Главная // Актуальные документы // ПравилаСПРАВКА
Источник публикации
М.: Минрегион России, 2012
Примечание к документу
О порядке применения данного документа при проверке соответствия проектной документации и (или) результатов инженерных изысканий, представленных на первичную или повторную государственную или негосударственную экспертизу, в целях обеспечения соблюдения требований Федерального
закона от 30.12.2009 N 384-ФЗ см.
п. 2 Постановления Правительства РФ от 28.05.2021 N 815.
Отдельные положения данного документа до 01.09.2022 были включены в
Перечень национальных стандартов и сводов правил (частей таких стандартов и сводов правил), в результате применения которых на обязательной основе обеспечивается соблюдение требований Федерального
закона "Технический регламент о безопасности зданий и сооружений" (
Постановление Правительства РФ от 28.05.2021 N 815).
Отдельные положения данного документа включены в
Перечень национальных стандартов и сводов правил (частей таких стандартов и сводов правил), в результате применения которых на обязательной основе обеспечивается соблюдение требований Федерального
закона "Технический регламент о безопасности зданий и сооружений" (
Постановление Правительства РФ от 04.07.2020 N 985).
Документ включен в
Перечень документов в области стандартизации, в результате применения которых на добровольной основе обеспечивается соблюдение требований Федерального
закона от 30.12.2009 N 384-ФЗ "Технический регламент о безопасности зданий и сооружений" (
Приказ Росстандарта от 02.04.2020 N 687).
Документ включен в
Перечень документов в области стандартизации, в результате применения которых на добровольной основе обеспечивается соблюдение требований Федерального
закона от 30.12.2009 N 384-ФЗ "Технический регламент о безопасности зданий и сооружений" (
Приказ Росстандарта от 17.04.2019 N 831).
Документ включен в
Перечень документов в области стандартизации, в результате применения которых на добровольной основе обеспечивается соблюдение требований Федерального
закона от 30.12.2009 N 384-ФЗ "Технический регламент о безопасности зданий и сооружений" (
Приказ Росстандарта от 30.03.2015 N 365).
Отдельные положения данного документа включены в
Перечень национальных стандартов и сводов правил (частей таких стандартов и сводов правил), в результате применения которых на обязательной основе обеспечивается соблюдение требований Федерального
закона от 30.12.2009 N 384-ФЗ "Технический регламент о безопасности зданий и сооружений" (
Постановление Правительства РФ от 26.12.2014 N 1521).
На время переходного периода и с момента вступления в силу данный документ не отменяет действие
СНиП 2.06.14-85 (
Письмо Минрегиона России от 15.08.2011 N 18529-08/ИП-ОГ).
Документ
введен в действие с 01.01.2013 (
Приказ Минрегиона России от 30.06.2012 N 269).
Название документа
"СП 103.13330.2012. Свод правил. Защита горных выработок от подземных и поверхностных вод. Актуализированная редакция СНиП 2.06.14-85"
(утв. Приказом Минрегиона России 30.06.2012 N 269)
"СП 103.13330.2012. Свод правил. Защита горных выработок от подземных и поверхностных вод. Актуализированная редакция СНиП 2.06.14-85"
(утв. Приказом Минрегиона России 30.06.2012 N 269)
регионального развития
Российской Федерации
(Минрегион России)
30 июня 2012 г. N 269
СВОД ПРАВИЛ
ЗАЩИТА ГОРНЫХ ВЫРАБОТОК ОТ ПОДЗЕМНЫХ И ПОВЕРХНОСТНЫХ ВОД
Protection of mines against ground or surface water
АКТУАЛИЗИРОВАННАЯ РЕДАКЦИЯ
СНиП 2.06.14-85
СП 103.13330.2012
Дата введения
1 января 2013 года
Цели и принципы стандартизации в Российской Федерации установлены Федеральным
законом от 27 декабря 2002 г. N 184-ФЗ "О техническом регулировании", а правила разработки -
Постановлением Правительства Российской Федерации от 19 ноября 2008 г. N 858 "О порядке разработки и утверждения сводов правил".
1. Исполнитель - Открытое акционерное общество "Фундаментпроект" (ОАО "Фундаментпроект").
2. Внесен Техническим комитетом по стандартизации ТК 465 "Строительство".
3. Подготовлен к утверждению Департаментом архитектуры, строительства и градостроительной политики.
4. Утвержден
Приказом Министерства регионального развития Российской Федерации (Минрегион России) 30 июня 2012 г. N 269 и введен в действие с 1 января 2013 г.
5. Зарегистрирован Федеральным агентством по техническому регулированию и метрологии (Росстандарт). Пересмотр СП 103.13330.2011 "СНиП 2.06.14-85. Защита горных выработок от подземных и поверхностных вод".
Информация об изменениях к настоящему своду правил публикуется в ежегодно издаваемом информационном указателе "Национальные стандарты", а текст изменений и поправок - в ежемесячно издаваемых информационных указателях "Национальные стандарты". В случае пересмотра (замены) или отмены настоящего свода правил соответствующее уведомление будет опубликовано в ежемесячно издаваемом информационном указателе "Национальные стандарты". Соответствующая информация, уведомление и тексты размещаются также в информационной системе общего пользования - на официальном сайте разработчика (Минрегион России) в сети Интернет.
В настоящем своде правил приведены требования, соответствующие целям технических регламентов: Федерального
закона "О техническом регулировании", Федерального
закона "Технический регламент о требованиях пожарной безопасности", Федерального
закона "Об энергосбережении и о повышении энергетической эффективности и о внесении изменений в отдельные законодательные акты Российской Федерации" и Федерального
закона "Технический регламент о безопасности зданий и сооружений".
Актуализированная редакция
СНиП 2.06.14-85 выполнена авторским коллективом ОАО "Фундаментпроект" в составе: канд. техн. наук Б.С. Смолин - руководитель темы, инженеры В.В. Шилов, К.Н. Савельев, Т.В. Бахарева при участии: МГУ им. М.В. Ломоносова (канд. геолого-минералогических наук М.С. Орлов), НИИОСП им. Герсеванова (А.Б. Мещанский, кандидаты техн. наук В.Н. Корольков, М.Н. Ибрагимов, О.А. Шулятьев), ОАО "ВИОГЕМ" (канд. техн. наук Ю.И. Волков), ОАО "Противокарстовая и береговая защита" (канд. техн. наук В.В. Толмачев), ООО "ЭКОТИМ" (канд. техн. наук М.С. Дивович), ФГУП "ВСЕГИНГЕО" (д-р геолого-минералогических наук В.А. Барон).
Настоящие нормы распространяются на проектирование защиты от подземных и поверхностных вод (в дальнейшем - защиты) горных выработок с применением водопонижения, водоотлива, противофильтрационных завес и регулирования поверхностного стока при открытой и подземной разработках месторождений твердых полезных ископаемых.
Настоящие нормы не распространяются на проектирование защиты горных выработок, расположенных под водными объектами, к которым относятся: морские акватории, озера, водохранилища, реки, каналы, болота, гидроотвалы и др.
В настоящем своде правил использованы ссылки на следующие нормативные документы:
СП 2.1.5.1059-01. Санитарные правила "Гигиенические требования к охране подземных вод от загрязнения"
СП 47.13330.2012 "СНиП 11-02-96. Инженерные изыскания для строительства. Основные положения"
| | ИС МЕГАНОРМ: примечание. В официальном тексте документа, видимо, допущена опечатка: имеется в виду СП 69.13330.2011, а не СП 69.13330.2012. | |
| | ИС МЕГАНОРМ: примечание. В официальном тексте документа, видимо, допущена опечатка: имеется в виду СП 104.13330.2011, а не СП 104.13330.2012. | |
СП 104.13330.2012 "СНиП 2.06.15-85. Инженерная защита территории от затопления и подтопления"
СП 116.13330.2012 "СНиП 22-02-2003. Инженерная защита территорий, зданий и сооружений от опасных геологических процессов. Основные положения"
СанПиН 2.1.5.2582-10. Санитарно-эпидемиологические требования к охране прибрежных вод морей от загрязнения в местах водопользования населения
| | ИС МЕГАНОРМ: примечание. Повтор текста дан в соответствии с официальным текстом документа. | |
СанПиН 2.1.5.2582-10. Санитарно-эпидемиологические требования к охране прибрежных вод морей от загрязнения в местах водопользования.
Примечание. При пользовании настоящим сводом правил целесообразно проверить действие ссылочных стандартов и классификаторов в информационной системе общего пользования - на официальном сайте национальных органов Российской Федерации по стандартизации в сети Интернет или по ежегодно издаваемому информационному указателю "Национальные стандарты", который опубликован по состоянию на 1 января текущего года, и по соответствующим ежемесячно издаваемым информационным указателям, опубликованным в текущем году.
Если ссылочный документ заменен (изменен), то при пользовании настоящим сводом правил следует руководствоваться замененным (измененным) документом. Если ссылочный документ отменен без замены, то положение, в котором дана ссылка на него, применяется в части, не затрагивающей эту ссылку.
В настоящем своде правил применены следующие термины с соответствующими определениями:
3.1. Водоотлив (pumping, water-removing): отвод и удаление подземных или поверхностных вод из действующих шахт (рудников), карьеров и во время проходки вертикальных, наклонных и горизонтальных горных выработок, котлованов, траншей.
3.2. Водопонижение (water depression, sink of subterranean water): временное (постоянное) понижение уровней или напоров подземных вод при проходке горных выработок или строительстве.
3.3. Водоупор (aquiclude): слой горных пород, практически не пропускающий сквозь себя воду (коэффициент фильтрации менее 0,001 м/сут). Водоупор ограничивает снизу или сверху водоносный горизонт.
3.4. Кривая депрессии (депрессионная кривая) (depression curve): положение уровня безнапорных или пьезометрического уровня напорных вод при откачке или самоизливе воды из водозабора.
3.5. Мульда сдвижения (оседания) (mould, subsidence trough): понижение земной поверхности, возникающее над подземными горными выработками, вследствие добычи угля, руд и нерудных полезных ископаемых. Как правило, имеет форму чаши в профиле и изометричную или овальную форму в плане.
3.6. Зона инъекции (range, zone of injection): ограниченный интервал в скважине или инъекторе, через который производится нагнетание раствора (воды) в грунт.
3.7. Иглофильтр (wellpoint): колонна труб, оканчивающаяся фильтровым звеном с режущим наконечником, погружаемая в горные породы (часто с гидроподмывом) и используемая для откачки воды с целью понижения уровня подземных вод. По принципу работы иглофильтр является вертикальным водозабором.
3.8. Карьер (full gallop, opencast mine): совокупность горных выработок, образованных при добыче твердых полезных ископаемых открытым способом.
3.9. Пьезометрическая поверхность (piezometric surface): условная поверхность напорных вод. Каждая точка пьезометрической поверхности показывает уровень поднятия напорных вод при вскрытии верхнего водоупора горной выработкой.
3.10. Пьезометрический уровень (piezometric level): след от пересечения пьезометрической поверхности вертикальной плоскостью.
3.11. Рудничные воды (imbibition water, pit water): шахтные воды, подземные (иногда поверхностные) воды, поступающие в горные выработки и подвергающиеся физико-химическому изменению в процессе горных работ.
3.12. Сквозная сбросная скважина (сквозной фильтр) (cased hole with filters): дренажное устройство в виде оборудованной фильтром (фильтрами) скважины, пробуренной с земной поверхности до подземной горной выработки. Вода, поступающая в сквозную сбросную скважину (сквозной фильтр), стекает в подземную выработку самотеком, где принимается в дренажную канаву или водоотводный трубчатый коллектор и передается в шахтный водосборник.
3.13. Тампонаж (plugging, refilling): процесс нагнетания в горные породы специальных растворов, суспензий, смесей с целью заполнения трещин, пустот, выработок в горных породах для укрепления массива горных пород и уменьшения водопроницаемости. В зависимости от используемых тампонажных растворов различают цементацию, глинизацию, битумизацию и силикатизацию горных пород, а также укрепление массива горных пород с помощью синтетических смол.
3.14. Цементация (cementation, grouting): разновидность тампонажа, искусственное заполнение трещин, пор и пустот в горных породах цементными растворами, нагнетаемыми под давлением.
3.15. Шахта (mine): вертикальная горная выработка большого поперечного сечения, имеющая непосредственный выход на земную поверхность.
3.16. Штольня (mine gallery): горизонтальная подземная горная выработка, имеющая непосредственный выход на земную поверхность. Наиболее эффективна на участках с расчлененным рельефом.
Общие указания
4.1. При проектировании необходимо исходить из того, что защита горных выработок должна:
предотвращать или максимально уменьшать притоки воды в выработки, нарушающие условия нормальной разработки месторождения;
предупреждать прорывы воды в выработки;
препятствовать опасному разрушению водой горных пород, окружающих выработки;
обеспечивать организованный отвод поверхностных и рудничных вод к местам их сброса;
не допускать угрожающего водоснабжению истощения ресурсов подземных вод и их загрязнения, засорения, нарушения режима и размыва берегов поверхностных водных объектов, эрозии почвенного слоя и опасных последствий деформаций горных пород и сооружений в районе защищаемых выработок в результате понижения уровня подземных вод;
предусматривать мероприятия, сооружения и устройства по регулированию притока к выработкам, напора подземных вод и параметров поверхностного стока в районе разрабатываемого месторождения, по отводу откачиваемых рудничных вод и охране окружающей природной среды.
4.2. Выбор видов и систем защиты горных выработок, типов защитных сооружений, мероприятий и устройств должен учитывать изменяющиеся с течением времени, по мере разработки месторождения, производственные и природные условия, форму и размеры защищаемого пространства с учетом требований
СП 116.13330,
СП 104.13330.
Системы защиты, их развитие, конструкции защитных сооружений и устройств, защитные мероприятия должны быть взаимоувязаны с системами, методами и развитием разработки месторождения, со схемой комплексного использования и охраны водных ресурсов с учетом требований Федеральных законов
[2],
[3] и принятых в их развитие нормативно-правовых актов. Рассматриваемые варианты защиты горных выработок должны оцениваться и сравниваться с учетом длительности использования защитных сооружений, устройств и мероприятий, создаваемых условий для разработки месторождения, воздействий на окружающую среду и суммарных затрат по защите при строительстве и эксплуатации горного предприятия.
При сравнении вариантов водопонижения и противофильтрационных завес необходимо учитывать различия карьерного и шахтного водоотлива в обоих случаях, а также то, что противофильтрационные завесы, в отличие от водопонижения, не влекут за собой образования вредных стоков и истощения ресурсов подземных вод и не вызывают деформаций горных пород, земной поверхности и сооружений в районе защищаемых объектов. В то же время необходимо учитывать вызываемое ими нарушение естественного движения подземных вод в процессе эксплуатации горного предприятия и остающееся после его ликвидации.
4.3. Противофильтрационные завесы допускается предусматривать в качестве основного средства для предотвращения поступления подземных вод в горные выработки извне и как вспомогательную меру для решения локальных задач по ликвидации местных очагов фильтрации.
4.4. В состав исходных данных для проектирования должны входить требования к системе защиты горных выработок от подземных и поверхностных вод, сведения о местах, отведенных для сброса рудничных вод, и материалы изысканий.
Материалы изысканий района месторождения должны отвечать требованиям
СП 47.13330 и содержать:
метеорологические данные;
топографические планы района в масштабах, устанавливаемых проектной организацией;
сведения о геологическом строении района, о наличии в геологических разрезах специфических грунтов (просадочных, пучинистых, многолетнемерзлых и т.д.), об инженерно-геологических процессах и явлениях (сейсмичность, карст, склоновые процессы, подтопление и т.д.);
сведения о физико-механических свойствах горных пород;
гидрологические данные района (сведения о водотоках, озерах и т.п.);
общие гидрогеологические условия района:
сведения о водоносных горизонтах и комплексах (в дальнейшем - горизонтах) района месторождения: количество водоносных горизонтов, их характер, статические и пьезометрические уровни подземных вод, источники и области их питания и разгрузки; характер и литологический состав водоносных и водоупорных пород, их мощность, распространение, глубина залегания. Сведения о гидравлических связях между водоносными горизонтами и поверхностными водами, о химическом составе, температурах, статических и динамических запасах подземных вод;
данные о фильтрационных свойствах пород, определенные с учетом схематизации гидрогеологических условий;
карты распространения водоносных слоев, рельефа их кровли и подошв;
карты гидроизогипс и гидроизопьез.
Геологические и гидрогеологические данные должны быть освещены в пределах ожидаемой зоны депрессии и на глубину, охватывающую все водоносные слои, из которых возможны фильтрация или прорыв подземных вод в горную выработку.
4.5. В проектной документации защиты горных выработок должны быть приведены характеристики сельскохозяйственных угодий, а также существующих и возводимых сооружений и предприятий, на которые могут повлиять проектируемые защитные мероприятия, сведения о способах, очередности и сроках разработки месторождения, и даны решения по защите окружающей природной среды.
Проектная документация должна проходить экологическую экспертизу в соответствии с Федеральным
законом [4].
4.6. В проектной документации следует предусматривать поэтапное выполнение запроектированной системы защиты.
Техническое задание на инженерные изыскания рекомендуется согласовывать с авторами проектных обоснований системы защиты.
В условиях, когда по материалам изысканий не представляется возможным произвести достаточно обоснованные расчеты или окончательно выбрать систему защиты, конструкции ее сооружений и устройств, в проектной документации следует предусматривать опытно-производственные работы, результаты которых используются для корректировки проектной документации.
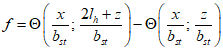
4.7. С помощью расчетов и численного моделирования должны определяться:
понижение уровней подземных вод в характерных точках, время достижения требуемого понижения, притоки подземных и поверхностных вод к водопонизительным устройствам и в горные выработки - по этапам разработки месторождения;
притоки подземных вод через противофильтрационные завесы, толщина завесы, положение уровней подземных вод с обеих сторон завес;
необходимое число скважин для противофильтрационных завес и расходы материалов для них, распространение инъецируемых материалов в толще пород, необходимое время для создания устойчивых противофильтрационных завес;
производительность, пропускная способность, размеры, число, размещение и другие параметры устройств для водопонижения, водосбора, водоотвода, противофильтрационных завес и проведение противофильтрационных мероприятий;
потребность в материальных и энергетических ресурсах;
оценка качества откачиваемых вод и возможное изменение качества подземных и поверхностных вод;
оценка ущерба речному стоку, сельскому и лесному хозяйствам, водоснабжению населенных пунктов и предприятий от работы водопонизительных устройств;
оценка риска вследствие возможности активизации экзогенных процессов (карст, суффозия, внутренняя эрозия и др.) в результате техногенных воздействий гидрогеологического характера).
Кроме того, при проектировании необходимо определять ожидаемые деформации земной поверхности в зоне влияния водопонизительных систем.
Как правило, следует обосновывать расчетные величины опытными данными.
4.8. В проектной документации следует предусматривать устройство наблюдательных скважин и постов, геодезических реперов, марок и маркшейдерских пунктов, установку контрольно-измерительной аппаратуры и срок ввода их в действие для ведения гидрогеологических, гидрологических, маркшейдерских и геодезических наблюдений, а также наблюдений за работой устройств систем защиты при их строительстве и эксплуатации.
Программы мониторинга и производственного экологического контроля (состав и режимы необходимых наблюдений) должны устанавливаться в проектной документации. Следует предусматривать наблюдения за уровнями, температурой, химическим и газовым составами подземных вод, температурой воздуха, количеством выпадающих осадков, уровнями воды в водоемах, за расходом, температурой, химическим и газовым составом откачиваемых вод, за деформациями пород и земной поверхности, осадками и деформациями сооружений и т.д.
Проектирование защиты открытых выработок
4.9. В проектной документации защиты открытых выработок следует предусматривать:
внешние сооружения и мероприятия для регулирования поверхностного стока на территории, прилегающей к карьеру (разрезу);
сооружения и мероприятия, обеспечивающие уменьшение или предотвращение фильтрационных потерь из водонаполненных резервуаров (отстойников, накопителей промышленных стоков, хвостохранилищ и т.п.), прилегающих к карьеру (разрезу);
внутрикарьерные устройства и мероприятия, рассчитанные на приток подземных вод, поступающих в карьер, и на сбор и отвод собирающихся в нем поверхностных вод: водостоки, водосборники, водоотливные установки или устройства для сброса воды из водосборников в подземные выработки и при необходимости в зависимости от местных условий - внутрикарьерные скважинные и иглофильтровые водопонизительные установки, местный тампонаж горных пород, дренажи, пригрузки откосов;
внешние водоотводящие устройства для сброса карьерных вод.
4.10. При необходимости, из условий обеспечения устойчивости бортов выработок или по производственным условиям, сокращения притока подземных вод в карьер (разрезную траншею, выездную траншею и др.) в проектной документации кроме устройств и мероприятий, предусмотренных в
4.9, следует предусматривать контурные кольцевые или неполнокольцевые и линейные внешние водопонизительные системы или противофильтрационные завесы.
Кольцевые водопонизительные системы следует предусматривать при распространении водоносных толщ на всем защищаемом участке и за его пределами.
Неполнокольцевые водопонизительные системы следует проектировать при распространении водоносных толщ не со всех сторон защищаемого участка.
Линейные водопонизительные системы следует проектировать для перехвата одностороннего подземного потока со стороны водоема (водотока) или по пласту, имеющему выраженный уклон в сторону защищаемого участка, а также для защиты удлиненных выработок и в случаях, когда по местным условиям их применение оказывается целесообразным.
4.11. Кольцевые, неполнокольцевые и линейные противофильтрационные завесы следует проектировать в тех же случаях, что и соответствующие водопонизительные системы (см.
4.10), с учетом ограничений для использования некоторых типов завес по природным условиям (согласно указаниям
раздела 7) и местных производственных возможностей.
4.12. Водопонизительные и противофильтрационные устройства карьеров (разрезов) допускается предусматривать в виде отдельно расположенных элементов системы защиты, размещаемых из условия их наибольшей эффективности и с учетом рельефа кровли подстилающего водоупора, залегания пород с высокой водопроницаемостью, направления подземного потока и др.
4.13. Снижение пьезометрического уровня напорных вод для сохранения устойчивости горных пород и исключения прорыва воды в выработки допускается предусматривать с помощью специально предназначенных для этого устройств (скважин, оборудованных насосами, самоизливающихся скважин и др.).
4.14. При проектировании выполняемой в несколько этапов системы защиты карьера (разреза) необходимо предусматривать:
до начала строительства карьера (разреза) - ввод в действие внешних сооружений и устройств для регулирования поверхностного стока и водоотвода, ввод в действие сооружений, устройств и выполнение мероприятий, необходимых для защиты горных выработок от подземных вод на период, в течение которого могут быть подготовлены сооружения, устройства и мероприятия следующего этапа;
при проектировании системы защиты с внешними водопонизительными или противофильтрационными устройствами необходимо предусматривать мероприятия, обеспечивающие опережающее разработку карьера (разреза) развитие понижения уровня подземных вод. При проектировании системы защиты горных выработок без внешних устройств - готовность средств для проведения необходимых мероприятий и выполнения необходимых устройств в процессе разработки карьера (разреза);
в период строительства карьера (разреза) - последовательный ввод в действие дополнительных сооружений и устройств и проведение необходимых мероприятий, предусмотренных проектной документацией (см.
4.10 -
4.13);
к моменту сдачи карьера (разреза) в эксплуатацию - готовность сооружений и устройств, обеспечивающих защиту горных выработок до достижения полной проектной производительности карьера (разреза), в том числе готовность запроектированной системы регулирования поверхностного стока, дренажа, стационарного водоотлива и водоотвода рудничных вод;
в процессе эксплуатации карьера - последовательный ввод в действие сооружений и устройств и проведение мероприятий, запроектированных в системе защиты и обеспечивающих постоянное опережение по отношению к горным работам развития понижения уровня подземных вод или противофильтрационных устройств на срок, предусмотренный в проектной документации.
Проектирование защиты подземных выработок
4.15. В проектной документации защиты подземных выработок в зависимости от местных условий в пределах шахтного поля следует предусматривать использование:
в качестве подземного дренажа - самих защищаемых выработок с устройством в них дренажных канавок;
вертикальных, горизонтальных и наклонных (восстающих и нисходящих) самоизливающихся скважин, забуриваемых, задавливаемых (или забиваемых) из самих защищаемых выработок, дренажных выработок из специальных ниш и камер;
сквозных сбросных скважин, забуриваемых с поверхности и сбиваемых с самими защищаемыми или дренажными выработками;
скважин, оборудованных насосами и устраиваемых с поверхности или из подземных выработок; иглофильтров в подземных выработках; противофильтрационных завес (тампонажа горных пород);
соответствующих сооружений и мероприятий для регулирования поверхностного стока, включая воды, скапливающиеся в мульдах сдвижения земной поверхности.
Во всех случаях в проектах защиты подземных выработок должны предусматриваться устройства и установки для водоотлива и отвода откачиваемых вод к местам их сброса.
Примечание. Система регулирования поверхностного стока при необходимости должна охватывать территорию и вне шахтного поля в пределах, устанавливаемых проектом.
4.16. В случаях непосредственной угрозы прорывов в подземные выработки воды и горных пород, в частности когда над кровлей полезного ископаемого залегают нескальные водоносные горизонты, допускается предусматривать в проектной документации внешахтные водопонизительные системы и противофильтрационные завесы, устраиваемые в соответствии с требованиями
4.10 -
4.13.
Допустимую величину притока воды в подготовительные и очистные выработки на месторождениях полезных ископаемых следует принимать исходя из опыта строительства и эксплуатации шахт в аналогичных условиях.
4.17. При проектировании защиты горных выработок, проходящих в водоносной толще, из которой ожидаются значительные притоки воды, допускается при надлежащем обосновании предусматривать создание в пределах шахтного поля специальных дренажных горизонтов, располагая дренажные выработки ниже основных откаточных горизонтов.
4.18. При проектировании защиты горных выработок необходимо учитывать, что проходку их в неосушенных породах следует предусматривать с опережающим бурением и соблюдением требований
4.15, а в необходимых случаях - с предварительным замораживанием горных пород или с применением щитового способа.
4.19. При проектировании выполняемой в несколько этапов системы защиты подземных выработок необходимо предусматривать:
до начала проходки стволов - ввод в действие сооружений и устройств по регулированию поверхностного стока, ограждающих площадки шахтных стволов, бурение опережающих контрольно-разведочных скважин на всю глубину ствола, готовность наружных стволовых противофильтрационных завес или водопонизительных систем, если они предусмотрены проектной документацией, готовность предварительного тампонажа горных пород;
до начала проходки подготовительных выработок - ввод в действие водоотливной установки у шахтного ствола (допускается предусматривать проходку подготовительных выработок при действии временной насосной станции, рассчитанной на ожидаемый приток в период до готовности запроектированной стационарной насосной станции), ввод в действие зумпфовых и перекачивающих насосных станций и внешахтных водопонизительных систем, если они предусмотрены проектной документацией;
в период проходки подготовительных выработок - последовательный ввод в действие дополнительных сооружений и устройств и проведение необходимых мероприятий, предусмотренных проектной документацией (см.
4.16 -
4.18);
к моменту начала очистных работ - обеспечение понижения уровня подземных вод, готовность сооружений и устройств, обеспечивающих защиту подземных выработок до достижения полной проектной производительности предприятия, в том числе готовность стационарных подземных насосных станций и системы регулирования поверхностного стока и водоотвода;
в процессе эксплуатации предприятия - дальнейший последовательный ввод в действие запроектированных сооружений и устройств и проведение мероприятий, обеспечивающих постоянное опережающее (по отношению к горным работам) развитие понижения уровня подземных вод или соответствующих противофильтрационных устройств на срок, определяемый проектной документацией.
Общие указания
5.1. Водопонижение следует проектировать с применением открытых и вакуумных водопонизительных скважин, иглофильтров, пластовых, трубчатых и траншейных дренажей, подземных дренажных выработок.
5.2. Требуемую величину снижения напоров в водоносных горизонтах следует определять из условия сохранения устойчивости пород, окружающих выработки, и предотвращения прорыва в них подземных вод.
5.3. При проектировании водопонижения с применением внешней водопонизительной системы, защищающей открытую выработку, уровень подземных вод должен быть понижен по возможности ниже ее дна на величину, определяемую расчетным повышением уровня воды за время аварийного отключения водопонизительной системы.
При невозможности понижения уровня подземных вод ниже дна открытой выработки, в частности при пересечении ею водоупорных слоев, необходимо исходить из практически достижимой глубины водопонижения в каждом водоносном горизонте и предусматривать дополнительные внутрикарьерные устройства и мероприятия согласно
4.9.
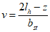
5.4. При проектировании водопонижения с применением внешахтных водопонизительных устройств, защищающих подземные горные выработки в водоносных породах, не отделенных водоупором от вышележащих водоносных пород, пониженный уровень подземных вод должен находиться ниже подошвы защищаемых подземных выработок на глубину, соответствующую требованиям
5.3.
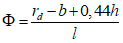
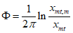
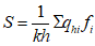
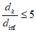
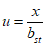
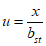
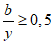
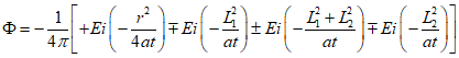
При наличии водоупора (горных пород с коэффициентом фильтрации менее 0,001 м/сут), отделяющего толщу пород, в которых проектируются подземные выработки, от вышележащего водоносного горизонта, понижение уровня подземных вод в этом горизонте, как правило, следует назначать с учетом соблюдения условия

