Главная // Актуальные документы // Актуальные документы (обновление 2025.01.06-2025.02.01) // ГОСТ (Государственный стандарт)СПРАВКА
Источник публикации
М.: Стандартинформ, 2015
Примечание к документу
Отдельные положения данного документа включены в
Перечень международных и региональных (межгосударственных) стандартов, а в случае их отсутствия - национальных (государственных) стандартов, в результате применения которых на добровольной основе обеспечивается соблюдение требований технического
регламента Таможенного союза "Требования безопасности пищевых добавок, ароматизаторов и технологических вспомогательных средств" (ТР ТС 029/2012), и
Перечень международных и региональных (межгосударственных) стандартов, а в случае их отсутствия - национальных (государственных) стандартов, содержащих правила и методы исследований (испытаний) и измерений, в том числе правила отбора образцов, необходимые для применения и исполнения требований технического
регламента Таможенного союза "Требования безопасности пищевых добавок, ароматизаторов и технологических вспомогательных средств" (ТР ТС 029/2012) и осуществления оценки соответствия объектов технического регулирования (
Решение Коллегии Евразийской экономической комиссии от 07.02.2018 N 21).
Документ
введен в действие с 01.01.2016.
Название документа
"ГОСТ 32745-2014. Межгосударственный стандарт. Добавки пищевые. Красители триарилметановые. Технические условия"
(введен в действие Приказом Росстандарта от 09.07.2014 N 806-ст)
"ГОСТ 32745-2014. Межгосударственный стандарт. Добавки пищевые. Красители триарилметановые. Технические условия"
(введен в действие Приказом Росстандарта от 09.07.2014 N 806-ст)
по техническому регулированию
и метрологии
от 9 июля 2014 г. N 806-ст
МЕЖГОСУДАРСТВЕННЫЙ СТАНДАРТ
ДОБАВКИ ПИЩЕВЫЕ
КРАСИТЕЛИ ТРИАРИЛМЕТАНОВЫЕ
ТЕХНИЧЕСКИЕ УСЛОВИЯ
Food additives. Triarylmethane colours.
Specifications
ГОСТ 32745-2014
Дата введения
1 января 2016 года
Цели, основные принципы и основной порядок проведения работ по межгосударственной стандартизации установлены
ГОСТ 1.0-92 "Межгосударственная система стандартизации. Основные положения" и
ГОСТ 1.2-2009 "Межгосударственная система стандартизации. Стандарты межгосударственные, правила и рекомендации по межгосударственной стандартизации. Правила разработки, принятия, применения, обновления и отмены"
1 РАЗРАБОТАН Государственным научным учреждением Всероссийским научно-исследовательским институтом пищевых ароматизаторов, кислот и красителей Российской академии сельскохозяйственных наук (ГНУ ВНИИПАКК Россельхозакадемии)
2 ВНЕСЕН Федеральным агентством по техническому регулированию и метрологии
3 ПРИНЯТ Межгосударственным советом по стандартизации, метрологии и сертификации (протокол от 30 мая 2014 г. N 67-П)
За принятие проголосовали:
Краткое наименование страны по МК (ИСО 3166) 004-97 | Код страны по МК (ИСО 3166) 004-97 | Сокращенное наименование национального органа по стандартизации |
Армения | AM | Минэкономики Республики Армения |
Беларусь | BY | Госстандарт Республики Беларусь |
Киргизия | KG | Кыргызстандарт |
Россия | RU | Росстандарт |
Таджикистан | TJ | Таджикистан |
4
Приказом Федерального агентства по техническому регулированию и метрологии от 09 июля 2014 г. N 806-ст межгосударственный стандарт ГОСТ 32745-2014 введен в действие в качестве национального стандарта Российской Федерации с 01 января 2016 г.
5 В настоящем стандарте учтены требования Единого стандарта на пищевые добавки Комиссии Кодекса Алиментариус CODEX STAN 192-1995 "General Standard for Food Additives"
(пункт 3.4) в части Спецификации на пищевые добавки E131, E133, E142, E143 Единого свода спецификаций пищевых добавок Объединенного экспертного комитета по пищевым добавкам ФАО/ВОЗ "Combined compendium of food additive specification JECFA. Volume 4"
6 ВВЕДЕН ВПЕРВЫЕ
Информация об изменениях к настоящему стандарту публикуется в ежегодном информационном указателе "Национальные стандарты", а текст изменений и поправок - в ежемесячном информационном указателе "Национальные стандарты". В случае пересмотра (замены) или отмены настоящего стандарта соответствующее уведомление будет опубликовано в ежемесячном информационном указателе "Национальные стандарты". Соответствующая информация, уведомление и тексты размещаются также в информационной системе общего пользования - на официальном сайте Федерального агентства по техническому регулированию и метрологии в сети Интернет
Настоящий стандарт распространяется на пищевые добавки E131, E133, E142, E143, представляющие собой пищевые триарилметановые красители (далее - красители) и предназначенные для использования в пищевой промышленности в качестве красителей пищевых продуктов.
Примечание - Термин "триарилметановые" отражает общую особенность включенных в настоящий стандарт пищевых добавок, связанную с их структурой.
Требования к качеству красителей изложены в
3.1.3,
3.1.4 и
3.1.5, требования, обеспечивающие безопасность - в
3.1.6, требования к маркировке - в
3.3.
В настоящем стандарте использованы нормативные ссылки на следующие межгосударственные стандарты:
ГОСТ 8.579-2002 Государственная система обеспечения единства измерений. Требования к количеству фасованных товаров в упаковках любого вида при их производстве, расфасовке, продаже и импорте
ГОСТ 12.0.004-90 Система стандартов безопасности труда. Организация обучения безопасности труда. Общие положения
ГОСТ 12.1.004-91 Система стандартов безопасности труда. Пожарная безопасность. Общие требования
ГОСТ 12.1.005-88 Система стандартов безопасности труда. Общие санитарно-гигиенические требования к воздуху рабочей зоны
ГОСТ 12.1.007-76 Система стандартов безопасности труда. Вредные вещества. Классификация и общие требования безопасности
ГОСТ 12.1.044-89 (ИСО 4589-84) Система стандартов безопасности труда. Пожаровзрывоопасность веществ и материалов. Номенклатура показателей и методы их определения
ГОСТ 12.2.007.0-75 Система стандартов безопасности труда. Изделия электротехнические. Общие требования безопасности
ГОСТ 12.4.009-83 Система стандартов безопасности труда. Пожарная техника для защиты объектов. Основные виды. Размещение и обслуживание
ГОСТ 12.4.011-89 Система стандартов безопасности труда. Средства защиты работающих. Общие требования и классификация
ГОСТ 12.4.021-75 Система стандартов безопасности труда. Системы вентиляционные. Общие требования
ГОСТ 12.4.103-83 Система стандартов безопасности труда. Одежда специальная защитная, средства индивидуальной защиты ног и рук. Классификация
ГОСТ OIML R 76-1-2011 Государственная система обеспечения единства измерений. Весы неавтоматического действия. Часть 1. Метрологические и технические требования. Испытания
ГОСТ 83-79 Реактивы. Натрий углекислый. Технические условия
ГОСТ 450-77 Кальций хлористый технический. Технические условия
ГОСТ 1770-74 (ИСО 1042-83, ИСО 4788-80) Посуда мерная лабораторная стеклянная. Цилиндры, мензурки, колбы, пробирки. Общие технические условия
ГОСТ 4167-74 Реактивы. Медь двухлористая 2-водная. Технические условия
ГОСТ 4197-74 Реактивы. Натрий азотистокислый. Технические условия
ГОСТ 4198-75 Реактивы. Калий фосфорнокислый однозамещенный. Технические условия
ГОСТ 4328-77 Реактивы. Натрия гидроокись. Технические условия
ГОСТ 5830-79 Реактивы. Спирт изоамиловый. Технические условия
ГОСТ 6825-91 (МЭК 81-84) Лампы люминесцентные трубчатые для общего освещения
ГОСТ 11773-76 Натрий фосфорнокислый двузамещенный. Технические условия
ГОСТ 12026-76 Бумага фильтровальная лабораторная. Технические условия
ГОСТ 13511-2006 Ящики из гофрированного картона для пищевых продуктов, спичек, табачных изделий и моющих средств. Технические условия
ГОСТ 14919-83 Электроплиты, электроплитки и жарочные электрошкафы бытовые. Общие технические условия
ГОСТ 14961-91 Нитки льняные и льняные с химическими волокнами. Технические условия
ГОСТ 15846-2002 Продукция, отправляемая в районы Крайнего Севера и приравненные к ним местности. Упаковка, маркировка, транспортирование и хранение
ГОСТ 16922-71 Красители органические, полупродукты, текстильно-вспомогательные вещества. Методы испытаний
ГОСТ 18300-87 <*> Спирт этиловый ректификованный технический. Технические условия
--------------------------------
ГОСТ 19360-74 Мешки-вкладыши пленочные. Общие технические условия
ГОСТ 25336-82 Посуда и оборудование лабораторные стеклянные. Типы, основные параметры и размеры
ГОСТ 25794.1-83 Реактивы. Методы приготовления титрованных растворов для кислотно-основного титрования
ГОСТ 29169-91 (ИСО 648-77) Посуда лабораторная стеклянная. Пипетки с одной отметкой
ГОСТ 26930-86 Сырье и продукты пищевые. Метод определения мышьяка
ГОСТ 26932-86 Сырье и продукты пищевые. Методы определения свинца
ГОСТ 26933-86 Сырье и продукты пищевые. Методы определения кадмия
ГОСТ 27752-88 Часы электронно-механические кварцевые настольные, настенные и часы-будильники. Общие технические условия
ГОСТ 28365-89 Реактивы. Метод бумажной хроматографии
ГОСТ 28498-90 Термометры жидкостные стеклянные. Общие технические требования. Методы испытаний
ГОСТ 29227-91 (ИСО 835-1-81) Посуда лабораторная стеклянная. Пипетки градуированные. Часть 1. Общие требования
ГОСТ 30178-96 Сырье и продукты пищевые. Атомно-абсорбционный метод определения токсичных элементов
ГОСТ 30538-97 Продукты пищевые. Методика определения токсичных элементов атомно-эмиссионным методом
Примечание - При пользовании настоящим стандартом целесообразно проверить действие ссылочных стандартов в информационной системе общего пользования - на официальном сайте Федерального агентства по техническому регулированию и метрологии в сети Интернет или по ежегодному информационному указателю "Национальные стандарты", который опубликован по состоянию на 1 января текущего года, и по выпускам ежемесячного информационного указателя "Национальные стандарты" за текущий год. Если ссылочный стандарт заменен (изменен), то при пользовании настоящим стандартом следует руководствоваться заменяющим (измененным) стандартом. Если ссылочный стандарт отменен без замены, то положение, в котором дана ссылка на него, применяется в части, не затрагивающей эту ссылку.
