Главная // Актуальные документы // КлассификацияСПРАВКА
Источник публикации
В данном виде документ опубликован не был.
Первоначальный текст документа опубликован в издании
М., 2016.
Информацию о публикации документов, создающих данную редакцию, см. в справке к этим документам.
Примечание к документу
Документ включен в
Перечень документов в области стандартизации, в результате применения которых на добровольной основе обеспечивается соблюдение требований Федерального
закона от 30.12.2009 N 384-ФЗ "Технический регламент о безопасности зданий и сооружений" (
Приказ Росстандарта от 02.04.2020 N 687).
Документ включен в
Перечень документов в области стандартизации, в результате применения которых на добровольной основе обеспечивается соблюдение требований Федерального
закона от 30.12.2009 N 384-ФЗ "Технический регламент о безопасности зданий и сооружений" (
Приказ Росстандарта от 17.04.2019 N 831).
Название документа
"СП 288.1325800.2016. Свод правил. Дороги лесные. Правила проектирования и строительства"
(утв. Приказом Минстроя России от 16.12.2016 N 952/пр)
(ред. от 07.12.2021)
"СП 288.1325800.2016. Свод правил. Дороги лесные. Правила проектирования и строительства"
(утв. Приказом Минстроя России от 16.12.2016 N 952/пр)
(ред. от 07.12.2021)
и жилищно-коммунального хозяйства
Российской Федерации
от 16 декабря 2016 г. N 952/пр
СВОД ПРАВИЛ
ДОРОГИ ЛЕСНЫЕ
ПРАВИЛА ПРОЕКТИРОВАНИЯ И СТРОИТЕЛЬСТВА
Forest roads. Rules of design and construction
СП 288.1325800.2016
| | Список изменяющих документов Минстроя России от 04.02.2019 N 83/пр, Минстроя России от 07.12.2021 N 903/пр) | |
Дата введения
17 июня 2017 года
Сведения о своде правил
1 ИСПОЛНИТЕЛЬ - ЗАО "ПРОМТРАНСНИИПРОЕКТ"
2 ВНЕСЕН Техническим комитетом по стандартизации ТК 465 "Строительство"
3 ПОДГОТОВЛЕН к утверждению Департаментом архитектуры, строительства и градостроительной политики Министерства строительства и жилищно-коммунального хозяйства Российской Федерации (Минстрой России)
4 УТВЕРЖДЕН
приказом Министерства строительства и жилищно-коммунального хозяйства Российской Федерации от 16 декабря 2016 г. N 952/пр и введен в действие с 17 июня 2017 г.
5 ЗАРЕГИСТРИРОВАН Федеральным агентством по техническому регулированию и метрологии (Росстандарт)
6 ВВЕДЕН ВПЕРВЫЕ
В случае пересмотра (замены) или отмены настоящего свода правил соответствующее уведомление будет опубликовано в установленном порядке. Соответствующая информация, уведомление и тексты размещаются также в информационной системе общего пользования - на официальном сайте разработчика (Минстрой России) в сети Интернет
Настоящий свод правил разработан с учетом требований федеральных законов от 27 декабря 2002 г.
N 184-ФЗ "О техническом регулировании", от 22 июля 2008 г.
N 123-ФЗ "Технический регламент о требованиях пожарной безопасности", от 30 декабря 2009 г.
N 384-ФЗ "Технический регламент о безопасности зданий и сооружений", от 25 октября 2001 г.
N 137-ФЗ "О введении в действие Земельного кодекса Российской Федерации", от 14 марта 1995 г.
N 33-ФЗ "Об особо охраняемых природных территориях", от 3 июня 2006 г.
N 74-ФЗ "Водный кодекс Российской Федерации", от 10 января 2002 г.
N 7-ФЗ "Об охране окружающей среды", от 4 декабря 2006 г.
N 200-ФЗ "Лесной кодекс Российской Федерации",
постановления Правительства Российской Федерации от 30 июня 2007 г. N 417 "Об утверждении Правил пожарной безопасности в лесах",
распоряжения Правительства Российской Федерации от 17 июля 2012 г. N 1283-р "Об утверждении Перечня объектов лесной инфраструктуры для защитных лесов, эксплуатационных лесов и резервных лесов".
(в ред.
Изменения N 1, утв. Приказом Минстроя России от 04.02.2019 N 83/пр)
Настоящий свод правил разработан авторским коллективом ЗАО "ПРОМТРАНСНИИПРОЕКТ" (руководитель темы - академик РАТ В.А. Сидяков, д-р техн. наук Л.А. Андреева, канд. техн. наук А.Г. Колчанов, Ю.И. Норштейн, И.П. Потапов, А.Е. Данченко, А.С. Букреева) при участии ОАО "ЦНИИМЭ" (д-р техн. наук Н.С. Еремеев, канд. техн. наук Ю.А. Котельников).
Изменение N 1 к СП 288.1325800.2016 разработано авторским коллективом ЗАО "ПРОМТРАНСНИИПРОЕКТ" (д-р техн. наук Л.А. Андреева, канд. техн. наук А.Г. Колчанов, И.П. Потапов, П.А. Костюкевич, А.В. Багинов, А.С. Букреева).
(абзац введен
Изменением N 1, утв. Приказом Минстроя России от 04.02.2019 N 83/пр)
Изменение N 2 к настоящему своду правил разработано авторским коллективом АО "ЦНИИПромзданий" (канд. техн. наук Н.Г. Келасьев), ЗАО "ПРОМТРАНСНИИПРОЕКТ" (д-р техн. наук Л.А. Андреева, канд. техн. наук А.Г. Колчанов)", ОО "Российская академия транспорта (И.П. Потапов).
(абзац введен
Изменением N 2, утв. Приказом Минстроя России от 07.12.2021 N 903/пр)
Настоящий свод правил распространяется на проектирование, строительство и содержание автомобильных лесных дорог на территории лесного фонда Российской Федерации, являющихся дорогами необщего пользования и предназначенных для движения специализированных категорий транспортных средств.
В настоящем своде правил использованы ссылки на следующие нормативные документы:
ГОСТ 3344-83 Щебень и песок шлаковые для дорожного строительства. Технические условия
ГОСТ 8267-93 Щебень и гравий из плотных горных пород для строительных работ. Технические условия
ГОСТ 8269.0-97 Щебень и гравий из плотных горных пород и отходов промышленного производства для строительных работ. Методы физико-химических испытаний
ГОСТ 9128-2013 Смеси асфальтобетонные, полимерасфальтобетонные, асфальтобетон, полимерасфальтобетон для автомобильных дорог и аэродромов. Технические условия
ГОСТ 23558-94 Смеси щебеночно-гравийно-песчаные и грунты, обработанные неорганическими вяжущими материалами, для дорожного и аэродромного строительства. Технические условия
ГОСТ 25458-82 Опоры деревянные дорожных знаков. Технические условия
ГОСТ 25459-82 Опоры железобетонные дорожных знаков. Технические условия
ГОСТ 25607-2009 Смеси щебеночно-гравийно-песчаные для покрытий и оснований автомобильных дорог и аэродромов. Технические условия
ГОСТ 30491-2012 Смеси органоминеральные и грунты, укрепленные органическими вяжущими, для дорожного и аэродромного строительства. Технические условия
ГОСТ 31015-2002 Смеси асфальтобетонные и асфальтобетон щебеночно-мастичные. Технические условия
ГОСТ 32703-2014 Дороги автомобильные общего пользования. Щебень и гравий из горных пород. Технические требования
(ссылка введена
Изменением N 2, утв. Приказом Минстроя России от 07.12.2021 N 903/пр)
ГОСТ 32826-2014 Дороги автомобильные общего пользования. Щебень и песок шлаковые. Технические требования
(ссылка введена
Изменением N 2, утв. Приказом Минстроя России от 07.12.2021 N 903/пр)
ГОСТ 32959-2014 Дороги автомобильные общего пользования. Габариты приближения
(ссылка введена
Изменением N 1, утв. Приказом Минстроя России от 04.02.2019 N 83/пр)
ГОСТ 33068-2014 (EN 13252:2005) Материалы геосинтетические для дренажных систем. Общие технические требования
(ссылка введена
Изменением N 1, утв. Приказом Минстроя России от 04.02.2019 N 83/пр)
ГОСТ 33148-2014 Дороги автомобильные общего пользования. Плиты дорожные железобетонные. Технические требования
(ссылка введена
Изменением N 2, утв. Приказом Минстроя России от 07.12.2021 N 903/пр)
ГОСТ Р 52289-2019 Технические средства организации дорожного движения. Правила применения дорожных знаков, разметки, светофоров, дорожных ограждений и направляющих устройств
(в ред.
Изменения N 2, утв. Приказом Минстроя России от 07.12.2021 N 903/пр)
ГОСТ Р 52290-2004 Технические средства организации дорожного движения. Знаки дорожные. Общие технические требования
ГОСТ Р 52748-2007 Дороги автомобильные общего пользования. Нормативные нагрузки, расчетные схемы нагружения и габариты приближения
(ссылка введена
Изменением N 1, утв. Приказом Минстроя России от 04.02.2019 N 83/пр)
(ссылка введена
Изменением N 1, утв. Приказом Минстроя России от 04.02.2019 N 83/пр)
СП 8.13130.2020 Системы противопожарной защиты. Наружное противопожарное водоснабжение. Требования пожарной безопасности
(в ред.
Изменения N 2, утв. Приказом Минстроя России от 07.12.2021 N 903/пр)
СП 18.13330.2019 "СНиП II-89-80* Генеральные планы промышленных предприятий" (с изменением N 1)
(ссылка введена
Изменением N 1, утв. Приказом Минстроя России от 04.02.2019 N 83/пр, в ред.
Изменения N 2, утв. Приказом Минстроя России от 07.12.2021 N 903/пр)
СП 31.13330.2012 "СНиП 2.04.02-84* Водоснабжение. Наружные сети и сооружения" (с изменениями N 1, N 2, N 3, N 4, N 5)
(в ред.
Изменения N 2, утв. Приказом Минстроя России от 07.12.2021 N 903/пр)
(в ред.
Изменения N 2, утв. Приказом Минстроя России от 07.12.2021 N 903/пр)
(в ред.
Изменения N 2, утв. Приказом Минстроя России от 07.12.2021 N 903/пр)
СП 37.13330.2012 "СНиП 2.05.07-91* Промышленный транспорт" (с изменениями N 1, N 2, N 3, N 4)
(в ред.
Изменения N 2, утв. Приказом Минстроя России от 07.12.2021 N 903/пр)
СП 62.13330.2011 "СНиП 42-01-2002 Газораспределительные системы" (с изменениями N 1, N 2, N 3)
(в ред.
Изменения N 2, утв. Приказом Минстроя России от 07.12.2021 N 903/пр)
СП 64.13330.2017 "СНиП II-25-80 Деревянные конструкции" (с изменениями N 1, N 2)
(в ред.
Изменения N 2, утв. Приказом Минстроя России от 07.12.2021 N 903/пр)
(в ред.
Изменения N 2, утв. Приказом Минстроя России от 07.12.2021 N 903/пр)
(в ред.
Изменения N 2, утв. Приказом Минстроя России от 07.12.2021 N 903/пр)
СП 129.13330.2019 "СНиП 3.05.04-85* Наружные сети и сооружения водоснабжения и канализации"
(в ред.
Изменения N 2, утв. Приказом Минстроя России от 07.12.2021 N 903/пр)
СП 461.1325800.2019 Биопереходы на объектах транспортной инфраструктуры. Правила проектирования
(ссылка введена
Изменением N 2, утв. Приказом Минстроя России от 07.12.2021 N 903/пр)
СанПиН 1.2.3685-21 Гигиенические нормативы и требования к обеспечению безопасности и (или) безвредности для человека факторов среды обитания
(ссылка введена
Изменением N 2, утв. Приказом Минстроя России от 07.12.2021 N 903/пр)
СанПиН 2.1.3684-21 Санитарно-эпидемиологические требования к содержанию территорий городских и сельских поселений, к водным объектам, питьевой воде и питьевому водоснабжению, атмосферному воздуху, почвам, жилым помещениям, эксплуатации производственных, общественных помещений, организации и проведению санитарно-противоэпидемических (профилактических) мероприятий
(в ред.
Изменения N 2, утв. Приказом Минстроя России от 07.12.2021 N 903/пр)
Примечание - При пользовании настоящим сводом правил целесообразно проверить действие ссылочных стандартов и сводов правил в информационной системе общего пользования - на официальном сайте федерального органа исполнительной власти в сфере стандартизации в сети Интернет или по ежегодному указателю "Национальные стандарты", который опубликован по состоянию на 1 января текущего года, и по выпускам ежемесячного информационного указателя "Национальные стандарты" за текущий год. Если заменен ссылочный документ, на который дана недатированная ссылка, то рекомендуется использовать действующую версию этого документа с учетом всех внесенных в данную версию изменений. Если заменен ссылочный документ, на который дана датированная ссылка, то рекомендуется использовать версию этого документа с указанным выше годом утверждения (принятия). Если после утверждения настоящего свода правил в ссылочный документ, на который дана датированная ссылка, внесено изменение, затрагивающее положение, на которое дана ссылка, то это положение рекомендуется применять без учета данного изменения. Если ссылочный документ отменен без замены, то положение, в котором дана ссылка на него, рекомендуется применять в части, не затрагивающей эту ссылку. Сведения о действии сводов правил целесообразно проверить в Федеральном информационном фонде стандартов.
(раздел 3 в ред.
Изменения N 1, утв. Приказом Минстроя России от 04.02.2019 N 83/пр)
В настоящем своде правил применены термины по
СП 34.13330,
ГОСТ 33178, а также следующие термины с соответствующим определением:
(в ред.
Изменения N 2, утв. Приказом Минстроя России от 07.12.2021 N 903/пр)
3.1 биопереход: Искусственное сооружение, обеспечивающее безопасное пересечение животными объектов транспортной инфраструктуры.
3.2 пересеченная местность: Рельеф, прорезанный часто чередующимися глубокими долинами, с разницей отметок долин и водоразделов более 50 м на расстоянии не свыше 0,5 км, с боковыми глубокими балками и оврагами, с неустойчивыми склонами.
(п. 3.2 введен
Изменением N 2, утв. Приказом Минстроя России от 07.12.2021 N 903/пр)
3.3 нижний лесопромышленный склад: Лесопромышленный склад, расположенный в пункте примыкания лесовозной дороги к путям общего пользования.
(п. 3.3 введен
Изменением N 2, утв. Приказом Минстроя России от 07.12.2021 N 903/пр)
3.4 лесопромышленный склад: Лесопогрузочный пункт, оборудованный техническими средствами для первичной обработки древесного сырья, хранения, погрузки или пуска в сплав хлыстов и сортиментов, а также для переработки древесных отходов.
(п. 3.4 введен
Изменением N 2, утв. Приказом Минстроя России от 07.12.2021 N 903/пр)
4 Классификация и категории лесных дорог
4.1 Лесные дороги по назначению подразделяются на лесовозные лесные дороги и лесохозяйственные лесные дороги.
Лесовозные лесные дороги предназначены для вывозки заготовленной древесины с мест заготовки, перевозки лесозаготовительной техники, технических грузов и доставки персонала к местам работы и обратно, а также для лесохозяйственных целей (охраны, защиты и воспроизводства лесов). Лесовозные лесные дороги строят в эксплуатирующихся лесах.
4.2 По срокам действия выделяют лесовозные лесные дороги постоянного действия и временные.
4.3 Лесовозные лесные дороги постоянного действия являются объектами капитального строительства и подразделяются на грузосборочные (лесовозные магистрали), лесовозные ветки - ответвления от лесовозной магистрали и лесовозные усы - ответвления от лесовозных веток.
4.4 Временные лесные дороги не являются объектами капитального строительства и создаются без разработки проекта, соответствующего требованиям настоящего свода правил и правил заготовки древесины. Временные лесные дороги подразделяются на лесные дороги летнего действия и зимнего (зимники).
4.5 Лесохозяйственные лесные дороги предназначены для доставки людей, лесохозяйственной и специальной техники и грузов к местам производства работ и лесным пожарам, а также для патрулирования лесных массивов. Лесохозяйственные лесные дороги строят в защитных и резервных лесах и не используют для вывозки древесины.
Категории лесных дорог приведены в таблице 4.1.
Таблица 4.1
Классификация лесных дорог
Минстроя России от 04.02.2019 N 83/пр)
Функциональное назначение | Грузооборот, млн т нетто/год | Категория |
Лесная дорога, связывающая лесосырьевую базу с нижним лесопромышленным складом предприятия, пунктом потребления древесины или дорогой общего пользования, пересекает лесной массив и объединяет все лесные дороги в единую сеть | От 0,35 и выше | Iл |
(в ред. Изменения N 2, утв. Приказом Минстроя России от 07.12.2021 N 903/пр) |
Лесная дорога, связывающая лесосырьевую базу с нижним лесопромышленным складом, пунктом потребления древесины или дорогой общего пользования, пересекает лесной массив и объединяет все лесовозные дороги | От 0,14 до 0,35 | IIл |
(в ред. Изменения N 2, утв. Приказом Минстроя России от 07.12.2021 N 903/пр) |
Лесная дорога, примыкающая к лесным дорогам категории Iл или IIл | Менее 0,14 | IIIл |
Лесные дороги, предназначенные: - для доставки сельскохозяйственной и специальной техники и грузов к местам производства работ и лесным пожарам; - осуществления рекреационной деятельности; - вывозки лесохимического сырья; - подъезда к лесопитомникам; - подъезда к кордонам и егерским участкам, а также для патрулирования лесных массивов, временных дорог (сезонного действия) | Без определенного грузооборота | IVл |
Примечание - Интенсивность движения зависит от типа применяемого автомобиля и грузооборота. |
4.6 Исключен с 08.01.2022. -
Изменение N 2, утв. Приказом Минстроя России от 07.12.2021 N 903/пр.
5 Основные указания по проектированию лесных дорог
5.1 Общие рекомендации по транспортному освоению лесного участка
5.1.1 Транспортная схема лесных дорог должна обеспечивать транспортную доступность лесов в целях обеспечения многоцелевого, рационального, непрерывного, неистощительного освоения лесов на лесном участке и их использования в соответствии с разрешенными видами использования.
(в ред.
Изменения N 2, утв. Приказом Минстроя России от 07.12.2021 N 903/пр)
5.1.2 Транспортную схему разрабатывают с учетом ведомости лесотаксационных выделов, в которых допускаются заготовка древесины и другие виды пользования, сроков примыкания лесосек, а также с учетом территориального размещения проектируемых объектов лесной, деревообрабатывающей инфраструктуры, выполнения мероприятий по охране, защите и воспроизводству лесов и других мероприятий.
(в ред.
Изменения N 2, утв. Приказом Минстроя России от 07.12.2021 N 903/пр)
Разработку транспортной схемы рекомендуется осуществлять одновременно с разработкой Проекта освоения лесов.
5.1.3 В целях использования благоприятных зимних условий для снижения затрат на строительство дорог и вывозку древесины следует предусматривать сезонное районирование транспортного освоения лесного участка.
В зону зимней вывозки следует выделять лесные участки, относящиеся к типу местности III (см.
приложение Б), по характеру и степени увлажнения с неустойчивыми и заболоченными грунтами, а также с разбросанными, слабо концентрированными запасами и наиболее удаленные участки лесного массива, требующие для освоения большого протяжения дорог. При выборе направления трассы зимних дорог следует отдавать предпочтение местности со спокойным рельефом и небольшими руководящими подъемами и спусками.
Выделение лесных участков для зимней и летней вывозки рекомендуется выполнять обработкой картографических материалов с использованием ГИС-технологий и кластерного анализа.
5.1.4 При разработке транспортной схемы освоения лесного участка должно быть уделено особое внимание уменьшению отрицательного влияния дорожной сети на окружающую среду, защите водоемов от загрязнения и оттока поверхностных или подземных вод. Не допускается использование русел рек и ручьев в качестве трасс лесных дорог.
(в ред.
Изменения N 2, утв. Приказом Минстроя России от 07.12.2021 N 903/пр)
5.1.5 Густота транспортной сети (плотность дорог) для вывозки древесины должна быть оптимизирована. За критерий оптимизации принимают минимум приведенных затрат на трелевку, строительство и содержание усов, веток и магистралей летнего и зимнего действия и транспортных затрат на вывозку древесины.
(в ред.
Изменения N 2, утв. Приказом Минстроя России от 07.12.2021 N 903/пр)
5.1.6 Размещение лесных дорог для вывозки древесины на лесном участке осуществляется с учетом требований правил заготовки древесины по размерам лесосеки, отводимой для освоения, срокам примыкания и способам примыкания лесосек, которые сводятся к следующему:
(в ред.
Изменения N 2, утв. Приказом Минстроя России от 07.12.2021 N 903/пр)
- площадь лесосек, на которых осуществляются сплошные заготовки спелых, перестойных лесных насаждений в эксплуатационных лесах, не должна превышать 50 га при ширине лесосек не более 500 м
[3];
(в ред.
Изменения N 2, утв. Приказом Минстроя России от 07.12.2021 N 903/пр)
- размещение лесосек в квартале или на лесном участке, отводимых на заготовку в разные годы (примыкание), осуществляется с учетом срока, по истечении которого проводят заготовку на непосредственно примыкающей лесосеке
[3].
(в ред.
Изменения N 2, утв. Приказом Минстроя России от 07.12.2021 N 903/пр)
5.2 Планирование размещения лесохозяйственных лесных дорог
5.2.1 Планирование размещения лесохозяйственных лесных дорог направлено на решение следующих задач:
- определение в документации по планированию территории размещения лесных дорог, назначения лесных дорог на основе совокупности социальных, экономических, экологических, природоохранных, природно-климатических, инженерно-технических, организационных, правовых и иных факторов в целях обеспечения устойчивого управления лесами, сохранения биологического разнообразия лесов, повышения их биоресурсного потенциала, сохранения и воспроизводства, обеспечения пожарной и лесопатологической безопасности, устойчивого развития территорий, инженерной, транспортной и социальной инфраструктуры, а также обеспечения интересов граждан и их объединений;
- подготовка документации по планировке территории лесничеств и лесопарков;
- экономическое обоснование эффективности инвестиций в объекты лесной транспортной инфраструктуры для определения размера субвенций из федерального бюджета бюджетам субъектов Российской Федерации на строительство лесных дорог
[4].
5.2.2 Документацию по планированию размещения лесных дорог на территории земель лесного фонда разрабатывают в соответствии с требованиями
[4] -
[6],
СП 18.13330.
(в ред.
Изменения N 1, утв. Приказом Минстроя России от 04.02.2019 N 83/пр,
Изменения N 2, утв. Приказом Минстроя России от 07.12.2021 N 903/пр)
5.2.3 Документация по планированию территории может включать в себя планы размещения лесных дорог, предназначенных для выполнения следующих функций:
- охрана, защита и воспроизводство лесов;
- транспортирование древесины или иной продукции, полученной в результате осуществления лесохозяйственных мероприятий, установленных
[4];
- доставка персонала, специальной техники и материалов к местам работы в лесу.
5.2.4 Планы размещения сети лесных дорог разрабатывают на перспективу не менее 10 лет.
5.2.5 План размещения лесных дорог составляют для субъекта Российской Федерации. В зависимости от уровня развития лесной дорожной инфраструктуры (лесные дороги и дороги общего пользования в границах лесничеств и лесопарков) допускается составление плана размещения сети лесных дорог только на отдельные лесные участки.
5.2.6 Основные этапы планирования размещения лесных дорог включают в себя:
- экономические изыскания;
- инженерные изыскания;
- камеральное трассирование вариантов прокладки трассы по топографическим картам;
- подготовку проекта схемы размещения лесных дорог;
- оценку экономической эффективности инвестиций в строительство лесных дорог;
- утверждение плана размещения лесных дорог.
5.2.7 Экономические изыскания предшествуют подготовке плана размещения лесных дорог вне зависимости от их технической категории.
5.2.8 В плане размещения лесных дорог:
- определяют потребность в мощности сети, размеры и очередность капитальных вложений в строительство и реконструкцию дорог с учетом наиболее рационального обеспечения транспортных связей и исходя из перспектив развития производительных сил;
- обосновывают технико-экономические рекомендации по строительству отдельных дорог (обосновывающие материалы), необходимые материальные ресурсы;
- рассчитывают экономическую эффективность затрат как в целом по сети, так и по отдельным объектам.
5.2.9 Перечень и границы лесных участков, обслуживаемых лесной дорогой, устанавливают в зависимости от конфигурации лесных массивов, территориального размещения объектов, обеспечивающих охрану, защиту и воспроизводство лесов, рельефных, гидрогеологических условий местности, наличия существующих путей транспорта на основе технико-экономического анализа перспективных направлений грузопотоков, обеспечивающих в полной мере выполнение мероприятий по охране, защите и воспроизводству лесов.
(в ред.
Изменения N 2, утв. Приказом Минстроя России от 07.12.2021 N 903/пр)
5.2.10 При экономических изысканиях проводят сбор и анализ следующей информации:
- характеристика особенностей природных условий района изысканий;
- местоположение и объемы грузообразующих и грузопотребляющих пунктов;
- местоположение, состав, протяжение и качественное состояние существующих путей транспорта;
- перспектива развития сети дорог общего пользования;
- характеристика уровня работы лесохозяйственного транспорта;
- состояние строительства и содержание лесной дорожной инфраструктуры;
- обеспеченность района местными дорожно-строительными материалами;
- существующие и перспективные направления потоков грузов лесохозяйственных предприятий;
- предпочтительные направления развития лесохозяйственных путей транспорта в перспективе;
- другие данные, позволяющие определить технические показатели и эффективность инвестиций в создание лесных дорог, по
[8].
5.2.11 Сбор экономических показателей проводят, как правило, за отчетный год и на перспективные расчетные сроки с разбивкой на промежуточные сроки, определяемые конечными годами периодов перспективного планирования. За отчетный принимают год, предшествующий году проведения экономических изысканий.
5.2.12 Инженерные изыскания проводят камерально в соответствии с
[9] и иными нормативными правовыми актами.
5.2.13 При необходимости инженерно-геодезические изыскания допускается проводить на местности. В состав полевых работ входят визуальные обследования:
- устроенных лесных дорог (при отсутствии материалов об их инвентаризации или паспортизации), а также той части дорог общего пользования, которые совпадают с основными перспективными грузопотоками, для выявления их качественного состояния и возможности использования для нужд лесного хозяйства (в части охраны, защиты и воспроизводства лесов), определение объемов реконструкции;
- отдельных грунтовых проездов, расположенных в основном в благоприятных рельефных и гидрогеологических условиях, которые в зависимости от расчетных объемов перевозок назначены к переустройству (реконструкции, техническому перевооружению, усилению дорожных одежд или сооружений и т.д.) с изменением класса дороги;
- особо сложных участков наиболее важных магистральных направлений, определяющих принципиальное направление развития дорожной сети в целом в перспективе, когда это невозможно установить по топографическим картам, материалам лесоустройства, геологическим и другим данным.
5.2.14 При размещении лесных дорог учитывают особенности ведения лесного хозяйства, продолжительность цикла лесохозяйственного производства, рассредоточенность лесохозяйственных работ по территории лесных участков, необходимость многократного возвращения в одни и те же участки леса в течение длительного периода, а также проведение ряда работ в определенные агротехнические сроки.
5.2.15 Направление лесных дорог допускается совмещать с направлениями квартальных просек, существующих дорог и противопожарных разрывов с учетом рельефных и гидрологических условий лесного участка.
(в ред.
Изменения N 2, утв. Приказом Минстроя России от 07.12.2021 N 903/пр)
При размещении сети лесных дорог могут быть и другие решения, с учетом местных условий и экономической целесообразности.
5.2.16 В горных районах сеть лесных дорог следует размещать так, чтобы большая часть ее протяжения обеспечивала выполнение работ по охране, защите и воспроизводству лесов по кратчайшему направлению по склону.
При соответствующем технико-экономическом обосновании прокладку дорог в горных условиях допускается осуществлять по водоразделам и через перевалы.
5.2.17 Густоту дорожной сети следует обосновывать в каждом конкретном случае отдельно с учетом принятой технологии доставки грузов от дороги в лес или обратно, объема перевозок, типа подвижного состава и других факторов.
5.2.18 При планировании размещения лесных дорог необходимо предусматривать их увязку с другими объектами лесной инфраструктуры и дорогами общего пользования.
5.2.19 Для планирования размещения лесных дорог для противопожарных целей следует учитывать сеть всех существующих автомобильных дорог, а также естественные грунтовые проезды в лесу, если размеры и состояние последних гарантируют проезд современных транспортных средств пожаротушения в пожароопасные периоды года согласно
[10].
Если существующая сеть дорог и грунтовых естественных проездов не обеспечивает доставку сил и средств пожаротушения к участкам леса с высоким риском возникновения лесных пожаров в сроки, установленные действующими нормами, то на основе экономических расчетов могут быть приняты следующие решения:
- улучшение качества существующих дорог путем их ремонта или реконструкции;
- увеличение плотности сети лесных дорог за счет дополнительного строительства лесных дорог.
Новые лесные дороги для выполнения мероприятий по охране лесов от пожаров следует прокладывать по направлениям лесных дорог, намеченных к строительству в перспективе
[10].
5.2.20 Связь лесных питомников с эксплуатируемой или проектируемой сетью дорог следует осуществлять лесными дорогами категорий IVл с расчетом на бесперебойную работу транспорта в течение краткосрочного периода наиболее интенсивных весенних и осенних перевозок для обеспечения проведения работ по посадке или посеву лесных насаждений.
(в ред.
Изменения N 2, утв. Приказом Минстроя России от 07.12.2021 N 903/пр)
5.2.21 При определении объемов грузооборота необходимо исходить из следующих основных требований:
- перевозки грузов должны наиболее рационально распределяться между отдельными видами транспорта с учетом, в первую очередь, требований по охране, защите и воспроизводству лесов в установленные нормативами сроки;
- перевозки персонала и грузов следует выполнять с полным удовлетворением потребностей в передвижении;
- затраты на перевозку грузов и персонала должны быть оптимальными.
5.2.22 Грузооборот лесных дорог рассчитывают с учетом существующих потребностей по обеспечению охраны, защиты, воспроизводства лесов согласно
[11].
5.2.23 Целесообразность и очередность строительства лесных дорог устанавливает субъект Российской Федерации, исходя из экономического эффекта, достигаемого после строительства лесной дороги за счет транспортирования грузов, уменьшения себестоимости перевозок и ликвидации других потерь производства и прочих негативных последствий, вызванных отсутствием надлежащей дорожной сети
[8].
5.2.24 План размещения лесных дорог может содержать положение о планировании размещения лесных дорог, пояснительную записку и соответствующие карты-схемы.
5.2.25 Положение о планировании размещения лесных дорог, содержащееся в плане размещения лесных дорог, включает в себя:
- цели и задачи планирования размещения лесных дорог;
- перечень этапов по планированию размещения лесных дорог с указанием сроков и последовательности выполнения этапов;
- порядок разработки, согласования и утверждения плана размещения лесных дорог.
5.2.26 Пояснительная записка к плану размещения лесных дорог содержит:
- общие данные (обоснование для разработки схемы, исходные материалы, основные нормативные документы);
- природные особенности субъекта Российской Федерации (климат, рельеф, геология, гидрография, наличие местных строительных материалов);
- характеристика лесов субъекта Российской Федерации и существующей лесной транспортной инфраструктуры (протяженность лесных дорог и дорог общего пользования, расположенных в границах лесничеств и лесопарков, характеристика дорог, используемые виды транспорта, сложившиеся грузопотоки, характеристика объемов работы лесного транспорта);
- краткая характеристика транспортной сети субъекта Российской Федерации и перспектив ее развития;
- схема размещения лесных дорог (анализ перспективных грузопотоков: объем, состав грузов, используемый автопарк; основные технические решения: классификация и основные нормы проектирования лесных дорог, принципы размещения дорог, обоснование густоты дорожной сети и структуры дорог, входящих в сеть, очередность строительства, объемы реконструкции и ремонта дорог; варианты транспортных схем: принципы и допущения при разработке вариантов, анализ результатов расчетов);
- объемы работ (протяженность строительства лесных дорог по классам дорог и периодам планирования, протяженность реконструкции и ремонта лесных дорог по категориям дорог и периодам планирования, потребность в основных дорожно-строительных материалах для строительства, реконструкции и ремонта дорог);
- потребность в финансовых ресурсах (затраты на строительство, реконструкцию и ремонт дорог по категориям дорог и периодам планирования; затраты на содержание дорог в зависимости от категории дорог и периодов планирования; предполагаемые источники финансирования мероприятий по строительству, реконструкции, ремонту и содержанию лесных дорог по периодам планирования)
[12];
- основные технико-экономические показатели.
5.2.27 Карта-схема размещения лесных дорог субъектов Российской Федерации выполняется в установленном масштабе и включает в себя:
- границы земель лесного фонда, границы лесничеств и лесопарков, особо охраняемых природных территорий федерального, регионального и муниципального значения, муниципальных образований, буферных зон и других объектов;
- квартальную сеть;
- границы арендованных лесных участков;
- гидрографию;
- схему существующих путей транспорта, по которым ожидаются перевозки лесохозяйственных грузов, с подразделением по категориям дорог;
- материалы камерально затрассированных вариантов лесных дорог с подразделением по категориям дорог;
- материалы натурных инструментальных обследований существующих дорог, намеченных к реконструкции или ремонту;
- схемы существующих и ожидаемых в перспективе потоков лесохозяйственных грузов;
- месторождения гравия, щебня, песка.
5.2.28 Решение о подготовке плана размещения лесных дорог принимается органом исполнительной власти субъекта Российской Федерации, осуществляющим переданные полномочия Российской Федерации в области лесных отношений.
5.2.29 Орган исполнительной власти субъекта Российской Федерации, осуществляющий переданные полномочия Российской Федерации в области лесных отношений, в установленном законодательством порядке осуществляет размещение государственного заказа на подготовку проекта плана размещения лесных дорог.
5.2.30 Подготовку проекта плана размещения лесных дорог субъекта Российской Федерации осуществляют на бумажных и электронных носителях.
5.2.31 Органы государственной власти субъектов Российской Федерации, осуществляющие переданные полномочия Российской Федерации в области лесных отношений, Федеральное агентство лесного хозяйства в пределах своих полномочий организуют ознакомление заинтересованных лиц с проектом плана размещения лесных дорог, в том числе путем размещения его на срок не менее 30 дней на официальном сайте высшего органа исполнительной власти субъекта Российской Федерации или Федерального агентства лесного хозяйства соответственно в сети Интернет.
По истечении указанного срока органы государственной власти субъектов Российской Федерации либо Федеральное агентство лесного хозяйства в пределах полномочий, установленных [
4,
статьи 81 -
83], в течение 30 дней осуществляют доработку проекта плана размещения лесных дорог с учетом предложений и замечаний, поступивших от заинтересованных лиц.
5.3 Принципиальные схемы транспортного освоения лесного участка в целях заготовки и вывозки древесины
5.3.1 Схема транспортного освоения лесного участка включает в себя грузосборочную лесную дорогу постоянного действия (магистраль), лесные дороги постоянного действия, примыкающие к грузосборочной (ветки), лесные дороги временного действия (усы) и зимние лесные дороги.
(в ред.
Изменения N 2, утв. Приказом Минстроя России от 07.12.2021 N 903/пр)
5.3.2 Трассу грузосборочной лесной дороги, к которой примыкают с двух сторон лесные дороги более низкой категории (ветки), выбирают так, чтобы лесной участок разделялся на две примерно равные части по запасу древесины. К лесным дорогам постоянного действия примыкают лесные дороги временного действия (усы), образуя транспортную сеть лесных дорог. В целях сокращения расстояния перевозки грузов примыкание лесных дорог друг к другу рекомендуется располагать под острым углом к направлению грузового потока.
5.3.3 Протяженность грузосборочной лесной дороги определяется размерами лесного участка. Расстояние от дальней границы лесного участка до конца грузосборочной дороги определяют при проектировании исходя из экономической целесообразности.
5.3.4 Примыкание лесных дорог к грузосборочной дороге рекомендуется выбирать в лесных участках (делянках) первого, второго и третьего года освоения, через которые проходит грузосборочная лесная дорога. Изыскание мест прохождения трасс лесных дорог постоянного действия должно удовлетворять типу местности I или II по характеру и степени увлажнения. Участки лесного фонда, расположенные на землях типа местности III по характеру и степени увлажнения, рекомендуется осваивать в зимний период времени по зимним дорогам.
5.3.5 Схемы транспортного освоения лесных участков могут отличаться друг от друга по углу примыкания лесных дорог относительно грузосборочной дороги. Лесные дороги допускается располагать под прямым или под острым углом (45°) к грузосборочной дороге. Размер угла расположения дорог относительно грузосборочной дороги оказывает влияние на плотность дорог, а следовательно, и на расходы, связанные со строительством лесных дорог и с транспортными затратами на перевозку грузов.
5.3.6 Характеристикой транспортной схемы является плотность дорог, определяемая как отношение протяженности дорог в километрах к единице общей площади лесного участка. В лесной практике за единицу измерения плотности лесных дорог принимают протяженность дорог в километрах на 1000 га лесной площади.
5.3.7 Плотность лесных дорог постоянного действия на лесном участке зависит от расстояния между ветками и их направления относительно грузосборочной дороги (под прямым углом или под углом 45°). Данные по рекомендуемой плотности лесных дорог постоянного действия приведены в таблице 5.1.
Таблица 5.1
В километрах на 1000 га
Расстояние между ветками, км | Примыкания веток к грузосборочной дороге |
под углом 90° | под углом 45° |
4 | 3,0 | 4,2 |
5 | 2,4 | 3,4 |
6 | 2,0 | 2,8 |
7 | 1,7 | 2,4 |
5.3.8 Плотность временных лесных дорог, создаваемых для заготовки древесины (лесовозных усов), зависит от расстояния трелевки древесины и угла взаимного расположения лесных дорог и грузосборочной дороги (лесовозной магистрали). Значения плотности временных лесных дорог и их максимальной протяженности при расстояниях трелевки 300 и 500 м и направлениях примыкания относительно грузосборочной дороги под углом 45° и 90° приведены в таблице 5.2.
Расстояние трелевки, м | Направление под углом 45° | Направление под углом 90° |
Расстояние между лесовозными ветками, км | Расстояние между лесовозными ветками, км |
4 | 5 | 6 | 7 | 4 | 5 | 6 | 7 |
Плотность временных лесных дорог, км на 1000 га |
300 | 18,9 | 20,0 | 20,1 | 20,8 | 20,4 | 21,1 | 21,6 | 21,9 |
500 | 15,0 | 15,6 | 15,5 | 15,4 | 18,0 | 19,2 | 20,0 | 20,6 |
Максимальная протяженность, км |
300 | 2,3 | 2,9 | 3,5 | 4,1 | 2,0 | 2,6 | 3,2 | 3,8 |
500 | 1,8 | 2,4 | 3,0 | 3,6 | 2,4 | 2,4 | 3,6 | 4,2 |
5.3.9 В протяженность дорог заложены коэффициент на объездные и разворотные пути, равный 1,15, и коэффициент развития путей для равнинной местности, равный 1,1. Для холмистой и пересеченной местности значения плотности и протяженности усов, приведенные в
таблице 5.2, следует умножить на коэффициент 1,1.
Основным преимуществом схемы освоения лесного участка при направлении лесных дорог под углом 45° к грузосборочной дороге является сокращение грузовой работы автотранспорта до 30% по сравнению со схемой расположения лесных дорог под прямым углом к грузосборочной дороге.
5.4 Проектирование лесных дорог на лесном участке
(в ред.
Изменения N 1, утв. Приказом Минстроя России от 04.02.2019 N 83/пр)
5.4.1 Для отнесения дороги постоянного действия к той или иной категории необходимо определить ее грузооборот.
Если дорога предназначена для вывозки древесины, ее грузооборот назначают с учетом годового объема заготовки древесины для данного участка

