Главная // Актуальные документы // ГОСТ Р (Государственный стандарт)СПРАВКА
Источник публикации
М.: Стандартинформ, 2016
Примечание к документу
Документ
введен в действие с 1 июня 2016 года.
Название документа
"ГОСТ Р 54607.6-2015. Национальный стандарт Российской Федерации. Услуги общественного питания. Методы лабораторного контроля продукции общественного питания. Часть 6. Методы определения сахара"
(утв. и введен в действие Приказом Росстандарта от 25.11.2015 N 1980-ст)
"ГОСТ Р 54607.6-2015. Национальный стандарт Российской Федерации. Услуги общественного питания. Методы лабораторного контроля продукции общественного питания. Часть 6. Методы определения сахара"
(утв. и введен в действие Приказом Росстандарта от 25.11.2015 N 1980-ст)
Утвержден и введен в действие
по техническому регулированию
и метрологии
от 25 ноября 2015 г. N 1980-ст
НАЦИОНАЛЬНЫЙ СТАНДАРТ РОССИЙСКОЙ ФЕДЕРАЦИИ
УСЛУГИ ОБЩЕСТВЕННОГО ПИТАНИЯ
МЕТОДЫ ЛАБОРАТОРНОГО КОНТРОЛЯ ПРОДУКЦИИ
ОБЩЕСТВЕННОГО ПИТАНИЯ
ЧАСТЬ 6
МЕТОДЫ ОПРЕДЕЛЕНИЯ САХАРА
Public catering services. Methods of laboratory quality
control of products catering. Part 6. Methods
for determination of sugar
ГОСТ Р 54607.6-2015
Дата введения
1 июня 2016 года
1 РАЗРАБОТАН Открытым акционерным обществом "Всероссийский научно-исследовательский институт сертификации" (ОАО "ВНИИС")
2 ВНЕСЕН Техническим комитетом по стандартизации ТК 347 "Услуги торговли и общественного питания"
3 УТВЕРЖДЕН И ВВЕДЕН В ДЕЙСТВИЕ
Приказом Федерального агентства по техническому регулированию и метрологии от 25 ноября 2015 г. N 1980-ст
4 Настоящий стандарт разработан на основе "Методических
указаний по лабораторному контролю качества продукции общественного питания", рекомендованных Министерством торговли СССР от 11 ноября 1991 г. N 1-40/3805, одобренных Министерством здравоохранения СССР от 23 октября 1991 г. N 122-5/72
5 ВВЕДЕН ВПЕРВЫЕ
Правила применения настоящего стандарта установлены в ГОСТ Р 1.0-2012
(раздел 8). Информация об изменениях к настоящему стандарту публикуется в ежегодном (по состоянию на 1 января текущего года) информационном указателе "Национальные стандарты", а официальный текст изменений и поправок - в ежемесячном информационном указателе "Национальные стандарты". В случае пересмотра (замены) или отмены настоящего стандарта соответствующее уведомление будет опубликовано в ближайшем выпуске ежемесячного информационного указателя "Национальные стандарты". Соответствующая информация, уведомление и тексты размещаются также в информационной системе общего пользования - на официальном сайте Федерального агентства по техническому регулированию и метрологии в сети Интернет (www.gost.ru)
Настоящий стандарт распространяется на продукцию общественного питания и устанавливает следующие методы определения массовой доли сахара:
- перманганатный метод Бертрана;
- цианидный метод;
- ускоренный цианидный метод;
- йодометрический метод.
Настоящий стандарт распространяется на продукцию общественного питания: полуфабрикаты, блюда и кулинарные изделия, содержащие сахара, кроме мучных, кондитерских и хлебобулочных изделий.
Настоящий стандарт не распространяется на мучные, кондитерские и хлебобулочные изделия.
В настоящем стандарте использованы нормативные ссылки на следующие стандарты:
ГОСТ 61-75 Реактивы. Кислота уксусная. Технические условия
ГОСТ 83-79 Реактивы. Натрий углекислый. Технические условия
ГОСТ 701-89 Кислота азотная концентрированная. Технические условия
ГОСТ 1770-74 Посуда мерная лабораторная стеклянная. Цилиндры, мензурки, колбы, пробирки. Общие технические условия
ГОСТ 2652-78 Калия бихромат технический. Технические условия
ГОСТ 29251-91 Посуда лабораторная стеклянная. Бюретки. Часть 1. Общие требования
ГОСТ 3652-69 Реактивы. Кислота лимонная. Моногидрат и безводная. Технические условия
ГОСТ 4165-78 Реактивы. Медь сернокислая 5-водная. Технические условия
ГОСТ 4206-75 Реактивы. Калий железосинеродистый. Технические условия
ГОСТ 4207-75 Реактивы. Калий железосинеродистый 3-водный. Технические условия
ГОСТ 4233-77 Реактивы. Натрий хлористый. Технические условия
ГОСТ 4328-77 Реактивы. Натрия гидроокись. Технические условия
ГОСТ 5712-78 Реактивы. Аммоний щавелевокислый 1-водный. Технические условия
ГОСТ 5845-79 Реактивы. Калий-натрий винно-кислый 4-водный. Технические условия
ГОСТ 5962-2013 Спирт этиловый ректификованный из пищевого сырья. Технические условия
ГОСТ 9147-80 Посуда и оборудование лабораторные фарфоровые. Технические условия
ГОСТ 10576-74 Часы песочные любого номинала
ГОСТ 12026-76 Бумага фильтровальная лабораторная. Технические условия
ГОСТ 18481-81 Ареометры и цилиндры стеклянные. Общие технические условия
ГОСТ 20292-74 Приборы мерные лабораторные стеклянные. Бюретки, пипетки. Технические условия
ГОСТ 20490-75 Реактивы. Калий марганцовокислый. Технические условия
ГОСТ 25336-82 Посуда и оборудование лабораторные стеклянные Типы, основные параметры и размеры
ГОСТ 27068-86 Натрий серноватистокислый (натрия тиосульфат) 5-водный. Технические условия
ГОСТ 28498-90 Термометры жидкостные стеклянные. Общие технические требования. Методы испытаний
ГОСТ 29169-91 Посуда лабораторная стеклянная. Пипетки с одной отметкой
ГОСТ 29251-91 Посуда лабораторная стеклянная. Бюретки. Часть 1. Общие требования
ГОСТ Р ИСО 5725-6-2002 Точность, правильность и прецизионность методов и результатов измерений. Часть 6. Использование значений точности на практике
ГОСТ Р 53228-2008 Весы неавтоматического действия. Часть 1. Метрологические и технические требования. Испытания
ГОСТ Р 54607.1-2011 Услуги общественного питания. Методы лабораторного контроля продукции общественного питания. Часть 1. Отбор проб и подготовка к физико-химическим испытаниям
ГОСТ Р 54607.2-2012 Услуги общественного питания. Методы лабораторного контроля продукции общественного питания. Часть 2. Методы физико-химических испытаний
Примечание - При пользовании настоящим стандартом целесообразно проверить действие ссылочных стандартов в информационной системе общего пользования - на официальном сайте Федерального агентства по техническому регулированию и метрологии в сети Интернет или по ежегодному информационному указателю "Национальные стандарты", который опубликован по состоянию на 1 января текущего года, и по выпускам ежемесячного информационного указателя "Национальные стандарты" за текущий год. Если заменен ссылочный стандарт, на который дана недатированная ссылка, то рекомендуется использовать действующую версию этого стандарта с учетом всех внесенных в данную версию изменений. Если заменен ссылочный стандарт, на который дана датированная ссылка, то рекомендуется использовать версию этого стандарта с указанным выше годом утверждения (принятия). Если после утверждения настоящего стандарта в ссылочный стандарт, на который дана датированная ссылка, внесено изменение, затрагивающее положение, на которое дана ссылка, то это положение рекомендуется применять без учета данного изменения. Если ссылочный стандарт отменен без замены, то положение, в котором дана ссылка на него, рекомендуется применять в части, не затрагивающей эту ссылку.
В настоящем стандарте применены следующие термины с соответствующими определениями:
3.1 редуцирующие сахара: Сумма всех сахаров (глюкоза, фруктоза, мальтоза, лактоза), восстанавливающих щелочной раствор меди или других поливалентных металлов.
Примечание - Количество редуцирующих сахаров выражается в инвертном сахаре.
3.2 общий сахар: Сумма всех сахаров, полученных в результате инверсии исследуемого раствора, содержащего редуцирующие сахара и сахарозу, и восстанавливающих щелочной раствор меди или других поливалентных металлов.
3.3 сахароза: Дисахарид, состоящий из глюкозы и фруктозы.
4. Требования к помещениям и условиям окружающей среды
Требования к помещениям и условиям окружающей среды испытательных лабораторий должны соответствовать ГОСТ Р 54607.2,
раздел 4.
5. Требования безопасности
Требования безопасности при проведении испытаний в испытательных лабораториях должны соответствовать ГОСТ Р 54607.2
раздел 5.
6. Требования к компетентности специалистов
Требования к компетентности специалистов испытательных лабораторий должны соответствовать ГОСТ Р 54607.2
раздел 6.
8. Подготовка к испытаниям
8.1 Средства измерений, вспомогательные устройства, посуда, материалы и реактивы, необходимые для приготовления вспомогательных растворов и фильтратов из блюд
Весы неавтоматического действия по
ГОСТ Р 53228 специального (I) класса точности с пределами допускаемой абсолютной погрешности +/- 0,001 г или весы лабораторные, внесенные в Государственный реестр средств измерений, с пределами допускаемой абсолютной погрешности +/- 0,001 г, поверенные в установленном порядке.
Баня водяная или песочная.
Термометр жидкостный стеклянный с диапазоном измерения от 0 °C до 100 °C, ценой деления 1 °C по
ГОСТ 28498.
Шкаф сушильный лабораторный с диапазоном нагрева от 50 °C до 350 °C и терморегулятором, обеспечивающим поддержание заданной температуры с погрешностью +/- 0,5 °C.
Стаканы В-1-100 ТС и В-1-500 ТС стеклянные по
ГОСТ 25336.
Колбы мерные К
н-1-(100, 250, 1000)-14/23 см
3 по
ГОСТ 1770.
Бюретки 1-1(2)-1-25-0,05, 1-1(2)-1-50-0,1 по
ГОСТ 29251.
Палочки стеклянные оплавленные с двух концов.
Пипетки стеклянные с одной отметкой 1-2-5 (10, 50) по
ГОСТ 29169.
Часовое стекло.
Фильтр складчатый.
Фильтр стеклянный.
Трубка хлоркальциевая ТХ < 45° с взаимозаменяемым конусом 14/23 по
ГОСТ 25336.
Пробки лабораторные.
Калий железосинеродистый 3-водный по
ГОСТ 4207.
Спирт этиловый ректификованный из пищевого сырья по
ГОСТ 5962.
Цинк сернокислый 7-водный по
ГОСТ 4174 х.ч., или ч.д.а.
Кислота соляная по
ГОСТ 3118, плотностью 1,19, х.ч.
Натрия гидроокись по
ГОСТ 4328, х.ч. или ч.д.а.
Натрий углекислый безводный или кристаллический по
ГОСТ 83, х.ч. или ч.д.а.
Бура (тетраборат натрия) по
ГОСТ 8429, ч.д.а.
Медь сернокислая 5-водная по
ГОСТ 4165, х.ч. или ч.д.а.
Кислота азотная концентрированная по
ГОСТ 701.
Калий-натрий виннокислый 4-водный (сегнетова соль) по
ГОСТ 5845, х.ч.
Щавелевокислый аммоний 1-водный по
ГОСТ 5712.
Железоаммонийные квасцы х.ч. или ч.д.а.
Натрий серноватистокислый (натрия тиосульфат) 5-водный по
ГОСТ 27068, х.ч. или ч.д.а.
Кислота серная концентрированная по
ГОСТ 4204, х.ч.
Кислота лимонная, моногидрат, безводная по
ГОСТ 3652, х.ч.
Известь натронная, х.ч.
Метиловый красный ч.д.а.
Метиловый оранжевый ч.д.а.
Метиленовый голубой ч.д.а.
Фенолфталеин ч.д.а.
Примечание - Допускается использовать другие средства измерения с метрологическими характеристиками и оборудование с техническими характеристиками, а также реактивы по качеству не ниже указанных аналогов.
8.2 Приготовление индикаторов
8.2.1 Приготовление раствора метилового оранжевого массовой долей 1%
1 г метилового оранжевого растворяют в 99 см3 дистиллированной воды.
Примечание - Интервал pH перехода окраски 3,1 - 4,4.
8.2.2 Приготовление раствора метилового красного массовой долей 0,2%
0,2 г метилового красного растворяют в 60 см3 этилового спирта объемной долей 60% - 90% и доводят дистиллированной водой до 100 см3.
Примечание - Интервал pH перехода окраски 4,4 - 6,2.
8.2.3 Приготовление раствора метиленового голубого массовой долей 1%
1 г метиленового голубого растворяют в 99 см3 дистиллированной воды.
8.2.4 Приготовление раствора фенолфталеина массовой долей 1%
1 г фенолфталеина растворяют в 99 см3 этилового спирта объемной долей 60% - 90%.
Примечание - Интервал pH перехода окраски 8,2 - 10,0.
8.2.5 Приготовление раствора крахмала массовой долей 1%
1 г растворимого крахмала перемешивают с 20 см3 дистиллированной воды и полученный раствор вливают в 80 см3 кипящей дистиллированной воды, при помешивании его палочкой, кипятят 1 мин и охлаждают.
Второй способ приготовления раствора: 1 г растворимого крахмала смешивают вначале с небольшим количеством (около 20 см3) насыщенного раствора хлористого натрия, затем вливают в доведенный до кипения насыщенный раствор соли (примерно 80 см3) с таким расчетом, чтобы общий объем был равен 100 см3, кипятят около 1 мин и охлаждают.
Примечание - Сроки хранения индикаторов при температуре (20 +/- 5) °C - не более одного мес.
8.3 Приготовление растворов кислот
8.3.1 Приготовление растворов серной кислоты
Для приготовления растворов используют концентрированную серную кислоту, плотностью 1,84 г/см3.
Примечание - Плотность кислоты необходимо проверять с помощью ареометра.
8.3.1.1 Для приготовления раствора серной кислоты молярной концентрации 2 моль/дм
3 (4 н) отмеряют мерным цилиндром 111 см
3 концентрированной серной кислоты. Осторожно, небольшими порциями при охлаждении приливают ее в колбу с дистиллированной водой. После охлаждения объем колбы доводят до метки - 1000 см
3.
8.3.1.2 Для приготовления раствора серной кислоты молярной концентрации 0,5 моль/дм
3 (1 н) отмеривают мерным цилиндром 27,8 см
3 концентрированной серной кислоты и разбавляют дистиллированной водой до 1000 см
3, как указано в
8.3.1.1.
8.3.1.3 Для приготовления раствора серной кислоты молярной концентрации 0,05 моль/дм
3 (0,1 н) растворы молярной концентрации 2 моль/дм
3 (4 н) или 0,5 моль/дм
3 (1 н) разбавляют, соответственно, в 40 или 10 раз: 1 объем раствора серной кислоты молярной концентрации 2 моль/дм
3 (4 н) и 39 объемов дистиллированной воды или 1 объем раствора серной кислоты молярной концентрации 0,5 моль/дм
3 (1 н) и 9 объемов дистиллированной воды. Полученный раствор перемешивают и не ранее чем на следующий день устанавливают коэффициент поправки.
Для определения коэффициента поправки взвешивают с записью результата до третьего десятичного знака несколько отдельных навесок по 0,15 - 0,2 г подсушенного при 150 °C безводного углекислого натрия, х.ч. Количественно переносят с помощью дистиллированной воды в коническую колбу вместимостью 250 см
3 так, чтобы объем стал около 25 см
3. Затем добавляют одну - две капли раствора метилового оранжевого (см.
8.2.1) и титруют из бюретки приготовленным раствором кислоты до перехода желтой окраски в оранжево-розовую. Для определения коэффициента поправки можно использовать буру (тетраборат натрия): навеску берут массой около 0,5 г, растворяют и переносят ее в коническую колбу с помощью дистиллированной воды в количестве 30 - 60 см
3. Добиваются полного растворения навески. В качестве индикатора применяют 1% раствор метилового красного (см.
8.2.2). Затем раствор титруют, как и при использовании углекислого натрия.
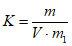
Коэффициент поправки для двух вариантов вычисляют по формуле