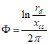
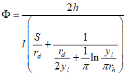
, (1)
где y - остаточный напор, отсчитываемый от кровли разделяющего слоя водоупорных пород, м;

- толщина не нарушаемого при разработке разделяющего слоя водоупорных пород, м.
При соблюдении
условия (1) обводнение нижележащего водоносного горизонта за счет перетекания подземных вод из вышележащего (на водоупоре) можно не учитывать.
При этом остается в силе требование понижения уровня подземных вод в толще пород, где располагаются подземные горные выработки, ниже их подошвы.
При невозможности понижения уровня подземных вод ниже подошвы горных выработок с помощью внешахтных водопонизительных устройств допускается при соответствующем обосновании использовать их для практически достижимого водопонижения, предусматривая в пределах шахтного поля мероприятия и устройства согласно
4.15.
5.5. Необходимое время для достижения требуемого понижения уровня подземных вод, распространение депрессии и развитие водопонизительной системы должны определяться соответственно схеме горных работ и гидрогеологическому обоснованию.
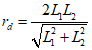
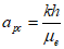
5.6. Схематизация природных условий для расчета водопонижения должна отражать действительные гидрогеологические условия, геологическое строение толщи и характеристики слагающих ее слоев.
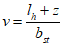
5.7. При расчете водопонижения приток подземных вод к водопонизительной системе следует определять исходя из основного линейного закона ламинарной фильтрации, выражаемого в общем виде формулой
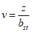
v = kI, (2)
где v - скорость фильтрации, м/сут;
k - коэффициент фильтрации, м/сут;
I - градиент напора.
Основные расчетные формулы и таблицы для определения притоков к водопонизительной системе приведены в
Приложении А.
При необходимости применения водопонижения в водоносных горизонтах, сложенных породами, отличающимися высокими фильтрационными свойствами (крупнообломочными, сильнотрещиноватыми и закарстованными), расчет водопонижения допускается основывать на опытных данных и уточнять в процессе поэтапного выполнения системы защиты, основываясь на результатах наблюдений за уровнями подземных вод в наблюдательных скважинах.
5.8. Для условий повышенной сложности (неоднородного фильтрационного потока, сложных очертаний контуров питания и водопонижения и т.п.) расчет водопонизительных систем следует производить с использованием численного моделирования, а также инженерно-расчетных программ и программных комплексов или других методов.
5.9. Конструкции водопонизительных и наблюдательных скважин и дренажей следует принимать в соответствии с указаниями
Приложения Б.
Открытые водопонизительные скважины
5.10. Открытые (сообщающиеся с атмосферой) водопонизительные скважины следует предусматривать, как правило, для снижения уровня (или напора) подземных вод в нескальных породах с коэффициентом фильтрации не менее 2 м/сут и во всех других случаях, когда их эффективность подтверждается опытными данными.
5.11. При проектировании водопонизительных систем следует предусматривать открытые водопонизительные скважины в виде:
оборудованных насосами;
сквозных сбросных скважин, оборудованных фильтрами, через которые поступающие в скважину подземные воды из всех прорезаемых ею водоносных горизонтов сбрасываются в подземные выработки;
самоизливающихся с изливом воды через устье;
водопоглощающих, с помощью которых подземные воды из вышележащего горизонта сбрасываются в нижележащий.
5.12. Скважины, оборудованные насосами, следует предусматривать для контурных и линейных водопонизительных систем, а также проектировать в виде отдельно расположенных водопонизительных устройств при открытой и подземной разработках месторождений полезных ископаемых и в виде распределенных по площади шахтного поля водопонизительных устройств при подземной разработке полезных ископаемых.
5.13. Сквозные сбросные скважины (сквозные фильтры) следует предусматривать для контурных и линейных водопонизительных систем, а также в виде отдельно расположенных или распределенных по площади шахтного поля водопонизительных устройств при подземной разработке полезных ископаемых и при открытой разработке месторождений полезных ископаемых, когда технически возможно и экономически оправдано устройство подземных дренажных выработок.
5.14. Вертикальные самоизливающиеся скважины для снятия избыточного напора в нижележащих водоносных горизонтах следует предусматривать для предохранения от нарушения устойчивости горных пород и предотвращения опасных прорывов напорных вод в открытые или подземные горные выработки.
Забуривание самоизливающихся скважин следует производить с поверхности земли, с берм на бортах карьеров (разрезов), с подошвы открытых или подземных выработок. Скважина должна быть заглублена в наиболее проницаемую зону водоносного горизонта, содержащего напорные воды.
5.15. Горизонтальные или нисходящие самоизливающиеся скважины, устраиваемые с берм на откосах, следует предусматривать в подошве водоносных слоев вблизи их контакта с водоупорными слоями или в местах сосредоточенной фильтрации для предотвращения суффозионного выноса породы через откосы открытых выработок.
Горизонтальные или нисходящие скважины на откосах открытых выработок допускается предусматривать как вспомогательное средство при наружной водопонизительной системе из скважин, оборудованных насосами, или из сквозных сбросных скважин (или при противофильтрационной завесе), а также в качестве одного из основных средств для поддержания со стороны постоянных бортов выработки пониженного уровня подземных вод, достигнутого с помощью других средств (например, открытого водоотлива).
5.16. В проектной документации следует предусматривать применение в подземных выработках самоизливающихся скважин (восстающих, нисходящих или горизонтальных - в зависимости от гидрогеологических условий) для усиления дренирующей способности самой выработки, а также для водопонижения в водоносных породах и слоях, отделенных от выработки водоупорными прослойками и слоями.
5.17. При горизонтальном залегании водоносных горизонтов допускается предусматривать использование для водопонижения лучевых дренажей, состоящих из шахтных колодцев с установленными в них насосами, и забуриваемых из колодцев лучевых (радиальных), как правило, горизонтальных (а при необходимости - и наклонных) самоизливающихся скважин.
5.18. Водопоглощающие скважины следует предусматривать при залегании водопроницаемого слоя, имеющего высокую поглощающую способность ниже осушаемого слоя, расположенного на водоупоре. Величина напора в поглощающем слое должна быть ниже, чем в дренируемом. Чем больше разница в напорах, тем эффективней работа водопоглощающих скважин.
Вакуумное водопонижение
5.19. Вакуумное водопонижение следует проектировать с применением легких иглофильтровых установок вакуумного водопонижения, эжекторных иглофильтров, вакуум-концентрических скважин и вакуумных скважин с погружными насосами, а также забуриваемых из подземных выработок водопонизительных скважин с подключением к ним агрегатов и коллекторов установок вакуумного водопонижения или других вакуумных систем.
5.20. В составе водопонизительных систем открытых и подземных выработок следует применять инвентарные иглофильтры:
легкие, не имеющие индивидуальных водоподъемников и соединяющиеся с центральной насосной станцией общим (для группы иглофильтров) всасывающим коллектором;
эжекторные, снабженные индивидуальными эжекторными водоподъемниками и соединенные с центральной насосной станцией общим (для группы иглофильтров) напорным и водоотводящим водоводами;
вакуум-концентрические, снабженные индивидуальными эжекторными водоподъемниками и соединенные с центральной насосной станцией напорным и водоотводящим водоводами.
5.21. Инвентарный иглофильтр (иглофильтровая колонна) состоит из наконечника, фильтрового звена (фильтровых звеньев) и глухих звеньев надфильтровых труб.
5.22. Следует предусматривать погружение легких и эжекторных иглофильтров до глубины 12 - 15 м механическим способом забивкой или задавливанием с применением, как правило, гидроразмыва (гидравлический способ погружения). При необходимости пересечения легкими и эжекторными иглофильтрами трудноразмываемых пород и во всех случаях погружения в осушаемую толщу вакуум-концентрических водоприемников для них следует предусматривать бурение скважин.
5.23. Легкие иглофильтровые установки гравитационного водопонижения (типа ЛИУ) следует применять в основном в составе внутрикарьерных систем защиты (а при необходимости - и в подземных выработках) при требуемой глубине понижения уровня подземных вод до 4 - 5 м, считая от уровня оси насосной установки (или на большую глубину - с применением ярусных систем), в горных породах с коэффициентами фильтрации 5 - 50 м/сут - без обсыпки вокруг иглофильтров, а при коэффициенте фильтрации 2 - 5 м/сут - с песчано-гравийной обсыпкой вокруг иглофильтров на всю высоту водоносного слоя.
5.24. В качестве материала обсыпки иглофильтров следует применять песок с частицами крупностью 0,5 - 2 мм или песчано-гравийную (щебеночную) смесь с крупностью частиц 0,5 - 5 мм. Устройство иглофильтров необходимо выполнять в соответствии с требованиями
Приложения Б и
СП 45.13330.
5.25. Легкие иглофильтровые установки вакуумного водопонижения (типов УВВ, УВЗМ и др.), эжекторные иглофильтровые установки (типа ЭИ) и установки с вакуум-концентрическими водоприемниками (типа ЭВВУ) следует применять, как правило, для водопонижения в горных породах с коэффициентом фильтрации менее 2 м/сут.
5.26. Установки с эжекторными иглофильтрами допускается предусматривать для вакуумного водопонижения при понижении уровня подземных вод до 12 м (при надлежащем обосновании - до 20 м), считая от уровня оси насосной установки.
5.27. Установки из вакуум-концентрических скважин с эжекторными водоподъемниками следует предусматривать для осушения слоистых толщ, представленных водоносными горизонтами, разобщенными суглинистыми или глинистыми прослоями, в пределах глубин водопонижения до 20 м.
5.28. При проектировании осушения песчано-глинистых пород с коэффициентом фильтрации до 2 м/сут глубину погружения иглофильтров установок типа УВВ следует предусматривать не более 7,5 м, а в породах с коэффициентом фильтрации свыше 2 м/сут - 8,5 - 9 м, считая от уровня оси насосной установки.
5.29. Размещение иглофильтров следует проектировать в виде контурных или линейных систем.
5.30. Установки вакуумного водопонижения допускается предусматривать в качестве вспомогательного средства при вскрытии открытых выработок и для отбора воды и воздуха из скважин, забуриваемых из подземных горных выработок.
5.31. При проектировании иглофильтровых систем для работы в условиях отрицательных температур воздуха следует предусматривать изоляцию трубопроводов и насосных станций с учетом требований
[14].
5.32. При проектировании электроснабжения иглофильтровых установок необходимо соблюдать те же требования, что и для скважинных насосов (см.
Приложение Б).
5.33. Вакуумное водопонижение с применением вакуумных скважин с погружными насосами следует предусматривать для снижения уровня подземных вод в горных породах с коэффициентами фильтрации 0,1 - 2 м/сут и для полного перехвата притока подземных вод к горным выработкам (понижения уровня подземных вод до водоупора).
5.34. При проектировании вакуумного водопонижения следует учитывать повышенную опасность выноса в скважины и иглофильтры мелких частиц из осушаемых горных пород и предусматривать во всех случаях песчано-гравийную обсыпку фильтров, удовлетворяющую требованиям
Приложения Б, с применением, при необходимости, корзинчатых и кожуховых фильтров.
5.35. Фильтры скважин в открытых горных выработках для предотвращения чрезмерно большого поступления воздуха следует размещать на расстоянии от откосов не менее толщины осушаемого слоя. При соответствующем обосновании это расстояние может быть сокращено.
Устье скважины около верхних участков надфильтровых труб следует оборудовать глиняным замком из уплотненного слабопроницаемого грунта (суглинка, глин) или монолитным бетонным воротником.
5.36. При проектировании вакуумных систем для создания требуемого понижения уровня подземных вод в случае залегания водоупора, близкого к подошве горной выработки, и для полного перехвата притока подземных вод к совершенным по степени вскрытия водоносного горизонта выработкам фильтры следует размещать непосредственно у кровли водоупора.
При необходимости снижения напоров в водоносных горизонтах слоистой толщи или для полного их осушения в зоне, прилегающей к выработке, фильтры скважины следует размещать в пределах всех слоев, подлежащих осушению.
5.37. Системы из вакуумных скважин, оборудованных насосами в однородном водоносном горизонте, следует предусматривать при требуемом снижении уровня подземных вод до 20 м. При слоистом сложении осушаемой толщи (наличии в ней ряда слоев водовмещающих пород, разобщенных водоупорными слоями), а также в закрытых (ограниченных непроницаемыми контурами) слоях водовмещающих пород допускается применять вакуумные скважины глубиной до 100 м и более.
5.38. Минимальный уровень воды в вакуумной скважине должен обеспечивать затопление насоса, достаточное для его работы без срыва откачки, в соответствии с требованиями завода-изготовителя и с учетом вакуума над динамическим уровнем воды в скважине. Напор в вакуумной скважине, принимаемый в проектной документации, должен соответствовать максимальному непониженному уровню подземных вод.
5.39. Расчет вакуумного водопонижения необходимо производить с учетом неустановившейся фильтрации воды при постоянном напоре. Приток воздуха к скважине (иглофильтрам) допускается определять по формулам установившейся фильтрации.
Дренаж
5.40. В проектной документации систем защиты горных выработок от подземных вод следует предусматривать применение пластовых, трубчатых, траншейных дренажей и подземных дренажных выработок (галерейных дренажей).
5.41. Пластовые дренажи следует предусматривать в открытых выработках для предотвращения суффозионного выноса грунта со дна и бортов выработки и разрушения горных пород, когда нельзя или экономически нецелесообразно полностью предотвратить высачивание подземных вод через откосы. Пластовые дренажи выполняют также задачу понижения уровня подземных вод в зоне, прилегающей к открытой выработке.
Пластовые дренажи могут применяться для дренирования внутренних отвалов.
Необходимость дренажа отвалов и его конструктивное решение устанавливаются совместно с решением технологии отвалообразования и организацией поверхностного стока, с учетом характера пород в основании отвалов и других местных условий.
5.42. Трубчатый дренаж следует предусматривать при протяженной по фронту борта карьера (разреза) линии высачивания подземных вод на откосы в малоустойчивых породах, залегающих над водоупором.
Трубчатый дренаж необходимо врезать в водоупорные слои с тем, чтобы полностью перехватить поток подземных вод над водоупором в расчетном сечении (в плоскости дренажа).
5.43. Траншейные дренажи (открытые и закрытые дренажные траншеи, канавы, лотки) допускается применять в качестве наружных водопонизительных устройств (в основном линейных) в верхних водоносных горизонтах, в виде передовых траншей - при вскрытии месторождения открытым способом без наружных водопонизительных устройств и в виде канав на бермах (площадках) бортов карьера (разреза).
Канавы на бермах внутри карьера (разреза) следует одновременно использовать для сбора и отвода поверхностных вод. Сечение канав должно удовлетворять требованиям
раздела 8.
Воду, собирающуюся в траншеях и канавах, целесообразно отводить самотеком за пределы карьерного поля к месту сброса рудничных вод или к карьерным водосборникам по внутрикарьерной водосточной сети.
5.44. Подземные дренажные выработки (галерейный дренаж) проходного и полупроходного сечений следует применять для непосредственного дренирования окружающей их толщи пород или для водопонижения в выше- и нижележащих водоносных горизонтах с помощью сквозных сбросных скважин (сквозных фильтров) и забуриваемых из самих выработок водопонизительных скважин, работающих как самоизливающиеся (при необходимости оборудуемых индивидуальными насосами) или как вакуумные.
При подземной разработке полезных ископаемых допускается в качестве дренажных предусматривать использование основных горных выработок, в которых для этого должны быть запроектированы канавки или лотки для стока воды.
В подземных дренажных выработках и в основных выработках, используемых в качестве дренажных, следует предусматривать ходки для сбойки со сквозными сбросными скважинами (сквозными фильтрами) и ниши для забуривания водопонизительных скважин, если проектируется их применение.
Подземные дренажные выработки допускается проектировать для защиты как шахтного, так и карьерного поля, применяя их во внешних водопонизительных системах (кольцевых, неполнокольцевых и линейных) или располагая в виде систематического дренажа ниже открытых выработок или в системе горных выработок шахтного поля.
В подземных дренажных выработках, в которых будут производиться эксплуатационные работы (надзор за сквозными сбросными скважинами, бурение восстающих скважин и т.п.), следует предусматривать сигнализацию для оповещения находящихся в них людей в случае аварии в системе водоотлива и при необходимости телефонную связь с диспетчерским пунктом.
При проектировании дренажных выработок необходимо соблюдать требования
СП 91.13330.
Наблюдательные скважины
5.45. При проектировании размещения наблюдательных скважин за процессом водопонижения необходимо учитывать, что наблюдения за режимом и характеристиками подземных вод должны охватывать всю территорию, на которой возможно влияние водопонижения в течение всего расчетного срока эксплуатации месторождения.
5.46. При наличии в районе наблюдений нескольких осушаемых водоносных горизонтов наблюдательные скважины, отдельные пьезометры или датчики уровня необходимо предусматривать во всех горизонтах. При установке фильтра, пьезометра или датчика уровня на отметке каждого горизонта необходимо предусматривать разобщение горизонтов друг от друга. Должна быть обеспечена возможность отбора проб подземных вод на химический анализ с различных по высоте уровней водоносных горизонтов.
5.47. Наблюдательные скважины следует предусматривать во всех расчетных точках, где понижение уровня подземных вод принималось в качестве исходной величины или определялось расчетом.
Наблюдательные скважины следует размещать на участках с характерными гидрогеологическими условиями, учитывая расположение источников загрязнения (хвостохранилищ, гидроотвалов и др.), питания и разгрузки (поверхностных водотоков, водоемов и др.) подземных вод.
При относительно простых гидрогеологических условиях допускается размещать наблюдательные скважины по створам (лучам).
Лучи наблюдательных скважин следует назначать:
при пологозалегающих водоносных горизонтах - по направлению потока и в крест потока (природного), в направлении наиболее вероятных областей питания и соседних систем водопонижения (водоснабжения, водоотлива);
при крутопадающих водоносных горизонтах - по простиранию и в крест простирания горизонтов, в направлении вероятных источников питания и соседних систем водопонижения (водоснабжения, водоотлива);
при протяженных (линейных) системах - перпендикулярно оси системы.
В проектной документации контурной водопонизительной системы следует предусматривать не менее двух лучей наблюдательных скважин и принимать не менее двух скважин на луче, из которых одна - на контуре, а вторая - вне его в выбранной расчетной точке.
При больших размерах зоны влияния контурной водопонизительной системы число скважин на луче в интересующем водоносном слое следует принимать от трех до пяти, располагая первую на контуре.
6. Водоотлив из горных выработок
Общие указания
6.1. В проектной документации систем защиты следует предусматривать устройство насосных станций для откачки воды непосредственно из горных выработок, когда невозможно или нецелесообразно отвести поступающую в них воду самотеком.
6.2. При проектировании следует различать нормальный и максимальный притоки к насосным станциям.
Нормальный приток к насосным станциям слагается из притока подземных вод, определяемого на основании гидрогеологических расчетов, и систематически расходуемой в горных выработках воды на технологические и бытовые нужды (пылеподавление, гидромеханизацию и др.).