, разрешенного проектом освоения лесов, при условии, что всю заготовленную древесину будут вывозить по проектируемой лесной дороге.
Абзац исключен с 08.01.2022. -
Изменение N 2, утв. Приказом Минстроя России от 07.12.2021 N 903/пр.
(п. 5.4.1 в ред.
Изменения N 1, утв. Приказом Минстроя России от 04.02.2019 N 83/пр)
5.4.2 Годовой грузооборот для вывозки древесины по каждой конкретной дороге определяется по формуле
где

- годовой объем вывозки древесины по конкретной дороге, млн. м
3;
Kо.в. - объемный вес древесины конкретной породы и состояния.
Среднегодовая суточная интенсивность расчетных автомобилей определяется из выражения
где Q1, Q2, Q3, Qn - грузооборот, приходящийся на автомобили с индексом 1, 2, 3 ... n;
Г1, Г2, Г3, Гn - грузоподъемность автомобилей с индексом 1, 2, 3 ... n;
t1, t2, t3, tn - количество дней работы каждого автомобиля в год;
K1,
K2,
K3,
Kn - коэффициенты приведения к расчетному автомобилю в соответствии с
СП 34.13330.
Приведение автомобилей, которые фактически эксплуатируются или предполагается использовать, к расчетной нагрузке осуществляется по формуле
где

