Главная // Актуальные документы // Ведомость (форма)СПРАВКА
Источник публикации
М.: Стандартинформ, 2018
Примечание к документу
Документ
введен в действие с 01.06.2019.
Взамен ГОСТ 31345-2007.
Название документа
"ГОСТ 31345-2017. Межгосударственный стандарт. Техника сельскохозяйственная. Сеялки тракторные. Методы испытаний"
(введен в действие Приказом Росстандарта от 19.10.2018 N 815-ст)
"ГОСТ 31345-2017. Межгосударственный стандарт. Техника сельскохозяйственная. Сеялки тракторные. Методы испытаний"
(введен в действие Приказом Росстандарта от 19.10.2018 N 815-ст)
по техническому регулированию
и метрологии
от 19 октября 2018 г. N 815-ст
МЕЖГОСУДАРСТВЕННЫЙ СТАНДАРТ
ТЕХНИКА СЕЛЬСКОХОЗЯЙСТВЕННАЯ
СЕЯЛКИ ТРАКТОРНЫЕ
МЕТОДЫ ИСПЫТАНИЙ
Agricultural machinery. Tractor seeders. Test methods
(ISO 7256-1:1984, NEQ)
(ISO 7256-2:1984, NEQ)
ГОСТ 31345-2017
Дата введения
1 июня 2019 года
Цели, основные принципы и основной порядок проведения работ по межгосударственной стандартизации установлены в
ГОСТ 1.0-2015 "Межгосударственная система стандартизации. Основные положения" и
ГОСТ 1.2-2015 "Межгосударственная система стандартизации. Стандарты межгосударственные, правила и рекомендации по межгосударственной стандартизации. Правила разработки, принятия, обновления и отмены"
1 РАЗРАБОТАН Новокубанским филиалом Федерального государственного бюджетного научного учреждения "Российский научно-исследовательский институт информации и технико-экономических исследований по инженерно-техническому обеспечению агропромышленного комплекса" (КубНИИТиМ)
2 ВНЕСЕН Федеральным агентством по техническому регулированию и метрологии
3 ПРИНЯТ Межгосударственным советом по стандартизации, метрологии и сертификации (протокол от 30 ноября 2017 г. N 52)
За принятие проголосовали:
Краткое наименование страны по МК (ИСО 3166) 004-97 | Код страны по МК (ИСО 3166) 004-97 | Сокращенное наименование национального органа по стандартизации |
Армения | AM | Минэкономики Республики Армения |
Беларусь | BY | Госстандарт Республики Беларусь |
Казахстан | KZ | Госстандарт Республики Казахстан |
Киргизия | KG | Кыргызстандарт |
Россия | RU | Росстандарт |
Таджикистан | TJ | Таджикстандарт |
Узбекистан | UZ | Узстандарт |
4
Приказом Федерального агентства по техническому регулированию и метрологии от 19 октября 2018 г. N 815-ст межгосударственный стандарт ГОСТ 31345-2017 введен в действие в качестве национального стандарта Российской Федерации с 1 июня 2019 г.
5 В настоящем стандарте учтены основные нормативные положения следующих международных стандартов:
- ISO 7256-1:1984 "Оборудование посевное. Методы испытаний. Часть 1. Однозерновые сеялки (сеялки точного высева)" ("Sowing equipment - Test methods - Part 1: Single seed drills (precision drills)", NEQ);
- ISO 7256-2:1984 "Оборудование посевное. Методы испытаний. Часть 2. Рядовые сеялки" ("Sowing equipment - Test methods - Part 2: Seed drills for sowing in lines", NEQ)
6 ВЗАМЕН ГОСТ 31345-2007
Информация об изменениях к настоящему стандарту публикуется в ежегодном информационном указателе "Национальные стандарты", а текст изменений и поправок - в ежемесячном информационном указателе "Национальные стандарты". В случае пересмотра (замены) или отмены настоящего стандарта соответствующее уведомление будет опубликовано в ежемесячном информационном указателе "Национальные стандарты". Соответствующая информация, уведомление и тексты размещаются также в информационной системе общего пользования - на официальном сайте Федерального агентства по техническому регулированию и метрологии в сети Интернет (www.gost.ru)
Настоящий стандарт распространяется на сеялки тракторные, предназначенные для посева зерновых, зернобобовых культур, семян льна, конопли, трав, овощных и бахчевых культур, сахарной свеклы, подсолнечника, кукурузы, хлопчатника, клещевины, арахиса, сои, сорго, а также сеялки, встраиваемые в почвообрабатывающе-посевные агрегаты (комплексы) для высева вышеперечисленных культур с одновременным внесением минеральных удобрений (далее - сеялки).
Стандарт устанавливает методы испытаний вышеперечисленных типов машин.
В настоящем стандарте использованы нормативные ссылки на следующие межгосударственные стандарты:
ГОСТ 12.2.002-91 Система стандартов безопасности труда. Техника сельскохозяйственная. Методы оценки безопасности
ГОСТ 12.2.111-85 Система стандартов безопасности труда. Машины сельскохозяйственные навесные и прицепные. Общие требования безопасности <*>
--------------------------------
<*> В Российской Федерации действует
ГОСТ Р 53489-2009 "Система стандартов безопасности труда. Машины сельскохозяйственные навесные и прицепные. Общие требования безопасности".
ГОСТ 427-75 Линейки измерительные металлические. Технические условия
ГОСТ 7502-98 Рулетки измерительные металлические. Технические условия
ГОСТ 12036-85 Семена сельскохозяйственных культур. Правила приемки и методы отбора проб
ГОСТ 12037-81 Семена сельскохозяйственных культур. Методы определения чистоты и отхода семян
ГОСТ 12038-84 Семена сельскохозяйственных культур. Методы определения всхожести
ГОСТ 12041-82 Семена сельскохозяйственных культур. Метод определения влажности
ГОСТ 12042-80 Семена сельскохозяйственных культур. Методы определения массы 1000 семян
ГОСТ 16504-81 Система государственных испытаний продукции. Испытания и контроль качества продукции. Основные термины и определения
ГОСТ 20290-74 Семена сельскохозяйственных культур. Определение посевных качеств семян. Термины и определения
ГОСТ 20915-2011 Испытания сельскохозяйственной техники. Методы определения условий испытаний
ГОСТ 21560.1-82 Удобрения минеральные. Метод определения гранулометрического состава
ГОСТ 21623-76 Система технического обслуживания и ремонта техники. Показатели для оценки ремонтопригодности. Термины и определения
ГОСТ 21820.1-76 Семена хлопчатника. Метод определения всхожести
ГОСТ 21820.2-76 Семена хлопчатника. Метод определения влажности
ГОСТ 21820.3-76 Семена хлопчатника. Методы определения засоренности, механической поврежденности, остаточной волокнистости, остаточной опушенности и горелости
ГОСТ 21820.4-76 Семена хлопчатника. Методы определения наличия осыпавшейся протравливающей смеси, выравненности по размерам, зараженности амбарными вредителями
ГОСТ 22617.1-77 Семена сахарной свеклы. Методы определения чистоты, отхода семян, выравненности по размерам, односемянности
ГОСТ 22617.2-94 Семена сахарной свеклы. Методы определения всхожести, одноростковости и доброкачественности
ГОСТ 22617.3-77 Семена сахарной свеклы. Метод определения влажности
ГОСТ 22617.4-91 Семена свеклы. Методы определения массы 1000 семян и массы одной посевной единицы
ГОСТ 24055-2016 Техника сельскохозяйственная. Методы эксплуатационно-технологической оценки
ГОСТ 26025-83 Машины и тракторы сельскохозяйственные и лесные. Методы измерений конструктивных параметров
ГОСТ 26026-83 Машины и тракторы сельскохозяйственные и лесные. Методы оценки приспособленности к техническому обслуживанию
ГОСТ 26336-97 Тракторы, машины для сельского и лесного хозяйства, самоходные механизмы для газонов и садов. Условные обозначения (символы) элементов систем управления, обслуживания и отображения информации <*>
--------------------------------
<*> В Российской Федерации действует ГОСТ 26336-84 (ИСО 3767-1-82, ИСО 3767-2-82, ИСО 3767-3-88) "Тракторы и сельскохозяйственные машины, механизированное газонное и садовое оборудование. Система символов для обозначения органов управления и средств отображения информации. Символы".
ГОСТ 27388-87 Эксплуатационные документы сельскохозяйственной техники
ГОСТ 28305-89 Машины и тракторы сельскохозяйственные и лесные. Правила приемки на испытания <**>
--------------------------------
<**> В Российской Федерации действует
ГОСТ Р 54783-2011 "Испытания сельскохозяйственной техники. Основные положения".
ГОСТ 28714-2007 Машины для внесения твердых минеральных удобрений. Методы испытаний
ГОСТ 30025-93 Семена эфиромасличных культур. Метод определения чистоты и отхода семян
ГОСТ 30556-98 Семена эфиромасличных культур. Методы определения всхожести
ГОСТ 32066-2013 Семена сахарной свеклы. Посевные качества. Общие технические условия
ГОСТ 32592-2013 Семена овощных, бахчевых культур, кормовых корнеплодов и кормовой капусты. Сортовые и посевные качества. Общие технические условия
ГОСТ 33687-2015 Машины и орудия для поверхностной обработки почвы. Методы испытаний
ГОСТ 33736-2016 Техника сельскохозяйственная. Машины для глубокой обработки почвы. Методы испытаний
ГОСТ OIML R 76-1-2011 Государственная система обеспечения единства измерений. Весы неавтоматического действия. Часть 1. Метрологические и технические требования. Испытания
ГОСТ ISO 4254-1-2013 Машины сельскохозяйственные. Требования безопасности. Часть 1. Общие требования <***>
--------------------------------
<***> В Российской Федерации действует
ГОСТ Р ИСО 4254-1-2011 "Машины сельскохозяйственные. Требования безопасности. Часть 1. Общие требования".
Примечание - При пользовании настоящим стандартом целесообразно проверить действие ссылочных стандартов в информационной системе общего пользования - на официальном сайте Федерального агентства по техническому регулированию и метрологии в сети Интернет или по ежегодному информационному указателю "Национальные стандарты", который опубликован по состоянию на 1 января текущего года, и по выпускам ежемесячного информационного указателя "Национальные стандарты" за текущий год. Если ссылочный стандарт заменен (изменен), то при пользовании настоящим стандартом следует руководствоваться заменяющим (измененным) стандартом. Если ссылочный стандарт отменен без замены, то положение, в котором дана ссылка на него, применяется в части, не затрагивающей эту ссылку.
3.1 рядовая сеялка: Машина для посева семян сельскохозяйственных культур с распределением их параллельными рядами.
3.2 сеялка точного высева (сеялка односемянная, однозерновая): Сеялка, высевающий аппарат которой распределяет семена по одному или группами с заданным интервалом, образуя линию сева.
3.3 шаг посева: Расстояние между двумя следующими один за другим семенами в ряду.
3.4 теоретический шаг посева: Шаг посева, установленный на управляющем механизме и заявленный изготовителем.
3.5 ширина захвата: Величина равная произведению ширины междурядий на число сошников.
3.6 пропуск: Для однозерновых сеялок (сеялок точного высева) - отсутствие семени (или группы семян) там, где оно (они) должно (должны) быть теоретически.
Примечание - Все шаги посева, превышающие в 1,5 раза теоретический шаг посева, считаются пропусками.
4.1 Цели, задачи и виды испытаний - по
ГОСТ 16504, а также по стандартам, действующим в государствах - участниках Соглашения.
4.2 Порядок представления сеялки на испытания, оформление результатов приемки - в соответствии с ГОСТ 28305, а также в соответствии со стандартами, действующими в государствах - участниках Соглашения.
Эксплуатационные документы, представляемые с сеялкой, должны соответствовать ГОСТ 27388.
4.3 Сеялку представляют на испытания не позднее, чем за 15 дней до наступления агротехнического срока посева сельскохозяйственных культур.
4.4 Типовая программа испытаний сеялок включает виды оценок в соответствии с
таблицей 1.
Вид оценки | Виды испытаний |
Приемочные | Квалификационные | | Периодические |
1 Технических параметров (техническая экспертиза) | + | + | + | + |
2 Агротехническая | + | - | + | - |
3 Энергетическая | + | + | + | - |
4 Безопасность и эргономичность конструкции | + | | + | |
5 Эксплуатационно-технологическая | + | + | + | + |
6 Надежности | + | + | + | + |
7 Экономическая | + | - | + | - |
<*> Оценку безопасности и эргономичности конструкции при квалификационных и периодических испытаниях проводят при отсутствии сертификата соответствия. <**> При проведении типовых испытаний включают виды оценок, на изменение значения показателей которых повлияли изменения конструкции изделия. Примечание - Знак "+" означает, что оценка проводится, знак "-" - не проводится. |
4.5 Сравнительные испытания проводят в сопоставимых условиях.
Для всех сравниваемых сеялок предпосевную подготовку почвы выполняют в соответствии с технологией, применяемой в данной зоне.
4.6 Применяемые средства измерений должны быть поверены до начала испытаний в соответствии с правилами, действующими в государствах - участниках Соглашения.
4.7 Нестандартные и единичные средства измерений, испытательное оборудование подлежат аттестации, проводимой в установленном порядке.
4.8 Сеялки, предназначенные для работы в системе точного земледелия, испытывают, так же как и сеялки для традиционного земледелия, на соответствие ТЗ (техническому заданию) или ТУ (техническим условиям), при разработке которых должно быть предусмотрено наличие устройств, обеспечивающих дифференцирование норм высева семян по площади посева при условии наличия компонентов системы точного земледелия (электронных карт полей, навигационных систем управления, программного обеспечения и др.).
5 Подготовка к испытаниям
5.1 Перед началом испытаний на основании типовой программы испытаний составляют рабочую программу-методику испытаний, в которой с учетом особенностей конкретного образца сеялки приводят перечень видов оценок и определяемых показателей по каждому виду оценки, режимы, условия, место испытаний, наименования средств измерений и оборудования, применяемых при испытании.
5.2 При подготовке сеялки к испытаниям необходимо соблюдать следующие требования:
- сеялка должна отвечать требованиям безопасности (при всех видах испытаний должен быть составлен и утвержден акт предварительной оценки безопасности);
- до начала испытаний сеялка должна быть обкатана и отрегулирована в соответствии с руководством по эксплуатации.
5.3 Параметры, характеризующие условия работы сеялки при испытаниях, должны находиться в пределах, соответствующих ТЗ (ТУ) и стандартам на испытуемую сеялку и действующих в государствах - участниках Соглашения.
5.4 Перед проведением испытаний проводят обучение персонала по вопросам устройства и безопасной эксплуатации сеялки.
6 Методы оценки технических параметров
6.1 Оценку технических параметров сеялки проводят по стандартам, действующим в государствах - участниках Соглашения.
6.2 Определение габаритных размеров, массы, ширины захвата и минимальных радиусов поворота - по ГОСТ 26025.
6.3 Вместимость ящика (бункера) для семян (удобрений) V, м3 (дм3), вычисляют по формуле

, (1)
где

- среднеарифметическое значение массы загруженных семян (удобрений), кг;

