Главная // Актуальные документы // ПравилаСПРАВКА
Источник публикации
В данном виде документ опубликован не был.
Первоначальный текст документа опубликован в издании
М., 2017.
Информацию о публикации документов, создающих данную редакцию, см. в справке к этим документам.
Примечание к документу
Документ включен в
Перечень документов в области стандартизации, в результате применения которых на добровольной основе обеспечивается соблюдение требований Федерального
закона от 30.12.2009 N 384-ФЗ "Технический регламент о безопасности зданий и сооружений" (
Приказ Росстандарта от 02.04.2020 N 687).
Документ включен в
Перечень документов в области стандартизации, в результате применения которых на добровольной основе обеспечивается соблюдение требований Федерального
закона от 30.12.2009 N 384-ФЗ "Технический регламент о безопасности зданий и сооружений" (
Приказ Росстандарта от 17.04.2019 N 831).
Название документа
"СП 313.1325800.2017. Свод правил. Дороги автомобильные в районах вечной мерзлоты. Правила проектирования и строительства"
(утв. и введен в действие Приказом Минстроя России от 14.12.2017 N 1669/пр)
(ред. от 30.05.2022)
"СП 313.1325800.2017. Свод правил. Дороги автомобильные в районах вечной мерзлоты. Правила проектирования и строительства"
(утв. и введен в действие Приказом Минстроя России от 14.12.2017 N 1669/пр)
(ред. от 30.05.2022)
Утвержден и введен в действие
и жилищно-коммунального хозяйства
Российской Федерации
от 14 декабря 2017 г. N 1669/пр
СВОД ПРАВИЛ
ДОРОГИ АВТОМОБИЛЬНЫЕ В РАЙОНАХ ВЕЧНОЙ МЕРЗЛОТЫ
ПРАВИЛА ПРОЕКТИРОВАНИЯ И СТРОИТЕЛЬСТВА
Roads in eternal permafrost regions.
Rules of design and construction
СП 313.1325800.2017
| | Список изменяющих документов Минстроя России от 30.05.2022 N 430/пр) | |
Дата введения
15 июня 2018 года
1 ИСПОЛНИТЕЛЬ - ЗАО "ПРОМТРАНСНИИПРОЕКТ"
2 ВНЕСЕН Техническим комитетом по стандартизации ТК 465 "Строительство"
3 ПОДГОТОВЛЕН к утверждению Департаментом архитектуры, строительства и градостроительной политики Министерства строительства и жилищно-коммунального хозяйства Российской Федерации (Минстрой России)
4 УТВЕРЖДЕН
приказом Министерства строительства и жилищно-коммунального хозяйства Российской Федерации от 14 декабря 2017 г. N 1669/пр и введен в действие с 15 июня 2018 г.
5 ЗАРЕГИСТРИРОВАН Федеральным агентством по техническому регулированию и метрологии (Росстандарт)
6 ВВЕДЕН ВПЕРВЫЕ
В случае пересмотра (замены) или отмены настоящего свода правил соответствующее уведомление будет опубликовано в установленном порядке. Соответствующая информация, уведомление и тексты размещаются также в информационной системе общего пользования - на официальном сайте разработчика (Минстрой России) в сети Интернет
Настоящий свод правил разработан с учетом требований федеральных законов от 27 декабря 2002 г.
N 184-ФЗ "О техническом регулировании"
[1], от 22 июня 2008 г.
N 123-ФЗ "Технический регламент о требованиях пожарной безопасности"
[2], от 30 декабря 2009 г.
N 384-ФЗ "Технический регламент о безопасности зданий и сооружений"
[3], от 8 ноября 2007 г.
N 257-ФЗ "Об автомобильных дорогах и о дорожной деятельности в Российской Федерации и о внесении изменений в отдельные законодательные акты Российской Федерации"
[4] и
постановления Правительства Российской Федерации от 28 сентября 2009 г. N 767 "О классификации автомобильных дорог в Российской Федерации"
[11].
Настоящий свод правил разработан авторским коллективом ЗАО "ПРОМТРАНСНИИПРОЕКТ" (руководитель темы - д-р техн. наук Л.А. Андреева, канд. техн. наук А.Г. Колчанов, инженеры И.П. Потапов, А.В. Багинов) при участии ОАО "ДАЛЬГИПРОТРАНС", ФГБУ "ИНСТИТУТ КРИОСФЕРЫ ЗЕМЛИ", ФГБОУ ВО "СИБИРСКАЯ ГОСУДАРСТВЕННАЯ АВТОМОБИЛЬНО-ДОРОЖНАЯ АКАДЕМИЯ (СИБАДИ), ФГБОУ ВО "ДВГУПС", Института мерзлотоведения им. П.И. Мельникова СО РАН, ООО "ЦЛИТ", ООО "УЛЬТРАСТАБ".
Настоящий свод правил предназначен для изысканий, проектирования и строительства автомобильных дорог в районах вечной мерзлоты <1>.
--------------------------------
<1> Здесь и далее по тексту под термином "вечная мерзлота" подразумевается "многолетнемерзлая".
В настоящем своде правил использованы нормативные ссылки на следующие документы:
ГОСТ 12.1.005-88 Система стандартов безопасности труда. Общие санитарно-гигиенические требования к воздуху рабочей зоны
ГОСТ 17.4.3.02-85 Охрана природы. Почвы. Требования к охране плодородного слоя почвы при производстве земляных работ
ГОСТ 3344-83 Щебень и песок шлаковые для дорожного строительства. Технические условия
ГОСТ 5180-2015 Грунты. Методы лабораторного определения физических характеристик
ГОСТ 17177-94 Материалы и изделия строительные теплоизоляционные. Методы испытаний
ГОСТ 26775-97 Габариты подмостовые судоходных пролетов мостов на внутренних водных путях. Нормы и технические требования
ГОСТ 30256-94 Материалы и изделия строительные. Метод определения теплопроводности цилиндрическим зондом
ГОСТ Р 52289-2004 Технические средства организации дорожного движения. Правила применения дорожных знаков, разметки, светофоров, дорожных ограждений и направляющих устройств
ГОСТ Р 52748-2007 Дороги автомобильные общего пользования. Нормативные нагрузки, расчетные схемы нагружения и габариты приближения
СП 25.13330.2012 "СНиП 2.02.04-88 Основания и фундаменты на вечномерзлых грунтах" (с изменением N 1)
СП 36.13330.2012 "СНиП 2.05.06-85* Магистральные трубопроводы" (с изменением N 1)
СП 99.13330.2016 "СНиП 2.05.11-83 Внутрихозяйственные автомобильные дороги в колхозах, совхозах и других сельскохозяйственных предприятиях и организациях"
Примечание - При пользовании настоящим сводом правил целесообразно проверить действие ссылочных документов в информационной системе общего пользования - на официальном сайте федерального органа исполнительной власти в сфере стандартизации в сети Интернет или по ежегодному указателю "Национальные стандарты", который опубликован по состоянию на 1 января текущего года, и по выпускам ежемесячного информационного указателя, "Национальные стандарты" за текущий год. Если заменен ссылочный документ, на который дана недатированная ссылка, то рекомендуется использовать действующую версию этого документа с учетом всех внесенных в данную версию изменений. Если заменен ссылочный документ, на который дана датированная ссылка, то рекомендуется использовать версию этого документа с указанным выше годом утверждения (принятия). Если после утверждения настоящего свода правил в ссылочный документ, на который дана датированная ссылка, внесено изменение, затрагивающее положение, на которое дана ссылка, то это положение рекомендуется применять без учета данного изменения. Если ссылочный документ отменен без замены, то положение, в котором дана ссылка на него, рекомендуется применять в части, не затрагивающей эту ссылку. Сведения о действии сводов правил целесообразно проверять в Федеральном информационном фонде стандартов.
В настоящем своде правил приняты следующие термины с соответствующими определениями:
3.1
болота I типа: Заполненное болотными грунтами, прочность которых в природном состоянии обеспечивает возможность возведения насыпи высотой не более 3 м без возникновения процесса бокового выдавливания слабого грунта. |
3.2
болота II типа: Содержащее в пределах болотной толщи хотя бы один слой, который может выдавливаться при некоторой интенсивности возведения насыпи высотой не более 3 м, но не выдавливается при меньшей интенсивности возведения насыпи. |
3.3
болота III типа: Содержащее в пределах болотной толщи хотя бы один слой, который при возведении насыпи высотой не более 3 м выдавливается независимо от интенсивности возведения насыпи. |
3.4 бугры пучения: Мерзлотные формы рельефа округлой формы, образующиеся при промерзании сильно увлажненных горных пород и увеличении их объема вследствие локального накопления льда.
3.5 многолетняя мерзлота: Часть криолитозоны, характеризующаяся отсутствием периодического протаивания.
3.6 вертикальная зональность: Закономерное изменение природных комплексов и составляющих их компонентов как в высоту, так и в глубину.
3.7 сухомерзлый грунт: Песчаные грунты с суммарной влажностью не более 6%, гравийно-песчаные грунты с влажностью заполнителя не более 6%. Прочность на сдвиг при температуре минус 0,8 °C до 0,5 МПа не превышает усилий резания серийными землеройными транспортными машинами; их прочность на раздавливание - не более 1 МПа.
3.8
сыпучемерзлый грунт: Крупнообломочный и песчаный грунты, имеющие отрицательную температуру, но не сцементированные льдом. |
3.9
мерзлый грунт: Грунт, имеющий отрицательную или нулевую температуру, содержащий в своем составе видимые ледяные включения и (или) лед-цемент и характеризующийся криогенными структурными связями. Многолетнемерзлый грунт - грунт, находящийся в мерзлом состоянии постоянно в течение трех и более лет. Сезонномерзлый грунт - грунт, находящийся в мерзлом состоянии периодически в течение холодного сезона. |
3.10
грунт многолетнемерзлый (perennially frozen ground), синоним - грунт вечномерзлый (permafrost ground): Грунт, находящийся в мерзлом состоянии постоянно в течение трех и более лет. |
3.11
просадочный грунт: Грунт, который под действием нагрузки, соответствующей весу вышележащей толщи грунта, при замачивании водой претерпевает вертикальную деформацию (просадку) и имеет относительную деформацию просадки sl >= 0,01. |
3.12
скальный грунт: Грунт, имеющий жесткие структурные связи кристаллизационного и/или цементационного типа. |
3.13
пластичномерзлый грунт: Дисперсный грунт, сцементированный льдом, обладающий вязко-пластичными свойствами и сжимаемостью под внешней нагрузкой. |
3.14 сильнопросадочный грунт (сильнольдистый): Грунт, содержащий более 50% льда.
3.15 закюветные полки: Площадки, предназначенные для сбора и предотвращения попадания осыпавшегося грунта в кюветы - водосборные канавы по бокам дорожного полотна.
3.16 мари: Болотистые пространства, покрытые редкостойными угнетенными лиственничными лесами, перемежающимися с участками безлесных болот.
3.17 наледь: Лед, образованный выходом на поверхность воды.
3.18 надмерзлотные воды: Воды, нижним водоупором для которых являются многолетнемерзлые породы.
3.19 нагорные валики: Искусственные сооружения, предназначенные для перехвата воды, стекающей по косогору к дороге, и для отвода к ближайшим искусственным сооружениям и в пониженные места рельефа.
3.20 непросадочные грунты: Грунты, просадка которых при замачивании менее 5 мм и коэффициент просадочности которых менее 0,01.
3.21
нестабильные слои насыпи: Слои из мерзлых или талых переувлажненных грунтов, которые в насыпи имеют степень уплотнения, не отвечающую требованиям
СП 34.13330 и, вследствие чего, при оттаивании или длительном действии нагрузок могут возникать остаточные деформации слоя.
3.22 противоналедные заборы: Сооружения, предназначенные для формирования искусственной наледи на безопасном расстоянии от инженерного объекта путем активизации наледного процесса.
3.23 приоткосная берма: Горизонтальная или слегка наклоненная полоса (площадка), устраиваемая на поверхности откоса насыпи или выемки с целью повышения общей устойчивости откоса и прохода машин при производстве строительных и ремонтных работ на откосе.
3.24
солифлюкция (solifluction): Смещение (течение, оползание, соскальзывание, сплывы, оплывины) оттаивающего переувлажненного тонкодисперсного грунта на склонах в теплое время суток года, обусловленное сезонным промерзанием и оттаиванием. |
3.25 талик: Участок незамерзающей породы среди вечной мерзлоты, распространяющийся вглубь от поверхности или от слоя сезонного промерзания.
3.26 термоизолирующие слои: Слои, обладающие термоизоляционными свойствами (натуральные: мох, торф и др.).
3.27
| | ИС МЕГАНОРМ: примечание. В официальном тексте документа, видимо, допущена опечатка: имеется в виду пункт А.12, а не пункт А.14. | |
термокарст (thermokarst): Образование просадочных и провальных форм рельефа и подземных пустот вследствие вытаивания подземного льда или оттаивания мерзлого грунта. |
В настоящем своде правил приняты следующие сокращения:
- ВГММГ - Верхний горизонт многолетнемерзлых грунтов;
- ИТМ - искусственный теплоизоляционный материал на основе вспененного полистирола;
- ДКЗ - дорожно-климатическая зона;
- ММГ - многолетнемерзлые грунты.
5.1 При разработке проектов автомобильных дорог следует осуществлять инженерно-геокриологический прогноз на основе учета изменения водно-теплового режима и снегопереноса, а также опыта строительства и эксплуатации автомобильных дорог в районах ММГ, в котором должна быть дана оценка возможного проявления криогенных процессов, их масштабов и интенсивности на отдельных участках проектируемых автомобильных дорог и должны быть определены области оттаивания (промерзания) и величины деформаций осадки (пучения) в поперечном профиле дорожных конструкций.
Принятые в проекте конструктивные и технологические решения должны быть обоснованы теплофизическими и прочностными расчетами, выполненными в соответствии с
СП 47.13330,
СП 25.13330,
СП 34.13330, а также требованиями, приведенными в [
12 -
15],
[21].
5.2 При проектировании автомобильных дорог с капитальными типами покрытий, особенно на сложных и особо сложных в инженерно-геологическом отношении участках местности, необходимо предварительно выполнить исследования температурного и влажностного режима, осуществить наблюдения за развитием деформаций дорожных конструкций на специально организуемых постах и опытных участках.
5.3 Основными мерами, обеспечивающими устойчивость дорожных конструкций, являются:
- проектирование земляного полотна в насыпях;
- возведение земляного полотна из скальных, крупнообломочных и песчаных грунтов, а при их дефиците - из глинистых;
- применение естественных и искусственных теплоизоляционных материалов (ИТМ) в основании земляного полотна, теле насыпей и дорожной одежде;
- применение нетканых синтетических (геотекстильных), а также других геоматериалов в основании и теле земляного полотна, в основании дорожной одежды;
- замена переувлажненных грунтов сезонно оттаивающего слоя и льдонасыщенных подстилающих ММГ соответственно крупнообломочными и песчаными;
- в ряде случаев для обеспечения устойчивости дорожных и мостовых конструкций необходимо применять также методы глубинного охлаждения вечномерзлых грунтов при помощи термоопор и сезонно действующего охлаждающего устройства (СОУ).
5.4 Для участков с особо сложными мерзлотно-грунтовыми условиями (наличие термокарста, крупных включений подземного льда, бугров пучения, солифлюкции, наледей, подтопляемых речных пойм и термокарстовых озер) выбранный вариант трассы должен быть обоснован технико-экономическим расчетом.
5.5 Трассирование дороги следует предусматривать по наиболее сухим участкам, на крупнообломочных скальных, песчаных и гравелистых грунтах без ледяных прослоек и линз, по возможности, ближе к месторождениям грунтов и дорожно-строительных материалов, пригодных для сооружения земляного полотна.
5.6 Во всех случаях целесообразно:
- обходить пониженные места (ложбины, котловины) или пересекать их по кратчайшему направлению;
- проходить через лесные массивы;
- обходить глубокие балки и овраги, а также жилые и производственные постройки с подветренной стороны.
Если это затруднено, трассу, по возможности, располагают с учетом направления господствующих ветров или располагают под углом к ним менее 20°.
5.7 В горной и пересеченной местности (при выборе вариантов) предпочтение отдают водораздельным и долинным ходам по надпойменным террасам и пологим наветренным склонам в пределах средней или верхней трети косогора.
6 Дорожно-климатическое районирование
6.1 В I ДКЗ в соответствии с
СП 34.13330 выделяются три дорожно-климатические подзоны по следующим общим признакам, которые оказывают решающее влияние на устойчивость дорожных конструкций в данной зоне:
- вид грунта сезоннооттаивающего слоя и его влажность;
- характер распространения ММГ и их температура;
- мощность слоя сезонного оттаивания;
- среднегодовые температуры воздуха;
- рельеф местности;
- гидрология;
- величина снегопереноса.
6.2 Совокупность признаков, перечисленных в
6.1, обусловлена сочетанием климатических, грунтово-гидрогеологических и мерзлотных особенностей и присуща в определенной степени природным ландшафтам и рельефу земной поверхности. Поэтому для выделения границ подзон за основу взяты границы зональных типов ландшафтов.
6.3 Карта дорожно-климатического районирования с учетом нового районирования в районах ММГ и характеристика и границы зон подзон приведены в
СП 288.1325800.
7 Изыскания автомобильных дорог
Инженерные изыскания на трассе автомобильных дорог выполняют в соответствии с
СП 25.13330,
СП 34.13330,
СП 47.13330. Требования к инженерным изысканиям на трассе автомобильных дорог приведены также в
[14],
[21].
8 Проектирование автомобильных дорог
8.1.1 Категории автомобильных дорог, а также план и продольный профиль дороги, основные параметры поперечного профиля проезжей части и земляного полотна, пересечения и примыкания, элементы обустройства дороги, дорожной и автотранспортной служб должны соответствовать
ГОСТ Р 52398,
ГОСТ Р 52748 и нормам для дорог:
8.1.2 Земляное полотно, дорожную одежду, водоотводные и искусственные сооружения, в том числе противоналедные, следует проектировать с учетом теплового и механического взаимодействия их с грунтами естественных оснований, исходя из конструктивных особенностей, назначения и категории автомобильной дороги, а также инженерно-геологических и мерзлотно-грунтовых условий района ее строительства.
8.1.3 Продольный профиль дороги должны разрабатывать с учетом возможных изменений водно-теплового режима грунтов сезоннооттаивающего слоя и подстилающих ММГ, режима и высоты снежных отложений, а также ледотермического режима водотоков, которые произойдут в результате освоения территории застройки, эксплуатации возведенных на ней и соседних участках сооружений и зданий, устройства водоотводных канав, подземных и наземных коммуникаций и т.д.
8.1.4 С целью повышения устойчивости дорожной одежды против пучения необходимо использовать термоизолирующие прослойки.
8.1.5 В рабочем проекте должны быть приведены мерзлотно-грунтовые разрезы с основными данными о характеристике и температуре грунтов до строительства и прогноз их изменения на период эксплуатации.
8.1.6 Технические средства организации дорожного движения должны быть выполнены в соответствии с
ГОСТ Р 52289.
8.1.7 Ширину полосы отвода земли под автомобильную дорогу следует принять в соответствии с
[25].
8.2.1 При проектировании земляного полотна необходимо руководствоваться следующими принципами:
1-й принцип - обеспечение поднятия ВГММГ не ниже подошвы насыпи и сохранение его на этом уровне в течение всего периода эксплуатации дороги. При этом надо иметь в виду, что поднятие ВГММГ до подошвы основания насыпи или несколько выше происходит не по всей площади основания. Поэтому в данном случае необходимо решать вопрос сохранения в мерзлом состоянии части основания, расположенной под откосом;
2-й принцип - допущение оттаивания грунта деятельного слоя в основании насыпи в период эксплуатации дороги при условии ограничения осадок допустимыми пределами для конкретного типа покрытия.
Случай 2-го принципа - обеспечение предварительного оттаивания вечномерзлых грунтов и осушения дорожной полосы до возведения земляного полотна.
8.2.2 По 1-му принципу земляное полотно необходимо проектировать в
l1 и
l2 ДКЗ на участках, относящихся к 3-му типу местности, для которого характерна среднегодовая температура ММГ IV - V категорий просадочности ниже минус 1,5 °C. В
l3 ДКЗ проектирование по этому принципу допускается при условии понижения среднегодовой температуры грунта ниже минус 1,5 °C за счет выполнения конструктивных технологических мероприятий.
Для повышения надежности сохранения мерзлого состояния необходимо применять аэродинамические обтекаемые поперечные профили насыпей и выемок, которые позволяют ограничивать толщину снеговых отложений на откосах и в пазухах и сохранять отрицательные значения среднегодового теплового баланса на элементах поверхности грунтового массива.
Кроме того, для сохранения грунтов в мерзлом состоянии могут быть применены и другие способы: глубинное охлаждение (СОУ, термоопоры), уположение откосов, тепловые экраны.
8.2.3 При проектировании по 1-му принципу положение ВГММГ в основании обеспечивают назначением соответствующей высоты насыпи при применении традиционных дорожно-строительных материалов и устройством специальных прослоек из теплоизолирующих материалов (торфа, пенополистирола, шлака и т.п.) в основании и теле насыпи.
8.2.4 По 2-му принципу земляное полотно допускается проектировать во всех дорожно-климатических подзонах на участках, относящихся ко 2-му и 3-му типам местности, для которых среднегодовая температура ММГ II - III категорий просадочности ниже минус 1,5 °C, а также на торфяниках IV категории просадочности с расчетным понижением ВГММГ в период строительства и эксплуатации автомобильной дороги.
8.2.5 При проектировании по 2-му принципу высоту насыпи устанавливают по результатам теплофизических расчетов и расчета суммарной осадки основания и нестабильных слоев насыпи.
8.2.6 При предварительном оттаивании грунта основания на участках, относящихся ко 2-му типу местности, сложенных легкоосушаемыми просадочными грунтами, среднегодовая температура которых выше минус 1,5 °C допускается проектировать с частичным оттаиванием на участках 3-го типа местности, сложенных торфом толщиной не более 1 м и или глинистым грунтом III - IV категорий просадочности, подстилаемых малопросадочными песчаными грунтами. Принцип частичного оттаивания используют на участках высокотемпературной многолетней мерзлоты островного распространения, когда возможно заблаговременное оттаивание вечномерзлых грунтов и осушение дорожной полосы.
8.2.7 Принцип проектирования выбирают исходя из климатических и мерзлотно-грунтовых условий того или иного участка трассы для назначения конструкций и руководящего возвышения бровки земляного полотна, технологии и сроков производства работ с учетом результатов технико-экономического сравнения вариантов. Для участков трассы с аналогичными мерзлотно-грунтовыми условиями следует выдерживать единый принцип использования грунтов в основании земляного полотна и по возможности однотипные конструктивные решения.
8.2.8 На участке со скальными крупнообломочными и песчаными породами, не содержащими прослоек и линз льда, в том числе с высокотемпературной многолетней мерзлотой (как правило, островного распространения), а также на участках сезонного промерзания (подзона l3 ДКЗ при отсутствии ММГ) земляное полотно предусматривают по нормам ДКЗ II.
8.2.9 На участках прогнозируемых наледей в районах островного распространения ММГ (подзона l3) и глубокого сезонного промерзания земляное полотно должно устраиваться таким образом, чтобы глубина промерзания основания насыпи не превышала промерзания грунтовой толщи в естественных условиях. При сплошном распространении ММГ (подзона l1) земляное полотно предусматривают совместно с противоналедными устройствами (мерзлотным грунтовым поясом, водонепроницаемым экраном и др.), активизирующими наледный процесс в удалении от полотна дороги.
8.2.10 Выемки допускается предусматривать на участках местности с благоприятными мерзлотно-грунтовыми и гидрогеологическими условиями (скальные и щебенистые грунты) при отсутствии линз и прослоек льда. В случае необходимости устройства выемок в сложных мерзлотно-грунтовых и гидрогеологических условиях (напластование грунтов неоднородного состава, переменный уровень водоносных горизонтов, проявление мерзлотных процессов, сильнопросадочные грунты) должны быть предусмотрены: теплоизоляция откосов, конструктивные элементы из геосинтетических материалов, замена переувлажненных пылеватых глинистых грунтов песчаными или другими несвязными материалами, термоизолирующие слои в основании дорожной одежды, и обеспечен надежный отвод воды из выемки. Принимаемые решения обосновывают расчетами. Мелкие выемки раскрывают или разделывают под насыпи.
В ряде случаев, особенно в условиях сильной снегозаносимости может быть использован тоннельный вариант.
8.2.11 В зависимости от рельефа, гидрогеологических и мерзлотно-грунтовых условий поверхностные и грунтовые надмерзлотные воды необходимо отводить от дорожного полотна за счет водоотводных канав, нагорных мерзлотных валиков и приоткосных берм, параметры которых устанавливают расчетом.
8.2.12 На участках природных наледей земляное полотно следует проектировать:
- в насыпях с возвышением бровки над расчетной поверхностью наледи более чем на 0,5 - 1 м;
- в насыпях с бермой, устраиваемой с нагорной стороны;
- совместно с противоналедными устройствами.
8.2.13 Земляное полотно совместно с противоналедными устройствами (земляными валами или заборами) необходимо проектировать на участках действующих ключевых наледей, когда можно каптировать источники и отводить их по утепленным лоткам и канавам за пределы земляного полотна, а также на участках грунтовых наледей объемом не более 10 000 м3, образующихся в пологих (уклон менее 2%) и широких логах.
8.2.14 Валы следует проектировать на основании с удалением растительного и торфяного покрова, а откос нижней части вала укрепляют. Высота укрепления откоса должна быть выше расчетного уровня воды более чем на 0,2 м.
8.2.15 При вскрытии водоносных слоев выемками перехват и отвод грунтовых и надмерзлотных вод следует осуществлять глубокими полуоткрытыми лотками или удерживать наледь выше по склону. Когда применение указанных мероприятий затруднено или экономически нецелесообразно, необходимо предусматривать уширение выемок и устройство противоналедных заборов.
8.2.16 Во всех случаях при проектировании насыпей на грунтах III - V категорий просадочности должны быть предусмотрены мероприятия, обеспечивающие наиболее возможное горизонтальное положение ВГММГ как при его подъеме, так и при опускании по поперечному сечению земляного полотна. Наклон ВГММГ, повышающий угол внутреннего трения (3 - 8°) оттаивающего грунта основания в текучем состоянии, должен быть обоснован расчетами устойчивости
[16].
8.2.17 На участках, относящихся ко 2-му типу местности и сложенных легко осушаемыми просадочными грунтами, среднегодовая температура которых выше минус 1,5 °C (преимущественно в l3 ДКЗ), целесообразно предусматривать упрочнение грунтов основания за счет их предпостроечной осадки и осушения при заблаговременном оттаивании.
8.2.18 При назначении конструкций земляного полотна и выборе принципа его проектирования следует учитывать наличие специальных материалов (теплоизоляционных, геотекстильных) и качественных грунтов для возведения насыпей.
8.2.19 В общем случае высоту насыпи определяют на основе расчетов на устойчивость, прочность и снегонезаносимость. Окончательно принимают наибольшую высоту насыпи, удовлетворяющую указанным требованиям.
8.2.20 При расчете насыпи на устойчивость максимальная прогнозируемая осадка не должна быть более допускаемой для данного типа покрытия. Расчет устойчивости насыпи осуществляют в соответствии с
приложением Б и является ориентировочным. Более точный расчет должен быть выполнен по программе с учетом горизонтального и вертикального тепловых потоков.
8.2.21 Высоту насыпи на снегонезаносимость определяют исходя из того, что данная высота должна превышать максимальную толщину снежного покрова в данной местности. Расчет на снегонезаносимость осуществляют в соответствии с
приложением Г.
8.2.22 Расчет дорожных конструкций на прочность осуществляют в соответствии с
[18] и настоящим сводом правил.
8.3 Грунт земляного полотна
8.3.1 Для сооружения земляного полотна необходимо использовать скальные, крупнообломочные, песчаные и глинистые грунты. Предпочтение следует отдавать грунтам, находящимся в талом состоянии.
На участках, где насыпи проектируют с применением глинистых грунтов, необходимо предусматривать берму с нагорной стороны или соответствующее заложение откоса и его укрепление.
8.3.2 Физико-механические свойства талых и мерзлых грунтов, используемых в конструктивных слоях земляного полотна следует устанавливать на основании лабораторных данных. Ориентировочные значения приведены в
СП 25.13330 и
СП 34.13330.
8.3.3 Скальные, крупнообломочные и песчаные грунты, а также водостойкие местные материалы (отходы дробильно-сортировочных предприятий, хорошо обожженные породы и др.) допускаются для сооружения земляного полотна на всех типах местности без ограничений. При этом максимальный размер ребер отдельных камней в грунтовом массиве, укладываемом в нижнюю часть земляного полотна, не должен превышать 2/3 толщины уплотняемого слоя, а в верхней части - не более 1/3 толщины уплотняемого слоя.
8.3.4 Талые глинистые грунты, используемые для возведения земляного полотна на местности всех типов, должны удовлетворять требованиям, приведенным в
таблице В.2 приложения В.
8.3.5 Влажность талых глинистых грунтов не должна превышать значений, приведенных в
СП 34.13330.
8.3.6 В подзоне l1 ДКЗ при остром дефиците качественных талых грунтов для земляного полотна допускается использовать мерзлые песчаные, глинистые и торфяные грунты.
8.3.7 Характеристики мерзлых грунтов принять в соответствии
СП 25.13330.
8.3.8 Мерзлые глинистые грунты должны иметь твердую, полутвердую и тугопластичную консистенцию, устанавливаемую лабораторными испытаниями после их оттаивания. Такие грунты применяют в нижней части насыпи в сочетании с теплоизолирующими слоями из торфа или армирующими слоями из геотекстильного материала.
Допускается использовать в нижней части высоких насыпей также переувлажненные глинистые грунты, если предусмотрено их сохранение в промороженном состоянии в течение всего периода эксплуатации дороги, в соответствии с
8.2.2 -
8.2.7.
8.3.9 В нижней части насыпи и на ее откосах в качестве теплоизолирующих слоев следует применять торфы, которые характеризуются степенью разложения не более 40% и относятся к слабо- или среднеразложившимся, причем их влажность не должна превышать 60%.
8.3.10 Во всех случаях при оценке пригодности талых или мерзлых грунтов следует учитывать необходимость круглогодичного производства земляных работ на широком фронте с отсыпкой земляного полотна "в задел" для обеспечения требуемых сроков его стабилизации, в том числе после оттаивания и уплотнения.
8.4 Теплоизоляционные материалы
8.4.1 Для теплоизоляции дорожной конструкции могут быть применены: полимерные материалы (пенопласты, пеноплэксы и другие материалы); легкие бетоны, в которых содержатся пористые заполнители (керамзит, аглопорит, перлит, гранулы полистирола); металлургические шлаки; золы уноса; золошлаковые смеси, как обработанные цементом, битумом или битумной эмульсией, так и необработанные; композиции из местных материалов или грунтов, легких заполнителей и вяжущих, приготовленные способом смешения в установке; битумоминеральные смеси, обычные и с легкими заполнителями.
8.4.2 Устройство теплоизолирующих слоев следует предусматривать на участках, где технически невозможно или экономически нецелесообразно проведение традиционных мероприятий по обеспечению морозоустойчивости конструкции (требуется слой из зернистых материалов очень большой толщины).
8.4.3 Теплоизоляционные слои надлежит проектировать таким образом, чтобы обеспечить морозоустойчивость дорожной одежды и ее работу в упругой стадии. С помощью теплоизоляции можно уменьшить глубину промерзания земляного полотна и тем самым ограничить пучение допустимыми пределами или полностью предотвратить промерзание подстилающего грунта, а также исключить возможность его морозного пучения. В свою очередь, уменьшение или исключение морозного пучения ограничивает или полностью устраняет разуплотнение грунтов в процессе эксплуатации дороги. Снижение глубины промерзания уменьшает также неравномерность морозного пучения и приводит к большей стабильности ровности покрытия.
8.4.4 Ширина теплоизоляционного слоя должна быть более ширины проезжей части на 1,0 м с каждой стороны, чтобы изолировать проезжую часть от действия холода со стороны обочин.
8.4.5 Теплоизоляционные материалы нужно располагать на глубине в соответствии с теплотехническим расчетом, но не менее чем 0,5 м от поверхности покрытия.
8.4.6 Теплоизоляционные материалы, применяемые в дорожных конструкциях, должны:
- сохранять теплоизолирующие свойства и прочность под воздействием влаги, температуры и агрессивных вод в течение всего периода эксплуатации дороги;
- обладать достаточной прочностью, чтобы выдерживать нагрузки от строительных транспортных средств, машин и механизмов, используемых для укладки и уплотнения вышележащих слоев дорожной одежды;
- быть морозостойкими и устойчивыми к морозобойному растрескиванию по
ГОСТ 10060;
- быть нетоксичными. Требования к нетоксичным теплоизоляционным материалам приведены в
[23];
- обладать технологичностью в работе (размеры плит, удобные в работе, не более 2,4·0,6 м, обеспечивающие возможность скрепления плит между собой, например имеющие ошпунтованные края);
| | ИС МЕГАНОРМ: примечание. Текст дан в соответствии с официальным текстом документа. | |
- иметь характеристики, приведенные в таблице 3.
| | ИС МЕГАНОРМ: примечание. В официальном тексте документа, видимо, допущена опечатка: имеется в виду таблица 1, а не таблица 3. | |
Не более | Не менее |
| | Сопротивление сжатию при 10% линейной деформации, по ГОСТ 17177, МПа | Предел прочности при статическом изгибе, по ГОСТ 17177, МПа |
0,45 | 0,032 | 0,40 | 0,6 |
3,8 <*> | 0,084 | - | 2,0 |
<*> Примечание - Параметры материала гранулированной пеностеклокерамики (ГПСК). |
8.4.7 Теплоизоляционные материалы должны удовлетворять требованиям, предъявляемым к дорожно-строительным материалам соответствующими сводами правил и другими нормативными материалами.
8.4.8 Искусственные теплоизоляционные материалы (пенопласты, пеноплексы и другие материалы) целесообразно применять в особо неблагоприятных грунтово-гидрологических условиях: "мокрые" выемки, земляное полотно в нулевых отметках, насыпи в условиях, когда глубина промерзания больше расстояния от поверхности покрытия до уровня грунтовых вод или длительно застаивающихся поверхностных вод на дорогах I - III технических категорий, а на дорогах IV и V технических категорий в этих случаях необходимо применять более дешевые теплоизоляционные материалы.
При использовании теплоизоляционных материалов в подзоне l3 предварительно необходимо оценить температурный режим в течение срока службы дороги до капитального ремонта с учетом воздействия тепловых потоков в двух измерениях.
8.4.9 При сравнении вариантов дорожных конструкций следует принимать во внимание что применение теплоизоляционных материалов позволяет использовать в верхней части земляного полотна местные пучинистые грунты без их замены.
8.4.10 Расчет дорожных конструкций с использованием теплоизоляционных материалов осуществляют с учетом требований, приведенных в
[18], теплотехническим расчетом и положениями настоящего свода правил.
8.5 Конструкции земляного полотна с использованием природных теплоизоляционных материалов
8.5.1 Требования к характерным поперечным профилям насыпей с грунтами различной просадочности приведены в
[16].
8.6 Конструкции земляного полотна с использованием искусственных теплоизоляционных материалов
8.6.1 При необходимости уменьшения высоты насыпи на участках местности 3-го типа земляное полотно проектируют по 1-му принципу с устройством теплоизолирующего слоя из естественного или искусственного материала. Крутизну откосов назначают 1:1,5 при использовании крупнообломочных, песчаных, сыпуче- и сухомерзлых грунтов, 1:2 - талых глинистых, 1:3 - песчаных пылеватых.
8.6.2 Для сохранения грунта основания в мерзлом состоянии плиты пенополистирола следует размещать преимущественно на глубине, составляющей 1/3 глубины сезонного оттаивания грунта насыпи, но не выше критической отметки. Критическая глубина определяется исходя из того, что пенополистирол должен быть предохранен от раздавливания, а деформация сжатия не должна превышать 10%.
При дефиците торфяных грунтов для устройства теплоизолирующего слоя допускается проектировать насыпи по 1-му принципу с использованием мерзлых грунтов, в том числе глинистых в нижней части.
8.6.3 С целью повышения морозозащитных свойств дорожной конструкции, а также снижения высоты насыпи целесообразно применять ИТМ. Характерная дорожная конструкция с применением пенополистирола приведена на рисунке 1.
1 - железобетон; 2 - асфальтобетон; 3 - щебень (гравий);
4 - пенополистирол; 5 - мерзлый грунт; 6 - насыпной грунт;
7 - грунт естественного залегания
Рисунок 1 - Поперечный профиль насыпи с теплоизоляционным
материалом на участках с грунтами
IV и V категорий просадочности
8.6.4 Когда высота снегонезаносимой насыпи не обеспечивает сохранение основания в мерзлом состоянии целесообразно использовать пеноплекс в виде плит (рисунок 2).
| | ИС МЕГАНОРМ: примечание. Рисунок дан в соответствии с официальным текстом документа. | |
1 - дорожная одежда; 2 - защитный (он же дренирующий) слой;
3 - пенополистирол; 4 - насыпь; 5 - положение ВГММГ
после сооружения насыпи; 6 - то же, до сооружения насыпи
Рисунок 2 - Поперечный профиль насыпи с пенополистиролом
на участках дорог грунтами IV и V категорий просадочности
для сохранения грунта в мерзлом состоянии
8.6.5 При устройстве берм на высоких насыпях для снижения высоты берм следует применять пенополистирол (рисунок 3). Плиты укладывают таким образом, чтобы защитный слой над плитой был не менее 0,5 м.
| | ИС МЕГАНОРМ: примечание. Рисунок дан в соответствии с официальным текстом документа. | |
1 - дорожная одежда; 2 - защитный (он же дренирующий) слой;
3 - пенополистирол; 4 - насыпь; 5 - положение ВГММГ
после сооружения насыпи; 6 - то же, до сооружения насыпи
| | ИС МЕГАНОРМ: примечание. Нумерация рисунков дана в соответствии с официальным текстом документа. | |
Рисунок 2 - Поперечный профиль насыпи с пенополистиролом
на участках дорог грунтами IV и V категорий просадочности
с целью снижения высоты бермы
8.6.6 При сооружении земляного полотна на плоскобугристых торфяниках высотой не более 1 м, разделенных мочажинами целесообразно использовать пеноплэкс, располагаемый в верхней части насыпи в комплексе с использованием природных теплоизоляционных материалов в бермах откосной части (рисунок 4).
1 - дорожная одежда; 2 - защитный (он же дренирующий) слой;
3 - пенополистирол; 4 - насыпь; 5 - положение ВГММГ
после сооружения насыпи; 6 - то же, до сооружения насыпи;
7 - берма; 8 - льдоминеральное ядро бугра пучения
Рисунок 4 - Поперечный профиль насыпи с пенополистиролом
на участках дорог грунтами IV и V категорий просадочности,
располагаемые на плоскобугристых торфяниках высотой до 1 м,
разделенных мочажинами
8.6.7 Для повышения теплозащитных и дренирующих свойств дорожных конструкций, в ряде случаев, особенно в районах с избыточной влажностью грунтов и болотистой местности, целесообразно использовать гранулированную пеностеклокерамику (рисунки 5 и
6). Для сохранения формы насыпи из этого материала его обертывают нетканым геотекстилем
[19].
Рисунок 5 - Поперечный профиль насыпи с теплоизоляционным
материалом - гранулированной пеностеклокерамикой совместно
с нетканым геотекстилем при проектировании насыпей
по 1-му принципу
Рисунок 6 - Поперечный профиль насыпи с теплоизоляционным
материалом из гранулированной пеностеклокерамики
на участках дорог со слабыми грунтами (например, торфяники)
при сезонном промерзании грунтов
8.7 Конструкции земляного полотна с использованием геотекстильных материалов
8.7.1 При проектировании по 2-му принципу разрешается конструировать насыпь с прослойками из геотекстильного материала
[20].
Геотекстильный материал располагают в основании, теле и верхней части насыпи в виде плоских прослоек, обойм и полуобойм. Принцип работы и назначение прослойки, тип конструктивного решения зависят от степени просадочности грунта основания и типа грунта насыпи, сезона производства работ, а также от особенностей структуры и свойств геотекстильного материала
(приложение Ж).
8.7.2 Разделяющую прослойку следует предусматривать при проектировании насыпи на участках с грунтами II - III категорий просадочности.
При отсыпке насыпи в летний период прослойку располагают в основании
(рисунок 7), чтобы уменьшить неравномерность осадки оттаивающего грунта основания и одновременно улучшить условия проезда построечного транспорта, отсыпки и уплотнения нижнего слоя земляного полотна. При отсыпке насыпи в зимнее время прослойку следует предусматривать на границе между нижней частью из мерзлого комковатого (глинистого или торфяного) грунта и верхней частью из сухо- или сыпучемерзлого песчаного грунта, чтобы предотвратить проникание сыпучего материала верхней части насыпи в поры комковатого грунта, уменьшить неравномерность осадки и отвести воду за пределы насыпи при оттаивании грунта в летний период.
Полотна располагают сплошь по всей ширине насыпи с поперечным уклоном 4% и выпуском краев на откосы на 15 - 20 см.
1 - грунт насыпи; 2 - слой геотекстиля; 3 - мерзлый
комковатый
(глинистый или торфяной) грунт в нижней части насыпи;
4 - ВГММГ в естественных условиях; 5 - то же,
после постройки насыпи; 6 - мохорастительный покров
Рисунок 7 - Поперечные профили насыпей с разделяющими
геотекстильными прослойками
8.7.3 Многослойное армирование следует предусматривать при проектировании высокой насыпи на участках, сложенных грунтами III - V категорий просадочности, чтобы повысить общую устойчивость насыпи и предотвратить расползание ее боковых частей, включая откосы, в период оттаивания (рисунок 8).
1 - одноосная георешетка; 2 - двухосная георешетка;
3 - противоэрозионная георешетка (геомат); 4 - ВГВМ
в естественных условиях; 5 - ВГММГ после постройки насыпи
Рисунок 8 - Поперечные профили высоких насыпей
на слабом оттаивающем склоне с прослойками
из геосинтетических материалов
| | ИС МЕГАНОРМ: примечание. Текст дан в соответствии с официальным текстом документа. | |
8.7.4 На участках с грунтами III категории просадочности прослойку проектируют в виде вогнутой полуобоймы
(рисунок 10) со сплошной укладкой полотен в поперечном направлении в нижней части насыпи. Для насыпи высотой не более 2 м, в зависимости от угла трения
j геотекстильного материала по подстилающему грунту или (при отсутствии таких данных) от угла внутреннего трения подстилающего грунта минимальную длину ветви полуобоймы с каждой стороны насыпи принимают по таблице 2.
Таблица 2
j, град | 5 | 10 | 15 | 20 |
l, м | 6,0 | 4,2 | 3,4 | 3,0 |
1 - грунт насыпи; 2 - полуобойма из геотекстиля; 3 - обойма
из геотекстиля; 4 - грунт, в том числе твердомерзлый
в нижней части насыпи; 5 - выравнивающий песчаный слой
толщиной 0,2 - 0,3 м; 6 - ВГММГ в естественных условиях;
7 - то же, после постройки насыпи
Рисунок 9 - Поперечные профили насыпей с армирующими
геотекстильными прослойками
8.7.5 На участках с грунтами IV - V категорий просадочности предусматривают прослойку в виде обоймы
(рисунок 10) со сплошной укладкой полотен в поперечном направлении в нижней части насыпи.
Высота обоймы hоб не должна превышать максимально допустимой величины, принимаемой в зависимости от модуля деформации геотекстильного материала E (таблица 3).
Таблица 3
Eо, Н/см | < 100 | 100 - 150 | > 150 |
hоб, см | 50 | 80 | 120 |
8.7.6 В ряде случаев при проектировании дорог на слабых основаниях, особенно в районах 2-го и 3-го типов по увлажнению и болотистой местности, целесообразно использовать геотекстиль в обоймах с минеральным материалом, расположенным двумя ярусами (рисунок 10).
1 - грунт насыпи; 2 - геотехнические замкнутые обоймы;
3 - ВГММГ в естественных условиях; 4 - ВГММГ после
постройки насыпи
Рисунок 10 - Поперечные профили насыпей на слабых
оттаивающих основаниях с двумя ярусами замкнутых
геотехнических обойм
8.7.7 При устройстве разделяющих и армирующих прослоек из водопроницаемого в плоскости полотна материала дренирующий эффект прослойки, ускоряющий консолидацию насыпи, необходимо учитывать путем снижения требуемой степени консолидации основания на 10%.
8.7.8 На затопляемых участках, на подходах к мостам и другим искусственным сооружениям земляное полотно проектируют в насыпи из крупнообломочных и песчаных грунтов. При этом бровку земляного полотна предусматривают выше уровня расчетного горизонта воды не менее чем на 0,5 м плюс высота набега волны.
8.7.9 На участках местности с благоприятными грунтово-гидрогеологическими условиями (скальные, щебенистые, дресвяные, гравийно-песчаные грунты и др.) при отсутствии линз и прослоек льда допускается проектировать выемки по
СП 34.13330.
Толщину слоя заменяемого в выемках грунта принимают исходя из условия устойчивости и обеспечения требуемой прочности дорожной конструкции, но не менее 0,5 м. Крутизну откосов назначают расчетом, но не менее 1:3.
8.7.10 На участках автомобильных дорог, проходящих через болота I типа, и слабых грунтах используют тканое геополотно в соответствии с рисунком 11.
1 - слабый грунт; 2 - грунт тела насыпи; 3 - дорожное
покрытие; 4 - тканое геополотно
Рисунок 11 - Поперечный профиль насыпи на слабых грунтах
и болотах I типа с применением тканого геополотна
8.7.11 На участках автомобильных дорог, проходящих через болота II типа и слабых грунтах используют тканое геополотно в виде полуобоймы в соответствии с рисунком 12.
1 - слабый грунт; 2 - грунт тела насыпи; 3 - дорожное
покрытие; 4 - тканое геополотно
Рисунок 12 - Поперечный профиль насыпи на слабых грунтах
и болотах II типа с применением тканого геополотна
в виде полуобоймы
8.7.12 При проектировании выемок глубиной более 2 м в мелких и пылеватых песках, переувлажненных пылеватых суглинках, в легковыветривающихся сильнотрещиноватых скальных породах, а также в вечномерзлых грунтах, переходящих при оттаивании в мягкопластичное состояние, предусматривают устройство закюветных полок шириной от 0,5 до 2 м (в зависимости от вида грунта, крутизны откосов и глубины выемки) или при соответствующем обосновании более пологие откосы. В скальных слабовыветривающихся породах при отсутствии трещиноватости взамен закюветных полок устраивают кюветы.
8.7.13 При проектировании насыпей следует предусматривать осадку в период строительства, возникающую в теле насыпи и в грунтах основания.
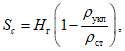
Если отсыпку насыпи предусматривают в зимний период на полную высоту из сухо- и твердомерзлых грунтов, то строительную осадку Sc, см, тела насыпи при оттаивании в теплый период года вычисляют по формуле

