Главная // Актуальные документы // ГрафикСПРАВКА
Источник публикации
М.: ГП "Информавтодор", 2002
Примечание к документу
Документ
введен в действие с 3 октября 2002 года.
Название документа
"ОДН 218.0.006-2002. Правила диагностики и оценки состояния автомобильных дорог. Основные положения"
(приняты и введены в действие Распоряжением Минтранса РФ от 03.10.2002 N ИС-840-р)
"ОДН 218.0.006-2002. Правила диагностики и оценки состояния автомобильных дорог. Основные положения"
(приняты и введены в действие Распоряжением Минтранса РФ от 03.10.2002 N ИС-840-р)
Приняты и введены в действие
от 3 октября 2002 г. N ИС-840-р
ОТРАСЛЕВЫЕ ДОРОЖНЫЕ НОРМЫ
ПРАВИЛА ДИАГНОСТИКИ И ОЦЕНКИ СОСТОЯНИЯ
АВТОМОБИЛЬНЫХ ДОРОГ
ОСНОВНЫЕ ПОЛОЖЕНИЯ
ОДН 218.0.006-2002
Дата введения
3 октября 2002 года
1. Разработаны и внесены кафедрой строительства и эксплуатации дорог Московского автомобильно-дорожного института (Государственного технического университета) и ГП "РОСДОРНИИ".
2. Приняты и введены в действие
Распоряжением Министерства транспорта Российской Федерации от 03.10.2002 г. N ИС-840-р.
Настоящий документ разработан взамен Правил
ВСН 6-90 и предназначен в качестве руководства при выполнении диагностики, оценке транспортно-эксплуатационного состояния автомобильных дорог общего пользования и планировании дорожно-ремонтных работ.
Правила определяют порядок выполнения работ по диагностике и оценке состояния дорог, раскрывают методологию оценки каждого показателя состояния дороги и формирования банка данных, рассматривают принципы планирования и оценки эффективности дорожно-ремонтных работ по результатам диагностики.
Правила разработаны под руководством и при участии д-ра техн. наук, проф. Васильева А.П. (МАДИ-ГТУ) и канд. техн. наук Эрастова А.Я. (ГП "РОСДОРНИИ"), коллективом авторов в составе: д-ра техн. наук, проф. Яковлева Ю.М., канд. техн. наук, доц. Апестина В.К., канд. техн. наук Горячева М.Г., канд. техн. наук, доц. Кузнецова Ю.В., инж. Лугова С.В. (МАДИ-ГТУ), кандидатов техн. наук Чванова В.В., Живописцева И.Ф., Лушникова Н.А., Перкова Ю.Р., Смурова Р.М., Дудакова А.И., Волынского Б.М., Кретова М.А., инженеров Стрижевского А.М., Машкина В.О., Пучкова Е.А., Кульгавиной Н.Ю. (ГП "РОСДОРНИИ"). В документе использованы программные модули, разработанные инж. Ваниной Е.О. и Куликовым С.С.
В настоящий документ включены материалы Правил
ВСН 6-90, в разработке которых участвовали: Попов В.А., канд. техн. наук, проф. Коганзон М.С., канд. техн. наук Белов В.Д., Мусатов С.А., Жилин С.Н., Субботин С.П., инж. Нестеренко В.Г.
Настоящие "Правила ..." определяют цель, задачи и порядок диагностики, метод оценки состояния автомобильных дорог, а также порядок использования результатов оценки для принятия оптимальных управленческих решений на стадии планирования и оценки эффективности дорожно-ремонтных работ.
Правила распространяются на федеральные автомобильные дороги и рекомендуются для применения на всех дорогах общего пользования Российской Федерации.
В настоящих Правилах использованы ссылки на следующие стандарты и нормативно-технические документы:
1.
ГОСТ Р 50597-93. Автомобильные дороги и улицы. Требования к эксплуатационному состоянию, допустимому по условиям обеспечения безопасности дорожного движения.
2.
ГОСТ 30412-96. Дороги автомобильные и аэродромы. Методы измерений неровностей оснований и покрытий.
3.
ГОСТ 30413-96. Дороги автомобильные. Метод определения коэффициента сцепления колеса автомобиля с дорожным покрытием.
4.
СНиП 3.06.03-85. Автомобильные дороги. Госстрой СССР. - М.: ЦИТП Госстроя СССР, 1986. - 112 с.
5.
СНиП 2.05.02-85. Автомобильные дороги. Госстрой СССР. - М.: ЦИТП Госстроя СССР, 1986. - 56 с.
6.
СНиП 3.06.07-86. Мосты и трубы. Правила обследований и испытаний. Госстрой СССР. - М: ЦИТП Госстроя СССР, 1981. - 37 с.
7. Инструкция по проведению осмотров мостов и труб на автомобильных дорогах:
ВСН 4-81. Минавтодор РСФСР. - М.: Транспорт, 1981. - 42 с.
8. Классификация работ по ремонту и содержанию автомобильных дорог общего пользования. М.: Информавтодор, 2002. - 28 с.
9. Технические правила ремонта и содержания автомобильных дорог:
ВСН 24-88 / Минавтодор РСФСР. - М: Транспорт, 1989. - 198 с.
10. Указания по оценке прочности и расчету усиления нежестких дорожных одежд:
ВСН 52-89. Минавтодор РСФСР. М.: Транспорт, 1989. - 70 с.
Диагностика автомобильных дорог - обследование, сбор и анализ информации о параметрах, характеристиках и условиях функционирования дорог и дорожных сооружений, наличии дефектов и причин их появления, характеристиках транспортных потоков и другой необходимой для оценки и прогноза состояния дорог и дорожных сооружений в процессе дальнейшей эксплуатации.
Оценка транспортно-эксплуатационного состояния - определение степени соответствия нормативным требованиям фактических потребительских свойств автомобильных дорог, их основных параметров и характеристик.
Потребительские свойства дороги - совокупность ее транспортно-эксплуатационных показателей (ТЭП АД), непосредственно влияющих на эффективность и безопасность работы автомобильного транспорта, отражающих интересы пользователей дорог и влияние на окружающую среду. К потребительским свойствам относятся обеспеченные дорогой: скорость, непрерывность, безопасность и удобство движения, пропускная способность и уровень загрузки движением; способность пропускать автомобили и автопоезда с разрешенными для движения осевыми нагрузками, общей массой и габаритами, а также экологическая безопасность.
Технический уровень дороги - степень соответствия нормативным требованиям постоянных (не меняющихся в процессе эксплуатации или меняющихся только при реконструкции и капитальном ремонте) геометрических параметров и характеристик дороги и ее инженерных сооружений.
Эксплуатационное состояние - степень соответствия нормативным требованиям переменных параметров и характеристик дороги, инженерного оборудования и обустройства, изменяющихся в процессе эксплуатации в результате воздействия транспортных средств, метеорологических условий и уровня содержания.
Транспортно-эксплуатационное состояние дороги (ТЭС АД) - комплекс фактических значений параметров и характеристик технического уровня и эксплуатационного состояния на момент обследования и оценки, обеспечивающих ее потребительские свойства.
Технико-эксплуатационные качества или характеристики дороги (ТЭК АД) - характеристики надежности и работоспособности дороги как инженерного сооружения, к которым относят прочность дорожной одежды, ровность, шероховатость и сцепные качества покрытий, устойчивость земляного полотна и т.д.
Качество дороги - степень соответствия всего комплекса показателей технического уровня, эксплуатационного состояния, инженерного оборудования и обустройства, а также уровня содержания нормативным требованиям.
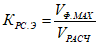
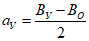
Эксплуатационный коэффициент обеспеченности расчетной скорости - отношение фактической максимальной скорости движения одиночного легкового автомобиля, обеспеченной дорогой по условиям безопасности движения или взаимодействия автомобиля с дорогой на каждом участке (