- коэффициент, принимаемый: для капитальных дорожных одежд - 4,4; для облегченных дорожных одежд - 3,0; для переходных дорожных одежд - 2,0.
Указанные коэффициенты приведения не применяются при проектировании сезонных дорог.
При расчете дорожных одежд используется суммарная интенсивность движения расчетных автомобилей.
Суммарная интенсивность движения расчетных автомобилей за весь срок службы определяется по формуле
где Kс - коэффициент сезонной неравномерности вывозки древесины, принимается равным 1,2 - 1,35;
Т
рдг - количество расчетных дней в году, приведено в
[27];
(п. 5.4.2 в ред.
Изменения N 2, утв. Приказом Минстроя России от 07.12.2021 N 903/пр)
Таблица 5.3
Рекомендуемый срок службы дорог
Категория дороги | Тип дорожной одежды | Срок службы (годы) в зависимости от дорожно-климатических зон |
I, II | III | IV, V |
Iл | Капитальный | 12 | 12 - 14 | 14 - 15 |
Облегченный | 8 - 10 | 10 - 12 | 12 - 14 |
IIл | Капитальный | 12 | 12 - 14 | 14 - 15 |
Облегченный | 8 - 10 | 10 - 12 | 12 - 14 |
IIIл | Переходный | 3 - 5 | 4 - 6 | 5 - 7 |
IVл | Переходный | 3 - 5 | 4 - 6 | 5 - 7 |
Низший | 1 - 2 | 2 - 3 | 2 - 3 |
5.4.3 Для обеспечения использования лесного участка в целях вывозки заготовленной древесины и других видов лесопользования, а также для обеспечения охраны, защиты и воспроизводства лесов на весь срок аренды (до 49 лет) должна быть разработана транспортная схема освоения лесного участка, включающая в себя дороги постоянного круглогодового действия и дороги сезонного действия (зимние, летние). Если на момент разработки технического задания транспортной схемы освоения лесного участка нет, ее разработку необходимо предусмотреть в техническом задании.
5.4.4 Для разработки транспортной схемы освоения лесного участка проектировщику должны быть предоставлены карты и схемы лесного участка, характеристики лесного фонда и существующей транспортной инфраструктуры лесного участка, данные по перспективному строительству дорог общего пользования на территориях, прилегающих к лесному участку, и другие сведения, которые могут быть использованы при разработке транспортной схемы освоения лесного участка.
(в ред.
Изменения N 2, утв. Приказом Минстроя России от 07.12.2021 N 903/пр)
5.4.5 Исключен с 08.01.2022. -
Изменение N 2, утв. Приказом Минстроя России от 07.12.2021 N 903/пр.
Подраздел 5.5 исключен с 5 августа 2019 года. -
Изменение N 1, утв. Приказом Минстроя России от 04.02.2019 N 83/пр.
6 Проектирование лесных дорог постоянного действия
6.1 Расчетные скорости движения и нагрузки
6.1.1 В качестве расчетной нагрузки при расчете дорожных одежд капитального типа принимается нагрузка 115 кН на ось, удельное давление на покрытие 0,8 МПа, расчетный диаметр отпечатка в статическом положении принимается равным 30 см, в динамическом положении - 33 см. При расчете дорожных одежд облегченного и переходного типов в качестве расчетной нагрузки принимается осевая нагрузка 100 кН, удельное давление на покрытие 0,6 МПа, расчетный диаметр отпечатка в статическом положении принимается равным 33 см, в динамическом положении - 36 см.
В качестве расчетной нагрузки для лесных дорог хозяйственного назначения принимается осевая нагрузка 60 кН, удельное давление на покрытие 0,6 МПа расчетный диаметр отпечатка в статическом положении принимается равным 25 см, в динамическом положении - 28 см.
(п. 6.1.1 в ред.
Изменения N 2, утв. Приказом Минстроя России от 07.12.2021 N 903/пр)
6.1.2 Расчетные скорости движения для определения параметров плана, продольного и поперечного профилей, а также других параметров, зависящих от скорости движения, принимают по таблице 6.1.
Таблица 6.1
Расчетная скорость
Минстроя России от 07.12.2021 N 903/пр)
Категория дороги | Рекомендуемая расчетная скорость, км/ч |
Базовая | Допускаемая на участках пересеченной местности |
Iл | 60 | 50 |
IIл | 50 | 40 |
IIIл | 40 | 40 |
IVл | 30 | 30 |
(п. 6.1.2 в ред.
Изменения N 1, утв. Приказом Минстроя России от 04.02.2019 N 83/пр)
6.2 Основные элементы и геометрические параметры лесных дорог
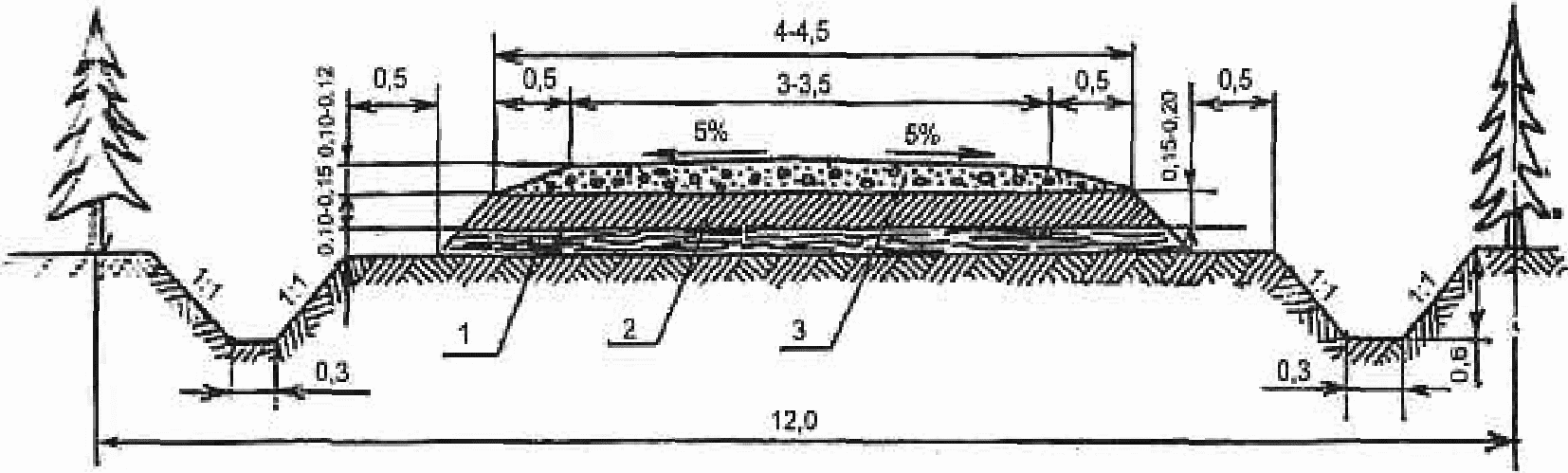
6.2.1 Основные параметры поперечного профиля проезжей части и земляного полотна автомобильных дорог принимают по таблице 6.2.
Таблица 6.2
Основные параметры поперечного профиля дорог
Категория дороги | Число полос | | Ширина краевой полосы, м | Ширина обочины, м | Ширина земляного полотна (без ограждения), м |
Укрепленная часть | Ширина обочины без ограждения |
Iл | 2 | 3,75 | 0,5 | 0,75 | 1,5 | 10,5 |
IIл | 2 | 3,50 | 0,5 | 0,5 | 1,5 | 10,0 |
IIIл | 1 | 4,5 | - | 0,5 | 1,0 | 6,5 |
(в ред. Изменения N 2, утв. Приказом Минстроя России от 07.12.2021 N 903/пр) |
IVл | 1 | 4,5 | - | 0,5 | 1,0 | 6,5 |
Примечания 1 В случае движения по дорогам нестандартных автотранспортных средств ширина проезжей части принимается равной трем габаритам автомобиля. При низкой интенсивности движения нестандартных транспортных средств необходимо рассмотреть целесообразность устройства разъездных площадок с установкой соответствующих дорожных знаков. 2 В случае экономической нецелесообразности устройства проезжей части шириной 4,5 м на лесохозяйственных дорогах категории IV л (низкая интенсивность движения, малогабаритные автомобили и т.п. самоходные средства), а также для временных дорог (летнего или зимнего использования) допускается снижение ширины проезжей части до 3,5 м с обочинами шириной до 1 м. Безопасность движения следует предусматривать в соответствии с ГОСТ Р 52289. 3 При установке транспортных ограждений ширина обочины должна быть увеличена в соответствии с ГОСТ Р 52289. |
(п. 6.2.1 в ред.
Изменения N 1, утв. Приказом Минстроя России от 04.02.2019 N 83/пр)
6.2.2 На горизонтальных кривых радиусом 600 м и менее следует предусматривать устройство виражей с односкатным поперечным профилем (с уклоном к центру кривой). Поперечные уклоны на виражах должны быть не меньше поперечных уклонов покрытия на участках с двухскатным профилем (таблица 6.3).
Таблица 6.3
Поперечные уклоны на виражах
Расчетная скорость движения, км/ч | Поперечный уклон,  , при радиусе горизонтальной кривой, м |
600 - 501 | 500 - 401 | 400 - 301 | 300 - 201 | 200 - 101 | 100 - 81 | 80 - 61 | 60 - 40 | 30 |
60 | 30 | 30 | 30 | 40 | 50 | 60 | - | - | - |
50 | 30 | 30 | 30 | 30 | 40 | 50 | 60 | - | - |
40 | 20 | 20 | 30 | 30 | 30 | 40 | 40 | 50 | - |
30 | 20 | 20 | 20 | 20 | 30 | 30 | 30 | 40 | 50 |
(п. 6.2.2 в ред.
Изменения N 1, утв. Приказом Минстроя России от 04.02.2019 N 83/пр)
6.2.3 На однополосных дорогах для разъезда встречных автомобилей в пределах видимости, но не более, чем через 500 м устраивают площадки для остановки автомобилей на время ожидания проезда встречного автомобиля. Длина площадки должна соответствовать длине расчетного автомобиля с запасом 10 м. Для въезда и выезда автомобилей необходимо предусматривать участки дорог протяженностью по 10 м и уклоном в плане 1:10. В стесненных условиях устраивают площадки для остановки со стороны порожнего направления
(приложение Ж).
(п. 6.2.3 в ред.
Изменения N 2, утв. Приказом Минстроя России от 07.12.2021 N 903/пр)
6.2.4 Ширину обочины при установке ограждений принимают в соответствии с
ГОСТ Р 52289.
(п. 6.2.4 в ред.
Изменения N 1, утв. Приказом Минстроя России от 04.02.2019 N 83/пр,
Изменения N 2, утв. Приказом Минстроя России от 07.12.2021 N 903/пр)
6.2.5 Участки кривых на однополосных дорогах, не просматриваемые по условиям рельефа, допускается проектировать с такой же шириной земляного полотна и проезжей части, как и для двухполосных дорог. Переход от ширины земляного полотна и дорожной одежды однополосных дорог к ширине земляного полотна и дорожной одежды двухполосных дорог осуществляется на участке дороги протяженностью 10 м.
(в ред.
Изменения N 2, утв. Приказом Минстроя России от 07.12.2021 N 903/пр)
6.2.5а При радиусах кривых в плане 1000 м и менее предусматривают уширение проезжей части с внутренней стороны за счет обочин, с таким расчетом, чтобы ширина обочин была не менее 1,5 м для дорог категорий Iл и IIл и не менее 1 м - для дорог остальных категорий. Величины полного уширения двухполосной проезжей части дорог на криволинейных участках плана переменной кривизны должны быть пропорциональны кривизне трассы в каждой ее точке в соответствии с таблицей 6.3а.
Таблица 6.3а
Уширение проезжей части на горизонтальных кривых
Радиус кривой в плане, м | Значения уширения проезжей части для одиночного автомобиля и автопоезда, м, при расстоянии от переднего бампера до задней оси автомобиля или автопоезда, м |
До 7 м для одиночного автомобиля и до 11 м для автопоезда | 13 | 15 | 18 | 20 | 23 | 25 |
30 | 2,2 | - | - | - | - | - | - |
40 | 1,8 | 3,5 | - | - | - | - | - |
50 | 1,5 | 3,0 | 3,5 | - | - | - | - |
60 | 1,4 | 2,8 | 3,0 | - | - | - | - |
70 | 1,3 | 2,2 | 2,5 | - | - | - | - |
80 | 1,2 | 2,0 | 2,3 | 3,5 | - | - | - |
90 - 100 | 1,1 | 1,8 | 2,0 | 3,0 | 3,5 | - | - |
125 - 150 | 0,9 | 1,4 | 1,5 | 2,2 | 2,7 | 3,0 | - |
200 - 250 | 0,8 | 1,0 | 1,1 | 1,5 | 2,0 | 2,2 | 2,8 |
300 - 350 | 0,6 | 0,8 | 0,9 | 1,1 | 1,5 | 1,6 | 2,1 |
400 - 450 | 0,5 | 0,7 | 0,7 | 0,9 | 1,2 | 1,3 | 1,7 |
550 - 600 | 0,5 | 0,6 | 0,6 | 0,8 | 0,9 | 1,0 | 1,3 |
600 - 700 | 0,4 | 0,5 | 0,5 | 0,7 | 0,7 | 0,8 | 1,0 |
800 - 900 | - | 0,4 | 0,4 | 0,5 | 0,6 | 0,7 | 0,8 |
1000 | - | - | - | 0,4 | 0,5 | 0,6 | 0,7 |
(п. 6.2.5а введен
Изменением N 1, утв. Приказом Минстроя России от 04.02.2019 N 83/пр)
6.2.6 На кривых участках, не просматриваемых по условиям рельефа, в целях сокращения протяженности двухполосных участков кривые следует проектировать радиусом не более 150 м.
6.2.7 На лесовозных дорогах категории Iл в особо сложном рельефе (при соответствующем технико-экономическом обосновании) допускается проектировать участки (или дорогу на всем протяжении) с шириной земляного полотна по нормам дорог категории IIл с организацией разъездов в пределах видимости.
(в ред.
Изменения N 2, утв. Приказом Минстроя России от 07.12.2021 N 903/пр)
6.2.8 Проезжую часть на прямых участках дорог категории IVл и на кривых с радиусом в плане 600 м и более устраивают с двухскатным поперечным профилем. При двухскатном поперечном профиле и обочинах 1 м уклоны обочин принимают равными уклонам проезжей части:
(в ред.
Изменения N 2, утв. Приказом Минстроя России от 07.12.2021 N 903/пр)
-

- при устройстве переходных и низших типов дорожных одежд из различных минеральных материалов (гравийных, щебеночных и др.);
-

- при устройстве дорог без покрытий.
Поперечные уклоны обочин более 1 м при корытном профиле дорожных одежд принимают на

больше уклонов проезжей части, но не более

.
В зависимости от климатических условий и типа укрепления обочин допускаются следующие значения поперечных уклонов:
-

- при укреплении с применением вяжущих;
-

- " " гравием, щебнем, шлаком;
-

- " " одерновкой или засевом трав.
Для однополосных дорог с проезжей частью серповидного профиля уклоны проезжей части и обочин принимают одинаковыми:
-

- при гравийных, щебеночных, грунтогравийных и улучшенных грунтовых покрытиях;
-

- при гравийных, щебеночных покрытиях и из других материалов, укрепленных вяжущими.
6.2.9 Поверхности земляного полотна придается двухскатный поперечный профиль с уклонами:
-

- при устройстве дорожной одежды серповидного профиля;
- равным уклону проезжей части - дна корыта при полукорытном и корытном профиле;
-

- при устройстве дорог без покрытия.
6.2.10 На кривых участках в плане при соответствующих значениях расчетных скоростей движения следует предусматривать устройство виражей с односкатным поперечным профилем (с уклоном к центру кривой). Поперечные уклоны на виражах должны быть не меньше поперечных уклонов покрытия на участках с двухскатным профилем.
Допускается не предусматривать устройство виражей на участках дорог, располагаемых в зоне примыканий и пересечений.
В горной местности, если центр кривой расположен в сторону обрыва, поперечный профиль дороги допускается проектировать с уклоном

в сторону горы с соответствующим ограничением скорости движения.
6.2.11 Переход от двухскатного поперечного профиля дороги к односкатному на вираже осуществляется на протяжении переходной кривой, а при ее отсутствии - на прилегающем к кривой прямом участке постепенным вращением внешней половины проезжей части до получения односкатного поперечного профиля на всей проезжей части.
6.2.12 Поперечный уклон обочины на вираже следует принимать одинаковым с уклоном проезжей части дороги. Переход от принятого уклона обочин на прямых участках дороги к уклону проезжей части на вираже следует проводить на протяжении не менее 10 м от начала отгона виража.
6.2.13 При сопряжении кривых в плане, обращенных в одну сторону, без прямой вставки между ними или с длиной вставки, меньшей половины длины переходной кривой, поперечный профиль следует принимать односкатным на всем протяжении кривых и прямой вставки.
6.3 План и продольный профиль
6.3.1 Величины параметров плана и продольного профиля базового (рекомендуемого) варианта принимают по таблице 6.4.
Минстроя России от 07.12.2021 N 903/пр)
Наименование параметров | Расчетная скорость, км/ч |
60 | 50 | 40 | 30 |
Продольный уклон не более,  | 30 | 30 | 30 | 40 |
Расстояние видимости не менее, м: | | | | |
- до остановки | 250 | 200 | 150 | 100 |
- встречного автомобиля | 450 | 350 | 300 | 200 |
Радиусы горизонтальных кривых не менее, м: | 300 | 200 | 150 | 100 |
вертикальных кривых не менее: | | | | |
- выпуклых | 26000 | 16700 | 9400 | 4200 |
- вогнутых | 9600 | 7300 | 5000 | 2900 |
(п. 6.3.1 в ред.
Изменения N 1, утв. Приказом Минстроя России от 04.02.2019 N 83/пр)
6.3.2 На участках пересеченной местности, а также на других участках, выполнение которых связано со значительными объемами работ и стоимостью строительства дороги, при проектировании допускается снижать параметры
таблицы 6.4 при условии соблюдения требований к охране окружающей среды и безопасности дорожного движения. Предельно допустимые значения параметров надлежит принимать по таблице 6.5.
Таблица 6.5
Минстроя России от 07.12.2021 N 903/пр)
Наименование параметров | Расчетная скорость, км/ч |
Iл | IIл | IIIл | IVл |
Продольный уклон не более,  | 70 | 80 | 80 | 90 |
Расстояние видимости не менее, м: | | | | |
- до остановки | 85 | 75 | 75 | 55 |
- встречного автомобиля | 170 | 130 | 130 | 110 |
Радиусы горизонтальных кривых не менее, м: | 100 | 65 | 65 | 35 |
Радиусы вертикальных кривых не менее: | | | | |
- выпуклых | 3000 | 2300 | 2300 | 1300 |
- вогнутых | 1800 | 1200 | 1200 | 1200 |
Примечания 1 Для участков автомобильных дорог, находящихся в особо неблагоприятных условиях, значение продольного уклона должно быть снижено на 20%. 2 При движении автопоездов в составе грузового автотранспорта в количестве 25% и более величину продольного уклона необходимо снижать на 15%. 3 В особо трудных условиях в районах с отсутствием гололеда наибольшие значения продольных уклонов, указанные в настоящей таблице, могут быть увеличены, но не более чем на  при соответствующем обосновании. 4 При назначении предельных продольных уклонов необходимо обеспечивать сохранность груза. 5 В горных районах при высотах над уровнем моря, превышающих 1000 м, значение максимального продольного уклона не должно превышать 8%. |
(п. 6.3.2 в ред.
Изменения N 1, утв. Приказом Минстроя России от 04.02.2019 N 83/пр)
6.3.3 Исключен с 5 августа 2019 года. -
Изменение N 1, утв. Приказом Минстроя России от 04.02.2019 N 83/пр.
6.3.4 При перевозке древесины в хлыстах минимальные радиусы кривых в плане на дорогах категории Iл в грузовом направлении:
(в ред.
Изменения N 2, утв. Приказом Минстроя России от 07.12.2021 N 903/пр)
- на правых поворотах - 100 м;
- на левых поворотах - 50 м;
- на дорогах категорий IIл, IIIл и IVл - 30 м.
(в ред.
Изменения N 2, утв. Приказом Минстроя России от 07.12.2021 N 903/пр)
6.3.5 В особо трудных условиях при соответствующем обосновании в районах с отсутствием гололеда наибольшие продольные уклоны, указанные в
таблице 6.5, могут быть увеличены, но не более чем на

.
(в ред.
Изменения N 2, утв. Приказом Минстроя России от 07.12.2021 N 903/пр)
6.3.6 Исключен с 08.01.2022. -
Изменение N 2, утв. Приказом Минстроя России от 07.12.2021 N 903/пр.
6.3.7 Предельную длину участка с затяжным уклоном в горных условиях определяют в зависимости от величины уклона, но она не должна превышать значений, приведенных в таблице 6.6.
Таблица 6.6
Минстроя России от 07.12.2021 N 903/пр)
Продольный уклон,  | Длина участка, м, над уровнем моря, м |
1000 | 2000 | 3000 |
60 | 1500 | 1200 | 1000 |
70 | 1200 | 1000 | 800 |
80 | 1000 | 800 | 600 |
Примечание - В случае движения автопоездов на затяжных продольных уклонах необходимо предусматривать площадки для остановки 2 - 3 машин, частота расположения которых определяется погодно-климатическими условиями в данной местности и состоянием подвижного состава. Размеры площадки определяют расчетом с учетом интенсивности и состава движения. Ориентировочно ширину площадки принимают равной 3,0 м, отгонов - по 15 м и длину основной части площадки принимают - 25 м. |
(п. 6.3.7 в ред.
Изменения N 1, утв. Приказом Минстроя России от 04.02.2019 N 83/пр)
6.3.8 На дорогах в горной местности при затяжных продольных уклонах более