(4)
где

,

- плотность скелета мерзлого грунта в насыпи, г/см
3, соответственно после укладки с уплотнением и после оттаивания и стабилизации, определяется согласно
ГОСТ 5180.
При зимней отсыпке высота насыпи должна быть более рабочей отметки на величину Sc.
Строительную осадку грунтов основания определяют исходя из типа местности, вида грунтов, наличия или отсутствия на поверхности земли мохорастительного покрова и его мощности, прогнозируемой глубины оттаивания при известной высоте насыпи согласно
приложению Д.
8.7.14 Для определения дополнительных объемов земляных работ, при летней отсыпке (при составлении проектной документации) ориентировочно строительную осадку грунтов основания насыпи высотой не более 2 м при их оттаивании на глубину не более 2,5 м принимают по
таблице В.3 приложения В.
Объем дополнительных земляных работ (вследствие строительной осадки грунтов основания) принимают равным произведению усредненной величины осадки на ширину насыпи по низу и на длину участка.
8.7.15 Откосы насыпи и выемки следует укреплять. Тип укрепления назначают в зависимости от физико-механических свойств грунтов, слагающих откосы, наличия местных материалов, высоты насыпи, глубины выемки, гидрологического режима подтопления в соответствии с требованиями
СП 34.13330.
8.7.16 Для защиты от водной и ветровой эрозии откосы насыпи (выемки), сложенные песчаными пылеватыми и глинистыми грунтами, следует укреплять слоем торфопесчаной смеси (40% торфа, 60% песка) толщиной от 10 до 20 см. В смесь вводят семена многолетних трав.
При отсутствии торфяного грунта можно предусматривать укладку сплошного слоя геотекстиля с обязательным закреплением полотнищ на обочинах и подошве насыпи или других геоматериалов (бровке выемки) и последующее устройство защитного (от солнечной радиации) слоя толщиной от 10 до 15 см из песка или гравийно-песчаной смеси
(рисунок 14).
При необходимости можно укреплять сплошными геотекстильными слоями, выполняющими противоэрозионную или армирующую функцию, и обочины, и откосы. Противоэрозионную роль выполняют также боковые поверхности полуобойм и обойм из геотекстиля (рисунок 13).
1 - защитный песчаный слой толщиной 10 - 15 см;
2 - геотекстиль на откосе; 3 - грунт насыпи; 4 - геотекстиль
на обочине
Рисунок 13 - Поперечный профиль насыпи с укреплением откосов
и обочин геотекстилем
8.7.17 Обочины земляного полотна следует укреплять гравийно-песчаным или щебеночным материалом, шламом, шлаком и другими отходами промышленного производства, геотекстилем и другими геоматериалами
(рисунок 14), а также бетонными плитами на основе технико-экономических расчетов.
8.7.18 В проектах автомобильных дорог необходимо предусматривать комплекс мероприятий по охране окружающей среды: рекультивацию карьеров и резервов, восстановление нарушенной техногенным воздействием прилегающей к дорогам полосы отвода, восстановление нарушенных территорий в местах дислокации дорожно-строительных подразделений, с определением требуемых объемов производства работ и их сметной стоимости.
8.7.19 На участках природных наледей, параметры которых необходимо оценивать и рассчитывать, земляное полотно следует проектировать:
- в насыпях с возвышением бровки над расчетной отметкой поверхности наледи не менее чем на 0,5 м;
- в насыпях с бермой, устраиваемой с нагорной стороны;
- в комплексе с капитальными противоналедными сооружениями и устройствами.
8.7.20 На участках прогнозируемых наледей в районах глубокого сезонного промерзания и островного распространения ММГ (подзона l3 ДКЗ) насыпь проектируют с таким расчетом, чтобы глубина промерзания под ней не превышала глубины промерзания грунтов в естественных условиях.
8.7.21 Насыпь на наледных участках предпочтительнее формировать из крупнообломочных грунтов. На тех участках, где насыпь проектируют с применением глинистых грунтов, предусматривают берму с нагорной стороны или пологий откос и его укрепление.
8.7.22 Наименьший коэффициент уплотнения грунта К
у (отношение плотности грунта насыпи к максимальной при стандартном уплотнении) следует принимать в соответствии с
СП 34.13330.
8.8.1 При расчете прочности конструкции дорожных одежд в зоне многолетней мерзлоты следует учитывать основные факторы водно-теплового режима земляного полотна, требования к которым приведены в [
18,
20].
При этом дорожная конструкция (земляное полотно в комплексе с дорожной одеждой) должна удовлетворять трем условиям:
Eобщ >= Eтр; (5)
Sr <= Rи; (6)
Tа <= Tдоп, (7)
где Eобщ - общий модуль упругости дорожной конструкции;
Eтр - требуемый модуль упругости дорожной конструкции, определяемый в зависимости от расчетной нагрузки, состава и интенсивности перспективного движения;
Sr - наибольшее растягивающее напряжение при изгибе в материале рассматриваемого слоя одежды;
Rи - предельно допустимое растягивающее напряжение при изгибе в материале конструктивного слоя с учетом усталостных явлений;
Tа - наибольшее активное напряжение сдвига в грунте или слабо связном материале конструктивного слоя одежды, которое слагается из активных напряжений сдвига от временной нагрузки и веса вышележащих слоев;
Tдоп - допустимое активное напряжение сдвига в грунте земляного полотна или в несвязном конструктивном слое дорожной одежды.
8.8.2 Величины
Eтр;
Sr;
Rи;
Tа;
Tдоп определяют с учетом требований, приведенных в
[18].
Требуемый общий модуль упругости дорожной конструкции Eобщ вычисляют по формуле

