Скачать Методические рекомендации Армирование железобетонных конструкций с применением специальной арматуры по ГОСТ 34028-2016

Дата актуализации: 01.01.2021

Методические рекомендации

Армирование железобетонных конструкций с применением специальной арматуры по ГОСТ 34028-2016

Обозначение: Методические рекомендации
Обозначение англ: Recommended Practice
Статус:действует
Название рус.:Армирование железобетонных конструкций с применением специальной арматуры по ГОСТ 34028-2016
Дата добавления в базу:01.02.2020
Дата актуализации:01.01.2021
Область применения:Рекомендации распространяются на производство и дальнейшее использование в проектировании и строительстве стандартной и специальной арматуры по ГОСТ 34028-2016, применяемой для армирования железобетонных конструкций при новом строительстве, реконструкции и капитальном ремонте зданий и сооружений.
Оглавление:Введение
1 Область применения
2 Нормативные ссылки
3 Термины и определения
4 Общие положения
5 Требования к арматуре специального назначения
5.1 Классификация и маркировка арматурного проката
5.2. Дополнительные требования к арматурному прокату согласно ГОСТ 34028-2016
6 Применение арматурного проката по ГОСТ 34028 с учетом требований к конструктивным решениям
6.1 Применение арматурного проката без предварительного напряжения
6.2 Применение арматурного проката с предварительным напряжением
6.3 Применение арматурного проката с различным периодическим профилем
6.4 Применение свариваемого и не свариваемого арматурного проката
6.5 Учет пластических характеристик арматурного проката при проектировании железобетонных конструкций
6.6 Работа в железобетонных конструкциях арматурного проката различных способов изготовления и химического состава при воздействиях огня (высоких температур)
6.7 Применение арматурного проката различных категорий коррозионной стойкости
6.8 Применение арматурного проката в соответствии с требованиями к выносливости при повторяющихся циклических нагрузках
6.9 Применение высокопрочного арматурного проката с учетом требований по релаксации напряжений
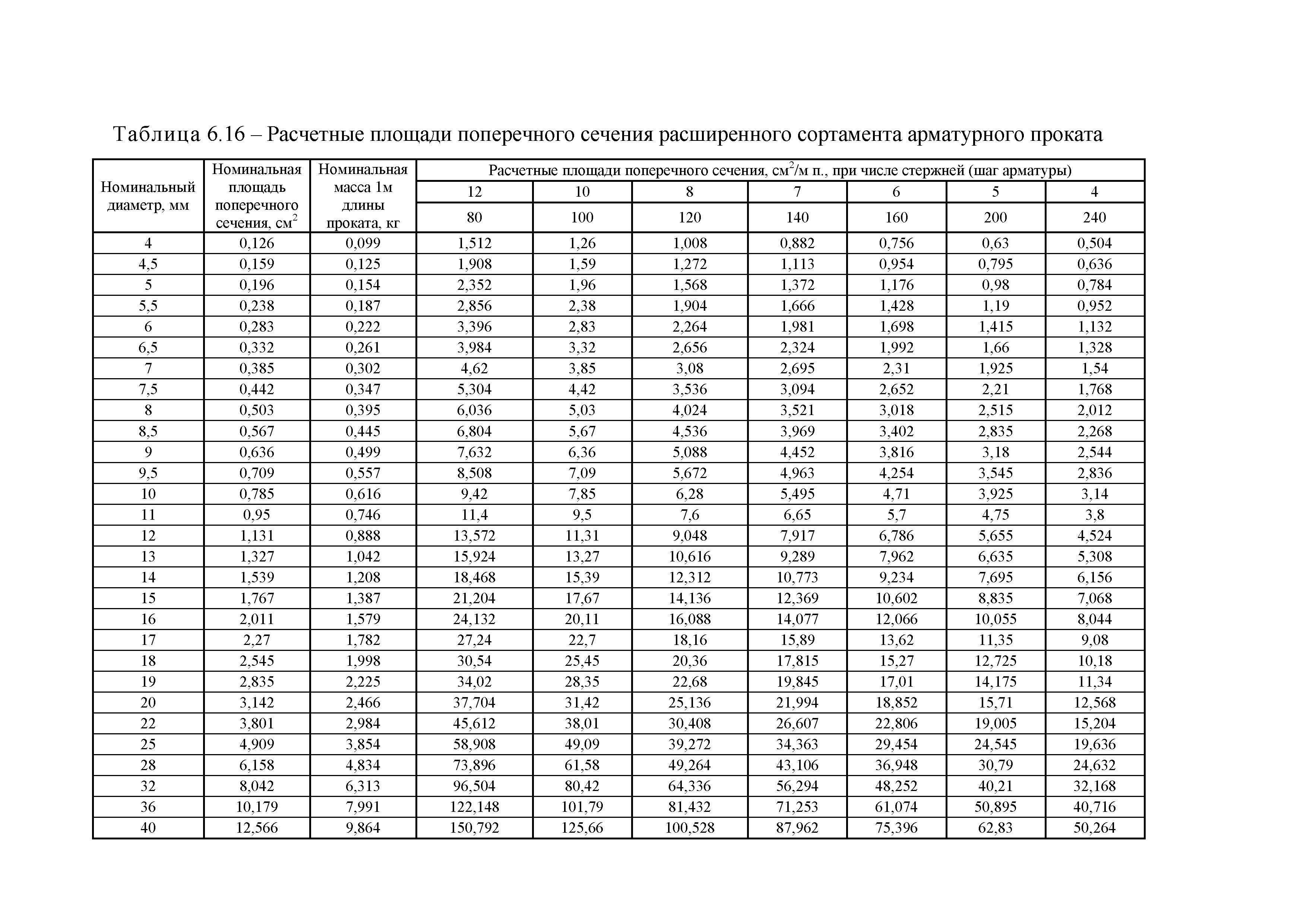
6.10 Особенности проектирования железобетонных конструкций с использованием расширенного сортамента арматурного проката
6.11 Особенности конструирования узлов железобетонных конструкций с применением арматурного проката по ГОСТ 34028-2016
Приложение А. Пример обозначения арматурного проката с дополнительным набором технических требований и их соответствие с другими нормативными документами
Приложение Б. Результаты расчета железобетонных конструкций с применением арматурного проката с различным периодическим профилем и характеристиками пластичности
Список использованных источников
Разработан: АО НИЦ Строительство