через каждые 600 м следует проектировать площадки для остановки автомобилей. Длина площадки должна соответствовать длине расчетного автомобиля с запасом 10 м. Для въезда и выезда автомобилей необходимо предусматривать участки дорог протяженностью по 10 м и уклоном в плане 1:10.
(п. 6.3.8 в ред.
Изменения N 2, утв. Приказом Минстроя России от 07.12.2021 N 903/пр)
6.3.9 Для обеспечения расчетной видимости на кривых в плане с внутренней стороны, при необходимости, необходимо предусматривать следующие мероприятия: расчистка леса и кустарника, разработка откосов выемок и крутых косогоров, перенос строений, препятствующих видимости. При невозможности обеспечить видимость путем расчистки откоса, выемки от леса и кустарника необходима дополнительная установка дорожных знаков
(приложение Г).
6.3.9а Необходимость устройства серпантина определяется условиями, приведенными в таблице 6.6а.
Таблица 6.6а
Параметры элементов серпантина
Параметры элементов серпантина | Параметры элементов серпантина при расчетной скорости, км/ч |
30 | 20 | 15 |
Наименьший радиус горизонтальных кривых, м | 30 | 20 | 15 |
(в ред. Изменения N 2, утв. Приказом Минстроя России от 07.12.2021 N 903/пр) |
Поперечный уклон проезжей части на вираже,  | 60 | 60 | 60 |
Длина переходной кривой, м | 30 | 25 | 20 |
Уширение проезжей части, м | 2,2 | 3,0 | 3,5 |
Наибольший продольный уклон в пределах серпантина,  | 30 | 35 | 40 |
Примечание - Серпантины радиусом менее 30 м допускаются только на дорогах категорий IIIл и IVл при запрещении движения автотранспортных средств длиной более 11 м. |
(п. 6.3.9а введен
Изменением N 1, утв. Приказом Минстроя России от 04.02.2019 N 83/пр)
6.3.10 Расстояние между концом сопрягаемой кривой одного серпантина и началом сопрягающей кривой другого должно быть не менее 200 м для дорог категорий Iл и IIл и не менее 100 м для дорог категорий IIIл и IVл.
(п. 6.3.10 в ред.
Изменения N 1, утв. Приказом Минстроя России от 04.02.2019 N 83/пр)
6.3.11 Расстояние от кромки проезжей части на лесных дорогах до производственных зданий, сооружений, зеленых насаждений в населенных пунктах и до лесополос (при отсутствии в составе движения автопоездов с хлыстами) принимают по таблице 6.8.
Таблица 6.8
Наименование зданий и сооружений | Наименьшее расстояние (в свету) от зданий и сооружений до кромки проезжей части, м |
Наружные грани стен зданий: | |
- при отсутствии въездов в здание и при длине его до 20 м | 1,5 |
- при отсутствии въездов в здание и при длине его более 20 м | 3,0 |
- при наличии въезда в здание двухосных автомобилей и автопогрузчиков | 8,0 |
- при наличии въезда в здание трехосных автомобилей | 12,0 |
Оси параллельно расположенных железнодорожных путей: | |
- колеи 1524 мм | 3,75 |
- колеи 750 мм | 3,0 |
Ограждение территории | 1,5 |
Зеленые насаждения: | |
- ствол дерева с кроной диаметром 5 м | 2,0 |
- край кустарника | 1,0 |
Конструкция опор, осветительных столбов, мачт и других сооружений | 1,0 |
(в ред.
Изменения N 2, утв. Приказом Минстроя России от 07.12.2021 N 903/пр)
| | ИС МЕГАНОРМ: примечание. В официальном тексте документа, видимо, допущена опечатка: пункт 6.13.11 отсутствует. Возможно, имеется в виду пункт 6.3.11. | |
6.3.12 При вывозке древесины в хлыстах приведенные в
6.13.11 здания и сооружения, а также откосы выемок дороги на уровне проезжей части (при расположении их с внешних сторон кривых) должны отстоять от кромки проезжей части дорог в соответствии с
ГОСТ 32959 на расстоянии, указанном в таблице 6.9.
(в ред.
Изменения N 1, утв. Приказом Минстроя России от 04.02.2019 N 83/пр)
Радиусы кривых в плане, м | Наименьшее расстояние, м, от кромки проезжей части дорог до препятствий, расположенных с внешних сторон кривых, при вывозке хлыстов или деревьев длиной, м |
до 20 | 21 - 25 | 26 - 30 |
30 | 3,2 | 4,6 | 6,5 |
40 | 2,5 | 3,7 | 5,2 |
50 | 2,1 | 3,1 | 4,3 |
60 | 1,8 | 2,6 | 3,7 |
80 | 1,4 | 2,0 | 2,8 |
100 | 1,1 | 1,7 | 2,3 |
125 | 1,0 | 1,5 | 2,0 |
150 | 0,8 | 1,2 | 1,6 |
200 | 0,6 | 0,9 | 1,3 |
250 | 0,5 | 0,8 | 1,1 |
300 | 0,4 | 0,7 | 0,8 |
350 | 0,4 | 0,5 | 0,7 |
400 | 0,3 | 0,5 | 0,6 |
500 | 0,3 | 0,4 | 0,5 |
600 | - | 0,3 | 0,4 |
700 | - | - | 0,4 |
800 | - | - | 0,3 |
6.3.13 Если в силу местных условий возможно попадание на дорогу с придорожной полосы людей или животных, следует обеспечить боковую видимость прилегающей к дороге полосы на расстояние 15 м для дорог категорий I
л и II
л и 10 м для дорог категорий III
л, IV
л [8].
(в ред.
Изменения N 2, утв. Приказом Минстроя России от 07.12.2021 N 903/пр)
При необходимости пешеходное движение предусматривают вдоль дорог за пределами земляного полотна. В особо сложных условиях допускается проектировать пешеходное движение в одном уровне с дорогой с приближением края пешеходной дороги к проезжей части не ближе 0,75 м, а при наличии в составе движения автопоездов с хлыстами, кроме того, с учетом требований, приведенных в
таблице 6.9.
6.3.14 На переломах проектной линии продольного профиля необходимо предусматривать вертикальные кривые, обеспечивающие плавность движения, а также видимость дороги и встречных автомобилей.
Вертикальные кривые следует назначать при сопряжении переломов проектной линии продольного профиля при алгебраической разнице уклонов

и более на дорогах категории I
л,

и более - для дорог категории II
л и

и более - на дорогах категорий III
л, IV
л. В особо сложных горных условиях при расчетных скоростях движения 20 км/ч и менее, а также на дорогах категории IV
л и на дорогах с невыраженным грузооборотом допускается назначать вертикальные кривые при алгебраической разнице переломов продольного профиля до

.
(в ред.
Изменения N 2, утв. Приказом Минстроя России от 07.12.2021 N 903/пр)
6.3.15 Радиусы вертикальных кривых следует принимать с таким расчетом, чтобы длина кривой была не менее 10 м.
Расстояние между вершинами перелома проектной линии в продольном профиле должно обеспечивать размещение вертикальных кривых.
Смежные кривые в продольном профиле допускается проектировать без прямых вставок между ними.
6.3.16 Наибольшие подъемы при совпадении их с кривыми радиусом менее 250 м уменьшают на значение, равное:

- для дорог с переходными и низшими покрытиями;

- для дорог с усовершенствованным покрытием.
6.4 Земляное полотно и водоотвод
6.4.1 Земляное полотно лесных автомобильных дорог следует проектировать в соответствии с указаниями
СП 34.13330 исходя из условий сохранности геометрической формы земляного полотна и устойчивости дорожной одежды, независимо от изменяющегося температурного и водного режима, при наименьших размерах затрат на строительство дороги
[14].
Прочность и устойчивость земляного полотна достигают одним из следующих мероприятий или их комплексом:
- устройство земляного полотна из устойчивых грунтов;
- замена местных неустойчивых грунтов;
- обеспечение надлежащего отвода поверхностных и грунтовых вод в целях недопущения переувлажнения или размыва грунта земляного полотна, а также отводом воды от дорожной одежды;
- необходимое возвышение бровки земляного полотна над поверхностью земли, над расчетными горизонтами грунтовых вод или длительным стоянием поверхностных вод;
- устройство соответствующих дренажей;
- надлежащее уплотнение грунта земляного полотна;
- назначение соответствующей крутизны откосов насыпей и выемок и их укрепление для предохранения от оползания и размыва;
- устройство на косогорах специальных инженерных сооружений (подпорные стенки, дренажи, контрбанкеты, галереи, карнизы и др.).
6.4.2 Конструкцию земляного полотна лесных дорог принимают по типовым поперечным профилям дорог действующих типовых проектов, за исключением: участков на косогорах круче 1:3, эксплуатируемых дорог, требующих реконструкции; участков пересечения глубоких оврагов, староречий, озер, болот глубиной более 4 м или меньшей глубины, где выторфовывание болот не предусматривается; других случаев, отмеченных в
разделе 7 СП 34.13330.2021, когда необходимы индивидуальные проекты земляного полотна.
(в ред.
Изменения N 2, утв. Приказом Минстроя России от 07.12.2021 N 903/пр)
6.4.3 Конструкцию земляного полотна следует принимать в зависимости от назначения дороги, типа дорожной одежды, местных природных условий, с учетом деления территории на дорожно-климатические зоны, типа местности по характеру поверхностного стока и степени увлажнения и классификации грунтов по группам (
приложения А и
Б), а также необходимо учитывать опыт эксплуатации дорог, построенных в данном районе.
6.4.4 Геометрическая форма земляного полотна должна позволять в максимальной степени механизировать работы по его строительству и последующей эксплуатации.
При проектировании земляного полотна следует рассматривать варианты сооружения его из местных или привозных грунтов, причем предпочтение следует отдавать тем из них, в которых суммарная стоимость земляного полотна, водоотвода, дорожной одежды и потерь, связанных с изъятием земель под сооружение из хозяйственного оборота, окажется наименьшей.
6.4.5 В открытой местности земляное полотно необходимо проектировать исходя из условия наименьшей заносимости его снегом, что обеспечивается одним из следующих мероприятий или их комплексом:
- расположение дороги в плане по возможности вдоль господствующих ветров;
- сокращение протяжения выемок и нулевых мест в открытой местности и проектирование возвышения бровки земляного полотна над поверхностью расчетного уровня снегового покрова на 0,5 м, назначение ширины полосы отвода, достаточной для установки снегозащитных переносных щитов, или посадка зеленых насаждений;
- рекомендуется сохранение с обеих сторон дороги невырубленной полосы леса шириной 60 м в залесенной местности.
(в ред.
Изменения N 2, утв. Приказом Минстроя России от 07.12.2021 N 903/пр)
6.4.6 Для местности типа I земляное полотно лесных автомобильных дорог допускается отсыпать небольшими насыпями так, чтобы расстояние от низа дорожной одежды до поверхности земли, а также над расчетным уровнем воды в кюветах или от дна безрасчетных кюветов было не менее 0,2 м.
6.4.7 На участках местности с необеспеченным стоком и глубоким залеганием грунтовых вод
(6.4.8), где поверхностные воды застаиваются только весной и осенью, а летом верхний слой грунта с ненарушенной структурой просыхает до оптимальной влажности и ниже, высоту бровки земляного полотна насыпей и значения их прочностных характеристик принимают такие же, как для типа местности I (см.
6.4.6), при условии, что расстояния от бровки земляного полотна до уреза воды будут больше значений, указанных в
таблице 6.10. При несоблюдении этих условий земляное полотно проектируют в соответствии с требованиями
6.4.8,
ГОСТ 33068.
(в ред.
Изменения N 1, утв. Приказом Минстроя России от 04.02.2019 N 83/пр,
Изменения N 2, утв. Приказом Минстроя России от 07.12.2021 N 903/пр)
Грунты верхней толщи грунта с ненарушенной структурой | Число пластичности | Безопасное расстояние от бровки земляного полотна до уреза воды, м |
Супесь | 1 | 11,0 |
3 | 7,0 |
5 | 5,0 |
7 | 4,0 |
Легкий и легкий пылеватый суглинок | 8 | 3,0 |
10 | 2,5 |
12 | 2,0 |
Тяжелый и тяжелый пылеватый суглинок | 14 | 1,5 |
17 | 1,0 |
Глина | Более 17 | Менее 1,0 |
Примечания 1 Признаком просыхания верхней толщи грунтов с ненарушенной структурой в летний период является отсутствие поверхностного заболачивания. 2 При наличии признаков поверхностного заболачивания участка удовлетворительные показатели влажности верхней толщи грунтов с нарушенной структурой в летний период, позволяющие проектировать земляное полотно в соответствии с требованиями 6.4.6, следует подтверждать лабораторными анализами отобранных в натуре образцов. |
6.4.8 На участках, где верхний слой грунтов с ненарушенной структурой не просыхает в летнее время до оптимальной влажности и ниже, возвышение низа дорожной одежды над расчетным уровнем грунтовых или длительно стоящих (более 20 сут) поверхностных вод на сырых и мокрых участках (тип местности III) не должно быть менее указанного в числителе
таблицы 6.11, а низа дорожной одежды над поверхностью земли на участках с необеспеченным стоком поверхностных вод (II тип местности) - не менее указанного в знаменателе.
(в ред.
Изменения N 2, утв. Приказом Минстроя России от 07.12.2021 N 903/пр)
Грунт, используемый для насыпей | Минимальное возвышение низа дорожной одежды для дорог, расположенных в пределах дорожно-климатических зон, м |
II | III | IV | V |
Средний и мелкий песок; легкая крупная супесь | 0,5/0,7 | 0,6/0,4 | 0,5/0,3 | 0,4/0,2 |
Пылеватый песок; легкая супесь | 1,2/0,6 | 0,8/0,5 | 0,8/0,4 | 0,7/0,3 |
Пылеватая супесь и тяжелая пылеватая; легкий суглинок, легкий пылеватый и тяжелый пылеватый суглинок | 1,9*/0,8 | 1,7*/0,6 | 1,4*/0,5 | 1,3*/0,4 |
Тяжелый суглинок, глины | 1,9*/0,7 | 1,4*/0,6 | 1,1*/0,4 | 1,0*/0,4 |
Примечания 1 Возведение высоких насыпей из неблагоприятных грунтов, отмеченных в таблице знаком *, допускается в исключительных случаях при соответствующем технико-экономическом обосновании по сравнению с вариантами отсыпки насыпи из привозных дренирующих грунтов. 2 Для крупных песков (более 0,5 мм), не теряющих устойчивости во влажном состоянии, возвышение низа дорожной одежды над уровнем воды не нормируется. 3 За расчетный уровень грунтовых вод следует принимать расчетный осенний уровень, а при отсутствии необходимых данных - наивысший возможный уровень, определяемый по верхней линии оглеения грунтов. 4 Возвышение низа дорожной одежды над уровнем грунтовых вод, пониженных посредством дренажа, следует принимать на 25% меньше указанного в настоящей таблице. 5 Низ дорожной одежды принимают по границе последнего по глубине конструктивного слоя одежды, учитываемого при расчете на прочность. 6 Возвышение низа дорожной одежды в случаях устройства морозозащитных слоев допускается уменьшить по сравнению с нормами настоящей таблицы на основе расчета конструкций дорожных одежд. |
6.4.9 Минимальное возвышение низа дорожных одежд лесных автомобильных дорог допускается уменьшать по сравнению с нормами
таблицы 6.11 на основе опыта эксплуатации автомобильных дорог в районе строительства, но не более чем в 1,5 раза.
6.4.10 Земляное полотно лесных дорог при типах местности I и II по степени увлажнения на участках с наличием выраженного дернового слоя следует проектировать насыпями не менее 1,0 м (от низа дорожной одежды до поверхности земли), при которых не требуется снятие в их основании дернового слоя.
(в ред.
Изменения N 2, утв. Приказом Минстроя России от 07.12.2021 N 903/пр)
Корчевку пней на дорогах категорий Iл и IIл назначают под насыпями высотой до 0,5 м от низа дорожной одежды, под насыпями на косогорах, на которых проектируют снятие растительного слоя при рыхлении основания насыпи или устройство уступов, а также на участках, занимаемых выемками, боковыми канавами и резервами.
(в ред.
Изменения N 2, утв. Приказом Минстроя России от 07.12.2021 N 903/пр)
При высоте насыпи от 0,5 до 1 м пни срезают в уровень с землей.
При большой высоте насыпи пни высотой не более 0,2 м разрешается оставлять.
На дорогах категорий IIIл, IVл при высоте насыпи до 0,5 м пни разрешается срезать в уровень с поверхностью земли, а при большей высоте насыпи пни высотой не более 0,2 м допускается оставлять.
(в ред.
Изменения N 2, утв. Приказом Минстроя России от 07.12.2021 N 903/пр)
6.4.11 В случаях обоснованного проложения дорог на землях сельскохозяйственного назначения насыпи возводят, как правило, из привозного грунта при условии снятия из-под насыпи плодородного слоя почвы.
Отсыпка насыпей из боковых резервов на землях сельскохозяйственного пользования допускается в исключительных случаях. При этом отвод земель для этих резервов предусматривается только для временного краткосрочного пользования на период строительства дороги при условии снятия и восстановления плодородного слоя на этих землях в соответствии с проектом рекультивации.
6.4.12 Для повышения устойчивости и устранения последующих осадок все насыпи послойно уплотняют до требуемой по проекту плотности. Наименьший коэффициент уплотнения приведен в
таблице 6.11а.
(в ред.
Изменения N 2, утв. Приказом Минстроя России от 07.12.2021 N 903/пр)
Абзац исключен с 08.01.2022. -
Изменение N 2, утв. Приказом Минстроя России от 07.12.2021 N 903/пр.
Минстроя России от 07.12.2021 N 903/пр)
Элементы земляного полотна | Глубина расположения слоя от поверхности покрытия, м | Наименьший коэффициент уплотнения при типе дорожных одежд |
Капитальный | Облегченный и переходный |
В дорожно-климатических зонах |
I | II, III | IV, V | I | II, III | IV, V |
Рабочий слой | До 1,5 | 0,96 - 0,98 | 0,98 - 1,0 | 0,95 - 0,98 | 0,93 - 0,95 | 0,95 - 0,98 | 0,95 |
Неподтопляемая часть насыпи | Свыше 1,5 до 6 | 0,93 - 0,95 | 0,95 | 0,95 | 0,93 | 0,95 | 0,90 |
Неподтопляемая часть насыпи | Свыше 6 | 0,95 | 0,98 | 0,95 | 0,93 | 0,95 | 0,90 |
Подтопляемая часть насыпи | Свыше 1,5 до 6 | 0,95 - 0,96 | 0,9 - 0,98 | 0,95 | 0,93 - 0,95 | 0,95 | 0,95 |
Подтопляемая часть насыпи | Свыше 6 | 0,96 | 0,98 | 0,98 | 0,95 | 0,95 | 0,95 |
В рабочем слое выемки ниже зоны сезонного промерзания | До 1,2 | - | 0,95 | - | - | 0,92 - 0,95 | - |
В рабочем слое выемки ниже зоны сезонного промерзания | До 0,8 | - | - | 0,92 - 0,95 | - | - | 0,90 |
6.4.13 Конструкцию земляного полотна на участках дорог, проходящих по болотам, назначают в зависимости от типа дороги, типа болота, его глубины, водного режима и наличия местных материалов.
6.4.14 Грунты для сооружения земляного полотна должны соответствовать требованиям, изложенным в
таблице 6.11б и в
приложении В.
(п. 6.4.14 в ред.
Изменения N 2, утв. Приказом Минстроя России от 07.12.2021 N 903/пр)
6.4.14а Глинистые грунты для сооружения земляного полотна в I ДКЗ должны соответствовать требованиям, изложенным в
таблице 6.11б.
Часть насыпи | Глубина расположения слоя от низа дорожной одежды, м | Разновидности грунтов, рекомендуемых для отсыпки земляного полотна при типе покрытия |
усовершенствованном капитальном | переходном и низшем |
Тип местности по характеру поверхностного стока, степени увлажнения и мерзлотно-грунтовым условиям |
1-й | 2-й | 3-й | 1-й | 2-й | 3-й |
Верхняя | до 1,5 | Пески, супеси легкие, суглинки легкие с содержанием пылеватых частиц не более 35% и глинистых - не более 15% | Пески, супеси легкие с содержанием пылеватых частиц не более 30% и глинистых - не более 10% | Пески, супеси и суглинки с содержанием пылеватых частиц не более 50% и глинистых - не более 25% | Пески, супеси, суглинки с содержанием пылеватых частиц не более 50% и глинистых - не более 20% |
Нижняя неподтапливаемая | 1,5 - 6,0 | Пески, супеси легкие, суглинки легкие с содержанием пылеватых частиц не более 35%, глинистых не более 20% | Пески крупно- и среднезернистые, супеси легкие с содержанием пылеватых частиц до 35%, глинистых - до 15% | | Пески, супеси, суглинки легкие пылеватые с содержанием пылеватых частиц не более 55% и глинистых - не более 25%, торфяные грунты | Супеси легкие, пески крупнозернистые, суглинки легкие с содержанием пылеватых частиц не более 40% и глинистых - не более 20% |
Нижняя подтапливаемая | 1,5 - 6,0 | | Пески крупно- и среднезернистые, супеси легкие с содержанием пылеватых частиц не более 35% и глинистых - не более 15% | | Пески крупнозернистые, супеси и суглинки с содержанием пылеватых и глинистых частиц до 70% | Пески крупнозернистые, супеси легкие, суглинки легкие с содержанием пылеватых частиц до 40% и глинистых до 20% |
Примечания 1 Без соответствующей обработки не допускается использовать: пески, супеси, суглинки с содержанием пылеватых частиц более 50% и глинистых - более 20%, а также чернозем, торфяные и лессовидные грунты. 2 При выборе материалов для дорожной одежды приоритетным должно быть использование отходов местной промышленности. |
(п. 6.4.14а введен
Изменением N 2, утв. Приказом Минстроя России от 07.12.2021 N 903/пр)
6.4.15 Земляное полотно лесных дорог I и II типов на болотах допускается устраивать на хворостяной подушке, выстилке, фашинах или бревнах (еланях).
(в ред.
Изменения N 2, утв. Приказом Минстроя России от 07.12.2021 N 903/пр)
6.4.16 На сопряжении с мостами насыпи на длине поверху не менее высоты насыпи плюс 2 м (считая от устоя) и не менее 2 м понизу необходимо возводить из непучинистых дренирующих грунтов.
6.4.17 Крутизну откосов насыпей и выемок для дорог всех категорий следует выполнять до максимально допустимых предельных значений
(приложение Д).
6.4.18 Для отвода поверхностных вод и предохранения основания дорожной одежды от переувлажнения используют продольные канавы или резервы от насыпей и нагорные канавы, или кюветы от выемок:
- глубина канав (кюветов) должна быть такой, чтобы расстояние от низа дренажных устройств, отводящих воду из основания дорожной одежды, до расчетного уровня воды в них или до дна безрасчетных кюветов было не менее 0,2 м;
- дну продольных канав придают уклон не менее