(8)
где Emin - минимальный требуемый общий модуль упругости конструкции, МПа;

- требуемый коэффициент прочности дорожной одежды по критерию упругого прогиба, принимаемый в зависимости от требуемого уровня надежности.
Требуемый модуль упругости дорожной конструкции для условий ММГ вычисляют по формуле

(9)
где

- требуемый общий модуль упругости дорожной конструкции в условиях многолетней мерзлоты (ММ) с учетом длительности расчетного периода;

- коэффициент, учитывающий длительность расчетного периода для районов с наличием ММГ.
Средние значения коэффициента

для трех дорожно-климатических подзон
l ДКЗ - зоны ММ - приведены в таблице 4.
Таблица 4
Грунты, тип местности по условиям увлажнения | l1 - северная подзона | l2 - центральная подзона | l3 - южная подзона |
Болота, 3-й тип - мокрые места | 1,60 | 1,40 | 1,60 |
Заболоченные, 2-й тип - сырые места | 1,40 | 1,35 | 1,40 |
Глинистые с ММГ, 2-й тип - сырые места | 1,25 | 1,20 | 1,30 |
Глинистые с ММГ, 1-й тип - сухие места | 1,20 | 1,15 | 1,20 |
8.8.3 Влияние мерзлого слоя на прочность земляного полотна при известной глубине оттаивания дорожной конструкции вычисляют по формуле

(10)
где Eу - общий модуль упругости оттаявшего грунтового массива;

- расчетное значение модуля упругости грунта, определяемое при известной расчетной влажности;
Aу - комплексный коэффициент, учитывающий влияние мерзлого слоя в зависимости от глубины оттаивания (ее абсолютного значения Hот или относительной величины Hот/Д и неоднородное увлажнение земляного полотна и сезоннооттаивающего слоя по глубине, определяют в процессе экспериментальных работ или с использованием обобщенных данных, приведенных в таблице 5.
Таблица 5
Относительная глубина оттаивания | Значения коэффициентов Aу и Aд для грунтов |
Супеси | Суглинки и глины |
Hот/Д | Aу | Aд |
(в ред. Изменения N 1, утв. Приказом Минстроя России от 30.05.2022 N 430/пр) |
Hот = 0 мерзлый грунт | > 5000 | > 4000 |
0,125 | 354,1 | 292,2 |
0,25 | 83,5 | 67,0 |
0,5 | 17,8 | 15,0 |
1,0 | 3,4 | 2,46 |
1,5 | 1,28 | 0,85 |
2,1 | 0,67 | 0,42 |
2,5 | 0,50 | 0,36 |
3,0 | 0,44 | 0,32 |
3,3 | 0,43 | 0,34 |
3,5 | 0,44 | 0,37 |
4,0 | 0,45 | 0,39 |
4,5 | 0,48 | 0,42 |
4,8 | 0,50 | 0,45 |
5,0 | 0,50 | 0,48 |
6,0 | 0,57 | 0,52 |
10 | 0,65 | 0,63 |
 - талый грунт | 0,99 | |
8.8.4 Требования к расчетным прочностным и деформативным характеристикам различных материалов приведены в
[18]. Расчетные значения модуля упругости и прочностных характеристик
C и
j грунтов земляного полотна принимают по
таблице В.1 приложения В.
8.9 Водоотводные сооружения
8.9.1 В зависимости от рельефа, гидрологических, гидрогеологических и мерзлотно-грунтовых условий поверхностные и грунтовые надмерзлотные воды от дорожного полотна отводят с помощью боковых водоотводных канав (рисунок 14), лотков и полулотков.
1 - дерн, мох, торф; 2 - укрепление из сборных бетонных плит
на слое теплоизоляционного материала пенопласта или местного
мохоторфа (при его наличии); 3 - мощение нагорных мерзлотных
валиков, приоткосных берм и водонепроницаемых замков
с нагорными канавами; поперечных канав
Рисунок 14 - Поперечные сечения водоотводных канав
8.9.2 В подзоне l3 с островной высокотемпературной несливающейся вечной мерзлотой допускается проектировать дренажи для отвода грунтовых вод.
8.9.3 Размеры водоотводных сооружений назначают по гидравлическому расчету, учитывая приток и глубину залегания вод, осушаемую площадь и ее инженерно-гидрогеологические условия. Форму поперечного сечения канав принимают такой, чтобы обеспечить механизированное производство работ и устойчивость откосов.
8.9.4 Водоотводные канавы проектируют на устойчивых основаниях, сложенных непросадочными грунтами. При этом дно и откосы канав (кюветов), устраиваемых в легкоразмываемых грунтах, укрепляют одиночным или двойным слоем луговой или тундровой дернины, камнем или бетонными плитами
(рисунок 15). Если скорость течения воды превышает допустимую для соответствующих типов укрепления, необходимо предусматривать перепады, быстротоки или водобойные колодцы.
8.9.5 На участках с подземными льдами, а также с грунтами, сильнольдонасыщенными, залегающими в пределах двойной мощности сезонно оттаивающего слоя, следует избегать применения водоотводных и нагорных канав.
В таких случаях для отвода воды на косогорных участках предусматривают бермы или нагорные валики (
рисунок 15, а, б, в, г), а на равнинных участках - фильтрующие водоперепуски (дрены) по гидравлическому расчету.
а - нагорный валик, б - мерзлотный валик с канавой;
в - нагорная канава; г - нагорная канава с утеплителем
1 - смесь гравия с торфяной крошкой; 2 - сборные бетонные
плиты; 3 - местный грунт; 4 - одерновка; 5 - дренирующий
грунт; 6 - жердевая стенка; 7 - жерди диаметром 10 см;
8 - мох, торф, пенопласт и другие теплоизоляционные
материалы; 9 - деревянный лоток; 10 - щебень с грунтом
Рисунок 15 - Конструкции нагорных валиков и канав
8.9.6 Нагорные валики располагают не ближе 20 м от подошвы насыпи. Их высоту назначают с обязательным превышением максимального расчетного уровня воды на 0,25 м. Во всех случаях высота валика должна быть равна или более 0,6 м, ширина по верху - более 1 м; заложение откосов - положе 1:2.
8.9.7 Валики целесообразно отсыпать из глинистых грунтов с обязательным сохранением мохорастительного покрова в основании. Откос валика и полосу вдоль его подошвы на ширину 1 м с нагорной стороны укрепляют гравием по слою мха или торфа. Для большей устойчивости нагорный валик покрывают теплоизоляцией; на косогорах круче 1:5 внутри его предусматривают жердевую стенку (
рисунок 15, а).
8.9.8 При проектировании насыпей в равнинной местности на сухих местах боковые канавы предусматривают непосредственно у подошвы насыпи. В тех же условиях, но при косогорной местности боковую канаву проектируют непосредственно у подошвы нагорного откоса, а нагорную канаву - в 10 м от бровки боковой канавы. Откосы канав укрепляют согласно
СП 34.13330 и специальных рекомендаций.
8.9.9 На участках с наличием потока грунтовых вод водоотводные устройства проектируют в комплексе с противоналедными мероприятиями.
8.9.10 На косогорных участках с большой водосборной площадью или сильными снежными заносами водоотвод проектируют в виде двух рядов нагорных канав (
рисунок 15, в), расположенных в 100 м друг от друга, или нагорной канавы в сочетании с мерзлотным валиком, который устраивают с низовой стороны нагорной канавы (
рисунок 15, б) в 50 м от подошвы насыпи. Нагорные канавы с утеплением для предотвращения наледеобразования устраивают согласно
рисунку 15, г. Уклоны дна канав принимают более 3%, а в выемках - более 5%.
9 Искусственные сооружения
9.1.1 При проектировании и строительстве водопропускных труб в зоне ММ необходимо руководствоваться
СП 35.13330, а также требованиями приведенными в
[23].
9.1.2 На дорогах I - V категорий следует предусматривать трубы капитального типа: бетонные, железобетонные и металлические гофрированные.
9.1.3 Проектирование водопропускных труб, как правило, осуществляется на водотоках при отсутствии наледеобразований. В случае наледеобразований необходимо устраивать специальные защитные сооружения.
9.1.4 Отверстия труб необходимо рассчитывать по безнапорному режиму. Минимальное отверстие и высоту труб в свету назначают не менее 1,5 м.
Многоочковые трубы допускается проектировать с расположением очков в разных уровнях, размещая часть из них (как правило, одно) в уровне русла водотока, а остальные - на отметке выше уровня меженных вод. Количество рядом уложенных труб не ограничено.
9.1.5 Проектирование водопропускных труб следует осуществлять на основе следующих принципов:
1-й - обеспечить поднятие ВГММ до подошвы фундамента и сохранять его на этом уровне в течение всего периода эксплуатации сооружения;
2-й - допускается образование талой прослойки между подошвой фундамента и ВГММ;
3-й - использовать грунты основания в естественном талом состоянии.
9.1.6 Трубы следует проектировать, как правило, исходя из условия наименьшего нарушения естественного состояния мерзлых грунтов.
Во всех случаях, когда это возможно, необходимо избегать устройства котлованов, приемных колодцев, глубоких бетонных, железобетонных и других экранов, различных врезов в мерзлых грунтах и предусматривать подготовку основания подсыпкой с ее планировкой.
9.1.7 Проектирование труб, находящихся в пучинистых грунтах деятельного слоя, необходимо выполнять с учетом расчета на воздействие вертикальных и горизонтальных сил морозного пучения касательных к боковой поверхности частей трубы, расположенных над верхней границей вечной мерзлоты (ВГВМ). Расчеты выполняются в соответствии с требованиями
СП 25.13330. Для уменьшения этого воздействия и обеспечения устойчивости труб следует предусматривать проведение специальных противопучинистых конструктивных мероприятий, такие как придание наклона боковым поверхностям частей трубы, находящимся над ВГВМ, фундаменты под откосными крыльями и первыми секциями оголовков с противопучинными анкерными выступами, засыпка котлованов песчанощебеночной смесью с тщательным послойным, от 10 до 15 см, уплотнением.
Если не учитывать силы вертикально направленных касательных к боковым поверхностям надфундаментных частей трубы, возникает опасность отрыва звеньев и откосных стенок оголовков от их заанкерных фундаментов и подъема звеньев на величину пучения прилегающего к трубе грунта.
Для труб в тяжелых мерзлотно-грунтовых условиях (болота, сильнопучинистые грунты, вечная мерзлота) следует предусматривать мероприятия, направленные на повышение ремонтопригодности и приспособление трубы к ее нормальной эксплуатации при наличии деформаций звеньев и оголовков от воздействия морозного пучения грунтов и деградации вечной мерзлоты, а также от деформаций прилегающих участков насыпи.
9.2 Водопропускные трубы и противоналедные сооружения
9.2.1 На водотоках, основание которых в пределах двойной мощности сезоннооттаивающего слоя представлено непросадочными грунтами, допускается проектировать бесфундаментные трубы.
9.2.2 На водотоках, характеризующихся наличием слоя просадочных при оттаивании грунтов мощностью не более 2 м, предпочтение отдают бесфундаментным трубам или трубам с фундаментами мелкого заложения при условии, что суммарная величина осадки грунтов основания может быть компенсирована величиной строительного подъема. При невозможности выполнения этого условия предусматривают полную или частичную замену слабого грунта грунтовой подушкой из щебеночных, гравийных или гравийно-песчаных материалов, имеющих оптимальную или близкую к ней влажность.
Размеры грунтовых подушек для бетонных и железобетонных труб принимают следующие:
а) длина на 1 - 1,5 м более общей длины трубы с оголовками;
б) ширина не менее

для одноочковой трубы и не менее

для
n-очковой трубы,
где Hр - расчетная глубина оттаивания (промерзания) грунта под трубой, м;
dтр - диаметр трубы, м;
bтр - расстояние между трубами, м.
9.2.3 На водотоках, характеризующихся наличием слоя сильнопросадочных и просадочных грунтов мощностью более 2 м, предусматривают свайные фундаменты. Массивные бетонные фундаменты допускают только при соответствующем обосновании при отсутствии подруслового стока.
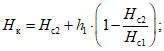
9.2.4 Минимальную глубину заложения фундаментов устанавливают в зависимости от расчетной глубины сезонного оттаивания грунтов основания
Hр, их свойств (по
СП 35.13330) и типа фундамента:
свайного Hр + 2 м, но не менее 3 м;
массивного бетонного - Hр, но не менее 1,5 м:

(11)
где

- нормативная глубина сезонного оттаивания грунта, м;
mt - коэффициент теплового влияния конструкций на грунт основания, принимаемый для фундамента: массивного бетонного - 0,8, свайного, с плитой на поверхности грунта - 1,0;
Кw - поправочный коэффициент к нормативной глубине оттаивания грунта при его естественной влажности.
9.2.5 При проектировании труб в
l1 дорожно-климатической подзоне применяют преимущественно 1-й принцип использования грунтов в основании, в
l2 - 2-й принцип, на всей территории зоны ММ - 3-й принцип с учетом
9.2.1.
9.2.6 При использовании 1-го и 2-го принципов для уменьшения толщины грунтовой подушки предусматривают в основании теплоизолирующие слои по расчету.
При ММГ оснований, используемых в оттаявшем состоянии, несущая способность которых менее, чем расчетное давление под подошвой фундамента трубы, следует предусматривать свайные или столбчатые фундаменты. При этом подошва ростверка должна быть заложена на том же уровне, как при фундаментах на естественном основании.
9.2.7 Трубы следует проектировать с входными и выходными оголовками. При низких насыпях могут быть предусмотрены многоочковые безнапорные трубы без выходных оголовков. Металлические гофрированные трубы допускается проектировать без устройства оголовков при соблюдении требований
СП 35.13330.
В остальных случаях предпочтительнее применять воротниковые оголовки, а при необходимости - портальные и раструбные с небольшим заглублением (не более 0,4 - 0,5 м) в грунты основания.
9.2.8 На водотоках, основание которых в пределах двойной мощности сезоннооттаивающего слоя сложено непросадочными грунтами, конструкции укреплений подводящих и отводящих русел принимают в соответствии с типовыми решениями для обычных условий, исходя из гидравлических расчетов.
9.2.9 На всех водотоках отводящее русло, как правило, должно быть устроено с уклоном не менее

.
Тип укрепления подводящих и отводящих русел, сложенных просадочными грунтами, принимают в зависимости от их уклона:
а) не более 1% - бутовую кладку по слою теплоизоляции из мха, торфа толщиной не более 20 см в плотном состоянии;
б) от 1 до 5% - цементобетон (сборный или монолитный) по слою теплоизоляции из мха, торфа толщиной до 30 см в плотном состоянии;
в) более 5% - быстротоки по слою теплоизоляции в соответствии с требованиями поз. "б".
9.2.10 На водотоках, основание которых сложено сильнопросадочными грунтами, тип укрепления принимают в зависимости от уклона русел:
(в ред.
Изменения N 1, утв. Приказом Минстроя России от 30.05.2022 N 430/пр)
(в ред.
Изменения N 1, утв. Приказом Минстроя России от 30.05.2022 N 430/пр)
- более 5% - бетонные, металлические или деревянные лотки на сваях, заглубляемых в вечномерзлый грунт по расчету на выпучивание.
На местности с уклоном более 1% отводящие русла целесообразно укреплять по всей длине косогора, устраивая у его подножия гасители энергии водного потока.
9.2.11 Дополнительными мероприятиями, обеспечивающими устойчивость труб, являются:
- максимальное сохранение мохорастительного покрова на расстоянии не менее 20 м от концевых звеньев трубы и не менее 20 м в каждую сторону от нее;
- засыпка пазух в котлованах, подсыпка под фундаменты, устройство подготовок под крепления русел водонепроницаемыми глинистыми грунтами;
- устройство насыпей с уположенными откосами или бермами на расстоянии, равном четырехкратной высоте насыпи в каждую сторону от трубы;
- устройство на откосах насыпи каменной наброски толщиной от 1 до 1,5 м выше уровня верха трубы на 1 м или торфяной изоляции толщиной не менее 1 м до уровня верха трубы, протяженность которых вдоль дороги равна четырем диаметрам трубы в каждую сторону от ее оси или оси крайних звеньев для многоочковых труб;
- обеспечение общего фундамента звеньев многоочковых труб.
9.2.12 Устойчивости конструкции способствует:
- размещение откосных крыльев оголовков и оголовочной секции на общем фундаменте, т.е. когда они представляют собой общее целое;
- засыпка понижений в районе трубы глинистым грунтом в виде бермы высотой от 0,2 до 0,3 м с уклоном ее верха от 2 до 4% в сторону русла водотока с целью предотвратить застой воды и увеличить скорость ее протекания вдоль подошвы насыпи;
- обеспечение в условиях большой снегозаносимости (когда отверстие трубы полностью занесено снегом) проветривания труб в зимний период с помощью вентиляционных труб, концы которых выводят за пределы снежных отложений, или других устройств.
9.2.13 На участках природных наледей, образующихся по руслам водотоков, проектируют:
- преимущественно мосты вместо труб;
- мосты с увеличенными отверстиями, преимущественно свайно-эстакадного типа на всю ширину наледного лога;
- мосты и трубы совместно с утепленными лотками;
- мосты со спрямленными и углубленными руслами, обеспечивающими пропуск наледной воды через зону искусственного сооружения.
9.2.14 Мосты с увеличенными отверстиями проектируют в местах развития природных наледей объемом более 10000 м3 с нечетко выраженными наледными источниками, когда устранение причин возникновения наледи или задержание наледи на удалении от сооружения практически не представляется возможным или экономически нецелесообразным.
9.2.15 Высоту подмостового габарита по условиям пропуска наледи и весеннего потока талых вод вычисляют в соответствии с
ГОСТ 26775 по формуле:
| | ИС МЕГАНОРМ: примечание. Нумерация формул дана в соответствии с официальным текстом документа. | |

(8)
где Hм - высота подмостового габарита, м;

- расчетная максимальная мощность наледи, м, требования к которой приведены в
[26];

- превышение, необходимое для пропуска по наледи расчетного расхода талых вод, м;