, (1)
где K - коэффициент поправки;
V - израсходованный на титрование объем раствора, см3;
m - навеска исходного вещества (безводного углекислого натрия или буры), г;
m1 - масса исходного вещества, соответствующее 1 см3 раствора серной кислоты H2SO4 (0,1 н) (для безводного углекислого натрия m1 = 0,0053 г, для буры m1 = 0,019072), г.
Раствор серной кислоты молярной концентрации 0,05 моль/дм3 (0,1 н) можно готовить из фиксанала; в этом случае коэффициент поправки не устанавливают.
Коэффициент поправки
K раствора серной кислоты молярной концентрации 0,5 моль/дм
3 (1 н) устанавливают так, как указано для раствора молярной концентрации 0,05 моль/дм
3 (0,1 н); при этом количество безводного углекислого натрия и буры берут в 10 раз больше; тогда величина

будет соответственно: для углекислого натрия - 0,053 г, для буры - 0,19072 г.
8.3.1.4 Для приготовления раствора серной кислоты молярной концентрации 0,01 моль/дм3 (0,02 н) пипеткой с грушей отмеривают 0,56 см3 концентрированной серной кислоты и приливают ее к дистиллированной воде, затем объем доводят до 1000 см3.
8.3.1.5 Для приготовления раствора серной кислоты с массовой долей 25% один объем концентрированной серной кислоты смешивают с пятью объемами дистиллированной воды.
8.3.1.6 Для приготовления раствора серной кислоты с массовой долей 10% отмеривают цилиндром 59 см3 концентрированной серной кислоты и приливают к 941 см3 дистиллированной воды.
8.3.1.7 Для приготовления раствора серной кислоты в соотношении 1:2 по объему отмеривают цилиндром необходимый объем концентрированной серной кислоты и осторожно малыми порциями (при охлаждении) приливают к двухкратному объему дистиллированной воды.
Срок хранения растворов при температуре (20 +/- 5) °C - не более одного мес.
8.3.2 Приготовление растворов соляной кислоты
Для приготовления растворов используют концентрированную соляную кислоту, плотностью 1,19 г/см3.
Примечание - Плотность кислоты необходимо проверять с помощью ареометра.
8.3.2.1 Для приготовления раствора соляной кислоты молярной концентрации 1 моль/дм
3 (1 н) отмеривают мерным цилиндром 82,2 см
3 концентрированной соляной кислоты и растворяют ее в дистиллированной воде. Объем доводят до 1000 см
3, тщательно перемешивают и не ранее чем на следующий день устанавливают коэффициент поправки по
8.3.1.3.
8.3.2.2 Для приготовления раствора соляной кислоты молярной концентрации 0,5 моль/дм3 (0,5 н) раствор соляной кислоты молярной концентрации 1 моль/дм3 (1 н) разбавляют водой в соотношении 1:1.
8.3.2.3 Для приготовления раствора соляной кислоты молярной концентрации 0,1 моль/дм
3 (0,1 н) раствор соляной кислоты молярной концентрации 1 моль/дм
3 (1 н) разбавляют дистиллированной водой в соотношении 1:9. Полученный раствор тщательно перемешивают и не ранее чем на следующий день устанавливают коэффициент поправки так, как указано для 0,05 моль/дм
3 (0,1 н) раствора серной кислоты в
8.3.1.3.
Раствор соляной кислоты молярной концентрации 0,1 моль/дм3 (0,1 н) можно готовить из фиксанала без установления коэффициента поправки.
8.3.2.4 Приготовление раствора соляной кислоты для инверсии молярной концентрации 7,3 моль/дм
3
К 80 см3 дистиллированной воды добавляют мерным цилиндром 120 см3 соляной кислоты плотностью 1,19 г/см3 и осторожно перемешивают.
Срок хранения раствора при температуре (20 +/- 5) °C - не более одного мес.
8.3.2.5 Растворы соляной кислоты с массовой долей 20%, 10% и 2% (приблизительно) готовят путем разбавления, соответственно 483, 231 и 45 см3 концентрированной соляной кислоты дистиллированной водой до объема 1000 см3.
Срок хранения растворов при температуре (20 +/- 5) °C - не более одного мес.
8.3.3 Приготовление раствора уксусной кислоты массовой долей 12%
Для приготовления раствора уксусной кислоты используют концентрированную уксусную кислоту, х.ч., по
ГОСТ 61, с массовой долей 98% (ледяную).
8.3.3.1 Раствор уксусной кислоты с массовой долей 12% - 11,6 см3 ледяной уксусной кислоты растворяют в 88 см3 дистиллированной воды.
Срок хранения растворов при температуре (20 +/- 5) °C - не более одного мес.
8.4 Приготовление растворов щелочей
| | ИС МЕГАНОРМ: примечание. В официальном тексте документа, видимо, допущена опечатка: стандарт имеет номер ГОСТ 24363-80, а не ГОСТ 2463. | |
8.4.1 Для приготовления растворов щелочей используют гидроокиси натрия или калия. Исходными реактивами являются гидроокись натрия х.ч. или ч.д.а. по
ГОСТ 4328, или гидроокись калия х.ч. или ч.д.а., по
ГОСТ 2463.
8.4.2 Для приготовления раствора щелочи молярной концентрации 2,5 моль/дм
3 (2,5 н) вначале готовят концентрированный раствор с массовой долей примерно 45%. Для этого в фарфоровой посуде взвешивают на весах 500 - 520 г гидроокись натрия или гидроокись калия, смывают водой верхний слой карбоната. Обмытые гранулы растворяют в 500 см
3 воды, добавляя ее постепенно, при непрерывном помешивании. Остывший концентрированный раствор осторожно сливают в бутыль, которую закрывают пробкой с хлоркальциевой трубкой, наполненной натронной известью. Раствор оставляют для отстаивания на срок не менее двух дней, затем сливают с осадка и замеряют плотность ареометром.
Примечание - Все растворы гидроокиси натрия или калия хранят, защищая их от углекислого газа воздуха при помощи вставленных в пробки хлоркальциевых трубок, заполненных натронной известью. Натронную известь получают при взаимодействии концентрированного раствора гидроокиси натрия со свежепрокаленной негашеной известью (на две весовые части негашеной извести - одна весовая часть гидроокиси натрия) с последующим выпариванием (осторожно) и слабым прокаливанием. После измельчения и просеивания ею заполняют хлоркальциевую трубку.
Из концентрированного раствора путем разбавления дистиллированной водой (свободной от CO2) готовят 2,5 моль/дм3 раствор с массовой долей 10%, плотностью 1,109 г/см3. Для удаления углекислого газа дистиллированную воду кипятят и охлаждают в колбе с закрытой пробкой, в которую вставлена хлоркальциевая трубка, заполненная натронной известью.
Концентрацию раствора (2,5 моль/дм
3) проверяют титрованием соляной или серной кислотой в присутствии 1% раствора фенолфталеина (см.
8.2.4).
На титрование 10 см3 2,5 моль/дм3 (2,5 н) раствора гидроокиси натрия или гидроокиси калия должно пойти 25 см3 раствора соляной кислоты молярной концентрации 1 моль/дм3 (1 н) или раствора серной кислоты молярной концентрации 0,5 моль/дм3 (1 н), 5 моль/дм3 (1 н) раствора серной кислоты. Если кислоты расходуют на титрование больше или меньше, то концентрацию раствора гидроокиси натрия соответственно уменьшают, разбавляя дистиллированной водой, или увеличивают, добавляя раствор гидроокиси натрия с массовой долей 45%.
8.4.3 Раствор щелочи молярной концентрации 1 моль/дм
3 (1 н)
Из концентрированного раствора щелочи путем разбавления водой, освобожденной от CO2, готовят раствор с массовой долей 4% (приблизительно), плотностью 1,043 г/см3.
Коэффициент поправки растворов гидроокиси натрия или гидроокиси калия молярной концентрации 1 моль/дм3 устанавливают по раствору соляной кислоты молярной концентрации 1 моль/дм3 (1 н) или серной кислоты молярной концентрации 0,5 моль/дм3 (1 н), приготовленному из фиксанала (K = 1), или с установленным коэффициентом поправки. В этом случае в 3 - 4 конические колбы отмеривают пипеткой 10 - 20 см3 растворов гидроокиси натрия или гидроокиси калия, добавляют по 3 - 4 капли 1% раствора фенолфталеина и титруют соответствующим раствором соляной или серной кислоты до исчезновения розовой окраски.
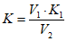
Коэффициент поправки K вычисляют по формуле