), к расчетной скорости для данной категории дороги и рельефа местности (

)

.
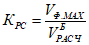
Коэффициент обеспеченности расчетной скорости - отношение (

) к базовой расчетной скорости (

):

.
За базовую расчетную скорость принята скорость

= 120 км/ч.
Тогда

.
В практических расчетах рекомендуется пользоваться коэффициентом обеспеченности расчетной скорости.
4. ОРГАНИЗАЦИЯ И ТЕХНОЛОГИЯ РАБОТ ПО ДИАГНОСТИКЕ
АВТОМОБИЛЬНЫХ ДОРОГ
Виды диагностики и оценки состояния дорог
и состав исходной информации
4.1.1. Цель диагностики и оценки состояния автомобильных дорог состоит в получении полной, объективной и достоверной информации о транспортно-эксплуатационном состоянии дорог, условиях их работы и степени соответствия фактических потребительских свойств, параметров и характеристик требованиям движения.
4.1.2. Систематический мониторинг является основой управления состоянием автомобильных дорог и исходной базой для эффективного использования средств и материальных ресурсов, направляемых на реконструкцию, ремонт и содержание дорожной сети.
4.1.3. Диагностика и оценка состояния автомобильных дорог и дорожных сооружений производится систематически через установленные промежутки времени на протяжении всего срока службы дорог и дорожных сооружений.
4.1.4. Общая оценка качества и состояния автомобильных дорог производится по показателям потребительских свойств, обеспечиваемых фактическим уровнем эксплуатационного содержания, геометрическими параметрами, техническими характеристиками, инженерным оборудованием и обустройством.
4.1.5. Оценку качества и состояния автомобильных дорог производят:
при сдаче дороги в эксплуатацию после строительства с целью определения начального фактического транспортно-эксплуатационного состояния и сопоставления с нормативными требованиями;
периодически в процессе эксплуатации для контроля за динамикой изменения состояния дороги, прогнозирования этого изменения и планирования работ по ремонту и содержанию;
при разработке плана мероприятий или проекта реконструкции, капитального ремонта или ремонта для определения ожидаемого транспортно-эксплуатационного состояния, сопоставления его с нормативными требованиями и оценки эффективности намеченных работ;
после выполнения работ по реконструкции, капитальному ремонту и ремонту на участках выполнения этих работ с целью определения фактического изменения транспортно-эксплуатационного состояния дорог.
4.1.6. По результатам диагностики и оценки состояния дорог в процессе эксплуатации выявляют участки дорог, не отвечающие нормативным требованиям к их транспортно-эксплуатационному состоянию и, руководствуясь "Классификацией работ по ремонту и содержанию автомобильных дорог общего пользования", определяют виды и состав основных работ и мероприятий по содержанию, ремонту и реконструкции с целью повышения их транспортно-эксплуатационного состояния до требуемого уровня.
4.1.7. Результаты диагностики и оценки дорог являются предпроектными материалами и информационной базой для разработки в установленном порядке проектов реконструкции, капитального ремонта, ремонта и содержания эксплуатируемых дорог. В отдельных случаях, предусмотренных "Классификацией работ по ремонту и содержанию автомобильных дорог общего пользования", допускается взамен проекта разработка сметной документации на ремонт и содержание дорог на основании результатов диагностики и оценки их состояния.
4.1.8. Полученная на основе диагностики и оценки состояния дорог информация служит для формирования и систематического обновления автоматизированного банка дорожных данных (АБДД) как на федеральном, так и на территориальном уровнях.
4.1.9. Работы по диагностике и оценке состояния дорог должны выполнять специализированные организации, оснащенные соответствующими передвижными лабораториями, приборами и оборудованием.
4.1.10. По объему выполнения работ диагностику и оценку состояния дорог подразделяют на первичную и повторную. При первичной диагностике, как правило, измеряют и оценивают весь комплекс установленных параметров и характеристик состояния дороги, а также транспортного потока, а при повторной диагностике - только переменные, к которым относятся прочность дорожной одежды, продольная и поперечная ровность (глубина колеи), шероховатость и сцепные качества покрытия, характеристики транспортного потока и др. Кроме того, при повторной диагностике измеряют и оценивают те постоянные параметры и характеристики, которые были изменены в процессе ремонта или реконструкции. В необходимых случаях могут быть измерены и оценены отдельные группы или сочетания постоянных и переменных параметров и характеристик.
Конкретные виды и объемы работ по диагностике и оценке состояния дорог устанавливают, руководствуясь "Временными
нормативами объемов работ и периодичности диагностики и обследования автомобильных дорог и мостов", утвержденными Федеральным дорожным департаментом 22 декабря 1993 г. (Прил. 1).
4.1.11. Детальную диагностику и оценку состояния мостовых сооружений осуществляют в соответствии с "Техническими правилами ремонта и содержания автомобильных дорог"
ВСН 24-88, "Инструкцией по проведению осмотров мостов и труб на автомобильных дорогах"
ВСН 4-81 и
СНиП 3.06.07-86 "Мосты и трубы. Правила обследований и испытаний".
В настоящих "Правилах ..." предусмотрен порядок сбора информации о мостах и других искусственных сооружениях только в объеме, необходимом для оценки их влияния на движение автомобилей и пропуск транспортного потока.
4.1.12. Для оценки состояния дорог и дорожных сооружений необходимы сбор и анализ значительного объема основной исходной информации по следующим показателям, параметрам и характеристикам.
4.1.12.1. Общие данные о дороге:
- номер и титул дороги, район ее расположения;
- категория дороги, протяженность;
- дорожно-климатическая зона;
- орган управления и обслуживающая организация;
- оценка уровня содержания дороги за последние 12 месяцев.
4.1.12.2. Геометрические параметры и характеристики:
- ширина проезжей части, основной укрепленной поверхности дороги и укрепительных полос;
- ширина обочин, в т.ч. укрепленных; тип и состояние укрепления обочин;
- продольные уклоны;
- поперечные уклоны проезжей части и обочин;
- радиусы кривых в плане и уклон виража;
- высота насыпи, глубина выемки и уклоны их откосов; состояние земляного полотна;
- расстояние видимости поверхности дороги в плане и профиле.
4.1.12.3. Характеристики дорожной одежды и покрытия:
- конструкция дорожной одежды и тип покрытия;
- прочность и состояние дорожной одежды и покрытия (наличие, вид, расположение и характеристика дефектов);
- продольная ровность покрытия;
- поперечная ровность покрытия (колейность);
- шероховатость и коэффициент сцепления колеса с покрытием.
4.1.12.4. Искусственные сооружения:
- местоположение, тип, протяженность и габариты мостов, путепроводов, эстакад, тоннелей;
- грузоподъемность мостов, путепроводов и эстакад;
- наличие и высота бордюров;
- тип и состояние мостового полотна;
- наличие, материал, тип, размеры и состояние труб.
4.1.12.5. Обустройство и оборудование дорог:
- километровые знаки и сигнальные столбики;
- дорожные знаки, их дислокация, состояние и соответствие нормам и правилам размещения;
- разметка дороги, ее состояние и соответствие нормам и правилам нанесения;
- ограждения, их конструкция, место расположения, протяженность, состояние, соответствие нормам и правилам установки;
- освещение;
- примыкания, пересечения с автомобильными и железными дорогами, их тип, местоположение, соответствие нормам проектирования;
- автобусные остановки и павильоны, площадки отдыха, площадки для остановки и стоянки автомобилей, их основные параметры и их соответствие нормативным требованиям;
- дополнительные полосы проезжей части и переходно-скоростные полосы, их основные параметры.
4.1.12.6. Характеристики движения по дороге:
- интенсивность движения на характерных перегонах и динамика ее изменения за последние 3 - 5 лет;