- просвет от уровня воды до низа пролетного строения, м.
9.2.16 Безналедный пропуск водотоков осуществляют с применением утепленных лотков при четко выраженном, сконцентрированном в одном месте наледном источнике с температурой воды выше +3 °C и его незначительном удалении от сооружения. Толщину утепления лотков устанавливают теплотехническим расчетом.
9.2.17 Постоянный противоналедный лоток необходимо проектировать совместно с мостом или трубой. Лоток можно устраивать с заглублением в грунт или на его поверхности. Длину лотка принимают равной ширине моста или длине трубы, но более 25 - 30 м.
9.2.18 Наледи выше искусственного сооружения целесообразно задерживать на водотоках с малыми расходами и при наличии пологих (уклон менее 0,02) и широких логов, позволяющих накапливать лед одним-двумя заборами или земляными валами с заборами в проеме.
9.2.19 На участках прогнозируемых наледей проектируют следующие типы искусственных сооружений:
- трубы со специальными конструкциями фундаментов;
- свайно-эстакадные мосты, полностью перекрывающие наледный лог;
- мосты с любыми конструкциями фундаментов и опор, но с повышенными подмостовыми габаритами;
- мосты или трубы совместно с дренажно-каптажными устройствами.
9.2.20 Трубы на участках прогнозируемых наледей допускается проектировать с облегченными или свайными фундаментами, предусматривая теплоизолирующие подушки, чтобы глубина промерзания грунта под фундаментом была менее промерзания грунтов в естественных условиях.
9.2.21 Подошву фундамента (теплоизолирующей подушки) трубы следует располагать выше уровня грунтовых вод. Если это условие выполнить невозможно, проектируют мосты с увеличенными отверстиями или при соответствующих технико-экономических обоснованиях трубы и мосты с дренажно-каптажными устройствами.
9.2.22 Каптаж совместно с дренажом следует применять при наличии источников подземных вод, выходящих на склоне выше дороги. Он может состоять из одного или нескольких колодцев, а также из коротких галерей, канав или лотков и отводных устройств.
9.2.23 Колодцы и водоотводные трубы необходимо утеплять, а трубы закладывать в нижней трети глубины сезонного промерзания грунта в естественных условиях.
9.2.24 Свайно-эстакадные мосты надлежит проектировать на постоянно действующих малых и средних водотоках, предусматривая мероприятия, компенсирующие нарушенные строительством мерзлотно-гидрологические условия (устройство теплоизолирующих подушек, накопление снега, углубление русел и т.д.).
9.2.25 На малых водотоках и ручьях при глубине залегания водоупорного слоя не более 3 - 5 м и низкой температуре воды (ниже 3 °C) необходимо предусматривать устройства, активизирующие наледный процесс и задерживающие наледь в удалении от сооружения (наледные пояса, активные противоналедные валы, вентиляционно-морозильные установки и самонастраивающиеся, автоматически действующие охлаждающие установки).
9.3 Пересечения автомобильных дорог с горячими газо- и нефтепроводами
9.3.1 Пересечения автомобильных дорог горячими трубопроводами всех диаметров и назначений должны осуществлять подземным способом с соблюдением общих требований, регламентируемых
СП 36.13330.
9.3.2 Пересечения, как правило, следует предусматривать на участках, сложенных непросадочными и слабопросадочными грунтами. Для участков с другими грунтами в проектах пересечений необходимо предусматривать комплекс инженерных мероприятий, направленных на обеспечение устойчивости земляного полотна и максимальное сохранение естественного температурного режима вечномерзлых грунтов под горячим трубопроводами.
9.3.3 В месте пересечения земляное полотно автомобильной дороги следует устраивать в насыпи, а трубопровод прокладывать подземным способом. Запрещается пересечение автомобильной дороги трубопроводом на участках нулевых мест и выемок. Угол пересечения автомобильной дороги с трубопроводом должен быть 85° - 90°.
9.3.4 Глубина заложения трубопровода должна быть не менее 1,4 м от поверхности дорожного покрытия до верхней образующей защитного футляра. Если защитный футляр не предусмотрен (на дорогах V категории), то глубину заложения принимают до верхней образующей трубопровода.
9.3.5 Для каждого участка пересечения необходимо составлять индивидуальный проект, включающий: характеристику инженерно-геологических условий; размеры (диаметр) трубопровода и среднегодовую температуру на его поверхности; время производства работ по прокладке трубопровода (до или после сооружения земляного полотна); требования к грунтам, предназначенным для засыпки трубопровода; технологию отсыпки земляного полотна.
9.3.6 На участках планируемых пересечений предпочтение следует отдавать опережающей прокладке горячих трубопроводов с защитным футляром.
9.3.7 На участках, сложенных просадочными и сильнопросадочными грунтами, трубопровод надлежит укладывать в зимний период с заменой грунтов в основании непросадочными грунтами на глубину их сезонного оттаивания, но не менее чем на 2,5 м. В целях уменьшения зоны оттаивания используют теплоизолирующий слой под трубой на песчаной подсыпке толщиной не менее 0,2 м.
9.3.8 Толщина теплоизолирующего слоя из торфа должна составлять не менее 0,5 м в плотном теле при среднегодовой температуре поверхности трубы 5 °C. Слой следует укладывать на всю ширину траншеи, которую устанавливают согласно
СП 36.13330. Во всех случаях ширина траншеи должна быть не менее полуторного поперечного габарита механизмов, уплотняющих и разравнивающих укладываемый грунт.
9.3.9 Если в качестве теплоизоляционного материала используют плиты из ИТМ, их толщину принимают от 10 до 30 см при температуре на поверхности трубы соответственно от 20 °C до 40 °C и 5 см - при температуре 5 °C.
9.3.10 Для предотвращения оттаивания грунтов вокруг трубопровода целесообразно предусматривать в нижней части трубы цилиндрическую (в виде скорлуп) теплоизоляцию толщиной, равной половине диаметра трубы.
9.3.11 Траншею для укладки трубопровода устраивают механизированным или взрывным способом на полную глубину с последующим разравниванием удаленного грунта вдоль дороги.
9.3.12 Для засыпки траншеи следует применять грунты с устойчивой структурой, большой объемной массой, высоким коэффициентом фильтрации. При их отсутствии траншеи необходимо засыпать грунтом, из которого возведено земляное полотно автомобильной дороги.
9.3.13 В зимний период грунт в траншею следует засыпать немедленно после укладки трубопровода, не допуская его смерзания. Если для засыпки используют мерзлый комковатый грунт, то над верхней образующей уложенного трубопровода необходимо создавать защитный слой не менее 0,2 м из мелкого разрыхленного или талого грунта.
9.3.14 Торф для устройства теплоизолирующего слоя доставляют из карьеров автомобилями-самосвалами. Разравнивают и уплотняют торфяной слой многократными проходами бульдозера на гусеничном или пневматическом ходу.
9.3.15 Плиты ИТМ раскладывают и закрепляют на подстилающем слое деревянными кольями или металлическими штырями.
9.3.16 Грунт засыпки над верхней образующей трубопровода должен иметь тот же коэффициент уплотнения, что и грунт в нижней части насыпи. Засыпку траншеи грунтом и его уплотнение следует осуществлять до заполнения трубопровода продуктами.
9.3.17 Контроль качества и приемку земляных работ производят в соответствии с положениями
СП 86.13330 и требованиями, приведенными в
[24].
9.3.18 Земляное полотно в зоне пересечения возводят послойно в соответствии с требованиями настоящего свода правил. При этом дорожную одежду устраивают по двухстадийной технологии.
9.3.19 В том случае, когда предусмотрено пересечение эксплуатируемой автомобильной дороги трубопроводом, необходимо строить временную объездную дорогу, включая автозимник.
На участке пересечения проводят демонтаж плит покрытия и разрабатывают бульдозером с предварительным рыхлением грунта поперечную траншею в насыпи на необходимую ширину. В дальнейшем работы выполняют по изложенной выше технологии.
10 Строительство автомобильных дорог
10.1.1 Строительство автомобильных дорог осуществляют в соответствии с
СП 78.13330,
СП 99.13330 и указаниями настоящего свода правил.
10.1.2 На тех участках, где земляное полотно запроектировано по 1-му принципу, должны строго соблюдать сроки проведения подготовительных и основных работ должны. Запрещается переносить отдельные виды работ на более поздние сроки, не предусмотренные проектом. Изменения, необходимость которых возникает в процессе строительства (производство работ в летний период и пр.), могут быть допущены после согласования с проектной организацией.
10.1.3 При разработке проекта производства работ следует исходить из того, что основной объем земляных работ должен быть выполнен в зимнее время, когда можно максимально использовать естественный холод для промораживания грунтов в основании и тем самым снижать техногенное воздействие на них, что отвечает требованиям охраны окружающей среды.
10.1.4 В течение короткого летнего периода необходимо:
- довести земляное полотно, отсыпанное в зимний период, до требуемых параметров путем уплотнения тела насыпи, планировки откосов, укрепительных работ;
- заготовить грунт для работ в зимний период;
- выполнить укрепительные и отделочные работы на искусственных сооружениях;
- устроить дорожное основание и покрытие;
- организовать производство асфальтобетонных и цементобетонных смесей в необходимом объеме.
10.1.5 В зимний период необходимо:
- построить автозимники, возвести временные здания и сооружения, расчистить дорожную полосу и подготовить карьеры дорожно-строительных материалов, в том числе грунтовые, для разработки грунта зимой и в следующий летний период;
- доставить на объекты машины, механизмы, строительные и горюче-смазочные материалы;
- произвести буровзрывные работы на участках с мерзлыми грунтами, которые при оттаивании переходят в текучее состояние;
- соорудить временные землевозные дороги между карьерами и трассой, возвести насыпи из скальных, а также несмерзающихся галечногравийных и песчаных грунтов на подходах к мостам, на марях, болотах и других участках со слабыми основаниями; отсыпать бермы и утеплить откосы;
- заготовить, переработать и вывезти каменные материалы на трассу и заводы [асбестоцементный завод (АБЗ), цементобетонный завод (ЦБЗ)];
- устроить щебеночное (гравийное) основание;
- уложить сборные железобетонные плиты.
10.1.6 Для обеспечения работы АБЗ при пониженных положительных и отрицательных температурах воздуха утепляют сушильные и смесительные барабаны, трубопроводы, осуществляют парообогрев битумо-, водо-, топливопроводов и бачков для дозировки вяжущих, утепляют кабины операторов и транспортеры, подающие минеральные материалы.
10.1.7 Цементобетонные смеси при отрицательных температурах приготавливают на утепленных ЦБЗ. Утеплению подлежат емкости для воды, водо- и паропроводная сети, пневмоаппараты, краны, насосы, контрольные приборы и установки для приготовления растворов солей и поверхностно-активных веществ (ПАВ). Для подогрева материалов необходимо отапливать галереи с транспортерами для их подачи, а также бункерное, дозировочное и смесительное отделения завода.
10.1.8 Сроки выполнения подготовительных работ назначают в зависимости от типа местности и принятого принципа проектирования земляного полотна.
На тех участках, где земляное полотно запроектировано по 1-му принципу, лес, кустарник, бугры пучения удаляют только в зимний период на ширину основания насыпи, при этом сохраняют снежные отложения толщиной не более 20 см. Запрещается корчевать пни на просеке.
Не допускается устройство просеки "в задел". Мохорастительный покров в основании насыпи и в пределах охранной зоны, границы которой устанавливают при проектировании (ориентировочно не более 100 м в обе стороны от оси трассы), должен быть сохранен.
Проезд дорожных машин и технологического транспорта по просеке разрешается только в зимний период.
10.1.9 На тех участках, где земляное полотно запроектировано по 2-му принципу, лес и кустарник удаляют в зимнее время, мохорастительный покров с поверхности резерва - сразу же после его оттаивания в весенний период.
Грунты боковых резервов допускается использовать при влажности, близкой к оптимальной.
10.1.10 В пределах ширины насыпи понизу этот слой сохраняют в ненарушенном состоянии. На участках 1-го типа местности, где предусмотрено предпостроечное оттаивание грунтов основания, мохорастительный слой удаляют на всю ширину дорожной полосы бульдозером в поперечном направлении в обе стороны от оси дороги.
10.1.11 В качестве подъездных дорог к карьерам зимой используют обычные автозимники, а в летнее время - автозимники с продленными сроками эксплуатации или временные дороги с шириной насыпи 8 м и высотой не менее 0,6 м. Конструкции автозимников назначают в соответствии с требованиями нормативных документов.
10.1.12 В районах со сплошным распространением мерзлоты мохорастительный покров или торф для теплоизолирующих слоев заготавливают зимой рыхлением или заблаговременно ранней весной путем послойной разработки его бульдозерами с перемещением в валы и призмы для просушивания. Территория, где намечена заготовка теплоизоляционного материала, должна быть удалена от оси дороги на расстояние, безопасное для сооружения по условиям его устойчивости: на участках 2-го типа местности - не менее чем на 50 м, 3-го типа - не менее чем на 100 м. Теплоизоляционные материалы должны быть уложены большей стороной по направлению преобладающих ветров.
10.1.13 Перед началом основных земляных работ обследуют район проложения трассы для выявления дополнительных карьеров грунтов и уточнения условий технологических особенностей производства работ.
При обследовании определяют:
- места укладки снега, удаляемого с поверхности резервов и карьеров;
- состояние водоотводных канав;
- влажность грунтов в резервах и при необходимости в карьерах.
10.2 Земляное полотно и укрепление откосов
10.2.1 Насыпь, проектируемую по 1-му принципу, следует возводить в зимнее время после промерзания грунта основания на глубину не менее 0,3 м. Нижние слои отсыпают на высоту не более 0,5 м способом "от себя", а последующие - продольным. Насыпь следует сооружать на полную высоту в одну или две стадии: часть отсыпают зимой на промерзшее основание (1-я стадия) и затем доводят до проектной отметки летом (2-я стадия).
Сроки 2-й стадии определяют исходя из условия сохранения грунта под насыпью в мерзлом состоянии.
10.2.2 Насыпь, проектируемая по 2-му принципу, должна быть отсыпана до проектных отметок к сроку, когда оттаивание грунтов основания достигнет расчетной глубины. Работы выполняют в зимний или весенне-летний период либо стадийно.
10.2.3 При использовании для возведения насыпи сухо- и твердомерзлых грунтов на 2-ой стадии предусматривают дополнительное уплотнение нижней части насыпи в теплый период вибрационными катками. В районах с островным распространением мерзлоты при отсыпке насыпей в зимний период талыми грунтами время от их разработки до окончания уплотнения не должно превышать: при температуре воздуха до минус 10 °C - 1,5 ч; от минус 10 °C до минус 20 °C - 1 ч, от минус 20 °C до минус 30 °C - 0,5 ч.
10.2.4 Насыпь из крупнообломочных или песчаных грунтов возводят послойно на полную высоту с их разравниванием и уплотнением. Теплоизолирующую призму на откосах наращивают по мере отсыпки слоев насыпи. Торф для теплоизоляции доставляют транспортными средствами и перемещают на откосы бульдозерами или автогрейдерами. В аналогичном порядке возводят насыпи на торфяных грунтах.
10.2.5 Насыпь на косогоре возводят с соблюдением следующих правил:
- 1-й слой отсыпают способом "от себя" с одновременным устройством дренажной присыпки и разравниванием грунта бульдозером;
- присыпку из мохоторфяного грунта наращивают послойно с одновременной отсыпкой и разравниванием грунта в насыпи и мохоторфяного грунта в присыпке.
10.2.6 Для разработки глинистых грунтов и перемещения их в насыпь осуществляют при допустимой влажности и применяют бульдозеры, скреперы, экскаваторы с транспортными средствами. Переувлажненные грунты предварительно просушивают.
10.2.7 В зависимости от влажности грунты в резервах разрабатывают:
- при верхнем пределе допустимой влажности - в весенний период слоями толщиной от 15 до 20 см по мере их оттаивания;
- влажности от верхнего до нижнего пределов - в летний период слоями по мере их просыхания.
При производстве работ необходимо рационально сочетать указанные способы, обеспечивая первоочередное возведение земляного полотна на участках с более высокой влажностью.
10.2.8 При возведении насыпи из глинистых грунтов из боковых резервов соблюдают следующие требования:
- разрабатывают резервы, начиная с их низовой стороны;
- разравнивают грунт ежедневно после его перемещения в насыпь с приданием поверхности уклона от

до

от оси к бровкам;
- планируют дно и откосы резервов, а также разравнивают валы мохорастительного покрова сразу же после окончания земляных работ;
- послойно уплотняют грунт специальными средствами с соблюдением требуемых норм плотности.
10.2.9 Выемки в глинистых грунтах разрабатывают следующими способами:
а) рыхлением мерзлого грунта взрывами с последующей разработкой экскаваторами в отвал или с погрузкой в транспортные средства;
б) взрывами грунта на выброс или сброс с доработкой экскаваторами и бульдозерами;
в) послойной разработкой грунта по мере его естественного оттаивания на глубину от 15 до 20 см и его перемещением бульдозерами в отвал или кавальеры для последующей погрузки экскаваторами в транспортные средства.
10.2.10 Выемки глубиной не более 2 м разрабатывают по поперечной схеме, а более 2 м - по продольно-участковой схеме. Целесообразно применять комбинированную разработку с использованием обеих схем. Аналогичным способом разрабатывают полувыемки на неустойчивых склонах.
10.2.11 Выемки в льдонасыщенных грунтах устраивают с укладкой теплоизоляционного материала на откосы сразу же после завершения земляных работ. Грунт, подлежащий замене, разрабатывают согласно
перечислениям а),
в) 9.2.9.
10.2.12 Грунт земляного полотна уплотняют, как правило, катками на пневматических шинах, применяя легкие катки (массой не более 10 т) для подкатки и тяжелые (от 25 до 50 т) - для окончательного уплотнения. Необходимое количество проходов катка зависит от принятой нормы плотности, влажности грунта и определяется пробным уплотнением. После возведения земляного полотна откосы крутизной менее 1:3 необходимо доуплотнять легкими катками (массой не более 10 т) с их перемещением по круговой схеме перпендикулярно оси насыпи, а более крутые откосы - планировщиками-уплотнителями.
В таблице 6 приведены условия использования мерзлых грунтов и способы их разработки.
Таблица 6
Разновидность мерзлого песчаного грунта | Условия разработки грунта землеройными машинами | Содержание мерзлых комьев крупнее 25 см при разработке грунта, % | Условия применения | Минимальный коэффициент уплотнения | Относительная осадка при оттаивании в насыпи, доли единицы |
в мерзлом состоянии | после оттаивания |
Сыпучемерзлый | Без рыхления | 0 | Без ограничений по технологическим правилам, установленным для талых грунтов | 0,95 | 0,95 | 0 |
Сухомерзлый | То же | < 50 | Размер мерзлых комьев не должен превышать 30 см. Послойное уплотнение решетчатыми или вибрационными катками | 0,92 | 0,95 | < 0,05 |
Твердомерзлый | С предварительным рыхлением взрывным или механизированным способом | 50 - 80 | В смеси с сыпучемерзлым грунтом - в нижней части насыпи; содержание мерзлых комьев размером до 30 см не более 50%. Послойное уплотнение решетчатыми или вибрационными катками | 0,87 | 0,95 | < 0,12 |
Пластично-мерзлый | То же | > 80 | Только для заготовки в бурты с последующим оттаиванием и просушкой | | Не нормируется |
10.2.13 Для возведения насыпи с теплоизолирующим слоем из торфа в нижней части необходимо:
- удалить бульдозером снег с дорожной полосы;
- заготовленный заблаговременно и просушенный в карьере торф доставить транспортными средствами к месту работ, уложить слоем толщиной от 0,4 до 0,5 м (в рыхлом состоянии) и разровнять бульдозером повышенной проходимости, одновременно уплотняя;
- отсыпать насыпь из минерального грунта: первый слой - способом "от себя", последующие - продольным способом.
10.2.14 Земляное полотно с искусственным теплоизолирующим слоем возводят в следующем порядке:
- удаляют бульдозером снег с дорожной полосы;
- отсыпают из песка выравнивающий слой толщиной не более 0,3 м (в зависимости от неровностей на поверхности), с помощью бульдозера или автогрейдера; укладывают теплоизолирующие плиты на проектную ширину стыками вразбежку, под откосной частью - в два слоя;
- отсыпают 1-й слой насыпи толщиной от 0,5 до 0,6 м из песка способом "от себя", надвигая грунт бульдозером сначала на крайние плиты, затем на средние, не допуская попадания на них крупных комьев мерзлого грунта;
- доводят насыпь до проектной отметки продольным способом.
10.2.15 Насыпь на участках с мелкими буграми пучения следует возводить, увязывая все виды работ по времени и стадийности. На 1-й стадии устраивают выравнивающий слой на высоту бугра пучения, укладывают теплоизоляционный материал и засыпают его слоем грунта от 0,5 до 0,6 м. На 2-й стадии доводят насыпь до проектной отметки с учетом требований, приведенных в
[22].
10.2.16 На участках с несколькими буграми пучения в пределах дорожной полосы необходимо отсыпать сплошной выравнивающий слой с тем, чтобы использовать его в дальнейшем для проезда автомобильного транспорта и дорожных машин. В местах расположения бугров по ходу работ следует закрепить на них выноски и отметить их в попикетной ведомости. До начала оттепели над буграми необходимо уложить теплоизолирующий слой и отсыпать насыпь. При использовании глинистых грунтов работы производят аналогично, соблюдая требования по выполнению земляных работ в зимний период.
10.2.17 Земляное полотно на плоскобугристых торфяниках возводят в следующем порядке:
- после промерзания торфа в мочажинах на глубину не менее 30 см (что позволяет обеспечить проезд машин) удаляют снег с дорожной полосы бульдозером;
- доставляют торф автомобильным транспортом и отсыпают в пределах ширины насыпи по низу, после чего бульдозером перемещают в мочажины способом "от себя";
- отсыпают минеральный грунт насыпи после полного промерзания ранее уложенного слоя торфа в мочажинах, для ускорения которого систематически удаляют выпадающий снег.
10.2.18 На участке с единичными крупными буграми пучения насыпь возводят в следующем порядке:
- расчищают дорожную полосу от снега бульдозером, обеспечивая тем самым быстрое промораживание торфа в мочажинах на глубину от 0,3 до 0,4 м;
- рыхлят и удаляют мерзлый грунт бугра пучения бульдозером - рыхлителем на глубину залегания торфа в примыкающих мочажинах;
- разрабатывают торф в карьере экскаватором с погрузкой в автомобили-самосвалы, доставляют к месту укладки;
- засыпают торф в котлован, разравнивают и уплотняют бульдозером (с запасом на осадку);
- планируют поверхность торфяной засыпки с приданием двускатного профиля в сторону откосов;
- систематически расчищают снег для ускорения естественного промораживания торфа;
- сооружают насыпь из дренирующего грунта после промерзания торфа в котловане.
10.2.19 Сооружение насыпи с геотекстильными прослойками включает следующие операции: подготовку основания, раскатку и выравнивание рулонов по поверхности основания или насыпного слоя, скрепление полотнищ между собой, приемочный контроль за устройством прослоек, отсыпку земляного полотна до проектных отметок.
10.2.20 Перед укладкой геотекстиля в летний период на естественное основание необходимо предварительно засыпать грунтом глубокие ямы или старые колеи на дорожной полосе, удалить кустарник и отдельные деревья без корчевания пней.
В зимний период геотекстиль следует укладывать после промерзания грунта основания на глубину от 30 до 40 см. Снежный покров толщиной более 20 см должен быть удален с основания насыпи.
Если предусматривают укладку геотекстиля на ранее отсыпанный слой земляного полотна, то его поверхность должна быть спланирована с поперечным уклоном