, (2)
где V1 - объем раствора кислоты, израсходованной на титрование, 1 см3;
K1 - коэффициент поправки использованного раствора кислоты;
V2 - объем раствора гидроокиси натрия или гидроокиси калия, взятый для титрования, см3.
Приготовленный раствор гидроокиси натрия или калия молярной концентрации 1 моль/дм3 (1 н), используемый для осаждения несахаров в комплексе с раствором сернокислого цинка молярной концентрации 0,5 моль/дм3 (1 н), может содержать некоторое количество углекислого натрия и при этом хорошо выполнять свою функцию. Его можно приготовить непосредственно из сухого реактива: взвешивают 40 - 45 г гидроокиси натрия или 56 - 60 г гидроокиси калия в фарфоровой чашке, смывают небольшим количеством воды без CO2 верхний слой углекислого натрия, обмытые кристаллы растворяют в 100 - 150 см3 воды и после охлаждения разбавляют до объема 1000 см3. Затем устанавливают эквивалентное соотношение этих растворов, как указано в 8.4.4.
8.4.4 Раствор щелочи молярной концентрации 0,1 моль/дм
3 (0,1 н)
Приготовленный раствор гидроокиси натрия молярной концентрации 1 моль/дм3 (1 н) разбавляют в 10 раз дистиллированной водой, освобожденной от CO2. Один объем раствора гидроокиси натрия молярной концентрации 1 моль/дм3 (1 н) и 9 объемов дистиллированной воды смешивают непосредственно в сосуде для хранения раствора, а затем устанавливают коэффициент поправки.
Срок хранения растворов при температуре (20 +/- 5) °C - не более одного мес.
8.4.5 Растворы щелочей с массовой долей 15% и 2%
Взвешивают на весах соответственно 150 и 20 г гидроокиси натрия, осторожно растворяют в небольшом количестве дистиллированной воды, освобожденной от CO2, а затем разбавляют дистиллированной водой до 1000 см3.
Если предварительно приготовлен концентрированный раствор гидроокиси натрия, то его разбавляют дистиллированной водой без CO2 до плотности соответственно 1,164 и 1,021 г/см3.
Срок хранения растворов при температуре (20 +/- 5) °C - не более одного мес.
8.5 Приготовление растворов солей
8.5.1 Приготовление растворов сернокислого цинка
8.5.1.1 Для приготовления раствора сернокислого цинка используют цинк сернокислый 7-водный.
Вначале готовят раствор сернокислого цинка молярной концентрации 0,5 моль/дм3 (1 н), для чего 145 г реактива растворяют в дистиллированной воде в колбе вместимостью 1000 см3, доводят до метки и тщательно перемешивают.
Для применения раствора сернокислого цинка в качестве осадителя несахаров находят соотношение эквивалентных объемов приготовленного раствора и предназначенного к комплексному использованию раствора гидроокиси натрия или калия молярной концентрации 1 моль/дм
3 (1 н) (см.
8.4.3). Для этого отмеривают пипеткой 10 см
3 приготовленного реактива, разбавляют примерно двойным объемом дистиллированной воды, добавляют 3 капли раствора фенолфталеина (см.
8.2.4) и оттитровывают раствором гидроокиси натрия молярной концентрации 1 моль/дм
3 (1 н) (см.
8.4.3) до слабо-розовой окраски. Образующийся в процессе титрования осадок не влияет на титрование.
На этикетках, наклеенных на склянки с растворами, указывают значение полученного соотношения.
8.5.1.2 Растворы с массовой долей 30%, 20% и 10% готовят, растворяя соответственно 300, 200 или 100 г сернокислого цинка в 700, 800 или 900 см3 дистиллированной воды.
Срок хранения растворов при температуре (20 +/- 5) °C - не более одного мес.
8.5.2 Приготовление раствора железосинеродистого 3-водного калия массовой долей 15%
Для приготовления раствора железосинеродистого 3-водного калия с массовой долей 15% 150 г соли растворяют в 850 см3 воды.
Срок хранения раствора при температуре (20 +/- 5) °C - не более одного мес.
8.5.3 Приготовление раствора сернокислой меди
В мерную колбу вместимостью 1000 см3 помещают 70 г сернокислой меди, растворяют в небольшом количестве дистиллированной воды, а затем доводят дистиллированной водой до метки 1000 см3.
Срок хранения раствора в склянке из темного стекла в темном месте при температуре (20 +/- 5) °C - не более трех мес.
8.5.4 Приготовление раствора углекислого натрия массовой долей 15%
Для приготовления раствора углекислого натрия с массовой долей 15% 150 г безводного углекислого натрия или 405 г кристаллогидрата углекислого натрия растворяют соответственно в 850 или 595 см3 воды.
Срок хранения раствора при температуре (20 +/- 5) °C - не более одного мес.
8.5.5 Приготовление раствора бихромата калия молярной концентрации 0,017 моль/дм
3 (0,1 н)
Для приготовления раствора бихромата калия молярной концентрации 0,017 моль/дм3 (0,1 н): 4,903 г перекристаллизованного и высушенного при 150 °C бихромата калия растворяют дистиллированной водой в мерной колбе вместимостью 1000 см3. Перекристаллизацию бихромата калия проводят путем растворения его в кипящей воде до насыщения, затем горячий раствор фильтруют и охлаждают. Выпавшие кристаллы отфильтровывают на стеклянном фильтре, высушивают в течение 2 - 3 ч при 100 - 105 °C в сушильном шкафу, измельчают и досушивают при 150 °C в течение 10 - 12 ч до постоянной массы. Раствор молярной концентрации 0,017 моль/дм3 (0,1 н) бихромата калия можно приготовить из фиксанала.
Срок хранения раствора при температуре (20 +/- 5) °C - не более одного мес.
8.5.6 Приготовление раствора йодистого калия с массовой долей 30%, 20% и 10%
300, 200 или 100 г йодистого калия растворяют соответственно в 700, 800 или 900 см3 дистиллированной воды.
Срок хранения растворов в склянках из темного стекла при температуре (20 +/- 5) °C - не более одного мес.
8.6 Приготовление основных растворов
8.6.1 Приготовление реактива Фелинга
8.6.1.1 Для реактива Фелинга предварительно готовят два раствора, которые хранят отдельно и смешивают равные их объемы перед использованием.
Примечание - Разделение и хранение растворов вызвано тем, что двухвалентная медь способна медленно окислять калий-натрий виннокислый в щелочной среде с выделением осадка закиси меди.
8.6.1.2 Для приготовления раствора Фелинга 1 (по Бертрану) 40 г перекристаллизованной, не содержащей железа, сернокислой меди (II), растворяют в дистиллированной воде в мерной колбе вместимостью 1000 см
3.
Для приготовления перекристаллизованной сернокислой меди (II) соль в количестве 70 г растворяют, при нагревании, в 100 см3 дистиллированной воды. К полученному раствору добавляют 1 - 2 капли концентрированной азотной кислоты на каждые 100 см3 раствора для окисления возможной примеси железа, доводят до кипения и полученный горячий раствор фильтруют через складчатый фильтр или воронку для горячего фильтрования. Фильтрат охлаждают. Для освобождения образовавшихся в фильтрате кристаллов сернокислой меди (II) раствор фильтруют через стеклянный фильтр с помощью водоструйного насоса или сливают декантацией. Кристаллы сернокислой меди (II) отжимают и высушивают между листами фильтровальной бумаги. Раствор количественно переносят в мерную колбу вместимостью 1000 см3 и доводят дистиллированной водой до метки
8.6.1.3 Для приготовления раствора Фелинга 2 (по Бертрану) 200 г калия-натрия виннокислого 4-водного (сегнетовой соли) взвешивают с точностью до 0,01 г, растворяют при слабом нагревании в 300 - 400 м
3 дистиллированной воды, прибавляют 150 г гидроокиси натрия или 200 г гидроокиси калия, растворенного в 300 - 350 см
3 дистиллированной воды в фарфоровом стакане, и охлаждают. Раствор количественно переносят в мерную колбу вместимостью 1000 см
3 и доводят дистиллированной водой до метки.
Срок хранения растворов при температуре (20 +/- 5) °C - не более одного мес.
8.6.2 Приготовление раствора марганцовокислого калия молярной концентрации 0,02 моль/дм
3 (0,1 н)
8.6.2.1 Для приготовления раствора марганцовокислого калия молярной концентрации 0,02 моль/дм3 (0,1 н) 3,16 г марганцовокислого калия растворяют в прокипяченной (для удаления CO2 и O2) горячей дистиллированной воде в мерной колбе вместимостью 1000 см3. Раствор охлаждают до 20 °C и доводят водой до метки. Подготовленный таким образом раствор можно употреблять на следующий день.
Срок хранения раствора в склянке из темного стекла при температуре (20 +/- 5) °C - не более одного мес.
8.6.2.2 Для установления титра раствора марганцовокислого калия на часовом стекле взвешивают 0,140 г перекристаллизованного щавелевокислого аммония, переносят количественно в коническую колбу и растворяют в 100 см3 воды; добавляют в колбу 2 см3 концентрированной серной кислоты, раствор нагревают до 80 °C на водяной бане и титруют из бюретки раствором марганцовокислого калия при постоянном помешивании до появления розовой окраски, не исчезающей в течение 1 мин. Раствор до окончания титрования должен быть горячим.
Титр раствора марганцовокислого калия по меди T в мг/см3 вычисляют по формуле

, (3)
где m - масса навески щавелевокислого аммония, г;
V - количество раствора марганцовокислого калия, пошедшее на титрование, см3;
0,8951 - коэффициент пересчета щавелевокислого аммония на медь;
1000 - пересчет мг в г.
Примечание - Титр раствора марганцовокислого калия устанавливают также по щавелевокислому натрию (предварительно освобожденному от гигроскопической воды путем нагревания при 120 °C) или по свежеперекристаллизированной щавелевой кислоте с соблюдением тех же условий выполнения, что и при использовании щавелевокислого аммония. При вычислении титра, в случае применения оксалата натрия, следует вместо коэффициента 0,8951 в формулу вводить коэффициент 0,9488, а в случае применения щавелевой кислоты - 1,0086. Рекомендуется титр устанавливать по двум реактивам (кислоте и аммонию), добиваясь идентичных результатов.
8.6.3 Приготовление раствора железоаммонийных квасцов
Для приготовления раствора 86 г железоаммонийных квасцов растворяют в фарфоровом стакане в 600 - 700 см3 дистиллированной воды и осторожно добавляют 200 г (108 см3) концентрированной серной кислоты. После охлаждения раствор переносят в мерную колбу на 1000 см3, доводят до метки водой и перемешивают. Приготовленный раствор квасцов не должен содержать соли железа (II); при добавлении к 20 см3 раствора 1 - 2 капель марганцовокислого калия розовая окраска должна сохраняться в течение 1 мин. Если окраска исчезает сразу, раствор квасцов окисляют марганцовокислым калием до появления устойчивой слабо-розовой окраски.
Срок хранения раствора при температуре (20 +/- 5) °C - не более одного мес.
8.6.4 Приготовление щелочного медно-цитратного раствора
Для приготовления щелочного медно-цитратного раствора 25 г сернокислой меди растворяют в 10 см3 дистиллированной воды; 50 г лимонной кислоты растворяют отдельно в 50 см3 дистиллированной воды, 388 г кристаллогидрата углекислого натрия или 143,7 г безводного углекислого натрия также растворяют отдельно в 300 - 500 см3 горячей воды. Раствор лимонной кислоты осторожно вливают небольшими порциями в охлажденный раствор углекислого натрия. После прекращения выделения углекислого газа смесь растворов переносят в мерную колбу вместимостью 1000 см3, вливают в колбу раствор сернокислой меди (II), доводят содержимое колбы дистиллированной водой до метки, перемешивают и при необходимости фильтруют.
Срок хранения раствора при температуре (20 +/- 5) °C - не более одного мес.
8.6.5 Приготовление раствора серноватистокислого (тиосульфата натрия) молярной концентрации 0,1 моль/дм
3 (0,1 н)
(25 +/- 1) г серноватистокислого натрия (тиосульфата натрия) 5-водного взвешивают с точностью до 0,1 г, переносят в мерную колбу вместимостью 1000 см3, растворяют в свежепрокипяченной и охлажденной дистиллированной воде, без доступа углекислоты. Охлаждают воду в колбе с закрытой пробкой, через которую проходит хлоркальциевая трубка, наполненная натронной известью. В колбу с раствором прибавляют 0,2 г безводного углекислого натрия и доводят объем раствора до метки той же водой. Раствор хранят в склянке из темного стекла.
Коэффициент поправки устанавливают через 8 - 15 дней по раствору бихромата калия молярной концентрации 0,017 моль/дм
3 (0,1 н) (см.
8.5.5). Раствор можно приготовить из фиксанала, растворяя содержимое ампулы только что прокипяченной и охлажденной до 20 °C водой. Затем раствор доводят той же водой до метки. В этом случае коэффициент поправки не устанавливают. Раствор серноватистокислого натрия (тиосульфата натрия) рекомендуется готовить в количестве 5 - 10 дм
3.
Срок хранения раствора в склянке из темного стекла при температуре (20 +/- 5) °C - не более одного мес.
Для установления коэффициента поправки раствора серноватистокислого натрия (тиосульфата натрия) молярной концентрации 0,1 моль/дм
3 (0,1 н) в коническую колбу с притертой пробкой или в обычную коническую колбу, закрывающуюся часовым стеклом, из бюретки или пипеткой приливают точно 20 см
3 раствора бихромата калия молярной концентрации 0,017 моль/дм
3 (0,1 н) (см.
8.5.5), доливают дистиллированной водой примерно до 100 см
3, прибавляют при помешивании пипеткой примерно 4 см
3 концентрированной серной кислоты и 4 см
3 раствор йодистого калия с массовой долей 30% (см.
8.5.6). Колбу закрывают пробкой или часовым стеклом и оставляют в темном месте на 2 - 3 мин. Затем содержимое колбы титруют раствором серноватистокислого натрия (тиосульфата натрия) (см.
8.6.5), все время интенсивно перемешивая жидкость, пока коричневый цвет раствора не перейдет в светло-желтый. Далее прибавляют 1 см
3 раствора крахмала с массовой долей 1% (см.
8.2.5) и продолжают титрование до исчезновения синей окраски и появления зеленоватой окраски соединений трехвалентного хрома.
Коэффициент поправки K к раствору молярной концентрации 0,1 моль/дм3 (0,1 н) определяют по формуле