- насыпная плотность семян (удобрений), кг/м
3 (кг/дм
3).
Массу загруженных семян (удобрений) определяют весовым методом в трехкратной повторности.
Семена (удобрения) загружают в тару и взвешивают, затем семена (удобрения) выгружают в ящик (бункер) сеялки, заполняя его до уровня, установленного руководством по эксплуатации, при отсутствии таких указаний - до уровня, исключающего потери семян (удобрений). После выгрузки тару взвешивают с остатками семян (удобрений) или в порожнем состоянии. Погрешность измерения - 1%. Результаты измерений записывают в
форму Б.1 (приложение Б). По разности масс тары до и после выгрузки вычисляют среднеарифметическое значение массы загруженных семян (удобрений) с округлением до первого десятичного знака.
Насыпную плотность семян (удобрений) определяют по
7.3.1.9.
6.4 Перечень технических параметров, характеризующих конструкцию сеялки, приведен в
форме А.1 (приложение А).
7 Методы агротехнической оценки
7.1 Номенклатура определяемых показателей
Номенклатура показателей, определяемых при агротехнической и эксплуатационно-технологической оценках, характеризующих условия испытаний и качество выполнения технологического процесса сеялками в зависимости от способа посева, приведена в
формах А.2 -
А.4 (приложение А).
7.2 Требования к условиям испытаний
7.2.1 Определение агротехнических показателей сеялок проводят при стендовых и лабораторно-полевых испытаниях.
7.2.1.1 Стендовые испытания проводят с целью проверки качества выполнения технологического процесса высевающими аппаратами сеялки на высеве культур, указанных в ТЗ (ТУ), семена которых существенно различаются между собой по физико-механическим свойствам и нормам высева (при условии возделывания их в зоне испытаний).
7.2.1.2 Лабораторно-полевые испытания проводят с целью проверки качества выполнения технологического процесса высевающей системы сеялки в полевых условиях.
7.2.1.3 Лабораторно-полевые испытания сеялок, предназначенных для посева нескольких культур, проводят на высеве не менее двух культур, семена которых существенно различаются между собой по физико-механическим свойствам. Одна из них - основная крупносеменная культура для данной зоны испытаний, вторая - мелкосеменная (при условии возделывания ее в зоне).
7.2.2 Испытания приспособлений к сеялкам для внесения удобрений проводят по
ГОСТ 28714.
7.2.3 Посевные качества семян, используемых для испытаний сеялок, должны соответствовать требованиям:
-
ГОСТ 32592 - для семян овощных, бахчевых культур, кормовых корнеплодов и кормовой капусты;
-
ГОСТ 5947 - для семян хлопчатника технических.
Сортовые и посевные качества семян зерновых, зернобобовых, масличных, эфиромасличных культур, технических растений (кроме сахарной свеклы), кормовых и медоносных трав должны соответствовать требованиям стандартов на сортовые посевные качества, действующих в государствах - участниках соглашения <*>.
--------------------------------
<*> В Российской Федерации - требованиям
ГОСТ Р 52325-2005 "Семена сельскохозяйственных растений. Сортовые и посевные качества. Общие технические условия".
7.2.4 Семенной материал не должен быть обработан пестицидами.
7.2.5 Испытания свекловичных сеялок проводят на высеве обычных семян сахарной свеклы одной партии, районированных в зоне испытания, и на высеве дражированных семян (при их наличии), отвечающих требованиям
ГОСТ 32066.
7.3 Определение показателей условий испытаний
7.3.1 Определение характеристики высеваемого материала
7.3.1.1 Культуру, сорт семян определяют по данным изготовителя (поставщика) семян, предпосевную обработку семян (вид применяемого препарата) определяют по данным хозяйства.
7.3.1.2 В высеваемом материале, подготовленном к испытаниям, должны быть определены:
- чистота, повреждение (дробление, обрушивание) - по
ГОСТ 12037 (за исключением семян сахарной свеклы, хлопчатника и эфиромасличных культур), для сахарной свеклы - по ГОСТ 22617.1, для хлопчатника - по ГОСТ 21820.3, для эфиромасличных культур - по
ГОСТ 30025;
- влажность - по
ГОСТ 12041 (за исключением семян сахарной свеклы и хлопчатника), для сахарной свеклы - ГОСТ 22617.3, для хлопчатника - ГОСТ 21820.2;
- масса 1000 семян - по
ГОСТ 12042 (за исключением семян сахарной свеклы и хлопчатника), для сахарной свеклы -
ГОСТ 22617.4, для хлопчатника - по стандартам, действующим в государствах - участниках Соглашения;
- всхожесть - по
ГОСТ 12038 (за исключением семян сахарной свеклы, эфиромасличных культур и хлопчатника). Для сахарной свеклы - по ГОСТ 22617.2, для хлопчатника - по ГОСТ 21820.1, для эфиромасличных культур - по
ГОСТ 30556.
Примечание - При наличии удостоверения о кондиционности семян посевные качества семян не определяют, в протокол испытаний помещают данные из удостоверения.
7.3.1.3 Размеры (длину, ширину, толщину) некалиброванных семян крупносеменных культур определяют измерением не менее 100 шт. семян, взятых из средней пробы, отобранной для определения влажности. Измерения проводят с погрешностью +/- 0,5 мм.
Измерения опушенных семян хлопчатника проводят после доведения их до воздушно-сухого состояния. Если их высев предусматривается в замоченном состоянии, то измерения проводят после замачивания.
Результаты измерений записывают в
форму Б.2 (приложение Б) и вычисляют среднеарифметическое значение и стандартное отклонение с округлением до целого числа.
7.3.1.4 Выравненность фракции калиброванных семян определяют: сахарной свеклы по ГОСТ 22617.1; хлопчатника по ГОСТ 21820.4; для определения выравненности фракции калиброванных семян кукурузы и других культур от общей массы семян, засыпаемых в емкости высевающих аппаратов, отбирают среднюю пробу по
ГОСТ 12036.
Из средней пробы выделяют три навески массой не менее 500 г каждая и просеивают на решетах с диаметром отверстий в зависимости от размера фракции. После просеивания определяют массу семян, оставшихся на нижнем решете или решете с продолговатыми отверстиями, с погрешностью +/- 0,01 г. Результаты записывают в
форму Б.3 (приложение Б). В результате обработки данных вычисляют массовую долю фракции от общей массы навески. Выравненность фракции вычисляют как среднеарифметическое значение результатов анализа трех навесок. Вычисление проводят с округлением до целого числа.
7.3.1.5 Одноростковость семян сахарной свеклы определяют из отношения числа клубочков с одним ростком к общему числу проросших клубочков.
Число ростков определяют подсчетом их при определении всхожести клубочков в лабораторных условиях. Повторность четырехкратная. Результаты подсчета записывают в
форму Б.4 (приложение Б) и вычисляют среднеарифметическое значение одноростковости семян сахарной свеклы с округлением до целого числа.
7.3.1.6 Вид минерального удобрения определяют согласно паспортным данным на удобрение.
7.3.1.7 Влажность удобрения определяют в день испытаний по
ГОСТ 20851.4.
7.3.1.8 Для определения гранулометрического состава удобрения отбирают среднюю пробу не менее 2 кг. Из пробы выделяют три навески массой по 250 г каждая, просеивают на ситах и анализируют по
ГОСТ 21560.1. Число сит и их отверстия определяют по паспорту на конкретное удобрение.
После просеивания определяют массу удобрения, оставшегося на каждом сите и прошедшего через сито с отверстиями диаметром один миллиметр. Погрешность взвешивания - +/- 1 г. Результаты записывают в
форму Б.5 (приложение Б) и вычисляют массовую долю удобрения соответствующей фракции от общей массы навески. Вычисления проводят с округлением до первого десятичного знака.
7.3.1.9 Насыпную плотность семян (удобрения) определяют в трехкратной повторности. Семена (удобрение) засыпают в емкость определенного размера (не менее 25 x 25 x 25 см) и взвешивают с погрешностью +/- 20 г. Насыпную плотность семян (удобрений)

, кг/м
3, вычисляют по формуле

, (2)
где m - масса семян (удобрения) в емкости, кг;

- вместимость емкости определенного размера, м
3.
Вычисления проводят с округлением до первого десятичного знака. Результаты записывают в
форму Б.6 (приложение Б). Насыпную плотность семян (удобрения) определяют как среднеарифметическое значение из трех повторностей.
7.3.1.10 После обработки показатели характеристики высеваемого материала записывают в
форму А.2 (приложение А).
7.3.2 Определение характеристики участка
7.3.2.1 Для проведения лабораторно-полевых испытаний сеялок выделяют участок, позволяющий выполнить программу работ.
7.3.2.2 Участок должен быть типичным для зоны испытаний и соответствовать требованиям ТЗ (ТУ) и действующим в государствах - участниках Соглашения стандартам.
7.3.2.3 Тип почвы, название по механическому составу, рельеф, микрорельеф, структуру почвы, влажность и твердость почвы, характеристику пожнивных остатков (стерни), сорных растений, камней, температуру и относительную влажность воздуха определяют по
ГОСТ 20915.
7.3.2.4 Высоту сорных растений определяют по
ГОСТ 33736.
7.3.2.5 Глубину взрыхленного слоя определяют погружением металлической линейки в почву до необработанного слоя. Измерения проводят на пяти площадках равномерно расположенных по диагонали участка. Общее число измерений должно быть не менее 100.
Погрешность измерения - +/- 1 см. Результаты измерений записывают в
форму Б.7 (приложение Б) и обрабатывают с определением показателей, указанных в
форме А.2 (приложение А). Вычисления проводят с округлением до целого числа.
7.3.2.6 Крошение взрыхленного слоя почвы определяют по пробам, отбираемым на глубину обработки на пяти площадках по 0,25 м
2 каждая, равномерно расположенных по диагонали участка. Отобранные пробы разделяют на фракции в соответствии с ТЗ (ТУ) на испытуемую машину. Массу каждой фракции взвешивают с погрешностью +/- 20 г. Результаты записывают в
форму Б.8 (приложение Б). Массовую долю каждой фракции вычисляют от общей массы пробы. Вычисления проводят с округлением до первого десятичного знака.
7.3.2.7 Высоту и ширину гряды (гребня) измеряют на пяти площадках, равномерно расположенных по диагонали участка. Число измерений на каждой площадке не менее десяти через равные интервалы по длине гряды (гребня).
Высоту гряды, гребня (глубину борозды) определяют измерением расстояния от дна борозды по вертикали до нижней грани рейки, уложенной на вершины двух смежных гряд (гребней). Ширину гряды (гребня) по верху (по низу) определяют измерением расстояния между колышками, установленными по крайним наружным точкам гряды (гребня) по верху (по низу) в поперечном направлении.
Погрешность измерений - +/- 1 см. Результаты измерений записывают в
форму Б.9 (приложение Б) и вычисляют среднеарифметическое значение с округлением до целого числа.
7.3.2.8 Предшествующую обработку почвы определяют по данным хозяйства.
7.3.2.9 После обработки показатели по характеристике участка записывают в
форму А.2 (приложение А).
7.4 Определение показателей качества работы высевающих аппаратов при стендовых испытаниях
7.4.1 Опытные и модернизированные образцы сеялок испытывают на двух скоростях в соответствии с ТЗ (ТУ), и руководства по эксплуатации:
- максимальной;
- ниже максимальной на 25% - 30%.
Оптимальной является скорость, при которой качество работы соответствует требованиями ТЗ (ТУ) и руководству по эксплуатации.
Испытания сеялок на разных скоростях проводят без изменения регулировок рабочих органов, если это не противоречит руководству по эксплуатации сеялок.
7.4.2 При сравнительных испытаниях качество выполнения технологического процесса сеялками с разными типами рабочих органов и высевающих аппаратов определяют при сопоставимых нормах высева.
7.4.3 Регулировки рабочих органов сошников и высевающих аппаратов устанавливают в соответствии с требованиями ТЗ (ТУ) и руководства по эксплуатации сеялок.
7.4.4 Перед отбором проб высевающие аппараты должны быть заполнены семенами. Семенной ящик (бункер) заполняют семенами не менее чем на 1/2 его объема.
При высеве несыпучих семян или удобрений соответствующий ящик (бункер) должен быть заполнен полностью в начале испытаний.
7.4.5 Показатели качества выполнения технологического процесса высевающими аппаратами определяют после установки сеялки на норму высева.
7.4.6 Установка сеялки на норму высева
7.4.6.1 При установке сеялок рядового, узкорядного, ленточного и безрядкового посева на норму высева частоту вращения опорно-приводных колес или частоту вращения импульсного колеса при приводе высевающих аппаратов электро- или гидроприводов подбирают из расчета засева сеялкой расчетной площади.
Для сеялок шириной захвата 3,6 м расчетную площадь посева принимают равной 100 м2, для сеялок с шириной захвата более 3,6 м - равной 200 м2.
Частота вращения опорно-приводного или импульсного колеса должна соответствовать скорости движения посевного агрегата в полевых условиях.
Число оборотов опорно-приводного колеса высевающего аппарата nо.к, с-1, вычисляют по формуле

, (3)
где Sр - расчетная площадь посева, м2;
S - площадь, засеваемая за один оборот опорно-приводного колеса, м2.
Площадь, засеваемую за один оборот опорно-приводного колеса, вычисляют по формуле
где D - диаметр опорно-приводного колеса, м;
в - ширина междурядий (расстояние между сошниками), м;
nр - число засеваемых рядов (число сошников), шт.
Частоту вращения импульсного колеса подбирают по заданной на устройстве управления технологическим процессом сеялки норме высева.
При установке сеялки на норму высева высеянные семена собирают и взвешивают с погрешностью +/- 1 г, для мелкосеменных овощных культур - с погрешностью +/- 0,2 г. Повторность трехкратная. Результаты записывают в
форму Б.10 (приложение Б) и вычисляют среднеарифметическое значение с округлением до первого десятичного знака.
Фактическую норму высева Q'(Q"), кг/га, в зависимости от расчетной площади посева вычисляют
при Sр = 100 м2 по формуле

; (5)
при Sр = 200 м2 по формуле
| | ИС МЕГАНОРМ: примечание. Формула дана в соответствии с официальным текстом документа. | |

, (6)
где

,

- масса семян, высеянная
i-м высевающим аппаратом за
nо.к оборотов опорно-приводного колеса на соответствующей расчетной площади, кг;
nа - число высевающих аппаратов (семяпроводов), шт.
Вычисления проводят с округлением до первого десятичного знака.
7.4.6.2 Для сеялок пунктирного и гнездового посева частоту вращения опорно-приводного колеса высевающего аппарата

, с
-1, вычисляют по формуле

, (7)
где v - заданная скорость движения, м/с.
Фактическую норму высева для сеялок пунктирного посева Qп, тыс шт./га, вычисляют по формуле

, (8)
где nм - среднее число семян, высеянных на 1 м ряда, шт.
Фактическую норму высева для сеялок гнездового посева Qгн, тыс шт./га, вычисляют по формуле

, (9)
где nгн - среднее число семян, высеянных в гнездо, шт.;
B - рабочая ширина захвата сеялки, м;
Lгн - среднее расстояние между гнездами, м.
Вычисления проводят с округлением до целого числа.
Фактическую норму высева

, кг/га, вычисляют по формулам:
а) для сеялок пунктирного посева

; (10)
б) для сеялок гнездового посева

, (11)
где A - масса 1000 семян, г;
Вычисления проводят с округлением до первого десятичного знака.
7.4.6.3 Для сеялок точного способа посева норму высева определяют передаточным отношением от опорно-приводного колеса к семявысевающему диску и количеством ячеек семявысевающего диска.
7.4.7 При высеве опушенных замоченных семян хлопчатника норму высева Qх, кг/га, определяют в пересчете на семена в воздушно-сухом состоянии и вычисляют по формуле