3.1.1 Красители вырабатывают в соответствии с требованиями
[1],
[2] и настоящего стандарта, применяют в пищевых продуктах в соответствии с требованиями
[1] или нормативными правовыми актами, действующими на территории государства, принявшего стандарт.
3.1.2 Обозначения, наименования, химические названия, формулы и молекулярные массы красителей приведены в
таблицах 1 и
2.
Таблица 1
Обозначения и наименования красителей
Наименование красителя | Индекс красителя в европейской кодификации пищевых добавок | Номер красителя в международной системе нумерации пищевых добавок (INS) | Номер красителя в международной классификации химических веществ (CAS N) | Номер красителя в международном каталоге красителей Colour Index (CI N) | Синонимы наименований красителей |
Синий патентованный V (Patent Blue V) | E131 | 131 | 3536-49-0 | 42051 | Пищевой синий 5 (Food Blue 5), Патентованный синий 5 (Patent Blue 5) |
Синий блестящий FCF (Brilliant Blue FCF) | E133 | 133 | 3844-45-9 | 42090 | Бриллиантовый голубой FCF, Пищевой синий 2 (Food Blue 2), FD&C Blue N 1 |
Зеленый S (Green S) | E142 | 142 | 3087-16-9 | 44090 | Пищевой зеленый 4 (Food Green 4), Пищевой зеленый S (Food Green S), Бриллиантовый зеленый BS (Brilliant Green BS) |
Зеленый прочный FCF (Fast Green FCF) | E143 | 143 | 2353-45-9 | 42053 | Пищевой зеленый 3 (Food Green 3), FD&C Green 3 |
Таблица 2
Химические названия, формулы и молекулярные массы красителей
Наименование красителя | Химическое название | Формула | Молекулярная масса, а.е.м |
Синий патентованный V (Patent Blue V) | 2-[(4-диэтиламинофенил)(4-диэтил-имино-2,5-циклогексадиен-1-илиден) метил]-4-гидрокси-1,5-бензол-дисульфонат натриевая или 1/2 кальциевая соль | C27H31N2 O7S2Na | 582,67 |
или | |
C27H31N2 O7S21/2Ca | 579,72 |
Синий блестящий FCF (Brilliant Blue FCF) |  -[4-(N-этил-3-сульфобензиламино) фенил]-  -[4-(N-этил-3-сульфобензил-имино)циклогекса-2,5-диен-илиден] толуол-2-сульфонат динатриевая соль | C37H34N2Na2O9S3 | 792,84 |
Зеленый S (Green S) | 5-[4-(диметиламино-3-  -(4-диметил-иминоциклогекса-2,5-диен-илиден) бензил]-6-гидрокси-7-сульфонафталин-2-сульфонат натриевая соль | C27H25N2NaO7S2 | 576,63 |
Зеленый прочный FCF (Fast Green FCF) | 3-[N-этил-N-[4-[[4-[N-этил-N-(3-сульфонатобензил)-амино]фенил](4-гидрокси-2-сульфонатофенил) метилен]-2,5-циклогексадиен-1-илиден] аммоний метил] бензосульфонат динатриевая соль | C37H34N2Na2O10S3 | 808,86 |
3.1.3 По органолептическим показателям красители должны соответствовать требованиям, указанным в
таблице 3.
Таблица 3
Органолептические показатели красителей
Наименование красителя | Наименование показателя |
Внешний вид, цвет красителя | Цвет раствора красителя |
Синий патентованный V E131 | Темно-синий порошок или гранулы | Синий |
Синий блестящий FCF E133 | Фиолетовый или синий порошок или гранулы | Синий |
Зеленый S E142 | Темно-синий или темно-зеленый порошок или гранулы | Сине-зеленый |
Зеленый прочный FCF E143 | От красного до коричнево-фиолетового цвета порошок или гранулы | От зеленого до голубовато-фиолетового |
3.1.4 Спектрофотометрические характеристики красителей приведены в
таблице 4.
Таблица 4
Спектрофотометрические характеристики красителей
Наименование красителя | Спектрофотометрические характеристики красителя | Растворитель |
Длина волны, соответствующая максимуму светопоглощения, нм: | Удельный коэффициент светопоглощения,  |
Синий патентованный V E131 | 638 | 2000 | Дистиллированная вода |
Синий блестящий FCF E133 | 630 | 1630 | Дистиллированная вода |
Зеленый S E142 | 632 | 1720 | Дистиллированная вода |
Зеленый прочный FCF E143 | 625 | 1560 | 50%-й раствор этанола |
3.1.5 По физико-химическим показателям красители должны соответствовать требованиям, указанным в
таблице 5.
Таблица 5
Физико-химические показатели красителей
Наименование показателя | Характеристика показателя |
Массовая доля основного красящего вещества, %, не менее: | |
Синий патентованный V E131 | |
Синий блестящий FCF E133 | |
Зеленый S E142 | |
Зеленый прочный FCF E143 | |
Массовая доля веществ, нерастворимых в воде, %, не более | 0,20 |
Массовая доля веществ, экстрагируемых эфиром, %, не более: | |
Синий патентованный V E131 | 0,20 |
Синий блестящий FCF E133 | 0,20 |
Зеленый S E142 | 0,20 |
Зеленый прочный FCF E143 | 0,40 |
Массовая доля сопутствующих красящих веществ, %, не более: | |
Синий патентованный V E131 | 2,0 |
Синий блестящий FCF E133 | 6,0 |
Зеленый S E142 | 1,0 |
Зеленый прочный FCF E143 | 6,0 |
Массовая доля потерь при высушивании при 135 °C, %, не более: | |
Синий патентованный V E131 | 15,0 |
Синий блестящий FCF E133 | 15,0 |
Зеленый S E142 | 20,0 |
Зеленый прочный FCF E143 | 15,0 |
Массовая доля несульфированных первичных ароматических аминов в пересчете на анилин, %, не более | 0,010 |
Массовая доля веществ лейкооснования, %, не более | |
Синий патентованный V E131 | 4,0 |
Синий блестящий FCF E133 | 5,0 |
Зеленый S E142 | 5,0 |
Зеленый прочный FCF E143 | 5,0 |
<*> В соответствии с [1] или нормативными правовыми актами, действующими на территории государства, принявшего стандарт. |
3.1.6 Содержание токсичных элементов (мышьяка, свинца, ртути, кадмия) в красителях не должно превышать норм, установленных
[1] или нормативными правовыми актами, действующими на территории государства, принявшего стандарт.
3.2.1 Упаковка красителей должна соответствовать требованиям, установленным в
[1] и
[3] или нормативным правовым актам, действующим на территории государства, принявшего стандарт.
3.2.2 Красители упаковывают в продуктовые мешки из мешочных тканей по
ГОСТ 30090, открытые бумажные мешки марки НМ и ПМ по нормативному документу, действующему на территории государства, принявшего стандарт, ящики из гофрированного картона для пищевых продуктов по
ГОСТ 13511. Внутрь продуктовых мешков из мешочных тканей, бумажных мешков марки НМ, ящиков из гофрированного картона должны вставляться мешки-вкладыши по
ГОСТ 19360 из полиэтиленовой нестабилизированной пленки марки Н и толщиной не менее 0,08 мм по
ГОСТ 10354.
Тип и размеры мешков, предельную массу упаковываемых красителей устанавливает изготовитель.
3.2.3 Полимерные мешки-вкладыши после их заполнения заваривают или завязывают шпагатом из лубяных волокон по
ГОСТ 17308.
3.2.4 Верхние швы тканевых и бумажных мешков должны быть зашиты машинным способом льняными нитками по
ГОСТ 14961 или другими нитками, обеспечивающими механическую прочность шва.
3.2.5 Допускается применение других видов упаковки, обеспечивающих сохранность красителей при хранении и транспортировании и изготовленных из материалов, соответствующих требованиям, установленным
[3] или нормативными правовыми актами, действующими на территории государства, принявшего стандарт.
3.2.6 Отрицательное отклонение массы нетто от номинальной массы каждой упаковочной единицы должно соответствовать требованиям ГОСТ 8.579 (
таблицы А.1 и
А.2).
3.2.7 Красители, отправляемые в районы Крайнего Севера и приравненные к ним местности, упаковывают по
ГОСТ 15846.
3.3.1 Маркировка красителей должна соответствовать требованиям, установленным
[1] и
[4] или нормативными правовыми актами, действующими на территории государства, принявшего стандарт.