и в исключительных случаях -

. При невыполнении этих требований возвышение бровки земляного полотна над поверхностью земли устанавливают в соответствии с
6.4.9;
- в песчаных, гравийных и других хорошо дренирующих грунтах канавы допускается не устраивать.
6.4.19 При наличии опасности размыва или оползания откосов земляного полотна от поверхностных вод с нагорной стороны склонов крутизной более 1:5 следует предусматривать нагорные канавы.
6.4.20 Минимальные размеры и типы укрепления водоотводных устройств следует назначать на основе гидравлических расчетов.
6.4.21 Откосы, дно канав, лотков и кюветов укрепляют в случаях, когда расчетные скорости течения воды, установленные гидравлическими расчетами, превышают допустимые для соответствующих грунтов.
При недостаточности средств обычного укрепления для погашения скоростей течения воды допускается предусматривать перепады, водобойные колодцы, быстротоки и т.д.
Канавы укрепляют по всему периметру выше расчетного горизонта на 0,1 м.
6.5.1 Принципы конструирования дорожной одежды приведены в
[15],
[18]. В результате сравнения технико-экономических показателей следует принимать наиболее экономичный вариант системы "земляное полотно - дорожная одежда.
(п. 6.5.1 в ред.
Изменения N 2, утв. Приказом Минстроя России от 07.12.2021 N 903/пр)
6.5.1а При проектировании дорожной одежды необходимо руководствоваться следующими принципами:
- тип дорожной одежды и вид покрытия, конструкция одежды в целом должны удовлетворять транспортно-эксплуатационным требованиям, предъявляемым к дороге соответствующей категории и ожидаемым в перспективе составу и интенсивности движения с учетом изменения интенсивности движения в течение заданных межремонтных сроков и предполагаемых условий ремонта и содержания;
- при проектировании дорожной одежды расчетное значение модуля упругости грунтов земляного полотна и дорожно-строительных материалов принимают с учетом
[18];
- в районах, недостаточно обеспеченных каменными материалами, необходимо применять местные строительные материалы, побочные продукты промышленности и природные органические вяжущие;
- в конструкции капитального типа необходимо предусматривать современные высокоэффективные морозозащитные материалы и геоматериалы, обеспечивающие прочность и устойчивость дорожной конструкции, откосов и придорожной полосы в течение всего периода эксплуатации.
(п. 6.5.1а введен
Изменением N 2, утв. Приказом Минстроя России от 07.12.2021 N 903/пр)
6.5.1б В качестве высокоэффективных материалов, обеспечивающих повышение несущей способности слабых оснований дорог и сокращение сроков консолидации дорожных конструкций в условиях переувлажненных грунтов, необходимо использовать георешетку, армирующие свойства которой позволяют повысить ровность поверхности проезжей части, снизить расход привозных кондиционных материалов, сократить сроки строительства и увеличить сроки службы конструкции.
(п. 6.5.1б введен
Изменением N 2, утв. Приказом Минстроя России от 07.12.2021 N 903/пр)
6.5.1в На
рисунке 6.1 приведены характерные дорожные конструкции капитального типа, применение которых целесообразно на дорогах категории I
л при длительном сроке использования, высоком грузообороте и типе местности по условиям увлажнения I и II. Характеристики георешетки приведены в
приложении Г.
Рисунок 6.1 - Характерные конструкции дорожных одежд
капитального типа с асфальтобетонным
и цементобетонным покрытием
На нижнем складе, где дорожные конструкции работают в условиях переменного нагружения, необходимо применять жесткие покрытия, в частности, железобетонные плиты заводского изготовления
(рисунок 6.2) с использованием георешеток.
Рисунок 6.2 - Рекомендуемые дорожные конструкции с жестким
покрытием для площадок перегрузки древесины
(п. 6.5.1в введен
Изменением N 2, утв. Приказом Минстроя России от 07.12.2021 N 903/пр)
6.5.1г Дорожные одежды лесных дорог с покрытиями переходного и низшего типов для снижения строительных затрат следует проектировать с учетом ограничения или прекращения движения транспортных средств в неблагоприятные периоды года.
На
рисунке 6.3 приведены конструкции дорожных одежд облегченного, переходного и низшего типов дорожных одежд.
Дорожная одежда: а - облегченного типа;
б - переходного типа; в - низшего типа
Рисунок 6.3 - Характерные дорожные конструкции
с облегченным, переходным и низшем типом покрытия
(п. 6.5.1г введен
Изменением N 2, утв. Приказом Минстроя России от 07.12.2021 N 903/пр)
6.5.1д В конструкциях облегченного и переходного типов необходимо широко использовать стабилизаторы и модификаторы, которые позволяют повышать прочность, снижать стоимость, сокращать расход дорогостоящих привозных материалов, снижать деформативность и повышать морозо- и влагостойкость в условиях обводненной местности.
(п. 6.5.1д введен
Изменением N 2, утв. Приказом Минстроя России от 07.12.2021 N 903/пр)
6.5.2 Тип и конструкцию дорожных одежд определяют расчетом в зависимости от общего объема перевозок, интенсивности движения транспортных средств, расчетом нагрузки, а также в зависимости от климатологических и инженерно-геологических условий местности и наличия строительных материалов. Выделяют следующие типы дорожных одежд: капитальные, облегченные, переходные и низшие. Рекомендуемые типы и области применения дорожных одежд приведены в таблице 6.12.
Таблица 6.12
Тип дорожной одежды | Основной вид покрытия, материал и способ укладки | Категория дорог |
Капитальные | Цементобетонные монолитные и сборные; армобетонные для дорог: монолитные, железобетонные монолитные и сборные; асфальтобетонные плотные из смесей, укладываемых в горячем состоянии, а также вышеперечисленные покрытия, армированные геосинтетическими материалами | Iл, IIл |
(в ред. Изменения N 2, утв. Приказом Минстроя России от 07.12.2021 N 903/пр) |
Облегченные | Из подобранного щебеночного или гравийного материала, обработанного битумом в установке; из фракционированного щебня, обработанного вязким битумом в установке или методом пропитки; из щебеночной или гравийной смеси, обработанной жидким битумом методом смешения на дороге; из крупнообломочных (размером фракций до 40 мм) и песчаных грунтов, обработанных битумной эмульсией с добавкой цемента в установке с поверхностной обработкой | IIл |
(в ред. Изменения N 2, утв. Приказом Минстроя России от 07.12.2021 N 903/пр) |
Переходные | Из прочного фракционированного щебня, укладываемого по способу заклинки, из подобранного щебеночного и гравийного материала, из местных каменных и гравелисто-песчаных грунтов, обработанных вяжущими | IIIл |
(в ред. Изменения N 2, утв. Приказом Минстроя России от 07.12.2021 N 903/пр) |
Низшие | Из выровненного скального или крупноблочного грунта; из грунтов, укрепленных или улучшенных различными скелетными добавками (щебнем, гравием, шлаком и другими местными материалами); из местных каменных материалов, грунтов, укрепленных местными вяжущими; грунтовые профилированные | IVл |
(в ред. Изменения N 2, утв. Приказом Минстроя России от 07.12.2021 N 903/пр) |
6.5.3 При проектировании автомобильных дорог на слабых грунтах необходимо повышать их прочность, используя инновационные стабилизаторы и модификаторы, которые практически пригодны для всех типов местных грунтов.
Стабилизаторы и модификаторы, могут быть использованы и для повышения физико-механических свойств конструктивных слоев дорожной одежды.
При использовании стабилизаторов и модификаторов для повышения физико-механических характеристик допускается применять грунтосмесительные машины, а на участках существующих дорог - ресайклеры.
(п. 6.5.3 в ред.
Изменения N 2, утв. Приказом Минстроя России от 07.12.2021 N 903/пр)
6.5.4 На лесных дорогах рекомендуются однослойные или многослойные конструкции дорожной одежды серповидного профиля или при технико-экономическом обосновании и в соответствии с расчетом применение корытного или полукорытного профиля для капитального и облегченного типов дорожной одежды. При наличии нескольких слоев дорожной одежды она состоит из покрытия, основания, дополнительных слоев основания и подстилающего слоя в соответствии с
ГОСТ Р 53225.
(в ред.
Изменения N 1, утв. Приказом Минстроя России от 04.02.2019 N 83/пр)
Независимо от результатов расчета дорожной одежды толщины конструктивных слоев в уплотненном состоянии необходимо принимать не менее приведенных в таблице 6.13.
Таблица 6.13
Материалы покрытий и других слоев дорожной одежды | Толщина слоя, см |
Мелкозернистый асфальтобетон | 5 |
Крупнозернистый асфальтобетон | 7 |
Щебенистые (гравийные) материалы, обработанные органическими вяжущими | 8 |
Щебень, обработанный органическими вяжущими по способу пропитки | 8 |
Щебеночные и гравийные материалы, не обработанные вяжущими: | |
- на песчаном основании | 15 |
- на прочном основании (каменном или из укрепленного грунта) | 8 |
Каменные материалы и грунты, обработанные органическими или неорганическими вяжущими | 10 |
Примечания 1 Толщину конструктивного слоя принимают во всех случаях не менее двух размеров наиболее крупной фракции применяемого в слое минерального материала. 2 В случае укладки каменных материалов на глинистые и суглинистые грунты следует предусматривать прослойку толщиной не менее 10 см из песка, высевок, укрепленного грунта или других водоустойчивых материалов. 3 Для усиления прочностных свойств конструкции дорожной одежды следует использовать геотекстильные материалы. Геотекстиль служит разделителем между слоями дорожного покрытия и основания, его применение рекомендуется при строительстве на пучинистых грунтах (6.5.19). |
В качестве высокоэффективных материалов, обеспечивающих повышение несущей способности слабых оснований дорог и сокращение сроков консолидации дорожных конструкций в условиях переувлажненных грунтов необходимо использовать инновационные стабилизаторы и модификаторы.
(абзац введен
Изменением N 2, утв. Приказом Минстроя России от 07.12.2021 N 903/пр)
6.5.5 При расчете типа и конструкции дорожной одежды следует рассматривать целесообразность стадийного строительства с организацией движения на первой стадии основания дорожного покрытия с соответствующими прочностными характеристиками.
6.5.6 Дорожные одежды лесных дорог с покрытиями переходного и низшего типов в целях снижения строительных затрат следует проектировать с учетом ограничения или прекращения движения транспортных средств в неблагоприятные периоды года.
6.5.7 Для лесохозяйственных дорог с невыраженным грузооборотом модуль упругости следует принимать не менее 65 МПа (650 кг/см2).
6.5.8 Дорожные одежды в поперечном сечении проектируют корытного, полукорытного или серповидного профиля.
Корытный профиль применяют, как правило, при усовершенствованных типах покрытий.
Полукорытный профиль может применяться:
а) для гравийных и щебеночных покрытий на земляном полотне из дренирующих грунтов - при ширине обочин 1 м и более и толщине слоя покрытия более 15 см;
б) для покрытий из грунтов, укрепленных вяжущими материалами, на земляном полотне из любых грунтов - при ширине обочин 1 м и более и толщине покрытия более 15 см.
Серповидный профиль рекомендуется применять:
а) для дорожных одежд с грунтогравийными, грунтощебеночными и грунтовыми улучшенными покрытиями - во всех случаях;
б) для гравийных и щебеночных покрытий на земляном полотне из недренирующих грунтов - при любой ширине обочин и любой толщине слоя;
в) для гравийных и щебеночных покрытий на земляном полотне из дренирующих грунтов - при любой толщине слоя и ширине обочин менее 1 м и для большей ширины обочин при толщине покрытия до 15 см;
г) для покрытий из грунтов, укрепленных вяжущими материалами, - при любой толщине слоя и ширине обочин менее 1 м, а при большей ширине обочин - при толщине покрытия до 15 см.
Тип профиля дорожной одежды определяется технико-экономическими расчетами. При этом должна быть учтена стоимость как покрытия, так и укрепления обочин при корытном профиле.
(в ред.
Изменения N 2, утв. Приказом Минстроя России от 07.12.2021 N 903/пр)
6.5.10 Покрытия дорожных одежд должны иметь периодически возобновляемый слой износа, не включаемый в расчет прочности.
Слои износа устраивают либо путем утолщения полученного по расчету покрытия, либо в виде поверхностной обработки с применением вяжущих материалов.
Вид применяемых материалов и толщину слоя износа назначают из расчета не менее двух-трех лет его работы.
6.5.11 Дренирующие слои назначают для дорог с капитальным и облегченным типами покрытий в климатических зонах II и III и типах местности II и III по характеру и степени увлажнения (в выемках - также при типе I) в тех случаях, когда земляное полотно сооружают из связных грунтов (глинистых, суглинистых, пылевато-суглинистых, пылевато-супесчаных).
6.5.12 Толщину дренирующего слоя, необходимый коэффициент фильтрации, гранулометрический состав и другие требования к материалам, используемым для его устройства, следует устанавливать расчетом в зависимости от количества воды, поступающей в основание проезжей части, способов ее отвода и других факторов. При этом уровень свободной воды в дренирующем слое должен быть ниже поверхности основания дорожной одежды не менее чем на 10 см при хорошо дренирующих крупнозернистых песках и гравийных материалах и не менее чем на 15 см при среднезернистых песках.
Дренирующий слой проектируют на всю ширину земляного полотна (включая обочины) в виде слоя насыпи из фильтрующего материала. При применении в качестве оснований дорожной одежды грунтов, укрепленных вяжущими, дренирующие слои не устраивают.
Нижнюю поверхность дренирующего слоя следует проектировать с уклоном

. В случае отсутствия дренирующего слоя поперечный уклон дна корыта должен быть равен уклону покрытия.
Для дренирующего слоя допускается применять крупный или средний песок, песчано-гравийную смесь, дресву, ракушку, отгрохоченные металлургические шлаки, удовлетворяющие требованиям норм на дорожные материалы.
Если дренирующий слой совмещается с морозозащитным или подстилающим, то конструктивное решение должно быть комплексным.
6.5.13 Гравийные дорожные одежды проектируют, как правило, серповидного профиля. При этом все слои дорожной одежды устраивают на всю ширину земляного полотна.
При полукорытном профиле нижние слои дорожной одежды размещают в корыте, а верхний слой (собственно покрытие) проектируют на всю ширину земляного полотна.
6.5.14 При наличии месторождений камня и возможности организации его разработки и дробления рекомендуется применять щебеночные дорожные одежды.
При наличии фракционированного щебня слои основания и покрытия проектируют по принципу заклинки.
При использовании несортированного щебня слои дорожной одежды проектируют по принципу плотных смесей оптимального состава, аналогичного гравийным смесям.
6.5.15 По принципу плотных смесей допускается выполнять покрытия и основания из грунтощебня, дресвы, доменных шлаков и других скелетных материалов.
Грунтощебеночные покрытия или основания проектируют из грунта с добавлением щебня в количестве не менее 40% к объему.
6.5.16 Грунтовые улучшенные покрытия применяют на лесных дорогах категорий IVл.
(в ред.
Изменения N 2, утв. Приказом Минстроя России от 07.12.2021 N 903/пр)
Для этой цели в грунт земляного полотна вводят скелетные добавки (гравий, щебень, шлак) или улучшающие добавки (песок, глина или суглинок).
6.5.17 Грунтогравийная смесь (естественная или искусственная), употребляемая для грунтогравийного покрытия, должна:
- удовлетворять требованиям плотной смеси;
- содержать частицы размером 2 - 40 мм от 25% до 40%;
- содержать глинистые частицы (мельче 0,05 мм) не более 10%;
- иметь число пластичности 3 - 6 (для частиц, прошедших через сито с отверстиями 0,63 мм).
Грунтогравийные дорожные покрытия устраивают путем россыпи гравийного материала непосредственно на земляное полотно с последующим смешением его с грунтом, разравниванием и уплотнением. По типу грунтогравийных дорожных покрытий может строиться одежда из щебня, шлака, дресвы и т.п.
6.5.18 Грунтовая оптимальная смесь (искусственная или естественная) должна отвечать требованиям таблицы 6.14.
Таблица 6.14
Слой | Частицы, % по весу, проходящие через сита, мм | Для фракции менее 0,63 мм |
2,50 | 1,00 | 0,63 | 0,25 | 0,05 | Предел текучести | Предел пластичности |
Верхний | 80 - 100 | 50 - 80 | 40 - 60 | 30 - 50 | 25 - 35 | До 35 | 4 - 8 |
Нижний | 80 - 100 | - | 35 - 60 | 20 - 50 | 10 - 30 | 25 | До 6 |
6.5.19 В случае укладки каменных материалов на глинистые грунты, а также между конструктивным слоем из каменных материалов и слоем мелкозернистых грунтов предусматривается прослойка из геосинтетических материалов или песка толщиной не менее 10 см.
(в ред.
Изменения N 2, утв. Приказом Минстроя России от 07.12.2021 N 903/пр)
(в ред.
Изменения N 2, утв. Приказом Минстроя России от 07.12.2021 N 903/пр)
6.5.21 Асфальтобетоны и смеси каменных материалов и грунтов, обработанных органическим вяжущим, принимают в соответствии с
ГОСТ 9128,
ГОСТ 31015,
ГОСТ 30491. Для обеспечения сдвигоустойчивости и трещиностойкости следует применять полимерасфальтобетоны с использованием полимерно-битумных вяжущих в соответствии с
ГОСТ Р 52056.
(в ред.
Изменения N 2, утв. Приказом Минстроя России от 07.12.2021 N 903/пр)
6.5.22 Каменные материалы и грунты, обработанные неорганическими вяжущими, используемые для покрытий и оснований дорожных одежд, должны соответствовать требованиям
ГОСТ 23558.
(в ред.
Изменения N 2, утв. Приказом Минстроя России от 07.12.2021 N 903/пр)
(в ред.
Изменения N 2, утв. Приказом Минстроя России от 07.12.2021 N 903/пр)
6.5.25 Для устройства прослоек различного назначения в слоях дорожной одежды необходимо применять геосинтетические материалы в соответствии с
пунктом 8.43 СП 34.13330.2021.
(в ред.
Изменения N 2, утв. Приказом Минстроя России от 07.12.2021 N 903/пр)
6.6 Искусственные сооружения
6.6.1 Водопропускные искусственные сооружения на лесных автомобильных дорогах следует проектировать в соответствии с
СП 35.13330 и другими действующими нормативными документами с учетом указаний настоящего подраздела и рекомендаций, приведенных в
[16].
6.6.2 Лесные автомобильные дороги не должны иметь самостоятельных переходов через большие водные преграды, глубокие ущелья и железнодорожные линии. Для этой цели следует использовать действующие переходы на ближайших дорогах.
6.6.3 На пересечении постоянных и периодических водотоков лесными автомобильными дорогами могут быть предусмотрены искусственные сооружения любого типа, отвечающие требованиям безопасности движения, прочности, простоты обслуживания и долговечности в течение всего срока службы автомобильной дороги.
Тип искусственного сооружения выбирают на основании технико-экономических расчетов с учетом использования местных строительных материалов.
При соответствующих технико-экономических обоснованиях и обеспечении мероприятий по безопасности эксплуатации допускается проектировать сборно-разборные и затопляемые мосты, а также ледовые переправы и броды через постоянно действующие водотоки.
6.6.4 На каждом пересечении водотока, как правило, должно быть предусмотрено одно водопропускное сооружение. Устройство дополнительных водопропускных сооружений на пойме, а также пропуск нескольких соседних водотоков через одно сооружение допускается лишь при обосновании гидравлическими и экономическими расчетами.
6.6.5 Однопролетные мосты и малые искусственные сооружения допускается располагать на любых сочетаниях плана и профиля, предусмотренных нормами проектирования лесных дорог.
Большие и средние мосты рекомендуется располагать в плане на прямых участках пути. В стесненных условиях допускается располагать средние мосты на кривых радиусом не менее 100 м.
6.6.6 Мостовой переход должен быть расположен на прямом участке реки в наиболее узкой части поймы, не имеющей озер и староречий, нормально к направлению течения основной массы воды во время паводка.
6.6.7 Расчет искусственных сооружений, а также пойменных насыпей на воздействие водного потока следует проводить по гидрографам расчетных паводков, а при их отсутствии - по расчетным расходам и соответствующим им уровням. Вероятность превышения расходов воды и соответствующих им уровней на пиках паводков указана в таблице 6.15.
Таблица 6.15
Вид сооружения | Расчетная вероятность превышения, % |
Большие капитальные мосты | 1 |
Малые и средние капитальные мосты | 2 |
Деревянные большие и средние мосты | 2 |
Деревянные малые мосты | 3 |
Трубы | 2 |
Временные деревянные мосты (срок службы до пяти лет) | 5 |
Водоотводные канавы | 10 |
Примечание - К малым мостам относятся мосты полной длиной до 25 м, к средним - от 25 до 100 м, к большим - свыше 100 м. |
6.6.8 Бровки земляного полотна на подходах к мостам через реки в пределах разлива и оградительных дамб должны быть не менее чем на 0,5 м, а бровка незатопляемых регуляционных сооружений и берм насыпи не менее чем на 0,25 м выше расчетного горизонта воды с учетом подпора и высоты волны (с набегом на откос).
6.6.9 Возвышение элементов мостов над уровнями воды и ледохода в несудоходных и несплавных пролетах следует назначать в зависимости от местных условий, но не менее указанных в таблице 6.16.
Таблица 6.16
Элементы мостов | Наименьшее возвышение, м |
над расчетным уровнем воды (с учетом влияния подпора и волны) | над наивысшим уровнем ледохода |
Низ пролетных строений | 0,5 | 0,75 |
Низ пролетных строений при наличии карчехода и селевых потоков | 1,0 | - |
Подферменная площадка (низ подферменника) | 0,25 | 0,5 |
Низ продольных схваток и выступающих элементов конструкций в пролетах деревянных мостов | 0,25 | 0,75 |
6.6.10 Определение значения расчетного расхода воды и расчет отверстий искусственных сооружений следует проводить в соответствии с указаниями
СП 35.13330.
6.6.11 Расчет отверстий малых мостов и труб на пропуск ливневых стоков следует проводить с учетом аккумуляции воды перед сооружением, возможной по условиям рельефа у входа сооружения. Уменьшение расчетного расхода за счет аккумуляции может быть допущено не более чем в три раза.
6.6.12 Нормативную временную вертикальную нагрузку следует принимать в виде автомобильной нагрузки АК и тяжелой одиночной нагрузки НК. Расчеты на указанные нагрузки регламентируются указаниями
СП 35.13330.
Класс нагрузки К надлежит принимать:
- для капитальных мостов и труб - 14;
- для деревянных мостов - 11.
В случае необходимости пропуска нагрузки, превышающей указанные АК и НК, следует выполнить расчет конструкций с учетом данной конкретной нагрузки либо предусмотреть мероприятия по снижению воздействия данной нагрузки на сооружение до нормативного уровня.
6.7.1 На лесных магистралях следует проектировать постоянные железобетонные или деревянные многопролетные мосты в зависимости от местных условий, а на лесовозных ветках - деревянные мосты (при сроке действия до трех лет временные, при большем - постоянные)
[17].
Постоянные деревянные мосты (далее - деревянные мосты) должны иметь степень капитальности, обеспечивающую нормальную их эксплуатацию не менее 20 - 25 лет.
Габариты мостов на лесных автодорогах следует принимать по таблице 6.17.
Таблица 6.17
Категории и виды дорог | Элементы поперечного профиля мостов |
Число полос движения | Ширина проезжей части при ширине транспортного средства, м | Ширина полос безопасности, м | Габарит моста (Г) при ширине транспортного средства, м | Ширина тротуаров, м |
до 2,5 | 2,5 - 5,0 | до | 2,5 - 5,0 |
Iл | 2 | 7,5 | 7,5 - 10,5 | 1,0 | 9,5 | 9,5 - 12,5 | 1,0 |
IIл | 2 | 7,0 | 7,0 - 9,5 | 1,0 | 9,0 | 9,0 - 11,5 | 1,0 |
IIIл | 1 | 4,5 | 4,5 - 5,5 | 0,5 | 5,5 | 5,5 - 6,5 | 0,75 |
IVл (для временных дорог) | 1 | 4,5 | 4,5 - 5,5 | 0,5 | 5,5 | 5,5 - 6,5 | - |
(в ред. Изменения N 2, утв. Приказом Минстроя России от 07.12.2021 N 903/пр) |
Примечание - При промежуточных значениях ширины транспортных средств минимальные значения габаритов моста определяются интерполяцией с округлением в большую сторону до 0,5 м. |
Габариты мостов, расположенных на кривых, принимают с уширениями, значение которых назначают по нормам проектирования автомобильных дорог.
6.7.2 Деревянные мосты допускается применять на автомобильных дорогах лесозаготовительных предприятий без ограничения по климатическим условиям районов строительства.
6.7.3 Деревянные конструкции мостов следует применять преимущественно заводского изготовления с учетом мероприятий, обеспечивающих их долговечность.
6.7.4 Для деревянных мостов следует применять пиломатериалы и круглые лесоматериалы хвойных пород 2-го сорта; следует отдавать предпочтение лиственнице, если она имеется в сырьевой базе лесозаготовительного предприятия.
Качество лесоматериалов должно соответствовать требованиям СП 64.13330.2017
(приложение Б).
(в ред.
Изменения N 2, утв. Приказом Минстроя России от 07.12.2021 N 903/пр)
6.7.5 В конструкциях должны быть предусмотрены меры защиты основных несущих деревянных элементов от увлажнения независимо от того, проводится антисептирование древесины или нет (гидроизоляция, сливные доски, козырьки и др.).
6.7.6 Следует предусматривать свайные опоры деревянных мостов во всех случаях, когда грунты допускают забивку свай. В вечномерзлых грунтах погружение свай следует принимать на глубину, равную тройной толщине сезонно оттаивающего грунта.
Рамно-лежневые опоры в вечномерзлых грунтах не применяют, а взамен их при невозможности забивки свай применяют ряжевые опоры.
6.7.7 Проезжую часть на деревянных мостах следует назначать в виде деревянного настила, по которому делают поверхностную обработку битумом с крупным песком.
6.7.8 На больших и средних деревянных мостах следует предусматривать устройство противопожарных площадок, оборудованных противопожарным инвентарем. Противопожарные площадки следует располагать на насыпи у въездов на мост и над опорами не реже чем через 25 м.
6.7.9 Для мостовых переходов в необходимых случаях должны быть предусмотрены ледорезные, струенаправляющие и берегоукрепительные сооружения, а для малых мостов и труб - углубление, спрямление и укрепление русел с входной и выходной сторон и в пределах сооружения, а также устройства для гашения скоростей протекающей воды на входе и выходе.
6.7.10 Для временных деревянных мостов со сроками службы до пяти лет допускается применять лесоматериалы без антисептической обработки для ненесущих конструкций.
(п. 6.7.11 введен
Изменением N 2, утв. Приказом Минстроя России от 07.12.2021 N 903/пр)
6.8 Трубы, фильтрующие насыпи, ледовые переправы
6.8.1 На лесовозных магистралях следует проектировать сборные железобетонные трубы (или из гофрированного металла), а также пластиковые гофрированные трубы диаметром не менее 0,5 м.
6.8.2 Отверстия и высоту в свету труб следует назначать не менее 1 м, а при длине трубы свыше 30 м - не менее 1,25 м. Допускается применять трубы с отверстием 0,75 и 0,5 м при длине не более 15 м.
В населенных пунктах трубы с отверстием 0,5 м допускаются только с устройством ограждающих приспособлений.
В местах возможного образования наледей вместо труб следует проектировать деревянные мосты. В отдельных случаях разрешается применение прямоугольных бетонных труб с отверстием не менее 3 м и высотой не менее 2 м в комплексе с постоянными противоналедными сооружениями.
Трубы диаметром 0,75 и 0,5 м следует укладывать с уклоном не менее