.
10.2.21 Направление раскатки рулонов (вдоль или поперек дороги) зависит от особенностей работы конструкции. Рулоны необходимо раскатывать с максимально возможным натяжением, устраняя перекосы и выравнивая края. Раскатку рулонов следует производить в объеме, соответствующем сменному заданию по отсыпке вышележащего грунтового слоя или укладке плит покрытия, с тем, чтобы к концу смены полностью закрыть все уложенное полотно. Рулоны раскатывают вручную звеном в составе 3 - 5 чел. в зависимости от массы рулона. Производительность раскатки не более 10 тыс. м2 в смену. Уложенное геотекстильное полотно необходимо закреплять на поверхности. Для этого его пригружают комьями грунта или пришпиливают металлическими либо пластмассовыми скобами, вдавливаемыми ручным кассетным приспособлением.
10.2.22 Устройство разделительной прослойки из геотекстиля, а также укрепление им откосов производят путем раскатки рулонов как в продольном, так и в поперечном направлении.
(в ред.
Изменения N 1, утв. Приказом Минстроя России от 30.05.2022 N 430/пр)
10.2.23 Для устройства обойм и полуобойм из геотекстильного полотна рулоны раскатывают в поперечном направлении с запасом по обеим сторонам насыпи, достаточным для смыкания краев в верхней части обоймы или для образования верхних ветвей полуобоймы. После отсыпки грунтового слоя до заданного уровня с послойным разравниванием и уплотнением свободные края полотен заводят на его поверхность с максимальным натяжением. При использовании полотен шириной не менее 4 м и скреплении их между собой допускается раскатывать рулоны в продольном направлении с таким расчетом, чтобы продольные стыки полотен, образующих ограждающие части обоймы или полуобоймы, располагались внутри насыпи не ближе 1,0 м к ее откосам.
Геотекстильный материал засыпают способом "от себя" слоем грунта, минимальную толщину которого определяют по таблице 7, а последующие слои - продольной возкой грунта.
Положение прослойки | Минимальная ширина нахлеста, см | Минимальная толщина засыпки, см |
В теле насыпи | 30 | 40 |
В обойме или полуобойме | 30 | 40 - 50 |
Под сборным покрытием или под гравийным слоем | 10 | - |
На откосе | 20 | 10 - 15 |
| | ИС МЕГАНОРМ: примечание. В официальном тексте документа, видимо, допущена опечатка: таблица 9 отсутствует. Возможно, имеется в виду таблица 7. | |
10.2.24 При устройстве прослоек полотна соединяют в основном внахлест. Ширину нахлеста принимают по
таблице 9.
10.2.25 Если прослойка выполняет армирующую функцию, входит в состав обоймы или полуобоймы и при этом может быть подвержена значительным деформациям в процессе строительства и эксплуатации, то полотна скрепляют сваркой, склеиванием или скобами. При выборе способа скрепления следует учитывать возможность изменения свойств геотекстильного материала в зоне стыка. Так, при сварке ухудшается водопроницаемость полотна, поэтому такой способ не годится для соединения полотен, выполняющих дренажную функцию, например под сборным цементобетонным покрытием.
10.2.26 Полотна сваривают паяльной лампой, бензорезом или газовой горелкой. Прочность сварного шва в зависимости от применяемого оборудования и условий производства работ должна составлять 0,4 - 0,8 прочности полотна. Необходимо учитывать, что в местах сварки водопроницаемость и деформативность геотекстильного материала резко снижаются.
Аналогичным образом отражается на свойствах материала склейка полотен разогретым битумом или полимерным клеем. При склейке особое внимание следует обращать на прочность шва в случае соединения мокрых полотен.
Соединение сшивкой делают с помощью портативных швейных машин.
10.2.27 Для сокращения затрат труда и повышения темпов устройства прослоек целесообразно применять широкие полотна, составленные из двух-трех полотнищ, путем их соединения различными способами на предприятиях-изготовителях или производственных базах строительных организаций. Полученное таким образом полотно складывают по ширине и затем сворачивают в рулон, причем длина полотна и масса рулона должны обеспечивать удобство работ вручную.
10.2.28 Для защиты геотекстильного материала, уложенного на поверхность неподтопляемых откосов, от солнечной радиации и атмосферных осадков устраивают грунтовое покрытие из песка, гравийно-песчаной смеси, торфа. Грунты доставляют из карьеров автомобильным транспортом, разгружают на обочинах и распределяют по откосу слоем требуемой толщины бульдозерами или экскаваторами-планировщиками. В качестве защитного слоя подтопляемых откосов канав используют битумную эмульсию.
10.2.29 Насыпь из глинистых грунтов в нижней части отсыпают слоями по 0,25 - 0,3 м по мере полного промерзания каждого слоя.
10.2.30 Насыпь необходимо возводить в следующем технологическом порядке:
- в осенний период бульдозером повышенной проходимости удаляют мохорастительный покров на ширину насыпи понизу;
- при установлении устойчивых отрицательных температур воздуха систематически расчищают дорожную полосу от снега бульдозером, обеспечивая промерзание грунта основания на глубину не менее 1,0 м;
- доставляют глинистый грунт самосвалами, отсыпают продольным способом, разравнивают слоем расчетной толщины, уплотняют катком на пневматических шинах; таким образом устраивают все слои глинистой части насыпи с их промораживанием;
- торф доставляют из карьера и отсыпают вначале на откосные части насыпи с надвижкой его бульдозером;
- затем торфом закрывают поверхность глинистого грунта, отсыпая слоями по 25 - 30 см с уплотнением и промораживанием каждого;
- отсыпают верхнюю часть насыпи из сыпучего и сухомерзлого песка.
10.2.31 Технологическая последовательность рабочих процессов при сооружении земляного полотна на промороженных основаниях следующая:
- подготовительные работы;
- намораживание торфяной плиты;
- отсыпка насыпи из минеральных грунтов.
10.2.32 Комплекс подготовительных работ включает:
- проминку поверхности болот гусеничными машинами повышенной проходимости;
- расчистку дорожной полосы от снега, древесной и кустарниковой растительности бульдозерами;
- систематическую очистку полосы от выпадающего снега в период промораживания торфяного основания на заданную глубину.
10.2.33 Торфяную плиту устраивают после промерзания основания на глубину, обеспечивающую безопасное движение машин и механизмов. Способ производства работ назначают с учетом типа болот.
10.2.34 Сооружение земляного полотна производят в три этапа:
- на 1-м (осенне-зимний период) - выполняют подготовительные работы и намораживают торфяную плиту;
- на 2-м (предвесенний период) - отсыпают земляное полотно из минеральных грунтов на часть высоты и устраивают теплоизолирующие призмы из торфа;
- на 3-м (летний период) - досыпают земляное полотно из минеральных грунтов до проектной высоты.
10.2.35 При строительстве дороги на болотах I типа плиту намораживают обычно в два слоя из торфа из боковых резервов, поочередно их разрабатывая экскаваторами-драглайнами. При этом экскаватор движется вдоль траншеи и разрабатывает ее за один проход, заготавливая и перемещая в вал количество торфа, требуемое на устройство одного слоя на всю ширину плиты.
Торф в валах выдерживают 2 - 3 сут, пока не снизится его влажность. Затем вал разравнивают, перемещая торф под углом к оси дороги.
Торф уплотняют гусеничными тракторами за пять-шесть проходов по одному следу до плотности скелета торфа в насыпи не менее 0,16 г/см3.
10.2.36 2-й слой плиты устраивают после полного промерзания 1-го в той же технологической последовательности, что и 1-й.
2-му слою торфяной плиты придают серповидный профиль и дополнительно уплотняют поперечными проходами трактора по откосам и телу плиты.
10.2.37 При устройстве торфяной плиты на болотах II и III типов торф заготавливают в карьерах, закладываемых на болотах 1 типа, и транспортируют на дорогу автомобильным транспортом.
Торф разгружают, распределяя равномерно на всю ширину плиты, разравнивают бульдозером слоями по 0,5 - 0,6 м и уплотняют гусеничным трактором.
Каждый последующий слой торфяной плиты устраивают после полного промерзания предыдущего. Последнему слою придают серповидный профиль.
10.2.38 Во всех конструкциях насыпей, возводимых из песчаных и других легкоразмываемых грунтов, откосы укрепляют торфопесчаной смесью с соблюдением следующих правил: смесь требуемого состава приготавливают в карьерах. С этой целью слабо- или среднеразложившийся торф с естественной влажностью от 300% до 400% перемешивают с талым или сыпучемерзлым песком в буртах за несколько (не более 4 - 5) продольных по длине бурта или поперечных проходов бульдозера. Для перемешивания целесообразно также использовать тракторы, оборудованные прямой или обратной лопатой.
10.2.39 Приготовленную торфопесчаную смесь доставляют к месту укладки автомобильным транспортом, разгружают на обочине и верхней части откосов, распределяют бульдозерами на откос в поперечном направлении.
10.2.40 Откосы укрепляют геотекстильным материалом или бетонными плитами; обочины - гравийно-песчаным или щебенистым материалом.
Укрепление обочин производят гравийно-песчаным или щебенистым материалом.
10.2.41 Водоотводные устройства, за исключением лотков, полулотков и дренажных конструкций в выемках, следует сооружать до начала проведения основных земляных работ.
Канавы устраивают:
- весной (по мере оттаивания грунта) - экскаваторами-драглайнами, с обратной лопатой, канавокопателями и бульдозерами;
- летом или осенью (в период максимального оттаивания грунтов) - сразу на полный профиль экскаваторами, канавокопателями и бульдозерами;
- зимой - взрывным способом.
10.2.42 Материал для утепления и укрепления (дерн, мох, торф, камень и бетонные плитки) водоотводных устройств заготавливают заблаговременно и доставляют к месту работы в зимний период.
10.2.43 Бетонные лотки, полулотки и полутрубы изготавливают отдельными секциями на специально оборудованных площадках или доставляют к месту монтажа со специализированных предприятий. Секции монтируют кранами на автомобильном или гусеничном ходу.
10.2.44 Мерзлотные валики устраивают в начале зимы (после промерзания грунта основания на глубину 0,3 м) в следующем порядке:
- грунт доставляют автомобильным транспортом, планируют и уплотняют бульдозерами;
- откосы планируют навесным тракторным планировщиком;
- вдоль подошвы откосов укладывают теплоизоляционный материал и распределяют его на откосы бульдозерами.
10.3.1 Строительство дорожных одежд необходимо осуществлять в соответствии с требованиями
СП 78.13330 и настоящего свода правил.
10.3.2 Цементобетонные основания и нижние слои монолитных покрытий устраивают в зимний период с использованием методов холодного бетона, термоса и электротермоса.
10.3.3 При бетонировании любым из указанных способов бетон выдерживают (не допуская замерзания) до набора им не менее 50% проектной прочности.
10.3.4 Сборные покрытия из железобетонных плит со стыковыми соединениями камерного типа устраивают без подшовных подушек, сваривая стыковые скобы в швах расширения.
10.3.5 Сборные покрытия в зимний период устраивают на заблаговременно подготовленном основании. Перед отсыпкой выравнивающего слоя поверхность основания очищают от снега и льда металлическими щетками, бульдозерами или автогрейдерами. Монтажный слой устраивают из талого или сыпучемерзлого грунта.
10.3.6 При устройстве теплоизолирующих слоев из ИТМ поверхность земляного полотна тщательно выравнивают профилирующими машинами и уплотняют грунт. Для обеспечения равномерного опирания плит окончательно выравнивают поверхность земляного полотна песком. Плиты пенопласта укладывают на сухую поверхность грунта. При двух- и трехъярусном теплоизолирующем слое швы нижележащего ряда плит перекрывают вышележащими плитами. Для того чтобы в процессе укладки и засыпки избежать смещения и сдувания ветром легких плит, их следует присыпать песком или гравием.
10.3.7 Первый над ИТМ конструктивный слой дорожной одежды устраивают пионерным способом (вперед "от себя"), причем для предохранения пенополистирола от механических повреждений дорожно-строительными машинами и автомобильным транспортом толщина конструктивного слоя не должна быть менее 15 см.
10.3.8 Вне зависимости от сезона производства работ при устройстве геотекстильной прослойки под сборным покрытием расстояние от краев отдельных полотен до параллельных им швов или кромок покрытия должно быть не менее 0,5 м.
10.3.9 Посадку плит, а также сварку скоб, заделку стыков и омоноличивание швов производят только в теплый (весенне-летний) период года после устранения обнаруженных дефектов. Сроки выполнения работ должны быть предусмотрены в проекте.
10.3.10 Для приготовления холодных асфальтобетонных смесей наряду с битумами заводского производства допускается применять битумы, приготовленные на месте путем смешения вязких дорожных битумов с разжижителями.
10.3.11 Асфальтобетонную смесь укладывают на основание из железобетонных плит после выполнения следующих операций:
- очистки поверхности покрытия от пыли и грязи и удаления выступающей над ней арматуры;
- исправления неровностей сборного покрытия асфальтобетонной смесью с предварительной подгрунтовкой поверхности жидким битумом или битумной эмульсией либо перекладкой плит при высоте уступов более 5 см;
- подгрунтовки всей поверхности сборного покрытия жидким битумом или битумной эмульсией;
- укладки в местах расположения поперечных швов, сборного покрытия полос шириной от 0,75 до 1,0 м из геотекстиля или сетки из стекловолокна.
10.3.12 Максимальная продолжительность транспортирования асфальтобетонной смеси, минимальная температура ее укладки и продолжительность уплотнения определяются с учетом конкретных условий строительства. Ориентировочные значения указанных параметров могут быть приняты в соответствии с
СП 78.13330.
10.3.13 Основание под асфальтобетонные и другие покрытия подготавливают до наступления отрицательных температур воздуха. Непосредственно перед устройством покрытия основание тщательно очищают от пыли и грязи, а мокрое, заснеженное - просушивают специальными нагревателями или горячим песком.
10.3.14 Холодные смеси при температуре воздуха ниже 5 °C уплотняют немедленно после их укладки тяжелыми (весом 10 - 12 т) катками. Количество одновременно работающих катков увеличивают в 1,5 - 2 раза по сравнению с потребностью в них в обычных условиях.
10.3.15 На участках 1-го типа местности нежесткие дорожные одежды допускается устраивать сразу же после возведения земляного полотна, а жесткие - через год после сооружения насыпи с учетом допустимой осадки.
На участках 2-го типа местности дорожные одежды низшего, переходного и облегченного типов можно устраивать в год завершения земляных работ, а с асфальто- и цементобетонными покрытиями - через год эксплуатации дороги с учетом величины допустимой осадки
(приложение Д).
На участках 3-го типа местности дорожные одежды переходного и облегченного типов допускается устраивать через год после сооружения насыпи, а с асфальто- и цементобетонными покрытиями - через 2 года.
На всех типах местности по согласованию с заказчиком и при технико-экономическом обосновании дорожную одежду можно устраивать в две стадии.
На насыпях, устроенных гидромеханизированным способом, все типы оснований и покрытий можно устраивать сразу после отсыпки земляного полотна до проектных отметок.
10.3.16 На автомобильных дорогах, в том числе и промышленных, объем заменяемых на 2-й стадии плит при устройстве сборных железобетонных покрытий устанавливает комиссия, состоящая из представителей финансирующей, проектной и строительной организаций, после освидетельствования покрытия по 1-й стадии и составления акта на списание разрушенных плит сверх 5%.
10.4 Водопропускные трубы
10.4.1 Строительство железобетонных труб необходимо осуществлять, руководствуясь указаниями
СП 35.13330,
СП 46.13330, а металлических гофрированных труб - требованиями, приведенными в
[23] и настоящего свода правил.
10.4.2 На водотоках, где предусмотрено сохранение грунтов основания в мерзлом состоянии, все виды строительно-монтажных работ следует выполнять в холодный период года. Кроме того, необходимо:
- строительную площадку организовывать с низовой стороны искусственного сооружения на расстоянии не менее 70 м от него;
- не допускать пересечения трассы построечными дорогами на расстоянии менее 50 м от оси сооружения;
- подъезды к местам строительства сооружения и стоянок механизмов устраивать на грунтовых подсыпках толщиной не менее 0,5 м.
10.4.3 На водотоках, где допускается оттаивание грунтов основания, строительно-монтажные работы можно выполнять в любой период года.
При производстве работ в летнее время необходимо:
- располагать строительную площадку в соответствии с требованиями
10.4.2;
- отсыпать грунтовые площадки толщиной не менее 0,5 м под места стоянок механизмов и располагать их на расстоянии не менее 50 м от оси трубы;
- строить временные искусственные сооружения (деревянные, из металлических труб) для пропуска поверхностных вод.
10.4.4 При производстве работ в летний период интервал между устройством котлована и закладкой фундамента или грунтовой подушки не должен превышать 24 ч.
10.4.5 При бурении скважин и установке свай в мерзлых грунтах не допускается применение воды, пропаривание и любые другие способы предварительного оттаивания грунтов.
Подготовленную скважину закрывают щитом для предотвращения попадания в нее атмосферных осадков, грунта и случайных предметов.
Сваи устанавливают в скважины не позднее чем через 3 сут после окончания бурения.
10.4.6 Сборные фундаменты устраивают так же, как и в обычных условиях. Швы между блоками заполняют цементопесчаным раствором с водоцементным отношением не более 0,5.
В зимнее время поверхность блоков перед заполнением швов необходимо прогревать горячим воздухом.
10.4.7 Монолитные фундаменты и плиты свайных ростверков необходимо устраивать из жесткой смеси, приготавливаемой на быстротвердеющем цементе с пластифицирующими добавками.
В зимний период укладываемую смесь защищают от охлаждения и замерзания тепляками, обогреваемыми горячим воздухом, электричеством или паром.
10.4.8 Пазухи между боковыми поверхностями котлована и фундамента необходимо засыпать суглинком или глиной оптимальной влажности слоями 20 см каждый и уплотнить до значений не менее 0,95 максимальной плотности. Категорически запрещается засыпать обводненные пазухи.
10.4.9 При устройстве бесфундаментных труб на грунтовых подушках котлованы (траншеи) следует заполнять дренирующим грунтом слоями по 20 - 30 см и уплотнять механизмами виброударного и вибротрамбующего действия или катками.
10.4.10 При монтаже железобетонных труб запрещается укладка звеньев труб "насухо". Во всех случаях должна быть предусмотрена подготовка из цементного раствора марки 150 с водоцементным отношением не выше 0,65 при глубине погружения конуса от 6 до 8 см.
Монтаж металлических гофрированных труб и устройство дополнительного защитного покрытия должны быть выполнены в соответствии с требованиями
[23].
10.4.11 Построенные и принятые (с составлением акта) железобетонные трубы необходимо засыпать грунтом одновременно с обеих сторон слоями толщиной от 15 до 20 см с уплотнением до требуемых значений. Толщина грунтового слоя над трубой должна быть не менее 1 м.
Для того чтобы повысить несущую способность гофрированной трубы и надежность ее работы, рекомендуется до засыпки придать ее поперечному сечению овальность с большей осью по вертикали, увеличив вертикальный диаметр до 3% номинального, путем закрепления сечения стойками или путем устройства жесткого слоя засыпки.
10.4.12 На автомобильных дорогах III - V категорий в качестве водопропускных труб допускается применять некондиционные толстостенные металлические трубы.
10.4.13 Материал для укрепления подводящих и отводящих русел (дерн, мох, торф, бутовый камень и бетонные плиты) заготавливают и завозят к месту строительства заблаговременно, а укрепительные работы проводят в весенний период до начала таяния грунта основания.
10.5.1 Грунты в карьерах разрабатывают двумя способами:
- бульдозерами послойно по мере радиационного оттаивания с перемещением в бурты и последующей погрузкой экскаваторами в транспортные средства;
- прямой экскавацией и погрузкой в транспортные средства.
Первым способом следует разрабатывать сухо- и твердомерзлые грунты, 2-м - сыпучемерзлые. Экскавацию грунта из буртов осуществляют в летнее время или зимой после просушивания.
10.5.2 Глинистые грунты допустимой влажности и при отсутствии крупных камней разрабатывают скреперами, а в остальных случаях - бульдозерами. При достаточной площади карьеров и проектной глубине их разработки не более 4 м следует максимально использовать летний период для радиационного оттаивания и послойной срезки грунта с перемещением в бурты.
10.5.3 Для обеспечения ежесуточного оттаивания необходимого объема грунта подбирают соответствующую площадь карьера, ширину которого назначают в зависимости от производительности машины (для бульдозера не более 100 м), а длину рассчитывают с учетом скорости оттаивания грунта. Площадь карьера разбивают на захватки для последовательной разработки оттаивающих грунтов.
В карьерах, которые требуется разрабатывать на максимальную глубину в течение одного летнего сезона, оттаявшие слои необходимо удалять ежедневно, но не реже чем через 3 сут.
10.5.4 При послойном оттаивании грунт перемещают в промежуточные валы для просушивания и прогрева, а затем в накопительные бурты. Разработку талых слоев грунта необходимо начинать с нижней части карьера. На этом участке следует чаще удалять слои, чтобы увеличить уклон дна карьера и ускорить стекание воды.
Промежуточные валы из оттаявшего грунта возводят высотой не более 2,5 м, шириной по низу не более 6 м и выдерживают для просушивания в зависимости от вида грунта:
- песка средней крупности - 1 - 2 сут;
- пылеватого песка с содержанием пылеватых и глинистых частиц не более 5% - 4 - 5 сут, от 5% до 13% - 6 - 7 сут;
- супеси - 10 - 12 сут.
Предварительно подсушенные пылеватые пески с содержанием пылеватых и глинистых частиц от 5% до 13% и супеси в дальнейшем укладывают в накопительные бурты тонкими слоями (не более 0,5 м) для последующего просыхания. Укладку осуществляют бульдозерами способом надвижки или экскаваторами.
10.5.5 Бурты, предназначенные для разработки в зимний период, необходимо отсыпать высотой, превышающей глубину их возможного сезонного промерзания, и защищать теплоизолирующими покрытиями из местных (мох, торф, снег и др.) и искусственных (полимерные или водновоздушные замерзающие пены) материалов.
10.5.6 Грунт в карьерах и буртах зимой следует разрабатывать с соблюдением следующих правил:
- снег с поверхности удалять из расчета освобождения площади грунта, которую экскаваторы могут разработать за одну смену, а в сильные морозы - за половину смены;
- передвижение транспортных средств осуществлять по дну разрабатываемого карьера;
- разработку буртов и карьеров, расположенных на склоне, начинать с низовой стороны.
10.5.7 Бурты грунта, предназначенные для разработки в летний период, следует располагать в карьере по направлению господствующих ветров, а в зимний - перпендикулярно этому направлению (для накопления утепляющих снежных отложений). Во всех случаях высота буртов должна быть не менее 6 м для обеспечения требуемой производительности экскаваторов.
10.5.8 При острой необходимости и соответствующем технико-экономическом обосновании допускается разрабатывать мерзлые грунты с температурой выше минус 0,3 °C тяжелыми тракторными рыхлителями с тяговым усилием на крюке не менее 200 кН, при температуре ниже минус 0,3 °C - с предварительным рыхлением буровзрывным способом.
10.5.9 Торф в карьерах разрабатывают в зимний период экскаваторами-драглайнами или с обратной лопатой. При этом на поверхности болот устраивают промороженные полосы путем расчистки снежного покрова.
10.6 Контроль, приемка и оценка качества работ
10.6.1 Контроль, приемку и оценку качества работ осуществляют, руководствуясь требованиями
СП 78.13330 и положениями настоящего свода правил.
10.6.2 При сооружении земляного полотна контролируют:
- сохранность мохорастительного покрова в основании насыпей и в пределах охранной зоны;
- соблюдение сроков выполнения подготовительных и основных работ;
- глубину промерзания (оттаивания) грунтов основания и отсыпаемых слоев насыпи;
- толщину теплоизолирующих слоев, отсыпаемых на всех конструктивных элементах (в нижней части, на откосах и на поверхности глинистого грунта, уложенного в нижней части насыпи);
- требуемую плотность при послойном уплотнении грунтов;
- качество стыковки полотен геотекстильного материала.
10.6.3 Освидетельствованию и приемке с оформлением соответствующих актов подлежат: качество расчистки основания (удаление снега и древесной растительности, ликвидация глубоких ям и колей); толщина, степень уплотнения и качество теплоизолирующих слоев насыпей; размеры в плане и глубина удаления бугра пучения, толщина отсыпанного при ликвидации бугра торфяного слоя; толщина, степень уплотнения и промораживания намораживаемых торфяных плит; высота нижней части насыпи из промороженных глинистых грунтов; качество грунтов, уложенных в верхней части насыпи (соответствие проекту, степень уплотнения); геометрические размеры берм и теплоизолирующих слоев и качество их устройства на откосах; качество уложенного геотекстильного материала (сплошность полотен величина нахлеста, способ стыковки полотен).
10.6.4 Промежуточные приемки осуществляют комиссии, которые определяют качество строительства и возможность производства последующих работ.
10.6.5 При устройстве дорожных одежд в зимнее время должно быть обеспечено регулярное получение ежедневных метеорологических данных и краткосрочных прогнозов по температуре наружного воздуха, скорости и направлению ветра, осадкам.
11 Охрана окружающей среды
11.1.1 Комплекс природоохранных мероприятий, выполняемых при строительстве автомобильной дороги, должен обеспечивать рациональное использование водных и земельных природных ресурсов и устойчивость инженерных сооружений в процессе их строительства и эксплуатации.
11.1.2 Основными принципами рационального использования при строительстве в районах ММ являются преобразование ландшафтов в пределах территории отвода с целью сбалансированного повышения биологической продуктивности осваиваемой территории и направленное изменение инженерно-геологических (прежде всего мерзлотных) процессов в грунтах земляных сооружений, их оснований и прилегающих территорий, обеспечивающие наименьшие приведенные строительные и эксплуатационные затраты.
11.1.3 Проектирование природоохранных мероприятий необходимо выполнять на основе многовариантных расчетов и прогноза развития мерзлотных процессов в пределах осваиваемых территорий в результате строительства и эксплуатации автомобильной дороги и ее инфраструктуры.
11.1.4 Природоохранные мероприятия должны включать комплекс организационных, конструктивных и технологических технических решений.
К организационным мероприятиям относятся:
- обучение рабочих и служащих основным правилам ведения работ в условиях неустойчивых природных ландшафтов и экологических систем с разъяснением возможных экономических и социальных последствий их разрушения при строительстве;
- оборудование рабочих площадок средствами наглядной агитации, разъясняющими необходимость и пути повышения культуры производства работ при строительстве автомобильных дорог в районах вечной мерзлоты;
- разработка соответствующих разделов по рациональному природопользованию в проектах производства работ.
К конструктивным мероприятиям относятся:
- выбор и назначение конструкций земляного полотна, вызывающих минимальные изменения сложившихся мерзлотно-грунтовых и гидрологических условий на территории строительства;
- применение конструктивных элементов земляного полотна, выполняемых из материалов, обладающих свойствами, позволяющими управлять мерзлотными и гидрологическими процессами в грунтах оснований и на окружающей территории. К ним относятся скальные, торфяные или глинистые грунты и другие материалы, используемые в виде покрытий откосов или прослоек разной толщины в теле насыпи;
- уменьшение размеров водоводов, включая замену продольного водоотвода поперечным, на участках пересечения марей и замерзлоченных склонов, размещение продольного водоотвода на расстоянии не ближе 5 м от подошвы откосов.
К технологическим мероприятиям относятся:
- регламентация сроков, состава, последовательности и режимов выполнения подготовительных и основных работ с учетом сезонной изменчивости несущей способности грунтов;
- устройство и текущее содержание технологических, в том числе притрассовых автодорог, проездов от трубопроводов (при гидромеханизированном способе сооружения земляного полотна);
- комбинирование различных технологий сооружения земляного полотна, в том числе гидромеханизированного, буровзрывного и "сухого" способов производства земляных работ с целью сокращения общей площади отвода территории под карьеры и технологические дороги;
- рекультивация и мелиорация карьеров и территорий отвода, укрепление откосов земляного полотна.
11.1.5 На участках сооружения земляного полотна с использованием грунтов оснований в мерзлом состоянии все технологические, конструктивные и организационные мероприятия должны обеспечивать минимальное нарушение естественного поверхностного покрова и его полное восстановление после завершения строительства.
11.1.6 На участках трассы, сложенных пылеватыми мерзлыми грунтами с продольным уклоном более 0,04, водоотводные канавы необходимо укреплять немедленно после их сооружения во избежание оврагообразования. На таких участках не допускается свободный сброс сточных вод.
11.2 Природоохранные мероприятия при проектировании автомобильных дорог
11.2.1 Проектирование, строительство автомобильных дорог в зоне ММГ должны удовлетворять требованиям, приведенным в [
5,
6,
7,
8].
11.2.2 Для оценки современного (фактического) состояния и прогноза возможных изменений компонентов окружающей среды выполняются инженерные изыскания, в том числе и экологические. С учетом данных изысканий прорабатывают проектные решения.
11.2.3 Выбор размещения автомобильной трассы осуществляется на основе рассмотрения и сравнения вариантов, включая вариант отказа от строительства.
11.2.4 Все технические решения при выборе основных элементов плана трассы, продольного и поперечного профиля, конструкций дорожных одежд и водоотводных сооружений, назначения методов строительства и т.д., кроме своей основной задачи обеспечение и надежности дороги, экономичности ее строительства и эксплуатации должны оказывать минимальное воздействие на сложившиеся природные комплексы.
11.2.5 Природоохранные мероприятия должны учитывать специфику окружающей флоры и фауны, климата местности и почвенно-геологические условия.
11.2.6 Предусматривающие в проектах природоохранные мероприятия должны обеспечивать:
- сохранение природных ландшафтов, территорий для которых установлен режим особой охраны (особо охраняемые природные территории, ООПТ);
- максимальную экономию земельных ресурсов, отводимых для размещения автомобильных дорог;
- защиту атмосферного воздуха от выбросов загрязняющих веществ;
- защиту от шума и вибраций населенных мест, расположенных в районе проектирования;
- предотвращение загрязнения бассейнов поверхностных водных объектов и подземных вод жидкими и твердыми отходами, а также попадания в поверхностные и подземные воды загрязненных стоков;
- условия безопасного обращения с отходами;
- защиту растительного и животного мира.
11.2.7 Устанавливают границы охранной зоны автомобильных дорог.
11.2.8 При наличии в зоне строительства ООПТ, памятников истории или культуры, а также уникальных природных феноменов (особые геологические формы, водные источники, ценные экземпляры деревьев и т.п.) проектные решения следует принимать с учетом
[9] и
[10].
11.3 Природоохранные мероприятия при строительстве автомобильных дорог
11.3.1 Возведение земляного полотна должно быть осуществлено с учетом
ГОСТ 17.4.3.02.
11.3.2 Ширину полосы постоянного отвода земли устанавливают с учетом показателей норм отвода земель для автомобильных дорог.
11.3.3 Временные базы строительных подразделений, карьеры и резервы, а также подъездные пути следует устраивать на территориях с повышенной устойчивостью к техногенным воздействиям:
- с выходами на поверхность земли скальных и крупнообломочных пород;
- на дренированных ровных участках; на возвышенных участках местности и относительно пологих склонах, сложенных малопросадочными грунтами.
11.3.4 При выборе участков под строительные площадки (базы) необходимо учитывать внешние признаки возможного проявления неблагоприятных криогенных процессов. Не следует выбирать участки, примыкающие к оврагам, особенно к их верховьям или отвершкам, а также участки с широким распространением бугров, гряд пучения и бугристых торфяников.
11.3.5 Строительную площадку необходимо выравнивать в начале зимы после промерзания грунта основания на глубину от 30 до 40 см и при необходимости подсыпать грунт для обеспечения продвижения транспорта и механизмов без нарушения поверхности.
11.3.6 В подготовительный период работы по вырубке древесно-кустарниковой растительности, удаления бугров пучения, снятия мохорастительного слоя выполняют с учетом принципа проектирования земляного полотна.
11.3.7 Не допускается устройство просеки "в задел".
11.3.8 Расчистку дорожной полосы и площадок для дорожных сооружений от древесно-кустарниковой растительности следует выполнять в строго отведенных границах.
11.3.9 Сплошная валка леса и удаление кустарника бульдозерами или кусторезами с их перемещением вместе с корнями и почвой на границу дорожной полосы запрещается.
11.3.10 В охранной зоне автомобильной дороги запрещается:
- рубка древесно-кустарниковой растительности;
- нарушение мохорастительного покрова;
- проезд автомобильного транспорта.
11.3.11 Конструкции и технологии возведения земляного полотна, в том числе и сроки производства работ, должны строго соответствовать принятым проектным решениям.
11.3.12 Карьеры, резервы и другие временно отведенные территории после окончания должны быть рекультивированы в соответствии с
ГОСТ 17.5.3.04. Необходимо демонтировать все временные сооружения, убрать мусор, выровнять поверхность и распределить на обнаженных участках дерново-моховой слой, просеять траву или провести биологическое закрепление слоя (гидропосев, посадка древесно-кустарниковой растительности в сочетании с известкованием, внесением минеральных и органических удобрений).
11.3.13 При прохождении автомобильной дороги через водотоки при устройстве водопропускных труб или мостовых переходов в границах водоохранных зон все работы следует проводить с учетом положений
[8].
11.3.14 Если водный объект имеет рыбопромысловое значение, то в проекте следует предусмотреть меры по защите водной фауны.
11.3.15 Воздействие проектируемого объекта на компоненты окружающей среды определено расчетами в соответствии с нормативно-методическими документами.
11.3.16 При нарушении естественной миграции животных следует предусматривать специальные проходы для животных.
11.3.17 На особо опасных участках дорог необходимо устанавливать предупредительные знаки о наличии животных. Для предупреждения появления животных на дороге высота ограждения должна быть не менее 2,6 м.
Для отпугивания животных от дороги в ночное время следует применять специальные приспособления (катафоты и т.п.).
КАТЕГОРИИ СЛОЖНОСТИ ИНЖЕНЕРНО-ГЕОЛОГИЧЕСКИХ
И ИНЖЕНЕРНО-ГЕОКРИОЛОГИЧЕСКИХ УСЛОВИЙ
А.1 Требования к категориям сложности инженерно-геологических и инженерно-геокриологических условий приведены в
[14].
РАСЧЕТ НАСЫПИ НА УСТОЙЧИВОСТЬ
Б.1 Устойчивость насыпи обеспечивается ее высотой, при которой ВГММГ будет сохраняться в критический по балансу тепла год не более одного раза в 11 лет на требуемой (допустимой) глубине и осадка насыпи при этом в оттаявшие грунты основания не будет превосходить допустимой величины.
На
рисунке Б.1 приведена блок-схема расчета насыпи на устойчивость.
Б.2 Ориентировочные значения допустимой осадки
Sдоп, см, для дорожных одежд:
- капитального типа с цементобетонным покрытием - 2;
- с асфальтобетонным покрытием - 4;
- со сборным цементобетонным покрытием - 10;
- облегченного типа с усовершенствованным покрытием - 6;
- переходного типа - 10;
- низшего типа - 15.
Б.3 При проектировании насыпи по 1-му принципу осадка в процессе эксплуатации дороги не допускается. В этом случае
где H - высота насыпи, м;
Hк - глубина сезонного оттаивания конструкции, включающей земляное полотно и дорожную одежду, м.
Б.4 Для конструкции насыпи, состоящей из двух или трех слоев с резко отличающимися теплофизическими характеристиками, глубину сезонного оттаивания каждого слоя рассчитывают по формулам:
верхнего (дорожная одежда)