3.3.2 Транспортная маркировка должна соответствовать требованиям, установленным
[4] или нормативными правовыми актами, действующими на территории государства, принявшего стандарт, с нанесением манипуляционных знаков, указывающих на способ обращения с грузами -
ГОСТ 14192.
4 Требования безопасности
4.1 По степени воздействия на организм человека красители в соответствии с
ГОСТ 12.1.007 относятся к веществам умеренно опасным - третьему классу опасности.
4.2 Красители относят к горючим материалам в соответствии с
ГОСТ 12.1.044.
4.3 При работе с красителями необходимо использовать спецодежду, средства индивидуальной защиты по
ГОСТ 12.4.011 и соблюдать правила личной гигиены.
4.4 При выполнении анализов необходимо соблюдать требования техники безопасности при работе с химическими реактивами по
ГОСТ 12.1.007 и
ГОСТ 12.4.103.
4.5 Организация обучения работающих безопасности труда - по
ГОСТ 12.0.004.
4.6 Производственные помещения, в которых проводят работы с красителями, и помещения, где проводят работы с реактивами, должны быть оборудованы приточно-вытяжной вентиляцией по
ГОСТ 12.4.021.
4.7 Электробезопасность при работе с электроустановками - по
ГОСТ 12.2.007.0.
4.8 Помещение лаборатории должно соответствовать требованиям пожарной безопасности по
ГОСТ 12.1.004 и иметь средства пожаротушения по
ГОСТ 12.4.009.
4.9 Содержание вредных веществ в воздухе рабочей зоны не должно превышать норм, установленных
ГОСТ 12.1.005.
5.1 Красители принимают партиями.
Партией считают количество красителей одного наименования, изготовленное за один технологический цикл, в одинаковой упаковке, полученное одним изготовителем по одному документу, сопровождаемое товаросопроводительной документацией, обеспечивающей прослеживаемость продукции.
5.2 Для проверки соответствия красителей требованиям настоящего стандарта проводят приемо-сдаточные испытания по качеству упаковки, правильности нанесения маркировки, массе нетто, органолептическим и физико-химическим показателям и периодические испытания по показателям безопасности.
5.3 При проведении приемо-сдаточных испытаний применяют одноступенчатый выборочный план при нормальном контроле, специальном уровне контроля S-4 и приемлемом уровне качества AQL, равном 6,5, по
[5].
Выборку упаковочных единиц осуществляют методом случайного отбора в соответствии с
таблицей 6.
Число упаковочных единиц в партии, шт. | Объем выборки, шт. | Приемочное число | Браковочное число |
От 2 до 15 включ. | 2 | 0 | 1 |
" 16 " 25 " | 3 | 0 | 1 |
" 26 " 90 " | 5 | 1 | 2 |
" 91 " 150 " | 8 | 1 | 2 |
" 151 " 500 " | 13 | 2 | 3 |
" 501 " 1200 | 20 | 3 | 4 |
5.4 Контроль качества упаковки и правильности маркировки проводят внешним осмотром всех упаковочных единиц, попавших в выборку.
5.5 Контроль массы нетто красителей в каждой упаковочной единице, попавшей в выборку, проводят по разности массы брутто и массы упаковочной единицы, освобожденной от содержимого. Предел допускаемых отрицательных отклонений от номинальной массы нетто красителей в каждой упаковочной единице - по
3.2.6.
5.6 Приемка партии красителей по массе нетто, качеству упаковки и правильности маркировки упаковочных единиц
5.6.1 Партию принимают, если число упаковочных единиц в выборке, не отвечающих требованиям по качеству упаковки, правильности маркировки и массе нетто красителей, меньше или равно приемочному числу (см.
таблицу 6).
5.6.2 Если число упаковочных единиц в выборке, не отвечающих требованиям по качеству упаковки, правильности маркировки и массе нетто красителей, больше или равно браковочному числу (см.
таблицу 6), контроль проводят на удвоенном объеме выборки от этой же партии. Партию принимают, если выполняются условия
5.6.1.
Партию бракуют, если число упаковочных единиц в удвоенном объеме выборки, не отвечающих требованиям по качеству упаковки, правильности маркировки и массе нетто красителей, больше или равно браковочному числу.
5.7 Приемка партии красителей по органолептическим и физико-химическим показателям
5.7.1 Для контроля органолептических и физико-химических показателей красителей из каждой упаковочной единицы, попавшей в выборку в соответствии с требованиями
таблицы 6, проводят отбор мгновенных проб и составляют суммарную пробу по
6.1.
5.7.2 При получении неудовлетворительных результатов хотя бы по одному из органолептических или физико-химических показателей проводят повторный контроль по этому показателю на удвоенном объеме выборки от той же партии. Результаты повторных испытаний являются окончательными и распространяются на всю партию.
При получении неудовлетворительных результатов при повторном контроле партию бракуют.
5.7.3 Органолептические и физико-химические показатели красителей в поврежденной упаковке проверяют отдельно. Результаты контроля распространяют только на красители в этой упаковке.
5.8 Порядок и периодичность контроля показателей безопасности (содержание мышьяка, свинца, ртути, кадмия) устанавливает изготовитель в программе производственного контроля.
6.1.1 Для составления суммарной пробы красителей из разных мест каждой упаковочной единицы, отобранной по
5.3, отбирают мгновенные пробы с помощью пробоотборника (щупа), погружая его не менее, чем на 3/4 глубины.
Масса мгновенной пробы должна быть не более 10 г.
Масса мгновенной пробы и число мгновенных проб от каждой упаковочной единицы, попавшей в выборку, должны быть одинаковыми.
6.1.2 Мгновенные пробы помещают в сухую чистую емкость из стекла или полимерных материалов и тщательно перемешивают.
Рекомендуемая масса суммарной пробы должна быть не менее 50 г.
6.1.3 При необходимости уменьшения суммарной пробы может быть использован метод квартования. Для этого суммарную пробу высыпают на чистый стол и разравнивают тонким слоем в виде квадрата. Затем ее деревянными планками со скошенными ребрами ссыпают с двух противоположных сторон на середину так, чтобы образовался валик. Суммарную пробу с концов валика также ссыпают на середину, снова разравнивают в виде квадрата толщиной слоя от 1 до 1,5 см и планкой делят по диагонали на четыре треугольника. Две противоположные части пробы отбрасывают, а две оставшиеся соединяют, перемешивают и вновь делят на четыре треугольника. Деление повторяют необходимое число раз. Продолжительность процедуры квартования должна быть минимальной.
6.1.4 Лабораторной пробой для партий красителей малых объемов может служить суммарная проба при условии, что общий объем или масса мгновенных проб должны быть не менее объема или массы, необходимых для проведения испытаний.
Подготовленную суммарную пробу делят на две равные части, которые помещают в чистые, сухие, плотно закрывающиеся стеклянные или полимерные емкости.
Емкость с первой частью суммарной пробы направляют в лабораторию для проведения анализов.
Емкость со второй частью пробы опечатывают, пломбируют и хранят для повторного контроля в случае возникновения разногласий в оценке качества и безопасности красителей. Рекомендуемый срок хранения пробы красителя при температуре (20 +/- 5) °C и относительной влажности не более 60% - три года.
6.1.5 Емкости с пробами снабжают этикетками, на которых должны быть указаны:
- полное наименование красителя и его E номер;
- наименование и местонахождение изготовителя;
- номер партии;
- масса нетто партии;
- число упаковочных единиц в партии;
- дата изготовления;
- дата отбора проб;
- срок и условия хранения;
- фамилии лиц, проводивших отбор данной пробы;
- обозначение настоящего стандарта.
6.2 Определение внешнего вида и цвета
Метод заключается в визуальном сравнении цвета анализируемого красителя с цветом контрольного образца красителя данного наименования.
За контрольный образец принимают образец красителя данного наименования, показатели которого соответствуют требованиям
[1] и настоящего стандарта. Контрольный образец хранят в герметично закрытой упаковке в течение срока хранения, установленного изготовителем.
6.2.1 Вспомогательные устройства, материалы и реактивы
Бумага белая.
Пластинка стеклянная.
Красители в соответствии с
3.1.
6.2.2 Отбор проб - по
6.1.
6.2.3 Внешний вид и цвет контрольного образца и анализируемого красителя определяют просмотром пробы, помещенной тонким ровным слоем на стеклянную пластинку на фоне листа белой бумаги при рассеянном дневном свете или освещении люминесцентными лампами. Освещенность поверхности рабочего стола должна быть не менее 500 лк. Внешний вид и цвет пробы анализируемого красителя должен соответствовать внешнему виду и цвету контрольного образца красителя данного наименования.
6.3 Определение цвета водного раствора
6.3.1 Сущность метода
Метод заключается в сравнении спектров водных растворов анализируемого красителя и аналогично приготовленного раствора контрольного образца красителя данного наименования.
6.3.2 Средства измерений, вспомогательные устройства, посуда, реактивы
Весы неавтоматического действия по
ГОСТ OIML R 76-1 с пределами допускаемой абсолютной погрешности +/- 0,001 г.
Термометр жидкостный стеклянный с диапазоном измерения температуры от 0 °C до 100 °C, ценой деления 1 °C по
ГОСТ 28498.
Спектрофотометр с диапазоном измерения в интервале длин волн от 350 до 700 нм, допустимой абсолютной погрешностью коэффициента пропускания не более 1%, укомплектованный компьютером, принтером и соответствующим программным обеспечением.
Баня водяная.
Кюветы кварцевые толщиной поглощающего слоя 1 см.
Колбы 2-100-2, 2-250-2, 2-500-2 по
ГОСТ 1770.