для возможности самопромыва.
6.8.3 Следует проектировать безнапорные трубы. Пропуск расходов воды в полунапорном и напорном режимах допускается только при устройстве неразмываемых противофильтрационных экранов или оголовков с коническими входными звеньями на фундаментах.
Кроме того, должны быть обеспечены водонепроницаемость швов между звеньями и устойчивость насыпи против фильтрации. Безнапорные трубы с отверстием до 1,25 м допускается проектировать без оголовков. Трубы во всех случаях следует проектировать на полную ширину земляного полотна.
Толщина засыпки над трубами от верха звена трубы до низа конструкции дорожной одежды должна быть:
- не менее 0,5 м - над железобетонными трубами;
- не менее 0,5 м, но не более 0,8 м от верха трубы до поверхности дорожного покрытия - над металлическими гофрированными и пластиковыми трубами.
Толщина засыпки над трубой должна быть не менее 0,5 м от верха трубы до бровки насыпи.
6.8.4 Трубы следует укладывать на бетонные фундаменты или уплотненные щебенистые или гравийно-песчаные подушки.
6.8.5 Металлические гофрированные трубы проектируют без устройства оголовков. При этом нижняя часть несрезаемой трубы должна выступать из насыпи на уровне ее подошвы не менее чем на 0,2 м, а сечение трубы со срезанным концом - не менее чем на 0,5 м.
6.8.6 Применение труб не допускается при наличии ледохода и карчехода, а также в местах возможного возникновения селей и образования наледи.
6.8.7 В качестве водопропускных сооружений при расчетных расходах воды до 5 м3/с разрешается проектировать фильтрующие насыпи и комбинированные сооружения из фильтрующих насыпей и труб. Фильтрующие насыпи предусматривают при наличии местного каменного материала на водотоках с незначительным содержанием взвешенных частиц грунта.
Применение фильтрующих насыпей целесообразно в случае необходимости строительства в зимнее время, на участках, где в последующем потребуются смягчение предельных уклонов дороги или перестройка мостов и труб под более тяжелые нагрузки, а также в сейсмоопасных районах.
Правила проектирования и расчета фильтрующих насыпей приведены в
[18].
Для пропуска дождевых паводков с расходом до 3 - 4 м3/с разрешается проектировать переливные насыпи ("переливы") при соответствующем укреплении земляного полотна для защиты от размывов.
6.8.8 На дорогах, допускающих перерывы движения, могут быть предусмотрены паромные и ледовые переправы.
6.8.9 Ледовые переправы допускается сооружать в местах, где скорость течения в реке составляет не более 1 м/с.
Правила проектирования, строительства и эксплуатации ледовой переправы приведены в
[19].
Для переправы выбирают участок с невысокими пологими берегами. Уклон съезда к переправе не должен превышать

. Для укрепления кромки льда и уменьшения уклонов у берегов устраивают настил из дровяного долготья, бревенчатые мостики или эстакады.
В плане переправы устраивают по прямой линии перпендикулярно к реке или под углом не менее 45°. В месте расположения переправ (на 100 м в обе стороны от оси трассы) не должно быть полыней, нагромождения торосов, площадок для заготовки льда, входов грунтовых вод, мест сброса теплых вод.
На ледовых переправах организуют однопутное движение. Для встречного потока транспорта устраивают другую ледовую переправу на расстоянии не менее 150 м.
Толщина плотного слоя льда в естественном виде на переправах при непрерывных отрицательных температурах в зависимости от массы автопоезда должна быть не менее указанной в таблице 6.18.
Таблица 6.18
Масса автопоезда, т | Наименьшая толщина плотного слоя льда, см |
25 | 75 |
30 | 85 |
35 | 90 |
40 | 100 |
45 | 110 |
50 | 120 |
Пропуск автопоездов массой более 50 т требует расчета с учетом параметров транспортного средства.
Для ускорения наращивания требуемого слоя льда полосу переправы шириной не менее 20 м расчищают от снега.
При недостаточной толщине льда ледяной покров усиливают искусственным намораживанием (его слой не должен превышать 2/3 толщины естественного ледяного покрова) или устройством деревянного настила. Каждый сантиметр пористого слоя льда, образованного намораживанием с использованием снега, приравнивается к 0,5 см естественного плотного льда.
6.9 Пересечения и примыкания
6.9.1 Пересечения лесных дорог с автомобильными дорогами общей сети и между собой проектируют в соответствии с требованиями
СП 34.13330 и
СП 37.13330 с учетом обеспечения видимости с максимально возможным использованием существующих путепроводов и переездов исходя из категории пересекаемых автомобильных дорог, перспективной интенсивности и состава движения.
6.9.2 Пересечение лесных дорог между собой, а также с автомобильными дорогами общей сети категорий IV и V предусматривают в одном уровне.
На пересечениях и примыканиях автомобильных дорог в одном уровне должна быть обеспечена видимость пересекающего или примыкающего направления на расстояние, указанное в
таблице 6.19.
Таблица 6.19
Минимальное расстояние видимости поверхности дороги
Продольный уклон,  | Минимальное расстояние видимости поверхности дороги, м, при расчетной скорости, км/ч |
60 | 50 | 40 | 30 | 25 | 20 | 15 |
40 (подъем) | 105 | 80 | 65 | 40 | 30 | 20 | 15 |
20 (подъем) | 115 | 90 | 70 | 45 | 35 | 25 | 20 |
0 | 125 | 100 | 75 | 50 | 40 | 30 | 25 |
20 (спуск) | 135 | 110 | 85 | 60 | 50 | 40 | 35 |
40 (спуск) | 145 | 120 | 95 | 70 | 60 | 50 | 45 |
(абзац введен
Изменением N 2, утв. Приказом Минстроя России от 07.12.2021 N 903/пр)
6.9.2а Если по условиям рельефа местности или планировочных решений территории предприятия не представляется возможным обеспечить требуемые значения расстояний видимости на пересекающихся дорогах, в пределах перекрестков допускается уменьшать эти значения до 40 м с установкой соответствующих дорожных знаков.
На
рисунке 6.4 приведены схемы обеспечения видимости на пересечениях и примыканиях автомобильных дорог в одном уровне.
а - при пересечении главной и второстепенной дорог в одном
уровне; б - при примыкании второстепенной дороги к главной;
в - видимость по главной дороге и обзорность
с второстепенной дороги
Рисунок 6.4 - Схемы обеспечения видимости и обзорности
Lгл и Lвт - расстояния видимости поверхности главной и второстепенной дороги соответственно;
Lд - расстояние боковой видимости;
Lобз - расстояние обзорности по второстепенной дороге.
Расстояние обзорности
Lобз принимается в соответствии с
рисунком 6.4:
200 м - при скорости движения по главной дороге 60 км/ч;
100 м - при скорости движения по главной дороге 40 км/ч.
(п. 6.9.2а введен
Изменением N 2, утв. Приказом Минстроя России от 07.12.2021 N 903/пр)
6.9.2б Указанные расстояния обеспечивают водителям обзорность в зоне пересечения при условии остановки автомобиля на второстепенной дороге на расстоянии 10 м от кромки проезжей части главной дороги.
Боковое расстояние видимости на съездах следует принимать не менее 15 м при расчетной скорости движения до 60 км/ч.
(п. 6.9.2б введен
Изменением N 2, утв. Приказом Минстроя России от 07.12.2021 N 903/пр)
6.9.3 Пересечения в одном уровне выполняют по возможности на прямых участках в плане и на прямом участке или вогнутой кривой в продольном профиле.
6.9.4 Слияние или разветвление автомобильных дорог допускается выполнять под любым углом при условии обеспечения необходимого расстояния видимости.
6.9.5 Проектирование пересечений и примыканий на вогнутой кривой в плане и выпуклой кривой в продольном профиле, если видимость не обеспечена, не допускается.
6.9.6 Максимально допустимый продольный уклон на подходах к пересечениям и примыканиям на расстоянии видимости, необходимом для остановки автомобиля до пересекаемой полосы движения, составляет