(Б.2)
нижнего (материал основания или грунт земляного полотна)

(Б.3)
нижнего (грунт земляного полотна или основания)

(Б.4)
где Hс1, Hс2, Hс3 - глубина сезонного оттаивания соответственно верхнего и нижних слоев, м;
Hн - нормативная глубина сезонного оттаивания 1-го, 2-го и 3-го слоев, определяемая по
СП 25.13330;
К
w - поправочный коэффициент на расчетную влажность материала дорожной одежды и грунта насыпи, принимается по графикам на картах (
рисунки Б.2,
Б.3);
Кп - коэффициент, учитывающий интенсивность оттаивания материала дорожной одежды; принимают для песка - 1,0, крупного чистого песка - 1,05, песка с гравием - 1,13, гравия и гальки - 1,21, щебня и дресвы - 1,25, асфальтобетона - 1,30, цементобетона - 1,37.
Б.5 Влажность слоев дорожной одежды и грунта насыпи при определении значения Кw в расчетах принимают близкой к оптимальной, %:
цементобетонное покрытие | 2 |
асфальтобетонное покрытие | 1 |
основание под покрытие: | |
песчаное | 6 |
щебеночное | 4 |
из гравийно-галечникового и щебенистого грунта | 5 |
из песка: | |
мелкого и среднего | 8 |
пылеватого | 10 |
из супеси | 12 |
из суглинка | 15 |
из глины | 20 |
Рисунок Б.1 - Блок-схема расчета насыпи на устойчивость
С учетом
формул (Б.2) -
(Б.4) глубину сезонного оттаивания конструкции насыпи определяют по методу эквивалентных слоев:
при двух слоях:

(Б.5)
при трех слоях:

(Б.6)
Б.6 При проектировании насыпи по 2-му принципу высоту насыпи вычисляют по формуле

(Б.7)
где
Hд.с - мощность деятельного (сезоннооттаивающего) слоя, устанавливаемая по данным изысканий или расчетом по
формулам (Б.4) -
(Б.6) при естественной влажности грунта, м;
e - относительная осадка грунта основания после его оттаивания под нагрузкой доли единицы, определяемая согласно
СП 25.13330;
Sс - строительная осадка, зависящая от сезона производства земляных работ, м, определяется согласно
приложению В.
1 - крупный песок; 2 - средний песок;
3 - мелкий и пылеватый песок
Рисунок Б.2 - Относительная осадка песчаных грунтов
при оттаивании под нагрузкой 0,075 МПа
При наличии в основании насыпи глинистых грунтов с крупнообломочными включениями относительную осадку, определенную по графикам, корректируют с помощью коэффициента
(таблица Б.1).
При сливающейся мерзлоте расчетную относительную осадку при оттаивании под насыпью органических грунтов принимают:
для торфяных грунтов:
лесотопяная залежь .............................................. 0,40;
топяная залежь .................................................. 0,45;
ненарушенного мохоторфяного покрова, включая почвенный слой .... 0,30;
теплоизолирующих слоев из торфа и мха ........................... 0,35.
Наименование грунтов | Коэффициент, учитывающий содержание крупных фракций, % |
25 - 35 | 35 - 50 |
Супесь: | | |
легкая | 1,0 | 0,5 |
тяжелая пылеватая | 0,8 | 0,6 |
Суглинок: | | |
легкий | 0,8 | 0,6 |
тяжелый | 0,8 | 0,5 |
Глина | 0,8 | 0,55 |
Б.7 Если предусмотрено предварительное оттаивание и осушение грунтов основания, то высоту насыпи вычисляют по формуле

(Б.8)
где Hт.е - глубина предварительного оттаивания грунтов основания до возведения земляного полотна, м;
S1 - осадка грунтов основания после предварительного оттаивания под действием собственного веса, м;

(Б.9)
где
Aо - коэффициент оттаивания грунтов; определяют экспериментально или принимают по
Б.7;
aо - коэффициент уплотнения грунтов основания, см2/кгс; определяют экспериментально или принимают по таблице Б.2 настоящего приложения;

- плотность талого грунта, кг/см
3.
Таблица Б.2
Грунт | Aо | aо, см2/кгс |
Глина, суглинок тяжелый пылеватый | 0,05 - 0,08 | 0,07 - 0,12 |
Суглинок легкий, легкий пылеватый | 0,03 - 0,05 | 0,06 - 0,09 |
(в ред. Изменения N 1, утв. Приказом Минстроя России от 30.05.2022 N 430/пр) |
| | ИС МЕГАНОРМ: примечание. Текст в графе "Aо" дан в соответствии с официальным текстом документа. | |
|
Суглинок с включением гравия | 0,01 - ,03 | 0,03 - 0,05 |
Супесь пылеватая, легкая | 0,02 - 0,04 | 0,04 - 0,06 |
Песок пылеватый | 0,01 - 0,02 | 0,02 - 0,03 |
| | ИС МЕГАНОРМ: примечание. В официальном тексте документа, видимо, допущена опечатка: рисунок Б.8 отсутствует. Возможно, имеется в виду рисунок Б.3. | |
Значения коэффициентов Aо и aо для торфов определяют по рисунку Б.8.
Рисунок Б.3 - Зависимость коэффициента уплотнения
aо (1)
и оттаивания Aо (2) от влажности торфа Wотн
Б.8 При использовании геотекстиля в конструкциях насыпей их высоту, полученную по
формулам (Б.1),
(Б.7), умножают на коэффициент
Кст = 0,88, учитывающий охлаждающее влияние геотекстильной прослойки на глубину оттаивания принятой конструкции насыпи.
Б.9 Высоту насыпей H, м, проектируемых с теплоизолирующим слоем из искусственных материалов в основании, вычисляют по формуле

(Б.10)
где
Hн - нормативная глубина сезонного оттаивания грунта насыпи, м; определяется по
СП 25.13330;
| | ИС МЕГАНОРМ: примечание. Обозначение дано в соответствии с официальным текстом документа. | |
h - толщина теплоизолирующего слоя, м;

,

, - коэффициенты теплопроводности соответственно теплоизоляционного материала и грунта насыпи, Вт/(м·К) определяют по
СП 25.13330;
C, C
г - удельная теплоемкость соответственно теплоизоляционного материала и грунта насыпи, Дж/(кг·К), определяемая согласно
СП 25.13330;
1,5 - коэффициент, м.
Пример 1. Автомобильную дорогу в районе пос. Ямбург (l1 дорожно-климатическая подзона) проектируют по 1-му принципу. Грунт в основании насыпи - тяжелый суглинок влажностью 40% и с числом пластичности Jп = 17. Предусмотрено возведение насыпи из мелкозернистого песка. Покрытие дороги - сборное из железобетонных плит типа ПАГ-14 толщиной 14 см, укладываемых на укрепленное цементом песчаное основание толщиной 16 см. Требуется определить высоту насыпи.
Поскольку насыпь состоит из трех слоев, то определяют глубину оттаивания каждого слоя:
- верхнего (покрытие) - по
формуле (Б.2), где

(по
рисунку Б.2); поправочный коэффициент на влажность (2%) К
w = 1,1; К
п = 1,37:
Hс1 = 2,6·1,1·1,37 = 3,92 м;
- нижнего (укрепленное песчаное основание) - по
формуле (Б.3), где

(по
рисунку Б.2); поправочный коэффициент на влажность (6%) К
w = 0,98:
Hс2 = 2,6·0,98 = 2,55 м;
| | ИС МЕГАНОРМ: примечание. В официальном тексте документа, видимо, допущена опечатка: рисунок Б.4 отсутствует. | |
- нижнего (мелкозернистый песок насыпи) - по
формуле (Б.4), где

(по рисунку Б.4); поправочный коэффициент на влажность (8%) песчаного грунта, подстилаемого глинистым, К
w = 0,92:
Hс3 = 2,4·0,92 = 2,2 м.
Если учесть, что толщина дорожной одежды - 0,3 м, то земляное полотно следует отсыпать на высоту
H = 2,28 - 0,30 = 1,98 м.
Пример 2. Исходные данные те же, что и в примере 1.
Насыпь проектируют по 2-му принципу с прослойкой геотекстиля в нижней части. Насыпь возводят в летний период. Требуется определить высоту насыпи.
Показатель
Hк = 2,28 м. Так как нет данных изысканий, определяют мощность деятельного (сезоннооттаивающего) слоя

, поправочный коэффициент на влажность (40%) К
w = 0,85;
получаем: Hд.с = 1,8·0,85 = 1,53 м.
Допустимая осадка сборного цементобетонного покрытия
(Б.2) Sдоп = 0,02 м. Относительная осадка при оттаивании глинистых грунтов основания при
W = 40% и
Jп = 17 по графику
(рисунок Б.2) e = 0,07.
Строительная осадка согласно расчетам по
формуле (Б.7) составляет
Sс = 0,12 м.
Тогда высоту насыпи H, м, вычисляют следующим образом:
Высоту насыпи с учетом слоя геотекстиля H, м, вычисляют следующим образом:
H = 2,01·0,88 = 1,76 м.
Если учесть, что толщина дорожной одежды 0,3 м, то земляное полотно следует отсыпать на высоту
H = 1,76 - 0,30 = 1,46 м.
Пример 3. Автомобильную дорогу в районе г. Салехарда проектируют с асфальтобетонным покрытием. По данным изысканий, супесчаный грунт основания имеет влажность 18%, а, по данным лабораторных испытаний, Wт = 19%, gт = 1,6 т/м3.
После снятия мохорастительного покрова с дорожной полосы и устройства водоотводных канав за год до начала основных работ влажность супесчаного грунта основания в результате осушения снизилась до 16%.
Дорожная одежда включает двухслойный асфальтобетон толщиной 10 см на щебеночном основании толщиной 15 см, подстилаемом слоем гравийно-песчаной смеси толщиной 15 см. Земляное полотно предусмотрено отсыпать из крупнозернистого песка. Требуется определить высоту насыпи, которую вычисляют по
формуле (Б.8).
Поскольку насыпь состоит из трех слоев, то определяют глубину оттаивания каждого слоя:
- верхнего (покрытие) - по
формуле (Б.2), где

(по
рисунку Б.1), поправочный коэффициент на влажность (1%) К
w = 1,1; К
п = 1,30:
Hс1 = 3,0·1,1·1,30 = 4,3 м;
Hс2 = 3,0·0,98 = 2,94 м;
| | ИС МЕГАНОРМ: примечание. В официальном тексте документа, видимо, допущена опечатка: рисунок Б.4 отсутствует. | |
- нижнего (грунт земляного полотна) - по
формуле (Б.4), где

(по рисунку Б.4 поправочный коэффициент на влажность (8%) песчаного грунта, подстилаемого глинистым, К
w = 0,92:
Hс3 = 2,8·0,92 = 2,56 м.
Определяют глубину предварительного оттаивания грунта основания до возведения земляного полотна по
рисунку Б.3, поправочный коэффициент на влажность (16%) К
w = 0,96:
Hт = 2,2·0,96 = 2,16 м.
| | ИС МЕГАНОРМ: примечание. В официальном тексте документа, видимо, допущена опечатка: рисунок Б.7 отсутствует. | |
Относительная осадка e = 0,05 по графику (рисунок Б.7) при влажности 16% и Jп = 7.
Осадку грунтов
S, после предварительного оттаивания вычисляют по
формуле (Б.9), определив по
Б.7 коэффициенты
Aо, и
aо (
Aо = 0,03;
aо = 0,005 м
2/т):
Высота насыпи
Учитывая, что толщина дорожной одежды - 0,4 м, высота земляного полотна будет равна
H = 1,56 - 0,40 = 1,16 м.
ОСНОВНЫЕ ХАРАКТЕРИСТИКИ ГРУНТОВ
И ПАРАМЕТРОВ ЗЕМЛЯНОГО ПОЛОТНА
Грунты земляного полотна | Дорожное покрытие |
Капитальный тип | Облегченный тип | Переходный тип | Низший тип |
обеспеченность расчетных показателей (ОРП) земляного полотна |
| | ИС МЕГАНОРМ: примечание. Сноски даны в соответствии с официальным текстом документа. | |
|
| 3% или 1:33 (ВП <*>) | 5% или 1:20 (ВП <*>) | 10% или 1:10 (ВП <*>) | 16,6% или 1:6 (ВП <*>) |
Тип конструкции - Насыпи | Ey, МПа | C, МПа |  ,°C | Ey, МПа | C, МПа |  ,°C | Ey, МПа | C, МПа |  ,°C | Ey, МПа | C, МПа |  ,°C |
| | ИС МЕГАНОРМ: примечание. Нумерация граф дана в соответствии с официальным текстом документа. | |
|
1 | 2 | 4 | 5 | 6 | 8 | 9 | 10 | 12 | 13 | 14 | 16 | 17 |
l1 - Северной подзоны низкотемпературных многолетнемерзлых грунтов (ММГ) сплошного распространения |
1-й тип местности - сухие места |
Супеси легкие | 42 | 0,04 | 34 | 50 | 0,045 | 37 | 57 | 0,05 | 43 | 61 | 0,052 | 40 |
Оптимальные грунтовые смеси | 42 | 0,02 | 34 | 51 | 0,046 | 37 | 58 | 0,030 | 42 | 61 | 0,053 | 52 |
Пески пылеватые | 41 | 0,03 | 32 | 52 | 0,039 | 36 | 43 | 0,045 | 38 | 52 | 0,047 | 35 |
Супеси тяжелые | 42 | 0,02 | 31 | 52 | 0,038 | 35 | 42 | 0,025 | 39 | 54 | 0,048 | 37 |
Суглинки легкие и тяжелые | 42 | 0,04 | 32 | 53 | 0,054 | 44 | 29,5 | 0,068 | 47 | 33 | 0,074 | 47 |
| | ИС МЕГАНОРМ: примечание. Текст в графе 4 дан в соответствии с официальным текстом документа. | |
|
Глины | 41 | 0703 | 32 | 53 | 0,055 | 45 | 29,5 | 0,068 | 46 | 35 | 0,075 | 48 |
Суглинки легкие пылеватые | 41 | 0,02 | 33 | 54 | 0,018 | 42 | 19 | 0,028 | 19 | 18 | 0,038 | 22 |
Суглинки тяжелые пылеватые | 42 | 0,02 | 31 | 51 | 0,017 | 43 | 19 | 0,029 | 19 | 19 | 0,035 | 21 |
Супеси пылеватые | 42 | 0,03 | 32 | 51 | 0,029 | 43 | 19 | 0,030 | 18 | 21 | 0,034 | 27 |
Супеси тяжелые пылеватые | 41 | 0,04 | 32 | 52 | 0,030 | 42 | 19 | 0,031 | 19 | 22 | 0,033 | 29 |
2-й тип местности - сырые места |
Супеси легкие | 40 | 0,03 | 32 | 47 | 0,040 | 35 | 55 | 0,045 | 41 | 58 | 0,047 | 39 |
Оптимальные грунтовые смеси | 41 | 0,025 | 30 | 50 | 0,043 | 36 | 56 | 0,042 | 41 | 59 | 0,050 | 51 |
Пески пылеватые | 39 | 0,028 | 31 | 51 | 0,035 | 34 | 41 | 0,041 | 36 | 50 | 0,045 | 50 |
Супеси тяжелые | 40 | 0,018 | 30 | 50 | 0,036 | 33 | 40 | 0,022 | 37 | 52 | 0,043 | 35 |
Суглинки легкие и тяжелые | 39 | 0,034 | 31 | 51 | 0,051 | 42 | 28 | 0,075 | 43 | 32 | 0,067 | 43 |
Глины | 39 | 0,027 | 29 | 51 | 0,046 | 43 | 28 | 0,078 | 44 | 33 | 0,071 | 45 |
Суглинки легкие пылеватые | 39 | 0,018 | 31 | 52 | 0,016 | 41 | 19 | 0,025 | 19 | 17 | 0,033 | 22 |
Суглинки тяжелые пылеватые | 41 | 0,017 | 30 | 50 | 0,020 | 42 | 18 | 0,024 | 18 | 18 | 0,031 | 20 |
Супеси пылеватые | 42 | 0,025 | 32 | 50 | 0,025 | 42 | 18 | 0,027 | 17 | 20 | 0,032 | 25 |
Супеси тяжелые пылеватые | 39,5 | 0,06 | 32 | 51 | 0,027 | 42 | 18 | 0,028 | 18 | 21 | 0,031 | 26,5 |
3-й тип местности - мокрые места |
Супеси легкие | 30 | 0,020 | 28 | 40 | 0,035 | 31 | 49 | 0,039 | 38 | 48 | 0,040 | 32 |
Оптимальные грунтовые смеси | 31 | 0,018 | 30 | 42 | 0,037 | 32 | 51 | 0,035 | 39 | 49 | 0,043 | 43 |
Пески пылеватые | 30 | 0,019 | 29 | 43 | 0,030 | 33 | 38 | 0,037 | 33 | 43 | 0,041 | 42 |
Супеси тяжелые | 32 | 0,015 | 27 | 42 | 0,031 | 31 | 34 | 0,018 | 31 | 41 | 0,038 | 31 |
Суглинки легкие и тяжелые | 29 | 0,017 | 28 | 43 | 0,042 | 33 | 23 | 0,065 | 36 | 29 | 0,051 | 34 |
Глины | 29 | 0,012 | 25 | 42 | 0,034 | 34 | 23 | 0,067 | 37 | 31 | 0,065 | 36 |
Суглинки легкие пылеватые | 30 | 0,014 | 27 | 42 | 0,014 | 30 | 15 | 0,019 | 15 | 13 | 0,027 | 19 |
Суглинки тяжелые пылеватые | 35 | 0,013 | 26,0 | 41 | 0,012 | 30 | 14 | 0,018 | 14 | 15 | 0,025 | 18 |
Супеси пылеватые | 35 | 0,020 | 28 | 42 | 0,021 | 33 | 14 | 0,025 | 13 | 16 | 0,026 | 22 |
Супеси тяжелые пылеватые | 33 | 0,031 | 28,0 | 42 | 0,018 | 31 | 14 | 0,021 | 14 | 17 | 0,021 | 22 |
l2 - Центральной подзоны низкотемпературных ММГ преимущественно сплошного распространения |
1-й тип местности - сухие места |
Супеси легкие | 42 | 0,04 | 34 | 50 | 0,045 | 37 | 57 | 0,05 | 43 | 61 | 0,052 | 40 |
Оптимальные грунтовые смеси | 42 | 0,02 | 32 | 51 | 0,046 | 37 | 58 | 0,030 | 42 | 61 | 0,053 | 52 |
Пески пылеватые | 41 | 0,03 | 32 | 52 | 0,039 | 36 | 43 | 0,045 | 38 | 52 | 0,047 | 35 |
Супеси тяжелые | 42 | 0,02 | 31 | 52 | 0,038 | 35 | 42 | 0,025 | 38 | 54 | 0,048 | 37 |
Суглинки легкие и тяжелые | 42 | 0,04 | 32 | 53 | 0,054 | 44 | 30 | 0,068 | 47 | 33 | 0,074 | 47 |
Глины | 41 | 0,03 | 32 | 53 | 0,055 | 45 | 30 | 0,068 | 46 | 35 | 0,075 | 48 |
Суглинки легкие пылеватые | 41 | 0,02 | 33 | 54 | 0,018 | 42 | 19 | 0,028 | 19 | 18 | 0,038 | 22 |
Суглинки тяжелые пылеватые | 42 | 0,02 | 31 | 51 | 0,017 | 43 | 19 | 0,029 | 19 | 19 | 0,035 | 21 |
Супеси пылеватые | 42 | 0,03 | 32 | 51 | 0,029 | 43 | 19 | 0,030 | 18 | 21 | 0,034 | 27 |
Супеси тяжелые пылеватые | 41 | 0,04 | 32 | 52 | 0,030 | 42 | 19 | 0,031 | 19 | 22 | 0,33 | 29 |
2-й тип местности - сырые места |
Супеси легкие | 38 | 0,037 | 33 | 42 | 0,043 | 34 | 47 | 0,046 | 35 | 50 | 0,048 | 37 |
Оптимальные грунтовые смеси | 37 | 0,035 | 30 | 43 | 0,041 | 32 | 45 | 0,042 | 33 | 47 | 0,046 | 38 |
Пески пылеватые | 24 | 0,026 | 22 | 28 | 0,027 | 25 | 32 | 0,031 | 28 | 33 | 0,036 | 32 |
Супеси тяжелые | 23 | 0,025 | 24 | 28 | 0,028 | 28 | 31 | 0,028 | 27 | 32 | 0,035 | 33 |
Суглинки легкие и тяжелые | 16 | 0,029 | 33 | 27 | 0,039 | 38 | 20 | 0,049 | 40 | 20 | 0,058 | 45 |
Глины | 16 | 0,028 | 38 | 23 | 0,040 | 39 | 20 | 0,046 | 42 | 21 | 0,055 | 43 |
Суглинки легкие пылеватые | 13 | 0,012 | 10 | 13 | 0,028 | 12 | 14 | 0,018 | 14 | 15 | 0,026 | 16 |
Суглинки тяжелые пылеватые | 13 | 0,018 | 10 | 14 | 0,027 | 12 | 15 | 0,017 | 14 | 16 | 0,028 | 17 |
Супеси пылеватые | 14 | 0,022 | 12 | 14 | 0,026 | 14 | 15 | 0,016 | 15 | 17 | 0,029 | 18 |
Супеси тяжелые пылеватые | 13 | 0,023 | 25 | 14 | 0,024 | 14 | 14 | 0,020 | 15 | 18 | 0,030 | 19 |
3-й тип местности - мокрые места |
Супеси легкие | 33 | 0,035 | 31 | 36 | 0,032 | 32 | 43 | 0,042 | 34 | 46 | 0,046 | 35 |
(в ред. Изменения N 1, утв. Приказом Минстроя России от 30.05.2022 N 430/пр) |
Оптимальные грунтовые смеси | 32 | 0,040 | 25 | 35 | 0,05 | 32 | 42 | 0,041 | 36 | 48 | 0,05 | 37 |
Пески пылеватые | 21 | 0,014 | 18 | 25 | 0,022 | 21 | 29 | 0,025 | 22 | 31 | 0,03 | 32 |
Супеси тяжелые | 23 | 0,013 | 19 | 28 | 0,023 | 20 | 30 | 0,028 | 23 | 34 | 0,032 | 34 |
Суглинки легкие и тяжелые | 12 | 0,024 | 23 | 17 | 0,024 | 30 | 19 | 0,028 | 32 | 20 | 0,032 | 36 |
Глины | 10 | 0,018 | 28 | 18 | 0,022 | 31 | 21 | 0,027 | 33 | 21 | 0,031 | 37 |
Суглинки легкие пылеватые | 10 | 0,010 | 8 | 13 | 0,013 | 10 | 13 | 0,014 | 11 | 14 | 0,022 | 14 |
Суглинки тяжелые пылеватые | 12 | 0,008 | 8 | 13 | 0,015 | 9 | 14 | 0,012 | 10 | 14 | 0,015 | 16 |
Супеси пылеватые | 11 | 0,008 | 8 | 12 | 0,010 | 9 | 14 | 0,015 | 12 | 15 | 0,014 | 17 |
Супеси тяжелые пылеватые | 10 | 0,010 | 7 | 14 | 0,012 | 11 | 15 | 0,017 | 15 | 15 | 0,014 | 18 |
l3 - Южной подзоны высокотемпературных ММГ преимущественно островного и частично сплошного распространения |
1-й тип местности - сухие места |
Супеси легкие | 44 | 0,042 | 35 | 57 | 0,048 | 37 | 70 | 0,054 | 42 | 75 | 0,060 | 48 |
Оптимальные грунтовые смеси | 43 | 0,028 | 34 | 59 | 0,049 | 38 | 68 | 0,036 | 41 | 77 | 0,064 | 56 |
Пески пылеватые | 43 | 0,038 | 35 | 60 | 0,042 | 38 | 68 | 0,048 | 37 | 70 | 0,052 | 39 |
Супеси тяжелые | 44 | 0,035 | 33 | 58 | 0,040 | 36 | 64 | 0,046 | 36 | 65 | 0,050 | 40 |
Суглинки легкие и тяжелые | 44 | 0,055 | 45 | 59 | 0,060 | 46 | 34 | 0,085 | 48 | 38 | 0,090 | 49 |
Глины | 43 | 0,060 | 47 | 60 | 0,058 | 44 | 33 | 0,095 | 49 | 40 | 0,095 | 50 |
Суглинки легкие пылеватые | 52 | 0,024 | 34 | 58 | 0,02 | 45 | 21 | 0,030 | 24 | 22 | 0,045 | 26 |
Суглинки тяжелые пылеватые | 53 | 0,026 | 33 | 54 | 0,020 | 46 | 20 | 0,030 | 22 | 24 | 0,038 | 24 |
Супеси пылеватые | 54 | 0,032 | 35 | 56 | 0,032 | 46 | 20 | 0,033 | 21 | 26 | 0,036 | 28 |
Супеси, тяжелые пылеватые | 52 | 0,044 | 33 | 57 | 0,034 | 45 | 20 | 0,035 | 23 | 28 | 0,040 | 31 |
2-й тип местности - сырые места |
Супеси легкие | 40 | 0,040 | 34 | 46 | 0,044 | 36 | 53 | 0,048 | 37 | 57 | 0,053 | 41 |
Оптимальные грунтовые смеси | 40 | 0,036 | 32 | 44 | 0,042 | 35 | 50 | 0,044 | 35 | 52 | 0,050 | 40 |
Пески пылеватые | 28 | 0,026 | 36 | 36 | 0,030 | 34 | 38 | 0,035 | 34 | 40 | 0,040 | 37 |
Супеси тяжелые | 27 | 0,024 | 35 | 34 | 0,028 | 32 | 36 | 0,030 | 33 | 38 | 0,039 | 35 |
Суглинки легкие и тяжелые | 18 | 0,030 | 34 | 22 | 0,042 | 38 | 20 | 0,050 | 42 | 21 | 0,060 | 46 |
Глины | 18 | 0,028 | 34 | 24 | 0,040 | 38 | 21 | 0,048 | 41 | 22 | 0,058 | 44 |
Суглинки легкие пылеватые | 14 | 0,015 | 13 | 14 | 0,016 | 15 | 16 | 0,025 | 16 | 16 | 0,032 | 20 |
Суглинки тяжелые пылеватые | 13 | 0,017 | 14 | 14 | 0,015 | 14 | 15 | 0,024 | 15 | 16 | 0,030 | 22 |
Супеси пылеватые | 15 | 0,016 | 15 | 15 | 0,018 | 15 | 16 | 0,026 | 17 | 18 | 0,032 | 23 |
Супеси тяжелые пылеватые | 14 | 0,019 | 13 | 14 | 0,016 | 15 | 15 | 0,030 | 18 | 17 | 0,034 | 21 |
3-й тип местности - мокрые места |
Супеси легкие | 38 | 0,035 | 34 | 44 | 0,040 | 35 | 50 | 0,044 | 36 | 53 | 0,048 | 37 |
Оптимальные грунтовые смеси | 37 | 0,033 | 32 | 42 | 0,038 | 33 | 48 | 0,040 | 34 | 50 | 0,046 | 35 |
Пески пылеватые | 24 | 0,018 | 20 | 26 | 0,026 | 22 | 30 | 0,025 | 29 | 33 | 0,033 | 35 |
Супеси тяжелые | 26 | 0,017 | 21 | 30 | 0,027 | 23 | 33 | 0,027 | 30 | 31 | 0,035 | 37 |
Суглинки легкие и тяжелые | 14 | 0,025 | 30 | 18 | 0,028 | 32 | 21 | 0,030 | 34 | 22 | 0,035 | 38 |
Глины | 12 | 0,022 | 30 | 21 | 0,026 | 32 | 23 | 0,029 | 35 | 24 | 0,034 | 39 |
Суглинки легкие пылеватые | 11 | 0,012 | 10 | 12 | 0,014 | 11 | 14 | 0,015 | 12 | 15 | 0,026 | 16 |
Суглинки тяжелые пылеватые | 12 | 0,010 | 9 | 13 | 0,016 | 10 | 15 | 0,017 | 11 | 16 | 0,020 | 18 |
Супеси пылеватые | 11 | 0,009 | 8 | 12 | 0,012 | 11 | 15 | 0,014 | 13 | 16 | 0,018 | 19 |
Супеси тяжелые пылеватые | 11 | 0,008 | 9 | 14 | 0,014 | 12 | 16 | 0,016 | 14 | 17 | 0,019 | 20 |
Часть насыпи | Глубина расположения слоя от низа дорожной одежды, м | Покрытия капитальные | Покрытия усовершенствованные облегченные | Покрытия переходного и низшего типов |
Тип местности по характеру поверхностного стока, степени увлажнения и мерзлотно-грунтовым условиям |
1 - сухие места | 2 - сырые места | 3 - мокрые места | 1 - сухие места | 2 - сырые места | 3 - мокрые места | 1 - сухие места | 2 - сырые места | 3 - мокрые места |
Верхняя | До 1,5 | Супеси легкие, суглинки легкие с содержанием пылеватых частиц менее 35% и глинистых менее 15 % | Супеси легкие с содержанием пылеватых частиц менее 35% и глинистых менее 5% | Супеси легкие и суглинки легкие, суглинки и глины с содержанием пылеватых частиц менее 50% и глинистых менее 20% | Супеси и суглинки легкие с содержанием пылеватых частиц менее 35% и глинистых менее 15% | Супеси легкие и суглинки, суглинки и глины с содержанием пылеватых частиц менее 55% и глинистых менее 25% | Супеси легкие и суглинки легкие, суглинки и глины с содержанием пылеватых частиц менее 40% и глинистых менее 20% |
Нижняя неподтапливаемая | 1,5 - 6 | Супеси легкие, суглинки легкие с содержанием пылеватых частиц менее 35% и глинистых менее 15% | Супеси и суглинки легкие, суглинки и глины с содержанием пылеватых частиц менее 55% и глинистых менее 25% | Супеси и суглинки легкие с содержанием пылеватых частиц менее 35% и глинистых менее 15% | Супеси и суглинки легкие, суглинки и глины с содержанием пылеватых частиц менее 60% и глинистых менее 20% | Супеси легкие и суглинки легкие, суглинки и глины с содержанием пылеватых частиц менее 40% и глинистых менее 20% | |
Нижняя подтапливаемая | 1,5 - 6 | | Супеси легкие и суглинки легкие с содержанием пылеватых частиц менее 35% и глинистых менее 15% | | Супеси легкие и суглинки легкие, суглинки и глины с содержанием пылеватых частиц менее 20% | Супеси и суглинки легкие, суглинки и глины с содержанием пылеватых частиц менее 35% и глинистых менее 15% | | Супеси и суглинки легкие, суглинки и глины с содержанием пылеватых частиц менее |
55% и глинистых менее 25% | 40% и глинистых менее 20% |
Грунты | Требуемый коэффициент уплотнения |
1 - 0,98 | 0,95 | 0,9 |
Супеси легкие | 0,9 - 1,20 | 0,85 - 1,30 | 0,8 - 1,40 |
Суглинки легкие пылеватые | 0,9 - 1,15 | 0,85 - 1,25 | 0,8 - 1,35 |
Глины, суглинки тяжелые и тяжелые пылеватые | 0,9 - 1,10 | 0,82 - 1,20 | 0,8 - 1,30 |
Глины пылеватые | 0,9 - 1,05 | 0,90 - 1,15 | 0,8 - 1,20 |
| | ИС МЕГАНОРМ: примечание. Сноска дана в соответствии с официальным текстом документа. | |
|
<*> Примечание - Значения оптимальной влажности для характерных грунтов зоны вечной мерзлоты можно определить через влажность предела текучести по следующим зависимостям: супесь легкая Wопт = 0,7Wтек; суглинок легкий пылеватый Wопт = 0,6Wтек; суглинок тяжелый, глина пылеватая Wопт = 0,55Wтек. |
Таблица В.4
Тип местности | Естественная влажность грунта основания в долях единицы от предела текучести | Коэффициент консистенции | Грунт основания | Осадка Sк, см |
1 - сухие места | Менее 0,77 | Менее 0,5 | Глина пылеватая | 10 |
Суглинок пылеватый | 6 |
Супесь легкая | 5 |
Песок пылеватый | 4 |
2 - сырые места | 0,77 - 1,0 | 0,5 - 1,0 | Глина пылеватая | 20 |
Суглинок пылеватый | 15 |
Супесь легкая | 10 |
Песок пылеватый | 6 |
3 - мокрые места | Более 1,0 | Более 1,0 | Глина пылеватая | 30 |
Суглинок пылеватый | 20 |
Супесь легкая | 15 |
Песок пылеватый | 10 |
РАСЧЕТ НАСЫПИ НА СНЕГОНЕЗАНОСИМОСТЬ
Г.1 Высоту снегонезаносимой насыпи Hсн - вычисляют по формуле