Стаканчики для взвешивания СВ-19/9 (24/10) или СН-34/12 по
ГОСТ 25336.
Палочка стеклянная.
Красители в соответствии с
3.1.
Калий фосфорнокислый однозамещенный, х.ч., по
ГОСТ 4198.
Натрий фосфорнокислый двузамещенный, ч.д.а., по
ГОСТ 11773.
Спирт этиловый ректификованный технический высшего сорта по
ГОСТ 18300.
Допускается использование других средств измерений, вспомогательных устройств, посуды по метрологическим и техническим характеристикам и реактивов по качеству, не уступающих вышеуказанным и обеспечивающих необходимую точность определения.
6.3.3 Отбор проб - по
6.1.
6.3.4 Условия проведения анализа
При подготовке и проведении измерения должны быть соблюдены следующие условия:
- температура окружающего воздуха ........................ | от 10 °C до 35 °C; |
- относительная влажность воздуха ......................... | от 40% до 95%; |
- напряжение в электросети ..................................... |  ; |
- частота тока в электросети .................................... | от 49 до 51 Гц. |
6.3.5 Подготовка к анализу
6.3.5.1 Приготовление водно-спиртового раствора
В мерную колбу вместимостью 250 см3 отмеряют цилиндром 50 см3 этилового спирта и 50 см3 дистиллированной воды. Закрывают колбу пробкой и тщательно перемешивают.
Раствор используют свежеприготовленный.
6.3.5.2 Приготовление растворов контрольных красителей
В стаканчике вместимостью 50 см3 взвешивают 0,2500 г контрольного красителя. Затем в стаканчик добавляют 20 см3 дистиллированной воды или водно-спиртового раствора по
6.3.5.1 в соответствии с
таблицей 4 и перемешивают стеклянной палочкой до полного растворения. Для интенсификации растворения допускается нагревание раствора в стаканчике на водяной бане до температуры не более 90 °C. Затем раствор охлаждают до (20 +/- 1) °C, переносят количественно в мерную колбу (с пришлифованной пробкой) вместимостью 500 см3, доводят объем раствора в колбе тем же растворителем до метки, закрывают колбу пробкой и тщательно перемешивают (раствор А).
Пипеткой отбирают 10 см3 раствора А и переносят в мерную колбу (с пришлифованной пробкой) вместимостью 250 см3. Доводят объем раствора в колбе до метки тем же растворителем, закрывают колбу пробкой и тщательно перемешивают (раствор Б).
Пипеткой отбирают 10 см3 раствора Б и переносят в мерную колбу (с пришлифованной пробкой) вместимостью 100 см3. Доводят объем раствора в колбе до метки тем же растворителем, закрывают колбу пробкой и тщательно перемешивают (раствор В).
6.3.5.3 Приготовление растворов анализируемых красителей проводят по
6.3.5.2.
6.3.6 Проведение анализа
Приготовленные растворы контрольного красителя (раствор В по
6.3.5.2) и анализируемого красителя (раствор В по
6.3.5.3) дозируют пипеткой в кюветы спектрофотометра и регистрируют спектры поглощения относительно оптической плотности дистиллированной воды в диапазоне длин волн от 350 до 700 нм в соответствии с инструкцией по эксплуатации спектрофотометра.
Спектры поглощения контрольного и анализируемого красителей должны быть идентичны, а длина волны, соответствующая максимуму светопоглощения анализируемого красителя, должна совпадать с длиной волны, соответствующей максимуму светопоглощения контрольного красителя (см.
таблицу 4).
6.4 Определение массовой доли основного красящего вещества
6.4.1 Сущность метода
Метод основан на определении массовой доли основного красящего вещества красителя по измерению интенсивности окраски его раствора спектрофотометрическим методом при длине волны, соответствующей максимуму светопоглощения контрольного красителя данного наименования.
6.4.2 Средства измерений, вспомогательное оборудование, реактивы и материалы
Для проведения анализа следует использовать средства измерений, вспомогательное оборудование, реактивы и материалы по
6.3.2.
6.4.3 Отбор проб - по
6.1.
6.4.4 Условия проведения анализа
При подготовке и проведении измерения должны быть соблюдены следующие условия:
- температура окружающего воздуха ........................ | от 10 °C до 35 °C; |
- относительная влажность воздуха ......................... | от 40% до 95%; |
- напряжение в электросети ..................................... |  ; |
- частота тока в электросети .................................... | от 49 до 51 Гц. |
6.4.5 Подготовка к анализу по
6.3.5.
Кювету спектрофотометра заполняют приготовленным по
6.3.5.3 раствором анализируемого красителя и измеряют оптическую плотность при длине волны, соответствующей максимуму светопоглощения в соответствии с
таблицей 4, относительно оптической плотности растворителя.
Оптическая плотность раствора анализируемого красителя должна находиться в диапазоне от 0,3 до 0,7 ед. о.п.
6.4.7 Обработка и оформление результатов измерений
6.4.7.1 Массовую долю основного красящего вещества в анализируемом красителе C, %, рассчитывают по формуле

(1)
или

, (2)
где
A - оптическая плотность раствора анализируемого красителя по
6.4.6, измеренная при условиях, указанных в
таблице 4;
V - объем раствора А по
6.3.5.3, см
3;
V = 500 см
3;
V1 - объем раствора Б по
6.3.5.3, см
3;
V1 = 250 см
3;
V2 - объем раствора А, взятого на приготовление раствора Б по
6.3.5.3, см
3;
V2 = 10 см
3;
V3 - объем раствора В по
6.3.5.3, см
3;
V3 = 100 см
3;
V4 - объем раствора Б, взятого на приготовление раствора В по
6.3.5.3, см
3;
V4 = 10 см
3;

- удельный коэффициент светопоглощения в соответствии с
таблицей 4, численно равный оптической плотности раствора красителя, с массовой долей красящего вещества 1% (1 г/100 см
3) при толщине поглощающего слоя 1 см, %
-1·см
-1;
d - толщина поглощающего слоя, см; d = 1 см;
m - масса пробы анализируемого красителя, взятой для анализа, г;
Вычисления проводят с записью результата до второго десятичного знака.
6.4.8 Контроль точности результатов измерений
За окончательный результат определений принимают среднеарифметическое значение двух параллельных определений Cср, %, округленное до первого десятичного знака, если выполняются условия приемлемости: абсолютное значение разности между результатами двух последовательных определений, полученными в условиях повторяемости при P = 95%, не превышает предела повторяемости r = 0,60%.
Абсолютное значение разности между результатами двух параллельных определений, полученными в условиях воспроизводимости при P = 95%, не превышает предела воспроизводимости R = 1,20%.
Границы абсолютной погрешности метода определения массовой доли красителя +/- 0,6% при P = 95%.
6.5 Определение массовой доли веществ, нерастворимых в воде
6.5.1 Отбор проб - по
6.1.
6.5.2 Массовую долю веществ, нерастворимых в воде определяют по ГОСТ 16922
(пункт 1.1), при этом для анализа берут пробу красителя массой (5,0 +/- 0,5) г.
6.6 Определение массовой доли веществ, экстрагируемых эфиром
6.6.1 Сущность метода
Метод основан на экстракции веществ, растворимых в эфире, отгонке эфира при температуре (55 +/- 5) °C и определении массы сухого остатка.
6.6.2 Средства измерений, вспомогательное оборудование, посуда, реактивы и материалы
Весы неавтоматического действия по
ГОСТ OIML R 76-1 с пределами допускаемой абсолютной погрешности +/- 0,001 г.
Весы со значением среднего квадратического отклонения (СКО), не превышающим 0,3 мг, и погрешностью от нелинейности не более +/- 0,6 мг.
Термометр жидкостный стеклянный с диапазоном измерения температуры от 0 °C до 150 °C, ценой деления 1 °C по
ГОСТ 28498.
Шкаф сушильный, обеспечивающий поддержание заданного режима температуры от 20 °C до 150 °C с погрешностью +/- 2 °C.
Эксикатор 2-100 по
ГОСТ 25336 с хлористым кальцием, предварительно прокаленным при температуре (300 +/- 50) °C в течение 2 ч.
Экстрактор Сокслета, состоящий из насадки для экстрагирования НЭТ-100 ТС по
ГОСТ 25336, холодильника ХШ-1-200-14/23 ХС по
ГОСТ 25336 и колбы К-1-50-14/23 ТС по
ГОСТ 25336 с взаимозаменяемыми шлифованными соединениями.
Установка для отгонки растворителя, состоящая из насадки Н1-19/26-14/23 ТС по
ГОСТ 25336, холодильника ХПТ-1-100-14/23 ХС по
ГОСТ 25336, аллонжа АКП-14/23-14/23 ТС по
ГОСТ 25336 и приемной колбы К-1-250-29/32 ТС по
ГОСТ 25336 с взаимозаменяемыми шлифованными соединениями.
Баня глицериновая.
Эфир диэтиловый с температурой кипения (35 +/- 1) °C и содержанием воды не более 0,7%, ч.д.а.
6.6.3 Отбор проб - по
6.1.
6.6.4 Условия проведения анализа
При подготовке и проведении измерения должны быть соблюдены следующие условия:
- температура окружающего воздуха ........................ | от 20 °C до 25 °C; |
- относительная влажность воздуха ......................... | от 40% до 90%; |
- напряжение в электросети ..................................... |  ; |
- частота тока в электросети .................................... | от 49 до 51 Гц. |
Помещение, где проводят работы с реактивами, должно быть обеспечено приточно-вытяжной вентиляцией.
Все операции с реактивами следует проводить в вытяжном шкафу.