Максимальный приток к насосным станциям определяется суммированием величин нормального притока и притока поверхностных вод, определяемого в соответствии с указаниями
раздела 8, образующихся за счет атмосферных осадков, выпадающих непосредственно на площадь карьера или шахтного поля.
6.3. Насосные станции с суммарной мощностью рабочего и резервных насосов свыше 100 кВт следует проектировать, как правило, в блоке с электроподстанциями.
6.4. В проектной документации следует предусматривать главные, участковые и перекачивающие насосные станции, а на период их строительства - временные. Кроме того, необходимо предусматривать передвижные или переносные насосные установки для использования их в призабойных и других местах по мере необходимости.
6.5. Напорные трубопроводы должны быть рассчитаны на полную производительность насосной станции.
В пределах горных выработок для насосных станций следует предусматривать, как правило, не менее двух напорных трубопроводов. Один напорный трубопровод допускается предусматривать для участковых насосных станций, а также для главной карьерной насосной станции в случае возможности подтопления нижнего горизонта.
При наличии более одного напорного трубопровода откачка нормального притока должна обеспечиваться при отключении одного из них.
6.6. Размещение на напорных и всасывающих трубопроводах запорной арматуры должно обеспечивать возможность замены или ремонта любого из насосов, обратных клапанов, а также основной запорной арматуры с обеспечением непрерывной откачки нормального притока и работы каждого насоса на любой напорный трубопровод.
Скорость воды во всасывающем и напорном трубопроводах, как правило, не должна превышать соответственно 1,5 и 3 м/с.
6.7. При проектировании водоотливных сооружений следует применять технологические схемы и оборудование, позволяющие механизировать монтажные работы и очистку емкостей (водосборников, осветлителей, зумпфов, канавок и т.п.).
Примечание. При прорезании водопонизительными скважинами водоносных горизонтов, пригодных для питьевого водоснабжения, следует предусматривать, как правило, раздельный отбор и отведение дренажных вод
(9.2).
Водоотлив из открытых выработок
6.8. В проектной документации должно быть предусмотрено устройство сети водостоков и сбросных линий для сбора и организованного отвода поступающих в выработки подземных и поверхностных вод к водосборникам и зумпфам у насосных станций. Водостоки и сбросные линии должны быть рассчитаны на максимальный приток и отвечать требованиям
раздела 8.
6.9. Главные насосные станции (стационарные или плавучие) с водосборниками следует располагать с учетом погоризонтных притоков подземных вод, площади водосбора поверхностных вод и обеспечения минимальных затрат на водоотлив.
6.10. Участковые насосные станции (стационарные, передвижные, плавучие) с водосборниками, откачивающие воду непосредственно во внешние водоотводящие устройства или в водосборники главных насосных станций, следует проектировать для обслуживания отдельных участков карьера (разреза).
6.11. Передвижные или переносные насосные установки с зумпфами допускается предусматривать для откачки воды из отдельных изолированных участков выработки.
Необходимость перекачивающих насосных станций в карьере (разрезе) устанавливается при выборе общей схемы карьерного водоотлива и выполнении соответствующих технико-экономических расчетов.
6.12. Вместимость карьерных водосборников, для которых по возможности необходимо использовать выработанное пространство, у главной и каждой участковой насосных станций должна быть, как правило, равна объему расчетного стока с соответствующей водосборной площади (см.
раздел 8) за вычетом объема воды, откачиваемой за время наполнения водосборника, если это предусматривается проектной документацией.
В случае невозможности выполнения этого требования в проектной документации должны быть предусмотрены необходимые мероприятия, позволяющие временное затопление нижних рабочих горизонтов, и водосборники вместимостью, равной не менее чем 3-часовому нормальному притоку.
Вместимость зумпфов следует принимать не менее 5-минутной максимальной подачи одного из насосов.
В водосборниках должны быть предусмотрены отстойники для осветления воды и возможность их периодической очистки.
6.13. Карьерный водоотлив в качестве основного средства защиты карьера (разреза) допускается предусматривать при соблюдении требований
6.10 -
6.12 в следующих случаях:
в скальных и полускальных породах, когда организация сбора и удаления поступающих в выработку подземных вод не вызывает осложнений при принятых методах и системах разработки месторождения;
в нескальных породах в период строительства или углублении карьера (разреза) при ведении горных работ с передовыми траншеями, заглубляемыми ниже горизонта выработок, при подводной разработке пород и в других случаях, когда это не вызывает осложнений для принятых способов разработки месторождений.
6.14. Для обеспечения устойчивости бортов и дна выработок в нескальных породах при их разработке или осушении, исключения суффозионных процессов скорость снижения уровня воды в выработке следует предусматривать не более значений, приведенных в таблице 1.
Таблица 1
Коэффициент фильтрации пород, м/сут | Допускаемая скорость, см/сут, снижения в выработке уровня воды при его глубине от непониженного уровня подземных вод, м |
до 5 | 5 - 10 | 10 - 20 | св. 20 |
До 2 | 30 | 25 | 20 | 15 |
2 - 10 | 60 | 40 | 30 | 25 |
10 - 20 | 100 | 70 | 50 | 40 |
Свыше 20 | 120 | 90 | 60 | 50 |
Для конкретных условий скорость снижения уровня воды в выработке может быть определена численным моделированием или расчетами с использованием инженерно-расчетных программ и программных комплексов исходя из условия, что скорость понижения уровня воды в выработке должна соответствовать скорости понижения уровня подземных вод за ее пределами.
6.15. При разработке пород средствами гидромеханизации откачку подземных и поверхностных вод полностью или частично допускается предусматривать землесосами, откачивающими пульпу.
В забое гидромеханической разработки проектной документацией может допускаться повышенная фильтрация подземных вод через откосы выработки, способствующая разрушению разрабатываемой породы и не создающая угрозы общей устойчивости бортов карьера (разреза).
6.16. При подтоплении нижних рабочих горизонтов (см.
6.12), а также при невозможности обеспечить допустимую высоту всасывания насосов при их стационарной установке главные и участковые насосные станции следует предусматривать плавучими.
6.17. Число рабочих насосов на главных и участковых насосных станциях следует определять в соответствии с требованиями
[18]. Насосы главных (или участковых) насосных станций должны иметь одинаковый напор. При откачке максимальных притоков должна предусматриваться непрерывная работа всех рабочих насосов.
Число рабочих насосов на передвижных, переносных и временных насосных станциях следует принимать из расчета непрерывной откачки нормального притока.
6.18. При надлежащем обосновании допускается предусматривать сброс осветленной воды в подземную дренажную систему или в водопоглощающие слои с учетом требований
раздела 9.
Сброс должен производиться через скважины, число которых определяется расчетом, при этом резервные сбросные скважины должны составлять 25% общего числа, но не менее одной скважины.
Сброс карьерных вод в подземную дренажную систему должен регулироваться и соответствовать производительности подземной насосной станции.
6.19. При проектировании насосных станций в открытых горных выработках необходимо соблюдать требования
СП 32.13330 в части числа резервных насосов, ширины проходов между выступающими частями насосов, трубопроводов и двигателей, укладки всасывающих трубопроводов, размеров машинного зала и монтажных площадок, габаритов подъемно-транспортного оборудования.
Водоотлив из подземных выработок
6.20. Схему стационарных водоотливных установок необходимо принимать в зависимости от одновременно действующих приточных горизонтов, глубины их залегания, размера шахтного (карьерного) поля, величины притоков подземных, технологических и поверхностных вод.
6.21. Главные насосные станции следует располагать у стволов с наиболее низкими отметками околоствольных дворов.
При большой протяженности горных выработок и когда необходимо по условиям водоотвода допускается дополнительно предусматривать участковые стационарные насосные станции.
6.22. В подземных насосных станциях число рабочих насосов и их общее число с учетом резервных и находящихся в ремонте необходимо определять исходя из нормального притока и в соответствии с требованиями
[19] и
[20].
Откачку максимального притока следует предусматривать с учетом регулирования сброса карьерных вод в подземную дренажную систему (см.
6.18).
6.23. Главные и участковые насосные станции следует проектировать незаглубленного типа (корпуса насосов располагаются выше уровня воды в водосборнике) с обратными клапанами на всасывающих трубопроводах при их диаметре до 200 мм, с установкой вакуум-насосов или подкачивающих насосов и заглубленного типа (корпуса насосов располагаются ниже уровня воды в водосборнике) - при диаметре свыше 200 мм. При этом заглубленные насосные станции следует предусматривать, как правило, в слаботрещиноватых скальных породах при пределе прочности на одноосное сжатие в водонасыщенном состоянии свыше 80 МПа и притоках свыше 1000 м3/ч.
6.24. При проектировании насосных станций и электроподстанций в водоносных породах необходимо предусматривать дренаж или гидроизоляцию и тампонаж окружающих пород.
6.25. В камерах заглубленных насосных станций необходимо предусматривать раздельные каналы, перекрытые съемными щитами, для прокладки трубопроводов и кабелей, приямки и насосы для откачки вод капежа, а также вод при авариях внутри насосных станций.
6.26. Пол камеры незаглубленной насосной станции следует принимать не менее чем на 0,5 м выше уровня головки рельсов в околоствольном дворе.
6.27. При числе насосов свыше 10 допускается устанавливать два электрических крана для транспортирования и монтажа оборудования, при этом доставку оборудования в насосную следует осуществлять с двух противоположных сторон камеры.
6.28. Водозаборные колодцы допускаются индивидуальные для каждого насоса и групповые.
При числе насосных агрегатов в насосной станции свыше трех общее число колодцев должно быть не менее двух.
6.29. При определении вместимости водосборников следует учитывать вместимость предусмотренных в проекте дренажных выработок, временное заполнение которых водой не вызовет подтопления основных выработок. Суммарная вместимость водосборников должна соответствовать требованиям нормативных документов, указанных в
6.22 и
СП 91.13330.
6.30. При значительных притоках воды (свыше 5 тыс. м3/ч) в качестве основной емкости водосборников допускается использовать специальные выработки, которые следует проводить параллельно основным горным выработкам на более низких отметках. Как правило, кровля выработки-водосборника должна быть на уровне почвы основной выработки. Уклоны выработок необходимо выбирать с таким расчетом, чтобы вода по сбойкам могла поступать на главные откаточные выработки только после затопления всех водосборников.
В местах сопряжения выработки-водосборника с коллектором насосной станции следует сооружать глухую герметическую перемычку с водопропускными трубами и регулирующими задвижками.
6.31. Все выходы из насосных станций в околоствольный двор следует предусматривать с герметическими дверями, рассчитанными на давление 0,1 МПа (1 кгс/см2).
6.32. Для подземных насосных станций при неагрессивной воде в проектной документации следует предусматривать обычные центробежные насосы. При наличии подземных кислотных вод (pH < 5) следует предусматривать установку насосов, арматуры, трубопроводов и аппаратуры автоматического управления из кислотостойких материалов.
6.33. Каждый насос временных и стационарных насосных станций должен иметь отдельный всасывающий трубопровод и должен быть снабжен соответствующими измерительными приборами (манометром, вакуумметром) для определения давления во всасывающем и напорном патрубках.
6.34. Напорные трубопроводы следует располагать, как правило, в стволе, оборудованном клетевым подъемником или имеющем лестничное отделение.
Запрещается прокладка в стволах напорных трубопроводов против торцевых сторон клети.
При числе напорных трубопроводов свыше четырех (диаметром свыше 300 мм) их следует прокладывать в специальных трубно-кабельных выработках.
6.35. Для гашения гидравлических ударов на напорных трубопроводах необходимо предусматривать установку обратных клапанов или других защитных устройств.
Расчет по прочности стенок трубопроводов и металлоконструкций опор следует производить (с учетом возможного гидравлического удара) на двукратную величину гидростатического напора.
Напорные трубопроводы в пределах насосной и трубного ходка - до ствола (или трубного восстающего) следует закреплять на специальных опорах, способных предотвратить смещение и обрушение труб при возникновении гидравлического удара.
6.36. При размещении насосной станции на глубине свыше 200 м от поверхности земли на напорных трубопроводах необходимо предусматривать температурные компенсаторы. Верхний компенсатор следует предусматривать на глубине более 20 м от поверхности.
6.37. Зумпфовые насосные станции должны быть оборудованы двумя насосными агрегатами - рабочим и резервным.
6.38. При проектировании камер и водосборников временных насосных станций следует соблюдать те же требования, что и при проектировании соответствующих камер стационарных водоотливных комплексов.
6.39. Временные насосные станции для строительства околоствольных дворов и главных откаточных выработок следует сооружать вблизи стволов в выработках, проходящих в направлении основных подземных водотоков.
Временные насосные станции следует проектировать, как правило, незаглубленного типа.
6.40. При проходке шахтного ствола следует предусматривать водоотлив из него подвесным насосом, а при необходимости (при глубине ствола свыше 250 м) - устройство перекачивающих насосных станций.
6.41. Приток подземных вод к стволу, не закрепленному постоянной крепью, при отсутствии наружной водопонизительной системы и противофильтрационных устройств следует определять из условия понижения уровня подземных вод у стенки выработки на всю мощность каждого прорезаемого стволом водоносного слоя.
6.42. Допускаемый приток подземных вод в забой стволов следует принимать для принятого способа проходки в соответствии с требованиями
СП 69.13330.
6.43. При проектировании внешней водопонизительной системы или противофильтрационной завесы следует учитывать, что остаточный приток в забой ствола, как правило, не должен превышать 8 м3/ч в соответствии с требованиями
СП 91.13330.
6.44. В проектной документации должны быть предусмотрены улавливающие устройства для сбора подземных вод, поступающих через стенки ствола, и отвода их к зумпфам.
6.45. Перекачивающие насосные станции следует предусматривать с учетом их использования как при сооружении стволов, так и в последующие периоды строительства, а при необходимости - и эксплуатации горного предприятия.
При определении размеров камер перекачивающих насосных станций в стволах глубиной свыше 600 м следует учитывать размещение запаса силовых и контрольных кабелей, обеспечивающих работу подвесного насоса.
Водосборник перекачивающих насосных станций следует отделять от камеры железобетонной перемычкой и разделять перегородкой на два отсека.
6.46. Перекачивающие насосные станции в стволах необходимо предусматривать независимо от способа их проходки; их число, срок службы, расстояние между ними следует определять исходя из схемы водоотлива (постоянного или временного), глубины ствола и принятого насосного оборудования.
6.47. При проектировании подземных насосных станций кроме настоящего свода правил и правил безопасности (см.
6.22) следует соблюдать требования
СП 91.13330.
Автоматизация, диспетчеризация, сигнализация, связь
6.48. При проектировании автоматизации, диспетчеризации, сигнализации и связи постоянных и временных насосных станций для водоотлива из поверхностных и подземных горных выработок необходимо соблюдать требования
[18],
[19],
[20], с учетом требований
[21] и
[22].
На насосных станциях необходимо предусматривать автоматическое включение и отключение насосных агрегатов в зависимости от уровня воды в водосборнике или зумпфе, автоматическое включение резервного насосного агрегата при выходе из строя любого из рабочих насосов.
6.49. При проектировании автоматизации следует, как правило, использовать комплекты аппаратуры, серийно выпускаемые промышленностью.
Для автоматизированных насосных станций необходимо предусматривать также пуск, остановку и контроль работы насосных агрегатов из диспетчерских пунктов (ДП), располагаемых, как правило, на поверхности, и предусматривать передачу на ДП сигналов об авариях.
Проекты диспетчеризации следует выполнять с учетом возможного использования телеизмерений основных параметров (расхода, напора), характеризующих работу водоотлива в целом.
Для всех водоотливных установок независимо от их автоматизации следует предусматривать посты местного управления для проведения ремонтных и наладочных работ.
6.50. Питание сигнальных устройств и связи следует предусматривать от двух независимых источников энергии.
Электроснабжение, электрооборудование, освещение
6.51. Проектирование электроснабжения, освещения, выбор электрооборудования насосных станций для водоотлива из поверхностных и подземных горных выработок следует выполнять в соответствии с требованиями
[18],
[19],
[20] и с учетом
[21] и
[22], а также перспективного развития горного предприятия не менее чем на ближайшие 10 лет.
6.52. Электроснабжение следует проектировать в соответствии с классификацией электроприемников по категории обеспечения надежности питания:
главные насосные станции - I категория;
участковые насосные станции и передвижные насосные установки с притоком свыше 50 м3/ч - II категория;
то же, до 50 м3/ч - III категория;
зумпфовые насосные станции - II категория;
временные насосные станции - I категория;
освещение дренажных выработок - III категория.
Питание подстанции при главной насосной станции необходимо предусматривать не менее чем по двум фидерам. При отключении одного из питающих фидеров остающиеся должны обеспечивать работу насосов при откачке максимального притока.
7. Противофильтрационные завесы
Общие указания
7.1. В системах защиты горных выработок от подземных вод следует предусматривать противофильтрационные завесы (ПФЗ): траншейные, свайные, тонкие щелевые, завесы, выполняемые методом струйной цементации грунтов, инъекционные, льдопородные, шпунтовые, завесы, устраиваемые открытым способом.
ПФЗ подразделяются по типу, способу устройства и материалу, с замещением грунта или без замещения.
ПФЗ, устраиваемые открытым способом (например, в насыпях дамб обвалования), следует проектировать согласно
СП 39.13330.
Возможно устройство комбинированных завес как по типу, так и по способу устройства и материалам.
7.2. Выбор типа и параметров противофильтрационной завесы следует производить исходя из инженерно-геологических и гидрогеологических условий в районе защищаемого от подземных вод объекта, результатов фильтрационных расчетов (исследований) и при необходимости - расчетов на силовые воздействия.
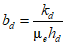
7.3. Завесы, как правило, должны полностью прорезать водоносные породы и заглубляться в водоупорные породы на глубину, определяемую характером контактной зоны, состоянием водоупорных пород и действующим напором на завесу, но не менее чем на 1 м при хорошо выраженной границе слоев.
Применение несовершенных (не доходящих до водоупора) завес должно быть обосновано фильтрационными и технико-экономическими расчетами.
7.4. При проектировании противофильтрационных завес необходимо обосновывать расчетами фильтрационную устойчивость завесы, ее сохранность (прочность) на протяжении всего проектного срока службы и устойчивость воспринимающего напор на завесу массива горных пород.
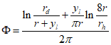
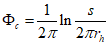
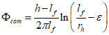
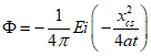
7.5. Притоки подземных вод через завесу, доведенную до водоупора, допускается определять по формулам
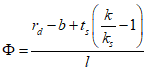
Приложения А исходя из величины перепада напора с верховой и низовой сторон противофильтрационной завесы