(Г.1)
где Кс - коэффициент, корректирующий высоту снежного покрова на метеостанции с его высотой на трассе;
hр.сн - расчетная высота снежного покрова, м, с учетом вероятности ее превышения 5% по данным ближайшей метеостанции;

- возвышение насыпи над снежным покровом, м; назначается для районов с метелевой деятельностью в зависимости от категории дороги: II - 0,7 м, III - 0,6 м, IV - 0,5 м, V - 0,4 м.
Показатель Кс определяют по данным снегомерных съемок по трассе во время зимних изысканий. Для более надежной корреляции количество снегомерных съемок в зимний период должно быть не менее 15.
При этом фиксируют даты проведения снегомерных съемок и сравнивают их с результатами снегомерных съемок на метеостанции в те же дни. Распределение снежного покрова по трассе устанавливают с привязкой к пикетам, и результаты замеров заносят в журнал по форме, приведенной в
таблице Г.1.
С учетом полученных данных коэффициент Кс вычисляют по формуле
Кс = hс.т/hс.м, (Г.2)
где hс.т - высота снежного покрова на трассе, м;
hс.м - высота снежного покрова по метеоданным на дату снегомерных съемок на трассе, м.
Время наблюдения | Показатели снегомерных съемок на трассе (пункт, км, ПК) | На метеостанции (пункт) |
год | число | месяц | Высота снежного покрова, м | Плотность снега, г/см3 | Скорость ветра V1,0, м/с | Скорость ветра Vф, м/с | Румб ветра | Рельеф | Высота снежного покрова, м | Плотность снега, г/см3 | Скорость ветра Vф, м/с | Румб ветра | Рельеф |
1 | 2 | 3 | 4 | 5 | 6 | 7 | 8 | 9 | 10 | 11 | 12 | 13 | 14 |
Примечание - Значение К с осредняют и вводят в формулу (Г.1). При невозможности проведения зимних изысканий значение корректирующего коэффициента К с для склоновых участков местности разрешается ориентировочно принимать по таблице Г.2. В районах со слабо выраженной метелевой деятельностью, где преимущественно распространены снегопады, необходимое возвышение насыпи над снежным покровом  определяют из условия размещения снега в придорожной полосе по графику, приведенному на рисунке Г.1. |
| | ИС МЕГАНОРМ: примечание. Сноска дана в соответствии с официальным текстом документа. | |
Расположение трассы на склоне | Условие обтекания | Крутизна склона | Значение корректирующего коэффициента Кс <*> |
Вблизи вершины | Наветренная сторона | 1:15 - 1:50 | 0,30 |
Верхняя часть склона | То же | > 1:15 | 0,55 |
Нижняя часть склона | То же | 1:10 - 1:100 | 0,8 - 1,0 |
У основания склона | То же | > 1:30 - 1:100 | 1,2 - 1,3 |
| Подветренная сторона | > 1:40 | > 2,0 |
Примечание - Значения Кс даны относительно высоты снежного покрова на открытых равнинных участках местности.
Рисунок Г.1 - Зависимость необходимого возвышения насыпи

от высоты снежного покрова исходя из условия
размещения снега, убираемого с дороги.
Цифры на кривых - категория дороги
Пример 1
Проектируют дорогу III категории с шириной земляного полотна поверху B = 12,0 м. Трасса проложена в тундровом районе с объемом снегопереноса более 600 м3/м по наветренному пологому склону косогора (крутизна 1:50). По данным ближайшей метеостанции, расположенной на местности с равнинным рельефом, высота снежного покрова в год изысканий 45 см, а с вероятностью превышения 5% - 67 см.
Согласно исходным данным, район строительства характеризуется сильной метелево-ветровой деятельностью. Требуется определить высоту насыпи по условиям снегонезаносимости, которую вычисляют по
формуле (Г.1).
Исходные параметры определяют следующим образом:

- для дороги III категории;
hр.см = 0,67 м - с вероятностью превышения 5%. Значение К
с может быть определено по
таблице Г.2 (ввиду отсутствия данных снегомерной съемки на трассе): К
с = 0,8.
Высота снегонезаносимой насыпи
hс.н = 0,8·0,67 + 0,6 = 1,15 м.
| | ИС МЕГАНОРМ: примечание. В официальном тексте документа, видимо, допущена опечатка: рисунок В.1 отсутствует. Возможно, имеется в виду рисунок Г.1. | |
При отсутствии снегопереноса

(из условия размещения снега на придорожной полосе) определяют по
рисунку В.1 для дороги III категории:

. Тогда
hс.н = 0,8·0,67 + 0,4 = 0,95 м.
При проектировании принимают большее значение высоты насыпи, т.е. hс.м = 1,15 м.
Пример 2
Расчет толщины снежного покрова с вероятностью превышения 5%
В районе строительства автомобильной дороги устанавливают, по данным наблюдений ближайшей метеостанции в течение 10 лет, максимальную высоту снежного покрова

. Например, значения

колебались от 36 до 65 см. Во время изысканий дороги высота снежного покрова на станции равнялась 50 см.
Полученные значения располагают в убывающем порядке и вычисляют период эмпирической повторяемости Tэ (таблица Г.3).
Таблица Г.3
hmax | m | N + 0,4 | m - 0,3 | Tэ |
65 | 1 | - | 0,7 | 14,9 |
61 | 2 | - | 1,7 | 6,1 |
55 | 3 | - | 2,7 | 3,9 |
50 | 4 | - | 3,7 | 2,8 |
48 | 5 | - | 4,7 | 2,2 |
45 | 6 | 10,4 | 5,7 | 1,8 |
43 | 7 | - | 6,7 | 1,6 |
40 | 8 | - | 7,7 | 1,4 |
39 | 9 | - | 8,7 | 1,2 |
36 | 10 | - | 9,7 | 1,1 |
На основании полученных данных

и
Tэ строят в логарифмических координатах

эмпирическую кривую распределения максимальных высот снежного покрова (рисунок Г.2).
| | ИС МЕГАНОРМ: примечание. Нумерация рисунков дана в соответствии с официальным текстом документа. | |
Рисунок В.2 Распределение максимальных высот
снежного покрова
Принимая Tр = 20 лет (5% обеспеченности), lg Tр = 1,3, по полученному графику путем экстраполяции устанавливают, что lg = 1,83, тогда толщина снежного покрова с вероятностью превышения 5% будет равна 67,6 см.
РАСЧЕТ СТРОИТЕЛЬНОЙ ОСАДКИ ГРУНТОВ ОСНОВАНИЯ И ТЕЛА НАСЫПЕЙ
Д.1 В расчетах строительной осадки грунтов основания при сооружении насыпей следует учитывать время производства работ (лето, зима) и технологию возведения земляного полотна (на полную высоту или послойно).
Д.2 На тех участках, где земляное полотно запроектировано по 1-му принципу, насыпь возводят на полную высоту в зимний период на промерзших грунтах деятельного слоя, которые в летний период не оттаивают. Строительная осадка в таких случаях протекает в результате обжатия мерзлого мохорастительного покрова под весом насыпи. Величина обжатия (строительная осадка) Sс = 0,5hм.п, где hм.п - мощность (толщина) мохорастительного покрова, см.
Д.3 На тех участках, где земляное полотно запроектировано по 2-му принципу, насыпь возводят на полную высоту как в зимний, так и в летний период.
При зимней отсыпке строительную осадку Sс определяют по следующим схемам:
- насыпь возводят на полную высоту из сыпучемерзлого песчаного или крупнообломочного грунта на промерзших грунтах деятельного слоя:
Sс = Sг.о, (Д.1)
где Sг.о - осадка грунтов основания в результате их оттаивания на расчетную глубину и уплотнения в пределах этой глубины под действием собственного веса, веса насыпи и подвижной нагрузки, см;
- насыпь возводят на полную высоту из сухо- и твердомерзлых грунтов, а также из талых песчаных или глинистых с комьями мерзлых грунтов на промерзших грунтах деятельного слоя:
Sс = Sт.н + Sг.о, (Д.2)
где Sт.н - осадка в результате оттаивания и уплотнения грунта в теле насыпи, см.
При летней отсыпке строительную осадку определяют по схеме послойного возведения насыпи на оттаивающих грунтах деятельного слоя. Общая осадка слагается из суммы осадок, протекающих при отсыпке каждого слоя и доведении насыпи до проектной отметки:
Sс = Sг.о1 + Sг.о2 + Sг.о3 + ... + Sг.оi, (Д.3)
где Sг.о1, Sг.о2, Sг.о3, ..., Sг.оi - осадка грунтов основания соответственно при отсыпке 1-го, 2-го, 3-го и i-го слоев насыпи.
Д.4 Строительную осадку грунтов в теле насыпи на стадии проектирования вычисляют по формуле

(Д.4)
где Hг - прогнозируемая глубина сезонного оттаивания грунта насыпи, см;
| | ИС МЕГАНОРМ: примечание. В официальном тексте документа, видимо, допущена опечатка: таблица 10 отсутствует. | |
Ку - прогнозируемый минимальный коэффициент уплотнения сухо- или твердомерзлого грунта, принимаемый по таблице 10;
Кот - прогнозируемый минимальный коэффициент уплотнения после оттаивания сухо- или твердомерзлого грунта.
Строительную осадку тела насыпи на стадии строительства уточняют по формуле (Д.5).
Д.5 Строительную осадку грунтов основания при высоте насыпей до 2 м можно ориентировочно вычислять (на стадии рекогносцировочных изысканий) по формуле

(Д.5)
где e - основание натурального логарифма; e = 2,72;
| | ИС МЕГАНОРМ: примечание. Обозначения даны в соответствии с официальным текстом документа. | |
bм - коэффициенты, учитывающие наличие или отсутствие мохорастительного покрова толщиной не более 20 см на поверхности основания; для участков трассы с ненарушенным мохорастительным покровом aм = 3,81, bм = 1,95, без мохорастительного покрова или с сильно нарушенным - aм = 1,05, bмм = 3,55;
Wотн - естественная влажность грунта основания, доли влажности на границе текучести.
Д.6 Строительную осадку глинистых грунтов основания на стадии составления рабочих чертежей следует определять в зависимости от типа местности по формулам:
для 1-го типа

(Д.6)
для 2-го типа

(Д.7)
где aо - коэффициент уплотнения грунтов основания;
Aо - коэффициент оттаивания грунтов основания;
hг.о - расчетная глубина оттаивания грунтов основания, см;
pо - удельное давление на поверхность грунта основания (от подвижной нагрузки и веса насыпи); для автомобильных дорог pо = 0,0735 МПа, при использовании геотекстиля в нижней части насыпи - pо = 0,049 МПа;

- плотность грунта основания, кг/см
3;
eо - начальный коэффициент пористости грунта основания, доли единицы.
Д.7 Строительную осадку торфяного грунта основания следует определять по формуле

(Д.8)
где
e - относительная осадка торфяного грунта основания при оттаивании под нагрузкой; устанавливают при инженерных изысканиях по
ГОСТ 12248 и ГОСТ 23253.
Д.8 Строительную осадку оттаивающих грунтов основания при послойной отсыпке насыпи в летний период вычисляют по следующим формулам:
Sг.о1 = Aм.п·hм.п + aм.п·hм.п·Pо, (Д.9)
Sг.о2 =
Aм.п·
hм.п +
Aг.о·
hг.о1 +
aг.о·
hг.о1·
Pо, (Д.10)
Sг.о3 =
aм.п·
hм.п·
Pо +
aг.о·
hг.о2·
Pо, (Д.11)
где Aм.п, Aг.о - коэффициент оттаивания соответственно мохорастительного покрова и грунта основания;
aм.п, aг.о - коэффициент уплотнения соответственно мохорастительного покрова и грунта основания;
Pо - нагрузка на основание от веса уплотняющих средств и веса насыпи, МПа;
hг.о1, hг.о2 - толщина слоя грунта основания, оттаивающего соответственно при отсыпке второго и третьего слоев насыпи, см.
Учитывая, что влажность грунтов основания после уплотнения уменьшается, в расчетах по
формулам (Д.10) и
(Д.11) следует принимать

;

.
Давление на оттаивающие грунты основания вычисляют по формулам:
а) от веса отсыпанного слоя насыпи и собственного веса оттаивающего грунта основания:

(Д.12)
где

- плотность грунта насыпи, кг/см
3;
hн - толщина (в уплотненном состоянии) отсыпанного слоя насыпи, см;

- плотность мохорастительного покрова (торфа), кг/м
3;
(в ред.
Изменения N 1, утв. Приказом Минстроя России от 30.05.2022 N 430/пр)
hм.п - толщина мохорастительного покрова, см;
б) от уплотняющих средств:

(Д.13)
| | ИС МЕГАНОРМ: примечание. Обозначения даны в соответствии с официальным текстом документа. | |
где
s - напряжения, возникающие в слое грунта от уплотняющих средств на расчетной глубине (принимают по
таблице Д.1), Па;
Pп - давление в пневматических шинах уплотняющих средств, Па;

- коэффициент динамичности;

.
Глубину оттаивания hг.о грунтов основания, увеличивающуюся по мере производства земляных работ, определяют непосредственными измерениями или ориентировочно вычисляют по формуле
hг.о = VгTот.г, (Д.14)
где
Vг - скорость оттаивания грунта, см/сут; принимают по
таблице Д.2;
Tот.г - время оттаивания слоя грунта, сут; принимают в зависимости от сроков отсыпки слоев земляного полотна.
Относительная глубина <*> y | Напряжение s, 104 Па | Относительная глубина <*> y | Напряжение s, 104 Па |
0 | 9,80 | 2,5 | 3,230 |
0,25 | 9,80 | 3,0 | 2,450 |
0,50 | 10,39 | 4,0 | 1,470 |
0,75 | 10,49 | 5,0 | 0,980 |
1,00 | 9,51 | 7,0 | 0,490 |
1,50 | 6,66 | 10,0 | 0,345 |
2,00 | 4,61 | 20,0 | 0,098 |
--------------------------------
<*> Примечание - Относительная глубина
y равна отношению расстояния от поверхности насыпи до расчетного сечения
nр к радиусу круга, равновеликого площади отпечатка спаренного колеса
r.
Грунт | Скорость оттаивания, см/сут, в дорожно-климатической подзоне |
| l1 | l2 | l3 |
Супесь | 3,0 - 4,3 | 3,5 - 4,8 | 5,7 - 7,2 |
Суглинок | 2,3 - 3,4 | 2,9 - 4,3 | 4,4 - 6,8 |
Глина | 1,4 - 3,0 | 2,4 - 4,0 | 2,8 - 5,2 |
Пример 1
На местности 2-го типа проектируют насыпь высотой 2 м с возведением на полную высоту в зимний период из крупнообломочного грунта. Естественное основание представлено глинистым грунтом влажностью 0,9Wт. Толщина слоя мохорастительного покрова - 15 см.
Требуется определить ориентировочную строительную осадку грунтов основания.
Sг.о = 3,31e1,95wотн.
При логарифмировании получаем
lg Sг.о = lg3,31 + 1,95·0,9·0,43429.
По таблицам десятичных логарифмов мантисса lg3,31 = 0,5197, тогда
lg Sг.о = 0,5197 + 0,7627 = 1,2823.
По таблицам десятичных антилогарифмов находим Sг.о = 19,2 см.
Пример 2
При тех же исходных данных, но при отсутствии мохорастительного покрова требуется определить строительную осадку грунтов основания.
Sг.о = 1,05e3,55wотн
lg Sг.о = lg1,05 + 3,55·0,9·0,43429.
lg Sг.о = 0,02 + 1,3885 = 1,4085.
По таблицам десятичных антилогарифмов Sг.о = 25,62 см.
Пример 3
На 1-м типе местности проектируют насыпь высотой 1 м с возведением в зимний период из сыпучемерзлого песка. Естественное основание представлено легкой супесью влажностью 0,65Wт.
Характеристики грунта основания, полученные по материалам изысканий: Wест = 15,8%; g = 1,68 т/м3; Wт = 24,6%; eо = 0,83.
Согласно теплотехническому расчету глубина оттаивания грунта основания hг.о составит 2 м.
Требуется определить строительную осадку грунта основания.
Пример 4
На местности 2-го типа проектируют насыпь высотой 2 м с возведением в зимний период на полную высоту из сыпучемерзлого песчаного грунта. Естественное основание представлено пылеватой глиной с влажностью 0,88Wт. Характеристики грунта основания, полученные по материалам изысканий: Wест = 28,2%; g = 1,91 т/м3; eо = 1,04.
Согласно теплотехническому расчету глубина оттаивания грунта основания hг.о составит 1 м.
Требуется определить строительную осадку грунта основания, если в нижней части насыпи предусмотрен слой из геотекстиля.
Тогда
Пример 5
На вечномерзлых торфяниках проектируют насыпь высотой 1,5 м с возведением на полную высоту в зимний период. Характеристики торфяника, полученные при изысканиях: Wс = 6%; g = 0,13 т/м3.
Согласно теплотехническому расчету глубина оттаивания hг.о торфа составит 1 м.
Требуется определить строительную осадку торфяного грунта.
Согласно данным
таблицы 1 при
Wс = 6% и
g = 0,13 т/м
3 вычисляют при давлении насыпи 0,01 МПа,
e = 0,24:
ПРОЕКТИРОВАНИЕ И СТРОИТЕЛЬСТВО ВОДОПРОПУСКНЫХ ТРУБ
Е.1 При проектировании и строительстве водопропускных труб в зоне вечной мерзлоты необходимо руководствоваться
СП 35.13330,
СП 43.13330, а также требованиями, приведенными в
[22].
Е.2 На дорогах I - V категорий предусматривают трубы капитального типа: бетонные, железобетонные и металлические гофрированные. Требования к материалам бетонных и железобетонных труб приведены в
[21], а металлических гофрированных труб - в
[22].
Е.3 Применение труб предусматривают преимущественно на периодически действующих водотоках. Металлические гофрированные трубы допускается использовать также на постоянных водотоках при отсутствии наледеобразования на дорогах III - V категорий.
Е.4 Отверстия труб рассчитывают по безнапорному режиму. Минимальное отверстие и высоту труб в свету назначают не менее 1,5 м.
Многоочковые трубы допускается проектировать с расположением очков в разных уровнях, размещая часть из них (как правило, одно) в уровне русла водотока, а остальные - на отметке выше уровня меженных вод. Количество рядом уложенных труб не ограничено.
Е.5 При проектировании водопропускных труб предусматривают использование грунтов в основаниях по следующим принципам:
- 1-й - обеспечить поднятие ВГММГ до подошвы фундамента и сохранять его на этом уровне в течение всего периода эксплуатации сооружения;
- 2-й - образовать талую прослойку между подошвой фундамента и ВГММГ;
- 3-й - использовать грунты основания в естественном талом состоянии.
Е.6 Трубы следует проектировать, как правило, исходя из условия наименьшего нарушения естественного состояния мерзлых грунтов.
Во всех случаях, когда это возможно, необходимо избегать устройства котлованов, приемных колодцев, глубоких бетонных, железобетонных и других экранов, различных врезов в мерзлых грунтах и предусматривать подготовку основания подсыпкой с ее планировкой.
Е.7 На водотоках, основание которых в пределах двойной мощности сезоннооттаивающего слоя представлено непросадочными грунтами, проектируют бесфундаментные трубы.
Е.8 На водотоках, характеризующихся наличием слоя просадочных при оттаивании грунтов мощностью не более 2 м, предпочтение отдают бесфундаментным трубам или трубам с фундаментами мелкого заложения при условии, что суммарная величина осадки грунтов основания может быть компенсирована величиной строительного подъема. При невыполнении этого условия предусматривают полную или частичную замену слабого грунта грунтовой подушкой из щебеночных, гравийных или гравийно-песчаных материалов, имеющих оптимальную или близкую к ней влажность.
Размеры грунтовых подушек для бетонных и железобетонных труб принимают следующие:
а) длина на 1 - 1,5 м более общей длины трубы с оголовками;
б) ширина не менее