6.6.5 Подготовка к анализу
6.6.5.1 Подготовка экстрактора Сокслета.
Колбу для экстрактора Сокслета сушат в сушильном шкафу при температуре (120 +/- 5) °C в течение 2 ч, затем охлаждают в эксикаторе в течение 40 мин и взвешивают с записью результата взвешивания до третьего десятичного знака. Высушивание колбы продолжают до тех пор, пока разница между результатами двух последовательных определений составит менее 0,001 г.
На фильтровальной бумаге взвешивают 5 г пробы анализируемого красителя с записью результата взвешивания до четвертого десятичного знака. Затем сворачивают фильтровальную бумагу с красителем в виде патрона и помещают патрон в насадку для экстрагирования.
6.6.5.2 Подготовка установки для отгонки растворителя
Собирают установку для отгонки растворителя, последовательно соединяя насадку с холодильником, а холодильник с приемной колбой через аллонж.
6.6.6 Проведение анализа
Насадку для экстрагирования, вместе с помещенным в нее патроном с пробой анализируемого красителя соединяют с колбой, подготовленной по
6.6.5.1, приливают в нее 40 см
3 диэтилового эфира и соединяют насадку для экстрагирования с холодильником. Колбу помещают в нагретую до температуры (55 +/- 5) °C глицериновую баню, обеспечивающую равномерное умеренное кипение диэтилового эфира. Экстракцию проводят в течение 5 ч, после чего отсоединяют колбу от насадки для экстрагирования, соединяют ее с насадкой установки для отгонки растворителя и помещают в нагретую до температуры (55 +/- 5) °C глицериновую баню. Упаривают содержимое колбы досуха, после чего сушат в сушильном шкафу при температуре (100 +/- 2) °C в течение 1 ч, затем охлаждают в эксикаторе в течение 40 мин и взвешивают с записью результата взвешивания до третьего десятичного знака. Высушивание колбы продолжают до тех пор, пока разница между результатами двух последовательных определений составит не более 0,001 г.
6.6.7 Обработка и оформление результатов измерений
Массовую долю веществ, экстрагируемых эфиром X1, %, вычисляют по формуле

, (3)
где M1 - масса колбы с сухим остатком веществ, экстрагируемых эфиром, г;
M2 - масса пустой колбы, г;
M - масса пробы анализируемого красителя по
6.6.5.1, г.
Вычисления проводят с записью результата до третьего десятичного знака.
6.6.8 Контроль точности результатов измерений
За окончательный результат определений принимают среднеарифметическое значение двух параллельных определений X1ср, %, округленное до второго десятичного знака, если выполняются условия приемлемости: абсолютное значение разности между результатами двух последовательных определений, полученными в условиях повторяемости при P = 95%, не превышает предела повторяемости r = 0,020%.
Абсолютное значение разности между результатами двух параллельных определений, полученными в условиях воспроизводимости при P = 95%, не превышает предела воспроизводимости R = 0,030%.
Границы абсолютной погрешности метода определения веществ, экстрагируемых эфиром +/- 0,02% при P = 95%.
6.7 Определение массовой доли сопутствующих красящих веществ
6.7.1 Сущность метода
Метод основан на разделении основных и сопутствующих красящих веществ красителей методом хроматографирования на бумаге, экстракции окрашенных зон хроматограммы, соответствующих основным и сопутствующим красящим веществам, и определении оптической плотности экстрактов при длинах волн, соответствующих максимумам светопоглощения основных и сопутствующих красящих веществ.
Удельные коэффициенты светопоглощения основных и сопутствующих красящих веществ принимаются равными.
6.7.2 Средства измерений, вспомогательное оборудование, посуда, реактивы и материалы
Весы со значением среднего квадратического отклонения (СКО), не превышающим 0,03 мг, и погрешностью от нелинейности +/- 0,06 мг.
Термометр жидкостный стеклянный с диапазоном измерения температуры от 0 °C до 100 °C, ценой деления 1 °C по
ГОСТ 28498.
Спектрофотометр с диапазоном измерения в интервале длин волн от 350 до 700 нм, допустимой абсолютной погрешностью коэффициента пропускания не более 1%, укомплектованный компьютером, принтером и соответствующим программным обеспечением.
Кюветы кварцевые толщиной поглощающего слоя 1 см.
Камера хроматографическая с крышкой.
Баня водяная.
Шкаф сушильный, обеспечивающий поддержание заданного режима температуры от 20 °C до 100 °C с погрешностью +/- 2 °C.
Микрошприц вместимостью 0,1 см3 с ценой деления не более 0,002 см3.
Пипетки 1-1(2)-1-1, 1-1(2)-1-5, 1-1(2)-1-10 по
ГОСТ 29227.
Стаканчики для взвешивания СВ-19/9 (24/10) или СН-34/12 по
ГОСТ 25336.
Палочка стеклянная.
Бумага хроматографическая размером не менее 20 x 20 см.
Бумага фильтровальная лабораторная ФОБ-III по
ГОСТ 12026.
Красители в соответствии с
3.1.
Спирт этиловый ректификованный технический высшего сорта по
ГОСТ 18300.
2-бутанон, ч.д.а.
Ацетонитрил, х.ч.
Натрий углекислый кислый по
ГОСТ 4201, ч.д.а.
Допускается использование других средств измерений, вспомогательного оборудования, посуды по метрологическим и техническим характеристикам, и реактивов по качеству, не уступающих вышеуказанным и обеспечивающих необходимую точность определения.
6.7.3 Отбор проб - по
6.1.
6.7.4 Условия проведения анализа - по
6.6.4.
6.7.5 Подготовка к анализу
6.7.5.1 Приготовление элюентов
Приготовление элюента 1. В мерную колбу вместимостью 50 см3 вносят пипетками, индивидуальными для каждого реактива, 10 см3 бутилового спирта, 2,25 см3 этилового спирта, 4,4 см3 дистиллированной воды и 0,1 см3 водного аммиака. Колбу закрывают стеклянной пробкой и тщательно перемешивают.
Раствор используют свежеприготовленный.
Приготовление элюента 2. В мерную колбу вместимостью 50 см3 вносят пипетками, индивидуальными для каждого реактива, 21 см3 2-бутанона, 9 см3 ацетона, 9 см3 дистиллированной воды и 0,07 см3 водного аммиака. Колбу закрывают стеклянной пробкой и тщательно перемешивают.
Раствор используют свежеприготовленный.
Приготовление элюента 3. В мерную колбу вместимостью 50 см3 вносят пипетками, индивидуальными для каждого реактива, 10 см3 ацетонитрила, 10 см3 изоамилового спирта, 3 см3 2-бутанона, 2 см3 дистиллированной воды и 1 см3 водного аммиака. Колбу закрывают стеклянной пробкой и тщательно перемешивают.
Раствор используют свежеприготовленный.
6.7.5.2 Приготовление экстрагента
В мерную колбу (с пришлифованной пробкой) вместимостью 50 см3 вносят пипетками, индивидуальными для каждого реактива, 10 см3 ацетона и 10 см3 дистиллированной воды. Колбу закрывают стеклянной пробкой и тщательно перемешивают.
Раствор используют свежеприготовленный.
6.7.5.3 Приготовление раствора кислого углекислого натрия массовой концентрации 4,2 г/дм3
4,2 г кислого углекислого натрия, растворяют в дистиллированной воде, в мерной колбе вместимостью 1000 см3, доводят объем раствора в колбе до метки дистиллированной водой, закрывают колбу пробкой и тщательно перемешивают.
Раствор используют свежеприготовленный.
6.7.5.4 Приготовление растворов контрольных красителей
В стакане вместимостью 50 см
3 взвешивают (500,0 +/- 0,1) мг контрольного красителя по
6.2. Затем прибавляют 20 см
3 дистиллированной воды и перемешивают стеклянной палочкой до полного растворения. Для интенсификации растворения допускается нагревание раствора в стакане на водяной бане до температуры не более 90 °C. Затем раствор охлаждают до температуры (20 +/- 1) °C, количественно переносят в мерную колбу (с пришлифованной пробкой) вместимостью 100 см
3, доводят объем раствора в колбе до метки дистиллированной водой, закрывают колбу пробкой и тщательно перемешивают.
Массовая доля контрольного красителя в полученном растворе Cк = 1%.
Раствор используют свежеприготовленный.
6.7.5.5 Приготовление растворов анализируемых красителей
В стакане вместимостью 50 см3 взвешивают (500,0 +/- 0,1) мг пробы анализируемого красителя. Затем прибавляют 20 см3 дистиллированной воды и перемешивают стеклянной палочкой до полного растворения. Для интенсификации растворения допускается нагревание раствора в стакане на водяной бане до температуры не более 90 °C. Затем раствор охлаждают до температуры (20 +/- 1) °C, количественно переносят в мерную колбу (с пришлифованной пробкой) вместимостью 100 см3, доводят объем раствора в колбе до метки дистиллированной водой, закрывают колбу пробкой и тщательно перемешивают.
Массовая доля анализируемого красителя в полученном растворе Cа = 1%.
Раствор используют свежеприготовленный.
6.7.5.6 Подготовка хроматографической камеры - по ГОСТ 28365.
6.7.5.7 Подготовка хроматографической бумаги
Хроматографическую бумагу готовят по
ГОСТ 28365 с нанесением на линию старта в виде полос по 0,1 см
3 растворов контрольного по
6.7.5.4 и анализируемого красителей по
6.7.5.5 с расстоянием между ними не менее 20 мм.