- состав транспортного потока и динамика его изменения с выделением доли легковых и грузовых автомобилей различной грузоподъемности, автобусов, других транспортных средств;
- данные о дорожно-транспортных происшествиях за последние 3 - 5 лет с привязкой к километражу и выделением количества происшествий по дорожным условиям.
4.1.13. Кроме основной исходной информации для различных управленческих задач и формирования общей автоматизированной базы дорожных данных (АБДД) в процессе диагностики может собираться дополнительная информация, в частности:
4.1.13.1. Общая информация:
- балансовая стоимость и износ дороги и дорожных сооружений;
- местоположение, сроки, объемы и виды ремонта дороги за время эксплуатации;
- ширина полосы отвода и площадь занимаемых земель;
- система водоотвода и ее состояние;
- коммуникации в полосе отвода;
- вызывная и технологическая связь;
- другая информация.
4.1.13.2. Защитные сооружения:
- снегозащитные, ветрозащитные, шумозащитные и декоративные лесонасаждения и лесополосы;
- снегозащитные заборы, шумозащитные и ветрозащитные устройства, устройства для защиты дорог от снежных лавин, отвалов, оползней и др.
4.1.13.3. Объекты обслуживания движения и дорожной службы:
- АЗС, СТО, мотели, кемпинги, гостиницы, пункты питания, пункты медицинской помощи, пункты ДПС, автовокзалы, съезды и въезды к этим объектам;
- здания и сооружения дорожной службы, базы противогололедных материалов, пескобазы, места дислокации дорожных машин и др.
4.1.13.4. Населенные пункты и характеристика прилегающей территории:
- жилая застройка;
- наличие населенных пунктов, через которые проходит дорога, с разделением их по числу жителей (более 50 тыс. или менее 50 тыс.);
- наличие особых правил дорожного движения в населенных пунктах;
- наличие населенных пунктов (с числом жителей более 50 тыс.), находящихся в стороне от дороги (до 20 км), с указанием расстояния до них от дороги.
4.1.13.5. Пересечения и примыкания:
- пересечение в одном уровне крестообразное;
- пересечение в одном уровне кольцевого типа;
- примыкание в одном уровне "Т"-образного типа;
- пересечение или примыкание с регулируемым или нерегулируемым движением;
- категория пересекаемой дороги;
- ширина проезжей части пересекаемой дороги и тип покрытия;
- угол пересечения;
- наличие и тип направляющих островков;
- пересечение с трамвайной линией;
- перекрестки в городах и населенных пунктах;
- направление (населенный пункт, ДРСУ, поле, лес и т.д.) и расстояние до объекта;
- съезды и выезды к АЗС, СТО, пунктам питания, площадкам отдыха, гостиницам и т.д.;
- количество путей для железнодорожного переезда;
- наличие шлагбаума для железнодорожного переезда.
4.1.13.6. Ширина проезжей части:
- ширина основных полос движения;
- ширина дополнительной полосы на подъем;
- уширение на кривой малого радиуса;
- ширина переходно-скоростной полосы (полоса разгона и торможения) в зоне примыканий и пересечений, в зоне автобусных остановок и т.д. с указанием местоположения начала и конца полос.
4.1.13.7. Дорожные сооружения и элементы обустройства, влияющие на безопасность движения:
- подземные и надземные пешеходные переходы;
- тип освещения с указанием начала и окончания местоположения;
- расположение опор путепроводов на проезжей части;
- подпорные стенки путепроводов или тоннелей, расположенные на обочине;
- препятствия для движения с указанием их местоположения;
- светофорное регулирование с указанием расположения светофоров;
- пункты автоматизированного учета интенсивности движения;
- дорожные метеорологические станции.
4.1.13.8. Местоположение:
- телефона;
- источника питьевой воды и мойки автомобилей вне площадок отдыха;
- таможни (контрольного пункта);
- пункта весового контроля;
- поста ГИБДД;
- разрывов для разворота автомобилей.
4.1.15. Конкретный объем дополнительно собираемой информации определяется договором (контрактом) на выполнение работ по диагностике и оценке состояния дорог.
4.2. Последовательность работ по диагностике
4.2.1. Диагностика состояния автомобильных дорог включает четыре основных этапа, которые выполняются, как правило, последовательно:
- подготовительные работы;
- полевые обследования;
- камеральная обработка полученной информации;
- формирование (обновление) АБДД.
Для ускорения работ допускается совмещение отдельных этапов (подготовительные работы и полевые обследования, полевые обследования и обработка полученной информации и т.д.).
4.2.2. Подготовительные работы включают подготовку передвижных лабораторий, приборов и оборудования, комплектование бригад, заготовку соответствующих форм, журналов и таблиц, сбор необходимой информации из технических паспортов на обследуемые дороги, анализ проектной и исполнительской документации, а также материалов предыдущих обследований и информации, содержащейся в АБДД.
4.2.3. Подлежащие обследованию дороги предварительно разбивают на характерные участки с разной шириной проезжей части и числом полос движения, конструкциями дорожной одежды и земляного полотна, интенсивностью и составом движения автомобилей. Фиксируют данные о пикетажном местоположении границ соответствующих участков дорог.
4.2.4. На основе анализа исполнительской документации на построенные, отремонтированные и реконструированные участки дорог устанавливают адреса и протяженность этих участков. При этом границы для проведения полевых обследований принимают с перекрытием и совмещают с постоянными легко опознаваемыми точками на дороге.
4.2.5. По данным учета движения, имеющимся в дорожных организациях или в АБДД за последние 3 года, устанавливают интенсивность и состав движения на каждом характерном участке дороги. Намечают места контрольного учета движения.
4.2.6. Составляют схему обследуемых автомобильных дорог. Оценивают объемы дорожно-полевых работ. Определяют базовые места дислокации лабораторий и бригад на время производства полевых работ, устанавливают последовательность и сроки проведения обследований как по видам работ, так и по участкам с учетом календарного плана работ, содержащегося в контракте (договоре) на проведение диагностики дорог. Согласовывают работы с органами ГИБДД и органами управления автомобильными дорогами.
4.3. Определение фактической категории существующей дороги
4.3.1. При оценке состояния и назначении работ по ремонту или реконструкции эксплуатируемых дорог во многих случаях возникает необходимость установить фактическую категорию дороги, требуемую категорию по интенсивности движения на момент обследования и расчетную, назначаемую при проектировании реконструкции.
4.3.2. Фактическую категорию существующей дороги на момент обследования и оценки состояния определяют путем сопоставления основных геометрических параметров с нормативными. К указанным параметрам относят ширину проезжей части (ширину основной укрепленной поверхности), продольные уклоны и радиусы кривых в плане.
В зависимости от рельефа местности эти параметры рассматривают как главные или дополнительные критерии при определении категории дороги (табл. 4.1). Рельеф местности устанавливают по проектной документации на дорогу.
Таблица 4.1
Рельеф местности | Критерии определения фактической категории дороги |
Ширина проезжей части или ширина основной укреплен- ной поверхности | Продольный уклон | Радиус кривых в плане |
Равнинный | главный | дополнительный | дополнительный |
Пересеченный | главный | главный | дополнительный |
Горный | главный | главный | главный |
4.3.3. На одной дороге могут быть выделены участки различных категорий, отличающиеся по основным параметрам, протяженностью не менее 3 км на перегонах и 1 км на подходах к городам. При меньшей протяженности таких участков их категорию принимают такой же, как на основном протяжении дороги.
