Скачать ГОСТ 7409-2018 Вагоны грузовые. Требования к лакокрасочным покрытиям и противокоррозионной защите и методы их контроля

Дата актуализации: 01.01.2021

ГОСТ 7409-2018

Вагоны грузовые. Требования к лакокрасочным покрытиям и противокоррозионной защите и методы их контроля

Обозначение: ГОСТ 7409-2018
Обозначение англ: GOST 7409-2018
Статус:взамен
Название рус.:Вагоны грузовые. Требования к лакокрасочным покрытиям и противокоррозионной защите и методы их контроля
Название англ.:Freight cars. Requirements to paint coatings and corrosion protection and methods of their control
Дата добавления в базу:01.02.2020
Дата актуализации:01.01.2021
Дата введения:01.08.2019
Область применения:Стандарт распространяется на грузовые вагоны (кроме специальных вагонов), предназначенные для эксплуатации на железнодорожных путях колеи 1520 (1524) мм. Стандарт устанавливает требования к лакокрасочным и противокоррозионным покрытиям на грузовых вагонах из низколегированной стали [крытых вагонах, полувагонах, платформах, думпкарах, цистернах для перевозки нефтепродуктов и сжиженных углеводородных газов, хопперах (для перевозки минеральных удобрений, зерна, цемента и прочее), вагонах для перевозки автомобилей], а также на их деталях и составных частях климатического исполнения У, УХЛ категории размещения 1, 2 по ГОСТ 15150.
Оглавление:1 Область применения
2 Нормативные ссылки
3 Термины и определения
4 Требования к окрашиванию
   4.1 Общие требования к окрашиванию
   4.2 Требования к подготовке поверхности перед окрашиванием
   4.3 Требования к лакокрасочным и противокоррозионным материалам
   4.4 Требования к оборудованию и инструменту, применяемым при подготовке поверхности и нанесении лакокрасочных и противокоррозионных материалов
   4.5 Требования к нанесению лакокрасочных материалов и противокоррозионной защите
   4.6 Требования к сушке лакокрасочных и противокоррозионных покрытий
   4.7 Требования к лакокрасочным и противокоррозионным покрытиям
   4.8 Требования к сроку службы лакокрасочных и противокоррозионных покрытий
5 Требования безопасности и охраны труда
6 Требования охраны окружающей среды
7 Контроль качества
8 Методы контроля качества окрашивания
9 Гарантии изготовителя