Анализ проводят по
ГОСТ 28365, используя для красителей E131 и E142 элюент 1, для красителя E133 - элюент 2, для красителя E143 - элюент 3, приготовленные по
6.7.5.1. Элюирование заканчивают при достижении элюентом 18 см от линии старта. По окончании элюирования хроматограмму вынимают пинцетом, сушат в сушильном шкафу при температуре (55 +/- 5) °C в течение 15 мин, охлаждают и вырезают окрашенные зоны, соответствующие основному красящему веществу контрольного красителя и сопутствующим красящим веществам анализируемого красителя.
Одновременно вырезают неокрашенные зоны хроматографической бумаги, равные по площади соответствующим окрашенным зонам.
Каждую вырезанную с хроматограммы зону помещают в четыре индивидуальных стакана вместимостью 50 см
3. В первый стакан - зоны, соответствующие сопутствующим красящим веществам в анализируемом красителе (раствор 1), во второй - зону, соответствующую основному красящему веществу контрольного красителя (раствор 2), в третий - неокрашенные зоны, равные по площади зонам сопутствующих красящих веществ анализируемого красителя (раствор 3), в четвертый - неокрашенную зону, равную по площади зоне основного красящего вещества анализируемого красителя (раствор 4). Затем добавляют пипеткой в каждый стакан по 5 см
3 экстрагента, приготовленного по
6.7.5.2 или этилового спирта для красителя E143, встряхивают в течение 3 мин, затем в каждый стакан пипеткой добавляют по 15 см
3 раствора кислого углекислого натрия, встряхивают, фильтруют полученные экстракты через бумажные фильтры в кварцевые кюветы.
Определяют с помощью спектрофотометра оптические плотности полученных фильтратов при длине волны, соответствующей максимуму светопоглощения в соответствии с
таблицей 4, используя в качестве растворов сравнения соответствующие неокрашенные фильтраты (раствор 1 против раствора 3 и раствор 2 против раствора 4).
6.7.7 Обработка результатов
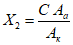
Массовую долю сопутствующих красящих веществ в анализируемом красителе X2, %, вычисляют по формуле

(4)
где C - массовая доля красящих веществ в анализируемом красителе по
6.4, %;
A
а - оптическая плотность раствора сопутствующих красящих веществ анализируемого красителя по
6.7.6 (раствор 1);
A
к - оптическая плотность раствора основного красящего вещества контрольного красителя по
6.7.6 (раствор 2).
Вычисления проводят с записью результата до второго десятичного знака.
6.7.8 Контроль точности результатов измерений
За окончательный результат определений принимают среднеарифметическое значение двух параллельных определений X2ср, %, округленное до первого десятичного знака, если выполняются условия приемлемости: абсолютное значение разности между результатами двух последовательных определений, полученными в условиях повторяемости при P = 95%, не превышает предела повторяемости r = 0,20%.
Абсолютное значение разности между результатами двух параллельных определений, полученными в условиях воспроизводимости при P = 95%, не превышает предела воспроизводимости R = 0,30%.
Границы абсолютной погрешности метода определения массовой доли сопутствующих красящих веществ в анализируемом красителе +/- 0,2% при P = 95%.
6.8 Определение массовой доли несульфированных первичных ароматических аминов
6.8.1 Сущность метода
Метод основан на экстракции несульфированных первичных ароматических аминов из щелочного раствора красителя толуолом, реэкстракции из толуола в соляную кислоту, последующем диазотировании нитритом натрия, сочетании с 2-нафтол-6-сульфокислотой и спектрофотометрическом измерении оптической плотности полученных окрашенных соединений.
6.8.2 Средства измерений, вспомогательное оборудование, посуда, реактивы
Весы неавтоматического действия по
ГОСТ OIML R 76-1 с пределами допускаемой абсолютной погрешности +/- 0,001 г.
Весы со значением среднего квадратического отклонения (СКО), не превышающим 0,3 мг, и погрешностью от нелинейности +/- 0,6 мг.
Термометр жидкостный стеклянный с диапазоном измерения температуры от 0 °C до 100 °C, ценой деления 1 °C по
ГОСТ 28498.
Спектрофотометр с диапазоном измерения в интервале длин волн от 350 до 700 нм, допустимой абсолютной погрешностью коэффициента пропускания не более 1%.
Кюветы кварцевые толщиной поглощающего слоя 4 см.
Баня водяная.
Пипетки 1-1(2)-1-0,5; 1-1(2)-1-1; 1-1(2)-1-10 по
ГОСТ 29227.
Пипетки 2-1-5; 2-1-10; 2-1-20; 2-1-25 по
ГОСТ 29169.
Палочка стеклянная.
Натрий углекислый по
ГОСТ 83, ч.д.а.
Анилин по
ГОСТ 5819, ч.д.а., с температурой кипения от 183 °C до 185 °C.
2-нафтол-3,6-дисульфокислоты динатриевая соль (соль Шеффера), ч.д.а.
Допускается использование других средств измерений, вспомогательного оборудования, посуды по метрологическим и техническим характеристикам и реактивов по качеству не уступающих вышеуказанным и обеспечивающих необходимую точность определения.
6.8.3 Отбор проб - по
6.1.
6.8.4 Условия проведения анализа - по
6.6.4.
6.8.5 Подготовка к анализу
6.8.5.1 Раствор соляной кислоты молярной концентрации
c (HCl) = 1 моль/дм
3 готовят по
ГОСТ 25794.1.
Срок хранения раствора при температуре (20 +/- 2) °C - не более 1 мес.
6.8.5.2 Раствор соляной кислоты молярной концентрации
c (HCl) = 3 моль/дм
3 готовят по
ГОСТ 25794.1 в колбе вместимостью 1000 см
3 разбавлением 270,0 см
3 соляной кислоты плотностью 1,174 г/см
3 или 255,0 см
3 соляной кислоты плотностью 1,188 г/см
3 дистиллированной водой до объема 1000 см
3.
Срок хранения раствора при температуре (20 +/- 2) °C - не более 1 мес.
6.8.5.3 Приготовление раствора бромистого калия массовой долей 50%
Бромистый калий массой 10 г растворяют в 10 см3 дистиллированной воды в колбе вместимостью 100 см3.
Раствор используют свежеприготовленный.
6.8.5.4 Приготовление раствора углекислого натрия молярной концентрации
c (Na
2CO
3) = 1 моль/дм
3
Углекислый натрий массой 106 г помещают в мерную колбу вместимостью 1000 см3, растворяют в 300 см3 дистиллированной воды, доводят объем дистиллированной водой до метки и перемешивают.
Срок хранения раствора при температуре (20 +/- 2) °C - не более 1 мес.
6.8.5.5 Раствор гидроокиси натрия молярной концентрации
c (NaOH) = 1 моль/дм
3 готовят по
ГОСТ 25794.1.
Срок хранения раствора при температуре (20 +/- 2) °C - не более 1 мес.
6.8.5.6 Раствор гидроокиси натрия молярной концентрации
c (NaOH) = 0,1 моль/дм
3 готовят по
ГОСТ 25794.1.
Срок хранения раствора при температуре (20 +/- 2) °C - не более 1 мес.
6.8.5.7 Раствор азотистокислого натрия молярной концентрации
c (NaNO
2) = 0,5 моль/дм
3 готовят по
ГОСТ 25794.1.
Раствор используют свежеприготовленный.
6.8.5.8 Приготовление раствора динатриевой соли 2-нафтол-3,6-дисульфокислоты (соли Шеффера)
15,2 г динатриевой соли 2-нафтол-3,6-дисульфокислоты (соль Шеффера) помещают в мерную колбу вместимостью 1000 см3, растворяют в 300 см3 дистиллированной воды, доводят объем дистиллированной водой до метки и перемешивают.
Раствор используют свежеприготовленный.
6.8.5.9 Приготовление раствора анилина
0,1000 г анилина помещают в мерную колбу вместимостью 100 см
3, добавляют 30 см
3 раствора соляной кислоты, приготовленного по
6.8.5.2, доводят объем дистиллированной водой до метки и тщательно перемешивают (раствор А).
10 см3 раствора А помещают в мерную колбу с пришлифованной пробкой вместимостью 100 см3. Доводят объем раствора в колбе до метки дистиллированной водой, закрывают колбу пробкой и тщательно перемешивают (раствор Б).
1 см3 раствора Б содержит 0,0001 г анилина.
Раствор используют свежеприготовленный.
6.8.5.10 Приготовление раствора соли Шеффера в растворе углекислого натрия
В колбу вместимостью 250 см
3 вносят 10 см
3 раствора динатриевой соли 2-нафтол-3,6-дисульфокислоты (соли Шеффера) по
6.8.5.8, прибавляют 100 см
3 раствора углекислого натрия по
6.8.5.4 и тщательно перемешивают (раствор C).
Раствор используют свежеприготовленный.
6.8.5.11 Приготовление раствора сравнения
В мерную колбу вместимостью 25 см
3 вносят 10 см
3 раствора соляной кислоты по
6.8.5.1, прибавляют 10 см
3 раствора углекислого натрия по
6.8.5.4 и 2 см
3 раствора динатриевой соли 2-нафтол-3,6-дисульфокислоты (соли Шеффера) по
6.8.5.8, доводят объем раствора в колбе до метки дистиллированной водой и тщательно перемешивают.
Раствор используют свежеприготовленный.
6.8.6 Построение градуировочной зависимости
В каждую мерную колбу вместимостью 100 см
3 вносят соответственно 5; 10; 15; 20; 25 см
3 раствора Б по
6.8.5.9, доводят объем в каждой колбе до метки раствором соляной кислоты по
6.8.5.1 и тщательно перемешивают.