4.3.4. Главным геометрическим параметром для установления фактической категории дороги во всех случаях является фактическая ширина проезжей части. На дорогах или участках дорог значительной протяженности, где при строительстве, реконструкции или ремонте устроены краевые укрепительные полосы, имеющие однотипное покрытие с проезжей частью, таким параметром служит ширина основной укрепленной поверхности, включающая в себя ширину проезжей части и краевых укрепительных полос.
К дорогам категории I-А относят дороги, имеющие несколько раздельных проезжих частей (каждая по две и более полосы движения), с разделительными полосами, в т.ч. разметкой или разделительными барьерами между ними, и пересечения в разных уровнях с другими автомобильными или железными дорогами.
К дорогам категории I-Б относят дороги, имеющие две раздельные проезжие части (каждая по две и более полосы движения), с разделительной полосой, в т.ч. разметкой или разделительным барьером безопасности между ними.
Фактические категории других дорог по ширине проезжей части или по ширине основной укрепленной поверхности принимают в зависимости от их фактических размеров (табл. 4.2).
Таблица 4.2
Фактическая ширина проезжей части, м | до 4,8 | 5,8 - 6,8 | 6,9 - 7,4 | более 7,4 |
Фактическая ширина основной укрепленной поверхности, м | до 5,6 | 7,0 - 8,0 | 8,1 - 9,0 | более 9,0 |
Фактическая категория дороги | V | IV | III | II |
Примечание. При определении фактической категории дороги не учитывают участки с дополнительной полосой проезжей части на затяжных подъемах, на пересечениях и примыканиях, в местах автобусных остановок и площадок отдыха, обустроенных переходно-скоростными полосами.
4.3.5. В пересеченной местности фактическую категорию существующей дороги определяют по двум главным параметрам: ширине проезжей части и продольному уклону (табл. 4.3).
Таблица 4.3
Максимальный продольный уклон, о/оо | 40 | 50 | 60 | 70 | 90 |
Фактическая категория дороги | I-А | I-Б, II | III | IV | V |
В горной местности фактическую категорию дороги определяют по соответствию нормативным требованиям ширины проезжей части, продольных уклонов и радиусов кривых в плане (табл. 4.4).
Таблица 4.4
Максимальный продольный уклон, о/оо | 40 | 50 | 60 | 70 | 90 |
Минимальный радиус кривых в плане, м | 250 | 125 | 100 | 60 | 30 |
Фактическая категория дороги | I-А | I-Б, II | III | IV | V |
При определении фактической категории дороги в пересеченной и горной местности допускается не учитывать наличие отдельных участков с продольными уклонами больше или с радиусами кривых в плане меньше нормативных для категории дороги, установленной по ширине проезжей части.
Общая протяженность указанных участков не должна превышать 10% всей протяженности дороги. При большей протяженности таких участков с продольными уклонами больше или радиусами кривых в плане меньше нормативных для категории дороги, установленной по ширине проезжей части, последняя понижается на одну категорию.
4.3.6. Требуемую категорию дороги на момент обследования определяют на основании данных о фактической годовой среднесуточной интенсивности движения, полученной в год обследования. Допускается с целью определения требуемой категории дороги использовать данные об интенсивности движения за предыдущий год.
В случае, когда фактическая среднегодовая интенсивность движения превышает расчетную для данной категории дороги по
СНиП 2.05.02-85, принимают решение о необходимости реконструкции существующей дороги с переводом ее в более высокую категорию.
4.3.7. Рекомендуемую при реконструкции категорию дороги определяют проектные организации на основании данных о перспективной интенсивности движения, полученных путем прогноза и технико-экономических расчетов.
4.4. Организация полевых работ
4.4.1. Полевые обследования включают осмотр и визуальную оценку отдельных элементов дорог и дорожных сооружений, а также инструментальные измерения параметров и транспортно-эксплуатационных характеристик в установленном порядке.
4.4.2. Полевые обследования проводят в теплый период года, как правило, комбинированным способом: визуальный осмотр с простейшими измерениями и детальное обследование с применением передвижных специализированных лабораторий.
4.4.3. В начале полевых обследований проводят рекогносцировочный осмотр дороги, в процессе которого уточняют:
местоположение начала и конца характерных участков дороги, основных населенных пунктов, мостов и путепроводов, пересечений с крупными водными преградами, железными дорогами и т.п.;
местоположение участков дороги, для которых отсутствует исходная информация в технической документации;
места проведения детального инструментального обследования транспортно-эксплуатационных характеристик.
4.4.4. Полевые обследования проводят в соответствии с указаниями и методиками измерения основных параметров дорог, приведенными в соответствующих нормативных документах.
В процессе полевых обследований определяют и уточняют:
- длину дороги и ее характерных участков, длины прямых и кривых в плане, радиусы кривых в плане, углы поворота трассы, наличие на кривых в плане виражей и их уклоны;
- продольные уклоны и видимость поверхности дороги;
- высоту насыпей, тип местности по увлажнению;
- ширину проезжей части, краевых укрепительных полос, обочин, в том числе ширину укрепленной поверхности и неукрепленной части обочин, ширину полос загрязнения у кромок проезжей части;
- тип и состояние дорожной одежды и покрытия на проезжей части, на краевых полосах и обочинах;
- показатель продольной и поперечной ровности и коэффициент сцепления колеса автомобиля с покрытием;
- дефектность покрытия на всем протяжении дороги;
- прочность дорожной конструкции на участках с неудовлетворительной ровностью и на участках, где визуально установлено наличие характерных дефектов (сетки трещин, ямочность, глубокая колея и т.д.);
- интенсивность и состав движения;
- фактические габариты и длину мостов;
- местоположение и степень соответствия требованиям нормативных документов площадок отдыха, а также пересечений с автомобильными и железными дорогами, автобусных остановок, ограждений, направляющих и сигнальных устройств, элементов искусственного освещения, тротуаров, пешеходных и велосипедных дорожек.
4.4.5. Полные первичные обследования проводят, как правило, в следующей последовательности:
- рекогносцировочный осмотр дороги;
- определение параметров геометрических элементов дороги;
- оценка продольной ровности дорожного покрытия;
- оценка поперечной ровности (колейности) дорожного покрытия;
- оценка сцепных качеств дорожного покрытия;
- оценка состояния покрытия и прочности дорожной конструкции;
- обследование состояния инженерного оборудования и обустройства;
- определение интенсивности и состава движения;
- сбор данных о ДТП.
При этом отдельные виды работ могут выполняться одновременно.
4.4.6. Работы по обследованию автомобильных дорог относятся к категории опасных. Все лица, участвующие в этой работе, должны строго и неукоснительно соблюдать действующие Правила техники безопасности при строительстве, ремонте и содержании дорог, а также другие ведомственные правила и инструкции. При выполнении работ по обследованию непосредственно на дороге должны соблюдаться требования Инструкции по организации движения и ограждению мест производства работ. В случае использования новых приемов труда и передвижных лабораторий, для которых требования техники безопасности не предусмотрены, следует соблюдать требования специально разработанных для таких случаев инструкций и указаний.
4.5. Определение параметров геометрических элементов дороги
4.5.1. Ширину проезжей части, левой и правой краевых укрепленных полос, укрепленных и неукрепленных обочин (а на дорогах первой категории и ширину разделительной полосы) измеряют на каждом характерном участке дороги, но не реже чем 1 раз на 1 км.
К характерным относят:
- прямые участки в плане с одинаковой шириной проезжей части и укрепленных краевых полос, а при отсутствии краевых полос - участки дорог с одинаковой шириной проезжей части;
- горизонтальные участки с продольными уклонами 0 - 20