, м, определяемого по формуле

, (3)
где

- толщина противофильтрационной завесы, м;

- допускаемый градиент напора на завесу, определяемый, как правило, по экспериментальным данным.
При сложных гидрогеологических условиях площадки строительства или сложных очертаниях выработок параметры фильтрационного потока следует определять методом численного моделирования, расчетами с применением инженерно-расчетных программ и программных комплексов или экспериментальным путем.
Фильтрационные расчеты завес следует уточнять по данным опытно-производственных работ (см.
4.6).
В проектной документации следует предусматривать прием подземных вод, фильтрующихся через завесу, внутрикарьерными (внутришахтными) водопонизительными устройствами и водостоками.
7.6. Для наблюдений за перепадом напора на завесе (за уровнями подземных вод) в проектной документации следует предусматривать устройство пьезометрических скважин с обеих сторон завесы и программу мониторинга за уровнями с учетом разработки карьера (разреза) по этапам (см.
4.14,
7.25). По результатам наблюдений, в случае необходимости, корректируются противофильтрационные мероприятия следующего этапа, в том числе по приему фильтрующихся через завесу подземных вод.
7.7. Траншейные, свайные, тонкие щелевые ПФЗ, завесы, выполняемые методом струйной цементации грунтов, следует проектировать в виде контурных и линейных схем для защиты, как правило, открытых выработок от притока подземных вод.
Материал для заполнения перечисленных выше типов завес следует выбирать путем технико-экономического сопоставления, учитывая при этом величину напора подземных вод, срок работы завесы и характеристики вмещающего ее грунтового массива.
В любом случае завесы этих типов, назначаемые в проектной документации, должны быть сплошными по фронту, а также по глубине.
Для обеспечения сплошности завесы по глубине допускается ее устройство переменной глубины (обычно ступенчато), повторяя контур водоупорного слоя, в который осуществляется заглубление.
Траншейные завесы
7.8. Траншейные секционные и непрерывные завесы, выполняемые способом "стена в грунте" под защитой тиксотропного глинистого раствора, следует проектировать в нескальных горных породах без крупнообломочных включений глубиной, определяемой возможностями применяемых землеройных механизмов и оборудования. В качестве заполнителя траншеи применяются твердеющие (бетон, глиноцементный раствор) и нетвердеющие материалы (глины, суглинки, заглинизированный грунт, глиногрунтовые пасты).
7.9. Толщину траншейных завес следует принимать, как правило, в пределах 0,5 - 1,0 м при использовании специального оборудования и до 2,0 - 2,5 м - при использовании землеройных машин общего назначения.
Свайные завесы
7.10. Свайные завесы из буросекущихся свай (пересекающихся буронабивных свай) следует предусматривать в нескальных горных породах, в том числе содержащих крупнообломочные включения, на глубину до 40 - 50 и более метров.
Буронабивные сваи для завес следует предусматривать, как правило, диаметром 0,5 - 1,0 м из твердеющих материалов (бетона или глиноцементного раствора). Расстояние между центрами буросекущихся свай завесы следует принимать не более 0,7 - 0,8 диаметра свай.
Расчетная толщина завесы из буросекущихся свай принимается по толщине на стыке свай.
7.11. Допускается устройство свайной завесы из примыкающих одна к другой буронабивных свай (бурокасательные сваи) или с зазорами между ними в свету, при этом для герметизации завесы (обеспечения сплошности завесы) между смежными буронабивными сваями следует выполнять локальные грунтоцементные сваи (комбинированная ПФЗ) методом струйной цементации грунтов (технология Jet-grouting, см.
7.17) или выполнять герметизацию другими методами.
Для подбора параметров технологии устройства локальных (одиночных) грунтоцементных свай методом струйной цементации грунтов необходимо, как правило, организовывать опытные участки.
7.12. Расчетная толщина комбинированной свайной завесы принимается по наименьшей толщине на стыке буронабивной и грунтоцементной свай.
При однорядном устройстве завесы из соприкасающихся буронабивных свай или свай, расположенных с зазором, грунтоцементные сваи необходимо располагать между буронабивными сваями с напорной стороны завесы.
Тонкие щелевые завесы
7.13. Тонкие щелевые завесы (5 - 20 см), устраиваемые путем заполнения твердеющим (глиноцементным раствором) и нетвердеющим (глиногрунтовые пасты) материалом щели, образованной с помощью инвентарного плоского металлического элемента, следует предусматривать в песчаных и глинистых горных породах без крупнообломочных включений на глубину до 20 м.
7.14. При проектировании следует предусматривать разработку траншей и бурение скважин для траншейных и свайных завес, как правило, под защитой глинистого раствора, обеспечивающего устойчивость стен от обрушения и удовлетворяющего требованиям
СП 45.13330.
7.15. Для приготовления глинистых растворов следует предусматривать, как правило, бентонитовые глины, а при их отсутствии - местные, имеющие число пластичности не менее 0,2, с содержанием частиц размером крупнее 0,05 мм - не более 10% и мельче 0,005 мм - не менее 30% к весу сухой пробы грунта. Плотность тиксотропного раствора на бентонитовых глинах 1,03 - 1,15 г/см3, на местных глинах - 1,10 - 1,30 г/см3. Допускается предусматривать смеси бентонитовых и местных глин.
Для улучшения свойств глинистых растворов могут применяться различные химические реагенты, перечень которых приведен в
СП 45.13330.
Пригодность местных глин должна быть подтверждена лабораторными испытаниями глинистых растворов.
Вода для глинистых растворов не должна вызывать их коагуляцию и должна удовлетворять техническим требованиям приготовления бетона.
7.16. В проектной документации следует предусматривать для траншейных, свайных и тонких щелевых завес материалы, удовлетворяющие следующим требованиям:
бетон - подвижность 16 - 20 см (по осадке стандартного конуса); класс по прочности на сжатие не ниже B15; марка по водопроницаемости не ниже W2; марка по морозостойкости не ниже F50;
глиноцементный раствор - плотность 1,5 - 1,8 г/см3; прочность на сжатие затвердевшего раствора не ниже 1,5 МПа (15 кгс/см2); выход камня при затвердении не менее 98%; стабильность не более 0,5 г/см3; показатель расплыва - в пределах, позволяющих вести перекачку его от растворного узла к месту укладки;
глина - преимущественно комовой структуры (размер комьев от 10 см до 1/3 ширины траншеи); консистенция от твердой до тугопластичной;
заглинизированный грунт (грунт, разработанный при проходке траншей и обогащенный глинистым раствором) - содержание (по массе) глинистых частиц с равномерным их распределением по всему объему смеси - не менее 10 - 15%; консистенция, обеспечивающая качественную укладку его в траншею;
глиногрунтовая паста, приготовленная в смесительных установках из местных комовых глин или суглинков, должна удовлетворять условиям укладки их в тело завесы и проектным требованиям к водопроницаемости завесы.
Коэффициент фильтрации твердеющих и пластичных заполнителей завес не должен превышать 0,005 м/сут. Градиенты напора на завесу при отсутствии специальных экспериментальных данных допускается принимать по таблице 2.
Таблица 2
┌───────────────────────────────────────────┬─────────────────────────────┐
│Материал тела противофильтрационной завесы │ Допускаемый градиент напора │
├───────────────────────────────────────────┼─────────────────────────────┤
│Твердеющий: │ │
│ глиноцементный раствор │ 100 │
│ бетон │ 150 │
├───────────────────────────────────────────┼─────────────────────────────┤
│Нетвердеющий: │ │
│ заглинизированный грунт │ 20 │
│ комовая глина │ 30 │
│ глиногрунтовая паста │ 30 │
└───────────────────────────────────────────┴─────────────────────────────┘
Завесы, выполняемые методом струйной цементации грунтов
7.17. Тонкие грунтоцементные завесы (10 - 30 см), выполняемые методом ламинарной струйной цементации грунтов (технология Jet-grouting), следует предусматривать в нескальных грунтах, в том числе содержащих крупнообломочные включения, на глубину, как правило, до 20 м и более при соответствующем обосновании.
Устройство завесы выполняется заходками: бурение скважины с промывкой водой или глинистым раствором (прямой ход буровой колонны) и последующий подъем буровой колонны (обратный ход) с подачей в скважину через форсунку монитора цементного раствора под давлением до 70 МПа. Подъем буровой колонны производится без вращения (ламинарная цементация). Скорость подъема буровой колонны обычно составляет 5 - 30 см/мин.
Законченные цементацией заходки (противофильтрационные панели) устраиваются последовательно или с чередованием. В первом случае грунтоцементный несхватившийся композит предыдущей и последующей панелей образует бесшовную противофильтрационную завесу, во втором случае изготавливаемая панель примыкает к набравшей прочность предыдущей противофильтрационной панели.
Устройство противофильтрационных панелей методом струйной цементации грунтов может осуществляться с полным или частичным замещением грунта цементным раствором.
Шаг скважин прямого хода буровой колонны соответствует ширине противофильтрационной панели и определяется проектной документацией в зависимости от гидрогеологических условий, требуемой водонепроницаемости и, в необходимых случаях, прочности грунтоцементного композита, принятой схемы устройства завесы (последовательно или с чередованием), способа проходки (Jet-1, Jet-2, Jet-3 и др.), принятого давления и состава цементного раствора, диаметра форсунки, скорости подъема монитора и других параметров.
Для подбора параметров технологии устройства грунтоцементной щелевой завесы методом струйной цементации необходимо, как правило, организовывать опытные участки. В сходных гидрогеологических условиях допускается принимать исходные параметры по объектам-аналогам.
Контроль качества грунтоцементной завесы следует осуществлять неразрушающими геофизическими методами (сейсмоакустическим, электрическим, георадарным и др.) в сочетании с вскрытием контрольных шурфов, выбуриванием образцов для определения прочностных характеристик и водонепроницаемости грунтоцементного композита.
7.18. Грунтоцементные завесы из пересекающихся грунтоцементных свай, выполняемые методом струйной цементации грунтов, следует предусматривать в нескальных грунтах, в том числе содержащих крупнообломочные включения, на глубину до 50 м и более и могут проектироваться однорядными или многорядными.
В многорядных завесах сваи необходимо располагать в шахматном порядке со смещением осей свай следующего ряда относительно предыдущего на величину, как правило, равную половине принятого в проектной документации шага свай.
Толщина грунтоцементной завесы, принимаемая в проектной документации, определяется фильтрационными расчетами и требованиями
7.23.
7.19. Расстояние между центрами грунтоцементных свай завесы следует принимать не более 0,7 - 0,75 диаметра свай при однорядном их расположении и не более 0,85 диаметра свай при многорядном. В проектной документации необходимо предусматривать такую сетку расположения грунтоцементных свай, чтобы обеспечить сплошность грунтоцементного камня завесы в плане.
7.20. Технология устройства ПФЗ из пересекающихся грунтоцементных свай, выполняемых по струйной технологии (технология получения грунтоцементного композита изложена в
7.17), отличается от ламинарной цементации тем, что подъем монитора с буровой колонной производится одновременно с ее вращением со скоростью обычно 10 - 30 об/мин. В зависимости от типа грунта, технологических параметров струйной цементации (см.
7.17) диаметр грунтоцементной сваи может достигать 2 м и более. Для повышения прочностных характеристик грунтоцементных свай допускается их армирование.
Диаметр, шаг грунтоцементных свай, технологические параметры их устройства определяются проектной документацией и корректируются по результатам опытных работ.
7.21. Методом струйной цементации грунтов допускается устройство горизонтальных противофильтрационных завес, позволяющих избежать притока подземных вод в открытые выработки через их дно, при этом по периметру выработки необходимо предусматривать контурные водозащитные мероприятия: водопонижение, противофильтрационные вертикальные завесы и т.п. Применение данного метода должно быть экономически обосновано.
7.22. При соответствующем обосновании в качестве противофильтрационного материала завес допускается предусматривать синтетическую пленку, укладываемую из отдельных полос с низовой стороны траншеи.
В проекте завесы с применением пленки следует предусматривать грунтовый заполнитель, не содержащий включений с острыми углами, и его укладку с принятием мер против повреждения пленки.
7.23. Жесткие завесы из твердеющих материалов должны быть рассчитаны на усилия от воздействия гидростатического давления как плита на упругом основании с изменяющимся по глубине коэффициентом постели.
7.24. В проектной документации необходимо указывать очередность устройства скважин, захваток, заходок, предусматривать контроль качества материалов, приготавливаемых растворов, смесей, паст, контроль выполняемых работ, правильности геометрических размеров разрабатываемой траншеи (щели), ее вертикальности, а также сплошности завесы и ее сопряжения с водоупором с применением комплекса неразрушающих методов контроля (геофизических) и других методов (выбуривание образцов) в соответствии с настоящим сводом правил и
СП 45.13330.
7.25. Противофильтрационные свойства завесы определяются на основании данных наблюдений за пьезометрическими скважинами у верховой (напорной) и низовой граней завесы
(7.6) и исследованием водопроницаемости образцов, выбуриваемых из тела завесы.
Инъекционные завесы
7.26. Для закрепления горных пород и придания им водонепроницаемости следует предусматривать устройство инъекционных завес и локальный тампонаж горных пород на отдельных участках выработок с применением цементации, глинизации, смолизации и силикатизации.
7.27. Инъекционные завесы следует предусматривать для защиты вертикальных, наклонных и горизонтальных подземных выработок от подземных вод с помощью тампонажа горных пород, выполняемого в режиме пропитки грунтового массива.
При надлежащем обосновании допускается предусматривать инъекционные завесы (линейные и контурные) для защиты от подземных вод открытых горных выработок.
В зависимости от геологических и гидрогеологических условий залегания водоносных пород допускается проектировать инъекционные завесы в сочетании с завесами других типов (траншейными, свайными и пр.).
7.28. Цементацию (инъекцию цементных, глиноцементных и глиноцементно-песчаных растворов на цементах общестроительного назначения), как правило, следует применять для устройства завес в скальных и полускальных трещиноватых породах с раскрытием трещин свыше 0,1 мм, удельным водопоглощением более 0,01 л/мин/м2, свободных от заполнения или же заполненных легко поддающимися промывке вторичными материалами, при действительной скорости движения подземных вод по трещинам не более 2400 м/сут. При большей скорости применение цементации должно быть обосновано опытным путем. При проектировании и устройстве ПФЗ способом цементации в скальных породах необходимо соблюдать требования
СП 23.13330 и
[16].
Допускается предусматривать применение цементации с использованием цементов общестроительного назначения в крупнообломочных, гравийно-галечниковых и песчаных водоносных породах с коэффициентом фильтрации свыше 80 м/сут. Сетка скважин (шаг скважин и количество рядов), способ цементации в режиме пропитки (нисходящий, восходящий, одновременный), величина поглощения раствора при заданном давлении закачки назначается проектной документацией с учетом требований
7.27,
7.37.
Цементацию песчаных грунтов с коэффициентом фильтрации от 1 до 80 м/сут допускается производить с применением особо высокотонкодисперсных (ОВТД) цементов (минеральное вяжущее типа "Микродур" различных марок) в режиме пропитки через инъекторы или скважины. Радиус грунтоцементной колонны после закрепления составляет, как правило, от 0,3 до 0,8 м.
Цементацию песков с коэффициентом фильтрации от 0,1 до 80 м/сут любой степени влажности следует производить по технологии виброцементации (погружение инъектора в грунт с помощью высокочастотного вибропогружателя с одновременным нагнетанием через него цементного раствора на цементе общестроительного назначения). Радиус грунтоцементной колонны, образующейся при виброцементации, составляет, как правило, 0,15 - 0,4 м.
В проектной документации для цементации с применением ОВТД и виброцементации при однорядном и многорядном расположении инъекторов (скважин) расстояние между их центрами следует назначать с понижающим коэффициентом 0,6 (коэффициент выравнивания массива) от принятого диаметра распространения суспензии (раствора) при закреплении горных пород. При многорядном расположении инъекторов необходимо предусматривать такую сетку их расположения, чтобы обеспечить сплошность грунтоцементного композита завесы как в плане, так и по глубине. Радиус закрепления зависит от состава суспензии, конструкции инъектора, гранулометрического состава закрепляемого песка и давления инъекции.
Для подбора состава инъецируемой суспензии, давления закачки, уточнения габаритов получаемой грунтоцементной колонны (оценка проницаемости горных пород), определения прочности и водонепроницаемости грунтоцементного композита и других параметров необходимо, как правило, организовывать опытные участки.
7.29. При проектировании цементации горных пород выбор способа (нисходящий, восходящий, одновременный), состава и консистенции цементного раствора (суспензии), объема и давления закачки, величины "отказа" следует производить в зависимости от назначения инъекционной завесы, состояния и инженерно-геологических свойств закрепляемых пород, их трещиноватости и закарстованности, действительной скорости фильтрации подземных вод, коэффициента фильтрации, а также химического состава подземных вод.
7.30. Для приготовления цементных растворов следует предусматривать портландцемент марки 400 и выше. Допускается использование сульфатостойкого цемента, шлакопортландцемента и тампонажного портландцемента. При наличии агрессивных вод следует предусматривать цементы, стойкие по отношению к подземным водам.
Особо высокотонкодисперсные (ОВТД) минеральные вяжущие типа "Микродур" различных марок или их аналоги следует применять для выполнения специфических цементационных работ, указанных в
7.28.
7.31. Глинизацию (инъекцию глиносиликатных растворов) следует предусматривать в случаях, когда цементация неэкономична или ненадежна из-за наличия агрессивных вод, способных корродировать цемент.
7.32. Смолизацию (инъекцию водных растворов синтетических смол с отвердителем через инъекторы или скважины) следует предусматривать для устройства завес в песчаных породах с коэффициентами фильтрации 0,2 - 50 м/сут.
7.33. Силикатизацию (одно- и двухрастворную силикатизацию) следует предусматривать для устройства завес в песчаных породах. При этом в песках с коэффициентами фильтрации 2 - 80 м/сут следует предусматривать двухрастворную силикатизацию: поочередное нагнетание в поры горных пород растворов на основе силиката натрия и отвердителя (хлористого кальция, ортофосфорной кислоты и др.). В пылеватых и мелких песках с коэффициентом фильтрации 0,5 - 2,0 м/сут следует предусматривать однорастворную силикатизацию - инъекцию одного раствора силиката натрия с добавкой фосфорной или кремнефтористоводородной кислоты. Радиус закрепленного смолизацией или силикатизацией массива (колонны) в песчаных горных породах составляет, как правило, от 0,3 до 1 м.
7.34. Допускается предусматривать комбинированное применение цементации, глинизации, смолизации и силикатизации.
7.35. При отсутствии специальных экспериментальных данных критический градиент напора