, (4)
где V - объем раствора серноватистокислого натрия (тиосульфата натрия) молярной концентрации 0,1 моль/дм3 (0,1 н), пошедшего на титрование, см3;
20 - объем точно раствора бихромата калия молярной концентрации 0,017 моль/дм3 (0,1 н), взятого для титрования, см3.
8.6.6 Приготовление титрованного раствора железосинеродистого калия массовой долей 1%
Для приготовления раствора 10 г железосинеродистого калия переносят в мерную колбу вместимостью 1000 см3, растворяют в дистиллированной воде и доводят до метки.
Срок хранения раствора при температуре (20 +/- 5) °C - не более одного мес.
Коэффициент поправки устанавливают следующим образом. В коническую колбу вместимостью 250 см
3 с притертой или каучуковой пробкой отбирают пипеткой 50 см
3 раствора железосинеродистого калия с массовой долей 1%, затем прибавляют 20 см
3 раствора сернокислого цинка с массовой долей 10% (см.
8.5.1), не содержащего железа, и 20 см
3 раствора йодистого калия с массовой долей 20% (см.
8.5.6), не содержащего свободного йода. Содержимое взбалтывают в закрытой колбе и тотчас же титруют выделившийся йод раствором серноватистокислого натрия (тиосульфата натрия) молярной концентрации 0,1 моль/дм
3 (0,1 н) (см.
8.6.5) в присутствии 1% раствора растворимого крахмала (см.
8.2.5) в качестве индикатора до его обесцвечивания.
Коэффициент поправки K вычисляют по формуле

, (5)
где V - объем раствора серноватистокислого натрия (тиосульфата натрия) молярной концентрации 0,1 моль/дм3 (0,1 н), пошедшего на титрование выделившегося йода, см3;
0,03291 - количество железосинеродистого калия, соответствующее 1 см3 раствора серноватистокислого натрия (тиосульфата натрия) молярной концентрации 0,1 моль/дм3 (0,1 н), г/см3;
0,5 - масса железосинеродистого калия, содержащегося в 50 см3 раствора с массовой долей 1%, г.
8.7 Приготовление фильтратов из блюд, кулинарных изделий и полуфабрикатов
8.7.1 Приготовление фильтрата из сладких супов
8.7.1.1 Навеску гомогенизированной пробы сладкого супа взвешивают с точностью до 0,01 г из расчета, чтобы в 100 см3 полученного раствора содержалось 0,2 - 0,4 г <1> редуцирующих сахаров.
--------------------------------
<1> Содержание редуцирующих сахаров до инверсии в 100 см3 раствора, приготовленного для титрования, должно быть: для перманганатного метода - 0,3 - 0,4 г, йодометрического - 0,4 г, цианидного - 0,2 - 0,4 г; сахара после инверсии: для перманганатного метода - 0,6 - 0,8 г, йодометрического - 0,8 г, цианидного - 0,4 - 0,8 г.
Массу навески m, г вычисляют по формуле

, (6)
где C - оптимальное (в зависимости от метода) содержание редуцирующих сахаров в 100 см3 раствора навески, г;
V - вместимость мерной колбы, см3;
P - предполагаемая массовая доля редуцирующих сахаров в исследуемом блюде (изделии), %.
8.7.1.2 Навеску гомогенизированного супа сладкого (15 г) берут в химическом стакане вместимостью 100 см
3 и количественно переносят в мерную колбу вместимостью 250 см
3, смывая нерастворимые частицы в колбу теплой дистиллированной водой (50 °C) примерно до половины объема колбы. Колбу встряхивают в течение 3 - 5 мин, затем добавляют по 2 см
3 растворов железосинеродистого 3-водного калия массовой концентрации 150 г/дм
3 (см.
8.5.2) и сернокислого цинка массовой концентрации 300 г/дм
3 (см.
8.5.1) для осаждения несахаров. Содержимое колбы взбалтывают, доводят дистиллированной водой до метки, перемешивают и оставляют на 20 мин для выпадения осадка, а затем фильтруют в сухую колбу.
8.7.2 Приготовление фильтрата из полуфабрикатов/кулинарных изделий из круп, макаронных изделий
Навеску гомогенизированной пробы из полуфабрикатов/кулинарных изделий из круп, макаронных изделий массой 25 - 30 г взвешивают с точностью до 0,01 г в стеклянном стакане вместимостью 100 см3, добавляют 25 - 30 см3 воды, растирают стеклянной палочкой и переносят количественно в мерную колбу вместимостью 250 см3. Стакан ополаскивают несколько раз дистиллированной водой, сливая ее в мерную колбу. Вода должна занимать не более 2/3 объема мерной колбы. Мерную колбу встряхивают в течение 5 мин, затем приливают 10 см3 раствора сернокислого цинка массовой концентрации 150 г/дм3 и 10 см3 раствора гидроокиси натрия массовой концентрации 40 г/дм3, перемешивают, доводят дистиллированной водой до метки и оставляют стоять на 15 мин, после чего фильтруют в сухую колбу.
Примечание - Параллельно с изделием из крупы (макаронных изделий) определяют массовую долю редуцирующих сахаров в молоке, используемом для приготовления изделия, и пересчитывают их на лактозу.
8.7.3 Приготовление фильтрата из полуфабрикатов/кулинарных изделий из творога
Навеску подготовленной гомогенизированной пробы полуфабриката/кулинарного изделия из творога массой 25 г растирают в ступке или химическом стакане с небольшим количеством дистиллированной воды. Полученную суспензию количественно переносят в мерную колбу вместимостью 250 см3, смывая частицы в колбу дистиллированной водой так, чтобы объем воды в колбе не превышал 2/3 ее объема.
Для осаждения несахаров в колбу добавляют 5 см
3 раствора сернокислой меди (см.
8.5.3) и 2 см
3 раствора гидроокиси натрия молярной концентрации 1 моль/дм
3 (см.
8.4). Содержимое колбы перемешивают и настаивают 5 мин. Если жидкость над осадком окажется мутной, в колбу следует добавить несколько капель раствора сернокислой меди (см.
8.5.3). Когда над осадком образуется прозрачный слой жидкости, колбу доливают дистиллированной водой до метки, перемешивают и оставляют на 20 - 30 мин, после чего фильтруют в сухую колбу (первые 25 см
3 фильтрата отбрасывают).
8.7.4 Приготовление фильтрата из сладких желированных блюд
Навеску подготовленной пробы сладких желированных блюд массой (см. таблицу 1) берут в стакан вместимостью 100 см3 с точностью до 0,01 г и количественно переносят 100 - 150 см3 теплой воды (для желе, муссов на желатине, кремов, самбуков температурой 70 °C, для киселей и муссов на манной крупе - 50 °C) в мерную колбу вместимостью 250 см3. Содержимое колбы перемешивают в течение 5 мин.
Таблица 1
Масса навески сладких желированных блюд
Сладкие желированные блюда | Масса навески, г |
Мусс плодово-ягодный, желе молочное, фруктовое | 30 |
Самбук | 15 |
Кисели плодово-ягодные, плодово-ягодные из концентрата, кисель молочный, кремы | 25 |
Для осаждения несахаров в колбу при исследовании плодово-ягодных киселей, желе, муссов добавляют по 2 см
3 раствора железосинеродистого калия 3-водного с массовой долей 15% (см.
8.5.2) и раствора сернокислого цинка с массовой долей 30% (см.
8.5.1). При исследовании молочных киселей, желе, кремов добавляют по 3 см
3 указанных осадителей. Содержимое колбы доводят до метки дистиллированной водой, хорошо перемешивают и оставляют на 20 мин для осаждения осадка. Надосадочная жидкость должна быть прозрачной. Жидкость фильтруют в сухую колбу.
8.7.5 Приготовление фильтрата из молочных супов
Навеску упаренного и гомогенизированного молочного супа массой 15 г переносят в мерную колбу вместимостью 250 см3, смывая остатки дистиллированной водой. Общее количество воды должно быть не более половины объема колбы. Колбу помещают в водяную баню с температурой 60 °C и выдерживают 15 мин, периодически помешивая, затем охлаждают до температуры 20 °C. Для осаждения несахаров в колбу вносят 3 см3 раствора сернокислого цинка массовой концентрации 200 г/дм3 и 1,5 см3 раствора гидроокиси натрия молярной концентрации 2,5 моль/дм3 (2,5 н). Содержимое колбы встряхивают 2 - 3 мин, доводят дистиллированной водой до метки, перемешивают, дают отстояться в течение 3 - 5 мин и фильтруют в сухую колбу.
9. Методы определения сахаров
9.1 Перманганатный метод Бертрана
9.1.1 Сущность метода
Метод основан на способности карбонильных групп редуцирующих сахаров восстанавливать в щелочной среде окись меди (II) до окиси меди (I). Образовавшуюся окись меди (I) окисляют железоаммонийными квасцами до сернокислой меди. При этом железо (III) восстанавливается до железа (II), количество которого определяют титрованием раствором марганцовокислого калия молярной концентрации 0,02 моль/дм
3 (0,1 н) (см.
8.6.2).
Перманганатный метод Бертрана применяют для определения редуцирующих сахаров в полуфабрикатах и кулинарных изделиях, содержащих сахара: в сладких супах, полуфабрикатах и кулинарных изделиях из круп, макаронных изделий, творога, в сладких блюдах и напитках, в т.ч. желированных.
9.1.2 Средства измерений, вспомогательные устройства, оборудование, материалы и реактивы
Баня водяная или песочная с температурой нагрева до 75 °C с погрешностью +/- 1 °C.
Термометр лабораторный с диапазоном измерения 0 - 100 °C с ценой деления 1 °C.
Палочки стеклянные оплавленные с двух концов, длиной 10 - 15 см.
Пипетки стеклянные с одной отметкой 1-2-20, 1-2-25 по
ГОСТ 29169.
Насос водоструйный или насос вакуумный Комовского.
Фильтр стеклянный с пластиной N 4 из пористого стекла, или фильтры со специально обработанным асбестом, или воронки с асбестом и стеклянным шариком (трубки Аллина).
Цилиндры 4-25-2, 4-50-2 и 4-100-2 по
ГОСТ 1770.
Плитка электрическая лабораторная с регулятором температуры.
Часы песочные на 3 мин по ГОСТ 10576.
Чашки фарфоровые выпарительные N 3 по
ГОСТ 9147.
Раствор марганцовокислого калия молярной концентрации 0,02 моль/дм
3 (0,1 н) по
8.6.2.
Раствор железоаммонийных квасцов с массовой долей 1% по
8.6.3.
Примечание - Допускается использовать другие средства измерения с метрологическими характеристиками и оборудование с техническими характеристиками, а также реактивы по качеству не ниже указанных аналогов.
9.1.3 Проведение испытания
В коническую колбу вместимостью 200 - 250 см
3 вносят пипеткой 20 см
3 приготовленного для исследований соответствующего фильтрата по
8.7 (в 20 см
3 раствора должно содержаться не более 100 и не менее 10 мг редуцирующих сахаров), приливают из мерного цилиндра по 20 см
3 раствора Фелинга 1 (см.
8.6.1.2) и раствора Фелинга 2 (см.
8.6.1.3). Смесь осторожно перемешивают, нагревают и кипятят ровно 3 мин с момента образования пузырьков, следя за тем, чтобы кипение не происходило бурно, снимают с огня и дают осадку осесть. Жидкость над осадком должна быть ярко-синей (в случаях обесцвечивания жидкости, что указывает на излишне большую концентрацию сахара в исследуемом растворе, определение следует повторить при большем разведении исследуемого раствора).
По окончании нагревания выпавшему осадку окиси меди дают осесть, затем фильтруют горячую жидкость через фильтрующую воронку со стеклянным фильтром (или специально приготовленным асбестовым фильтром) в колбу для отсасывания, пользуясь водоструйным или вакуумным насосом для отсасывания жидкости, избегая переноса осадка на фильтр.
Как только вся жидкость будет отфильтрована, колбу с осадком и фильтр промывают несколько раз небольшими порциями горячей дистиллированной воды до исчезновения щелочной реакции промывных вод. Осадок окиси меди (I) должен быть все время покрыт жидкостью во избежание соприкосновения его с воздухом и перехода окиси меди (I) в окись меди (II).
Окончив промывание, фильтр вставляют в чистую колбу для отсасывания или оставляют в той же колбе, предварительно освободив и тщательно ополоснув ее от фильтрата и промывных вод. Отмеривают 20 см
3 раствора железоаммонийных квасцов с массовой долей 1% (см.
8.6.3), вносят их в коническую колбу с остатком оксида меди и по растворении переносят на фильтр, отсоединив водоструйный насос или насос Комовского. Дают несколько минут постоять для растворения осадка, а затем медленно фильтруют отсасыванием. Колбу и фильтр несколько раз промывают водой до исчезновения кислой реакции, давая каждый раз жидкости стечь с фильтра. Полученный зеленоватый раствор в колбе для отсасывания титруют раствором марганцовокислого калия молярной концентрации 0,02 моль/дм
3 (0,1 н) (см.
8.6.2) до появления слабо-розового окрашивания, сохраняющегося в течение 1 мин.
Израсходованное на титрование количество раствора марганцовокислого калия, см
3 умножают на его титр по меди (T
KMnO4/Cu) и определяют количество лактозы или инвертного сахара по
таблицам А.1 и
А.2 приложения А.
9.1.4 Обработка результатов
9.1.4.1 Расчет массовых долей лактозы и редуцирующих сахаров
Массовую долю лактозы X1, % (в кулинарных изделиях из круп, макаронных изделиях, молочных напитках) и массовую долю редуцирующих сахаров до инверсии сахарозы X1, % (в сладких блюдах) рассчитывают по формуле