;
- участки с продольными уклонами более 20

;
- участки кривых в плане с радиусами кривых 200 м и более;
- участки кривых в плане с радиусами кривых менее 200 м;
- участки сужений проезжей части над трубами, в местах установки ограждений, парапетов, направляющих столбиков с шагом установки менее 10 м.
На участках подъемов и спусков с дополнительными полосами движения ширина проезжей части измеряется в створах начала и конца дополнительной полосы полной ширины и в любом створе на уклоне.
На подъездах к мостам (ж/д переездам) проводятся два измерения ширины проезжей части: в створе до начала отгона ширины проезжей части на сужение либо уширение (если таковое имеется) и в створе начала моста (ж/д переезда). В случае отсутствия изменения ширины проезжей части на подходах к мосту, измерение ширины проезжей части на подходах может не производиться.
В пределах населенных пунктов сельского и городского типа (городах) ширина проезжей части измеряется в начале и конце застройки (на подходах - в местах уширения или сужения проезжей части), в любом характерном створе дороги, расположенном в пределах рассматриваемого участка, а также в местах изменения ее ширины (если таковое имеется), отслеживаемых визуально.
4.5.2. В месте измерения ширины проезжей части разбивают поперечник, параметры которого заносят в полевой журнал. Измерения проводят стальной лентой, рулеткой или курвиметром типа КП-203 с точностью до 0,1 м. До начала измерений с поверхности проезжей части, краевых укрепленных полос и укрепленных обочин очищают пыль и грязь, чтобы были четко видны границы укрепления. На многополосных дорогах и дорогах с высокой интенсивностью движения рекомендуется выполнять измерения с использованием геодезических инструментов.
4.5.3. В тех случаях, когда из-за одинакового покрытия визуально невозможно выделить границу проезжей части и краевой укрепленной полосы или укрепленной обочины, их размеры уточняют по данным проектной и исполнительской документации или разделяют в соответствии с указаниями
п. 5.4.9.
4.5.4. Ширину основной укрепленной поверхности определяют как сумму ширины проезжей части и краевых укрепительных полос.
4.5.5. Одновременно с измерением ширины проезжей части, краевых укрепительных полос и обочин в журнал измерений заносят данные о числе полос движения, типе и состоянии покрытия и поверхности обочины, а также о наличии разметки.
4.5.6. Для определения уклонов обочин, заложения откосов земляного полотна, поперечных уклонов дорожных покрытий используют специальные приборы, в том числе и угломерные линейки (например, типа КП-135), а также геодезические приборы.
4.5.7. Для определения радиусов горизонтальных кривых, длин прямых и кривых, продольных и поперечных уклонов проезжей части участков автомобильных дорог применяют специализированные передвижные лаборатории, оборудованные соответствующей измерительной аппаратурой (например, гироскопическими установками). При измерении радиусов кривых в плане траектория движения автомобиля должна соответствовать кривизне автомобильной дороги, для этого в процессе проезда кривой измерительная установка должна двигаться строго параллельно оси проезжей части. При измерении радиусов кривых на автомобильных дорогах с многополосной проезжей частью передвижная лаборатория должна двигаться по внутренней полосе проезжей части (по полосе с наименьшим радиусом) как в прямом, так и в обратном направлении.
При этом точность определения параметров должна быть для угла поворота трассы не менее 1 град., для продольного и поперечного уклона проезжей части - 5