, (12)
где Qх.з - норма высева замоченных семян хлопчатника, кг/га;
Aв.с, Aз - соответственно, масса 1000 воздушно-сухих и замоченных семян, г.
7.4.8 Результаты определения нормы высева семян записывают в
форму Б.11 (приложение Б).
7.4.9 Определение неравномерности высева между высевающими аппаратами (семяпроводами) и неустойчивости общего высева семян и удобрений
7.4.9.1 Неравномерность и неустойчивость высева семян или удобрений определяют при хозяйственной норме высева (по овощным сеялкам при хозяйственной и минимальной норме высева) путем взятия проб непосредственно после высевающих аппаратов (катушек, дисков) или после семяпроводов. Пример расчета неравномерности и неустойчивости высева семян (удобрений) высевающими аппаратами приведен в
приложении В.
По сеялкам точного и пунктирного способов посева неравномерность и неустойчивость высева определяют не менее чем на половине ширины захвата сеялки.
У двенадцати- и двадцатичетырехрядных сеялок неравномерность и неустойчивость высева определяют на половине ширины захвата; у машин с числом высевающих аппаратов (семяпроводов) более 24 вышеуказанные показатели определяют не менее чем по 12 высевающим аппаратам (семяпроводам).
Для сеялок с централизованным дозированием неравномерность высева определяют между каналами и между семяпроводами.
После установки сеялки на заданную хозяйственную норму высева отбирают пробы не менее чем в трехкратной повторности. Семена, высеянные каждым высевающим аппаратом (семяпроводом), собирают в емкости и определяют их массу или число. Результаты в граммах или штуках записывают в
форму Б.12 (приложение Б) и вычисляют среднеарифметическое значение с округлением до первого десятичного знака.
При обработке данных вычисляют следующие показатели:
- среднюю массу семян (удобрений), высеянных
i-м высевающим аппаратом (семяпроводом) из всех повторностей

, г, вычисляют по формуле

(13)
где

- масса семян (удобрений), высеянных
i-м высевающим аппаратом (семяпроводом) в
j-й повторности, г;
n - число повторностей, шт.;
- среднюю массу семян (удобрений), высеянных одним высевающим аппаратом (семяпроводом)

, г, вычисляют по формуле

(14)
- отклонение массы семян в высеве
i-м высевающим аппаратом (семяпроводом) от среднеарифметического значения

, г, вычисляют по формуле

; (15)
- среднеарифметическое отклонение

, г, вычисляют по формуле

(16)
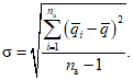
- неравномерность высева семян (удобрений) между высевающими аппаратами (семяпроводами) Нв.а, %, вычисляют по формуле

; (17)
- неустойчивость общего высева семян (удобрений) Ну, %, вычисляют по формуле

, (18)
где

- среднеарифметическое отклонение массы семян (удобрений), высеянных по повторностям, от среднеарифметического значения, г;

- средняя масса семян (удобрений), высеянных всеми высевающими аппаратами (семяпроводами) из всех повторностей, г.
Среднеарифметическое отклонение массы семян (удобрений), высеянных по повторностям, от среднеарифметического значения вычисляют по формуле

(19)
где qj - масса семян (удобрений), высеянных всеми высевающими аппаратами (семяпроводами) в j-й повторности, г.
Массу семян (удобрений), высеянных всеми высевающими аппаратами (семяпроводами) в j-й повторности вычисляют по формуле

. (20)
Среднюю массу семян (удобрений), высеянных всеми высевающими аппаратами (семяпроводами) из всех повторностей

, г, вычисляют по формуле

(21)
7.4.9.2 Неравномерность высева семян (удобрений) между отдельными высевающими аппаратами (семяпроводами)

, %, и неустойчивость общего высева

, %, выраженные в ТЗ (ТУ) через коэффициент вариации, вычисляют по формулам

, (22)
где

- стандартное отклонение массы семян (удобрений) между аппаратами (семяпроводами), г;

, (23)
где

- стандартное отклонение массы семян (удобрений) между повторностями, г.
Стандартное отклонение массы семян (удобрений) между аппаратами (семяпроводами) вычисляют по формуле

(24)
Стандартное отклонение массы семян (удобрений) между повторностями вычисляют по формуле

(25)
Полученные данные сравнивают с показателями ТЗ (ТУ).
7.4.9.3 По сеялкам точного, пунктирного, пунктирно-гнездового и гнездового способов посева неравномерность и неустойчивость высева допускается определять по числу семян, высеянных на одном метре и в гнездо.
7.4.9.4 Для определения неравномерности и неустойчивости высева несыпучих семян или удобрений отбирают не менее трех проб при каждом из трех заполнений семенного (тукового) ящика (бункера): при полном, 1/2 и 1/8 объема. Показатели определяют в полевых условиях или на специальном стенде, имитирующем по вибрации работу агрегата в полевых условиях.
Дополнительное перемешивание семян или удобрений в ящике (бункере) при взятии проб не допускается.
7.4.10 Определение дробления (обрушивания, механического повреждения) семян
7.4.10.1 Дробление (обрушивание, механические повреждения) семян, рабочими органами сеялки определяют по разности содержания дробленных (обрушенных), с механическими повреждениями семян прошедших через высевающие аппараты (семяпроводы) и в исходном посевном материале.
7.4.10.2 Семена на дробление (обрушивание, механическое повреждение) отбирают во время определения неравномерности высева отдельными высевающими аппаратами (семяпроводами) на хозяйственной норме высева, объединяя для этого в среднюю пробу семена, высеянные всеми аппаратами за повторность опыта.
Из каждой средней пробы выделяют две навески. Масса навески - по
ГОСТ 12037 (за исключением семян хлопчатника), для хлопчатника - по ГОСТ 21820.3. Из каждой навески выделяют дробленые семена, обрушенные (для пленчатых культур), семена с механическими повреждениями оболочки для крупносеменных культур и кожуры для семян хлопчатника.
Семена с каждым видом повреждения взвешивают с погрешностью +/- 0,01 г. Результаты измерений записывают в
форму Б.13 (приложение Б) и вычисляют среднеарифметическое значение с округлением до первого десятичного знака.
Массовую долю дробленых (обрушенных) семян с механическими повреждениями Д, %, вычисляют по формуле

, (26)
где mдр - масса семян дробленых, обрушенных или с механическими повреждениями, выделенных из навески, г;
mн - общая масса семян в навеске, г.
Вычисление проводят с округлением до первого десятичного знака.
7.4.10.3 Механические повреждения семян хлопчатника определяют по ГОСТ 21820.3. Результаты записывают в
форму Б.13 (приложение Б). Количественную долю семян с механическими повреждениями кожуры
Nс, %, вычисляют по формуле

, (27)
где nс.п - число семян с механическими повреждениями кожуры, шт.;
nс - число анализируемых семян, шт.
Вычисления проводят с округлением до первого десятичного знака.
7.4.10.4 Дробление семян сахарной свеклы определяют в шести навесках массой 25 г каждая, отобранных по две из каждой пробы. Навески просеивают через решето с диаметром отверстий 1 мм для отделения пыли. Семена разбирают на целые и их частицы, дробленые, части околоплодника и поврежденные клубочки. К поврежденным клубочкам в односемянной свекле относят и клубочки с открытым околоплодником.
Массу семян со всеми видами повреждений и массу пыли определяют с погрешностью +/- 0,01 г.
Массовую долю дробленых семян сахарной свеклы вычисляют от массы навески, отделенной от пыли, массовую долю пыли - от массы исходной навески. Результаты записывают в
форму Б.14 (приложение Б).
7.4.10.5 Дробление и повреждение дражированных семян сахарной свеклы определяют в шести навесках массой 50 г каждая, отобранных по две от каждой пробы. Каждую навеску просеивают через решето с диаметром отверстий 1 мм для отделения пыли. Оставшиеся на решете семена разбирают на следующие фракции:
а) целые клубочки;
б) поврежденные клубочки и семена,
в том числе:
- дробленые клубочки и семена (частицы семян и части околоплодника);
- разрушена оболочка драже, когда открыто более 1/3 поверхности семени;
- нарушена оболочка драже, когда открыта 1/3 поверхности семени и менее;
- глубокие трещины на поверхности оболочки драже.
Массу каждой фракции определяют с погрешностью +/- 0,01 г и вычисляют массовую долю семян каждой фракции от массы всей навески. Вычисления проводят с округлением до первого десятичного знака. Результаты записывают в
форму Б.15 (приложение Б).
7.4.11 Определение высевающей способности сеялки
7.4.11.1 Высевающую способность сеялки определяют высевом семян (удобрений) с максимальной и минимальной нормой высева в соответствии с ТЗ (ТУ) на одной рабочей скорости на культурах, возделываемых в зоне испытаний семена которых существенно отличаются между собой по физико-механическим свойствам и нормам высева.
7.4.11.2 Пробы отбирают не менее чем в трехкратной повторности. Массу высеянных семян (удобрений) взвешивают с погрешностью +/- 1 г. Результаты записывают в
форму Б.10 (приложение Б). Для сеялок рядового, узкорядного, ленточного, безрядкового способов посева фактическую норму высева вычисляют по
формулам (4) и
(5).
7.4.11.3 Для сеялок точного, пунктирного, гнездового способов посева фактическую норму высева вычисляют по
формулам (7) -
(11).
7.4.12 Определение распределения семян (гнезд) в ряду
7.4.12.1 Распределение семян в ряду (шаг посева) определяют при испытаниях сеялок точного и пунктирного способов посева. Для определения показателя семена высевают на липкую ленту с последующим измерением интервалов между высеянными семенами. Распределение семян может быть определено на специальном стенде с регистрацией интервалов между высеваемыми семенами.
Распределение семян определяют на хозяйственной, максимальной и минимальной нормах высева в соответствии с ТЗ (ТУ); скоростные режимы - в соответствии с
7.4.1.
Учетную длину ленты, число повторностей, в зависимости от культуры, выбирают в соответствии с
таблицей Г.1 (приложение Г).
Погрешность измерения интервалов - +/- 0,5 см. Результаты измерений записывают в
форму Б.16 (приложение Б) и вычисляют среднеарифметическое значение интервала между семенами, стандартное отклонение, коэффициент вариации, количественную долю семян (гнезд) с интервалами, предусмотренными ТЗ (ТУ). Равномерность распределения семян оценивают показателем, предусмотренным ТЗ (ТУ) на машину.
Рекомендуется результаты измерений представлять графически в виде гистограммы распределения семян. Для построения гистограммы вычисляют частоту и частотность (повторяемость) полученных интервалов между семенами. На гистограмму наносят значения интервалов между семенами и частотность данных интервалов в процентах.
7.4.12.2 Распределение гнезд с семенами в ряду, число семян в гнезде, длину и ширину гнезда определяют при испытаниях пунктирно-гнездовых, гнездовых сеялок путем высева семян на липкую ленту.
Скоростные режимы, условия работы на стенде, длина учетных отрезков, число повторностей, погрешность измерения - в соответствии с
7.4.12.1. Показатели определяют на оптимальных, максимальных, минимальных междугнездиях в соответствии с ТЗ (ТУ). Распределение гнезд с семенами в ряду определяют измерением интервалов между центрами соседних гнезд. Число семян определяют методом подсчета одновременно с измерением интервалов между гнездами. Результаты измерений и подсчетов записывают в
форму Б.16 (приложение Б) и вычисляют: среднеарифметическое значение интервала между гнездами; стандартное отклонение; коэффициент вариации; количественную долю гнезд с интервалами, предусмотренными ТЗ (ТУ), от общего числа интервалов; количественную долю пропусков (интервалов, превышающих значение суммы двух средних величин интервалов) от общего числа интервалов; среднее число семян в гнезде; стандартное отклонение; коэффициент вариации; количественную долю гнезд с числом семян 1, 2, 3, ...,
n от общего числа гнезд; количественную долю гнезд с числом семян, предусмотренным ТЗ (ТУ) от общего числа гнезд; количественную долю гнезд без семян (пропуски) от общего числа гнезд.
7.4.12.3 Длину и ширину гнезда определяют измерением расстояния между центрами крайних семян в гнезде, расположенных соответственно по длине и ширине ряда. Число измерений каждого показателя не менее 100. Результаты измерений записывают в
форму Б.16 (приложение Б) и вычисляют среднеарифметическое значение длины и ширины гнезда, количественную долю гнезд с длиной (шириной), предусмотренной ТЗ (ТУ). При слиянии гнезд длину одного гнезда определяют делением расстояния между крайними семенами на число слившихся гнезд.
7.4.12.4 Подсев семян в междугнездии (подсаривание) определяют подсчетом семян, высеянных между соседними гнездами. Результаты записывают в
форму Б.17 (приложение Б) и вычисляют количественную долю семян, высеянных между гнездами, от общего числа высеянных семян.
7.4.12.5 Точность высева Т
в, %, при гнездовом посеве (гнезд с заданным числом семян) вычисляют по формуле

, (28)
где Чг.з - число гнезд с заданным числом семян в гнезде, шт.;

- общее число гнезд, шт.
7.4.12.6 При отсутствии стенда с липкой лентой распределение гнезд с семенами, число семян в гнезде, длину и ширину гнезда допускается определять высевом семян в открытую борозду. Методы определения показателей и обработка результатов - в соответствии с
7.4.12.2 -
7.4.12.5.
7.4.12.7 Допускается определять распределение семян (гнезд) в ряду с помощью киносъемки.
7.4.12.8 Влияние уклона на равномерность распределения семян определяют по рядовым сеялкам, предназначенным для работы на склонах. При стендовых испытаниях сеялок высевающий аппарат наклоняют на 11° вперед, назад, влево, вправо, что соответствует уклону поверхности поля 20%. Число повторений не менее трех при каждом наклоне. Результаты измерений записывают в
форму Б.18 (приложение Б).
7.4.12.9 При неравномерности поля (наличие глыб, неровностей) во время испытаний рядовых сеялок рекомендуется определять влияние тряски на массу высеянных семян всеми аппаратами на стендовых испытаниях. Вдоль пути движения каждого опорного колеса сеялки укладывают препятствия высотой 50 мм, длиной 200 мм, перед которыми устанавливают наклонную плоскость длиной 150 мм таким образом, чтобы оба колеса касались препятствий в одно и то же время.
Каждый проход сеялки должен включать не менее трех пар препятствий (повторностей), распределенных по длине таким образом, чтобы расстояние между двумя препятствиями было не менее 4 м. Результаты измерений записывают в журнал испытаний. Число повторностей не менее трех. Погрешность измерения - +/- 1 г.
7.4.12.10 Результаты измерений при стендовых испытаниях после обработки записывают в
форму А.3 (приложение А).
7.5 Определение показателей качества выполнения технологического процесса при лабораторно-полевых испытаниях
7.5.1 Требования к режимам работы - согласно
7.4.1 -
7.4.4.
7.5.2 Качество выполнения технологического процесса сеялкой проверяют на участке в соответствии с
7.3.2. Для определения показателей качества на этом участке закладывают полевой опыт. Перед закладкой полевого опыта проводят регулировочные опыты по установке сеялки на заданную норму высева и глубину заделки семян.
7.5.3 Фактическую норму высева семян в процессе регулирования сеялки определяют на участке, расположенном рядом с участком для закладки сравнительного опыта. Сеялку заправляют семенами, под высевающие аппараты (семяпроводы) подвязывают лабораторные сумочки и устанавливают заданную норму высева. Сеялка в рабочем режиме должна пройти участок длиной не менее 100 м. Число повторностей - не менее трех.
Массу семян, высеянных всеми аппаратами (семяпроводами), взвешивают с погрешностью +/- 1 г. Результаты измерений записывают в журнал испытаний.
Фактическую норму высева Qф, кг/га, вычисляют по формуле