, (7)
где
a1 - масса лактозы (см. приложение А,
таблицу А.1) или масса редуцирующих сахаров (в инвертном сахаре) до гидролиза сахарозы (см. приложение А,
таблицу А.2), мг;
V - объем исследуемого раствора фильтрата, приготовленного из навески, см
3 по
8.7;
20 - объем исследуемого раствора фильтрата, взятый для определения сахаров, см
3 по
8.7;
m - масса навески изделия, блюда, г;
1000 - пересчет мг в г;
100 - пересчет в %.
Вычисления проводят до второго десятичного знака.
За окончательный результат, округленный до первого десятичного знака, принимают среднее арифметическое значение двух результатов измерений, выполненных в условиях повторяемости, если соблюдается условие приемлемости по
11.1.
Массовую долю общего сахара X2, % в сладких блюдах, напитках и кулинарных изделиях после инверсии дисахаридов (сахарозы) определяют по формуле

, (8)
где
a2 - масса общего сахара после гидролиза дисахаридов (сахарозы), выраженная в инвертном сахаре, мг (см. приложение А,
таблицу А.2);
V - объем исследуемого раствора фильтрата, приготовленного из навески, см
3 по
8.7;
V1 - объем исследуемого раствора, взятый для инверсии сахарозы, см3;
V2 - вместимость мерной колбы, в которой проводилась инверсия, см3;
20 - объем исследуемого раствора фильтрата, взятый для определения сахаров, см3;
m - масса навески изделия, блюда, г;
1000 - пересчет мг в г;
100 - пересчет в %.
Вычисления проводят до второго десятичного.
За окончательный результат, округленный до первого десятичного знака, принимают среднее арифметическое значение двух результатов измерений, выполненных в условиях повторяемости, если соблюдается условие приемлемости по
11.1.
9.1.4.2 Расчет массовой доли сахарозы
Массовую долю сахарозы S, % в сладких супах и блюдах рассчитывают по разности значений массовой доли общего сахара после гидролиза дисахаридов (сахарозы) X2 и массовой доли редуцирующих сахаров до гидролиза дисахаридов (сахарозы) X1, а в полуфабрикатах и кулинарных изделиях из круп по разности значений массовой доли общего сахара после гидролиза дисахаридов (сахарозы) X2 и массовой доли лактозы X1 по формуле
где X1 - значение массовой доли редуцирующих сахаров до гидролиза дисахаридов или массовой доли лактозы, %;
X2 - значение массовой доли общего сахара после гидролиза дисахаридов, %;
0,95 - коэффициент пересчета инвертного сахара на сахарозу.
Вычисления проводят до второго десятичного знака с последующим округлением до первого десятичного знака.
9.1.4.3 При необходимости представления результатов измерений содержаний лактозы, редуцирующих сахаров, общего сахара и сахарозы по
формуле (9) в граммах на порцию блюда (изделия) в числителе
формул (7) и
(8) множитель 100 заменяют на значение массы исследуемой порции блюда (изделия) в граммах.
9.2.1 Сущность метода
Метод основан на способности редуцирующих сахаров восстанавливать в щелочном растворе железосинеродистый калий (III) в железосинеродистый калий 3-водный (II).
Цианидный метод применяют для определения количества муки и манной крупы в творожных изделиях, сахарозы в сладких блюдах и напитках, лактозы в молочных полуфабрикатах, блюдах и изделиях.
9.2.2 Средства измерений, вспомогательные устройства, материалы и реактивы
Бюретки 1-1(2)-1-25-0,05, 1-1(2)-1-50-0,1 по
ГОСТ 29251.
Пипетки стеклянные с одной отметкой 1-2-5, 2-2-5, 1-2-10, 2-2-10, 1-2-25, 2-2-25 по
ГОСТ 29169.
Часы песочные на 1, 3 мин по ГОСТ 10576.
Плитка электрическая лабораторная с регулятором температуры.
Раствор железосинеродистого калия с массовой долей 1% по
8.6.6.
Метиленовый голубой по
8.2.3.
Раствор гидроокиси натрия молярной концентрации 2,5 моль/дм
3 (2,5 н) по
8.4.2.
9.2.3 Проведение испытания
9.2.3.1 Проводят ориентировочное титрование. Бюретку для горячего титрования заполняют соответствующим фильтратом по
8.7. В коническую колбу вместимостью 100 см
3 вносят 20 см
3 раствора железосинеродистого (III) калия <1> массовой долей 1% (см.
8.6.6) и 5 мл гидроокиси натрия молярной концентрации 2,5 моль/дм
3 (2,5 н) (см.
8.4.2), одну каплю раствора метиленового голубого массовой долей 1% (см.
8.2.3) и доводят до кипения.
--------------------------------
<1> 20 см3 используют при массовой доле сахара в испытуемом растворе от 0,25% и выше. При массовой доле сахара в растворе менее 0,25% берут 10 см3 раствора железосинеродистого (III) калия с массовой долей 1% и 2,5 см3 раствора гидроокиси натрия молярной концентрации 2,5 моль/дм3 (2,5 н).
К слабокипящему раствору приливают из бюретки по каплям (одна капля в сек) соответствующий фильтрат по
8.7 до первых признаков исчезновения синей окраски, которая при кипении раствора исчезает в течение 3 сек. Появление фиолетовой окраски после остывания раствора во внимание не принимается.
9.2.3.2 Проводят контрольное титрование. В коническую колбу вместимостью 100 см
3 вносят пипеткой 20 или 10 см
3 раствора железосинеродистого (III) калия с массовой долей 1% (см.
8.6.6) и соответственно 5 или 2,5 см
3 раствора гидроокиси натрия молярной концентрации 2,5 моль/дм
3 (2,5 н) (см.
8.4.2), одну каплю раствора метиленового голубого с массовой долей 1% (см.
8.2.3) и из бюретки приливают соответствующий фильтрат по
8.7 на 0,3 - 0,5 см
3 меньше, чем пошло на ориентировочное титрование. Смесь нагревают до кипения в течение 1 - 1,5 мин и кипятят точно 1 мин при слабом нагреве, затем кипящую жидкость осторожно дотитровывают из бюретки соответствующим фильтратом по
8.7 до исчезновения синей и появления желтой окраски. Продолжительность кипения не должна превышать 3 мин. По бюретке определяют общий объем соответствующего фильтрата по
8.7, пошедшее на титрование. Наиболее точные результаты получаются, когда на титрование используют 5 - 6 см
3 соответствующего фильтрата по
8.7.
9.2.4 Обработка результатов
9.2.4.1 Расчет массовой доли редуцирующих сахаров
Расчет массовой доли редуцирующих сахаров до инверсии сахарозы X1
Массовую долю редуцирующих сахаров до инверсии сахарозы X1, % в зависимости от взятого объема раствора железосинеродистого калия массовой долей 1% вычисляют
при объеме раствора железосинеродистого калия 20 см3 по формуле

, (10)
при объеме раствора железосинеродистого калия 10 см3 по формуле

, (11)
где V - объем раствора редуцирующих сахаров, использованный на восстановление 20 или 10 см3 раствора железосинеродистого калия с массовой долей 1% при контрольном титровании, см3;
(20,12 + 0,035·V) и (10,06 + 0,0175·V) - масса сахара в пробе продукта до инверсии, мг;
K - коэффициент поправки на раствор железосинеродистого калия массовой долей 1%; определяемый по
формуле (5);
m - масса навески (изделия, блюда) г;
V1 - объем исследуемого раствора фильтрата, приготовленного из навески, см
3 по
8.7;
100 - пересчет в %;
1000 - коэффициент пересчета мг в г.
Вычисления проводят до второго десятичного знака.
9.2.4.2 Расчет массовой доли редуцирующих сахаров после инверсии сахарозы
Массовую долю редуцирующих сахаров после инверсии сахарозы X2, % в зависимости от взятого объема раствора железосинеродистого калия массовой долей 1% вычисляют
при объеме раствора железосинеродистого калия 20 см3 по формуле