.
6.9.7 Наименьший допускаемый радиус кривых по кромке проезжей части в местах сопряжения автодороги на примыкании - 15 м, при вывозке древесины в хлыстах - не менее 30 м.
6.9.8 В местах сопряжения предусматривается применение переходных или коробовых кривых.
6.9.9 Пересечения лесных дорог с железнодорожными путями общей сети проектируют по
СП 119.13330, с прочими железнодорожными путями - в соответствии с требованиями
СП 37.13330,
СП 34.13330, как правило, за пределами станций, разъездов, обгонных пунктов, путей, где возможно выполнение маневровой работы, желательно на прямых участках. Угол пересечения должен быть в пределах 90° - 60°, но не менее 30°.
6.9.10 Ширину проезжей части на переездах принимают равной ширине проезжей части на подходах при двухполосном движении, а на однополосных дорогах - не менее 6,0 м на расстоянии 200 м в обе стороны.
6.9.11 В продольном профиле дорога должна иметь горизонтальную площадку не менее 2 м от рельса, а на кривых участках железнодорожного пути - уклон, вызванный возвышением внешнего рельса над внутренним.
6.9.12 Автомобильная дорога должна иметь твердое покрытие в обе стороны на подходах к переезду на участке не менее 10 м.
6.9.13 С наружной стороны железнодорожной колеи верх проезжей части следует проектировать в одном уровне с верхом головки рельса на 1 - 3 см.
6.9.14 При пересечении дорог с железнодорожными путями в одном уровне должно быть обеспечено расчетное расстояние видимости водителю автопоезда с обеих сторон и машинисту поезда оси переезда.
6.9.15 Пересечение дороги с подземными инженерными сетями (водопровод, канализация, газопровод, нефтепровод, тепловые сети, электрокабели и кабели связи), воздушные электросети, сети связи и т.д. проектируют в соответствии с требованиями
СП 37.13330,
СП 62.13330,
СП 124.13330,
СП 31.13330,
СП 8.13130,
СП 129.13330 и
[20].
Требования к пересечениям дороги с линейными сооружениями местных сетей связи, городскими и сельскими телефонными сетями приведены в
[21] и
[22].
6.9.16 Пересечение с инженерными сетями рекомендуется под прямым или близким ему углом. Прокладка подземных инженерных сетей под насыпями автомобильной дороги не допускается
[23].
6.9.17 Расстояния от бровки земляного полотна до основания опор электролиний, телефонных или телеграфных линий принимают не менее высоты опоры, при расположении линий вдоль дороги расстояние должно быть равно высоте опоры плюс 5 м.
6.9.18. В стесненных условиях на застроенной территории возможно уменьшение горизонтальных расстояний, указанных в
6.9.17, по согласованию с требованиями нормативных документов по
6.9.15.
7 Обеспечение безопасности дорожного движения
7.1 Организация движения на лесных дорогах
Целью организации движения на лесных дорогах является обеспечение выполнения планов перевозки грузов и бесперебойной работы объектов лесной инфраструктуры.
Основой организации движения на дороге является суточный график движения транспортных средств, осуществляющих перевозку людей, лесных и технических грузов.
График движения транспортных средств должен обеспечить:
- выполнение плановых заданий по вывозке леса, своевременную перевозку людей, технических и дорожно-строительных материалов;
- согласованность работы объектов лесной и дорожной инфраструктуры;
- беспрепятственный проезд людей и техники к местам тушения лесных пожаров;
- безопасность движения автомобильного транспорта;
- выполнение установленного режима работы объектов лесной и дорожной инфраструктуры и водителей транспортных средств.
График движения утверждается руководителем предприятия.
7.2 Обеспечение безопасности движения транспортных средств на лесных дорогах
Лесные дороги являются автомобильными дорогами необщего пользования, основным видом транспорта на которых являются специализированные лесовозные автопоезда, перевозящие крупногабаритные и тяжеловесные грузы.
В соответствии с
[13] юридические лица, осуществляющие перевозки автомобильным транспортом, с учетом особенностей перевозок и в пределах действующего законодательства Российской Федерации о безопасности дорожного движения могут устанавливать специальные правила и предъявлять к водителям транспортных средств дополнительные требования для обеспечения безопасности дорожного движения.
Владелец лесной дороги должен ограничить доступ на дорогу автомобильного транспорта лиц, не участвующих в обслуживании объектов лесной инфраструктуры, в целях обеспечения безопасности участников дорожного движения.
Нормами проектирования лесных дорог установлен скоростной режим транспорта, отличный от дорог общего пользования. Для обеспечения безопасности дорожного движения при въезде на дорогу должен быть установлен щит с указанием предельных скоростей движения транспорта для магистральных дорог, веток и усов в соответствии с категориями дорог. Вдоль трассы дороги должны быть установлены дорожные знаки, ограничивающие скорость транспорта.
При выезде лесовозных автопоездов с лесных дорог на дороги общего пользования габариты автопоезда должны быть, м, не более:
- высота над проезжей частью дороги .............................. 3,8;
- ширина ........................................................ 2,55;
- длина с одним прицепом (полуприцепом) ......................... 20,0;
- длина с двумя и более прицепами ............................... 24,0;
- свес груза, выступающего за заднюю точку габарита
транспортного средства ........................................... 2,0.
При превышении размеров автопоезда хотя бы по одному из указанных параметров транспортное средство (с грузом или без груза) считается крупногабаритным, и его движение по дорогам общего пользования допускается только по специальному разрешению, выдаваемому Государственной инспекцией по безопасности дорожного движения (ГИБДД) при наличии соответствующих согласований маршрута движения.
При выезде лесовозных автопоездов с лесных дорог на дороги общего пользования осевые нагрузки и полная масса автопоезда не должны превышать значений, установленных инструкциями по перевозке крупногабаритных и тяжеловесных грузов автомобильным транспортом по дорогам общего пользования. При превышении значений, установленных инструкциями, транспортное средство считается тяжеловесным, и проезд его по дорогам общего пользования осуществляется на основании специального разрешения, выдаваемого органами ГИБДД.
Для обеспечения безопасности движения и ориентировки водителей автомобильные дороги лесозаготовительных предприятий должны быть оборудованы дорожными знаками и сигналами, ограждениями, средствами связи и т.д. в соответствии с указаниями
раздела 10 СП 34.13330.2021 по автомобильным дорогам и с учетом требований настоящего раздела.
(в ред.
Изменения N 2, утв. Приказом Минстроя России от 07.12.2021 N 903/пр)
Форму, размеры и цвета раскрасок дорожных знаков, а также места их установки на автомобильных дорогах принимают согласно
ГОСТ Р 52289.
Дорожные знаки (кроме километровых) устанавливают на правой по направлению движения стороне дороги.
Километровые знаки устанавливают с правой стороны дороги по ходу километража (начиная от пункта примыкания лесовозной дороги).
Дорожные знаки, как правило, располагают на специальных присыпных бермах за пределами обочин, крайние выступающие части дорожных знаков должны быть расположены не ближе 1,75 м от кромки проезжей части.
(в ред.
Изменения N 2, утв. Приказом Минстроя России от 07.12.2021 N 903/пр)
Таблица 7.1 исключена с 08.01.2022. -
Изменение N 2, утв. Приказом Минстроя России от 07.12.2021 N 903/пр.
Применение дорожных знаков должно соответствовать требованиям
ГОСТ Р 52289. Дорожные знаки должны соответствовать требованиям
ГОСТ Р 52290, опоры дорожных знаков - требованиям
ГОСТ 25458 и
ГОСТ 25459, а также имеющимся типовым решениям.
При расположении дорог на крутых склонах вдоль глубоких ущелий предусматривают устройство устойчивых парапетов со стороны обрыва.
Лесовозные автомобильные дороги должны быть оборудованы едиными с лесозаготовительным предприятием средствами связи.
7.3 Пожарная безопасность
7.3.1 Для целей обеспечения пожарной безопасности используются не только дороги противопожарного значения. Любые лесные дороги следует создавать в соответствии с типовыми проектами, предусматривающими возможность их эксплуатации в том числе в названных целях.
7.3.2 Дороги противопожарного назначения создают в дополнение к имеющейся сети лесных дорог, чтобы обеспечить проезд автотранспорта к участкам, опасным в пожарном отношении, и водным объектам
[10]. Работы по созданию таких дорог заключаются в корчевании пней, расчистке и выравнивании проезжей части, устройстве гатей, переездов через канавы, ручьи и т.п. Ширина проезжей части дорог противопожарного назначения должна быть не менее 3,5 м.
(в ред.
Изменения N 2, утв. Приказом Минстроя России от 07.12.2021 N 903/пр)
7.3.3 Полосы отвода автомобильных дорог, проходящих через лесные массивы, следует содержать очищенными от валежной и сухостойной древесины, сучьев, древесных и иных отходов, других горючих материалов.
7.3.4 Вдоль лесных дорог, не имеющих полос отвода, полосы шириной 10 метров с каждой стороны дороги следует содержать очищенными от валежной и сухостойной древесины, сучьев, древесных и иных отходов, других горючих материалов.
7.3.5 Все лесные дороги необходимо строить таким образом, чтобы они одновременно служили преградами распространению возможных низовых пожаров и опорными линиями при локализации действующих очагов. При планировании строительства лесных дорог следует учитывать необходимость максимального использования лесовозных дорог, а также имеющихся в лесах дорог общего пользования.
7.3.6 К естественным и специально созданным в противопожарных целях искусственным водным объектам должны быть устроены подъезды и сооружены специальные площадки для забора воды пожарными автоцистернами и мотопомпами. В необходимых случаях также осуществляют углубление указанных водных объектов и устраивают запруды
[10].
7.3.7 Нормативы противопожарного обустройства лесов (на 1000 га общей площади лесов) следует принимать в соответствии с
[29].
(п. 7.3.7 введен
Изменением N 2, утв. Приказом Минстроя России от 07.12.2021 N 903/пр)
8 Охрана окружающей среды при проектировании и строительстве лесных дорог
8.1 Проектирование, строительство и эксплуатация лесных дорог должны удовлетворять требованиям действующих нормативных документов в области природоохранного законодательства Российской Федерации.
8.2 Для оценки современного (фактического) состояния и прогноза возможных изменений компонентов окружающей среды выполняют инженерные изыскания, в том числе экологические. На основании выполненных изысканий прорабатывают проектные решения.
8.3 Все технические решения при выборе основных элементов плана трассы, продольного и поперечного профилей, конструкций дорожных одежд и водоотводных сооружений, назначения методов строительства и т.д., кроме решения своих основных задач - обеспечение надежности дороги, экономичности ее строительства и эксплуатации, а также ритмичности и эффективности работы транспортных средств - должны оказывать минимальное отрицательное воздействие на сложившиеся природные комплексы в районе строительства дороги.
8.4 Предусматриваемые в проектах природоохранные мероприятия должны обеспечивать:
- сохранение природных ландшафтов, территорий для которых установлен режим особой охраны (особо охраняемые природные территории, заповедники, национальные парки и т.д.)
[11];
- максимальную экономию земельных ресурсов, отводимых для размещения лесных дорог;
- защиту атмосферного воздуха от выбросов загрязняющих веществ;
- защиту населенных мест, расположенных в районе проектирования, от шума и вибраций;
- предотвращение загрязнения бассейнов поверхностных водных объектов и подземных вод жидкими и твердыми отходами, а также попадания в поверхностные и подземные воды загрязненных стоков по
СанПин 2.1.5.980;
(в ред.
Изменения N 2, утв. Приказом Минстроя России от 07.12.2021 N 903/пр)
- защиту растительного и животного мира
[11].
8.5 Размещение трассы лесной дороги осуществляют на основе рассмотрения и сравнения вариантов, включая вариант отказа от строительства.
8.6 При наличии в зоне строительства особо охраняемых природных территорий, памятников истории или культуры, а также уникальных природных феноменов (особые геологические формы, водные источники, ценные экземпляры деревьев и т.п.) принимают меры по сохранению, а по возможности - и улучшению их состояния.
Все работы по проектированию и строительству на таких территориях проводят согласно
[11] и
[24].
8.7 Ширину полосы постоянного и временного отводов устанавливают по каждому характерному участку дороги при технико-экономическом сравнении вариантов с учетом стоимости земли и показателей действующих норм отвода земель для автомобильных дорог.
8.8 Расчистку дорожной полосы и площадок для дорожных сооружений от древесно-кустарниковой растительности следует выполнять в строго отведенных границах.
8.9 Опережение расчистки дорожной полосы от леса и кустарника не должно превышать возможностей поточного строительства и объема работ в предстоящем сезоне.
8.10 При вырубке деревьев трелевочные волоки и лесосечные склады следует размещать в пределах отведенной дорожной полосы, а в случае невозможности - в местах, определенных проектом.
8.11 Деловая древесина и отходы расчистки должны быть вывезены в установленные места до начала земляных работ.
8.12 Сплошная валка леса и удаление кустарника бульдозерами или кусторезами с перемещением их вместе с корнями и почвой на границу дорожной полосы запрещаются.
8.13 Плодородный слой почвы на землях, занимаемых под дорогу и сопутствующие ей сооружения, подлежит снятию, хранению и нанесению на рекультивируемые земли, а при экономической целесообразности - использованию его для объектов предприятий лесного хозяйства (питомников, лесосеменных плантаций и др.).
Допускается не снимать плодородный слой:
- при толщине плодородного слоя менее 10 см;
- на болотах, заболоченных и обводненных участках;
- на почвах с низким плодородием;
- при разработке траншей шириной по верху 1 м и менее.
8.14 Снятие и нанесение плодородного слоя следует проводить, когда грунт находится в немерзлом состоянии.
8.15 На земельных участках, предоставленных во временное пользование при строительстве дороги, по окончании строительства должны быть проведены работы по рекультивации нарушенных земель.
8.16 Если возведение земляного полотна (независимо от высоты насыпи) создает опасность подтопления поверхностными водами и заболачивания примыкающих к дороге земель, в проекте следует предусматривать водоотводящие сооружения, гарантирующие существующие до строительства (или лучшие) условия произрастания лесных насаждений.
8.17 При проектировании насыпей через болота с поперечным (по отношению к трассе дороги) движением воды в водонасыщенном горизонте в проекте необходимо предусматривать мероприятия, исключающие увеличение уровня воды и площади заболачивания в верховой части болота путем отсыпки насыпи или ее нижней части из дренирующих грунтов, устройства вдоль земляного полотна продольных канав, а в пониженных местах продольного профиля, если это необходимо, искусственных сооружений и т.п.
8.18 При прохождении трассы лесных дорог через водотоки при устройстве водопропускных труб или мостовых переходов в границах водоохранных зон все работы следует проводить с учетом
[25].
8.19 При определении мест переходов через водотоки, при выборе конструкций и отверстий искусственных сооружений наряду с технико-экономической целесообразностью строительства необходимо решать вопросы:
- защиты полей от размыва и заиления, заболачивания, нарушения растительного покрова;
- наименьшего нарушения гидрологического режима водотока и природного уровня грунтовых вод;
- защиты береговых склонов от размыва, подмыва и разрушения;
- исключения загрязнения местности при строительстве.
8.20 Если водный объект имеет рыбопромысловое значение, то в проекте следует предусматривать мероприятия по защите водной фауны в соответствии с
СанПиН 1.2.3685.
(в ред.
Изменения N 2, утв. Приказом Минстроя России от 07.12.2021 N 903/пр)
8.21 Воздействие проектируемого объекта на атмосферный воздух и на акустическую среду определяют расчетами в соответствии с действующими нормативно-методическими документами.
8.22 При проектировании лесной инфраструктуры разрабатывают мероприятия, обеспечивающие соблюдение:
- предельно допустимых выбросов загрязняющих веществ в атмосферный воздух;
- допустимых сбросов загрязняющих веществ в окружающую среду;
- нормативов образования отходов и лимитов на их размещение.
(в ред.
Изменения N 2, утв. Приказом Минстроя России от 07.12.2021 N 903/пр)
8.23 Сохранение деревьев при строительстве и эксплуатации дороги является главным условием защиты сложившейся экологической системы.
При производстве работ запрещаются проезд и стоянка машин, работа механизмов ближе 1 м от границы кроны деревьев, не попавших в полосу расчистки. При невозможности выполнить эти требования для защиты корневой системы укладывают специальное защитное покрытие.
При повышении отметки поверхности земли у деревьев следует учитывать требования, приведенные в таблице 8.1.
Таблица 8.1
Вид деревьев | Допустимая толщина, м |
Сосна, ель, пихта | Не допускается |
Береза, липа, клен, дуб, лиственница | До 0,5 |
Ольха, ясень, тополь, ива | До 1,0 |
Для подсыпки поверхности у стволов деревьев пригодны крупнозернистый песок, гравелистые и щебеночные грунты.
Не допускаются укладка в пределах корневой системы недренирующих грунтов или слоев недренирующих материалов любой толщины, а также снятие грунта над корнями деревьев.
Разработку траншей, котлованов и выемок надо проводить не ближе 2 м от ствола взрослого дерева, причем откос выработки в зоне корневой системы должен быть закреплен от обрушения. Корни обрезают в 0,2 - 0,3 м от края откоса, и образовавшееся пространство заполняют плодородной почвой и уплотняют. Место среза ветвей и корней должно быть обработано специальным составом против заражения.
8.24 При прокладке трассы в хвойных лесах на сухих почвах следует предусматривать за границами полосы отвода противопожарные минерализованные полосы. Ширину этих полос принимают по правилам пожарной безопасности для лесов
[10].
8.25 При нарушении естественной миграции животных следует предусматривать специальные проходы для животных.
8.26 На особо опасных участках дорог должны быть установлены предупредительные знаки о наличии животных и, при необходимости, ограждения. Для отпугивания животных от дороги в ночное время следует применять специальные приспособления (катафоты и т.д.).
8.27 Природоохранные мероприятия при проектировании дорог в зоне вечномерзлых грунтов осуществляют в соответствии с действующими нормативными документами.
8.28 В случае возникновения фрагментации среды обитания животных необходимо устройство биопереходов, соответствующих видовым особенностям обитающей на рассматриваемом участке фауны в соответствии с
СП 461.1325800.
(п. 8.28 введен
Изменением N 1, утв. Приказом Минстроя России от 04.02.2019 N 83/пр, в ред.
Изменения N 2, утв. Приказом Минстроя России от 07.12.2021 N 903/пр)
9 Организация строительства лесных дорог
9.1.1 Основанием строительства лесных дорог категорий IIIл и IVл является утвержденный органами региональной власти Лесной план. Заказчиком строительства в этом случае является региональный орган управления лесами.
(в ред.
Изменения N 2, утв. Приказом Минстроя России от 07.12.2021 N 903/пр)
9.1.2 Основанием строительства лесных дорог категорий I-ЛВ - IV-ЛВ в лесах, переданных в аренду, является План освоения лесов, утвержденный в порядке, установленном лесным законодательством Российской Федерации. Заказчиком строительства в этом случае является арендатор лесного участка (лесопользователь).
9.1.3 Строительство автомобильных лесных дорог постоянного действия осуществляют в соответствии с проектной документацией, утвержденной в установленном порядке, частью которой является проект организации строительства (ПОС), а также с проектами производства работ (ППР).
9.1.4 ПОС разрабатывают в целях определения общей продолжительности строительства автомобильной дороги, эффективной технологии и последовательности выполнения строительно-монтажных и других работ, определения потребности строительства в трудовых и материально-технических ресурсах, а также источников получения дорожно-строительных материалов, изделий и конструкций.
9.1.5 ППР разрабатывают на строительство автомобильной дороги в целом, на этап, годовой объем работ или на выполнение отдельных видов работ.
9.1.6 ППР разрабатывают на основе ПОС и проектной документации в целях детального моделирования процесса строительства автомобильной лесной дороги.
9.2 Строительство автомобильных лесных дорог постоянного действия
9.2.1 Строительство автомобильных дорог осуществляет генеральная подрядная организация (далее - подрядчик). При необходимости подрядчик привлекает для выполнения отдельных видов специальных работ субподрядные организации по согласованию с заказчиком.
9.2.2 Для выполнения работ привлекают субподрядчиков, имеющих допуск на выполнение соответствующих работ, выданный саморегулируемой организацией.
9.2.3 Подрядчик несет ответственность за безопасность действий на строительстве для окружающей среды и населения, а также безопасность труда в течение всего периода строительства в соответствии с действующим законодательством.
9.2.4 Заказчик (застройщик) информирует органы местного самоуправления и местные органы управления лесами о сроках начала строительства (а также о приостановке, консервации и/или прекращении строительства) и готовности автомобильной лесной дороги к вводу в эксплуатацию.
9.2.5 В целях обеспечения принципа единства правил и методов испытаний и измерений применяют стандартные или аттестованные в установленном порядке методы и средства контроля, выполняемые всеми участниками строительства, а контрольные испытания и измерения выполняют силами квалифицированного персонала.
9.2.6 Заказчик (застройщик) передает подрядчику проектную документацию, допущенную им (заказчиком) к производству работ:
- утверждаемую часть, в том числе ПОС;
- рабочую документацию на весь объект.
9.2.7 Подрядчик выполняет входной контроль переданной ему для исполнения указанной документации и передает застройщику перечень выявленных в ней недостатков, а также проверяет их устранение.
9.2.8 Заказчик (застройщик) обеспечивает вынос в натуру геодезической разбивочной основы.
9.2.9 На основе проектной документации подрядчик подготовляет схемы расположения разбиваемых в натуре осей зданий и сооружений, знаков закрепления этих осей и монтажных ориентиров.
9.2.10 Подрядчик обеспечивает доступ на территорию строительства представителям заказчика (застройщика), органов государственного контроля (надзора), авторского надзора и местного самоуправления, а также предоставляет им необходимую документацию.
9.2.11 В случаях проложения автомобильной дороги по территории, подверженной воздействию неблагоприятных природных явлений и геологических процессов (сели, лавины, оползни, обвалы и т.д.) до начала выполнения общих строительных работ выполняют первоочередные мероприятия и работы по защите территории строительства от указанных процессов.
9.2.12 Подрядчик обеспечивает мероприятия по охране окружающей среды в период строительства в соответствии с проектной документацией, нормативными и законодательными актами и ППР.
9.2.13 Временные здания и сооружения, устанавливаемые для нужд строительства, подлежат демонтажу и удалению, а территория временного отвода, занятая под указанные здания и сооружения, - рекультивации и возвращению землепользователю.
Рекультивации подлежит вся площадь временно занимаемых земель для нужд строительства (площади карьеров и резервов, мест временного размещения плодородного грунта и строительных материалов, подъездных дорог и т.д.).
9.2.14 Подрядчик обеспечивает складирование и хранение материалов и изделий в соответствии со стандартами или техническими условиями на эти материалы и изделия.
В случае выявления нарушений установленных правил складирования и хранения подрядчик их немедленно устраняет. Применение неправильно складированных и хранимых материалов и изделий осуществляют только после документированного разрешения заказчика, свидетельствующего о возможности их применения без ущерба качеству строительства.
9.2.15 Организационно-технологические решения, определяющие процесс строительства, ориентируют на максимальное сокращение неудобств, причиняемых строительными работами населению и существующему движению транспортных средств.
9.2.16 Работы, связанные с вскрытием поверхности в местах расположения действующих подземных коммуникаций и сооружений, проводят с соблюдением правил, установленных министерствами и ведомствами, эксплуатирующими данные коммуникации.
До начала указанных работ подрядчик заблаговременно вызывает на место проведения работ представителей организаций, эксплуатирующих действующие подземные коммуникации и сооружения, а при их отсутствии - представителей соответствующих организаций, согласовавших проектную документацию.
9.2.17 Подрядчик осуществляет ведение исполнительной документации в соответствии с установленными рекомендациями.
9.2.18 Приемку и ввод в эксплуатацию законченной строительством автомобильной лесной дороги (пусковых комплексов, этапов) осуществляют в установленном порядке.
10 Временные летние и зимние лесные дороги
10.1 Конструкции временных летних лесовозных дорог
10.1.1 В зависимости от конструкции проезжей части летние лесные дороги бывают следующих типов:
- колейные;
- гравийные или из местного грунта, улучшенного добавками;
- грунтовые.
В свою очередь колейные покрытия могут быть сборно-разборными, из деревянных щитов, полимерных композиционных материалов или железобетонных плит.
10.1.2 Область применения различных типов летних временных лесных дорог приведена в таблице 10.1.
Таблица 10.1
Типы дорог | Область применения |
Колейные из деревянных щитов | В лесосеках типа местности III, на заболоченных грунтах и болотах типов I и II, при вывозке автопоездами с осевой нагрузкой свыше 12 т |
Колейные из железобетонных плит или плит из стеклопластика | В лесосеках типа местности III, на заболоченных грунтах и болотах типов I и II, при вывозке автопоездами с осевой нагрузкой свыше 12 т |
Гравийные на хворостяной выстилке | В лесосеках типа местности II и III при наличии песчано-гравийных материалов в радиусе до 5 км для автопоездов с осевой нагрузкой свыше 12 т |
Из местного грунта, улучшенного добавками | В лесосеках типа местности III при отсутствии песчано-гравийных материалов и при наличии глинистых грунтов или мелкозернистых песков с расстоянием подвозки до 5 км при вывозке автопоездами с осевой нагрузкой до 12 т |
Грунтовые | В лесосеках типов местности I и II при благоприятных грунтово-гидрологических условиях при вывозке автопоездами с осевой нагрузкой до 12 т |
10.1.3 Поперечные профили лесных дорог с колейным покрытием из железобетонных плит для типов местности II и III показаны на рисунках 10.1 и
10.2.
Рисунок 10.1 - Поперечный профиль лесных дорог
из железобетонных плит для условий типа местности II
на грунтах, годных для укладки в земляное полотно
Рисунок 10.2 - Поперечный профиль лесных дорог
из железобетонных плит для условий типа местности III
со слабыми грунтами, не пригодными для укладки
в земляное полотно
10.1.4 Поперечные профили лесных дорог с колейным покрытием из деревянных щитов для болот типов I и II показаны на рисунках 10.3 и
10.4.
Рисунок 10.3 - Поперечный профиль лесных дорог из деревянных
щитов на болотах типа II с толщиной торфа до 2 м
Рисунок 10.4 - Поперечный профиль лесных дорог из деревянных
щитов на болотах типа II с толщиной торфа свыше 2 м
10.1.5 Строительство лесных дорог с гравийным покрытием рекомендуется осуществлять в местах, где имеются гравийные карьеры на расстоянии не более 5 км от места строительства дорог. При большем расстоянии доставки гравийного материала необходимо провести расчеты экономической целесообразности строительства дорог с гравийным покрытием.
10.1.6 Земляное полотно дорог с гравийным покрытием на сырых участках местности с необеспеченным отводом поверхностных вод и на неглубоких болотах типа I сооружают на уплотненной хворостяной выстилке или с применением композиционных или геотекстильных материалов. Выбор материала и технологии строительства с его применением осуществляют на основании инструкции изготовителя с предварительным обоснованием экономической целесообразности строительства.
10.1.7 Поперечный профиль дороги, рекомендуемый к применению на сырых участках местности с необеспеченным отводом поверхностных вод при поперечном уклоне местности менее 1:25, изображен на рисунке 10.5, а при поперечном уклоне более 1:25 - на
рисунке 10.6.
1 - хворостяная выстилка; 2 - земляное полотно;
3 - гравийное покрытие
Рисунок 10.5 - Поперечный профиль дороги, рекомендуемый
к применению на болотах типа I
1 - хворостяная выстилка или геотекстильный материал;
2 - земляное полотно; 3 - гравийное покрытие
Рисунок 10.6 - Поперечный профиль дороги для участков
местности типа II с поперечным уклоном более 1:25
10.1.8 Поперечный профиль дороги, рекомендуемый к применению на сырых участках местности с необеспеченным отводом поверхностных вод при поперечном уклоне местности более 1:25, изображен на рисунке 10.7.
1 - хворостяная выстилка; 2 - земляное полотно;
3 - гравийное покрытие
Рисунок 10.7 - Поперечный профиль дороги, рекомендуемый
для применения на болотах типа I
10.2 Конструкции зимних лесовозных дорог
10.2.1 Общие указания
10.2.1.1 Зимние лесные дороги для вывозки древесины строят как самостоятельные дороги (зимник) или как продолжение лесных дорог круглогодового действия (зимняя лесовозная ветка).
10.2.1.2 Зимние лесовозные дороги устраивают для освоения лесных массивов зимней заготовки, расположенных на землях типа местности III, доступ к которым связан с преодолением значительных заболоченных участков.
10.2.1.3 Зимник проектируют двухполосным: одна полоса для грузового, а другая - для порожнего направлений. Обе дороги, как правило, располагают в одной просеке. Полосу, предназначенную для грузового движения, устраивают снежно-ледяной, а полоса для порожнего направления может быть снегоуплотненной.
10.2.1.4 Зимние дороги устраивают двух видов: снегоуплотненные и снежно-ледяные. Снегоуплотненные дороги строят путем уплотнения снега. Уплотнять снег на полотне дороги целесообразно при толщине снегового покрова до 0,10 - 0,15 м. Если снегопад или метель продолжаются, работы по уплотнению не прекращают, так как укатка слоя снега толщиной более 0,25 м не дает требуемого эффекта. Уплотнение снега тонкими слоями рекомендуется осуществлять прицепными пневмокатками массой 10 - 15 т, пригруженными трайлерами, гладкими катками с набитыми на валец в шахматном порядке продольными рейками, пригруженными многополозными санями с трапецеидальным сечением полоза и другими устройствами. Снег слоями толщиной более 0,25 м уплотняют после предварительного рыхления и перемешивания его ребристыми металлическими катками, навешиваемыми на бульдозер вместо отвала; к указанному агрегату целесообразно прицеплять легкую гладилку или многополозные сани для частичного обжатия разрыхленного снега. Для предупреждения образования на поверхности полотна ям, выбоин, колей, ухабов, проломов и т.п. толщину тщательно уплотненного снежного покрытия ограничивают 0,20 - 0,25 м. Для существенного увеличения прочности снежного покрытия желательно по возможности поливать уплотненный снег водой из расчета 2 - 4 л на 1 м2 покрытия.
10.2.1.5 Снежно-ледяные дороги устраивают путем поливки проезжей части дороги водой. Если основание дороги покрыто слоем снега, его нужно предварительно уплотнить, так же как при строительстве снегоуплотненных дорог. Поливку дороги водой проводят через 12 - 16 ч после уплотнения снега. Для полива могут быть использованы вакуум-цистерны, монтируемые на автомобилях и оборудованные устройствами для забора и слива воды, автополивщики, поливочные машины или цистерны, устанавливаемые на тракторных санях.
Наиболее благоприятная температура воздуха для полива - от минус 5 °C до минус 18 °C. При первой поливке расход воды должен составлять 5 - 6 м3 на 100 м дороги при ширине поливаемой полосы 3,0 м (15 - 20 л на 1 м2 проезжей части дороги). При последующих поливках расход воды уменьшают в три раза. Движение по дороге разрешается начинать только после полного замерзания воды.
10.2.2 Конструкции поперечного профиля зимних дорог
10.2.2.1 Поперечный профиль зимних дорог на участках типа местности III с постоянным избыточным увлажнением.
При устройстве основания зимней дороги на участках типа местности III проводят корчевку пней, планировку поверхности, устройство насыпей и выемок.
Земляное полотно грузовой и порожняковой полос проектируют по возможности в нулевых отметках, за исключением снегозаносимых участков, на которых полотно следует проектировать в насыпях высотой не менее расчетной толщины снежного покрова, но не менее 0,6 м. На рисунке 10.8 показана конструкция поперечного профиля в насыпи из снега.
1 - существующий снежный покров; 2 - насыпь из уплотненного
снега; 3 - ледяное полотно
B - ширина снежного полотна, равная 5,0 м; bп - ширина
проезжей части, равная 3,5 м
Рисунок 10.8 - Поперечный профиль автозимника
в насыпи из снега
10.2.2.2 На рисунке 10.9 изображен поперечный профиль двухпутного зимника в нулевых отметках.
Рисунок 10.9 - Двухпутный зимник в нулевых отметках
10.2.2.3 На рисунке 10.10 изображен поперечный профиль двухпутного зимника с устройством насыпи.
Рисунок 10.10 - Поперечный профиль двухпутного зимника
с устройством насыпи
10.2.2.4 На рисунке 10.11 изображен поперечный профиль двухпутного зимника с устройством выемки.
h - высота порожняковой полосы
Рисунок 10.11 - Поперечный профиль двухпутного зимника
с устройством выемки
10.2.2.5 На рисунке 10.12 изображен поперечный профиль порожняковой зимней и грузовой летней дорог в одной просеке.
Рисунок 10.12 - Поперечный профиль порожняковой зимней
и грузовой летней дорог в одной просеке
10.2.3 Устройство зимних дорог на болотах
10.2.3.1 Устройство зимних дорог на болотах проводят с учетом глубины болота, свойства торфа и его промерзаемости без выторфовывания.
10.2.3.2 По условиям устойчивости консистенции болота применяют классификацию болот по трем типам:
- тип I - сплошь заполненные торфом устойчивой консистенции, подстилаемые достаточно плотными минеральными грунтами;
- тип II - заполненные торфом неустойчивой консистенции, подстилаемые органическими или полуорганическими илами (сапропелями);
- тип III - заполненные жидким торфом с плавающей торфяной корой (сплавиной).
10.2.3.3 При устройстве зимних дорог на хорошо промерзающих болотах типа I при толщине торфа до 1,0 м устраивают хворостяную выстилку, которую уплотняют продольными ходами трактора (три-четыре раза). Толщина слоя хворостяной выстилки после ее уплотнения должна составлять 0,2 - 0,3 м.
10.2.3.4 На хорошо промерзающих болотах, болотах типа II при толщине торфа от 1 до 2 м укладывают продольные лаги через 0,5 м, а по ним устраивают хворостяную выстилку, которую также уплотняют. На медленно промерзающих болотах при толщине торфа более 2 м укладывают продольные лаги, а по ним устраивают сплошной настил (слань) из тонкомерных бревен.
10.2.3.5 С наступлением морозов в целях ускорения промерзания и пуска в эксплуатацию зимней дороги проводят проминку подготовленного основания, которая продолжается до образования промерзшего слоя, выдерживающего прохождение транспортной техники. Проминку осуществляют гусеничными или колесными тракторами, работающими с прицепными катками.
10.2.3.6 Поперечный профиль зимней дороги на болотах при толщине торфа до 1 м изображен на рисунке 10.13.
Рисунок 10.13 - Поперечный профиль зимней дороги
на болотах при толщине торфа до 1 м
10.2.3.7 На рисунке 10.14 изображен поперечный профиль зимней дороги, проложенной по болоту с толщиной торфа от 1 до 2 м.
Рисунок 10.14 - Поперечный профиль зимней дороги
на болотах при толщине торфа от 1 до 2 м
10.2.3.8 Поперечный профиль зимней дороги, проложенной на медленно промерзающих болотах типа II при толщине торфа свыше 2,0 м изображен на рисунке 10.15. В целях сокращения затрат на строительство трассу прохождения зимника, изображенного на рисунке 10.15, следует выбирать в наиболее узком месте болота.
Рисунок 10.15 - Поперечный профиль зимней дороги
на болотах при толщине торфа свыше 2 м
10.2.3.9 Ширину просеки при устройстве зимних дорог устанавливают:
- при устройстве грузового и порожнякового путей в одной просеке - 14 м;
- при устройстве грузового и порожнякового путей в разных просеках: для грузового пути - 8 м, для порожнякового - 6,0 м.
10.3 Строительство и содержание временных летних лесовозных дорог
10.3.1 Строительство временных лесных дорог выполняется силами и средствами лесопользователя - арендатора лесного участка.
10.3.2 Конструкцию временных лесных дорог выбирают с учетом почвенно-грунтовых условий и рекомендаций, изложенных в
10.1 настоящего свода правил.
10.3.3 Прокладку трасс временных дорог осуществляют на основании утвержденной в установленном порядке технологической карты разработки лесосек.
10.3.4 - 10.3.16 Исключены с 5 августа 2019 года. -
Изменение N 1, утв. Приказом Минстроя России от 04.02.2019 N 83/пр.
Подраздел 10.4 исключен с 5 августа 2019 года. -
Изменение N 1, утв. Приказом Минстроя России от 04.02.2019 N 83/пр.
Для постройки автомобильной лесной дороги на землях лесного фонда ширину дорожной полосы устанавливают не менее суммарной ширины просеки и полосы насаждений, оставляемых для защиты полотна дороги от снежных заносов. Ширину просеки устанавливают с учетом размещения всех сооружений и устройств дороги, намеченных способов производства работ по возведению земляного полотна, но не менее:
- 30 м - для лесных дорог категорий Iл и IIл;
(в ред.
Изменения N 2, утв. Приказом Минстроя России от 07.12.2021 N 903/пр)
- 12 м - для лесных дорог категорий IIIл и IVл.
(в ред.
Изменения N 2, утв. Приказом Минстроя России от 07.12.2021 N 903/пр)
Ширину защитной полосы леса устанавливают в соответствии с нормами лесохозяйственного регламента лесничества, на территории которого осуществляется строительство лесной дороги.
Ширину полосы отвода земель вне земель лесного фонда устанавливают в соответствии с поперечными профилями земляного полотна проектируемой дороги с учетом прилегающих к земляному полотну водоотводных канав и других сооружений и устройств. При этом расстояние от подошвы насыпи или бровки выемки, а при наличии резервов, кавальеров и водоотводных канав - от ближайших крайних их точек до границы полосы отвода следует устанавливать не менее 2 м, а в исключительных случаях - 1 м.
При прохождении трассы по землям, используемым под особо ценные культуры, а также в стесненных условиях в пределах населенных пунктов допускается проектировать земляное полотно без резервов и кавальеров, заменять водоотводные канавы лотками и в особо стесненных условиях устраивать подпорные стенки.
Ширину полосы отвода в местах, подверженных снежным заносам, устанавливают с учетом ширины полосы, необходимой для установки снегозащитных устройств.
На поймах, вблизи оврагов, на оползневых косогорах и тому подобных местах полосу отвода устанавливают с расчетом размещения укрепительных сооружений, в том числе защитных сооружений.
Прилегающие к дороге лесные участки, вырубка которых может отразиться на устойчивости склонов гор и косогоров и привести к образованию оползней и оплывов, вызвать появление селевых потоков и снежных обвалов, следует выделять в специальные зоны, не включаемые в полосу отвода.
(в ред.
Изменения N 1, утв. Приказом Минстроя России от 04.02.2019 N 83/пр)
ДОРОЖНО-КЛИМАТИЧЕСКОЕ РАЙОНИРОВАНИЕ
Таблица А.1
Дорожно-климатическая зона <*> | Примерная географическая граница и краткая характеристика дорожно-климатической зоны |
I | Севернее линии Мончегорск - Поной - Несь - Ошкурья - Сухая - Тунгуска - Канск - государственная граница - Биробиджан - Де-Кастри. Включает в себя географические зоны тундры, лесотундры и северо-восточную часть лесной зоны с распространением вечномерзлых грунтов |
II | От границы зоны I до линии Житомир - Тула - Нижний Новгород - Ижевск - Кыштым - Томск - Канск до государственной границы. Включает в себя географическую зону лесов с избыточным увлажнением грунтов |
III | От границы зоны II до линии Кировоград - Белгород - Самара - Магнитогорск - Омск - Бийск - Туран. Включает в себя лесостепную географическую зону со значительным увлажнением грунтов |
IV | От границы зоны III до линии Буйнакск - Волгоград, далее проходит на 200 км южнее линии Уральск - Актюбинск. Включает в себя географическую степную зону с недостаточным увлажнением грунтов |
V | Расположение к юго-западу и югу от границы зоны IV. Включает в себя пустынную и пустынно-степную географические зоны с засушливым климатом и распространением засоленных грунтов |
Примечания 1 Кубань и западную часть Северного Кавказа следует относить к дорожно-климатической зоне III. 2 При проектировании участков дорог в приграничных зонах при обосновании грунтово-гидрологических и почвенных условий, а также исходя из практики эксплуатации дорог в районе допускается принимать проектные решения, как для смежной (северной или южной) зоны. |