(29)
где

- масса семян, высеянных всеми высевающими аппаратами (семяпроводами) на учетной площади в
j-й повторности, кг;
B - ширина захвата сеялки, м;
L - длина засеянного участка, м.
По сеялкам, для которых норма высева задается в штуках на 1 м, фактическую норму высева Qм, шт./м, вычисляют по формуле

(30)
Фактическую норму высева семян для вышеуказанных сеялок

, кг/га, вычисляют по формуле

. (31)
Вычисления проводят с округлением до первого десятичного знака.
7.5.4 В процессе регулирования сеялки устанавливают минимальную, оптимальную и максимальную глубину заделки семян. Минимальную и максимальную глубины устанавливают в соответствии с требованиями ТЗ (ТУ). Оптимальную глубину заделки семян определяют исходя из состояния почвы, условий года, высеваемой культуры. При каждой установке регулятора глубины хода сошников проверяют фактическую глубину заделки семян после прохода сеялки на оптимальной скорости. Эту проверку проводят по ходу агрегата по сошникам, не идущим по следу колес трактора и сеялки. У сеялок с многорядным расположением сошников по длине сеялки проверку глубины заделки семян определяют по двум - четырем сошникам каждого ряда сеялки. У сеялок с однорядным расположением сошников глубину заделки семян проверяют по всем сошникам.
При установке регулятора глубины хода сошников на минимальное и максимальное значения определяют фактические предельные значения глубины заделки семян, которые обеспечивает сеялка.
Установку сеялки на оптимальную глубину заделки семян проводят до тех пор, пока не будет установлена заданная глубина (с допуском согласно ТЗ (ТУ)).
7.5.5 Для измерения глубины заделки семян осторожно вскрывают ряды, послойно смещая почву поперек хода сеялки до нахождения нескольких семян в каждом ряду. Затем со стороны ненарушенной поверхности почвы вдоль ряда накладывают линейку так, чтобы один ее край располагался над рядом вскрытых семян, и измеряют расстояние от семян до нижней стороны линейки. Погрешность измерения - +/- 1 мм. Число измерений по каждому сошнику не менее 15. Результаты измерений записывают в
форму Б.19 (приложение Б) и вычисляют среднеарифметическое значение глубины заделки семян по всем сошникам, стандартное отклонение и коэффициент вариации с округлением до первого десятичного знака.
7.5.6 Полевой опыт закладывают в оптимальный для посева агротехнический срок в течение не более 2 суток. Посев осуществляют на длине участка не менее 100 м. При установке минимальной и максимальной глубины хода сошников посев проводят за один проход сеялки на оптимальной скорости движения, при оптимальном заглублении сошников - посев осуществляют за два прохода на скоростях, предусмотренных ТЗ (ТУ).
7.5.7 Проходы сеялки с предельными значениями глубины хода сошников используют только для определения обеспечения сеялкой фактической минимальной и максимальной глубин заделки семян.
7.5.8 На посевах с оптимальным заглублением сошников определяют все показатели, которые предусмотрены ТЗ (ТУ).
7.5.9 Определение глубины заделки семян (удобрений) и почвенной прослойки между семенами и удобрениями
7.5.9.1 Глубину заделки семян определяют одним из трех методов:
- методом непосредственного нахождения (раскопками) семян в ряду (гнезде);
- с помощью устройства для послойного снятия почвы;
- измерением этиолированной части растения.
Примечание - Глубину заделки семян риса определяют методом непосредственного нахождения семян в ряду.
7.5.9.2 Для определения глубины заделки удобрения в почву вносят суперфосфат в повышенной норме, мел или семена культуры, отличающейся от основной. Глубину заделки удобрения определяют методом непосредственного нахождения его в почве в соответствии с
7.5.5.
7.5.9.3 Глубину заделки семян (удобрений) определяют не позже чем на второй день после посева. В случае применения довсходовой химической обработки посевов глубину заделки семян определяют в срок, соответствующий санитарным нормам при работе с пестицидами.
Для определения глубины заделки семян (удобрений) методом непосредственного нахождения их в почве в день посева на прямом и обратном проходах сеялки на каждом ряду сошников отмечают колышками по два - четыре засеянных ряда. На отмеченных рядах помечают шесть площадок (три на прямом и три на обратном проходах). Размер площадок должен обеспечить не менее 20 измерений глубины заделки семян (удобрений) для каждого ряда сошников при трехрядном их расположении на сеялке и не менее 25 измерений для каждого ряда при двухрядном расположении сошников, находящихся вне колеи колес трактора и сеялки. Для сеялок с однорядным расположением сошников глубину заделки семян определяют по всей ширине захвата двух смежных проходов с получением не менее 30 измерений. Метод - в соответствии с
7.5.5. Результаты записывают в
форму Б.20 (приложение Б) и вычисляют среднеарифметическое значение с округлением до первого десятичного знака.
При определении глубины заделки семян по этиолированной части растения число незаделанных семян определяют в пределах рамки длиной 1 м, шириной, равной ширине захвата сеялки. Рамки накладывают в четырехкратной повторности (две на прямом и две на обратном проходах). Семена учитывают отдельно вне колеи и по колее. Результаты записывают в
форму Б.21 (приложение Б) и вычисляют среднеарифметическое значение с округлением до первого десятичного знака.
7.5.9.4 Для определения глубины заделки семян по этиолированной части растений в день посева на одной из повторностей отмечают ряды, находящиеся вне следа колес агрегата, использовав метод случайного выбора. После всходов (два-три листика) в отмеченных рядах у растений срезают надземную часть. Оставшуюся в почве часть растения вместе с семенами выкапывают и измеряют длину с погрешностью +/- 1 мм. Расстояние от семени до места среза является показателем глубины заделки семян. Растения выкапывают с интервалом не менее 15 см.
Для каждого ряда сошников глубину заделки семян определяют не менее чем у 20 растений при трехрядном расположении сошников, не менее чем у 25 - при двухрядном, не менее 30 - при однорядном.
Число растений

, шт., которое нужно выкопать на каждом ряду, вычисляют по формуле

, (32)
где nр.п - общее число растений, подлежащих измерению, шт.;

- число учитываемых сошников в ряду, шт.;

- число рядов сошников в сеялке, шт.
Результаты измерений глубины заделки семян записывают в
форму Б.20 (приложение Б).
7.5.9.5 Дополнительно определяют глубину заделки семян не менее чем по двум сошникам, идущим по следу колес трактора, сеялки, сцепки, использовав метод случайного выбора. Число измерений должно быть не менее 20. Результаты в зависимости от метода определения записывают в
форму Б.20 (приложение Б).
7.5.9.6 По результатам измерений глубины заделки семян вне следа и по следу колес трактора определяют показатели, указанные в
форме А.4 (приложение А).
7.5.9.7 Число семян, не заделанных сеялкой в почву, учитывают в местах определения глубины заделки семян по
7.5.9.3.
При определении глубины заделки семян по этиолированной части растения число незаделанных семян определяют в пределах рамки длиной 1 м, шириной, равной ширине захвата сеялки. Рамки накладывают в четырехкратной повторности (две на прямом и две на обратном проходах). Семена учитывают отдельно вне колеи и по колее. Результаты записывают в
форму Б.21 (приложение Б) и вычисляют среднеарифметическое значение с округлением до первого десятичного знака.
7.5.9.8 Величину почвенной прослойки между семенами и удобрениями, расположение удобрений относительно семян определяют по каждому сошнику не позднее чем через два дня после посева: по сеялкам гнездового и пунктирно-гнездового посева - раскопками не менее десяти гнезд на каждый сошник, по сеялкам пунктирного посева - раскопками ряда с получением не менее пяти измерений на каждый сошник.
К поперечному разрезу, на котором обнаружены семена и удобрения, прикладывают линейку и измеряют расстояние от удобрения до семени в горизонтальной и вертикальной плоскостях. Результаты измерений записывают в
форму Б.22 (приложение Б), вычисляют среднеарифметическое значение интервала между семенами и удобрениями, количественную долю семян вне контакта с удобрениями (интервал более 10 мм), количественную долю семян в контакте с удобрениями (интервал менее 10 мм).
Количественную долю семян вычисляют от общего числа измерений в горизонтальной и вертикальной плоскостях.
7.5.10 Определение относительной полевой всхожести семян
7.5.10.1 После появления полных всходов подсчитывают число растений (густоту насаждения) на площадках, расположенных по диагонали участка. Число и размер площадок, в зависимости от высеваемой культуры, приведены в
таблице Д.1 (приложение Д). Число всходов в штуках на 1 м
2 (на одном метре длины ряда) определяют как среднеарифметическое из всех площадок. Вычисления проводят с округлением до целого числа.
7.5.10.2 Относительную полевую всхожесть Пв, %, вычисляют по формуле

, (33)
где nв - число взошедших растений, шт./м2 (шт./м);
nв.с - число высеянных всхожих семян, шт./м2 (шт./м).
Число высеянных всхожих семян nв.с, шт./м2, вычисляют по формуле

, (34)
где Пг - посевная годность семян, %.
Посевную годность семян Пг, %, вычисляют по формуле
Пг = Всr10-2, (35)
где Вс - лабораторная всхожесть семян, %;
r - чистота семян, %.
7.5.10.3 По сахарной свекле относительную полевую всхожесть

, %, вычисляют по формуле

, (36)
где

- число взошедших растений на последний день учета (включая погибшие растения), шт./м;
Рс - ростковость семян (определяют одновременно с лабораторной всхожестью по ГОСТ 22617.2);
nв.к - число высеянных всхожих клубочков, шт./м.
Число высеянных всхожих клубочков nв.к, шт./м, вычисляют по формуле
nв.к = QмВс10-2. (37)
7.5.11 Определение распределения растений
7.5.11.1 Распределение растений в ряду по сеялкам точного и пунктирного способов посева определяют на каждом проходе сеялки не менее чем в трехкратной повторности на трех 10-метровых отрезках по одному разу (пятиметровых - для сахарной свеклы, 2,5 м - для сорго, сои, зерновых и кулисных культур). Вдоль учетных отрезков рядов накладывают рейку с делениями 1 см, измеряют расстояние между растениями нарастающим итогом (первое растение, от которого ведется измерение, принимают за ноль). Результаты измерений записывают в
форму Б.16 (приложение Б) и обрабатывают по методике в соответствии с
7.4.12.1.
7.5.11.2 Распределение растений при гнездовом, пунктирно-гнездовом способах посева определяют на учетных делянках в соответствии
7.4.12.2 измерением интервалов между центрами гнезд и подсчета числа растений в гнезде. Результаты измерений записывают в
форму Б.17 (приложение Б) и обрабатывают по методике в соответствии с
7.4.12.2. Длину гнезда определяют в соответствии с
7.4.12.3.
7.5.11.3 Влияние уклона на равномерность распределения семян определяют согласно
7.4.12.8.
При подъеме сеялки по склону, спуске под уклон, уклоне вправо и влево должен обеспечиваться наклон сеялки назад, вперед, вправо или влево на 11°.
7.5.12 Определение глубины обработки, высоты гребней, глубины борозд, сохранения стерни, эрозионно-опасных частиц, уплотнения почвы
7.5.12.1 Глубину обработки (глубину взрыхленного слоя) для сеялок-культиваторов в варианте культиватора определяют в соответствии с
7.3.2.5.
7.5.12.2 Высоту гребней (глубину борозд) определяют после прохода сеялки. На двух проходах по ширине захвата накладывают на поверхность почвы мерную рейку длиной не менее 2,5 м. Измеряют расстояние от нижней грани рейки до дна борозды в 10 точках по длине рейки с интервалом 10 см. Погрешность измерений - +/- 0,5 см. Для сеялок, работающих с катками, высоту гребней (глубину борозд) определяют по следу катка. На каждом проходе рейку накладывают в трехкратной повторности. Результаты измерения записывают в
форму Б.9 (приложение Б) и вычисляют среднеарифметическое значение показателя с округлением до целого числа.
7.5.12.3 Для определения сохранения стерни до прохода агрегата в пяти местах по диагонали участка накладывают рамку длиной 0,5 м и шириной, равной ширине захвата сеялки. В пределах рамки срезают и собирают всю стерню (вместе с другими растительными остатками) и определяют их массу. Количество стерни до прохода агрегата является исходным для каждого опыта. После прохода агрегата эти рамки накладывают в пятикратной повторности, срезают и собирают всю оставшуюся стерню, растительные остатки и взвешивают. Взвешивание проводят с погрешностью +/- 10 г. Результаты измерений записывают в
форму Б.23 (приложение Б).
Сохранение стерни Сс, %, вычисляют по формуле

, (38)
где Gп - масса стерни с учетной рамки после прохода агрегата, г;
Gд - масса стерни с учетной рамки до прохода агрегата, г.
Вычисления проводят с округлением до первого десятичного знака.
7.5.12.4 Содержание эрозионно-опасных частиц в слое от 0 до 5 см определяют до и после прохода сеялки по
ГОСТ 33687.
7.5.12.5 Уплотнение почвы определяют при испытании сеялок, имеющих катки, по разности плотности почвы до и после прохода агрегата. Плотность почвы вычисляют по
ГОСТ 20915.
Пробы до прохода агрегата отбирают в трех точках по ширине захвата сеялки в трех местах по ходу движения с равномерным расположением мест измерений по ширине захвата и длине участка. Места взятия проб отмечают колышками (рядом с проходом) и пробы после прохода берут в тех же местах.
Результаты измерений записывают в
форму Б.24 (приложение Б) и обрабатывают с получением среднеарифметического значения с округлением до первого десятичного знака.
7.5.13 Определение уничтожения сорных растений
7.5.13.1 Степень подрезания сорных растений при испытании сеялок-культиваторов в варианте культивации паров определяют по числу неподрезанных сорных растений на учетных площадках, на которых определялась засоренность участка согласно
7.3.2.3.
Учет проводят после увядания сорных растений не ранее чем через 20 ч и не позже чем через 30 ч после прохода машины.
Результаты измерений записывают в
форму Б.25 (приложение Б).
При обработке полученных данных вычисляют среднеарифметическое значение числа сорных растений на учетной площадке до и после прохода машины.
7.5.13.2 Подрезание сорных растений Пс, %, вычисляют по формуле