, (12)
при объеме раствора железосинеродистого калия 10 см3 по формуле

, (13)
где V - объем раствора редуцирующих сахаров, использованный на восстановление 20 или 10 см3 раствора железосинеродистого калия с массовой долей 1% при контрольном титровании, см3;
(20,12 + 0,035 V) и (10,06 + 0,0175 V) - масса сахара в пробе продукта после инверсии, мг;
K - коэффициент поправки на раствор железосинеродистого калия с массовой долей 1%;
V2 - вместимость мерной колбы, в которой проводилась инверсия сахарозы (дисахаридов), см3;
V3 - объем раствора, взятый для инверсии, см3.
m - масса навески изделия, блюда, г;
100 - пересчет в %;
1000 - пересчет мг в г.
Вычисления проводят до второго десятичного знака.
За окончательный результат, округленный до первого десятичного знака, принимают среднее арифметическое значение двух результатов измерений, выполненных в условиях повторяемости, если соблюдается условие приемлемости по
11.1.
9.2.4.3 Расчет массовой доли сахарозы
S, % проводят по
формуле (9).
9.2.4.4 При необходимости представления результатов измерений содержаний редуцирующих сахаров до и после инверсии сахарозы и сахарозы по
формуле (9) в граммах на порцию блюда (изделия) в числителе
формул (10) -
(13) множитель 100 заменяют на значение массы анализируемой порции блюда (изделия) в граммах.
9.3 Ускоренный цианидный метод
9.3.1 Сущность метода
Метод основан на способности редуцирующих сахаров восстанавливать в щелочном растворе железосинеродистый калий (III) в железосинеродистый калий 3-водный (II).
Ускоренный цианидный метод применяют для определения содержания лактозы в молочных супах, напитках с молоком, полуфабрикатах и кулинарных изделиях с молоком.
9.3.2 Средства измерений, вспомогательные устройства, материалы и реактивы
Средства измерений, вспомогательные устройства, оборудование, посуда, инструменты, материалы и реактивы - по
9.2.2 за исключением раствора метиленового голубого, а также раствора сернокислого цинка массовой концентрации 200 г/дм
3.
9.3.3 Проведение испытания
Фильтрат, полученный после осаждения несахаров в пробах молочного супа, напитков с молоком, наливают в количестве 10 - 15 см3 в бюретку для горячего титрования, споласкивают бюретку и сливают его. После этого бюретку вновь заполняют фильтратом.
Ориентировочное титрование. Бюретку вместимостью 25 см
3 заполняют испытуемым раствором фильтрата, предварительно ополоснув ее тем же раствором. В коническую колбу вместимостью 100 см
3 вносят 10 см
3 раствора железосинеродистого калия с массовой долей 1% (см.
8.6.6), 2,5 см
3 раствора гидроокиси натрия молярной концентрации 2,5 моль/дм
3 (см.
8.4.2). Колбу помещают на плитку с асбестовой сеткой, нагревают до кипения и добавляют 2 см
3 раствора сернокислого цинка массовой концентрации 200 г/дм
3 (см.
8.5.1).
К слабокипящей смеси осторожно приливают из бюретки по каплям испытуемый раствор до полного обесцвечивания (переход окраски из желтой в бесцветную). Общая продолжительность кипения не должна превышать 3 мин.
Контрольное титрование. В коническую колбу вносят 10 см
3 раствора железосинеродистого калия с массовой долей 1% (см.
8.6.6), 2,5 см
3 раствора гидроокиси натрия молярной концентрации 2,5 моль/дм
3 (2,5) (см.
8.4.1) и вливают из бюретки испытуемый фильтрат в количестве на 0,2 - 0,3 см
3 меньше, чем было израсходовано при ориентировочном титровании. Колбу нагревают до кипения в течение 1 мин, кипятят 1 мин, вливают 2 см
3 раствора сернокислого цинка массовой концентрации 200 г/дм
3 (см.
8.5.1) и, не прекращая кипячения, дотитровывают испытуемым фильтратом до обесцвечивания раствора.
9.3.4 Обработка результатов
9.3.4.1 Массовую долю лактозы в молочных супах и напитках, полуфабрикатах и кулинарных изделиях с молоком X, % рассчитывают по формуле

, (14)
где 0,012 - масса (объем) лактозы, необходимая для восстановления 10 см3 раствора железосинеродистого калия массовой долей 1%, г или см3;
V - вместимость мерной колбы, в которой приготовлен исследуемый фильтрат по
8.7, см
3;
K - коэффициент поправки на объем осадка белка и жира для молочных полуфабрикатов, кулинарных изделий и блюд: для супов - 0,985; для каш, пудингов, запеканок - 0,974; для напитков - 0,996;
V1 - объем фильтрата, пошедший на титрование раствора железосинеродистого калия с массовой долей 1% (находят умножением объема испытуемого раствора фильтрата на коэффициент поправки к титру раствора железосинеродистого калия с массовой долей 1%, определяемому по
формуле (5);
m - масса навески блюда, г, или объем напитка, см3;
100 - пересчет в %.
Вычисления проводят до второго десятичного знака.
За окончательный результат, округленный до первого десятичного знака, принимают среднее арифметическое значение двух результатов измерений, выполненных в условиях повторяемости, если соблюдается условие приемлемости по
11.1.
Массовую долю лактозы в контрольном образце X, % рассчитывают по формуле

, (15)
где 0,012 - масса лактозы, необходимая для восстановления 10 см3 раствора железосинеродистого калия массовой долей 1%, г;
V - вместимость мерной колбы, в которой приготовлен фильтрат контрольного образца, см3;
V1 - объем фильтрата, пошедший на титрование раствора железосинеродистого калия с массовой долей точно 1% (находят умножением объема испытуемого раствора на коэффициент поправки к титру раствора железосинеродистого калия с массовой долей 1%, определяемому по
формуле (5), см
3;
m - масса навески, г;
100 - пересчета в %.
Вычисления проводят до второго десятичного знака.
За окончательный результат, округленный до первого десятичного знака, принимают среднее арифметическое значение двух результатов измерений, выполненных в условиях повторяемости, если соблюдается условие приемлемости по
11.1.
9.3.4.2 Массовую долю лактозы в молочных полуфабрикатах, блюдах, супах, напитках X, % рассчитывают по формуле

, (16)
где 0,012 - масса лактозы, необходимая для восстановления 10 см3 раствора железосинеродистого калия массовой долей 1%, г;
V - вместимость мерной колбы, в которой приготовлен фильтрат контрольного образца, см3;
V1 - объем фильтрата, пошедший на титрование раствора железосинеродистого калия с массовой долей точно 1% (находят умножением объема испытуемого раствора на поправочный коэффициент K к титру раствора железосинеродистого калия с массовой долей 1%);
m - масса навески, г;
100 - пересчет в %;
K = 0,996.
Вычисления проводят до второго десятичного знака.
За окончательный результат, округленный до первого десятичного знака, принимают среднее арифметическое значение двух результатов измерений, выполненных в условиях повторяемости, если соблюдается условие приемлемости по
11.1.
9.3.4.3 При необходимости представления результатов измерений содержаний лактозы в граммах, на порцию блюда (изделия) в числителе
формул (14) -
(16) множитель 100 заменяют на значение массы анализируемой порции блюда (изделия) в граммах.
9.4 Йодометрический метод
9.4.1 Сущность метода
Метод основан на восстановлении щелочного раствора меди некоторым количеством раствора редуцирующих сахаров и определении количества образовавшегося окиси меди (I) или не восстановившейся меди йодометрическим способом. В качестве щелочного раствора меди используют медно-цитратный раствор (см.
8.6.4). При отсутствии лимонной кислоты, входящей в данный раствор, используют растворы Фелинга 1 и 2 (см.
8.6.1.2 и
8.6.1.3). Для пересчета количества серноватистокислого натрия (тиосульфата натрия), см
3 в мг сахарозы используют соответственно
таблицы Б.1 и
Б.2 приложения Б.
Йодометрический метод применяют для определения сахара в творожных полуфабрикатах, блюдах и изделиях.
9.4.2 Средства измерений, вспомогательные устройства, материалы и реактивы
Плитка электрическая.
Сетка асбестовая.
Часы песочные на 2, 3 и 10 мин.
Холодильник шариковый или воздушный с длиной трубки не менее 1 м.
Бюретки вместимостью 1-3-2-25-01, 1-3-2-50-01 по
ГОСТ 29251.
Цилиндры мерные вместимостью 2-10-1, 2-25-1, 2-100-1 по
ГОСТ 1770.
Раствор калия йодистого с массовой долей 30% по
п. 8.5.6.
Раствор кислоты серной плотностью 1,84 г/см
3 молярной концентрации 2 моль/дм
3 (4 н), раствор с массовой долей 25% по
8.3.1.1.
Раствор натрия серноватистокислого (тиосульфата натрия) молярной концентрации 0,1 моль/дм
3 (0,1 н) по
8.6.5.
Раствор крахмала растворимого массовой долей 1% по
8.2.5.
Щелочной медно-цитратный раствор по
8.6.4.
Примечание - Допускается использовать другие средства измерения с метрологическими характеристиками и оборудование с техническими характеристиками, а также реактивы по качеству не ниже указанных аналогов.
9.4.3 Проведение испытания
В коническую колбу вместимостью 250 см
3 вносят пипетками 25 см
3 щелочного медно-цитратного раствора (по
8.6.4), 10 см
3 подготовленного соответствующего фильтрата (по
8.7), 15 см
3 дистиллированной воды и вносят в колбу для равномерного кипения кусочек пемзы или 2 - 3 кусочка керамики. Колбу присоединяют к обратному холодильнику. Раствор в течение 3 - 4 мин доводят до кипения, кипятят точно 10 мин и быстро охлаждают, погружая колбу в холодную проточную воду. В оставшуюся жидкость пипеткой добавляют последовательно 10 см
3 раствора йодистого калия (см.
8.5.6) и 25 см
3 раствора серной кислоты молярной концентрации 2 моль/дм
3 (4 н) (по
8.3.1.1) цилиндром. Серную кислоту доливают осторожно по внутренним стенкам колбы, постоянно взбалтывая жидкость во избежание выбрасывания ее из колбы за счет выделившегося углекислого газа. После этого сразу же титруют выделившийся йод раствором серноватистокислого натрия (тиосульфата натрия) молярной концентрации 0,1 моль/дм
3 (0,1 н) по
8.6.5 до светло-желтой жидкости. Затем приливают 2 - 3 см
3 раствора растворимого крахмала (по
8.2.5) и осторожно дотитровывают окрасившуюся в грязно-синий цвет жидкость до появления окраски молочного цвета, приливая в конце титрования по капле раствор серноватистокислого натрия (тиосульфата натрия) (по
8.6.5).
Контрольный опыт проводят в тех же условиях, для чего берут 25 см
3 щелочного медно-цитратного раствора (по
8.6.4) и 25 см
3 дистиллированной воды.
Разность между объемом раствора серноватистокислого натрия (тиосульфата натрия), полученная при контрольном опыте и при определении, умноженная на коэффициент поправки, соответствует количеству меди, восстановленному редуцирующими веществами, выраженному в см
3 точно раствора серноватистокислого натрия (тиосульфата натрия), молярной концентрации 0,1 моль/дм
3 (0,1 н) (см.
8.6.5), по которому определяют количество мг инвертного сахара во взятых 10 см
3 раствора навески испытуемого изделия (см.
таблица Б.1, приложение Б).
При использовании растворов Фелинга 1 и 2 в коническую колбу вместимостью 200 - 300 см
3 отмеривают 10 см
3 соответствующего фильтрата (см.
8.7), добавляют по 10 см
3 растворов Фелинга 1 и 2 (см.
8.6.1.2 и
8.6.1.3), доводят в течение 3 мин до кипения, кипятят ровно 2 мин, быстро охлаждают проточной водой до комнатной температуры, прибавляют 10 см
3 раствора йодистого калия (см.
8.5.6), 10 см
3 раствора серной кислоты массовой долей 25% (см.
8.3.1.5) и немедленно титруют раствором серноватистокислого натрия (тиосульфата натрия) молярной концентрации 0,1 моль/дм
3 (см.
8.6.5) до светло-желтого окрашивания. Затем добавляют 2 см
3 раствора растворимого крахмала (см.
8.2.5) и продолжают титрование до исчезновения синей окраски. Контрольный опыт проводят в тех же условиях, заменив испытуемый раствор 10 см
3 дистиллированной воды.
Разность между величинами, полученными при контрольном опыте и при определении сахара в испытуемом растворе, умноженная на поправку к титру, соответствует количеству восстановленной меди, выраженному в см3 точно 0,1 моль/дм3 раствора серноватистокислого натрия (тиосульфата натрия).
По количеству серноватистокислого натрия (тиосульфата натрия), см
3 определяют массу инвертного сахара, мг во взятых 10 см
3 фильтрата (см.
таблица Б.2, приложение Б).
9.4.4 Обработка результатов
9.4.4.1 Массовую долю редуцирующих сахаров до инверсии X, %, выраженную в инвертном сахаре, рассчитывают по формуле

, (17)
где
a - масса инвертного сахара, найденная по
таблицам Б.1 или
Б.2 приложения Б, мг;
V - объем исследуемого раствора фильтрата, приготовленного из навески, см3;
m - масса навески (блюда, изделия), г;
10 - объем испытуемого раствора фильтрата, взятый для анализа, см3;
1000 - коэффициент пересчета мг инвертного сахара в г;
100 - пересчет в %.
Вычисления проводят до второго десятичного знака.
Если количество сахара выражают в г на порцию, то в формулу вместо числа 100 в числителе подставляют массу блюда или изделия в г.
Вычисления проводят до второго десятичного знака.
За окончательный результат, округленный до первого десятичного знака, принимают среднее арифметическое значение двух результатов измерений, выполненных в условиях повторяемости, если соблюдается условие приемлемости по
11.1.
9.4.4.2 Массовую долю общего сахара после инверсии X1, %, выраженную в инвертном сахаре, рассчитывают по формуле