Приложение А (справочное) Определение точки росы в зависимости от температуры окружающей среды и относительной влажности воздуха
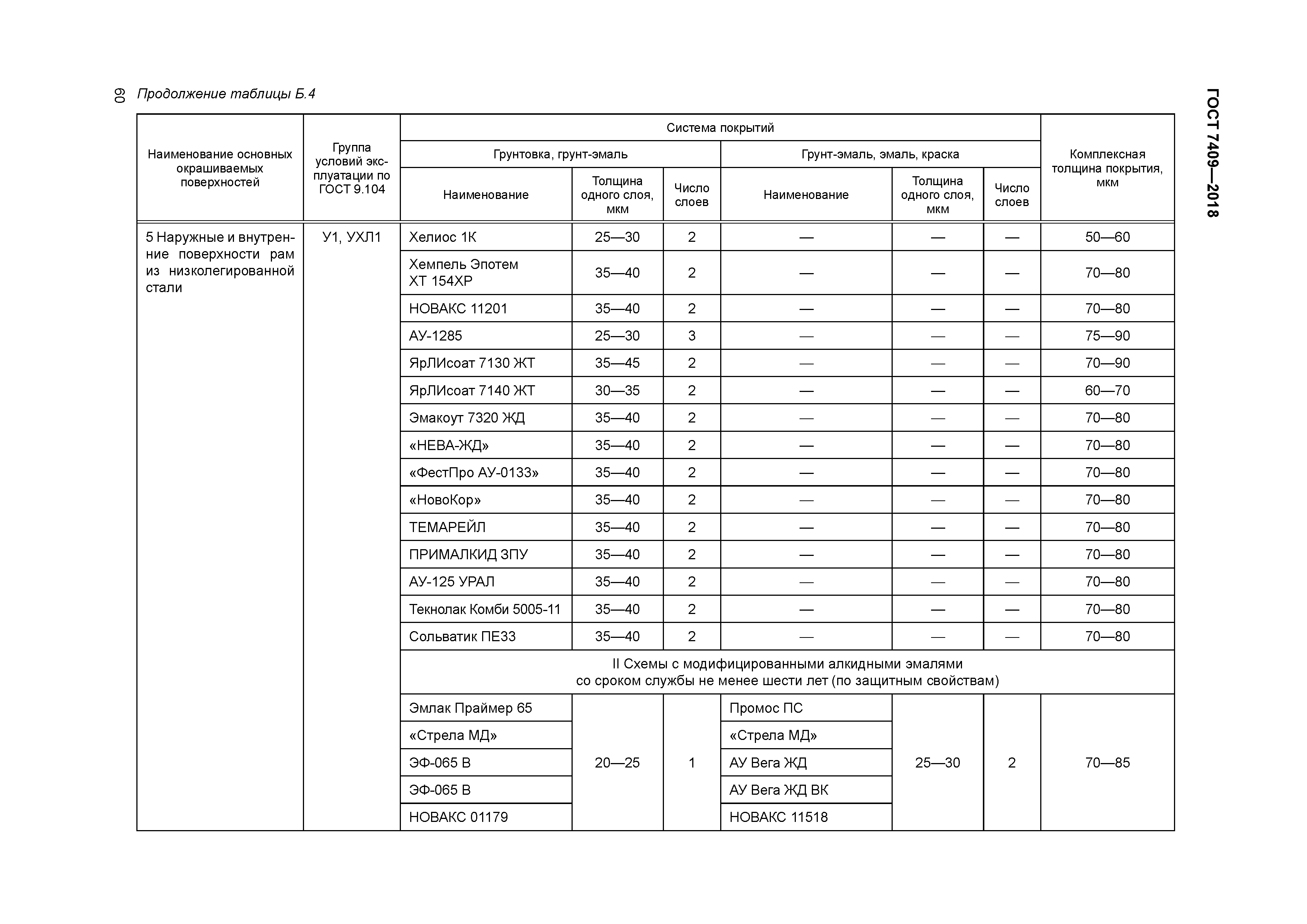
Приложение Б (обязательное) Системы лакокрасочных и противокоррозионных покрытий для грузовых вагонов
Приложение В (рекомендуемое) Перечень лакокрасочных и противокоррозионных материалов для окрашивания и противокоррозионной защиты грузовых вагонов, деталей и составных частей
Библиография
Разработан: АО ВНИИЖТ
Утверждён:30.10.2018 Межгосударственный Совет по стандартизации, метрологии и сертификации (Inter-Governmental Council on Standardization, Metrology, and Certification 113-П)
27.11.2018 Федеральное агентство по техническому регулированию и метрологии (1035-ст)
Издан: Стандартинформ (2018 г. )
Список изменений:
Заменяет собой:
Нормативные ссылки:
ГОСТ 7409-2018ГОСТ 7409-2018ГОСТ 7409-2018ГОСТ 7409-2018ГОСТ 7409-2018ГОСТ 7409-2018ГОСТ 7409-2018ГОСТ 7409-2018ГОСТ 7409-2018ГОСТ 7409-2018ГОСТ 7409-2018ГОСТ 7409-2018ГОСТ 7409-2018ГОСТ 7409-2018ГОСТ 7409-2018ГОСТ 7409-2018ГОСТ 7409-2018ГОСТ 7409-2018ГОСТ 7409-2018ГОСТ 7409-2018ГОСТ 7409-2018ГОСТ 7409-2018ГОСТ 7409-2018ГОСТ 7409-2018ГОСТ 7409-2018ГОСТ 7409-2018ГОСТ 7409-2018ГОСТ 7409-2018ГОСТ 7409-2018ГОСТ 7409-2018ГОСТ 7409-2018ГОСТ 7409-2018ГОСТ 7409-2018ГОСТ 7409-2018ГОСТ 7409-2018ГОСТ 7409-2018ГОСТ 7409-2018ГОСТ 7409-2018ГОСТ 7409-2018ГОСТ 7409-2018ГОСТ 7409-2018ГОСТ 7409-2018ГОСТ 7409-2018ГОСТ 7409-2018ГОСТ 7409-2018ГОСТ 7409-2018ГОСТ 7409-2018ГОСТ 7409-2018ГОСТ 7409-2018ГОСТ 7409-2018ГОСТ 7409-2018ГОСТ 7409-2018ГОСТ 7409-2018ГОСТ 7409-2018ГОСТ 7409-2018ГОСТ 7409-2018ГОСТ 7409-2018ГОСТ 7409-2018ГОСТ 7409-2018ГОСТ 7409-2018ГОСТ 7409-2018ГОСТ 7409-2018ГОСТ 7409-2018ГОСТ 7409-2018ГОСТ 7409-2018ГОСТ 7409-2018ГОСТ 7409-2018ГОСТ 7409-2018ГОСТ 7409-2018ГОСТ 7409-2018ГОСТ 7409-2018ГОСТ 7409-2018ГОСТ 7409-2018ГОСТ 7409-2018ГОСТ 7409-2018ГОСТ 7409-2018ГОСТ 7409-2018ГОСТ 7409-2018ГОСТ 7409-2018ГОСТ 7409-2018ГОСТ 7409-2018ГОСТ 7409-2018ГОСТ 7409-2018ГОСТ 7409-2018ГОСТ 7409-2018ГОСТ 7409-2018ГОСТ 7409-2018ГОСТ 7409-2018ГОСТ 7409-2018ГОСТ 7409-2018ГОСТ 7409-2018ГОСТ 7409-2018ГОСТ 7409-2018ГОСТ 7409-2018ГОСТ 7409-2018ГОСТ 7409-2018ГОСТ 7409-2018ГОСТ 7409-2018

Текстовое изменение Поправка от 23.04.2019

Поправка