Скачать ГОСТ 5362-2018 Полосы латунные. Технические условия

Дата актуализации: 01.01.2021

ГОСТ 5362-2018

Полосы латунные. Технические условия

Обозначение: ГОСТ 5362-2018
Обозначение англ: GOST 5362-2018
Статус:взамен
Название рус.:Полосы латунные. Технические условия
Название англ.:Brass ribbons. Specifications
Дата добавления в базу:01.02.2020
Дата актуализации:01.01.2021
Дата введения:01.03.2019
Область применения:Стандарт распространяется на холоднокатаные латунные полосы, применяемые для изготовления изделий способом глубокой вытяжки.
Оглавление:1 Область применения
2 Нормативные ссылки
3 Термины и определения
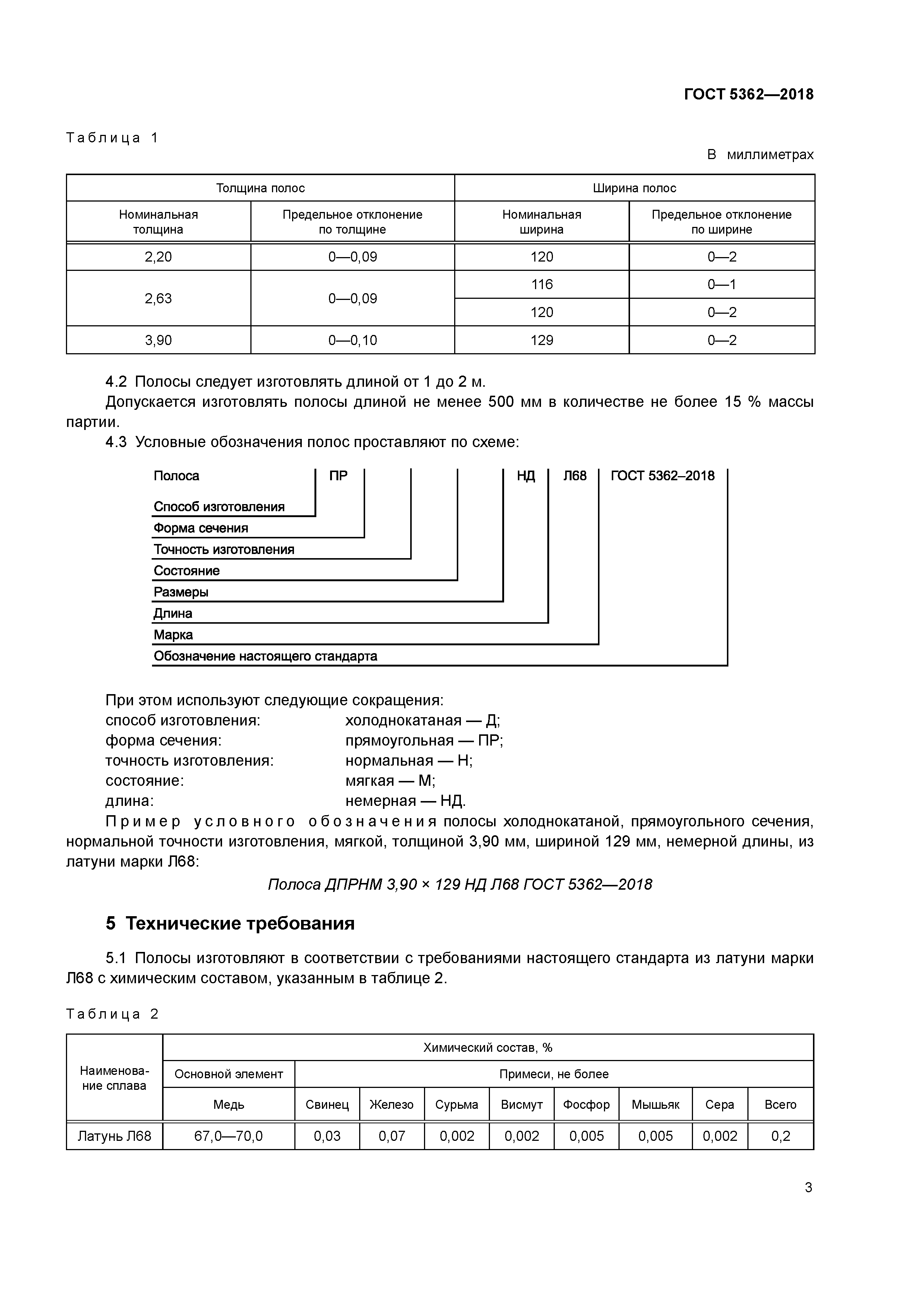
4 Сортамент
5 Технические требования
6 Правила приемки
7 Методы контроля и испытаний
8 Упаковка, маркировка, транспортирование и хранение
Разработан: ТК 106 Цветметпрокат
АО Институт Цветметобработка
Утверждён:30.05.2018 Межгосударственный Совет по стандартизации, метрологии и сертификации (Inter-Governmental Council on Standardization, Metrology, and Certification 109-П)
16.10.2018 Федеральное агентство по техническому регулированию и метрологии (770-ст)
Издан: Стандартинформ (2018 г. )
Стандартинформ (2019 г. )
Заменяет собой:
Нормативные ссылки:
ГОСТ 5362-2018ГОСТ 5362-2018ГОСТ 5362-2018ГОСТ 5362-2018ГОСТ 5362-2018ГОСТ 5362-2018ГОСТ 5362-2018ГОСТ 5362-2018ГОСТ 5362-2018ГОСТ 5362-2018ГОСТ 5362-2018