в инъекционной завесе допускается принимать согласно указаниям
СП 23.13330 в зависимости от типа вмещающего завесу нескального грунта, а для закрепляемых цементацией скальных и полускальных пород - в зависимости от величины удельного водопоглощения в пределах завесы, назначаемой проектной документацией.
7.36. Выбор расстояния между скважинами (шаг скважин и количество рядов) инъекционной завесы следует производить из условия обеспечения ее сплошности и установленного проектной документацией коэффициента фильтрации завесы, проектируемой в нескальных горных породах, и определяемым испытанием образцов закрепленного грунта при проведении опытных работ (полевых или лабораторных). При устройстве инъекционной завесы в скальных породах коэффициент фильтрации определяется согласно
СП 23.13330 в зависимости от допустимой величины удельного водопоглощения, назначаемой проектной документацией. Толщина противофильтрационной завесы должна обеспечивать непревышение критического градиента напора, определяющего фильтрационную прочность самой завесы.
Оптимальное расстояние между скважинами, как правило, следует определять на основании опытных работ. При отсутствии опытных данных расстояние между скважинами допускается определять исходя из величины радиуса распространения инъецируемого раствора

, вычисляемого по формуле

, (4)
где

- расход раствора, нагнетаемого в скважину, м3/ч;
t - продолжительность нагнетания раствора в скважину, ч;

- толщина слоя закрепляемого грунта, м;

- коэффициент неравномерности распространения трещин и пор в горной породе;
e - коэффициент пористости горных пород.
Радиус распространения инъецируемого раствора, полученный по
формуле (4), необходимо уточнять при проведении опытно-производственных работ.
Шаг инъекторов в ряду назначается в зависимости от радиуса инъекции
(4) и, как правило, следует принимать равным