, (39)
где n1 - число сорных растений в пределах учетной площадки до прохода машины, шт.;
n2 - число сорных растений в пределах учетной площадки после прохода машины, шт.
Вычисления проводят с округлением до первого десятичного знака.
7.5.14 Определение ширины междурядий, ряда, ленты или полосы
7.5.14.1 Ширину междурядий определяют измерением расстояния между центрами смежных рядов.
Ширину основных междурядий измеряют на двух смежных проходах агрегата, стыковых - на четырех, не менее чем в пяти местах каждого прохода. Погрешность измерения - +/- 0,5 см. Результаты записывают в
форму Б.26 (приложение Б).
По результатам измерений определяют среднеарифметическое значение. Дополнительно, если это предусмотрено ТЗ (ТУ), определяют отклонение фактической ширины междурядья от установочной и количественную долю случаев с отклонением от установочной ширины междурядья в соответствии с ТЗ (ТУ).
Вычисления проводят с округлением до первого десятичного знака.
7.5.14.2 Ширину засеваемого ряда, ленты, полосы определяют после появления всходов. Измерения проводят в двух смежных проходах сеялки не менее чем по двум рядам каждого ряда сошников или по рядам всех сошников при однорядном расположении сошников. Число повторностей - не менее трех. Измерения проводят в поперечном направлении между крайними растениями относительно центра ряда, ленты, полосы. Расстояние между крайними растениями является показателем ширины ряда, ленты, полосы.
Для двух- и трехрядных сеялок по каждому ряду сошников с двух смежных проходов сеялки проводят не менее 20 измерений в каждой повторности. Для однорядной сеялки в каждой повторности число измерений должно быть не менее 50. Погрешность измерений - +/- 1 см. Результаты измерений записывают в
форму Б.27 (приложение Б) и вычисляют среднеарифметическое значение, стандартное отклонение, коэффициент вариации с округлением до первого десятичного знака.
7.5.15 Показатели качества выполнения технологического процесса сеялки записывают в
форму А.4 (приложение А).
8 Методы энергетической оценки
8.1 Энергетическую оценку сеялок проводят в соответствии со стандартами, действующими в государствах - участниках Соглашения.
8.2 Энергетическую оценку проводят одновременно с определением агротехнических показателей на фонах, указанных в
разделе 7.
8.2.1 Энергетические показатели определяют при установившемся режиме работы сеялки.
8.3 Результаты энергетической оценки записывают в
форму А.5 (приложение А).
9 Методы оценки безопасности и эргономичности конструкции
10 Методы оценки надежности
10.1 Оценку надежности сеялок при испытаниях проводят по стандартам, действующим в государствах - участниках Соглашения, с определением показателей, приведенных в
форме А.8 (приложение А).
10.2 Сеялки испытывают на видах работ в соответствии с
ГОСТ 24055.
10.3 На каждом виде работ сеялку испытывают на оптимальной скорости, обеспечивающей получение заданной в ТУ производительности при допустимых показателях качества выполнения технологического процесса.
10.4 Для сокращения сроков испытаний допускается проводить ускоренные испытания на надежность по действующим стандартам на режимах, воспроизводящих эксплуатационные нагрузки.
10.5 Наработку сеялки измеряют часами основного времени, гектарами посеянной площади. Для учета наработки в часах основного времени проводят сплошной хронометраж.
Допускается определять наработку в часах основного времени расчетом по наработке в физических единицах за весь период испытаний и производительности по результатам эксплуатационно-технологической оценки.
10.6 В течение всего периода испытаний ведут учет отказов и повреждений.
10.7 Определение затрат времени и труда на выявление и устранение отказов осуществляют пооперационным хронометражем с погрешностью измерения продолжительности операции +/- 5 с.
10.8 Затраты времени и труда на выявление и устранение отказов в течение всего периода испытаний суммируют и учитывают при расчете показателей надежности.
10.9 Устранение сложных отказов осуществляют сервисные службы предприятий-изготовителей.
10.10 Техническое состояние сеялки и замененных (восстановленных) деталей и узлов оценивают при проведении заключительной технической экспертизы.
10.11 Информацию по операциям технического обслуживания собирают и обрабатывают по ГОСТ 26026.
10.12 Показатели надежности определяют по наработке, измеряемой временем основной работы, и оценивают сопоставлением фактических показателей надежности с нормативными значениями или с показателями сравниваемой сеялки. Отклонение наработок сравниваемых сеялок не должно быть более 20%.
10.13 Показатели надежности записывают в
форму А.8 (приложение А).
10.14 Значение показателей надежности определяют при достижении сезонной (заданной) наработки.
11 Методы эксплуатационно-технологической оценки
11.1 Эксплуатационно-технологическую оценку сеялок проводят в соответствии с
ГОСТ 24055 на оптимальном для данного фона режиме работы, определенном по результатам агротехнической оценки для опытных сеялок и указанном в ТУ - серийных.
Во время испытаний контролируют соблюдение выбранного режима работы и качество выполнения технологического процесса.
Показатели условий испытаний и качества выполнения технологического процесса определяют по методам, изложенным в
разделе 7.
11.2 Сбор информации для эксплуатационно-технологической оценки проводят во время контрольных смен.
Сбор информации о нарушениях технологического процесса и технических отказах проводят в течение всего периода наблюдений.
11.3 Результаты эксплуатационно-технологической оценки записывают в
форму А.9 (приложение А).
12 Методы экономической оценки
Экономическую оценку сеялок и оформление результатов проводят по стандартам, действующим в государствах - участниках Соглашения до утверждения межгосударственного стандарта
ГОСТ "Техника сельскохозяйственная. Методы экономической оценки".
13 Обработка и анализ результатов испытаний
13.1 Обработку результатов испытаний сеялок проводят по программе, разработанной для данного типа сеялок.
13.2 Результаты испытаний оформляют в соответствии с
формами А.1 -
А.9 (приложение А).
13.3 Полученные результаты используют для анализа соответствия результатов испытаний сеялки требованиям ТЗ (ТУ), а также сопоставления их с показателями сравниваемой сеялки.
13.4 На основании анализа полученных значений показателей делают выводы о качестве работы испытуемой сеялки при выполнении заданного технологического процесса.
13.5 Общие выводы по результатам испытаний сеялки делают на основании анализа показателей по всем видам оценок.
(рекомендуемое)
ОФОРМЛЕНИЕ РЕЗУЛЬТАТОВ ИСПЫТАНИЙ
Форма А.1 - Техническая характеристика
Наименование показателя | Значение показателя |
Тип машины | |
Агрегатирование (класс трактора) | |
Привод высевающих аппаратов | |
Конструкционная ширина междурядий, см | |
Рабочая ширина захвата по культурам, м: ___________________________________ ___________________________________ | |
Норма высева семян (удобрений), кг/га, шт./м | |
Рабочие скорости, км/ч | |
Транспортная скорость, км/ч | |
Производительность, га/ч: | |
Количество обслуживающего персонала, чел. | |
Габаритные размеры сеялки, мм | |
в рабочем положении: | |
- длина | |
- ширина | |
- высота | |
в транспортном положении: | |
- длина | |
- ширина | |
- высота | |
Габаритные размеры агрегата, мм | |
в рабочем положении: | |
- длина | |
- ширина | |
- высота | |
в транспортном положении: | |
- длина | |
- ширина | |
- высота | |
Ходовая система (тип и размер ходовых колес) | |
Дорожный просвет, мм | |
Масса сеялки, кг: | |
- сухая конструкционная | |
- с комплектом рабочих органов или приспособлений | |
- эксплуатационная | |
Распределение массы агрегата по опорам с заправленными емкостями, кг: ___________________________________ ___________________________________ | |
Удельная материалоемкость, кг/м | |
Минимальный радиус поворота агрегата, м: | |
- по крайней наружной точке | |
- по следу наружного колеса | |
Необходимая ширина повторной полосы, м | |
Ширина колеи ходовых колес, мм: | |
- в рабочем положении | |
- в транспортном | |
Пределы регулирования рабочих органов по глубине: | |
- семенного сошника | |
- тукового сошника | |
Вместимость емкости для семян (удобрений), м3 (дм3) | |
Число точек смазки, шт.: | |
- ежесменных | |
- сезонных | |
Число передач, шт.: | |
- шарнирных (карданных) | |
- цепных | |
- ременных | |
- редукторов | |
Элементы автоматики: | |
- контролируемые процессы | |
- число датчиков автоматического контроля и сигнализации, шт. | |
- точки контроля | |
- число систем автоматического регулирования режимов работы, шт. | |
Трудоемкость, чел.-ч: | |
- досборки сеялки | |
- переоборудования сеялки (на другие операции, междурядья, ширину захвата, оборудование различными приспособлениями, перевод в транспортное положение, перевод в рабочее положение) | |
- составления агрегата | |
для работы | |
для транспортирования | |
Показатели по узлам и рабочим органам (тип, количество, параметры, масса, пределы регулировки и др.) | |
Форма А.2 - Показатели условий испытаний
Наименование показателя | Значение показателя |
Вид оценки |
Агротехническая | Эксплуатационно-технологическая |
Стендовые испытания | Лабораторно-полевые испытания | Сеялки рядового, узкорядного, ленточного и безрядкового посева | Сеялки пунктирного и точного посева | Сеялки пунктирно-гнездового и гнездового посева |
Культура | + | + | + | + | + |
Сорт | + | + | + | + | + |
Фракция | + | + | - | + | - |
Выравненность фракции, % (для калиброванных семян) | + | + | - | + | + |
Чистота семян, % | + | + | + | + | + |
Посевная годность, % | - | + | + | + | + |
Дробление, % | + | + | - | - | - |
Всхожесть, % | - | + | - | - | - |
Влажность, % | + | + | + | + | + |
Одноростковость семян сахарной свеклы, % | - | + | - | - | - |
Ростковость семян сахарной свеклы, % | - | + | - | - | - |
Масса 1000 семян, г | + | + | + | + | + |
Размер семян (для некалиброванных крупносеменных культур): | | | | | |
- длина | | | | | |
среднеарифметическое значение, мм | + | + | - | - | - |
стандартное отклонение, мм | + | + | - | - | - |
- ширина | | | | | |
среднеарифметическое значение, мм | + | + | - | - | - |
стандартное отклонение, мм | + | + | - | - | - |
- толщина | | | | | |
среднеарифметическое значение, мм | + | + | - | - | - |
стандартное отклонение, мм | + | + | - | - | - |
Предпосевная обработка семян | - | + | + | + | + |
Насыпная плотность семян, кг/м3 | + | + | + | + | + |
Вид минерального удобрения <*> | + | + | + | + | + |
Влажность удобрений <*>, % | + | + | - | - | - |
Гранулометрический состав удобрений <*>, %: | | | | | |
размеры гранул, мм (в соответствии с ТЗ (ТУ)) | + | + | - | - | - |
Насыпная плотность удобрений, кг/м3 | + | + | - | - | - |
Состав смеси удобрений <*>, % | + | + | + | + | + |
Тип почвы, название по механическому составу | - | + | + | + | + |
Рельеф | - | + | + | + | + |
Микрорельеф | - | + | + | + | + |
Структура почвы | - | + | - | - | - |
Влажность почвы, %, по слоям, см: | | | | | |
от 0 до 5 включ. | - | + | + | + | + |
св. 5 " 10 " | - | + | + | + | + |
" 10 " 15 " | - | + | + | + | + |
Твердость почвы, МПа, по слоям, см: | | | | | |
от 0 до 5 включ. | - | + | + | + | + |
св. 5 " 10 " | - | + | + | + | + |
" 10 " 15 " | - | + | + | + | + |
Глубина взрыхленного слоя (кроме хлопковых сеялок): | | | | | |
- среднеарифметическое значение, см | - | + | + | + | + |
- стандартное отклонение, см | - | + | - | - | - |
- коэффициент вариации, % | - | + | - | - | - |
- количественная доля случаев с заданной глубиной, % | - | + | - | - | - |
Крошение взрыхленного слоя (кроме хлопковых сеялок): | | | | | |
- массовая доля фракции, %, размером, мм, в соответствии с ТЗ (ТУ) | - | + | + | + | + |
Характеристика гряды, гребня (глубины борозды) при посеве на гребнях, грядах, см: | | | | | |
- ширина по верху | - | + | - | - | - |
- ширина по низу | - | + | - | - | - |
- высота | - | + | - | - | - |
Число камней <**>, шт./га | - | + | - | - | - |
Средний размер камня <**>, мм | - | + | - | - | - |
Число сорных растений, шт./м2 | - | + | - | - | - |
Высота сорных растений, см | - | + | - | - | - |
Масса пожнивных остатков (стерни), г/м2 | - | + | - | - | - |
Высота пожнивных остатков (стерни), см | - | + | - | - | - |
Предшествующая обработка почвы | - | + | + | + | + |
Относительная влажность воздуха, % | - | + | - | - | - |
Температура атмосферного воздуха, °C | - | + | - | - | - |
<*> Заполняют при испытаниях туковысевающих аппаратов новой конструкции. Примечание - Знак "+" означает, что показатель определяют, знак "-" - не определяют. |
Форма А.3 - Режимы и показатели качества выполнения технологического процесса при стендовых испытаниях
Наименование показателя | Сеялка для |
рядового, узкорядного, ленточного и безрядкового посева | точного и пунктирного посева | пунктирно-гнездового посева | гнездового посева |
Культура | + | + | + | + |
Скорость, м/с | + | + | + | + |
Передаточное отношение | + | + | + | + |
Линейная скорость высевающих элементов, м/с | - | + | - | - |
Высевающая способность сеялки (по семенам, удобрениям) <*>, кг/га, шт./м, шт., тыс. шт./га, шт. в гнездо: | | | | |
- минимальная | + | + | + | + |
- максимальная | + | + | + | + |
Качество высева при хозяйственной норме <**>: | | | | |
- регулирование высевающего аппарата (длина рабочей части катушек) | + | + | + | + |
- норма высева семян (удобрений), кг/га, шт./м, шт., тыс. шт./га, шт. в гнездо: | | | | |
заданная | + | + | + | + |
фактическая | + | + | + | + |
- отклонение фактической нормы высева от заданной, % | + | + | + | + |
- неравномерность высева между аппаратами, % | + | + | + | + |
- неустойчивость общего высева, % | + | + | + | + |
Дробление, % | + | + | + | + |
Механические повреждения, % | + | + | + | + |
Распределение семян (гнезд и семян в гнезде, гнезд и высев семян в гнездо) в ряду (шаг посева): | | | | |
- заданный интервал между семенами (гнездами), см | - | + | + | + |
- среднеарифметическое значение интервала между семенами (гнездами) фактическое, см | - | + | + | + |
- стандартное отклонение, см | - | + | + | + |
- коэффициент вариации, % | - | + | + | + |
- пропуски, % | - | - | - | + |
- количественная доля семян (гнезд) с интервалами, предусмотренными ТЗ (ТУ), % | - | + | + | + |
- среднеарифметическое значение числа семян в гнезде, шт. | - | - | - | + |
стандартное отклонение, шт. | - | - | - | + |
коэффициент вариации, % | - | - | - | + |
- количественная доля гнезд с числом семян, предусмотренным ТЗ (ТУ), % | - | - | - | + |
- количественная доля гнезд, %, с числом семян, шт.: | | | | |
от 1 до 2 включ. | - | - | + | - |
св. 2 " 3 " | - | - | + | - |
" 3 " 4 " | - | - | + | - |
" 4 | - | - | + | - |
- количественная доля гнезд, %, с числом семян, шт.: | | | | |
1 | - | - | - | + |
2 | - | - | - | + |
3 | - | - | - | + |
... | ... | ... | ... | ... |
n | - | - | - | + |
- пропуски, % | - | - | + | + |
Заданный интервал между семенами в гнезде, см | - | - | + | - |
Фактический средний интервал между семенами в гнезде, см | - | - | + | - |
Количественная доля семян, высеянных между гнездами (подсев), % | - | - | + | + |
Точность высева, % | - | - | - | + |
Длина гнезда, см: | - | - | + | + |
количественная доля гнезд с длиной, предусмотренной ТЗ (ТУ), % | - | - | + | + |
Ширина гнезда, см: | - | - | + | + |
количественная доля гнезд с шириной, предусмотренной ТЗ (ТУ), % | - | - | - | - |
Влияние уклона на равномерность распределения семян <***> | + | - | - | - |
Влияние тряски на массу высеянных семян | + | - | - | - |
<*> Единицы измерений записывают в соответствии с типом сеялки и ТЗ (ТУ). <**> Для овощных сеялок качество высева по нижеприведенным показателям в соответствии с графой 2 определяется на минимальной и хозяйственной норме. <***> Определяют по сеялкам, предназначенным для работы на склоне. Примечание - Знак "+" означает, что показатель определяют, знак "-" - не определяют. |
Форма А.4 - Режимы и показатели качества выполнения технологического процесса при лабораторно-полевых испытаниях
Наименование показателя | Значение показателя |
Вид оценки |
Агротехническая (лабораторно-полевые испытания) | Эксплуатационно-технологическая |
Сеялки рядового, узкорядного, ленточного и безрядкового способов посева |
Культура | + | + |
Скорость движения агрегата, м/с, км/ч | + | + |
Регулировка высевающего аппарата (длина рабочей части катушки) | + | - |
Передаточное отношение | + | - |
Норма высева семян (удобрений) кг/га: | | |
- заданная | + | + |
- фактическая | + | + |
Средняя глубина заделки семян при максимальном заглублении сошников, мм | + | - |
Средняя глубина заделки семян при минимальном заглублении сошников, мм | + | - |
Глубина заделки семян при оптимальном заглублении сошников: | | |
- установочная глубина, мм | + | - |
- среднеарифметическое значение глубины, мм | + | + |
- стандартное отклонение, мм | + | + |
- коэффициент вариации, % | + | + |
Глубина заделки удобрений, мм | + | - |
Почвенная прослойка между семенами и удобрениями, мм | + | - |
Число семян, не заделанных в почву, шт./м2 | + | - |
в том числе по следу колес агрегата | + | - |
- вне колеи | + | - |
- по колее | + | - |
Высота гребней после прохода сеялки, см | + | - |
Число всходов, шт./м2 | + | + |
Относительная полевая всхожесть, % | + | - |
Ширина основных междурядий, (для ленточного посева), см | + | - |
Ширина стыковых междурядий (перекрытий) в смежных проходах, см | + | - |
Плотность почвы, г/см3: | | |
- до прохода агрегата | + | - |
- после прохода агрегата | + | - |
Уплотнение почвы, г/см3 | + | - |
Сеялка-культиватор в варианте культивации паров |
Скорость движения агрегата, м/с | + | + |
Глубина обработки: | | |
- среднеарифметическое значение, см | + | + |
- стандартное отклонение, см | + | + |
Высота гребней (глубина борозд), см | + | - |
Сохранение стерни, % | + | - |
Содержание эрозионно-опасных частиц размером менее 1 мм в слое почвы от 0 до 5 см, %: | | |
- до прохода агрегата | + | - |