Из каждой колбы отбирают по 10 см
3 раствора и вносят в сухие мерные колбы вместимостью 25 см
3, помещают колбы в баню со льдом и охлаждают в течение 10 мин. Затем в каждую колбу добавляют 1 см
3 раствора бромистого калия по
6.8.5.3 и 0,05 см
3 раствора азотистокислого натрия по
6.8.5.7, после чего перемешивают. Колбы выдерживают в бане со льдом в течение 10 мин. Затем в каждую колбу добавляют 11 см
3 раствора C по
6.8.5.10. Затем доводят объем в каждой колбе до метки дистиллированной водой, закрывают пробкой, тщательно перемешивают и помещают в темное место на 15 мин, после чего измеряют оптическую плотность растворов на спектрофотометре при длине волны 510 нм против раствора сравнения по
6.8.5.11.
Градуировочную зависимость строят, откладывая по оси абсцисс содержание анилина (г) в градуировочных растворах, а по оси ординат - соответствующие значения измеренной оптической плотности.
В стакане вместимостью 100 см3 взвешивают 2,0000 г пробы анализируемого красителя. Затем прибавляют 50 см3 дистиллированной воды и перемешивают стеклянной палочкой до полного растворения. Для интенсификации растворения допускается нагревание раствора в стакане на водяной бане до температуры не более 90 °C.
Затем раствор охлаждают до температуры (20 +/- 1) °C, количественно переносят в делительную воронку, используя для этого 50 см
3 дистиллированной воды, прибавляют 5 см
3 раствора гидроокиси натрия по
6.8.5.5, 50 см
3 толуола и интенсивно встряхивают в течение (5 +/- 1) мин.
После разделения фаз верхний толуольный слой переносят пипеткой в колбу вместимостью 250 см3 и повторяют процедуру, прибавляя к оставшемуся в делительной воронке водному слою 50 см3 толуола. Затем нижний водный слой сливают, а полученные толуольные экстракты объединяют в делительной воронке.
В делительную воронку с объединенным толуольным экстрактом прибавляют 10 см
3 раствора гидроокиси натрия по
6.8.5.6 и интенсивно встряхивают в течение (5 +/- 1) мин. После разделения фаз нижний слой сливают, прибавляют к оставшемуся в делительной воронке толуольному экстракту 10 см
3 раствора гидроокиси натрия по
6.8.5.6 и повторяют процедуру промывки до получения бесцветного нижнего слоя (полного удаления красящих веществ из толуольного экстракта) в делительной воронке, который сливают.
Затем в делительную воронку с промытым толуольным экстрактом прибавляют 10 см
3 раствора соляной кислоты по
6.8.5.2 и интенсивно встряхивают в течение (5 +/- 1) мин. После разделения фаз нижний слой переносят в мерную колбу вместимостью 100 см
3. В делительную воронку с толуольным экстрактом прибавляют 10 см
3 раствора и повторяют процедуру еще два раза, каждый раз сливая нижний слой в мерную колбу, после чего объем в колбе доводят до метки дистиллированной водой и тщательно перемешивают (раствор Д).
10 см
3 раствора Д вносят в мерную колбу вместимостью 25 см
3, помещают колбу в баню со льдом и охлаждают в течение 10 мин. Затем добавляют 1 см
3 раствора бромистого калия по
6.8.5.3 и 0,05 см
3 раствора азотистокислого натрия по
6.8.5.7, после чего перемешивают. Колбу выдерживают в бане со льдом в течение 10 мин. Затем добавляют 11 см
3 раствора C по
6.8.5.10, доводят объем до метки дистиллированной водой, закрывают пробкой, тщательно перемешивают и помещают в темное место на 15 мин. Измеряют оптическую плотность раствора на спектрофотометре при длине волны 510 нм против раствора сравнения по
6.8.5.11.
По градуировочной зависимости находят количество анилина.
6.8.8 Обработка и оформление результатов измерения
Массовую долю первичных несульфированных ароматических аминов X3, %, вычисляют по формуле

(5)
где K - количество первичных несульфированных ароматических аминов (анилина), найденное по градуировочному графику, г;
m - масса пробы анализируемого красителя, по
6.8.7, г;
100 - коэффициент пересчет в результата в проценты.
Вычисления проводят с записью результата до четвертого десятичного знака.
6.8.9 Контроль точности результатов измерений
За окончательный результат определений принимают среднеарифметическое значение двух параллельных определений X3ср, %, округленное до третьего десятичного знака, если выполняются условия приемлемости: абсолютное значение разности между результатами двух последовательных определений, полученными в условиях повторяемости при P = 95%, не превышает предела повторяемости r = 0,0010%.
Абсолютное значение разности между результатами двух параллельных определений, полученными в условиях воспроизводимости при P = 95%, не превышает предела воспроизводимости R = 0,0020%.
Границы абсолютной погрешности метода определения первичных несульфированных ароматических аминов +/- 0,001% при P = 95%.
6.9 Определение массовой доли потерь при высушивании
6.9.1 Сущность метода
Метод основан на термогравиметрическом определении потерь при высушивании красителей до постоянной массы.
6.9.2 Средства измерений, вспомогательное оборудование, посуда, реактивы
Весы неавтоматического действия по
ГОСТ OIML R 76-1 с пределами допускаемой абсолютной погрешности +/- 0,001 г.
Весы со значением среднего квадратического отклонения (СКО), не превышающим 0,3 мг, и с погрешностью от нелинейности +/- 0,6 мг.
Термометр жидкостный стеклянный с диапазоном измерения температуры от 0 °C до 200 °C, ценой деления 1 °C по
ГОСТ 28498.
Шкаф сушильный, обеспечивающий поддержание заданного режима температуры от 20 °C до 150 °C с погрешностью +/- 2 °C.
Эксикатор 2-100 по
ГОСТ 25336 с хлористым кальцием, предварительно прокаленным при температуре (300 +/- 50) °C в течение 2 ч.
Стаканчики для взвешивания СВ-19/9 (24/10) или СН-34/12 по
ГОСТ 25336.
Допускается использование других средств измерений, вспомогательного оборудования, посуды по метрологическим и техническим характеристикам и реактивов по качеству, не уступающих вышеуказанным и обеспечивающих необходимую точность определения.
6.9.3 Отбор проб - по
6.1.
6.9.4 Условия проведения анализа - по
6.3.4.
6.9.5 Проведение анализа
Открытый стеклянный стаканчик вместе с крышкой помещают в сушильный шкаф, нагретый до температуры 135 °C, и выдерживают в течение 1 ч. Затем стаканчик закрывают крышкой, помещают в эксикатор, охлаждают до температуры (20 +/- 2) °C и взвешивают.
Высушивание стаканчика с крышкой повторяют при тех же условиях до тех пор, пока разница между результатами двух последовательных взвешиваний составит не более 0,0001 г.
Затем в стаканчик вносят 2,000 г пробы, взвешивают, помещают в открытом виде вместе с крышкой в сушильный шкаф и сушат в течение 4 ч при температуре 135 °C. Затем стаканчик с пробой закрывают крышкой, помещают в эксикатор, охлаждают до температуры (20 +/- 2) °C и взвешивают.
Высушивание стаканчика с пробой при тех же условиях продолжают до тех пор, пока разница между результатами двух последовательных взвешиваний составит не более 0,0001 г.
6.9.6 Обработка и оформление результатов измерения
Массовую долю потерь при высушивании X4, %, вычисляют по формуле

, (6)
где m - масса сухого стаканчика, г;
m1 - масса стаканчика с пробой анализируемого красителя до высушивания, г;
m2 - масса стаканчика с пробой после высушивания, г;
100 - коэффициент пересчета результата в проценты.
Вычисления проводят с записью результата до второго десятичного знака.
Окончательный результат записывают с точностью до первого десятичного знака.
6.9.7 Контроль точности результатов измерений
За окончательный результат определения принимают среднеарифметическое значение X4ср, %, двух параллельных определений массовой доли потерь при высушивании, полученных в условиях повторяемости, если выполняется условие приемлемости
(Xмакс - Xмин)100/X4ср <= r, (7)
где Xмакс - максимальная массовая доля потерь при высушивании;
Xмин - минимальная массовая доля потерь при высушивании;
X4ср - среднее значение двух параллельных измерений массовой доли потерь при высушивании;
r - значение предела повторяемости, %, приведенное в
таблице 7.
Результат анализа представляют в виде

, при P = 0,95 (8)
где X4ср - среднеарифметическое значение результатов двух определений, признанных приемлемыми, %;

- границы относительной погрешности измерений, %.
Предел повторяемости r и воспроизводимости R, а также показатель точности

для измерений массовой доли потерь при высушивании представлены в
таблице 7.
Предел повторяемости r, % отн., при P = 0,95 | Предел воспроизводимости R, % отн., при P = 0,95 | Показатель точности (границы относительной погрешности)  , %, при P = 0,95 |
3,0 | 5,0 | 3,0 |
6.10 Определение массовой доли лейкооснования
6.10.1 Сущность метода
Метод основан на окислении неокрашенного лейкооснования красителя до соответствующего окрашенного соединения кислородом воздуха в присутствии хлорида двухвалентной меди и диметилформамида, определении массовой доли лейкооснования посредством измерения увеличения интенсивности окраски раствора, эквивалентного содержанию присутствующего в красителе лейкооснования, спектрофотометрическим методом при длине волны, соответствующей максимуму светопоглощения красителя данного наименования.
6.10.2 Средства измерений, вспомогательное оборудование, посуда, реактивы
Весы неавтоматического действия по
ГОСТ OIML R 76-1 с пределами допускаемой абсолютной погрешности +/- 0,001 г.
Термометр жидкостный стеклянный с диапазоном измерения температуры от 0 °C до 100 °C, ценой деления 1 °C по
ГОСТ 28498.