, (18)
где
a1 - масса инвертного сахара, найденная по
таблицам Б.1 или
Б.2 приложения Б, мг;
V - объем исследуемого раствора фильтрата, приготовленного из навески, см3;
V1 - вместимость мерной колбы, в которой проводилась инверсия, см3;
V2 - объем испытуемого раствора, взятый для инверсии, см3;
m1 - масса навески изделия (блюда), г;
10 - объем испытуемого раствора фильтрата, взятый для анализа, см3;
1000 - коэффициент пересчета мг инвертного сахара в г;
100 - пересчет в %.
Вычисления проводят до второго десятичного знака.
Массовую долю общего сахара, выраженного в сахарозе, получают в результате умножения установленного значения массовой доли общего сахара, выраженного в инвертном сахаре и рассчитанного по
формуле (18), на 0,95 - коэффициент пересчета инвертного сахара на сахарозу.
За окончательный результат, округленный до первого десятичного знака, принимают среднее арифметическое значение двух результатов измерений, выполненных в условиях повторяемости, если соблюдается условие приемлемости по
11.1.
9.4.4.3 Массовую долю сахарозы в сладких супах и блюдах X2, % рассчитывают по формуле
X2 = 0,95 (X1 - X), (19)
где X - массовая доля редуцирующих сахаров до инверсии, %;
X1 - массовая доля общего сахара после инверсии, %;
0,95 - коэффициент пересчета инвертного сахара на сахарозу.
Вычисления проводят до второго десятичного знака.
9.4.4.4 При необходимости представления результатов измерений сахаров в граммах на порцию блюда (изделия) в числителе
формулы (17) и
(18) множитель 100 заменяют на значение массы анализируемой порции блюда (изделия) в граммах.
10. Применение методов определения сахара для конкретных полуфабрикатов, блюд и кулинарных изделий
Таблица 2
Применение методов определения сахара для продукции
общественного питания конкретных видов и групп
(полуфабрикатов, блюд и кулинарных изделий)
Наименование полуфабрикатов, блюд и кулинарных изделий | Редуцирующие сахара до инверсии | Общий сахар (после инверсии) | Фактическое количество сахарозы в блюде (изделии) | Применяемые методы определения сахаров |
Сладкие супы | + | + | - | Перманганатный метод Бертрана. Цианидный метод |
Молочные супы (лактоза) | + | - | - | Цианидный метод. Ускоренный цианидный метод |
Муссы на основе манной крупы | - | + | - | Перманганатный метод Бертрана. Цианидный |
Полуфабрикаты и кулинарные изделия из творога | + | + | + | Цианидный метод. Йодометрический метод |
Полуфабрикаты и кулинарные изделия из круп, макаронных изделий без молока | + | + | + | Перманганатный метод Бертрана. Цианидный метод. Йодометрический метод |
Полуфабрикаты и кулинарные изделия из круп с молоком (лактоза) | + | - | - | Перманганатный метод Бертрана. Ускоренный цианидный метод |
Желированные сладкие блюда (желе, кисели и др.) | + | + | + | Перманганатный метод Бертрана. Цианидный метод |
Молочные кисели, желе (лактоза) | + | - | - | Перманганатный метод Бертрана. Цианидный метод |
10.1 Определение сахара в сладких супах
10.1.1 Средства измерений, вспомогательные устройства и реактивы
Баня водяная или песочная.
Раствор соляной кислоты плотностью 1,19 с массовой долей 20% по
8.3.2.4.
Раствор гидроокиси натрия массовой концентрации 100 г/дм
3 по
8.4.4.
Водно-спиртовой раствор метилового красного с массовой долей 0,2% по
8.2.2.
10.1.2 Проведение испытания
10.1.2.1 В фильтрате (см.
8.7.1) определяют массовую долю редуцирующих сахаров перманганатным методом Бертрана (см.
9.1) или цианидным методом (см.
9.2).
10.1.2.2 Для определения общего сахара в фильтрате (см.
8.7.1) проводят инверсию сахарозы: для этого в мерную колбу вместимостью 100 см
3 вносят пипеткой 50 см
3 полученного фильтрата, 5 см
3 раствора соляной кислоты плотностью 1,19, с массовой долей 20% (см.
8.3.2.4) и помещают колбу на 8 мин в водяную баню, нагретую до 70 °C. Затем колбу быстро охлаждают до температуры 20 °C и нейтрализуют соляную кислоту раствором гидроокиси натрия с массовой долей 10% в присутствии водно-спиртового раствора метилового красного с массовой долей 0,2% (см.
8.2.2) до появления желто-розового окрашивания, доводят водой до метки, перемешивают.
В полученном растворе определяют общий сахар перманганатным методом Бертрана (см.
9.1) или цианидным методом (см.
9.2).
10.2 Определение сахара в полуфабрикатах/кулинарных изделиях из круп и макаронных изделий
10.2.1 Средства измерений, вспомогательные устройства, посуда, материалы и реактивы
Термометр лабораторный с диапазоном измерения 0 - 100 °C с ценой деления 1 °C.
Раствор сернокислого цинка массовой концентрации 150 г/дм
3 по
8.5.1.
Раствор гидроокиси натрия массовой концентрации 40 г/дм
3 и 100 г/дм
3 по
8.4.3.
Водно-спиртовой раствор метилового красного массовой концентрации 2 г/дм
3 по
8.2.2.
Раствор соляной кислоты с массовой долей 20% по
8.5.2.
10.2.2 Проведение испытания
| | ИС МЕГАНОРМ: примечание. В официальном тексте документа, видимо, допущена опечатка: имеется в виду пункт 8.7.2. | |
10.2.2.1 В фильтрате (см.
9.7.2) определяют содержание редуцирующих сахаров до инверсии перманганатным методом Бертрана (см.
9.1) или цианидным методом (см.
9.2) или йодометрическим методом (см.
9.4).
Параллельно с изделием из крупы определяют массовую долю редуцирующих сахаров в молоке, используемом для приготовления изделия, и пересчитывают их на лактозу.
10.2.2.2 Для определения общего сахара проводят инверсию сахарозы.
Для определения сахаров после инверсии сахарозы 50 см
3 фильтрата пипеткой переносят в мерную колбу вместимостью 100 см
3, приливают 5 см
3 раствора соляной кислоты молярной концентрации 7,3 моль/дм
3, помещают в колбу термометр и ставят ее в водяную баню, нагретую до температуры 80 °C, доводят температуру раствора в течение 2 - 3 мин до 67 - 70 °C и при этой температуре выдерживают раствор точно 8 мин. Затем, охладив раствор до 20 °C, удаляют термометр, предварительно ополоснув его дистиллированной водой, нейтрализуют соляную кислоту раствором гидроокиси натрия с массовой долей 20% (см.
8.4.4) до получения желтого окрашивания по метиловому оранжевому (см.
8.2.1), доводят объем до метки дистиллированной водой, перемешивают. В полученном растворе определяют общий сахар после инверсии сахарозы перманганатным способом по Бертрану (см.
9.1) или цианидным методом (см.
9.2).
10.3 Определение сахара в полуфабрикатах/кулинарных изделиях из творога
10.3.1 Средства измерений, вспомогательные устройства, посуда, материалы и реактивы
Баня водяная.
Пипетка стеклянная с одним делением 1-2-25 по
ГОСТ 29169.
Колба коническая вместимостью 100, 250 см
3 по
ГОСТ 1770.
Пробки лабораторные.
Термометр лабораторный с диапазоном измерения 0 °C - 100 °C с ценой деления 1 °C.
Раствор соляной кислоты плотностью 1,19 молярной концентрации 7,3 моль/дм
3 по
8.3.2.4
Раствор метилового оранжевого с массовой долей 0,1% по
8.2.1.
Раствор гидроокиси натрия молярной концентрации 1 моль/дм3 (1 н).
Примечание - Допускается использовать другие средства измерения с метрологическими характеристиками и оборудование с техническими характеристиками, а также реактивы по качеству не ниже указанных аналогов.
10.3.2 Проведение испытания
10.3.2.1 В фильтрате (по
8.7.3) определяют содержание редуцирующих сахаров до инверсии йодометрическим методом (см.
9.4) или цианидным методом (см.
9.2).
10.3.2.2 Для определения сахарозы проводят ее гидролиз. Для этого 25 см
3 фильтрата пипеткой переносят в коническую колбу вместимостью 250 см
3, закрывают ее пробкой с пропущенным через нее термометром так, чтобы ртутный резервуар находился в жидкости, и нагревают на водяной бане до температуры (65 +/- 3) °C. Приоткрыв пробку, в колбу приливают 2,5 см
3 раствора соляной кислоты, перемешивают и выдерживают на бане 10 мин при температуре (68 +/- 2) °C. Затем колбу быстро охлаждают до (20 +/- 2) °C, содержимое переносят количественно в мерную колбу на 100 см
3, добавляют одну каплю метилового оранжевого (см.
8.2.1) и нейтрализуют гидроокисью натрия до слабокислой реакции. Содержимое мерной колбы доводят дистиллированной водой до метки. В полученном растворе йодометрическим методом (см.
9.4) или цианидным методом (см.
9.2) определяют массовую долю редуцирующих сахаров после инверсии сахарозы.
10.4 Определение сахара в сладких желированных блюдах
10.4.1 Проведение испытания
10.4.1.1 В фильтрате (см.
8.7.4) определяют редуцирующие сахара до инверсии перманганатным методом по Бертрану по
9.1 или цианидным методом по
9.2.
10.4.1.2 Для определения общего сахара в фильтрате (см.
8.7.4) проводят инверсию сахарозы по
10.2.2.2.
10.5 Определение массовой доли лактозы в молочных супах
10.5.1 Проведение испытания
В фильтрате из молочного супа (см.
8.7.5) определяют содержание редуцирующих сахаров (лактозы) до инверсии цианидным методом (см.
9.2) или ускоренным цианидным методом (см.
9.3).
10.6 Оформление результатов
Результаты измерений регистрируют в протоколе испытаний, при этом протокол испытаний должен содержать ссылку на настоящий стандарт с указанием метода.
Окончательный результат определений массовой доли сахаров X, % представляют в виде:

, при
P = 0,95
где
Xср - среднее арифметическое значение результатов измерений, признанных приемлемыми по
11.1, %;