, для пройденного пути - 0,2

.
4.5.8. Измерение расстояния геометрической видимости поверхности дороги выполняют с помощью дальномера. Порядок проведения измерений и обработки результатов изложен в паспорте на данный прибор.
4.5.9. Число полос движения является общей характеристикой дороги, устанавливаемой в ходе обследований как расчетным путем, так и непосредственно в результате инструментальных измерений ширины проезжей части.
Следует различать число полос движения, устанавливаемое по:
- официальным данным дорожных организаций;
- фактической разметке проезжей части (при ее наличии);
- фактической ширине проезжей части.
Число полос движения, по официальным данным дорожных организаций, устанавливается по паспорту дороги при сборе исходной информации.
Число полос движения по фактической разметке проезжей части устанавливается при визуальном обследовании покрытия проезжей части.
Число полос движения по фактической ширине проезжей части устанавливается расчетным способом путем деления измеренной ширины проезжей части на:
- 3,75 для дорог I - II категории;
- 3,5 для дорог III категории;
- 3,0 для дорог IV - V категории.
Количество полос движения принимают равным округленному до целого числа результату деления. Округление выполняется в сторону меньшего значения в случае, если дробная часть числа равна или меньше: 0,7 для дорог I - II категории, 0,85 для дорог III категории и 0,95 для дорог IV - V категории.
4.6. Измерение и оценка продольной ровности
и сцепных свойств дорожного покрытия
4.6.1. При оценке продольной ровности и сцепных свойств дорожных покрытий выполняют сплошные или выборочные измерения в соответствии с
ГОСТ 30412-96 и
ГОСТ 30413-96. Сплошные измерения выполняют при обследовании участков дорог протяженностью более 1 км, выборочные - менее 1 км. Выборочные измерения выполняют при обследовании участков концентрации ДТП, опасных участков дорог, участков дорог, на которых произошло ДТП, отремонтированных участков.
4.6.2. Сплошные измерения продольной ровности и сцепных свойств дорожных покрытий осуществляют с помощью передвижной установки ПКРС-2У. При измерении сцепных свойств дорожных покрытий в установке ПКРС-2У должна использоваться шина без рисунка протектора или с рисунком глубиной не менее 1 мм. В случае отсутствия специальной шины с гладким протектором допускается использовать обычную изношенную шину того же размера с остаточной глубиной канавок не более 1 мм. Для измерения ровности допускается использование передвижных лабораторий, оборудованных толчкомерами ТХК-2, ИР-1 или ИВП-1, на базе автомобилей УАЗ-2206, ГАЗ-31022, ГАЗ-2705 и других автомобилей семейства "ГАЗЕЛЬ" с колесной формулой 4 x 2. Могут быть использованы и другие приборы, имеющие необходимое метрологическое обеспечение, показания которых должны быть приведены к показаниям ПКРС-2У или толчкомера, установленного на один из базовых автомобилей. В этом случае составляется акт о результатах корреляционных испытаний, а также проводится калибровка используемого прибора. Эти действия оформляются протоколом и аттестатом по установленным формам. Корреляционные испытания необходимо проводить не менее чем на 5 участках, различающихся не менее чем на 20% по ровности или сцепным свойствам дорожного покрытия.
4.6.3. Выборочные измерения ровности выполняют с помощью нивелиров, трехметровых реек или многоопорных реек ПКР-4М. Выборочные измерения сцепных свойств дорожного покрытия выполняют с помощью портативного прибора ППК-МАДИ-ВНИИБД. Могут быть использованы и другие приборы, имеющие необходимое метрологическое обеспечение, показания которых должны быть приведены к показаниям перечисленных выше приборов. При этом корреляционные испытания необходимо проводить не менее чем на 5 участках, различающихся по ровности и сцепным свойствам дорожного покрытия.
4.6.4. Измерения продольной ровности дорожного покрытия с помощью передвижной установки ПКРС-2У производятся при постоянной скорости движения 50 +/- 5 км/ч, а сцепных свойств - при скорости 60 +/- 5 км/ч. Измерения ровности производят по правой, а сцепных свойств по левой полосе наката каждой полосы движения. При невозможности произвести измерения по левой полосе наката (двухполосная дорога, крайняя левая полоса многополосной дороги) допускается производить их по правой полосе наката. Измерения сцепных свойств дорожного покрытия с помощью портативного прибора ППК-МАДИ-ВНИИБД выполняют по левой полосе наката каждой полосы движения. Требуемое количество измерений на 1 км дороги в зависимости от однородности поверхности покрытия колеблется от 2 до 6.
4.6.5. При проведении измерений толчкомером эксплуатационное состояние автомобиля должно соответствовать требованиям технического паспорта: давление в шинах, состояние рессор и амортизаторов, допуск люфтов в пальцах и серьгах рессор. Спидометр или датчик пройденного пути необходимо предварительно откалибровать. Давление воздуха в шинах следует контролировать не реже одного раза в сутки. Подготовленность аппаратуры ходовой лаборатории проверяют сопоставлением показаний толчкомера, полученных при проезде по одному и тому же участку дороги с однородным покрытием не менее 3-х раз. При этом результаты измерений не должны различаться более чем на 5%.
4.6.6. Измерение ровности с помощью толчкомера производится при движении автомобиля строго по полосам наката. Загрузка автомобиля в период измерений должна быть распределена равномерно на правое и левое колесо задней оси. Суммарный вес груза с пассажирами и нагрузка на заднюю ось автомобилей приведены в табл. 4.5.
Таблица 4.5
Тип автомобиля | Суммарный вес груза и пассажиров, кН | Нагрузка на заднюю ось автомобиля, кН |
УАЗ-2206 | 29,5 - 30,0 | 14,2 - 14,6 |
ГАЗ-31022 | 17,0 - 17,5 | 9,3 - 9,7 |
"ГАЗЕЛЬ" с колесной формулой 4 x 2 | 35,0 - 36,0 | 18,5 - 19 |
При использовании другого автомобиля показания толчкомера следует привести к показаниям базовых приборов в соответствии с требованиями
п. 4.6.2.
4.6.7. Измерение продольной ровности с помощью толчкомера производится при постоянной скорости движения 50 +/- 2 км/ч. Показания спидометра должны соответствовать фактической скорости движения. Если по непреодолимым причинам невозможно выдержать требуемую скорость (например, при движении в плотном транспортном потоке), то показания толчкомера следует умножить на поправку (табл. 4.6).
Скорость движения, км/ч | 30 | 40 | 50 | 60 | 70 | 80 |
Поправочный коэффициент | 1,1 | 1,05 | 1 | 0,95 | 1,1 | 1,15 |
4.6.8. Состояние покрытия проезжей части автомобильных дорог по продольной ровности оценивают путем сравнения фактических показателей ровности с предельно допустимыми. Дорожное покрытие удовлетворяет требуемым условиям эксплуатации по ровности, если величина фактического показателя ровности меньше предельно допустимого значения или равна этому значению (табл. 4.7).
Таблица 4.7
┌─────────┬─────┬─────────┬─────────────────────┬────────────────┐
│Интенсив-│Кате-│ Тип │Предельно допустимые │ Допустимое │
│ность │гория│дорожной │показатели продольной│ количество │
│движения,│доро-│ одежды │ ровности, см/км │ просветов под │
│авт/сут │ги │ ├───────┬─────────────┤ 3-метровой │
│ │ │ │По │По толчкомеру│ рейкой, │
│ │ │ │прибору│ТХК-2, уста- │ превышающих │
│ │ │ │ПКРС-2У│новленному │ указанные в │
│ │ │ │ ├────┬────────┤ % │
│ │ │ │ │УАЗ-│ГАЗ- │ │
│ │ │ │ │2206│31022 │ │
│ │ │ │ │ │"ГАЗЕЛЬ"│ │
├─────────┼─────┼─────────┼───────┼────┼────────┼────────────────┤
│Более │I │Капиталь-│540 │100 │220 │6 │
│7000 │ │ный │ │ │ │ │
├─────────┼─────┤ ├───────┼────┼────────┼────────────────┤
│3000 - │II │ │660 │120 │270 │7 │
│ 7000 │ │ │ │ │ │ │
├─────────┼─────┼─────────┼───────┼────┼────────┼────────────────┤
│1000 - │III │Капиталь-│860 │170 │350 │9 │
│ 3000 │ │ный │ │ │ │ │
│ │ ├─────────┼───────┼────┼────────┼────────────────┤
│ │ │Облегчен-│1100 │240 │460 │12 │
│ │ │ный │ │ │ │ │
├─────────┼─────┼─────────┼───────┼────┼────────┼────────────────┤
│500 - │IV │Облегчен-│1200 │265 │500 │14 │
│ 1000 │ │ный │ │ │ │ │
├─────────┤ ├─────────┼───────┼────┼────────┼────────────────┤
│200 - 500│ │Переход- │- │340 │510 │- │
│ │ │ный │ │ │ │ │
├─────────┼─────┼─────────┼───────┼────┼────────┼────────────────┤
│До 200 │V │Низший │- │510 │720 │- │
└─────────┴─────┴─────────┴───────┴────┴────────┴────────────────┘
4.6.9. Сцепные качества покрытия оцениваются коэффициентом продольного сцепления, измеренным на увлажненном покрытии при расчетной температуре воздуха 20 °С. Увлажнение дорожного покрытия осуществляется с помощью автономной системы искусственного увлажнения, смонтированной на автомобиле-тягаче. Не допускается производить измерения сцепных качеств дорожного покрытия во время дождя, а также в течение 2 - 3 ч после него.
При измерениях коэффициента сцепления фиксируют температуру воздуха. Полученные значения коэффициента сцепления приводят к расчетной температуре 20 °С путем их суммирования с поправками, указанными в табл. 4.8.
Таблица 4.8
Температура воздуха в момент измерений, °С | 0 | 5 | 10 | 15 | 20 | 25 | 30 | 35 | 40 |
Поправка к измеренному коэффициенту сцепления | -0,06 | -0,04 | -0,03 | -0,02 | 0 | 0,01 | 0,01 | 0,02 | 0,02 |
4.6.10. Состояние дорожных покрытий по сцепным качествам оценивают путем сравнения фактической величины коэффициента продольного сцепления с его предельно допустимой величиной. Дорожное покрытие удовлетворяет требованиям эксплуатации, если фактическая величина коэффициента сцепления больше предельно допустимой величины или равна ей.
Предельно допустимая величина коэффициента сцепления установлена
ГОСТ Р 50597-93 и составляет 0,3 при измерении шиной без рисунка протектора и 0,4 при измерении шиной, имеющей рисунок протектора.
4.7. Измерение и оценка колейности дорожного покрытия
4.7.1. Измерения параметров колеи в процессе диагностики выполняют в соответствии с ОДМ "Методика измерений и оценки эксплуатационного состояния дорог по глубине колеи" по упрощенному варианту с помощью 2-метровой рейки и измерительного щупа.
Измерения производят по правой внешней полосе наката в прямом и обратном направлении на участках, где при визуальном осмотре установлено наличие колеи.
4.7.2. Количество створов измерений и расстояния между створами принимают в зависимости от длины самостоятельного и измерительного участков. Самостоятельным считается участок, на котором по визуальной оценке параметры колеи примерно одинаковы. Протяженность такого участка может колебаться от 20 м до нескольких километров. Самостоятельный участок разбивается на измерительные участки длиной по 100 м каждый.
Если общая длина самостоятельного участка не равна целому количеству измерительных участков по 100 м каждый, выделяется дополнительный укороченный измерительный участок. Также назначается укороченный измерительный участок, если длина всего самостоятельного участка меньше 100 м.
4.7.3. На каждом измерительном участке выделяются 5 створов измерения на равном расстоянии один от другого (на 100-метровом участке через каждые 20 м), которым присваиваются номера от 1 до 5. При этом последний створ предыдущего измерительного участка становится первым створом последующего и имеет номер 5/1.
Укороченный измерительный участок также разбивается на 5 створов, расположенных на равном расстоянии один от другого.
4.7.4. Рейку укладывают на выпоры внешней колеи и берут один отсчет