Спектрофотометр с диапазоном измерения в интервале длин волн от 350 до 700 нм, допустимой абсолютной погрешностью коэффициента пропускания не более 1%, укомплектованный компьютером, принтером и соответствующим программным обеспечением.
Компрессор воздушный, обеспечивающий скорость подачи воздуха от 0,2 до 2 дм3/мин.
Кюветы кварцевые толщиной поглощающего слоя 1 см.
Баня водяная.
Палочка стеклянная.
Красители в соответствии с
3.1.
Медь двухлористая 2-водная, ч.д.а., по
ГОСТ 4167.
Допускается использование других средств измерений, вспомогательного оборудования, посуды по метрологическим и техническим характеристикам и реактивов, по качеству не уступающих вышеуказанным и обеспечивающих необходимую точность определения.
6.10.3 Отбор проб - по
6.1.
6.10.4 Условия проведения анализа - по
6.6.4.
6.10.5 Подготовка к анализу
Растворы для анализа должны приготавливаться так быстро, насколько это возможно, и использоваться свежеприготовленными.
6.10.5.1 Приготовление раствора двухлористой меди
В стакан вместимостью 250 см3 взвешивают 10,0 г двухлористой меди. Затем прибавляют 200 см3 диметилформамида и перемешивают стеклянной палочкой до полного растворения и количественно переносят в мерную колбу (с пришлифованной пробкой) вместимостью 1000 см3, доводят объем раствора в колбе до метки диметилформамидом, закрывают колбу пробкой и тщательно перемешивают.
6.10.5.2 Приготовление раствора красителя
В стакан вместимостью 250 см
3 взвешивают пробу анализируемого красителя в соответствии с
таблицей 8. Затем прибавляют 100 см
3 дистиллированной воды и перемешивают стеклянной палочкой до полного растворения. Для интенсификации растворения допускается нагревание раствора в стакане на водяной бане до температуры не более 90 °C. Затем раствор охлаждают до температуры (20 +/- 1) °C, количественно переносят в мерную колбу (с пришлифованной пробкой) вместимостью 1000 см
3, доводят объем раствора в колбе до метки дистиллированной водой, закрывают колбу пробкой и тщательно перемешивают.
Таблица 8
Масса пробы для определения массовой доли лейкооснования
Наименование красителя | Масса пробы красителя, мг | Отношение массы красящих веществ к массе лейкооснования |
Синий патентованный V E131 | 110 +/- 5 | |
натриевая соль | | 0,9596 |
1/2 кальциевая соль | | 0,9640 |
Синий блестящий FCF E133 | 120 +/- 5 | 0,9706 |
Зеленый S E142 | 110 +/- 5 | 0,9600 |
Зеленый прочный FCF E143 | 130 +/- 5 | 0,9710 |
6.10.5.3 Приготовление раствора сравнения
В мерную колбу вместимостью 250 см3 вносят пипеткой 50 см3 диметилформамида, закрывают пробкой и помещают в защищенное от света место (раствор а).
Раствор используют свежеприготовленный.
6.10.5.4 Приготовление контрольного раствора
В мерную колбу вместимостью 250 см
3 вносят пипетками, индивидуальными для каждого реактива, 10 см
3 раствора анализируемого красителя по
6.10.5.2 и 50 см
3 диметилформамида, закрывают пробкой и помещают в защищенное от света место (раствор б).
Раствор используют свежеприготовленный.
6.10.6 Проведение анализа
6.10.6.1 В мерную колбу вместимостью 250 см
3 вносят пипеткой 50 см
3 раствора двухлористой меди по
6.10.5.1. Пипетку вместимостью 5 см
3 соединяют гибким шлангом с компрессором и помещают свободным концом в колбу. Включают компрессор и в течение 30 мин медленно подают воздух в колбу, не допуская разбрызгивания жидкости. Затем вынимают пипетку из колбы, выключают компрессор и смывают раствор со стенок пипетки водой в колбу (раствор в).
6.10.6.2 В мерную колбу вместимостью 250 см
3 вносят пипетками, индивидуальными для каждого реактива, 10 см
3 раствора анализируемого красителя по
6.10.5.2 и 50 см
3 раствора двухлористой меди по
6.10.5.1. Пипетку вместимостью 5 см
3 соединяют гибким шлангом с компрессором и помещают свободным концом в колбу. Включают компрессор и в течение 30 мин медленно подают воздух в колбу, не допуская разбрызгивания жидкости. Затем вынимают пипетку из колбы, выключают компрессор и смывают раствор со стенок пипетки водой в колбу (раствор г).
Затем прибавляют в каждую из колб с растворами а, б, в и г по 150 см3 дистиллированной воды, помещают колбы в водяную баню и охлаждают их до (20 +/- 1) °C, выдерживая колбы в водяной бане не более 10 мин. Затем доводят объем растворов в колбах до метки дистиллированной водой, перемешивают, заполняют кюветы спектрофотометра полученными растворами и измеряют оптическую плотность при длине волны, соответствующей максимуму светопоглощения в соответствии с
таблицами 4 и
9.
Таблица 9
Порядок измерения оптической плотности растворов
Номер измерения | Раствор сравнения | Измеряемый раствор |
1 | а | а |
2 | а | б |
3 | в | в |
4 | в | г |
6.10.7 Обработка результатов
Массовую долю лейкооснования в анализируемом красителе X5, %, вычисляют по формуле

, (9)
или

, (10)
где
A4 - разность между оптической плотностью раствора г (см.
6.10.6.2) и оптической плотностью раствора в (см.
6.10.6.1)
A4 = Aг - Aв, (11)
где Aг - оптическая плотность раствора красителя (см.
6.10.6.2, раствор г), измеренная при условиях, указанных в
таблице 4;
Aв - оптическая плотность раствора в (см.
6.10.6.1), измеренная при условиях, указанных в
таблице 4;
A1 и A3 - оптические плотности полученные в результате измерений N 1 и N 3 при условиях, указанных в
таблице 4;
A2 - разность между оптической плотностью раствора б (см.
6.10.5.4) и оптической плотностью раствора а (см.
6.10.5.3)
A2 = Aб - Aа, (12)
где
Aб - оптическая плотность контрольного раствора анализируемого красителя (см.
6.10.5.4, раствор б), измеренная при условиях, указанных в
таблице 4;
Aа - оптическая плотность раствора сравнения (см.
6.10.5.3, раствор а), измеренная при условиях, указанных в
таблице 4;
V1 - объем раствора анализируемого красителя (см.
6.10.5.2), дм
3;
V1 = 1 дм3;
V3 - объем раствора анализируемого красителя (см.
6.10.6.2), см
3;
V3 = 250 см3;
V2 - объем раствора анализируемого красителя (см.
6.10.5.4), взятого для анализа, см
3;
V2 = 10 см
3;
E - удельный коэффициент светопоглощения в соответствии с
таблицей 4, дм
3/мг·см;
d - толщина поглощающего слоя, см; d = 1 см;
m - масса пробы анализируемого красителя, взятой для анализа, в соответствии с
таблицей 8, г;
r - отношение массы красящих веществ красителя к массе лейкооснования в соответствии с
таблицей 8;
100 - пересчет результата в %.
Вычисления проводят с записью результата до второго десятичного знака.
За окончательный результат определений принимают среднеарифметическое значение двух параллельных определений X5ср, %, округленное до первого десятичного знака, если выполняются условия приемлемости: абсолютное значение разности между результатами двух последовательных определений, полученными в условиях повторяемости при P = 95%, не превышает предела повторяемости r = 0,40%.
Абсолютное значение разности между результатами двух параллельных определений, полученными в условиях воспроизводимости при P = 95%, не превышает предела воспроизводимости R = 0,70%.
Границы абсолютной погрешности метода определения массовой доли сопутствующих красящих веществ в анализируемом красителе +/- 0,4% при P = 95%.
6.11 Определение содержания токсичных элементов
6.11.1 Отбор проб - по
6.1.
6.11.5 Массовую долю ртути определяют по
ГОСТ 26927.
7 Транспортирование и хранение
7.1 Красители перевозят в крытых транспортных средствах всеми видами транспорта в соответствии с правилами транспортирования грузов, действующими на соответствующих видах транспорта.
7.2 Красители хранят в упаковке изготовителя в сухих отапливаемых складских помещениях на деревянных стеллажах или поддонах при температуре (20 +/- 5) °C и относительной влажности воздуха не более 60%.
7.3 Не допускается транспортирование и хранение красителей совместно с сильными окислителями, кислотами, щелочами, обесцвечивающими и резко пахнущими химикатами.
7.4 Срок годности красителей устанавливает изготовитель.
Рекомендуемый срок годности красителей - три года со дня изготовления.
| ТР ТС 029/2012 Технический регламент Таможенного союза "Требования безопасности пищевых добавок, ароматизаторов и технологических вспомогательных средств" |
| ТР ТС 021/2011 Технический регламент Таможенного союза "О безопасности пищевой продукции" |
| ТР ТС 005/2011 Технический регламент Таможенного союза "О безопасности упаковки" |
| ТР ТС 022/2011 Технический регламент Таможенного союза "Пищевая продукция в части ее маркировки" |
| ИСО 2859-1:1999 Процедуры выборочного контроля по качественным признакам. Часть 1. Планы выборочного контроля с указанием приемлемого уровня качества (AQL) для последовательного контроля партий |
УДК 663.05:006.354 | | |
Ключевые слова: пищевая добавка, пищевой краситель, показатели качества и безопасности, упаковка, маркировка, правила приемки, методы контроля, транспортирование и хранение |