- значение границ абсолютной погрешности измерений массовой доли сахаров, приведенное в
таблице 3, %.
Метрологические характеристики методов определения массовой доли сахаров в продукции общественного питания приведены в таблице 3.
Таблица 3
Метрологические характеристики методов определения массовой
доли сахаров в продукции общественного питания
Метод измерений | Предел повторяемости r, %, P = 0,95 | Предел воспроизводимости R, %, P = 0,95 | Границы абсолютной погрешности  , %, P = 0,95 |
Перманганатный метод Бертрана | 0,5 | 1,0 | 0,7 |
Цианидный метод | 0,5 | 1,0 | 0,7 |
Ускоренный цианидный метод | 0,5 | 1,0 | 0,7 |
Йодометрический метод | 0,5 | 1,0 | 0,7 |
11. Контроль точности результатов
11.1 Проверка приемлемости результатов измерений, полученных в условиях повторяемости
Проверку приемлемости результатов измерений массовой доли сахара в анализируемых пробах, полученных в условиях повторяемости два параллельных определения, (
n = 2) проводят с учетом положений ГОСТ Р ИСО 5725-6
(пункт 5.2.2). Результаты измерений считаются приемлемыми при условии
|X1 - X2| <= r, (20)
где X1 и X2 - результаты двух измерений массовой доли сахара в анализируемых пробах, полученные в условиях повторяемости, %;
r - предел повторяемости (сходимости), значения которого приведены в
таблице 3.
Если данное условие не выполняется, то проводят повторное определение и проверку приемлемости результатов измерений в условиях повторяемости в соответствии с ГОСТ Р ИСО 5725-6
(пункт 5.2.2).
При повторном превышении установленного норматива выясняют причины, приводящие к неудовлетворительным результатам анализа.
11.2 Проверка приемлемости результатов измерений, полученных в условиях воспроизводимости
Проверку приемлемости результатов измерений массовой доли сахара в анализируемых пробах, полученных в условиях воспроизводимости в двух лабораториях, (
m = 2) проводят с учетом положений ГОСТ Р ИСО 5725-6
(подпункт 5.3.2.1). Результаты измерений считаются приемлемыми при условии
|X1 - X2| <= R, (21)
где X1 и X2 - результаты двух измерений массовой доли сахара в анализируемых пробах, полученные в условиях воспроизводимости, %;
R - предел воспроизводимости, значения которого приведены в
таблице 3.
Если данное условие не выполняется, то проводят процедуры в соответствии с положениями ГОСТ Р ИСО 5725-6
(пункт 5.3.3).
(обязательное)
ПЕРЕСЧЕТ МЕДИ НА САХАР
Таблица А.1
Медь | Лактоза |
20 | 11.9 |
25 | 15.6 |
30 | 19.2 |
35 | 22.8 |
40 | 26.5 |
45 | 30.2 |
50 | 33.9 |
55 | 37.7 |
60 | 41.5 |
65 | 45.3 |
70 | 49.2 |
75 | 53.1 |
80 | 57.0 |
85 | 61.0 |
90 | 65.0 |
95 | 69.0 |
100 | 73.0 |
105 | 77.1 |
110 | 81.3 |
115 | 85.4 |
120 | 89.6 |
125 | 93.8 |
130 | 98.1 |
135 | 102.4 |
140 | 106.8 |
145 | 111.2 |
150 | 115.6 |
155 | 120.1 |
160 | 124.6 |
165 | 129.2 |
170 | 133.8 |
175 | 138.5 |
180 | 143.8 |
Таблица А.2
Пересчет меди на инвертный сахар или сахарозу, мг
Медь | Инвертный сахар |
20.6 | 10 |
22.6 | 11 |
24.6 | 12 |
26.5 | 13 |
28.5 | 14 |
30.5 | 15 |
32.5 | 16 |
34.5 | 17 |
36.4 | 18 |
38.4 | 19 |
40.4 | 20 |
42.3 | 21 |
44.2 | 22 |
46.1 | 23 |
48.0 | 24 |
49.8 | 25 |
51.7 | 26 |
53.6 | 27 |
55.5 | 28 |
57.4 | 29 |
59.3 | 30 |
61.1 | 31 |
63.0 | 32 |
64.8 | 33 |
66.7 | 34 |
68.5 | 35 |
70.3 | 36 |
72.2 | 37 |
74.0 | 38 |
75.9 | 39 |
77.7 | 40 |
79.5 | 41 |
81.2 | 42 |
83.0 | 43 |
84.8 | 44 |
86.5 | 45 |
88.3 | 46 |
90.1 | 47 |
91.9 | 48 |
93.6 | 49 |
95.4 | 50 |
97.1 | 51 |
98.9 | 52 |
100.6 | 53 |
102.3 | 54 |
104.0 | 55 |
105.7 | 56 |
107.4 | 57 |
109.2 | 58 |
110.9 | 59 |
112.6 | 60 |
114.3 | 61 |
115.2 | 62 |
117.6 | 63 |
119.2 | 64 |
120.9 | 65 |
122.6 | 66 |
124.2 | 67 |
125.9 | 68 |
127.5 | 69 |
129.2 | 70 |
130.8 | 71 |
132.4 | 72 |
134.9 | 73 |
135.6 | 74 |
137.2 | 75 |
138.9 | 76 |
140.5 | 77 |
142.1 | 78 |
143.7 | 79 |
145.3 | 80 |
146.9 | 81 |
148.5 | 82 |
150.0 | 83 |
151.6 | 84 |
153.2 | 85 |
154.8 | 86 |
156.4 | 87 |
157.9 | 88 |
159.5 | 89 |
161.1 | 90 |
162.6 | 91 |
164.2 | 92 |
165.7 | 93 |
167.3 | 94 |
168.8 | 95 |
170.3 | 96 |
171.9 | 97 |
173.4 | 98 |
175.0 | 99 |
176.5 | 100 |
(обязательное)
ПЕРЕРАСЧЕТ СЕРНОВАТИСТОКИСЛОГО НАТРИЯ (ТИОСУЛЬФАТА НАТРИЯ)
В ИНВЕРТНЫЙ САХАР
Таблица Б.1
Пересчет серноватистокислого натрия (тиосульфата натрия)
в инвертный сахар (при использовании щелочного
медно-цитратного раствора)
Объем 0,1 моль/дм3 раствора тиосульфата натрия, см3 | Десятые доли миллилитра |
0 | 1 | 2 | 3 | 4 | 5 | 6 | 7 | 8 | 9 |
Инвертный сахар, мг |
1 | 2 | 3 | 4 | 5 | 6 | 7 | 8 | 9 | 10 |
0 | - | 0,25 | 0,50 | 0,75 | 1,00 | 1,25 | 1,50 | 1,75 | 2,00 | 2,25 |
1 | 2,51 | 2,77 | 3,03 | 3,29 | 3,55 | 3,81 | 4,07 | 4,33 | 4,59 | 4,85 |
2 | 5,11 | 5,37 | 5,63 | 5,89 | 6,15 | 6,41 | 6,67 | 6,93 | 7,19 | 7,45 |
3 | 7,71 | 7,97 | 8,23 | 8,49 | 8,75 | 9,01 | 9,27 | 9,53 | 9,79 | 10,05 |
4 | 10,31 | 10,57 | 10,83 | 11,09 | 11,35 | 11,61 | 11,87 | 12,13 | 12,39 | 12,65 |
5 | 12,92 | 13,19 | 13,46 | 13,73 | 14,00 | 14,27 | 14,54 | 14,81 | 15,08 | 15,35 |
6 | 15,62 | 15,89 | 16,16 | 16,43 | 16,70 | 16,97 | 17,24 | 17,51 | 17,78 | 18,05 |
7 | 18,32 | 18,59 | 18,86 | 19,13 | 19,40 | 19,67 | 19,94 | 20,21 | 20,48 | 20,75 |
8 | 21,02 | 21,29 | 21,56 | 21,83 | 22,10 | 22,37 | 22,64 | 22,91 | 23,18 | 23,45 |
9 | 23,73 | 24,01 | 24,29 | 24,57 | 24,85 | 25,13 | 25,41 | 25,69 | 25,97 | 26,25 |
10 | 26,53 | 26,81 | 27,09 | 27,37 | 27,65 | 27,93 | 28,21 | 28,49 | 28,77 | 29,05 |
11 | 29,33 | 29,61 | 29,89 | 30,17 | 30,45 | 30,73 | 31,01 | 31,29 | 31,57 | 31,85 |
12 | 32,13 | 32,41 | 32,69 | 32,97 | 33,25 | 33,53 | 33,81 | 34,09 | 34,37 | 34,65 |
13 | 34,93 | 35,21 | 35,49 | 35,77 | 36,05 | 36,33 | 36,61 | 36,89 | 37,17 | 37,45 |
14 | 37,74 | 38,03 | 38,32 | 38,61 | 38,89 | 39,18 | 39,47 | 39,76 | 40,05 | 40,34 |
15 | 40,63 | 40,92 | 41,21 | 41,50 | 41,79 | 42,08 | 42,37 | 42,66 | 42,95 | 43,24 |
16 | 43,53 | 43,82 | 44,11 | 44,40 | 44,69 | 44,98 | 45,27 | 45,56 | 45,85 | 46,14 |
17 | 46,44 | 46,74 | 47,04 | 47,34 | 47,64 | 47,94 | 48,24 | 48,54 | 48,84 | 49,24 |
18 | 49,44 | 49,74 | 50,04 | 50,34 | 50,64 | 50,94 | 51,24 | 51,54 | 51,84 | 52,14 |
19 | 52,44 | 52,74 | 53,04 | 53,34 | 53,64 | 53,94 | 54,24 | 54,54 | 54,84 | 55,14 |
20 | 55,45 | 55,76 | 56,07 | 56,38 | 56,69 | 57,00 | 57,31 | 57,62 | 57,93 | 58,24 |
21 | 58,55 | 58,86 | 59,17 | 59,48 | 59,79 | 60,10 | 60,41 | 60,72 | 61,03 | 61,34 |
22 | 61,65 | 61,96 | 62,27 | 62,58 | 62,89 | 63,20 | 63,51 | 63,82 | 64,13 | 64,44 |
Таблица Б.2
Пересчет серноватистокислого натрия (тиосульфата натрия) в
инвертный сахар (при использовании растворов Фелинга 1 и 2)
Объем 0,1 моль/дм3 раствора тиосульфата натрия, см3 | Массовая доля глюкозы, мг |
0 | 1 | 2 | 3 | 4 | 5 | 6 | 7 | 8 | 9 |
0 | 0,0 | 0,3 | 0,6 | 1,0 | 1,3 | 1,6 | 1,9 | 2,2 | 2,6 | 2,9 |
1 | 3,2 | 3,5 | 3,8 | 4,1 | 4,4 | 4,7 | 5,1 | 5,4 | 5,7 | 6,0 |
2 | 6,3 | 6,6 | 6,9 | 7,2 | 7,5 | 7,8 | 8,2 | 8,5 | 8,8 | 9,1 |
3 | 9,4 | 9,7 | 10,0 | 10,4 | 10,7 | 11,0 | 11,3 | 11,6 | 12,0 | 12,3 |
4 | 12,6 | 12,9 | 13,3 | 13,6 | 13,9 | 14,2 | 14,6 | 14,9 | 15,2 | 15,6 |
5 | 15,9 | 16,2 | 16,6 | 16,9 | 17,2 | 17,5 | 17,9 | 18,2 | 18,5 | 18,9 |
6 | 19,2 | 19,5 | 19,9 | 20,2 | 20,5 | 20,8 | 21,2 | 21,5 | 21,8 | 22,1 |
7 | 22,4 | 22,7 | 23,0 | 23,4 | 23,7 | 24,0 | 24,3 | 24,6 | 25,0 | 25,3 |
8 | 25,6 | 25,9 | 26,3 | 26,6 | 26,9 | 27,2 | 27,6 | 27,9 | 28,2 | 28,6 |
9 | 28,9 | 29,2 | 29,6 | 29,9 | 30,3 | 30,6 | 30,9 | 31,3 | 31,6 | 32,0 |
10 | 32,3 | 32,6 | 33,0 | 33,3 | 33,7 | 34,0 | 34,3 | 34,7 | 35,0 | 35,4 |
11 | 35,7 | 36,0 | 36,4 | 36,7 | 37,0 | 37,3 | 37,7 | 38,0 | 38,2 | 38,7 |
12 | 39,0 | 39,3 | 39,7 | 40,0 | 40,4 | 40,7 | 41,0 | 41,4 | 41,7 | 42,1 |
13 | 42,4 | 42,7 | 43,1 | 43,4 | 43,8 | 44,1 | 44,4 | 44,8 | 45,1 | 45,5 |
14 | 45,8 | 46,1 | 46,5 | 46,8 | 47,2 | 47,5 | 47,9 | 48,2 | 48,6 | 48,9 |
15 | 49,3 | 46,9 | 50,0 | 50,3 | 50,7 | 51,0 | 51,4 | 51,7 | 52,1 | 52,4 |
16 | 52,8 | 53,1 | 53,5 | 53,8 | 54,2 | 54,5 | 54,9 | 55,2 | 55,6 | 55,9 |
17 | 56,3 | 56,6 | 57,0 | 57,3 | 57,7 | 58,0 | 58,4 | 58,7 | 59,1 | 59,4 |
18 | 59,8 | 60,1 | 60,5 | 60,8 | 61,2 | 61,5 | 61,9 | 62,2 | 62,6 | 62,9 |
19 | 63,3 | 63,7 | 64,0 | 64,4 | 64,7 | 65,1 | 65,5 | 65,8 | 66,2 | 66,5 |
20 | 66,9 | 67,3 | 67,7 | 68,0 | 68,4 | 68,8 | 69,2 | 69,6 | 69,9 | 70,3 |
21 | 70,7 | 71,1 | 71,5 | 71,8 | 72,2 | 72,6 | 73,0 | 73,4 | 73,7 | 74,1 |
22 | 74,5 | 74,9 | 75,3 | 75,7 | 76,1 | 76,5 | 76,9 | 77,3 | 77,7 | 78,1 |
23 | 78,5 | 78,9 | 79,3 | 79,7 | 80,1 | 80,5 | 81,0 | 81,4 | 81,8 | 82,2 |
24 | 82,5 | 83,0 | 83,4 | 83,8 | 84,2 | 84,6 | 85,0 | 85,4 | 85,8 | 86,2 |
25 | 86,6 | 87,0 | 87,4 | 87,8 | 88,2 | 88,6 | 90,0 | 90,4 | 90,8 | 91,2 |