в точке, соответствующей наибольшему углублению колеи в каждом створе, при помощи измерительного щупа, устанавливаемого вертикально, с точностью до 1 мм; при отсутствии выпоров рейку укладывают на проезжую часть таким образом, чтобы перекрыть измеряемую колею.
Если в створе измерения имеется дефект покрытия (выбоина, трещина и т.п.), створ измерения может быть перемещен вперед или назад на расстояние до 0,5 м, чтобы исключить влияние данного дефекта на считываемый параметр.
4.7.5. Измеренная в каждом створе глубина колеи записывается в ведомость, форма которой с примером заполнения приведена в табл. 4.9.
Таблица 4.9
ВЕДОМОСТЬ ИЗМЕРЕНИЯ ГЛУБИНЫ КОЛЕИ
Участок дороги __________________ Направление____________________
Номер полосы
Положение начала участка __________ Положение конца участка ________
Дата измерения
┌──────────┬──────────┬────────┬──────────────┬───────┬──────────┐
│Номер │Привязка к│Длина │Глубина колеи │Расчет-│Средняя │
│самостоя- │киломе- │измери- │ по створам │ная │расчетная │
│тельного │тражу и │тельного├──────┬───────┤глубина│глубина │
│участка │протя- │участка │номер │глубина│колеи │колеи h ,│
│ │женность │l, м │створа│колеи │h , │ KC │
│ │ │ │ │h , мм │ KH │ мм │
│ │ │ │ │ К │мм │ │
├──────────┼──────────┼────────┼──────┼───────┼───────┼──────────┤
│1 │от км 20 +│100 │1 │11 │13 │12,7 │
│ │150 до км │ ├──────┼───────┤ │ │
│ │20 + 380, │ │2 │8 │ │ │
│ │L = 230 м │ ├──────┼───────┤ │ │
│ │ │ │3 │12 │ │ │
│ │ │ ├──────┼───────┤ │ │
│ │ │ │4 │17 │ │ │
│ │ │ ├──────┼───────┤ │ │
│ │ │ │5/1 │13 │ │ │
│ │ ├────────┼──────┼───────┼───────┤ │
│ │ │100 │2 │16 │13 │ │
│ │ │ ├──────┼───────┤ │ │
│ │ │ │3 │10 │ │ │
│ │ │ ├──────┼───────┤ │ │
│ │ │ │4 │13 │ │ │
│ │ │ ├──────┼───────┤ │ │
│ │ │ │5/1 │11 │ │ │
│ │ ├────────┼──────┼───────┼───────┤ │
│ │ │30 │2 │9 │12 │ │
│ │ │ ├──────┼───────┤ │ │
│ │ │ │3 │14 │ │ │
│ │ │ ├──────┼───────┤ │ │
│ │ │ │4 │12 │ │ │
│ │ │ ├──────┼───────┤ │ │
│ │ │ │5 │7 │ │ │
└──────────┴──────────┴────────┴──────┴───────┴───────┴──────────┘
По каждому измерительному участку определяют расчетную глубину колеи. Для этого анализируют результаты измерений в 5 створах измерительного участка, отбрасывают самую большую величину, а следующую за ней величину глубины колеи в убывающем ряде принимают за расчетную на данном измерительном участке (

