарные нормы. Шум на рабочих местах, в помещениях жилых, общественных зданий и на территории жилой застройки (утверждены постановлением Госкомсанэпиднадзора России от 31 октября 1996 г. N 36) |
| Правила проведения расчетов по оценке пожарного риска (утверждены постановлением Правительства Российской Федерации от 31 марта 2009 г. N 272) |
| Методика определения расчетных величин пожарного риска на производственных объектах (с изменениями на 14 декабря 2010 г.) (утверждена Министерством Российской Федерации по делам гражданской обороны, чрезвычайным ситуациям и ликвидации последствий стихийных бедствий от 10 июля 2009 г. N 404) |
| Инструкция о порядке ликвидации и консервации опасных производственных объектов, связанных с пользованием недрами (утверждены постановлением Госгортехнадзора России от 2 июня 1999 г. N 33 и зарегистрированы в Министерстве юстиции Российской Федерации 25 июня 1999 г., регистрационный N 1816) |
| Постановление Правительства Российской Федерации от 30 сентября 2011 г. N 802 | Правила проведения консервации объекта капитального строительства |
| | Инженерно-экологические изыскания для строительства |
| | Свод правил. Инженерно-гидрометеорологические изыскания для строительства |
| СП 11-104-97 | Свод правил. Инженерно-геодезические изыскания для строительства |
| СП 11-105-97 | Свод правил. Инженерно-геологические изыскания для строительства |