Рисунок А.1 - Дорожно-климатическое районирование
(в ред.
Изменения N 1, утв. Приказом Минстроя России от 04.02.2019 N 83/пр)
ТИПЫ МЕСТНОСТИ ПО ХАРАКТЕРУ И СТЕПЕНИ УВЛАЖНЕНИЯ
Таблица Б.1
Тип местности | Характеристика местности | Признаки увлажнения |
I | Сухие места без избыточного увлажнения | Поверхностный сток обеспечен и грунтовые воды не оказывают существенного влияния на увлажнение верхней толщи грунтов <*> |
II | Сырые места с увлажнением в отдельные периоды года | Поверхностный сток не обеспечен, но грунтовые воды не оказывают существенного влияния на увлажнение верхней толщи грунтов <*>; почвы с признаками поверхностного заболачивания. Весной и осенью появляется застой воды на поверхности |
III | Мокрые места с постоянным избыточным увлажнением | Грунтовые воды или длительно стоящие (более 20 сут) поверхностные воды влияют на увлажнение верхней толщи грунтов; торфяные оглеенные почвы с признаками заболачивания, а также солончаки и постоянно орошаемые территории засушливой зоны |
<*> В случаях, если уровень грунтовых вод в предморозный период залегает ниже расчетной глубины промерзания: на 2 м и более в глинах, тяжелых пылеватых и тяжелых суглинках; на 1,5 м и более в легких пылеватых и легких суглинках, тяжелых пылеватых и пылеватых супесях; на 1,0 м и более в легких, легких крупных супесях и пылеватых песках. |
(в ред.
Изменения N 1, утв. Приказом Минстроя России от 04.02.2019 N 83/пр)
КЛАССИФИКАЦИЯ ГРУНТОВ ДЛЯ ПРОЕКТИРОВАНИЯ И СООРУЖЕНИЯ
ЗЕМЛЯНОГО ПОЛОТНА
В.1 Классификация глинистых грунтов приведена в таблице В.1.
Таблица В.1
Наименование видов глинистых грунтов | Показатели | Примечание |
Число пластичности | Содержание песчаных частиц размером от 2 до 0,05 мм, % массы сухого грунта |
Легкая крупная супесь | 1 - 7 | Свыше 50 | |
Легкая супесь | |
Пылеватая супесь | 20 - 50 | |
Тяжелая пылеватая супесь | До 20 | |
Легкий суглинок | 7 - 12 | Свыше 40 | |
Легкий пылеватый суглинок | До 40 | |
Тяжелый суглинок | 12 - 17 | Свыше 40 | |
Тяжелый пылеватый суглинок | До 40 | |
Песчанистая глина | 17 - 27 | Свыше 40 | |
Пылеватая глина | Меньше, чем пылеватых размером 0,05 - 0,005 мм | |
Жирная глина | Свыше 27 | Не нормируется | |
Примечания 1 При содержании частиц крупнее 2 мм в количестве 20% - 50% наименование грунта дополняют словом "гравелистый" при окатанных частицах и "щебенистый" при острореберных, неокатанных частицах. 2 Для легких крупных супесей предусмотрено содержание частиц размером 2,00 - 0,25 мм, для остальных грунтов - размером 2,00 - 0,05 мм. |
В.2 Распределение частиц по крупности для несцементированных обломочных грунтов (класса IV классификации строительных грунтов) приведено в таблице В.2.
Таблица В.2
Наименование видов несцементированных обломочных грунтов | Распределение частиц по крупности, % массы сухого грунта |
Крупнообломочные |
Глыбовый грунт (при преобладании окатанных камней - валунный) | Масса камней крупнее 200 мм составляет более 50% |
Щебенистый грунт (при преобладании окатанных частиц - галечниковый) | Масса частиц крупнее 10 мм составляет более 50% |
Дресвяный грунт (при преобладании окатанных частиц - гравийный) | Масса частиц крупнее 2 мм составляет более 50% |
Песчаные |
Гравелистый песок: | Масса частиц крупнее 2 мм составляет менее 50%, но более 25% |
- крупный | Масса частиц крупнее 0,5 мм составляет более 50% |
Песок средней крупности: | Масса частиц крупнее 0,25 мм составляет более 50% |
- мелкий | Масса частиц крупнее 0,1 мм составляет более 75% |
- пылеватый | Масса частиц крупнее 0,1 мм составляет менее 75% |
Примечание - Для установления наименования грунта по настоящей таблице последовательно суммируют проценты содержания частиц исследуемого грунта: сначала крупнее 10 мм, затем крупнее 2 мм, далее крупнее 0,5 мм и т.д. Наименование грунта принимают по первому удовлетворяющему показателю в порядке расположения наименований в настоящей таблице. |
(в ред.
Изменения N 1, утв. Приказом Минстроя России от 04.02.2019 N 83/пр)
ОПРЕДЕЛЕНИЕ ВИДИМОСТИ ДОРОГИ В ПЛАНЕ
Рисунок Г.1 - Препятствия для видимости в плане
а)
а) При расстоянии видимости больше длины кривой (
s >
k)
б)
б) При расстоянии видимости меньше длины кривой (
s <
k)
Рисунок Г.2 - Схема расчета обеспечения видимости в плане
| | ИС МЕГАНОРМ: примечание. В официальном тексте документа, видимо, допущена опечатка: рисунок 2 а) отсутствует. Возможно, имеется в виду рисунок Г.2 а). | |

(Г.1)
| | ИС МЕГАНОРМ: примечание. В официальном тексте документа, видимо, допущена опечатка: рисунок 2 б) отсутствует. Возможно, имеется в виду рисунок Г.2 б). | |

(Г.2)
где

.
В зоне пересечения или примыкания необходимо обеспечить видимость водителям, подъезжающим по главной и второстепенной дорогам, исходя из условия остановки автомобилей до пересекаемых полос движения
(рисунок Г.3).
а) На пересечениях автомобильных дорог в одном уровне
б) На примыканиях автомобильных дорог в одном уровне
LА и LД - расстояние видимости поверхности дороги;
Lб - расстояние боковой видимости; граница зоны видимости
показана пунктиром
Рисунок Г.3 - Схемы обеспечения видимости
| | ИС МЕГАНОРМ: примечание. Нумерация пунктов дана в соответствии с официальным текстом документа. | |
6.6 Расстояния видимости поверхности дорог LА и LД должны соответствовать расчетным скоростям движения на пересекаемых дорогах (А-А и Д-Д) и продольным уклонам на подходах.
(в ред.
Изменения N 1, утв. Приказом Минстроя России от 04.02.2019 N 83/пр)
КРУТИЗНА ОТКОСОВ НАСЫПЕЙ И ВЫЕМОК
Таблица Д.1
Грунты насыпи | Наибольшая крутизна откосов при высоте откоса насыпи, м |
До 6 | До 12 |
в нижней части (0 - 6) | в верхней части (6 - 12) |
Крупнообломочные и песчаные (за исключением мелких и пылеватых песков) | 1:1,5 | 1:1,5 | 1:1,5 |
Песчаные мелкие и пылеватые и лессовые <1> | 1:1,5 -------- 1:1,75 | 1:1,5 ------- 1:2 | 1:1,5 -------- 1:1,75 |
<1> В числителе приведены значения для пылеватых разновидностей грунтов в дорожно-климатических зонах II, III и для одноразмерных мелких песков. Примечание Высоту откоса насыпи определяют по разности отметок верхней и нижней бровок откоса. При наличии косогорности высоту откоса насыпи определяют по разности отметок верхней и нижней бровок откоса. Наибольшую крутизну откоса насыпей из мелких (барханных песков в районах с засушливым климатом) назначают 1:2 независимо от высоты. |
Таблица Д.2
Грунты выемки | Высота откоса, м | Наибольшая крутизна откосов <1> |
Песчаные, глинистые однородные, твердой, полутвердой и тугопластичной консистенции | До 12 | 1:2 |
Пески мелкие | До 2 | 1:4 |
2 - 12 | 1:2 |
Лесс | До 12 | 1:1 - 1:1,05 ----------------- 1:0,5 - 1:1,5 |
<1> Для лессовых грунтов в числителе приведена крутизна откосов в засушливой зоне, в знаменателе - вне засушливой зоны. Примечание В скальных слабовыветривающихся грунтах допускаются вертикальные откосы, а для территорий с закрепленными растительными песками допускается наибольшую крутизну при высоте откоса до 12 м принимать 1:2. Высоту откоса выемки определяют по разности отметок верхней и нижней бровок откоса. В случае косогорности при пользовании настоящей таблицей в расчет берут верхний откос. |
(справочное)
ХАРАКТЕРИСТИКИ ТРАНСПОРТНЫХ СРЕДСТВ, ИСПОЛЬЗУЕМЫХ
ДЛЯ ВЫВОЗКИ ЛЕСНЫХ И ТЕХНИЧЕСКИХ ГРУЗОВ
Приложение Е исключено с 5 августа 2019 года. -
Изменение N 1, утв. Приказом Минстроя России от 04.02.2019 N 83/пр.
(в ред.
Изменения N 1, утв. Приказом Минстроя России от 04.02.2019 N 83/пр)
а) Разъезд
б) Карман
Рисунок Ж.1 - Схемы разъездов и карманов
[1], [2] Исключены с 08.01.2022. - Изменение N 2, утв. Приказом Минстроя России от 07.12.2021 N 903/пр |
| Правила заготовки древесины, утвержденные приказом Федерального агентства лесного хозяйства от 1 августа 2011 г. N 337 |
| Федеральный закон от 4 декабря 2006 г. N 200-ФЗ "Лесной кодекс Российской Федерации" |
[5] | Федеральный закон от 30 ноября 1994 г. N 51-ФЗ "Гражданский кодекс Российской Федерации (часть первая)" |
| Приказ Рослесхоза от 5 октября 2011 г. N 423 | Об утверждении типовой формы и состава лесного плана субъекта Российской Федерации, порядка его подготовки (зарегистрирован в Минюсте России 12 декабря 2011 г., рег. N 22552) |
[7] Исключена с 08.01.2022. - Изменение N 2, утв. Приказом Минстроя России от 07.12.2021 N 903/пр |
| Федеральный закон от 8 ноября 2007 г. N 257-ФЗ "Об автомобильных дорогах и о дорожной деятельности в Российской Федерации и о внесении изменений в отдельные законодательные акты Российской Федерации" |
| Постановление Правительства Российской Федерации от 19 января 2006 г. N 20 "Об инженерных изысканиях для подготовки проектной документации, строительства, реконструкции объектов капитального строительства" |
| Приказ Рослесхоза от 27 апреля 2012 г. N 174 | Об утверждении Нормативов противопожарного обустройства лесов (зарегистрирован в Минюсте России 7 июня 2012 г., рег. N 24488) |
| Федеральный закон от 14 марта 1995 г. N 33-ФЗ "Об особо охраняемых природных территориях" |
| | Правила диагностики и оценки состояния автомобильных дорог. Основные положения |
| Федеральный закон от 23 июля 2013 г. N 196-ФЗ "О внесении изменений в Кодекс Российской Федерации об административных правонарушениях и статью 28 Федерального закона "О безопасности дорожного движения" |
| | Указания по проектированию земляного полотна железных и автомобильных дорог |
| МОДН 2-2001 | Проектирование нежестких дорожных одежд |
| | Рекомендации по проектированию и строительству водопропускных сооружений из металлических гофрированных структур на автомобильных дорогах общего пользования с учетом региональных условий (дорожно-климатических зон) |
| | Руководство по оценке транспортно-эксплуатационного состояния мостовых конструкций |
| | Проектирование земляного полотна железных дорог колеи 1520 мм |
| | Инструкция по проектированию, строительству и эксплуатации ледовых переправ |
| ПУЭ | Правила устройства электроустановок (6 и 7-е издания) |
| МС РФ АООТ "ССКТБ-ТОМАСС" | Руководство по строительству линейных сооружений местных сетей связи. Ч. 1, 2 |
| (НТП 112-2000) | Нормы технологического проектирования. Городские и сельские телефонные сети |
| Федеральный закон от 30 декабря 2009 г. N 384-ФЗ "Технический регламент о безопасности зданий и сооружений" |
| Федеральный закон от 25 июня 2002 г. N 73-ФЗ "Об объектах культурного наследия (памятниках истории и культуры) народов Российской Федерации" |
| Федеральный закон от 3 июня 2006 г. N 74-ФЗ "Водный кодекс Российской Федерации" |
[26] Исключена с 08.01.2022. - Изменение N 2, утв. Приказом Минстроя России от 07.12.2021 N 903/пр |
| | Проектирование нежестких дорожных одежд |
(ссылка введена Изменением N 1, утв. Приказом Минстроя России от 04.02.2019 N 83/пр) |
[28] Исключена с 08.01.2022. - Изменение N 2, утв. Приказом Минстроя России от 07.12.2021 N 903/пр |
| Приказ Рослесхоза от 27 апреля 2012 г. N 174 "Об утверждении Нормативов противопожарного обустройства лесов" |
(ссылка введена Изменением N 2, утв. Приказом Минстроя России от 07.12.2021 N 903/пр) |