- после прохода агрегата | + | - |
Подрезание сорных растений, % | + | + |
Плотность почвы, г/см3: | | |
- до прохода агрегата | + | - |
- после прохода агрегата | + | - |
Уплотнение почвы, г/см3 | + | - |
Сеялки точного и пунктирного способов посева |
Культура | + | + |
Скорость движения агрегата, м/с, км/ч | + | + |
Передаточное отношение | + | - |
Регулировка высевающего аппарата | + | - |
Линейная скорость высевающих элементов (ячеек, захватов, присасывающих отверстий и т.п.) сеялок точного высева, м/с | + | - |
Схема посева (для овощных сеялок), см | + | - |
Норма высева семян, тыс шт./га, шт./м, кг/га и удобрений, кг/га: | | |
- заданная | + | + |
- фактическая | + | + |
Средняя глубина заделки семян при максимальном заглублении сошников, мм | + | - |
Средняя глубина заделки семян при минимальном заглублении сошников, мм | + | - |
Глубина заделки семян при оптимальном заглублении сошников: | | |
- установочная глубина, мм | + | - |
- среднеарифметическое значение, мм | + | + |
- стандартное отклонение, мм | + | + |
- коэффициент вариации, % | + | + |
Глубина заделки удобрений, мм | + | - |
Почвенная прослойка между семенами и удобрениями, мм | + | - |
Число семян, не заделанных в почву, шт./м2 | + | - |
Распределение растений в ряду: | | |
- заданный интервал между растениями, см | + | - |
- среднеарифметическое значение интервала между растениями фактическое, см: | + | + |
стандартное отклонение, см | + | + |
коэффициент вариации, % | + | + |
Количественная доля растений, расположенных с интервалом, предусмотренным ТЗ (ТУ), % | + | - |
Ширина ленты рассева (для свекловичных и ленточных сеялок), см | + | - |
Относительная полевая всхожесть, % | + | - |
Густота насаждения, шт./м, тыс шт./га | + | + |
Ширина полосы, см | + | - |
Характеристика гряды (гребня) при испытаниях сеялок для посева на грядах, см: | | |
- высота | + | - |
- ширина по верху | + | - |
- ширина по низу | + | - |
Ширина основных междурядий: | | |
- среднеарифметическое значение, см | + | + |
- отклонение фактической ширины междурядья от установочной, см | + | + |
Количественная доля случаев, %, с отклонением от установочной ширины междурядья, см, в соответствии с ТЗ (ТУ) | + | + |
Высота гребней после прохода сеялки (для противоэрозионных сеялок), см | + | - |
Сеялки пунктирно-гнездового и гнездового посева |
Культура | + | + |
Скорость движения агрегата, м/с, км/ч | + | + |
Передаточное отношение | + | - |
Регулировка высевающего аппарата | + | - |
Схема посева, см | + | - |
Норма высева семян, тыс шт./га, шт./м, кг/га и удобрений, кг/га: | + | + |
- заданная | + | + |
- фактический высев | | |
Средняя глубина заделки семян при максимальном заглублении сошников, мм | + | - |
Средняя глубина заделки семян при минимальном заглублении сошников, мм | + | - |
Глубина заделки семян при оптимальном заглублении сошников: | | |
- установочная глубина, мм | + | - |
- среднеарифметическое значение глубины, мм | + | + |
- стандартное отклонение, мм | + | + |
- коэффициент вариации, % | + | + |
Глубина заделки удобрений, мм | + | - |
Почвенная прослойка между семенами и удобрениями, мм | + | - |
Количественная доля семян вне контакта с удобрениями, % | + | - |
Количественная доля семян в контакте с удобрениями, % | + | - |
Число семян, не заделанных в почву, шт./м2 | + | - |
Густота насаждения, тыс шт./га | + | + |
Распределение растений: | | |
- заданный интервал между гнездами, см | + | + |
- среднеарифметическое значение интервала между гнездами фактическое, см: | + | + |
стандартное отклонение, см | + | + |
коэффициент вариации, % | + | + |
- количественная доля гнезд с интервалами, предусмотренными ТЗ (ТУ), % | + | - |
- пропуски, % | + | - |
- среднее число растений в гнезде, шт. | + | + |
- количественная доля гнезд с числом растений, предусмотренным ТЗ (ТУ), % | + | + |
Распределение растений в гнезде: | | |
- заданный интервал между растениями в гнезде, см | + | - |
- среднеарифметическое значение интервала между растениями в гнезде фактическое, см | + | - |
стандартное отклонение, см | + | - |
коэффициент вариации, % | + | - |
Ширина гнезда, см | + | - |
Количественная доля гнезд с шириной, предусмотренной ТЗ (ТУ), % | + | - |
Длина гнезда, см | + | - |
Количественная доля гнезд с длиной, предусмотренной ТЗ (ТУ), % | + | - |
Подсев семян в междугнездии, % | + | - |
Относительная полевая всхожесть (кроме хлопковых сеялок), % | + | - |
Ширина основных междурядий: | | |
- среднеарифметическое значение, см | + | - |
- отклонение фактической ширины междурядья от установочной, см | + | - |
- количественная доля случаев, %, с отклонением от установочной ширины междурядья, см, в соответствии с ТЗ (ТУ) | + | - |
Влияние уклона | + | - |
Примечание - Знак "+" означает, что показатель определяют, знак "-" - не определяют. |
Форма А.5 - Энергетические показатели
Наименование показателя | Значение показателя |
Дата проведения испытаний | |
Режим работы | |
Рабочая скорость движения агрегата, км/ч | |
Ширина захвата, м | |
Глубина хода рабочих органов, см | |
Производительность, га/ч | |
Расход топлива, кг/ч | |
Энергетические показатели | |
Мощность, потребляемая сеялкой при оптимальной производительности, кВт | |
Удельные энергозатраты, МДж/га | |
Тяговое сопротивление, Н | |
Форма А.6 - Номенклатура показателей безопасности и эргономичности конструкции сеялки
Наименование показателя |
Общие требования к безопасности конструкции узлов и агрегатов, специфические требования к машине Требования к обеспечению безопасности при монтаже, транспортировании и хранении Требования к световым сигналам и маркировочным устройствам Удобство и безопасность доступа к местам обслуживания Наличие предупреждающих надписей и знаков безопасности Требования к системе символов для обозначения органов управления и средств отображения информации Требования к наличию и конструкции защитных ограждений Требования к обеспечению безопасности операций по очистке Видимость объектов постоянного наблюдения Угол поперечной статической устойчивости Устойчивость в отцепленном состоянии Требования к тормозным системам Требования к агрегатированию Безопасность присоединения Нагрузка на управляемые колеса |
Форма А.7 - Показатели безопасности и эргономичности конструкции машины (для протокола)
Наименование показателя, требования | Значение показателя по | Заключение о соответствии |
стандарту | результатам испытаний |
| | | |
Форма А.8 - Показатели надежности
Наименование показателя | Значение показателя |
Общая наработка, ч, га | |
Наработка на отказ, ч, га, | |
в том числе по группам сложности: | |
- I группы сложности | |
- II группы сложности | |
- III группы сложности | |
Общее число отказов, шт., | |
в том числе по группам сложности: | |
- I группы сложности | |
- II группы сложности | |
- III группы сложности | |
Среднее время восстановления, ч/отказ | |
Оперативное время ежесменного технического обслуживания, ч | |
Оперативная трудоемкость ежесменного технического обслуживания, чел.-ч | |
Трудоемкость ежесменного технического обслуживания, чел.-ч | |
Удельная суммарная трудоемкость технических обслуживаний, чел.-ч/ч, чел.-ч/га | |
Удельная суммарная оперативная трудоемкость технических обслуживаний, чел.-ч/ч, чел.-ч/га | |
Удельная суммарная оперативная трудоемкость текущих ремонтов (выявления и устранения отказов), чел.-ч/ч, чел.-ч/га | |
Удельная суммарная трудоемкость текущих ремонтов (выявления и устранения отказов), чел.-ч/ч, чел.-ч/га | |
Коэффициент готовности: | |
- с учетом организационного времени | |
- по оперативному времени | |
Коэффициент технического использования | |
Перечень отказов и повреждений (помещают в приложении к протоколу) | |
Форма А.9 - Показатели эксплуатационно-технологической оценки
Наименование показателя | Значение показателя |
Вид работы |
| | |
Период проведения оценки (дата) | | | |
Место проведения | | | |
Условия проведения испытаний <*> | | | |
Состав агрегата | | | |
| | | |
Производительность за 1 ч времени, га/ч: | | | |
- основного | | | |
- технологического | | | |
- сменного | | | |
Удельный расход топлива за сменное время, кг/га | | | |
Эксплуатационно-технологические коэффициенты: | | | |
- рабочих ходов | | | |
- технологического обслуживания | | | |
- надежности технологического процесса | | | |
- использования технологического времени | | | |
- использования сменного времени | | | |
Количество обслуживающего персонала, чел. | | | |
Показатели качества выполнения технологического процесса <**> | | | |
|
(обязательное)
ФОРМЫ РАБОЧИХ ВЕДОМОСТЕЙ РЕЗУЛЬТАТОВ ИСПЫТАНИЙ
Форма Б.1 - Ведомость определения массы загруженных семян (удобрений)
Марка сеялки ______________________________________________________
Место испытаний ______________________________ Дата _______________
Средства измерений ________________________________________________
Повторность | Масса загруженной тары, кг | Масса тары после выгрузки, кг | Масса загруженных семян (удобрений), кг |
1 | | | |
2 | | | |
3 | | | |
Сумма | | | |
Среднеарифметическое значение | | | |
Исполнитель | _________ должность | ____________ личная подпись | _______________ инициалы, фамилия |
Форма Б.2 - Ведомость определения размера семян
Марка машины _________________________________ Дата ____________ Место испытаний ________________________________________________ хозяйство, отделение, поле Культура, сорт ___________________________________________________ Состояние семян (для хлопчатника) _________________________________ Средства измерений ______________________________________________ |
Размеры в миллиметрах
Измерение | Ширина | Длина | Толщина |
1 | | | |
2 | | | |
3 | | | |
... | | | |
100 | | | |
Сумма | | | |
Среднеарифметическое значение | | | |
Стандартное отклонение | | | |
Исполнитель | _________ должность | ____________ личная подпись | _______________ инициалы, фамилия |
Форма Б.3 - Ведомость определения выравненности фракции калиброванных семян
Марка машины ________________________________________________ Место испытаний ______________________________________________ хозяйство, отделение, поле Культура, сорт _______________________________ Дата _____________ Фракция ______________________________________________________ Средства измерений ____________________________________________ |
Фракция (диаметр ячейки решета), мм | Масса фракции, г, в навеске | Сумма | Среднеарифметическое значение, г | Массовая доля, % |
1 | 2 | 3 |
| | | | | | |
| | | | | | |
| | | | | | |
| | | | | | |
| | | | | | |
Исполнитель | _________ должность | ____________ личная подпись | _______________ инициалы, фамилия |
Форма Б.4 - Ведомость определения ростковости сахарной свеклы
Марка машины __________________________________________________ Место испытаний ________________________________________________ хозяйство, отделение, поле Культура, сорт _________________________________ Дата _____________ Средства измерений ______________________________________________ |
Повторность | Высеяно клубочков, шт. | Проросших клубочков, шт. | Число ростков, шт. | Ростковость, % | Одноростковость, % |
всего | в т.ч. с числом ростков |
1 | 2 | 3 | 4 | ... n |
1 | | | | | | | | | | |
2 | | | | | | | | | | |
3 | | | | | | | | | | |
4 | | | | | | | | | | |
Сумма | | | | | | | | | | |
Среднеарифметическое значение | | | | | | | | | | |
Исполнитель | _________ должность | ____________ личная подпись | _______________ инициалы, фамилия |
Форма Б.5 - Ведомость определения гранулометрического состава удобрения
Марка машины __________________________________________________ Место испытаний _______________________________________________ хозяйство, отделение, поле Дата _____________ Вид и форма удобрения _________________________ Средства измерений _____________________________________________ |
Навеска | Общая масса навески, г | Масса удобрения по фракциям, г (%) |
размер отверстий применяемых сит, мм |
| | | | |
1 | | | | | | |
2 | | | | | | |
3 | | | | | | |
Сумма | | | | | | |
Среднеарифметическое значение | | | | | | |
Исполнитель | _________ должность | ____________ личная подпись | _______________ инициалы, фамилия |
Форма Б.6 - Ведомость определения насыпной плотности семян (удобрения)
Марка машины __________________________________________________ Место испытаний ________________________________________________ хозяйство, отделение, поле Культура, сорт семян _____________________________________________ Дата _____________ Вид и форма удобрения _________________________ Средства измерений ______________________________________________ |
Повторность | Масса семян (удобрения) с емкостью, кг | Масса емкости, кг | Чистая масса семян (удобрения), кг | Вместимость емкости, м3 | Насыпная плотность семян (удобрения), кг/м3 |
1 | | | | | |
2 | | | | | |
3 | | | | | |
Сумма | | | | | |
Среднеарифметическое значение | | | | | |
Исполнитель | _________ должность | ____________ личная подпись | _______________ инициалы, фамилия |
Форма Б.7 - Ведомость определения глубины взрыхленного слоя
Марка машины __________________________________________________ Место испытаний _______________________________________________ хозяйство, отделение, поле Культура, сорт __________________________________________________ Дата _____________ Средства измерений ___________________________ |
Измерение | Глубина взрыхленного слоя, см |
Площадка |
1 | 2 | 3 | 4 | 5 |
1 | | | | | |
2 | | | | | |
3 | | | | | |
... | | | | | |
20 | | | | | |
Сумма | | | | | |
Среднеарифметическое значение | | | | | |
Стандартное отклонение | | | | | |
Коэффициент вариации, % | | | | | |
Количественная доля случаев с заданной глубиной, % | |
Исполнитель | _________ должность | ____________ личная подпись | _______________ инициалы, фамилия |
Форма Б.8 - Ведомость определения крошения взрыхленного слоя почвы
Марка машины __________________________________________________ Место испытаний _______________________________________________ хозяйство, отделение, поле Культура, сорт __________________________________________________ Дата _____________ Средства измерений ___________________________ |
Площадка | Масса фракции, кг | Общая масса пробы, кг |
Размеры фракции в соответствии с ТЗ (ТУ), мм |
| | | |
1 | | | | | |
2 | | | | | |
3 | | | | | |
4 | | | | | |
5 | | | | | |
Сумма | | | | | |
Среднеарифметическое значение | | | | | |
Массовая доля фракции, % | | | | | |
Исполнитель | _________ должность | ____________ личная подпись | _______________ инициалы, фамилия |
Форма Б.9 - Ведомость определения параметров гряды, гребня (глубины борозды)
Марка машины __________________________________________________ Место испытаний ________________________________________________ (хозяйство, отделение, поле) Культура, сорт _________________________________ Дата _____________ Средства измерений ______________________________________________ |
Размеры в сантиметрах
Измерение | Высота гряды, гребня (глубина борозды) | Ширина гряды (гребня) |
по верху | по низу |
Площадка |
1 | 2 | 3 | 4 | 5 | 1 | 2 | 3 | 4 | 5 | 1 | 2 | 3 | 4 | 5 |
1 | | | | | | | | | | | | | | | |
2 | | | | | | | | | | | | | | | |
3 | | | | | | | | | | | | | | | |
... | | | | | | | | | | | | | | | |
10 | | | | | | | | | | | | | | | |
Сумма | | | | | | | | | | | | | | | |
Среднеарифметическое значение | | | | | | | | | | | | | | | |
Исполнитель | _________ должность | ____________ личная подпись | _______________ инициалы, фамилия |
Форма Б.10 - Ведомость определения нормы высева для сеялок рядового, узкорядного, ленточного и безрядкового посева
Марка машины __________________________________________________ Место испытаний ________________________________________________ хозяйство, отделение, поле Культура, сорт _________________________________ Дата _____________ Средства измерений ______________________________________________ |
Передаточное отношение | Левая или правая половина сеялки | Нижний или верхний высев аппарата | Регулировка высевающего аппарата (средняя длина рабочей части катушки, мм и др.) | Масса семян, высеянных за nо.к оборотов опорно-приводного колеса сеялки, г | Норма высева, кг/га |
Повторность | Сумма | Среднеарифметическое значение | заданная | фактическая |
1 | 2 | 3 |
| | | | | | | | | | |
| | | | | | | | | | |
| | | | | | | | | | |
| | | | | | | | | | |
Исполнитель | _________ должность | ____________ личная подпись | _______________ инициалы, фамилия |
Форма Б.11 - Ведомость определения нормы высева семян сеялками точного, пунктирного и гнездового посева
Марка машины __________________________________________________ Место испытаний ________________________________________________ хозяйство, отделение, поле Дата _____________ Культура, сорт _________________________________ Средства измерений ______________________________________________ |
Повторность | Передаточное отношение | Линейная скорость диска, м/с | Высеяно семян, шт./м (шт./гнездо) | Норма высева, кг/га (тыс. шт./га) |
заданная (теоретическая) | фактическая |
1 | | | | | |
2 | | | | | |
3 | | | | | |
Сумма | | | | | |
Среднеарифметическое значение | | | | | |
Исполнитель | _________ должность | ____________ личная подпись | _______________ инициалы, фамилия |
Форма Б.12 - Ведомость определения неравномерности и неустойчивости высева
Марка машины _________________________________ Дата ____________ Место испытаний ________________________________________________ хозяйство, отделение, поле Культура, сорт ___________________________________________________ Передаточное число _______________ Норма высева, кг/га _____________ Средства измерений ______________________________________________ |
Номер высевающего аппарата (семяпровода) | Длина рабочей части катушки, мм | Масса высеянных семян или удобрений, г | Отклонение массы семян (удобрений), высеянных каждым аппаратом, от среднеарифметической массы (неравномерность высева), г (%) |
Повторность | Сумма | Среднеарифметическое значение |
1 | 2 | 3 |
