Скачать ГОСТ Р 55696-2013 Телевидение вещательное цифровое. Передающее оборудование для цифрового наземного телевизионного вещания DVB-T/T2. Технические требования. Основные параметры. Методы измерений

Дата актуализации: 01.01.2021

ГОСТ Р 55696-2013

Телевидение вещательное цифровое. Передающее оборудование для цифрового наземного телевизионного вещания DVB-T/T2. Технические требования. Основные параметры. Методы измерений

Обозначение: ГОСТ Р 55696-2013
Обозначение англ: GOST R 55696-2013
Статус:введен впервые
Название рус.:Телевидение вещательное цифровое. Передающее оборудование для цифрового наземного телевизионного вещания DVB-T/T2. Технические требования. Основные параметры. Методы измерений
Название англ.:Digital video broadcasting. Transmission equipment for digital terrestrial television broadcasting DVB-T/T2. Technical requirements. General parameters. Measurement methods
Дата добавления в базу:01.11.2014
Дата актуализации:01.01.2021
Дата введения:01.09.2014
Область применения:Стандарт распространяется на передающее оборудование системы наземного цифрового телевизионного вещания DVB-T [1], DVB-T2 [2], использующее III, IV, V частотные диапазоны по ГОСТ 7845. Стандарт устанавливает основные параметры радиопередатчиков, технические требования к радиопередатчикам и обеспечивает единство требований и методов проведения измерений.
Оглавление:1 Область применения
2 Нормативные ссылки
3 Термины и определения
4 Сокращения и обозначения
5 Основные параметры радиопередатчиков
6 Технические требования к радиопередатчикам
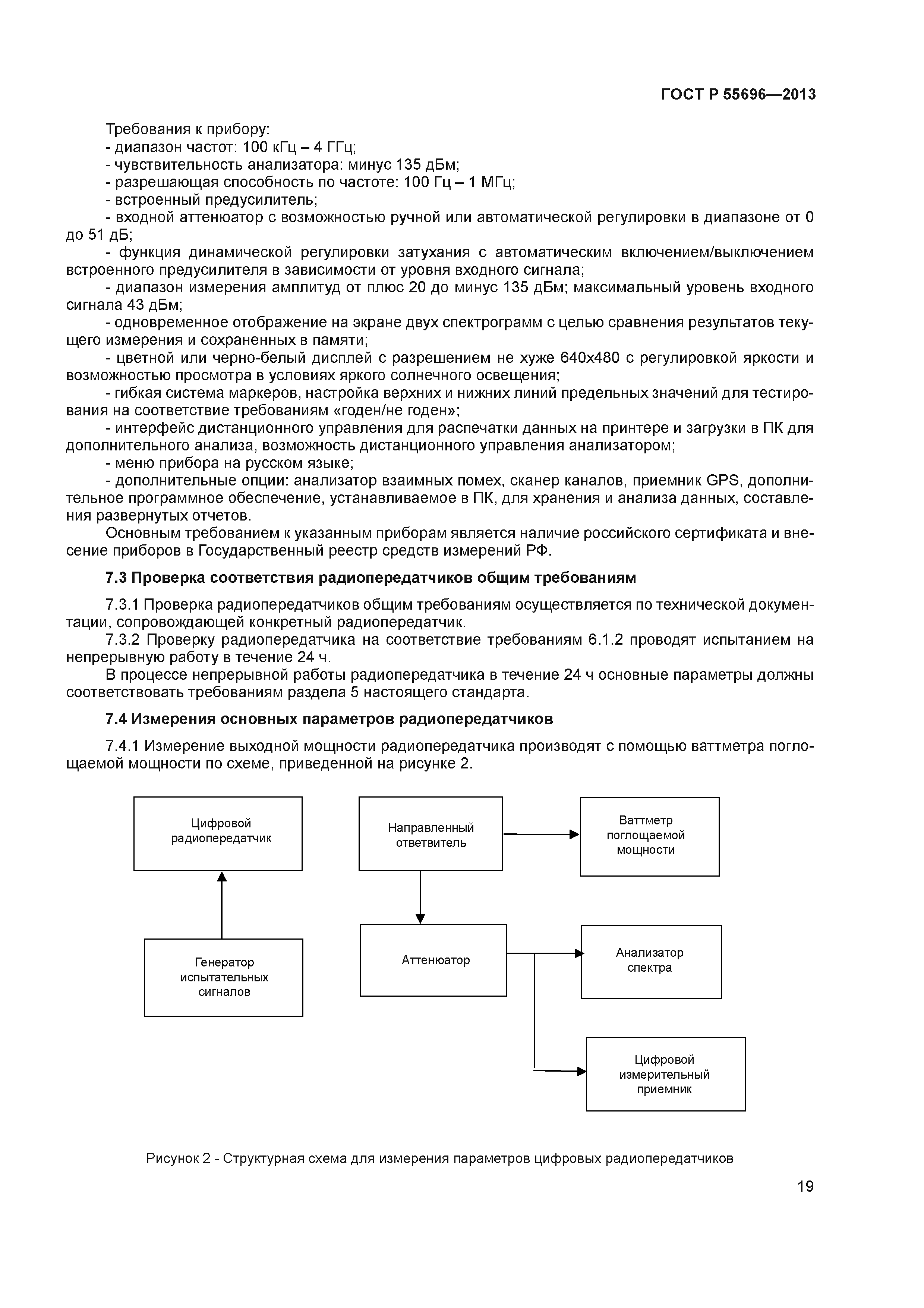
7 Методы измерений и испытаний
Приложение А (справочное) Частотные диапазоны, номера радиоканалов, присвоенные полосы частот радиоканалов, средние частоты присвоенных полос частот радиоканалов
Библиография
Разработан: ФГУП НИИР
Утверждён:08.11.2013 Федеральное агентство по техническому регулированию и метрологии (1337-ст)
Издан: Стандартинформ (2014 г. )
Нормативные ссылки:
ГОСТ Р 55696-2013ГОСТ Р 55696-2013ГОСТ Р 55696-2013ГОСТ Р 55696-2013ГОСТ Р 55696-2013ГОСТ Р 55696-2013ГОСТ Р 55696-2013ГОСТ Р 55696-2013ГОСТ Р 55696-2013ГОСТ Р 55696-2013ГОСТ Р 55696-2013ГОСТ Р 55696-2013ГОСТ Р 55696-2013ГОСТ Р 55696-2013ГОСТ Р 55696-2013ГОСТ Р 55696-2013ГОСТ Р 55696-2013ГОСТ Р 55696-2013ГОСТ Р 55696-2013ГОСТ Р 55696-2013ГОСТ Р 55696-2013ГОСТ Р 55696-2013ГОСТ Р 55696-2013ГОСТ Р 55696-2013ГОСТ Р 55696-2013ГОСТ Р 55696-2013ГОСТ Р 55696-2013ГОСТ Р 55696-2013