Утверждён: Министерство строительства и жилищно-коммунального хозяйства Российской Федерации
Нормативные ссылки:
Методические рекомендации Методические рекомендации Методические рекомендации Методические рекомендации Методические рекомендации Методические рекомендации Методические рекомендации Методические рекомендации Методические рекомендации Методические рекомендации Методические рекомендации Методические рекомендации Методические рекомендации Методические рекомендации Методические рекомендации Методические рекомендации Методические рекомендации Методические рекомендации Методические рекомендации Методические рекомендации Методические рекомендации Методические рекомендации Методические рекомендации Методические рекомендации Методические рекомендации Методические рекомендации Методические рекомендации Методические рекомендации Методические рекомендации Методические рекомендации Методические рекомендации Методические рекомендации Методические рекомендации Методические рекомендации Методические рекомендации Методические рекомендации Методические рекомендации Методические рекомендации Методические рекомендации Методические рекомендации Методические рекомендации Методические рекомендации Методические рекомендации Методические рекомендации Методические рекомендации Методические рекомендации Методические рекомендации Методические рекомендации Методические рекомендации Методические рекомендации Методические рекомендации Методические рекомендации Методические рекомендации Методические рекомендации Методические рекомендации Методические рекомендации Методические рекомендации Методические рекомендации Методические рекомендации Методические рекомендации Методические рекомендации Методические рекомендации Методические рекомендации Методические рекомендации Методические рекомендации Методические рекомендации Методические рекомендации Методические рекомендации Методические рекомендации Методические рекомендации Методические рекомендации Методические рекомендации Методические рекомендации Методические рекомендации Методические рекомендации Методические рекомендации Методические рекомендации Методические рекомендации Методические рекомендации Методические рекомендации Методические рекомендации Методические рекомендации Методические рекомендации Методические рекомендации Методические рекомендации Методические рекомендации Методические рекомендации Методические рекомендации Методические рекомендации Методические рекомендации Методические рекомендации Методические рекомендации Методические рекомендации Методические рекомендации Методические рекомендации Методические рекомендации Методические рекомендации Методические рекомендации Методические рекомендации Методические рекомендации Методические рекомендации Методические рекомендации