1 | | | | | | Среднее отклонение суммарной массы семян (удобрений) каждого повторения от их среднеарифметической массы из повторностей (неустойчивость общего высева), г, % | | |
2 | | | | | | | |
3 | | | | | | | |
... | | | | | | | |
n | | | | | | | |
Сумма | | | | | | | |
Среднеарифметическое значение | | | | | | | |
Фактически полученный высев, кг/га | | | | | | | |
Исполнитель | _________ должность | ____________ личная подпись | _______________ инициалы, фамилия |
Форма Б.13 - Ведомость определения дробления (обрушивания) и повреждения семян
Марка машины _________________________________ Дата ____________ Место испытаний ________________________________________________ хозяйство, отделение, поле Культура, сорт ___________________________________________________ Фракция (для калиброванных семян) ________________________________ Норма высева, кг/га _______________________________________________ Регулировка высевающего аппарата _________________________________ Скорость, м/с ____________________________________________________ Средства измерений ______________________________________________ |
Наименование показателя | Навеска, г (шт.) | Массовая (количественная) доля семян, % |
1 | 2 | 3 | 4 | 5 | 6 | Сумма | Среднеарифметическое значение |
Общая масса семян в навеске | | | | | | | | | |
в том числе: | | | | | | | | | |
- дробленые | | | | | | | | | |
- обрушенные (для пленчатых культур) | | | | | | | | | |
- с механическими повреждениями оболочки (для крупносеменных культур) | | | | | | | | | |
- с механическими повреждениями кожуры (для семян хлопчатника), шт. | | | | | | | | | |
Исполнитель | _________ должность | ____________ личная подпись | _______________ инициалы, фамилия |
Форма Б.14 - Ведомость определения дробления семян сахарной свеклы
Марка машины _________________________________ Дата _____________ Место испытаний _________________________________________________ хозяйство, отделение, поле Опыт ____________________________________________________________ Скорость, м/с _____________________________________________________ Фракция семян ____________________________________________________ Параметры высевающего диска ______________________________________ Средства измерений _______________________________________________ |
Наименование показателя | Навеска, г | Массовая доля, % |
1 | 2 | 3 | 4 | 5 | 6 | Сумма | Среднеарифметическое значение |
Масса навески, всего, г | | | | | | | | | |
в том числе | | | | | | | | | |
- целые семена (клубочки, плоды) | | | | | | | | | |
- частицы семян | | | | | | | | | |
- дробленые семена | | | | | | | | | |
- части околоплодника | | | | | | | | | |
- поврежденные клубочки <*> | | | | | | | | | |
Пыль | | | | | | | | | |
<*> К поврежденным клубочкам в односемянной свекле относят и клубочки с открытым околоплодником. |
Исполнитель | _________ должность | ____________ личная подпись | _______________ инициалы, фамилия |
Форма Б.15 - Ведомость определения дробления и повреждения дражированных семян сахарной свеклы
Марка машины _________________________________ Дата ____________ Место испытаний ________________________________________________ хозяйство, отделение, поле Фракция семян ___________________________________________________ Параметры высевающего диска _____________________________________ Скорость, м/с ____________________________________________________ Средства измерений ______________________________________________ |
Наименование показателя | Навеска, г | Массовая доля, % |
1 | 2 | 3 | 4 | 5 | 6 | Сумма | Среднеарифметическое значение |
Масса навески, всего, г | | | | | | | | | |
в том числе | | | | | | | | | |
а) целые клубочки | | | | | | | | | |
б) поврежденные клубочки, всего | | | | | | | | | |
- дробленые клубочки и семена (частицы семян и части околоплодника) | | | | | | | | | |
- разрушена оболочка драже, когда открыто более 1/3 поверхности семени | | | | | | | | | |
- нарушена оболочка драже, когда открыта 1/3 поверхности семени и менее | | | | | | | | | |
- глубокие трещины на поверхности оболочки драже | | | | | | | | | |
Пыль | | | | | | | | | |
Исполнитель | _________ должность | ____________ личная подпись | _______________ инициалы, фамилия |
Форма Б.16 - Ведомость определения распределения семян (гнезд, растений) в ряду
Марка машины __________________________________ Дата ____________ Место испытаний _________________________________________________ хозяйство, отделение, поле Культура _________________________________________________________ Скорость, м/с ___________________________________ Опыт ____________ Передаточное отношение ___________________________________________ Учетная длина ряда, м ______________________________________________ Средства измерений _______________________________________________ |
Измерение | Интервал между семенами (растениями), см |
Повторность |
1 | 2 | 3 | 4 | 5 | 6 |
1 | | | | | | |
2 | | | | | | |
3 | | | | | | |
... | | | | | | |
n | | | | | | |
Сумма | | | | | | |
Среднеарифметическое значение | | | | | | |
Стандартное отклонение | | | | | | |
Коэффициент вариации, % | | | | | | |
Количественная доля семян (гнезд, растений) с интервалами, предусмотренными ТЗ (ТУ), % | | | | | | |
Исполнитель | _________ должность | ____________ личная подпись | _______________ инициалы, фамилия |
Форма Б.17 - Ведомость определения распределения гнезд и высева семян в гнездо при пунктирно-гнездовом, гнездовом способах посева
Марка машины _________________________________ Дата _____________ Место испытаний _________________________________________________ хозяйство, отделение, поле Культура _________________________________________________________ Скорость, м/с ___________________________________ Опыт ____________ Средства измерений _______________________________________________ |
Измерение | Число семян в гнезде, шт. | Длина гнезда, см | Ширина гнезда, см | Интервал между гнездами, см | Число семян между гнездами, шт. | Интервал между семенами, см |
| между гнездами |
1 | | | | | | | |
2 | | | | | | | |
3 | | | | | | | |
... | | | | | | | |
100 | | | | | | | |
Сумма | | | | | | | |
Среднеарифметическое значение | | | | | | | |
Стандартное отклонение | | | | | | | |
Коэффициент вариации, % | | | | | | | |
Количественная доля гнезд с интервалами, предусмотренными ТЗ (ТУ), % | | | | | | | |
Количественная доля пропусков, % | | | | | | | |
Количественная доля гнезд с числом семян, предусмотренным ТЗ (ТУ), % | | | | | | | |
Количественная доля гнезд, %, с числом семян 1, 2, 3,... n | | | | | | | |
Количественная доля гнезд с длиной (шириной), предусмотренной ТЗ (ТУ), % | | | | | | | |
Количественная доля семян, высеянных между гнездами, % | | | | | | | |
<*> Для сеялок пунктирно-гнездового способа посева, если это предусмотрено ТЗ (ТУ). |
Исполнитель | _________ должность | ____________ личная подпись | _______________ инициалы, фамилия |
Форма Б.18 - Ведомость определения влияния уклона на равномерность распределения семян
Марка машины _________________________ Культура, сорт ____________ Место испытаний ________________________________________________ хозяйство, отделение, поле Скорость, м/с ___________________________________ Дата ____________ Средства измерений ______________________________________________ |
Измерение | Горизонтальное направление | Масса семян, кг |
Наклон сеялки на 11° |
назад | вперед | вправо | влево |
1 | | | | | |
2 | | | | | |
3 | | | | | |
... | | | | | |
n | | | | | |
Сумма | | | | | |
Среднеарифметическое значение | | | | | |
Отклонение от среднего значения | | | | | |
Исполнитель | _________ должность | ____________ личная подпись | _______________ инициалы, фамилия |
Форма Б.19 - Ведомость определения глубины заделки семян (удобрений) при регулировании сеялки
Марка машины _________________________________ Дата _____________ Место испытаний ________________________________________________ хозяйство, отделение, поле Культура, сорт _________________________________Опыт _____________ Средства измерений ______________________________________________ |
Измерение | Глубина заделки, мм |
минимальная | оптимальная | максимальная |
Ряд сошников |
передний | средний | задний | передний | средний | задний | передний | средний | задний |
1 | 2 | ...n | 1 | 2 | ...n | 1 | 2 | ...n | 1 | 2 | ...n | 1 | 2 | ...n | 1 | 2 | ...n | 1 | 2 | ...n | 1 | 2 | ...n | 1 | 2 | ...n |
1 | | | | | | | | | | | | | | | | | | | | | | | | | | | |
2 | | | | | | | | | | | | | | | | | | | | | | | | | | | |
3 | | | | | | | | | | | | | | | | | | | | | | | | | | | |
... | | | | | | | | | | | | | | | | | | | | | | | | | | | |
15 | | | | | | | | | | | | | | | | | | | | | | | | | | | |
Сумма | | | | | | | | | | | | | | | | | | | | | | | | | | | |
Среднеарифметическое значение | | | | | | | | | | | | | | | | | | | | | | | | | | | |
Стандартное отклонение | | | | | | | | | | | | | | | | | | | | | | | | | | | |
Коэффициент вариации, % | | | | | | | | | | | | | | | | | | | | | | | | | | | |
Исполнитель | _________ должность | ____________ личная подпись | _______________ инициалы, фамилия |
Форма Б.20 - Ведомость определения глубины заделки семян (удобрений) методом непосредственного нахождения или по этиолированной части растения
Марка машины _________________________________ Дата ______________ Место испытаний __________________________________________________ хозяйство, отделение, поле Культура, сорт _____________________________________________________ Площадка (повторность) _____________________________________________ Скорость, м/с ___________ Установочная глубина заделки семян, мм _______ Средства измерений ________________________________________________ |
Измерение | Фактическая глубина заделки семян (удобрений) по сошникам, мм |
1 | 2 | 3 | ... n | по следу колес (колее) |
трактора | сеялки | сцепки |
1 | | | | | | | |
2 | | | | | | | |
3 | | | | | | | |
... | | | | | | | |
n | | | | | | | |
Сумма | | | | | | | |
Среднеарифметическое значение | | | | | | | |
Исполнитель | _________ должность | ____________ личная подпись | _______________ инициалы, фамилия |
Форма Б.21 - Ведомость определения числа семян, не заделанных в почву
Марка машины _________________________________ Дата ______________ Место испытаний _________________________________________________ хозяйство, отделение, поле Культура, сорт _________________________________Опыт ______________ Скорость, м/с _____________________________________________________ Учетная площадка, м2: вне колеи ________________________________________ по колее _________________________________________ |
Место учета семян | Число семян в пределах рамки, шт. |
1 | 2 | 3 | 4 | Сумма | Среднеарифметическое значение |
Вне колеи | | | | | | |
По колее | | | | | | |
Исполнитель | _________ должность | ____________ личная подпись | _______________ инициалы, фамилия |
Форма Б.22 - Ведомость определения величины почвенной прослойки
Марка машины _________________________________ Дата _____________ Место испытаний _________________________________________________ хозяйство, отделение, поле Культура, сорт _________________________________Опыт ______________ Скорость, м/с _____________________________________________________ Средства измерений _______________________________________________ |
Измерение | Расстояние от удобрений до семян, мм |
по горизонтали | по вертикали | всего |
Сошник |
1 | 2 | 3 | 4 | 5 | 6 | ... n | 1 | 2 | 3 | 4 | 5 | 6 | ... n |
1 | | | | | | | | | | | | | | | |
2 | | | | | | | | | | | | | | | |
3 | | | | | | | | | | | | | | | |
... | | | | | | | | | | | | | | | |
n | | | | | | | | | | | | | | | |
Сумма | | | | | | | | | | | | | | | |
Среднеарифметическое значение | | | | | | | | | | | | | | | |
Количественная доля семян вне контакта с удобрениями (интервал более 10 мм), % | | | | | | | | | | | | | | | |
Количественная доля семян в контакте с удобрениями (интервал менее 10 мм), % | | | | | | | | | | | | | | | |
Исполнитель | _________ должность | ____________ личная подпись | _______________ инициалы, фамилия |
Форма Б.23 - Ведомость определения сохранения стерни
Марка машины _________________________________ Дата ______________ Место испытаний _________________________________________________ хозяйство, отделение, поле Культура, сорт _________________________________Опыт ______________ Скорость, м/с _____________________________________________________ Средства измерений _______________________________________________ |
Повторность | Масса стерни, г | Сохранение стерни, % |
до прохода агрегата | после прохода агрегата |
1 | | | |
2 | | | |
3 | | | |
4 | | | |
5 | | | |
Сумма | | | |
Среднеарифметическое значение | | | |
Исполнитель | _________ должность | ____________ личная подпись | _______________ инициалы, фамилия |
Форма Б.24 - Ведомость определения уплотнения почвы
Марка машины _________________________________ Дата ____________ Место испытаний ________________________________________________ хозяйство, отделение, поле Культура, сорт ___________________________________________________ Вид работы __________________________ Скорость, м/с _______________ Средства измерений ______________________________________________ |
Повторность | Слой почвы (глубина заделки семян), см | До прохода | После прохода |
Масса почвы, г | Плотность почвы, г/см3 | Масса почвы, г | Плотность почвы, г/см3 |
сырой | сухой | сырой | сухой |
1 | | | | | | | |
2 | | | | | | | |
3 | | | | | | | |
4 | | | | | | | |
Сумма | | | | | | | |
Среднеарифметическое значение | | | | | | | |
Уплотнение почвы, г/см3 | | | | | | | |
Исполнитель | _________ должность | ____________ личная подпись | _______________ инициалы, фамилия |
Форма Б.25 - Ведомость определения степени подрезания сорных растений
Марка машины _________________________________ Дата _____________ Место испытаний _________________________________________________ хозяйство, отделение, поле Вид работы __________________________ Скорость, м/с ________________ |
Учетная площадка | Число сорных растений до прохода, шт. | Число сорных растений после прохода, шт. |
1 | | |
2 | | |
3 | | |
4 | | |
5 | | |
Сумма | | |
Среднеарифметическое значение | | |
Исполнитель | _________ должность | ____________ личная подпись | _______________ инициалы, фамилия |
Форма Б.26 - Ведомость определения ширины междурядий
Марка машины _________________________________ Дата _____________ Место испытаний _________________________________________________ хозяйство, отделение, поле Культура, сорт _________________________________ Опыт _____________ Скорость, м/с _______________Установочная ширина междурядья, см _____ Средства измерений _______________________________________________ |
Измерение | Ширина междурядья, см |
основного | стыкового |
1-й проход | 2-й проход | 1-й проход | 2-й проход | 3-й проход | 4-й проход |
1 | | | | | | |
2 | | | | | | |
3 | | | | | | |
4 | | | | | | |
5 | | | | | | |
Сумма | | | | | | |
Среднеарифметическое значение | | | | | | |
Отклонение фактической ширины междурядья от установочной, см | | | | | | |
Количественная доля случаев, %, с отклонением от установочной ширины междурядья в соответствии с ТЗ (ТУ), см | | | | | | |
Исполнитель | _________ должность | ____________ личная подпись | _______________ инициалы, фамилия |
Форма Б.27 - Ведомость определения ширины ряда, ленты, полосы
Марка машины _________________________________ Дата ____________ Место испытаний ________________________________________________ хозяйство, отделение, поле Культура, сорт _________________________________ Опыт ____________ Скорость, м/с _______________________________ Повторность _________ Средства измерений ______________________________________________ |
Ряд сошников | Измерение | Расстояние от осевой линии ряда до крайних растений, см | Ширина ряда, ленты, полосы, см |
влево | вправо |
Передний | 1 | | | |
2 | | | |
3 | | | |
... | | | |
20 (50) | | | |
Средний | 1 | | | |
2 | | | |
3 | | | |
... | | | |
20 | | | |
Задний | 1 | | | |
| 2 | | | |
| 3 | | | |
| ... | | | |
| 20 | | | |
Сумма | | | | |
Среднеарифметическое значение | | | | |
Стандартное отклонение | | | | |
Коэффициент вариации, % | | | | |
Исполнитель | _________ должность | ____________ личная подпись | _______________ инициалы, фамилия |
(рекомендуемое)
ПРИМЕР РАСЧЕТА НЕРАВНОМЕРНОСТИ И НЕУСТОЙЧИВОСТИ ВЫСЕВА
СЕМЯН (УДОБРЕНИЙ) ВЫСЕВАЮЩИМИ АППАРАТАМИ
Таблица В.1
Номер высевающего аппарата (семяпровода) | Длина рабочей части катушки, мм | Масса высеянных семян или удобрений, г | Отклонение массы семян (удобрений), высеянных каждым аппаратом, от среднеарифметической массы (неравномерность высева), г,  |
Повторность (j) | Сумма, г | Среднеарифметическое значение, г  |
1 | 2 | 3 |
1 | 28 | 126 | 128 | 130 | 384 | 128 | 0,72 |
2 | 28 | 130 | 130 | 130 | 390 | 130 | 2,72 |
3 | 28 | 122 | 128 | 125 | 375 | 125 | -2,28 |
4 | 28 | 125 | 128 | 130 | 383 | 127,67 | 0,39 |
5 | 28 | 126 | 130 | 128 | 384 | 128 | 0,72 |
6 | 28 | 125 | 122 | 128 | 375 | 125 | -2,28 |
Сумма (qi) | | 754 | 766 | 771 | 2291 | 763,67 | 9,11 |
Среднеарифметическое значение (qj) | | 125,67 | 127,67 | 128,5 | 381,83 | 127,28 | 1,52 |
Отклонение суммарной массы семян (удобрений) каждого повторения от их среднеарифметической массы (неустойчивость общего высева), г,  | | -9,67 | 2,33 | 7,33 | 19,33 | 6,44 | |
Средняя масса семян (удобрений), высеянных всеми аппаратами из всех повторностей, г,  763,67 | Средняя масса семян (удобрений), высеянных одним высевающим аппаратом, г,  127,28 |
Неустойчивость общего высева | Среднеарифметическое отклонение высеянного по повторностям от среднего, %, Ну | 0,84 | | Неравномерность высева между аппаратами | Среднеарифметическое отклонение, %, Нв.а | 1,19 |
Стандартное отклонение между повторностями, г,  | 8,74 | Стандартное отклонение между аппаратами, г,  | 1,95 |
Коэффициент вариации, %,  | 1,14 | Коэффициент вариации, %,  | 1,53 |
Среднюю массу семян (удобрений), высеянных
i-м высевающим аппаратом (семяпроводом) из всех повторностей