, а расстояние между рядами

.
7.37. При проектировании инъекционной завесы следует устанавливать способ нагнетания раствора (нисходящий, восходящий, одновременный), очередность забивки (задавливания) инъекторов или бурения скважин, размер заходки (зоны) при нагнетании раствора, последовательность инъецирования в ряду (в рядах) по методу последовательного сближения. Скважины первой очереди следует располагать на расстоянии, исключающем их гидравлическую связь по порам и трещинам грунта в процессе нагнетания раствора (выбивание раствора в смежные инъекторы или скважины) и принимаемом, как правило, не менее удвоенного расстояния между скважинами. В неоднородных по проницаемости горных породах слой с большей проницаемостью следует закреплять в первую очередь. Последовательность инъекционных работ при химическом закреплении обводненных песчаных грунтов должна обеспечивать гарантированное вытеснение подземных вод из закрепляемого объема грунтового массива нагнетаемыми реагентами. Защемление подземных вод в закрепляемом массиве не допускается.
При устройстве завесы в закарстованных скальных грунтах следует производить предварительную цементацию для локализации закрепляемого массива (создание защитного барьера) против выхода раствора за контур массива. Нагнетание раствора следует производить через каждую скважину до "отказа". Противофильтрационные свойства завесы проверяются гидравлическим опробованием, геофизическими методами и требованиями
7.6.
Нагнетание реагентов в горные породы при силикатизации и смолизации, а также при цементации крупнообломочных грунтов и гравелистых песков следует производить под пригрузкой, в качестве которой используются залегающие над областью инъекции горные породы или специально уложенные бетонные плиты.
При устройстве инъекционных завес следует контролировать наклон инъекторов (скважин), размеры закрепляемого массива горных пород, сплошность, однородность завесы, противофильтрационные свойства, а в необходимых случаях прочность закрепленного грунта (композита) завесы.
7.38. Устройство инъекционных завес следует предусматривать с поверхности или из горных выработок.
7.39. Направление (угол наклона) скважин следует задавать с учетом пересечения наибольшего числа преобладающих водопроводящих трещин и контактов напластований.
7.40. Диаметры буровых скважин при выбранном способе бурения следует назначать в соответствии с их глубиной, составом и строением проходимых пород, а также с учетом обеспечения пропуска требуемых расходов воды и нагнетаемых растворов.
Диаметры скважин допускается назначать в пределах 42 - 91 мм, а при заполнении крупных полостей и пустот вязкими растворами - 91 - 110 мм.
7.41. В песчаных породах вместо бурения скважин допускается предусматривать забивку (задавливание) перфорированных инъекторов различной конструкции с предельной глубиной погружения до 12 - 15 м. Погружение инъекторов на большую глубину следует предусматривать в пробуренные скважины.
7.42. При проектировании инъекционных завес состав и давление инъецируемых растворов, размеры закрепленной колонны (оценка проницаемости горных пород), как правило, следует устанавливать по данным опытных работ. При их отсутствии допускается устанавливать давление на основании данных выполнения завес в аналогичных условиях.
В проектной документации следует предусматривать необходимые мероприятия для предотвращения прорывов нагнетаемых растворов на поверхность земли или в горные выработки (см.
7.37).
7.43. В проектной документации следует предусматривать операционный, приемочный, выборочный и другие виды контроля за процессами устройства ПФЗ, за ее размерами, сплошностью и характеристиками материала тела завесы, которые необходимо осуществлять неразрушающими (геофизическими) методами, в сочетании с вскрытием контрольных шурфов, выбуриванием образцов из закрепленного грунтового массива (композита) тела завесы для дальнейшего исследования в лабораторных условиях, а также за положением уровня подземных вод перед и за завесой на основании данных наблюдений за пьезометрическими скважинами (п.
7.6).
Противофильтрационные свойства закрепленных тампонажем нескальных и скальных горных пород инъекционной завесы (коэффициент фильтрации) допускается определять гидравлическим опробованием через контрольные скважины в соответствии с
СП 23.13330 и с учетом
[16] по удельному водопоглощению тела завесы, считая закрепленный массив нескальных горных пород скальными горными породами.
Льдопородные завесы (ограждения)
7.44. Льдопородные завесы, выполняемые путем искусственного замораживания горных пород, следует предусматривать для защиты подземных (вертикальных, горизонтальных и наклонных) горных выработок в период их проходки в нескальных неустойчивых и трещиноватых скальных водоносных горных породах.
При надлежащем обосновании допускается предусматривать применение льдопородных завес для защиты открытых выработок на период разработки.
7.45. Границы применимости замораживания горных пород следует определять расчетом в зависимости от скорости фильтрации, температуры и степени минерализации подземных вод и технологии замораживания.
7.46. Льдопородные завесы должны быть полностью замкнутыми при проходке стволов подземных выработок. Для защиты открытых выработок льдопородные завесы могут быть замкнутые (для небольших размеров котлованов), линейные или контурные незамкнутые. Завеса должна заглубляться в устойчивые водоупорные породы не менее чем на 3 м.
7.47. Толщину льдопородной завесы следует определять статическими расчетами в зависимости от ее назначения, формы и размеров выработки в плане, глубины, а также прочностных характеристик замороженных пород.
7.48. Температуру льдопородной завесы и расстояние между замораживающими скважинами следует устанавливать на основании опытных данных. При отсутствии опытных данных допускается принимать:
среднюю температуру льдопородной завесы - в пределах 30 - 40% температуры холодоносителя, циркулирующего в замораживающих колонках;
расстояние между замораживающими скважинами при однорядном их расположении - в пределах 1 - 1,5 м, между рядами при многорядном расположении - в пределах 2 - 3 м.
7.49. Мощность холодильной установки следует определять теплотехническими расчетами в зависимости от проектного объема льдопородной завесы.
7.50. Для наблюдения за процессом замораживания следует устраивать контрольные скважины - гидрогеологические и термометрические. В проектной документации следует предусматривать программу мониторинга, включающую в себя мероприятия по контролю за температурой и уровнем подземных вод, температурой холодоносителя, температурой горных пород, а также сплошностью и толщиной льдопородной завесы и т.п.
7.51. При проектировании льдопородных завес кроме настоящего свода правил необходимо соблюдать требования
СП 45.13330,
СП 69.13330 и учитывать
[17].
8. Регулирование поверхностного стока, водоотвод
8.1. При регулировании поверхностного стока следует предусматривать:
отвод воды с карьерных и по возможности с шахтных полей водотоков и водоемов;
ограждение карьерных и шахтных полей от попадания в них воды с прилегающей территории;
исключение или сокращение инфильтрации поверхностных вод в горные породы в зоне влияния водопонизительных систем и водоотлива из горных выработок, а также больших скоплений воды в пониженных участках рельефа в пределах шахтных (карьерных) полей, в том числе в мульдах сдвижения земной поверхности;
планировку поверхности территории месторождения с засыпкой озер, оврагов, карстовых воронок и других западин для предотвращения скапливания атмосферных осадков в естественных впадинах, устройство на поверхности необходимой водосточно-дождевой сети со сбросом дождевых вод в водотоки за пределами территории месторождения;
предотвращение разрушения бортов карьера (разреза) и нарушения в нем нормального ведения эксплуатационных работ поверхностными водами из атмосферных осадков, выпадающих непосредственно на площадь открытой выработки, потерь технологических вод и др.
8.2. В проектной документации системы регулирования поверхностного стока в зависимости от местных условий следует предусматривать нагорные канавы, ограждающие дамбы, плотины, водостоки и водозаборы, спрямление и отвод рек в новое русло, противофильтрационную изоляцию русел в пределах шахтного (карьерного) поля и на прилегающей территории, а также водостоки, сбросные линии и водосборники в открытых выработках, обеспечивающие совместно с проектируемыми мероприятиями по защите от подземных вод охрану горных выработок от внезапных прорывов воды и недопустимых притоков из водных объектов и в то же время охрану водных объектов, имеющих народно-хозяйственное значение, от вредного влияния горных выработок.
8.3. Обеспеченность расчетных гидролого-метеорологических характеристик для проектирования гидротехнических сооружений систем защиты должна устанавливаться организацией, утверждающей техническое задание.
8.4. Отказ от защиты подземных горных выработок от поверхностных вод должен быть обоснован, в том числе разделом ОВОС, разработанным в составе проектной документации.
8.5. При проектировании дождевой сети в пределах нагорных канав карьерного или шахтного поля приток дождевых вод следует определять по методу предельных интенсивностей. Период однократного превышения расчетной интенсивности дождя следует принимать, как правило, равным 5 годам, для особо ответственных объектов или опасных в отношении устойчивости бортов выработок (в случаях, специально оговоренных в задании на проектирование) - 10 годам.
Нагорные канавы следует проектировать из расчета на максимальный паводковый расход обеспеченностью 5%.
Карьерные водосборники и насосные станции следует проектировать исходя из общего притока к карьеру, определяемого по суточному слою осадков, с периодом его однократного превышения, как правило:
для карьерных водосборников - 5 лет;
для особо ответственных объектов (в случаях, специально оговоренных в задании на проектирование) - для карьерных водосборников - 10 лет.
Подачу насосной установки карьерного водоотлива следует определять проектом с учетом времени откачки из водосборников (или объемов подтопления) после окончания расчетного дождя.
8.6. Допускаемые скорости воды в водостоках следует назначать в зависимости от материала конструкций водостока при максимальном паводковом расходе обеспеченностью 5%.
Лотки на откосах следует проектировать прямоугольного, трапецеидального или полукруглого сечения с креплением, исключающим возможность их размыва ливнями с обеспеченностью 5%.
Канавы, используемые в качестве траншейного дренажа, следует проектировать с пологими откосами без крепления или с креплением откосов водопроницаемым материалом (перфорированные железобетонные плиты, каменная наброска и т.п.).
На карьерных съездах и спусках следует предусматривать лотки-перехватчики стока. Их следует перекрывать стальными решетками, допускающими проезд транспорта.
8.7. Весь карьерный сток должен быть удален за пределы карьера (разреза) с помощью водоотлива (см.
раздел 6). Если условия рельефа позволяют, карьерный сток или часть его следует отводить самотеком к местам сброса рудничных вод.
8.8. Внекарьерные и внешахтные водоотводящие устройства допускается выполнять в виде открытых канав, лотков, безнапорных и напорных трубопроводов.
При проектировании внекарьерных и внешахтных водоотводящих устройств следует предусматривать мероприятия для предотвращения подпитки подземных вод в пределах зоны влияния водопонизительных систем. При невозможности выполнения указанных мероприятий при расчете водопонижения следует учитывать дополнительный приток подземных вод, обусловленный подпиткой.
8.9. Для предотвращения замерзания воды в трубопроводах и насосах в зимний период следует предусматривать:
укладку самотечных трубопроводов с уклоном не менее 0,005, а при длительных перерывах в работе - с уклоном 0,05 - 0,02;
установку вентилей или задвижек для выпуска воды в низких местах напорных трубопроводов;
установку насосных агрегатов в отапливаемых помещениях.
Дополнительные мероприятия по предохранению трубопроводов от промерзания следует предусматривать в соответствии с
[14] и теплотехническими расчетами.
8.10. При сбросе шахтных и карьерных вод на поверхность земли, в овраги, водотоки, водоемы, а также в водопоглощающие слои необходимо соблюдать требования раздела 9.
9. Охрана окружающей среды и мероприятия
для ее осуществления
9.1. При проектировании систем защиты следует предусматривать охрану окружающей природной среды путем:
выбора проектных решений систем защиты и конструктивных решений защитных сооружений и устройств, при которых обеспечивается наименьший ущерб из-за истощения и загрязнения подземных вод, загрязнения, засорения, нарушения режима и размыва берегов поверхностных водных объектов, размыва и эрозии почв, заболачивания территории, сдвижения и деформации горных пород и земной поверхности, осадок и деформаций сооружений на прилегающей территории;
выполнения мероприятий, а также использования сооружений и устройств, проектируемых специально для этой цели;
рационального восполнения причиняемого ущерба.
Меры по охране и защите подземных вод обосновываются разделом 8 "Перечень мероприятий по охране окружающей среды", разрабатываемым в составе проектной документации.
9.2. При проектировании поэтапного ввода в действие водопонизительных устройств не следует допускать опережающего развития водопонизительных систем и понижения уровней подземных вод в большей мере, чем предусмотрено
4.14 и
4.19.
Необходимо, как правило, дифференцировать откачку и водоотвод чистой и грязной воды и предусматривать полное или частичное использование откачиваемых вод для водоснабжения, сельскохозяйственных целей и других видов водопользования.
9.3. При проектировании сброса воды, откачиваемой из водопонизительных устройств и горных выработок, а также вод, отводимых самотеком, необходимо соблюдать требования Федеральных законов Российской Федерации:
[2],
[3],
[10],
[11] и принятых в их развитие нормативно-правовых актов.
Место сброса рудничных и поверхностных вод должно быть согласовано с заинтересованными организациями. Место сброса, исключая водные объекты, рекомендуется предусматривать вне зоны распространения депрессии водопонизительных устройств.
Сброс воды, откачиваемой из водопонизительных устройств и горных выработок, на поверхность земли, как правило, не допускается.
Допускается предусматривать сброс воды на неиспользуемые земли, если при этом исключаются возможность попадания их в водные объекты, загрязнение подземных вод, эрозия почвы, заболачивание местности и другие виды ущерба окружающей природной среде.
При отводе подземных и поверхностных вод следует исключать подтопление сооружений, образование оползней, размыв грунта. Водовыпуски следует проектировать в соответствии с требованиями
СП 32.13330.
При проектировании сброса рудничных вод в поверхностные водные объекты и овраги необходимо также соблюдать требования Федерального закона Российской Федерации
[8],
СанПиН 2.1.5.980.
При проектировании сброса рудничных вод в подземные водоносные слои необходимо также соблюдать требования
СП 2.1.5.1059.
При проектировании сброса рудничных вод в моря необходимо также соблюдать требования Федерального закона
[9],
СанПиН 2.1.5.2582.
При проектировании сброса поверхностных и рудничных вод в составе проектной документации на основании Постановления Правительства РФ
[12] должен быть разработан раздел ОВОС (оценка воздействия на окружающую среду).
Проектная документация подлежит экологической экспертизе на основании Федерального закона
[4].
9.4. При непосредственном сбросе рудничных вод в водные объекты, овраги и обратно в дренируемые водоносные слои, если не могут быть обеспечены требования, указанные в
9.3, необходимо предусматривать соответствующие мероприятия, направленные на предотвращение загрязнения водных объектов от взвешенных и растворенных веществ, содержащихся в рудничных водах.
9.5. Для снижения концентрации взвешенных веществ следует предусматривать отстаивание рудничных вод в отстойниках. Вместимость отстойника следует определять с учетом объема откачиваемых рудничных вод, требуемого времени отстоя и норматива допускаемого сброса осветленных вод в водный объект, утвержденного государственной экспертизой. Условия сброса осветленных вод в водный объект необходимо определять в соответствии с
9.3,
СП 32.13330 и с учетом
[15]. Время отстоя рудничных вод для достижения необходимого снижения концентрации взвешенных веществ следует определять, как правило, опытным путем.
9.6. Для снижения концентрации загрязняющих веществ необходимо предусматривать применение соответствующих физико-химических и биологических методов очистки рудничных вод. В любом случае должны соблюдаться нормы по ПДК в расчетном створе при сбросе в водный объект.
При соответствующем обосновании очистка рудничных вод может быть заменена сбросом их в накопители-испарители.
В отдельных случаях, по согласованию с органами по регулированию использования и охране вод, допускается проектировать устройство накопителя-регулятора со сбросом из него (при расчетных нормативах допустимых сбросов) минерализованных вод в водотоки во время паводка при условии соблюдения установленных норм предельно допустимых концентраций (ПДК) веществ в воде водных объектов в расчетном створе в соответствии с
СанПиН 2.1.5.980.
Расчетные нормативы допустимых сбросов должны пройти государственную экспертизу.
9.7. Расположенные вблизи горных выработок бессточные впадины (понижения) или небольшие озера, не имеющие рекреационного, рыбохозяйственного или другого народно-хозяйственного значения, могут быть использованы в качестве накопителей-регуляторов или накопителей-испарителей при предоставлении этих объектов в обособленное пользование на основании Федеральных законов
[2],
[3] и принятых в их развитие нормативно-правовых актов. Карстовые воронки и мульды оседания не допускается использовать в качестве накопителей-регуляторов и накопителей-испарителей.
9.8. При проектировании накопителей-регуляторов и накопителей-испарителей должны быть предусмотрены мероприятия, исключающие возможность загрязнения подземных вод: устройство противофильтрационных завес, экранов, дренажей и др. В проектной документации необходимо предусматривать устройство наблюдательных скважин и программу мониторинга.
Наблюдательные скважины, в зависимости от гидрогеологических условий, необходимо размещать по контуру накопителей для контроля уровня и степени загрязнения подземных вод при возможных техногенных утечках из дренажных систем, нарушении целостности противофильтрационных конструкций и т.п.
Наблюдательные скважины необходимо размещать таким образом, чтобы наиболее полно охарактеризовать подземные воды по изучаемому контуру в процессе эксплуатации сооружения.
При изучении нескольких водоносных горизонтов, на которые возможно влияние загрязнения (определяется проектной документацией), необходимо обеспечить получение данных о подземных водах по каждому водоносному горизонту. Мониторинг необходимо начинать до устройства противофильтрационных мероприятий. По результатам анализа данных мониторинга производится оценка общего состояния уровней подземных вод, начиная от их естественного положения до начала строительства, а также в процессе эксплуатации сооружения, возможно определение места утечки вод, загрязняющих водоносные горизонты, что позволяет принять меры по устранению утечки.
9.9. В проектной документации следует предусматривать сбор, удаление и обезвреживание рудничных вод, содержащих радиоактивные вещества, в соответствии с действующими нормами радиационной безопасности и санитарными правилами работы с радиоактивными веществами и другими источниками ионизирующих излучений.
Сброс рудничных вод, содержащих радиоактивные вещества, на поверхность земли, в водные объекты, используемые для хозяйственно-питьевых, культурно-бытовых и рыбохозяйственных целей, и в водоносные слои не допускается.
9.10. В проектной документации должны быть предусмотрены устройства и мероприятия для предохранения почв и берегов водных объектов от размыва откачиваемыми водами.
9.11. Условия сброса рудничных вод указываются в разрешении на специальное водопользование, выдаваемом органами по регулированию использования и охране вод, при отводе площадки для строительства горного предприятия в соответствии с Федеральными законами
[2],
[3] и принятыми в их развитие нормативно-правовыми актами.
9.12. По данным оценки качества откачиваемых вод в проектной документации следует принимать решения по извлечению из них полезных компонентов.
9.13. При проектировании противофильтрационных устройств и мероприятий следует учитывать, что в зоне действия водозаборов хозяйственно-питьевого водоснабжения не допускается инъекция в водоносные слои растворимых в воде веществ.
9.14. В зоне влияния водопонизительных систем необходимо учитывать возможное оседание земной поверхности, деформации и сдвижения горных пород и определять дополнительные перемещения фундаментов сооружений.
9.15. Расчет оседания земной поверхности в основании сооружений при ожидаемом понижении уровня подземных вод следует производить суммированием деформаций отдельных слоев.
9.16. При сложных инженерно-геологических условиях площадки строительства для определения оседания, деформации и сдвижения толщи горных пород рекомендуется применять численное моделирование или инженерно-расчетные программы и программные комплексы.
9.17. При проектировании водопонизительных систем необходимо учитывать возможность возникновения или активизации карстовых и карстово-суффозионных процессов и разрыхления грунтов в основании зданий и сооружений, особенно если верхняя часть грунтовой толщи сложена песками. В проектной документации следует предусматривать соответствующие мероприятия по защите оснований существующих и проектируемых сооружений (шпунтовые ограждения, кольматацию горных пород, цементацию и др.).
9.18. При невозможности закладки горными породами отработанного пространства карьера (разреза) допускается предусматривать его рекультивацию путем переустройства в водоем для различных видов водопользования.
(рекомендуемое)
РАСЧЕТ ВОДОПОНИЗИТЕЛЬНЫХ (ДРЕНАЖНЫХ) СИСТЕМ
Общие указания
А.1. Для расчета водопонижения необходимо схематизировать природные условия и водопонизительную систему. Толща горных пород разбивается на условно-однородные водоносные и водоупорные (или условно-водоупорные) слои. Водоносный слой может быть принят неограниченным или ограниченным (полностью или частично) контуром питания или водонепроницаемым контуром. Питание водоносных слоев принимается за счет притока подземных вод из водоема или водотока, инфильтрации атмосферных осадков, перетекания из одного водоносного слоя в другой.
Водопонизительные системы схематизируются по этапам их развития и приводятся, как правило, к одной из следующих схем: кольцевой, неполнокольцевой, линейной или групповой (не приводимой к схеме круга или прямой линии).
А.2. Расчеты водопонижения производятся для установившегося и неустановившегося режимов фильтрации. Расчеты для установившегося режима должны выполняться, как правило, во всех случаях (за исключением водопонижения в закрытых водоносных слоях, не имеющих питания). Расчеты по неустановившемуся режиму выполняются для периода с начала откачки до момента, соответствующего наступлению установившегося режима, определяемого в зависимости от условий питания водоносных слоев.
В закрытых водоносных слоях, не имеющих питания, расчет ведется только по неустановившемуся режиму.
А.3. Общий порядок расчета водопонизительной (дренажной) системы следующий:
устанавливается требуемое понижение уровня подземных вод (в зависимости от поставленной задачи водопонижения);
производится расчет притока к водопонизительной (дренажной) системе;
определяются параметры водопонизительной системы (число скважин, их глубина, производительность, диаметр, положение динамических уровней воды в скважинах, диаметр и пропускная способность трубчатых дренажей, параметры других водопонизительных устройств), исходя из общего притока определяются ординаты и производится построение депрессионных поверхностей подземного потока;
подбирается оборудование и рассчитываются водоотводящие устройства.
А.4. Приток подземных вод к водопонизительной системе следует определять в зависимости от требуемого понижения уровня подземных вод в расчетной точке по формуле

. (А.1)
Допускается при соответствующем обосновании вместо величин h и k вводить в формулу (А.1) величину водопроводимости kh, м3/сут, значение которой непосредственно определяется по результатам опытных откачек.
А.5. Общие притоки подземных вод к водопонизительным системам и горным выработкам определяются как сумма притоков из каждого водоносного слоя, дренируемого водопонизительной системой или непосредственно выработками.
Определение притока при установившемся режиме фильтрации
А.6. При определении по
формуле (А.1) притока подземных вод к кольцевым, неполнокольцевым и линейным водопонизительным системам, а также горным выработкам при отсутствии или наличии противофильтрационной завесы значение Ф следует вычислять по формулам таблицы А.1 Приложения А.
Расчетная схема | Расчетная формула |
| Кольцевая система  Неполнокольцевая система  При расположении расчетной точки на контуре или в центре системы  |
|
Совершенная или несовершенная контурная система. Приток в зависимости от понижения в заданной точке при безнапорной или напорной фильтрации |
| |
|
Совершенная или несовершенная линейная система. Приток в зависимости от понижения в заданной точке при безнапорной или напорной фильтрации |
| Кольцевой дренаж  Неполнокольцевой дренаж  |
|
Кольцевой дренаж в кровле водоносного слоя, содержащего напорные воды. Приток в зависимости от глубины заложения дренажа, равной  |
| Кольцевой дренаж  Неполнокольцевой дренаж  |
|
Кольцевой несовершенный дренаж в водоносном слое, содержащем безнапорные воды. Приток в зависимости от глубины заложения дренажа, равной  |
| |
|
Линейный дренаж в кровле слоя, содержащего напорные воды. Приток в зависимости от глубины заложения дренажа, равной  |
| |
|
Линейный несовершенный дренаж в слое, содержащем безнапорные воды. Приток в зависимости от глубины заложения дренажа, равной  |
Схема 7 | При  ; при  |
|
Котлован (пластовый дренаж), вскрывающий напорные воды |
Схема 8 | При  ; при  |
|
Котлован (пластовый дренаж) в безнапорном водоносном слое |
Схема 9 | При  ; при  |
|
Траншея (пластовый дренаж), вскрывающий напорные воды |
Схема 10 | При  ; при  |
|
Траншея (пластовый дренаж) в безнапорном водоносном слое |
Схема 11 | |
|
Приток к котловану через контурную совершенную противофильтрационную завесу |
Схема 12 | |
|
Приток к траншее через линейную совершенную противофильтрационную завесу |
А.7. Приведенный радиус водопонизительной системы (выработки по границе высачивания подземных вод, противофильтрационной завесы по ее внутренней грани) следует определять по формулам:
для контурной водопонизительной системы (выработки или контурной завесы) с отношением сторон, равным или менее 10

; (А.2)
для контурной водопонизительной системы (выработки или контурной завесы) с отношением сторон свыше 10 и для коротких (l < 2L) линейных водопонизительных систем
r = 0,25l; (А.3)
для длинной (l >= 2L) линейной водопонизительной системы (траншей)
r = 0. (А.4)
А.8. Значение радиуса депрессии

для контурных и коротких линейных водопонизительных систем и устройств следует принимать равным радиусу области фильтрации, когда ее граница - контур питания - может быть принята круговой формы, а для других граничных условий - по формулам
таблицы А.2 Приложения А, для длинных линейных водопонизительных систем и устройств - по формуле

. (А.5)
Расчетная схема | Расчетная формула |
Схема 1 | Водоносный слой, ограниченный одной линейной границей области питания | |
|
Схема 2 | Водоносный слой имеет две линейные взаимно перпендикулярные границы a - область питания b - водонепроницаемая | Для границ a, a  ; для границ a, b  |
|
Схема 3 | Водоносный слой имеет две параллельные линейные границы a - область питания b - водонепроницаемая | Для границ a, a  ; для границ a, b  |
|
Схема 4 | Неограниченный водоносный слой, питание которого происходит за счет инфильтрации поверхностных вод интенсивностью P | |
|
Схема 5 | Неограниченный водоносный слой, содержащий напорные воды, питание которого происходит за счет протекания воды из вышележащего слоя | |
|
А.9. При двустороннем притоке к длинным линейным водопонизительным системам (устройствам) приток подземных вод определяется раздельно с каждой стороны (в зависимости от соответствующих расстояний до области питания) и суммируется.
Определение притока при неустановившемся режиме фильтрации
А.10. Для начального периода неустановившегося режима (депрессия не достигает области питания) значение функции понижения Ф следует определять по формулам
схемы 1 таблицы А.3 или принимать равным значению величины Ф, определяемому по формулам установившегося режима
(таблицы А.1), исходя из значений радиуса депрессии

, вычисленных для соответствующих моментов времени по формуле

. (А.6)
Расчетная схема | Расчетная формула |
| |
| Для центра системы  . Для одиночной скважины  |
Неограниченный водоносный слой |
| |
| Знак "плюс" соответствует непроницаемому контуру, знак "минус" - контуру питания. Для центра системы  , x = 0, y = 0 |
Водоносный слой ограничен прямолинейным контуром питания или непроницаемым контуром |
Схема 3 | Для центра системы |
| |
Знаки функции  соответствуют видам границ водоносного слоя: [  ] - x, z - контуры питания; [  ] - x, z - непроницаемые контуры; [  ] - x - контур питания; z - непроницаемый контур |
Слой ограничен двумя взаимно перпендикулярными контурами, каждый из которых может быть контуром питания или непроницаемым |
Схема 4 | Для центра системы |
| |
Знаки функции  соответствуют: знак "плюс" - непроницаемому контуру, знак "минус" - контуру питания |
Слой ограничен двумя параллельными контурами питания или одним контуром питания, другим - непроницаемым |
Схема 5 |  , |
| где  . |
Для равнодебитных скважин |
 , |
Неограниченный водоносный слой | где  |
| |
| Для функции  знак "плюс" соответствует непроницаемому контуру, знак "минус" - контуру питания. Для равнодебитных скважин при границе - контур питания и установившемся режиме |
 , |
Водоносный слой ограничен прямолинейным контуром питания или непроницаемым контуром | где  |
| Знаки функции  соответствуют видам границ водоносного слоя: а) [  ] - x, z - контуры питания; б) [  ] - x, z - непроницаемые контуры; в) [  ] - x - контур питания; z - непроницаемый контур а)  ; б)  ; где  ;  ;  ; |
|
Водоносный слой ограничен двумя перпендикулярными контурами - питания или непроницаемым |
Примечание. При определении уровня в одной из действующих скважин величина  для этой скважины принимается равной ее радиусу  . |
Значение величины a определяется опытным путем или по формулам:

;