для одноочковой трубы и не менее

для
n-очковой трубы (где
Hр - расчетная глубина оттаивания (промерзания) грунта под трубой, м;
dтр - диаметр трубы, м;
Bтр - расстояние между трубами, м).
Е.9 На водотоках, характеризующихся наличием слоя сильнопросадочных и просадочных грунтов мощностью более 2 м, предусматривают свайные фундаменты. Массивные бетонные фундаменты допускают только при соответствующем обосновании при отсутствии подруслового стока.
Е.10 Минимальную глубину заложения фундаментов устанавливают в зависимости от расчетной глубины сезонного оттаивания грунтов основания
Hр, их свойств (по
СП 35.13330) и типа фундамента:
- свайного Hр + 2 м, но не менее 3 м;
- массивного бетонного - Hр, но не менее 1,5 м:
где

- нормативная глубина сезонного оттаивания грунта, м; устанавливается по обязательному
приложению Б;
mг - коэффициент теплового влияния конструкций на грунт основания, принимаемый для фундамента: массивного бетонного - 0,8, свайного, с плитой на поверхности грунта - 1,0;
К
w - поправочный коэффициент к нормативной глубине оттаивания грунта при его естественной влажности, устанавливаемой по обязательному
приложению Б.
| | ИС МЕГАНОРМ: примечание. В официальном тексте документа, видимо, допущена опечатка: пункт Г.7 отсутствует. | |
Е.11 При проектировании труб в l1 ДКЗ применяют преимущественно 1-й принцип использования грунтов в основании, в l2 - 2-й, на всей территории зоны вечной мерзлоты - 3-й с учетом Г.7.
Е.12 При использовании 1-го и 2-го принципов для уменьшения толщины грунтовой подушки предусматривают в основании теплоизолирующие слои по расчету.
Е.13 Трубы следует проектировать с входными и выходными оголовками. При низких насыпях могут быть предусмотрены многоочковые безнапорные трубы без выходных оголовков. Металлические гофрированные трубы допускается проектировать без устройства оголовков при соблюдении требований
СП 35.13330.
В остальных случаях предпочтительнее применять воротниковые оголовки, а при необходимости, портальные и раструбные с небольшим заглублением (от 0,4 до 0,5 м) в грунты основания.
Е.14 На водотоках, основание которых в пределах двойной мощности сезоннооттаивающего слоя сложено непросадочными грунтами, конструкции укреплений подводящих и отводящих русел принимают в соответствии с типовыми решениями для обычных условий, исходя из гидравлических расчетов.
Е.15 На всех водотоках отводящее русло, как правило, должно быть устроено с уклоном не менее 2%.
Тип укрепления подводящих и отводящих русел, сложенных просадочными грунтами, принимают в зависимости от их уклона:
а) не более 1% - бутовую кладку по слою теплоизоляции из мха, торфа толщиной не более 20 см в плотном состоянии;
б) от 1 до 5% - цементобетон (сборный или монолитный) по слою теплоизоляции из мха, торфа толщиной не более 30 см в плотном состоянии;
в) более 5% - быстротоки по слою теплоизоляции в соответствии с требованиями перечисления (б).
Е.16 На водотоках, основание которых сложено сильнопросадочными грунтами, тип укрепления принимают в зависимости от уклона русел:
- не более 1% - в соответствии с перечислением (б) Е.15;
- от 1 до 5% - в соответствии с перечислением (в) Е.15;
- более 5% - бетонные, металлические или деревянные лотки на сваях, заглубляемых в вечномерзлый грунт по расчету на выпучивание.
На местности с уклоном более 1% отводящие русла целесообразно укреплять по всей длине косогора, устраивая у его подножия гасители энергии водного потока.
Е.17 Дополнительными мероприятиями, обеспечивающими устойчивость труб, являются:
- максимальное сохранение мохорастительного покрова на расстоянии не менее 20 м от концевых звеньев трубы и не менее 20 м в каждую сторону от нее;
- засыпка пазух в котлованах, подсыпка под фундаменты, устройство подготовок, подкрепления русел водонепроницаемыми глинистыми грунтами;
- устройство насыпей с уположенными откосами или бермами на расстоянии, равном четырехкратной высоте насыпи в каждую сторону от трубы;
- устройство на откосах насыпи каменной наброски толщиной от 1 до 1,5 м выше уровня верха трубы на 1 м или торфяной изоляции толщиной не менее 1 м до уровня верха трубы, протяженность которых вдоль дороги равна четырем диаметрам трубы в каждую сторону от ее оси или оси крайних звеньев для многоочковых труб;
- засыпка понижений в районе трубы глинистым грунтом в виде бермы высотой от 0,2 до 0,3 м с уклоном ее верха от 2% до 4% в сторону русла водотока с целью предотвратить застой воды и увеличить скорость ее протекания вдоль подошвы насыпи;
- обеспечение в условиях большой снегозаносимости (в тех случаях, когда отверстие трубы полностью заносится снегом) проветривания труб в зимний период с помощью вентиляционных труб, концы которых выводят за пределы снежных отложений, или других устройств согласно
[20].
Е.18 Строительство железобетонных труб осуществляют, руководствуясь указаниями
СП 46.13330, а металлических гофрированных труб - указаниями
[20].
Е.19 На водотоках, где предусмотрено сохранение грунтов основания в мерзлом состоянии, все виды строительно-монтажных работ выполняют в холодный период года. Кроме того, необходимо:
- строительную площадку организовывать с низовой стороны искусственного сооружения на расстоянии не менее 70 м от него;
- не допускать пересечения трассы построечными дорогами на расстоянии менее 50 м от оси сооружения;
- подъезды к местам строительства сооружения и стоянок механизмов устраивать на грунтовых подсыпках толщиной не менее 0,5 м.
Е.20 На водотоках, где допускается оттаивание грунтов основания, строительно-монтажные работы выполняют в любой период года.
При производстве работ в летнее время необходимо:
- располагать строительную площадку в соответствии с требованиями
Е.19;
- отсыпать грунтовые площадки толщиной не менее 0,5 м под места стоянок механизмов и располагать их на расстоянии не менее 50 м от оси трубы;
- строить временные искусственные сооружения (деревянные, из металлических труб) для пропуска поверхностных вод.
Е.21 При производстве работ в летний период интервал между устройством котлована и закладкой фундамента или грунтовой подушки не должен превышать 24 ч.
Е.22 При бурении скважин и установке свай в мерзлых грунтах не допускается применение воды, пропаривание и другие способы предварительного оттаивания грунтов.
Подготовленную скважину закрывают щитом для предотвращения попадания в нее атмосферных осадков, грунта и случайных предметов.
Сваи устанавливают в скважины не позднее чем через 3 сут после окончания бурения.
Е.23 Сборные фундаменты устраивают так же, как и в обычных условиях. Швы между блоками заполняют цементопесчаным раствором с водоцементным отношением не более 0,5.
В зимнее время поверхность блоков перед заполнением швов прогревают горячим воздухом.
Е.24 Монолитные фундаменты и плиты свайных ростверков устраивают из жесткой смеси, приготавливаемой на быстротвердеющем цементе с пластифицирующими добавками.
В зимний период укладываемую смесь защищают от охлаждения и замерзания тепляками, обогреваемыми горячим воздухом, электричеством или паром.
Е.25 Пазухи между боковыми поверхностями котлована и фундамента засыпают суглинком или глиной оптимальной влажности слоями 20 см каждый и уплотняют до значений не менее 0,95 максимальной плотности. Категорически запрещается засыпать обводненные пазухи.
Е.26 При устройстве бесфундаментных труб на грунтовых подушках котлованы (траншеи) заполняют дренирующим грунтом слоями по 20 - 30 см и уплотняют механизмами виброударного и вибротрамбующего действия или катками.
Е.27 При монтаже железобетонных труб запрещается укладка звеньев труб "насухо". Во всех случаях должна быть предусмотрена подготовка из цементного раствора марки 150 с водоцементным отношением не выше 0,65 при глубине погружения конуса от 6 до 8 см.
Монтаж металлических гофрированных труб и устройство дополнительного защитного покрытия должны быть выполнены в соответствии с требованиями
[17].
Е.28 Построенные и принятые (с составлением акта) железобетонные трубы засыпают грунтом одновременно с обеих сторон слоями толщиной от 15 до 20 см с уплотнением до требуемых значений. Толщина грунтового слоя над трубой должна быть не менее 1 м.
Засыпку металлических гофрированных труб следует выполнять в соответствии с
[20].
Чтобы повысить несущую способность гофрированной трубы и надежность ее работы, рекомендуется до засыпки придать ее поперечному сечению овальность с большей осью по вертикали, увеличив вертикальный диаметр не более 3% номинального, путем закрепления сечения стойками или путем устройства жесткого слоя засыпки согласно
[20].
Е.29 На автомобильных дорогах III - V категорий в качестве водопропускных труб допускается применять некондиционные толстостенные металлические трубы с учетом положений
[20].
Е.30 Материал для укрепления подводящих и отводящих русел (дерн, мох, торф, бутовый камень и бетонные плиты) заготавливают и завозят к месту строительства заблаговременно, а укрепительные работы проводят в весенний период до начала таяния грунта основания.
ТРЕБОВАНИЯ К ГЕОТЕКСТИЛЬНЫМ МАТЕРИАЛАМ
Ж.1 При проектировании дорог в сложных мерзлотно-грунтовых условиях следует рассматривать варианты конструктивно-технологических решений с использованием геотекстильных материалов отечественного и зарубежного производства.
Ж.2 Сравнение вариантов необходимо проводить с учетом функции, выполняемой геотекстильным материалом:
- армирующих прослоек, усиливающих грунтовый массив, повышающих его устойчивость и уменьшающих деформации;
- разделяющих прослоек, исключающих перемешивание слоев различных по составу и состоянию грунтов, улучшающих условия работы слоев и конструкции в целом;
- дренирующих прослоек, обеспечивающих фильтрацию воды из основания или тела насыпи и ускоряющих ее осадку. Эту функцию могут выполнять только иглопробивные материалы, имеющие толщину не менее 3 мм;
- фильтра, задерживающего грунтовые частицы, перемещаемые потоком воды;
- покрытия, защищающего откосы от водной или ветровой эрозии.
Ж.3 Геосинтетические материалы в общем случае должны отвечать требованиям по следующим физико-механическим свойствам:
- поверхностная плотность;
- геометрические параметры (толщина и ширина полотна, размеры ячеек для георешеток и геосеток);
- прочность при растяжении;
- прочность при длительном статическом нагружении;
- деформативность;
- сопротивление местным повреждениям;
- водопроницаемость и фильтрующая способность (для геотекстиля и геокомпозитов на его основе);
- показатели климатического старения (долговечности) в составе дорожных конструкций.
Ж.4 Основные параметры геотекстильных материалов, используемых в дорожном строительстве, приведены в таблицах Ж.1 и
Ж.2.
Ж.5 При выборе геосинтетического материала следует учитывать вид материала (грунта), отсыпаемого непосредственно на геосинтетический материал, и условия выполнения строительных работ.
Таблица Ж.1
Показатели свойств геосинтетического материала | Армирование дорожных конструкций | Разделение на контакте грунтовых слоев | Защита гидроизоляции | Эрозионная защита поверхности | Дренирование | Гидроизоляция |
Дороги категорий I - II | Дороги категорий III - IV | Дороги категории V, дороги временные |
1 Прочность и деформативность при растяжении: - прочность при растяжении, кН/м, не менее | 40 | 30 | 20 | 5 | 10 | 5 | 5 | 20 |
- деформация при максимальной нагрузке, %, не более | 20 | - | - | - | - | 30 |
2 Прочность при длительном статическом нагружении, %, не менее | 50 | - | - | - | - | 50 |
3 Сопротивление местным повреждениям (снижение прочности при укладке), %, не более | 10 | 20 | 15 | 10 |
4 Водопроницаемость (коэффициент фильтрации) в направлении, перпендикулярно м плоскости полотна, м/сут, не менее | 10 | 20 | 30 | - |
5 Фильтрующая способность (эффективный размер пор), мкм | 40 - 120 | 70 - 200 | 120 - 200 | - |
6 Климатическое старение (долговечность) | Не менее срока службы дорожной конструкции |
Вид геоматериала | Номинальная прочность на разрыв при температуре 20 °C, кН/м, не менее | Долговременная прочность (120 лет при температуре 20 °C) на разрыв, кН/м | Относительное удлинение при разрыве, % | Нагрузка при 2% удлинении, кН/м | Нагрузка при 5%-ном удлинении, кН/м | Поверхностная плотность, кг/м2 |
вдоль полотна | поперек полотна | вдоль полотна | поперек полотна | вдоль полотна | поперек полотна | вдоль полотна | поперек полотна | вдоль полотна | поперек полотна |
Одноосная георешетка | 50,0 | - | 22,7 (-1,0) | - | 11,0 (+/- 3,0) | - | >= 12,7 | - | >= 24,7 | - | 0,30 +/- 0,03 |
65,0 | - | 28,9 (-1,3) | - | 11,0 (+/- 3,0) | - | >= 16,1 | - | >= 30,9 | - | 0,50 +/- 0,06 |
90,0 | - | 37,8 (-1,7) | - | 11,0 (+/- 3,0) | - | >= 23,7 | - | >= 45,2 | - | 0,55 +/- 0,06 |
110,0 | - | 47,2 (-2,2) | - | 11,0 (+/- 3,0) | - | >= 29,9 | - | >= 56,6 | - | 0,68 +/- 0,06 |
130,0 | - | 59,6 (-2,6) | - | 11,0 (+/- 3,0) | - | >= 38,0 | - | >= 75,5 | - | 0,80 +/- 0,07 |
150,0 | - | 68,0 (-3,0) | - | 11,0 (+/- 3,0) | - | >= 47,0 | - | >= 93,0 | - | 1,00 +/- 0,08 |
170,0 | - | 71,4 (-3,1) | - | 11,0 (+/- 3,0) | - | >= 52,5 | - | >= 103,0 | - | 1,20 +/- 0,08 |
Двухосная георешетка | 20,0 | 20,0 | | | 11,6 (+/- 2,5) | 10,7 (+/- 2,1) | >= 7 | >= 7 | >= 11 | >= 10,5 | 0,20 +/- 0,01 |
35 | 35 | | | 12,0 (+/- 3,0) | 12,0 (+/- 3,0) | >= 7 | >= 7 | >= 11 | >= 10,5 | 0,27 +/- 0,02 |
40 | 40 | | | 12,0 (+/- 3,0) | 12,0 (+/- 3,0) | >= 9 | >= 9 | >= 11 | >= 10,5 | 0,35 +/- 0,02 |
50 | 50 | | | 12,0 (+/- 3,0) | 12,0 (+/- 3,0) | >= 9 | >= 9 | >= 20 | >= 20 | 0,40 +/- 0,02 |
55 | 30 | | | 12,0 (+/- 3,0) | 12,0 (+/- 3,0) | >= 9 | >= 9 | >= 20 | >= 20 | 0,41 +/- 0,02 |
60 | 60 | | | 12,0 (+/- 3,0) | 12,0 (+/- 3,0) | >= 10 | >= 10 | >= 21 | >= 21 | 0,54 +/- 0,02 |
80 | 30 | | | 12,0 (+/- 3,0) | 12,0 (+/- 3,0) | >= 14 | >= 14 | >= 26 | >= 26 | 0,47 +/- 0,02 |
80 | 80 | | | 12,0 (+/- 3,0) | 12,0 (+/- 3,0) | >= 16 | >= 16 | >= 40 | >= 40 | 0,53 +/- 0,02 |
100 | 100 | | | 12,0 (+/- 3,0) | 12,0 (+/- 3,0) | >= 18 | >= 18 | >= 30 | >= 30 | 0,65 +/- 0,02 |
110 | 30 | | | 12,0 (+/- 3,0) | 12,0 (+/- 3,0) | >= 22 | >= 5 | >= 33 | >= 9 | 0,50 +/- 0,02 |
150 | 150 | | | 12,0 (+/- 3,0) | 12,0 (+/- 3,0) | >= 27 | >= 27 | >= 50 | >= 50 | 0,65 +/- 0,02 |
200 | 200 | | | 12,0 (+/- 3,0) | 12,0 (+/- 3,0) | >= 35 | >= 35 | >= 55 | >= 55 | 0,70 +/- 0,02 |
Противоэрозионная георешетка (геомат) | 20 | 10 | - | - | 12,0 (+/- 3,0) | 12,0 (+/- 3,0) | - | - | - | - | 0,20 +/- 0,02 |
25 | 10 | - | - | 12,0 (+/- 3,0) | 12,0 (+/- 3,0) | - | - | - | - | 0,25 +/- 0,02 |
30 | 10 | - | - | 12,0 (+/- 3,0) | 12,0 (+/- 3,0) | - | - | - | - | 0,30 +/- 0,02 |
35 | 20 | - | - | 12,0 (+/- 3,0) | 12,0 (+/- 3,0) | - | - | - | - | 0,45 +/- 0,02 |
Таблица Ж.3
Вид геоматериала | Прочность при растяжении в продольном/поперечном направлении, кН/м | Относительное удлинение при максимальной нагрузке в продольном/поперечном направлении, % | Прочность растяжения при 6% удлинении (продольная), кН/м | Поверхностная плотность, кг/м2 |
Геополотно тканое | 40 | 40 | <= 10 | <= 20 | 25 | 0,10 +/- 0,02 |
80 | 80 | <= 10 | <= 20 | 50 | 0,32 +/- 0,02 |
100 | 50 | <= 10 | <= 20 | 60 | 0,33 +/- 0,02 |
100 | 100 | <= 10 | <= 20 | 60 | 0,35 +/- 0,02 |
150 | 45 | <= 9 | <= 20 | 75 | 0,35 +/- 0,02 |
150 | 150 | <= 10 | <= 20 | 75 | 0,50 +/- 0,02 |
200 | 45 | <= 9 | <= 20 | 100 | 0,43 +/- 0,02 |
200 | 200 | <= 10 | <= 20 | 100 | 0,68 +/- 0,02 |
300 | 45 | <= 10 | <= 20 | 150 | 0,55 +/- 0,02 |
300 | 100 | <= 10 | <= 20 | 150 | 0,68 +/- 0,02 |
400 | 50 | <= 10 | <= 18 | 200 | 0,83 +/- 0,02 |
400 | 100 | <= 10 | <= 18 | 200 | 0,90 +/- 0,02 |
500 | 100 | <= 10 | <= 18 | 250 | 0,102 +/- 0,02 |
600 | 50 | <= 10 | <= 18 | 300 | 0,115 +/- 0,02 |
600 | 100 | <= 10 | <= 18 | 300 | 0,123 +/- 0,02 |
800 | 50 | <= 10 | <= 18 | 400 | 0,135 +/- 0,02 |
800 | 100 | <= 10 | <= 18 | 400 | 0,145 +/- 0,02 |
1000 | 50 | <= 10 | <= 18 | 500 | 0,170 +/- 0,02 |
1000 | 100 | <= 10 | <= 18 | 500 | 0,180 +/- 0,02 |
1200 | 100 | <= 10 | <= 18 | 600 | 0,235 +/- 0,02 |
1600 | 100 | <= 10 | <= 18 | 800 | 0,275 +/- 0,02 |
2000 | 100 | <= 10 | <= 18 | 1000 | 0,330 +/- 0,02 |
Примечания
1 Одноосную георешетку рекомендуется использовать при армировании грунта подпорных стен, устоев мостов, крутых склонов, восстановлении оползней.
2 Двухосную георешетку рекомендуется использовать для стабилизации и усиления грунтовых оснований, армирования грунтовых сооружений, усиления конструкций транспортных грунтовых сооружений и элементов из зернистых материалов.
3 Противоэрозионная георешетка (геомат) предназначена для защиты грунтовых откосов от поверхностной почвенной эрозии и создания прочного дернового покрытия на поверхности грунтовых сооружений.
4 Геополотно тканое используется для разделения слоев, выполняет функции фильтрации и усиления слабого грунта, а также для укрепления откосов и склонов с высоким углом заложения.
[1] Федеральный
закон Российской Федерации от 27 декабря 2002 г. N 184-ФЗ "О техническом регулировании"
[2] Федеральный
закон Российской Федерации от 22 июня 2008 г. N 123-ФЗ "Технический регламент о требованиях пожарной безопасности"
[3] Федеральный
закон Российской Федерации от 30 декабря 2009 г. N 384-ФЗ "Технический регламент о безопасности зданий и сооружений"
[4] Федеральный
закон Российской Федерации от 8 ноября 2007 г. N 257-ФЗ "Об автомобильных дорогах и о дорожной деятельности в Российской Федерации и о внесении изменений в отдельные законодательные акты Российской Федерации"
[5] Федеральный
закон Российской Федерации от 04 декабря 2006 г. N 200-ФЗ "Лесной кодекс"
[6] Федеральный
закон Российской Федерации от 3 июня 2006 г. N 74-ФЗ "Водный кодекс Российской Федерации" (ред. от 28.11.2015)
[7] Федеральный
закон Российской Федерации от 10 января 2002 г. N 7-ФЗ "Об охране окружающей среды"
| | ИС МЕГАНОРМ: примечание. В официальном тексте документа, видимо, допущена опечатка: Федеральный закон от 25 октября 2001 г. "Земельный кодекс" имеет номер 136-ФЗ, а не 137-ФЗ. | |
[8] Федеральный
закон Российской Федерации от 25 октября 2001 г. N 137-ФЗ "Земельный кодекс"
[9] Федеральный
закон Российской Федерации от 25 июня 2002 г. N 73-ФЗ "Об объектах культурного наследия (памятниках истории и культуры) народов Российской Федерации"
[10] Федеральный
закон РФ от 14 марта 1995 г. N 33-ФЗ "Об особо охраняемых природных территориях"
[11]
Постановление Правительства Российской Федерации от 28 сентября 2009 г. N 767 "О классификации автомобильных дорог в Российской Федерации"
[12]
СП 11-102-97 "Инженерно-экологические изыскания для строительства"
[13]
СП 11-104-97 "Инженерно-геодезические изыскания для строительства. Часть III. Инженерно-гидрографические работы при инженерных изысканиях для строительства"
[14]
СП 11-105-97 "Инженерно-геологические изыскания для строительства. Часть IV. Правила производства работ в районах распространения многолетнемерзлых грунтов"
[15]
СП 33-101-2003 "Определение основных расчетных гидрологических характеристик"
[16]
ВСН 84-89 "Изыскания, проектирование и строительство автомобильных дорог в районах распространения вечной мерзлоты". - М.: Минтрансстрой, 1990
[17]
ВСН 176-78 "Инструкция по проектированию и постройке металлических гофрированных водопропускных труб". - М.: Минтрансстрой и МПС, 1985
| | ИС МЕГАНОРМ: примечание. В официальном тексте документа, видимо, допущена опечатка: имеется в виду ОДН 218.046-01, а не ОДМ 218.046-01. | |
[18]
ОДМ 218.046-01 "Проектирование нежестких дорожных одежд". - М.: Минтранс РФ, 2002
[19] СТО 90903792.001-2015 Материал "ДиатомИК". Теплоизоляционный гранулированный. Технические условия. - Тюмень, 2015
[20]
ОДМ 218.5.003-2010 "Рекомендации по применению геосинтетических материалов при строительстве и ремонте автомобильных дорог". - М.: Росавтодор, 2010
[21] ВСН 155-69 "Указания по проектированию и строительству железобетонных и бетонных конструкций автодорожных и городских мостов и труб, предназначенных для эксплуатации в условиях низких температур (северное исполнение)". - М.: Минтрансстрой, 1969
[22]
ОДМ 218.2.001-2009 "Рекомендации по проектированию и строительству водопропускных сооружений из металлических гофрированных структур на автомобильных дорогах общего пользования с учетом региональных условий (дорожно-климатических зон)"
[23]
ГН 2.2.5.1313-03 Предельно допустимые концентрации (ПДК) вредных веществ в воздухе рабочей зоны
[24] "Руководство по операционному контролю качества строительно-монтажных работ при сооружении линейной части магистральных трубопроводов" Р375-79. ВНИИСТ. - М., 1980
[25]
СН 467-74 "Нормы отвода земель для автомобильных дорог". - М.: Госстрой, 1974
[26]
ВСН 210-91 "Проектирование, строительство и эксплуатация противоналедных сооружений и устройств". - М.: Минтрансстрой, 1991