, г, вычисляют по формуле

(В.1)
где

- масса семян (удобрений), высеянных
i-м высевающим аппаратом (семяпроводом) в
j-й повторности, г;
n - число повторностей, шт.;
Среднюю массу семян (удобрений), высеянных одним высевающим аппаратом (семяпроводом)

, г, вычисляют по формуле

(В.2)
где nа - число высевающих аппаратов (семяпроводов), шт.
Отклонение массы семян в высеве
i-м высевающим аппаратом (семяпроводом) от среднеарифметического значения

, г, вычисляют по формуле

; (В.3)
Среднеарифметическое отклонение

, г, вычисляют по формуле

(В.4)

.
Неравномерность высева семян (удобрений) между высевающими аппаратами (семяпроводами) Нв.а, %, вычисляют по формуле

. (В.5)
Неустойчивость общего высева семян (удобрений) Ну, %, вычисляют по формуле

, (В.6)
где

- среднеарифметическое отклонение массы семян (удобрений), высеянных по повторностям, от среднеарифметического значения, г;

- средняя масса семян (удобрений), высеянных всеми высевающими аппаратами (семяпроводами) из всех повторностей, г.
Среднеарифметическое отклонение массы семян (удобрений), высеянных по повторностям, от среднеарифметического значения вычисляют по формуле

(В.7)
где qj - масса семян (удобрений), высеянных всеми высевающими аппаратами (семяпроводами) в j-й повторности, г;
Массу семян (удобрений), высеянных всеми высевающими аппаратами (семяпроводами) в j-й повторности вычисляют по формуле

, (В.8)
q1 = 126 + 130 + 122 + 125 + 126 + 125 = 754
q2 = 128 + 130 + 128 + 128 + 130 + 122 = 766
q3 = 130 + 130 + 125 + 130 + 128 + 128 = 771.
Среднюю массу семян (удобрений), высеянных всеми высевающими аппаратами (семяпроводами) из всех повторностей

, г, вычисляют по формуле

(В.9)

.
Неравномерность высева семян (удобрений) между отдельными высевающими аппаратами (семяпроводами)

, %, и неустойчивость общего высева

, %, выраженное в ТЗ (ТУ) через коэффициент вариации, вычисляют по формулам:

, (В.10)
где

- стандартное отклонение массы семян (удобрений) между аппаратами (семяпроводами), г, вычисляют по формуле

(В.11)

;

, (В.12)
где

- стандартное отклонение массы семян (удобрений) между повторностями, г, вычисляют по формуле

(В.13)

.
Фактическую норму высева Q', кг/га, вычисляют при расчетной площади посева 100 м2 по формуле

.
(справочное)
УЧЕТНАЯ КАРТОЧКА ЛЕНТЫ ПРИ ОПРЕДЕЛЕНИИ РАСПРЕДЕЛЕНИЯ
СЕМЯН (ГНЕЗД) В РЯДУ В ЗАВИСИМОСТИ ОТ КУЛЬТУРЫ
Культура | Число учетных аппаратов, не менее | Учетная длина ленты, м, не менее | Число повторностей, не менее |
в открытой борозде | на стенде | в открытой борозде | на стенде | в открытой борозде | на стенде |
Зерновые, рис | - | 4 - 6 | - | 2,5 | - | 3 |
Кукуруза, подсолнечник, клещевина, фасоль | 6 | 3 | 10 | 5,0 | 3 | 6 |
Сахарная свекла | 3 | 3 | 3 | 5,0 | 5 | 3 |
Соя | 6 | 3 | 10 | 5,0 | 3 | 6 |
Сорго | 3 | 3 | 3 | 5,0 | 3 | 3 |
Хлопчатник | 4 | 4 | 5 | 5,0 | 3 | 3 |
Овощные культуры | - | 4 | - | 2,5 | - | 3 |
(справочное)
ЧИСЛО И РАЗМЕР ПЛОЩАДОК ПРИ ОПРЕДЕЛЕНИИ ОТНОСИТЕЛЬНОЙ
ПОЛЕВОЙ ВСХОЖЕСТИ СЕМЯН В ЗАВИСИМОСТИ ОТ КУЛЬТУРЫ
Высеваемая культура | Число учетных площадок | Размер и расположение площадок |
Зерновые | 6 (три по ходу прямо, три по ходу обратно) | Длина 0,5 м, ширина 1 м, расположены по диагонали участка по всей ширине захвата сеялки на одной повторности каждого опыта по скорости |
Травы и другие мелкосеменные культуры | 6 (три по ходу прямо, три по ходу обратно) | Длина 0,5 м, ширина 0,5 м, расположены по диагонали участка по всей ширине захвата сеялки на одной повторности каждого опыта по скорости |
Овощные культуры | 2 | Длина 1 м, ширина равна двум проходам сеялки, расположена по диагонали участка |
Лен при высеве с междурядьем 7,5 см | 6 (три по ходу прямо, три по ходу обратно) | Длина 66,7 см, ширина 30 см, расположены по диагонали участка по всей ширине захвата сеялки |
Кукуруза, клещевина, подсолнечник, арахис, хлопок | 3 | Для гнездовых и частогнездовых сеялок длина 10 гнезд, ширина равна ширине захвата сеялки, расположены по диагонали участка Для сеялок точного и пунктирного высева длина 10 м, ширина равна ширине захвата сеялки |
Сахарная свекла | 3 | Длина 2,5 м, ширина равна ширине двух проходов агрегата. Учетные отрезки ряда 2,5 м расположены ступенчато через ряд на каждой повторности опыта по скорости |
Соя, сорго | 3 | Длина 2,5 м, ширина равна ширине захвата сеялки, расположены по диагонали участка |
(рекомендуемое)
ПЕРЕЧЕНЬ СРЕДСТВ ИЗМЕРЕНИЙ И ОБОРУДОВАНИЯ, ПРИМЕНЯЕМЫХ
ПРИ ОПРЕДЕЛЕНИИ ПОКАЗАТЕЛЕЙ АГРОТЕХНИЧЕСКОЙ ОЦЕНКИ
Рулетка длиной 10 м с погрешностью измерений +/- 1 мм по
ГОСТ 7502.
Линейка металлическая длиной 50 см, 100 см с погрешностью измерений +/- 1 мм по
ГОСТ 427.
Стенд с липкой лентой или датчиком для регистрации высеянных семян.
Классификатор для измерения этиолированной части растения с погрешностью измерений +/- 1 мм.
Рамка металлическая 0,5 x 0,5 м.
Решета с диаметром отверстий от 1 до 100 мм с погрешностью измерений +/- 0,1 мм.
Рамка (0,5 м x ширину захвата) с погрешностью измерений +/- 1%.
Термостат с погрешностью измерений +/- 2 °C.
Растильни.
Шкаф сушильный с погрешностью измерения +/- 2 °C.
Твердомер почвенный плунжерный с погрешностью измерений +/- 5%.
Рейка деревянная длиной 2,5 м с погрешностью измерений +/- 0,5 см.
УДК 631.331:006.354 | |
Ключевые слова: сеялки тракторные, методы, опыт, повторность, испытания, норма высева |