. (А.7)
В дальнейшем, когда депрессия достигнет области питания, значения функции понижения для определения притока подземных вод к контурным и коротким линейным водопонизительным системам по
формуле (А.1) следует принимать по формулам
схем 2 -
7 таблицы А.3.
Значения примененной в
таблице А.3 функции Ei(-u) приведены в таблице А.4.
u | Ei(-u) | W(u, v) при v |
0,05 | 0,1 | 0,2 | 0,6 | 1,0 | 2,0 | 5,0 |
0 | | 6,228 | 4,854 | 3,505 | 1,555 | 0,842 | 0,228 | 0,007 |
0,01 | -4,038 | 4,043 | 3,815 | 3,288 | 1,555 | 0,841 | 0,228 | 0,007 |
0,02 | -3,355 | 3,326 | 3,344 | 2,852 | 1,553 | 0,841 | 0,228 | 0,007 |
0,03 | -2,959 | 3,037 | 2,887 | 2,690 | 1,542 | 0,841 | 0,228 | 0,007 |
0,04 | -2,681 | 2,748 | 2,629 | 2,482 | 1,521 | 0,841 | 0,228 | 0,007 |
0,05 | -2,468 | 2,458 | 2,427 | 2,311 | 1,493 | 0,841 | 0,228 | 0,007 |
0,06 | -2,295 | 2,312 | 2,262 | 2,167 | 1,459 | 0,839 | 0,228 | 0,007 |
0,07 | -2,161 | 2,166 | 2,123 | 2,044 | 1,423 | 0,836 | 0,228 | 0,007 |
0,08 | -2,027 | 2,021 | 2,003 | 1,935 | 1,386 | 0,832 | 0,228 | 0,007 |
0,09 | -1,919 | 1,754 | 1,898 | 1,839 | 1,349 | 0,826 | 0,228 | 0,007 |
0,1 | -1,823 | 1,487 | 1,805 | 1,763 | 1,312 | 0,819 | 0,228 | 0,007 |
0,2 | -1,223 | 1,221 | 1,216 | 1,194 | 0,996 | 0,715 | 0,228 | 0,007 |
0,3 | -0,906 | 1,000 | 0,902 | 0,890 | 0,778 | 0,601 | 0,216 | 0,007 |
0,4 | -0,702 | 0,779 | 0,700 | 0,693 | 0,621 | 0,502 | 0,205 | 0,007 |
0,5 | -0,560 | 0,559 | 0,558 | 0,553 | 0,504 | 0,421 | 0,194 | 0,007 |
0,6 | -0,454 | 0,476 | 0,453 | 0,450 | 0,415 | 0,354 | 0,177 | 0,007 |
0,7 | -0,374 | 0,393 | 0,373 | 0,370 | 0,345 | 0,300 | 0,161 | 0,007 |
0,8 | -0,311 | 0,310 | 0,310 | 0,308 | 0,289 | 0,254 | 0,144 | 0,007 |
0,9 | -0,260 | 0,223 | 0,260 | 0,258 | 0,244 | 0,217 | 0,128 | 0,007 |
1,0 | -0,219 | 0,136 | 0,219 | 0,218 | 0,206 | 0,186 | 0,114 | 0,007 |
2,0 | -0,049 | 0,049 | 0,049 | 0,049 | 0,047 | 0,044 | 0,034 | 0,005 |
5,0 | -0,001 | 0,001 | 0,001 | 0,001 | 0,001 | 0,001 | 0,001 | 0,000 |
8,0 | 0 | 0 | 0 | 0 | 0 | 0 | 0 | 0 |
А.11. При определении притока подземных вод к контурной или короткой линейной водопонизительной системе в толщах, сложенных из нескольких неоднородных слоев, неограниченных или ограниченных с одной стороны (имеющих одну прямолинейную границу), значения функции понижения для слоя, из которого производится откачка, следует принимать по формулам
для неограниченного слоя

; (А.8)
для слоя, ограниченного с одной стороны,

. (А.9)
Здесь знаки "+/-" соответствуют: "плюс" - непроницаемому контуру, "минус" - контуру питания. Значения функции W(u, v) определяются по
таблице А.4, где:

(А.10)

определяется для соответствующих расчетных схем по формулам таблицы А.5.
Таблица А.5
Расчетная схема | Расчетная формула |
Схема 1 | |
|
Схема 2 | |
|
Схема 3 | |
|
Для центра и контура системы

.
А.12. При определении притока подземных вод к длинным линейным водопонизительным системам по
формуле (А.1) значения функции понижения Ф вычисляются по формуле

. (А.11)
Значения функций F(u) определяются по графику рисунка А.1.
Рисунок А.1. График функции F(u)
А.13. Значение функции понижения при разновременном пуске или остановке элементов водопонизительной системы, когда на каждом i-м промежутке времени

и график расхода Q(t) изображается ступенчатой линией
(рисунок А.2), следует определять для n-го промежутка времени по формуле

. (А.12)
Рисунок А.2. Ступенчатый график откачки
А.14. Продолжительность неустановившегося режима допускается принимать равной значению времени t, при котором вычисляемая по
таблице А.3 функция понижения Ф достигнет значения, определяемого для соответствующих схем и условий питания по
таблице А.1.
Расчет скважинных водопонизительных систем
А.15. Расположение водопонизительных скважин, их число и заглубление следует принимать исходя из притока подземных вод и необходимого понижения их уровня.
Расчетную производительность скважин следует определять с учетом полученных опытных данных.
При отсутствии опытных данных производительность скважины, при которой обеспечивается длительная и эффективная работа водопонизительной скважины с учетом проницаемости осушаемой породы и конструктивных параметров скважины, допускается определять по эмпирической формуле

. (А.13)
А.16. При расчете водопонизительных скважин, предварительно задаваясь их параметрами (глубиной, диаметром и длиной смоченной части фильтра) и руководствуясь опытными данными, а при их отсутствии -
формулой (А.13), необходимо определить производительность одной скважины. Исходя из производительности одной скважины и общего притока подземных вод к водопонизительной системе, намечают число скважин и их расположение, принимая на каждую из них примерно равную нагрузку. При этом необходимо принимать во внимание особенности гидрогеологических условий, а также уменьшение с течением времени производительности скважин по мере сработки уровней подземных вод и в результате процессов кольматации, коррозии и химического зарастания фильтров.
А.17. При принятых расположении и производительности скважин необходимо проверить величины понижения уровня подземных вод в расчетных точках на линии водопонизительных скважин и в самих скважинах.
Понижения в расчетных точках при контурных и линейных водопонизительных системах следует вычислять исходя из значений функции понижения Ф, определяемых по формулам
схем 1 и
2 таблицы А.1 и
формуле (А.1) при напорном потоке - непосредственно, при безнапорном - после подстановки в
формулу (А.1)

. (А.14)
А.18. Понижение уровня подземных вод на линии скважин определяется по
формуле (А.1) по значениям Ф при

для контурных и

- для линейных систем.
Связь между понижениями уровней воды в совершенных скважинах и на их линии для напорного потока выражается формулой

. (А.15)
Связь между уровнями воды в совершенных скважинах и на их линии для безнапорного потока имеет вид

. (А.16)
Ордината уровня воды на линии скважин определяется по формуле

. (А.17)
Для совершенных скважин показатель внутреннего фильтрационного сопротивления

; (А.18)

. (А.19)
Для несовершенных по степени вскрытия водоносного слоя скважин показатель внутреннего фильтрационного сопротивления с учетом дополнительного гидродинамического сопротивления из-за неполного вскрытия водоносного слоя определяется по формуле

, (А.20)
в напорных условиях

, (А.21)
где

определяется по графику рисунка А.3.
а, б - схемы несовершенных скважин в напорном
и безнапорном пластах; в, г - графики для определения

Рисунок А.3. К расчету сопротивления скважин
на гидрологическое несовершенство
В безнапорных условиях в
формуле (А.21) и при определении значения

по графику рисунка А.3 следует вместо значения

подставлять

и вместо значения h подставлять

.
При расчете систем из несовершенных скважин в
формулы (А.15) и
(А.16) следует вместо значения

подставлять

.
А.19. При выбранных числе, расчетной производительности и расположении водопонизительных скважин групповой системы следует проверить достижение требуемого понижения уровня подземных вод в расчетных точках и в самих скважинах путем суммирования действий каждой скважины в отдельности:

. (А.22)
Значения функций понижения для расчетных точек вне скважины определяются по формулам
таблицы А.6, а в совершенной скважине от ее собственного действия - по формуле

. (А.23)
При расчете систем из несовершенных скважин по
формулам (А.21) - (А.23) значение функции понижения

входит в выражение расчетного радиуса

, совершенной скважины, эквивалентной по дебиту действительной несовершенной скважине:

;

. (А.24)
Расчет производится как для совершенных скважин с подстановкой в
формулу (А.23) вместо

величины расчетного радиуса

.
А.20. Окончательная глубина скважин и глубина погружения скважинного насоса, а также диаметр и длина фильтра устанавливаются на основании определенных по
А.18 и
А.19 понижений и отметок уровней воды в самих скважинах.
Для длительного срока службы фильтр, как правило, следует располагать ниже уровня воды в скважине. При соответствующем обосновании допускается использовать водопонизительные скважины с незатопленным фильтром, например, на конечном этапе при понижении уровня воды до водоупора. В этом случае при определении длины действующей (смоченной) части фильтра следует учитывать высоту высачивания, определяющую уровень воды за скважиной, и вычислять длину действующей части незатопленного фильтра

, м:
для совершенных скважин - по формуле

, (А.25)
для несовершенных скважин в формулу (А.25) вместо течения величины

следует подставлять

.
Рисунок А.4. Графики функций

и

Расчет трубчатых и галерейных дренажей
Это же значение величины притока следует принимать при определении понижения уровней подземных вод согласно
А.18 в точках, являющихся внешними по отношению к контуру дренажа.
А.22. Понижение уровня подземных вод в центре кольцевого дренажа при заданной глубине его заложения, а также требуемую глубину заложения кольцевого дренажа при заданном понижении в его центре следует определять из уравнения

. (А.26)

. (А.27)
Значения функций

;

и

определяются соответственно по графикам
рисунка А.5.
Рисунок А.5. Графики функций
Расчетная схема | Расчетная формула |
Схема 1 | |
|
В слое с круговым контуром питания |
Схема 2 | x имеет положительные значения, если точка M находится между скважиной и областью питания |
|
В полуограниченном слое (с одним контуром питания) 1 - скважина; 2 - область питания |
Схема 3 | |
|
В полосообразном слое с двумя контурами питания 1 - скважина; 2 - область питания |
Схема 4 | |
|
В слое между областью питания и непроницаемой границей 1 - скважина; 2 - область питания |
А.23. При заданной глубине заложения линейного дренажа приток подземных вод к нему следует определять по
формуле (А.1) и формулам
схем 5 и
6 таблицы А.1, а уровень подземных вод в точках на расстоянии x от оси линейного дренажа - по указаниям
А.17, исходя из величины притока, вычисленной по
формуле (А.11).
А.24. При заданном требуемом понижении в точке на расстоянии x от оси линейного дренажа следует вначале определить приток подземных вод к нему по
формуле (А.1) и формулам
схемы 2 таблицы А.1, затем, используя формулы
схем 5 и
6 той же таблицы, определить подбором необходимую глубину заложения линейного дренажа.
А.25. Буквенные обозначения, входящие в формулы, приведены в
Приложении В.
(рекомендуемое)
ПРОЕКТИРОВАНИЕ ВОДОПОНИЗИТЕЛЬНЫХ УСТРОЙСТВ
Водопонизительные и наблюдательные скважины
Б.1. Для определения конструкции водопонизительных скважин в проекте должны быть выбраны способ бурения и требуемое крепление скважин обсадными трубами.
Допускается предусматривать бурение скважин с глинистой промывкой в пределах недренируемых слоев, а также в пределах дренируемых водоносных слоев в тех случаях, когда опытным путем доказана эффективность последующей разглинизации скважин.
Диаметр бурения скважин под фильтровую колонну следует принимать по наружному диаметру предусмотренной проектом фильтрующей обсыпки.
В колоннах обсадных труб, предусмотренных на период эксплуатации скважин, верхний обрез каждой остающейся обсадной трубы должен быть выше башмака предыдущей трубы не менее чем на 3 м при глубине скважины до 50 м не менее чем на 5 м - при большей глубине скважины; кольцевой зазор между трубами должен быть зацементирован (так же, как все затрубное пространство остающейся трубы) или заделан сальниковой набивкой.
При проектировании водопонизительных скважин в подземных выработках следует предусматривать их бурение с применением устройства, исключающего прорыв подземных вод в выработки. В мягких породах при соответствующем обосновании допускается предусматривать устройство самоизливающихся скважин из подземных выработок путем забивки или задавливания фильтровой колонны на требуемую глубину.
Б.2. Для водопонизительных скважин следует предусматривать трубчатые, каркасно-стержневые, гравитационные, корзинчатые, кожуховые и блочные фильтры или проектировать водоприемную часть скважины без установки в ней фильтров исходя из требований таблицы Б.1.
Вид водоприемной части скважин | Область применения |
1. Скважины, не оборудованные фильтром | Прочные трещиноватые скальные породы, в пределах которых нет опасности вывалов и выноса заливающего трещины материала в полость скважины, при расположении скважинного насоса выше незакрепленной части скважины или в скважине, работающей без насоса; скважины с уширенной водоприемной полостью, образованной в результате выноса породы из водоносного горизонта |
2. Трубчатые фильтры - трубы с круглой или щелевой перфорацией без обсыпки и водоприемного покрытия | Трещиноватые скальные и крупнообломочные породы при отсутствии опасности выноса грунтового материала из трещин; при надлежащем обосновании - гравелистые грунты |
3. Трубчатые фильтры с водоприемным покрытием из проволочной обмотки, штампованного листа с отверстиями или сетки, а также фильтры из штампованного листа без опорного каркаса, без обсыпки | При надлежащем обосновании - крупные и гравелистые пески, крупнообломочные и трещиноватые скальные породы при отсутствии опасности выноса песчаного материала в скважину |
4. То же, с песчано-гравийной обсыпкой | Пески и другие горные породы при опасности выноса мелких частиц в скважину |
5. Каркасно-стержневые фильтры с водоприемным покрытием по поз. 3 | По поз. 3 при условии расположения скважинного насоса над фильтром, а также в скважинах, работающих без насоса |
6. То же, с песчано-гравийной обсыпкой | По поз. 4 в условиях расположения скважинного насоса над фильтром, а также в скважинах, работающих без насосов |
7. Гравитационные фильтры колокольного или зонтичного типа | Пески средней крупности |
8. Корзинчатые и кожуховые фильтры | Условия, в которых, согласно требованиям таблицы Б.2, необходима двухслойная обсыпка и в которых созданию обсыпки непосредственным погружением в скважину песка и гравия препятствуют напорные воды |
9. Блочные фильтры | Крупные пески и гравийно-галечниковые отложения при отсутствии в подземных водах кольматирующих химических образований |
Примечания. 1. Применение фильтров без обсыпки допускается, если возможные при этом обрушения горных пород не вызывают осложнения на прилегающей территории. 2. В проектной документации допускается предусматривать использование для фильтров водопонизительных скважин волокнистых материалов, синтетических тканей и других материалов, отвечающих требованиям необходимого срока службы скважины. 3. Как правило, следует предусматривать фильтры заводского изготовления. |
Параметры обсыпки | Требования к параметрам |
Соотношение значений средних диаметров частиц материала прилегающего к породе слоя обсыпки и самой породы или последующего и предыдущего слоев обсыпки | |
Разнозернистость материала каждого слоя обсыпки при ее устройстве: | |
гидравлическим способом или укладкой в кожух | |
путем сброса по зазору между фильтром и стенками скважины | |
Толщина одного слоя обсыпки фильтра водопонизительной скважины |  и  |
Примечание. При пересечении фильтром нескольких водоносных слоев или прослоек грунтов различных наименований и видов материал однослойной обсыпки следует подбирать по наименьшему значению  , определенному при гранулометрическом анализе всех отобранных образцов породы, но с соблюдением для каждого пересекаемого слоя условия  . Если значения  различных водоносных слоев настолько отличаются между собой, что это условие невыполнимо, то следует предусматривать однослойную обсыпку с различными значениями  по высоте фильтра или двухслойную. |
Каждое фильтровое звено должно иметь паспорт завода-изготовителя с указанием всех его технических данных.
При невозможности получения фильтров заводского изготовления на них должен быть выдан специальный проект, разработанный проектной организацией.
Фильтры должны обладать достаточной прочностью, обеспечивающей их нормальную работу в скважине, а также сохранность при монтаже и транспортировании. Проектировать их следует в антикоррозионном исполнении.
Соединение фильтровых звеньев между собой, а также с отстойником и надфильтровыми трубами должно быть, как правило, резьбовым.
Б.3. Перфорацию труб следует предусматривать в виде круглых отверстий или щелей. Водоприемные покрытия трубчатых и каркасно-стержневых фильтров следует выполнять проволочными, навитыми по спирали с заданным постоянным шагом, сетчатыми или из просечного стального листа с различными типами перфорации ("мостом", круглыми отверстиями, щелями и т.д.).
Б.4. Скважность боковой поверхности трубчатых фильтров должна быть порядка 18 - 25%, водоприемного покрытия из проволочной обмотки или просечного листа - порядка 30 - 60%.
Размер проходных отверстий водоприемного покрытия, а при его отсутствии - отверстий или щелей фильтра должен быть равен среднему диаметру частиц

прилегающей породы или обсыпки.
Б.5. В качестве материала обсыпки фильтров следует применять отмытый песок и гравий или песчано-гравийные смеси, а также продукты дробления изверженных или прочных осадочных пород с удельным весом не менее 20 кН/м3 (2 тс/м3) и временным сопротивлением сжатию не менее 60 МПа.
Материал обсыпки должен быть плотным, нерастворимым в воде, свободным от солевых примесей.
Б.6. Гранулометрический состав песчано-гравийной обсыпки, число слоев и их толщину следует подбирать исходя из требований
таблицы Б.2.
Укладку обсыпки следует предусматривать на 2 - 10 м выше верхней кромки фильтра в зависимости от глубины скважины и высоты участка фильтровой колонны, перекрываемого обсыпкой.
Б.7. Песчано-гравийные обсыпки уширенного контура допускается предусматривать в мелких песках в водопонизительных скважинах, бурение которых проектируется ударно-канатным способом.
Однослойную обсыпку уширенного контура разрешается проектировать с учетом устройства ее одним из следующих способов:
прокачкой скважины эрлифтом с одновременной укладкой песчано-гравийного материала и подъемом обсадной колонны;
погружением фильтров с конусом;
с помощью вспомогательных скважин;
применением для бурения расширителей.
Б.8. В конструкции водопонизительной скважины должна быть предусмотрена фильтровая колонна, состоящая из глухих труб, перекрывающих неустойчивые, не отдающие воду слои, фильтровых звеньев, оголовка и при необходимости - отстойника или выпуска. Диаметр фильтровой колонны должен удовлетворять требованиям монтажа и демонтажа погружаемого в нее оборудования, в частности насосов (если они предусмотрены проектной документацией) и приборов, а также пропуска расчетного расхода воды.
Фильтры (согласно
таблице Б.1) необходимо предусматривать в каждом водоносном горизонте, из которого требуется отбор воды, а также в зоне водопоглощения. Число звеньев фильтров устанавливается расчетом.
Отстойник должен быть предусмотрен в каждой скважине, в которой возможно оседание частиц грунта. Длину отстойника следует назначать в зависимости от количества ожидаемых осадков частиц горных пород, но не менее 2 м.
Б.9. Для откачки воды из водопонизительных скважин, как правило, следует предусматривать скважинные насосы.
При надлежащем обосновании допускается проектировать оборудование водопонизительных скважин эрлифтами, гидроэлеваторами, поршневыми насосами.
Для откачки химически активных и термальных вод насосы следует применять в химически- и термостойком исполнениях.
При размещении в скважине насоса с погружным электродвигателем ниже фильтра следует предусматривать устройство в виде открытого снизу кожуха для обтекания (с целью охлаждения) электродвигателя откачиваемой водой, если такое устройство не предусмотрено конструкцией насоса.
Подача насоса при требуемом напоре должна соответствовать производительности скважины.
Б.10. Скважины, оборудованные насосом, должны быть снабжены манометром, задвижкой, обратным клапаном, краном для отбора проб воды, водомерным устройством, пьезометрами или датчиками для замеров уровней воды в фильтровой колонне и в затрубном пространстве (в системах водопонизительных скважин, работающих в одинаковых условиях, допускается установка пьезометров в одной из десяти скважин).
При отсутствии необходимости в фильтре (согласно
таблице Б.1) следует предусматривать крепление скважины глухой трубой от поверхности до глубины не менее чем на 2 м ниже насоса.
Б.11. При проектировании электроснабжения скважинных насосов необходимо соблюдать требования
[22]. По надежности электроснабжения скважинные насосы относятся ко II категории.
Электроснабжение скважинных насосов следует предусматривать от самостоятельных линий электропередачи.
Б.12. Для насосных установок водопонизительных скважин, как правило, следует предусматривать автоматизацию работы оборудования в зависимости от уровня воды в скважинах с сигнализацией об аварийном отключении на диспетчерский пункт, при необходимости периодического включения и отключения насосов - дистанционное управление.
Б.13. Выпуск из сквозной сбросной скважины (сквозного фильтра) должен быть оборудован задвижкой и манометром.
Б.14. В проекте самоизливающейся скважины должны быть предусмотрены мероприятия против прорывов по затрубному (за фильтровой колонной) пространству.
Устье самоизливающейся скважины следует проектировать ниже отметки, до которой требуется понизить уровень напорных вод. Излив из устья следует предусматривать в водоотводящие лотки, трубопроводы или сифонный коллектор.
Устье самоизливающейся скважины в подземной выработке должно быть оборудовано задвижкой.
В лучевых дренажах самоизливающиеся скважины следует предусматривать во всех слоях, в которых требуется водопонижение. Число гнезд в стенке колодца должно быть в 1,5 - 2 раза больше расчетного числа лучей.
Б.15. Вакуумные скважины следует предусматривать с герметичной крышкой и сальниками для уплотнения мест пересечения с ней всех элементов оборудования, предусматриваемых
Б.10. Вакуумные скважины дополнительно должны быть оборудованы вакуумметром, датчиками уровней и устройством для измерения динамического уровня.
В проектной документации необходимо предусматривать герметизацию муфтовых соединений фильтровых колонн и их центровку в скважинах.
Для отбора воздуха из вакуумных скважин следует предусматривать установку вакуумных насосов или эжекторных устройств. При этом допускается применение систем, основанных на использовании насосных агрегатов легких иглофильтровых установок вакуумного водопонижения.
Б.16. Оголовки и наружное оборудование водопонизительных скважин должны быть защищены от повреждения и засорения.
Б.17. При использовании откачиваемой воды для водоснабжения конструкция водопонизительных скважин должна удовлетворять требованиям
СП 31.13330.
Б.18. В проектной документации следует предусматривать резерв водопонизительных скважин, в том числе оборудованных насосами, в размере до 20% от их общего числа, определенного расчетом.
Б.19. Конструкция наблюдательных скважин, как правило, должна включать надфильтровые трубы, фильтровую часть и отстойник. Внутренний диаметр колонны должен быть таких размеров, чтобы обеспечивались беспрепятственное перемещение в ее полости измерительной аппаратуры и выполнение ремонтных работ. Фильтр допускается применять трубчатого типа с сетчатым водоприемным покрытием из синтетических материалов. Отстойник наблюдательной скважины следует выполнять высотой 2 - 3 м. Оголовок скважины должен подниматься над поверхностью земли не менее чем на 0,5 м и закрываться крышкой с замком, а участок вокруг скважины, при необходимости, должен быть огражден.
При неглубоком положении замеряемых уровней подземных вод в качестве наблюдательных скважин допускается использовать легкие иглофильтры.
Бурение наблюдательных скважин следует предусматривать, как правило, вращательным способом. Допускается погружение фильтровой колонны путем подмыва.
Б.20. В зависимости от геологического разреза, способа бурения и конструкции скважины в проектной документации следует предусматривать обработку скважины одним из методов (или несколькими): гидравлическим, электрогидравлическим, реагентным, пневмоударным, механическим, ультразвуковым, взрывным.
Обработку скважины следует назначать:
перед вводом в действие - в случаях необходимости ее разглинизации, активизации трещин в скальных породах, образования вокруг скважины естественного фильтра путем выноса мелких частиц из окружающих горных пород;
в процессе работы - через промежутки времени, определяемые опытными данными для местных гидрогеологических условий;
перед сдачей системы защиты в эксплуатацию - в случае ее использования в процессе строительства горного предприятия.
Дренажи
Б.21. Пластовый дренаж на откосах открытых выработок следует проектировать однослойным. В качестве фильтрующих материалов допускается предусматривать в зависимости от гранулометрического состава водоносных пород средний или крупный песок, а также песчано-гравийные смеси с коэффициентом разнозернистости

не более 20.
Верхняя граница пластового дренажа должна превышать не менее чем на 0,5 м уровень высачивания воды на откосы выработки. Толщина пластового дренажа должна быть не менее 0,3 м. Отвод воды из пластового дренажа на откосах открытых выработок осуществляется через трубчатый или траншейный дренаж.
Для предотвращения промерзания дренажной отсыпки пластового дренажа и трубчатых или траншейных дрен поверху пластового дренажа и мелкозаглубленных дрен следует укладывать защитный слой грунта. Допускается применение водостойкого утеплителя. Если позволяют условия, дрены необходимо заглублять ниже глубины промерзания грунта.
При необходимости допускается предусматривать пластовый дренаж внутренних отвалов в карьере (разрезе), уложенный по всей площади основания отвала по верху систематически расположенных дрен-канав площадью поперечного сечения каждой не менее 0,1 м2 с заполнением каменным, щебеночным материалом, боем из железобетонных блоков, плит и т.п. для отвода воды во временные канавы вдоль фронта отвалов.
Пластовый дренаж в основании сооружений на трещиноватых скальных и полускальных породах следует предусматривать из одного слоя гравия или щебня минимальной толщиной 20 см. В случае если в основании сооружений залегают мелкие, пылеватые пески или глинистые породы, то пластовый дренаж выполняется из двух слоев: песок средней крупности толщиной не менее 10 см (нижний слой) и гравий или щебень толщиной не менее 15 см (верхний слой). Допускается выполнение пластового дренажа однослойным из гравия или щебня толщиной не менее 20 см с подложкой из нетканого геотекстильного материала, заменяющей песчаный слой.
Допускается предусматривать использование для пластовых дренажей плит из пористого бетона или других материалов, удовлетворяющих требованиям необходимой водопроводимости, прочности, неразмокаемости и устойчивости против агрессивного воздействия подземных вод.
Вода из пластового дренажа отводится трубчатым или траншейным дренажем к месту сброса или к перекачивающим насосным станциям.
Дренажный слой из песка за стенами сооружений (пристенный дренаж) следует предусматривать толщиной не менее 20 см на высоту не менее чем на 0,5 м выше уровня подземных вод. В качестве пристенного дренажа могут быть использованы оклеечные рулонные или листовые полимерные профилированные материалы с фильтрующим наружным слоем, выполненным, как правило, из геотекстильного материала, и водонепроницаемой подложкой (может быть использована как дополнительный слой гидроизоляции).
Б.22. Для трубчатых дренажей следует предусматривать трубофильтры из крупнопористого бетона, хризотилцементные трубы с водоприемными отверстиями, керамические, бетонные и железобетонные трубы, трубы из полимерных материалов. Дренажные трубы, как правило, должны иметь фильтрующую песчано-гравийную обсыпку. Требования к материалу песчано-гравийной обсыпки трубчатых дренажей и к подбору ее гранулометрического состава те же, что в обсыпке фильтров водопонизительных скважин (см.
Б.5 и
Б.6). Минимальная толщина слоя обсыпки из песка должна быть 10 см (наружный защитный слой), из гравия или щебня - 15 см (непосредственная обсыпка трубы). Допускается обсыпка дренажных труб только гравием или щебнем с минимальной толщиной слоя 15 см в обертке призмы обсыпки геотекстильным материалом.
Допускается предусматривать фильтровые покрытия дренажных труб из волокнистых, тканых, нетканых геотекстильных и других материалов, отвечающих требованиям необходимого срока службы дренажа.
Прием воды трубчатым дренажем предусматривается через стыки труб (бетонные, железобетонные), поры в стенах трубофильтров, перфорацию в стенках хризотилцементных и труб из полимерных материалов.
Диаметр трубчатых дрен должен быть назначен из условия пропуска максимального притока подземных вод полным сечением. Минимальный уклон трубчатых дрен следует принимать 0,003. При надлежащем обосновании уклон труб диаметром 400 мм и более может быть допущен менее 0,003.
Смотровые колодцы на трубчатых дренажах следует устраивать не более чем через 50 м по длине дрены, на поворотах, пересечениях, в местах изменения уклона или перепада отметок лотка дрены. Трубы между колодцами следует укладывать без изменения уклона.
В карьерах (разрезах) воду из трубчатых дренажей необходимо отводить по общекарьерной водосточной сети.
Б.23. Сечения дренажных выработок следует проектировать исходя из условий их эксплуатации и с учетом способов проходки и применяемого оборудования.
Подземные дренажные выработки в прочных скальных породах, как правило, не следует крепить. В неустойчивых породах крепление дренажных выработок необходимо выполнять с учетом создания большой фильтрующей поверхности: закрепное пространство должно быть плотно заполнено фильтрующим материалом и не зацементировано, для крепи следует применять сборный железобетон, пористый бетон, отдельные блоки, дерево. При применении монолитного бетона или железобетона в крепи следует оставлять отверстия (окна) с сетками-фильтрами для пропуска воды.
Дренажные выработки необходимо предусматривать с уклоном к околоствольным водосборникам. Допускаемый минимальный уклон 0,003.
(справочное)
A - площадь, ограниченная контуром водопонизительной системы (контуром линии высачивания подземных вод в выработке, контуром внутренней грани противофильтрационной завесы), м3;
Ei(-u) - интегральная показательная функция;
F(u) - вспомогательная функция для определения притока (или понижения уровня) подземных вод при плоском потоке;
H - непониженный напор подземных вод в водоносном слое (напор в области питания), м;

- разность напоров на гранях противофильтрационной завесы, м;
I - градиент напора;

- допускаемый градиент напора на завесу;
L - расстояние от оси (центра) водопонизительной системы или внутреннего контура противофильтрационной завесы до области питания, м;
Q - полный приток подземных вод к контурной или односторонний приток к линейной водопонизительной системе, м3/сут;
S - понижение уровня подземных вод в расчетной точке, м;

- понижение уровня подземных вод в центре водопонизительной системы, м;

- понижение уровня подземных вод в скважине, м;

- понижение уровня подземных вод на линии (контуре) водопонизительной системы, м;
W(u, v) - вспомогательная функция для определения притока подземных вод при их перетекании через слабопроницаемый слой;
a - обобщенный знак, обозначающий при пользовании формулами, в которые он входит: при напорной фильтрации

- пьезопроводность, м2/сут, при безнапорной фильтрации

- уровнепроводность, м2/сут;
a - расстояние от водоупора до низа фильтра водопонизительной скважины, м;
b - половина ширины траншеи (выработки), м;

- величина, характеризующая перетекание подземных вод через слабопроницаемые слои, единица/сут

;

- расстояние от уровня воды в скважине до низа фильтра, м;

- ширина (расстояние между двумя параллельными границами водоносного слоя), м;

- нижнее значение диаметра частиц, мельче которых в материале каждого слоя обсыпки содержится 10% к весу сухой пробы грунта, мм;

- наружный диаметр фильтра водопонизительной скважины, мм;

- среднее значение диаметра частиц, мельче которых в горной породе содержится 50% к весу сухой пробы грунта, мм;

- диаметр скважины, мм;

- характеристическое значение диаметра частиц, мельче которых в материале одного слоя обсыпки содержится 60% к весу сухой пробы грунта, мм;

- средний диаметр частиц, мельче которых в материале прилегающего к горной породе слоя обсыпки содержится 60% к весу сухой пробы грунта, мм;

,

,

- средние значения диаметра частиц материала обсыпки соответственно 1-, 2- и 3-го слоев по направлению потока, мм;

- верхнее значение диаметра частиц, мельче которых в материале одного слоя обсыпки содержится 80% к весу сухой пробы грунта, мм;
e - коэффициент пористости горных пород;
f - функция понижения в расчетной точке от действия одиночной скважины;

- функция понижения в совершенной расчетной скважине от ее собственного действия;

- функция понижения в расчетной точке от действия одной одиночной скважины;
h - толщина водоносного слоя при напорной фильтрации или средняя высота потока (2H - S)/2 при безнапорной фильтрации, м;

- толщина не нарушаемого при разработке разделяющего слоя водоупорных пород, м;

- толщина слоя закрепленного грунта, м;
i - уклон;
k - коэффициент фильтрации, м/сут;

- коэффициент фильтрации разделяющего слоя, м/сут;

- коэффициент фильтрации тела противофильтрационной завесы, м/сут;
l - длина линейной или большая сторона контурной водопонизительной системы или завесы, м;

- длина контура кольцевой или неполнокольцевой водопонизительной системы, м;

- длина действующей части фильтра, м;

- расстояние от границы водоносного слоя до скважины, м;
n - число водопонизительных скважин, число ступеней изменения расхода системы;
p - интенсивность инфильтрации поверхностных вод, м/сут;
q - удельный приток подземных вод (на 1 м водопонизительного контура), м2/сут;

- производительность скважины, м3/сут;

- производительность i-той скважины, м3/сут;

- расход раствора, нагнетаемого в скважину, м3/ч;
r - приведенный радиус водопонизительной системы, м;

- радиус депрессии, м;

- радиус скважины (дрены, половина ширины дрены), м;

- расчетный радиус совершенной скважины, эквивалентной по дебиту действительной несовершенной скважине, м;

- радиус распространения раствора при инъекции в скважину, м;

- приведенный радиус контурной противофильтрационной завесы по ее внутренней грани, м;
s - шаг скважин (расстояние между скважинами на линии водопонизительной системы), м;
t - время работы водопонизительной системы (водопонизительных устройств), сут; продолжительность нагнетания раствора в скважину, ч;

- толщина слоя песчано-гравийной обсыпки, м;

- толщина противофильтрационной завесы, м;
(u, v) - обобщенное обозначение аргументов функций;
v - скорость фильтрации м/сут;
x, y, z - координаты точек;

- расстояние от центра (или оси) водопонизительной системы до расчетной точки, м;

- расстояние от зеркального изображения центра водопонизительной системы до расчетной точки, м;

- расстояние от i-той (i - порядковый номер) скважины до расчетной точки, м;

- расстояние от зеркального отображения i-той скважины относительно одной линейной области питания до расчетной точки, м;

- расстояние от зеркального отображения i-той скважины относительно оси x до расчетной точки, м;

- расстояние от зеркального отображения i-той скважины относительно оси z до расчетной точки, м;

- расстояние от зеркального отображения i-той скважины относительно начала координат до расчетной точки, м;

- среднее расстояние от расчетной точки до скважин, м;

- среднее расстояние от расчетной точки до зеркального отображения скважин при одной линейной границе - области питания водоносного слоя, м;

- среднее расстояние от расчетной точки до зеркального отображения скважин относительно оси x, м;

- среднее расстояние от расчетной точки до зеркального отображения скважин относительно оси z, м;

- среднее расстояние от расчетной точки до зеркального отображения скважин относительно начала координат, м;
y - напор (ордината депрессионной поверхности) в расчетной точке, м;

- напор (ордината депрессионной поверхности) в центре или на оси водопонизительной системы, м;

- напор (ордината уровня воды) в скважине, м;

- напор (ордината депрессионной поверхности) на линии водопонизительной системы, м;
Ф - функция понижения от действия водопонизительной системы;

- показатель внутреннего фильтрационного сопротивления скважин;

- показатель фильтрационного сопротивления водопонизительного контура;

- показатель дополнительного фильтрационного сопротивления из-за неполного вскрытия скважинами водоносного слоя;

- показатель внутреннего сопротивления системы несовершенных водопонизительных скважин;
Q(u, v),

- вспомогательные функции для определения понижения между двумя границами водоносного слоя;

- коэффициент для определения расчетного радиуса совершенной скважины, эквивалентной по дебиту действительной несовершенной скважине;

- коэффициент неравномерности распространения трещин и пор в горной породе;

- заложение откоса;

- отношение производительности скважины к общему притоку;

- коэффициент для определения дополнительного сопротивления из-за неполного вскрытия водоносного слоя скважиной;

- гравитационная водоотдача горной породы;

- упругая водоотдача горной породы;

,

,

,

- вспомогательные функции для расчета контурного дренажа.
[1] Федеральный
закон от 27 декабря 2002 г. N 184-ФЗ "О техническом регулировании"
[2] Федеральный
закон от 10 января 2002 г. N 7-ФЗ "Об охране окружающей среды"
[3] Федеральный
закон от 3 июня 2006 г. N 74-ФЗ "Водный кодекс Российской Федерации"
[4] Федеральный
закон от 23 ноября 1995 г. N 174-ФЗ "Об экологической экспертизе"
[5] Федеральный
закон от 22 июня 2008 г. N 123-ФЗ "Технический регламент о требованиях пожарной безопасности"
[6] Федеральный
закон от 23 ноября 2009 г. N 261-ФЗ "Об энергосбережении и повышении энергетической эффективности и о внесении изменений в отдельные законодательные акты Российской Федерации"
[7] Федеральный
закон от 30 декабря 2009 г. N 384-ФЗ "Технический регламент о безопасности зданий и сооружений"
[8] Федеральный
закон Российской Федерации от 30 марта 1999 г. N 52-ФЗ "О санитарно-эпидемиологическом благополучии населения"
[9] Федеральный
закон от 31 июля 1998 г. N 155-ФЗ "О внутренних морских водах, территориальном море и прилежащей зоне Российской Федерации"
[10] Федеральный
закон от 30 декабря 2008 г. N 309-ФЗ "О внесении изменений в статью 16 Федерального закона "Об охране окружающей среды" и отдельные законодательные акты Российской Федерации"
[11] Федеральный
закон от 21 февраля 1992 г. N 2395-ФЗ-1 "О недрах"
[12]
Постановление Правительства РФ от 16 февраля 2008 г. N 87 "О составе разделов проектной документации и требованиях к их содержанию"
[13]
Постановление Правительства Российской Федерации от 19 ноября 2008 г. N 858 "О порядке разработки и утверждения сводов правил"
[14]
СП 41-103-2000 "Проектирование тепловой изоляции оборудования и трубопроводов"
[15]
СН 496-77 "Временная инструкция по проектированию сооружений для очистки поверхностных сточных вод"
[16]
ВСН 34-83 "Цементация скальных оснований гидротехнических сооружений"
[17]
ВСН 189-78 "Инструкция по проектированию и производству работ по искусственному замораживанию грунтов при строительстве метрополитенов и тоннелей"
[18]
ПБ 03-498-02 "Единые правила безопасности при разработке месторождений полезных ископаемых открытым способом"
[19]
ПБ 03-553-03 "Единые правила безопасности при разработке рудных, нерудных и россыпных месторождений подземным способом"
[21]
РД 06-572-03 "Инструкция по безопасной эксплуатации электроустановок в горнорудной промышленности"
[22] "Правила устройства электроустановок" (ПУЭ).