).
4.7.6. Расчетную глубину колеи для самостоятельного участка определяют как среднеарифметическую из всех значений расчетной глубины колеи на измерительных участках:

, мм. (4.1)
4.7.7. Оценку эксплуатационного состояния дорог по глубине колеи производят по каждому самостоятельному участку путем сравнения средней расчетной глубины колеи

с допустимыми и предельно допустимыми значениями (табл. 4.10).
Таблица 4.10
Шкала оценки состояния дорог по параметрам колеи,
измеренным по упрощенной методике
┌───────────────────────┬────────────────────────────────────────┐
│ Расчетная скорость │ Глубина колеи, мм │
│ движения, км/ч ├─────────────┬──────────────────────────┤
│ │ допустимая │ предельно допустимая │
├───────────────────────┼─────────────┼──────────────────────────┤
│ >120 │ 4 │ 20 │
├───────────────────────┼─────────────┼──────────────────────────┤
│ 120 │ 7 │ 20 │
├───────────────────────┼─────────────┼──────────────────────────┤
│ 100 │ 12 │ 20 │
├───────────────────────┼─────────────┼──────────────────────────┤
│ 80 │ 25 │ 30 │
├───────────────────────┼─────────────┼──────────────────────────┤
│ 60 и меньше │ 30 │ 35 │
└───────────────────────┴─────────────┴──────────────────────────┘
Участки дорог с глубиной колеи больше предельно допустимых значений относятся к опасным для движения автомобилей и требуют немедленного проведения работ по устранению колеи.
4.8. Визуальная оценка состояния дорожной одежды
4.8.1. Визуальная оценка состояния дорожного покрытия позволяет получить данные о его состоянии, выявить места, подлежащие оценке прочности дорожной одежды, определить объем повреждений, необходимый для планирования работ по ремонту и содержанию, а также установить значение показателя

для вычисления величины

.
4.8.2. Визуальную оценку рекомендуется проводить в весенний период после того, как дорога освободилась от снега. Для визуальной оценки фиксируются все дефекты поверхности проезжей части, перечень и характеристики которых приведены в разделе 5,
табл. 5.16.
4.8.3. Оценку выполняет группа в составе: инженер (руководитель группы), техник и водитель автомобиля. При ограниченном объеме работ обязанности водителя может совмещать техник.
4.8.4. Группа должна иметь специальное оборудование для автоматизированной регистрации дефектов с помощью видеокамеры или видеокомпьютерной съемки с фиксацией состояния дорожной одежды на электронных носителях информации.
Кроме того, группа должна быть снабжена следующим оборудованием:
- автомобилем, оборудованным датчиком пройденного пути;
- дорожными знаками: "Дорожные работы" и "Объезд препятствия слева";
- деревянными рейками длиной 1 и 2 м и линейкой с миллиметровыми делениями для измерения глубины колей;
- журналом визуальной оценки;
- желтыми жилетами безопасности;
- курвиметром.
При отсутствии оборудования для видеокомпьютерной съемки допускается вести глазомерную оценку с занесением дефектов одежды в журнал.
4.8.5. До начала визуальной оценки необходимо подготовить журнал с ведомостями дефектов, убедиться в исправности автомобиля и оборудования, установить на автомобиле дорожные знаки "Дорожные работы" и "Объезд препятствия слева", провести инструктаж всех членов группы, обратив особое внимание на важность соблюдения всех требований безопасности работ. До проведения обследования осуществляют обучение пользованием данной методикой с целью приобретения необходимых навыков.
4.8.6. В случаях, если дефекты на покрытии отсутствуют, встречаются редко (через 100 м и более), либо на большом протяжении дороги (более 100 м) встречаются одинаковые дефекты, глазомерную оценку допускается производить в процессе проезда автомобиля со скоростью не более 30 км/ч. В остальных случаях глазомерную оценку осуществляют в процессе прохождения вдоль дороги с соблюдением правил техники безопасности. При наличии оборудования для видеокомпьютерной съемки ее производят в процессе движения автомобиля со скоростью, которая обеспечивает последующую обработку результатов. В этом случае заполнение журнала дефектов производят при камеральной обработке результатов обследования.
4.8.7. Для проведения измерений (глубины колеи, раскрытия трещин, расстояний между трещинами, длины сторон ячеек сетки трещин) автомобиль проезжает вперед от места дефекта на 5 - 10 м, инженер и техник выходят из автомобиля и двигаются по обочине в направлении, обратном движению. В случае выхода на проезжую часть работу следует производить под защитой автомобиля, располагающегося так, чтобы знаки "Дорожные работы" и "Объезд препятствия слева" были обращены навстречу движению.
4.8.8. Результаты визуальной оценки заносят в соответствующий журнал, форма которого приведена в табл. 4.11.
Таблица 4.11
ДЕФЕКТНАЯ ВЕДОМОСТЬ СОСТОЯНИЯ ДОРОЖНОЙ ОДЕЖДЫ
__________________________________________________________________
(наименование автомобильной дороги, участка)
протяженность ______ км, ________________________________ значения
(федер., территор., мест.)
категория дороги _________________ ; тип покрытия ________________
Адрес дефекта, км + | Вид дефекта |
| |
4.8.9. В процессе визуальной оценки состояния покрытия его делят на однотипные участки длиной от 100 до 1000 м, границы которых назначают по однотипным или близким дефектам. Расстояния устанавливают по спидометру автомобиля или датчику пройденного пути. Внутри каждого участка назначают частные микроучастки протяженностью 20 - 50 м с практически одинаковым состоянием дорожной одежды (с однотипными видами дефектов).
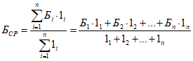
4.8.10. На каждом однотипном участке в камеральных условиях вычисляют средневзвешенный балл

:

, (4.2)
где

и

- соответствующие балл (
табл. 5.16) и протяженность частных микроучастков i с практически одинаковым состоянием дорожной одежды в баллах; n - количество частных микроучастков в составе однотипного участка.
По величине среднего балла устанавливают целесообразность проведения оценки прочности дорожной одежды и детальных обследований состояния дорожной конструкции на соответствующих однотипных участках:
для дорог I категории -

3,5;
для дорог II категории -

3,0;
для дорог III и IV категорий -

2,5.
4.9. Оценка прочности дорожных одежд
4.9.1. Оценку прочности дорожных одежд проводят для решения вопроса о необходимости усиления или введения временного ограничения дорожного движения в случаях, когда нет возможности своевременно выполнить необходимые работы по усилению дорожных конструкций или обеспечению водоотвода.
Полевые работы и обработку полученных результатов выполняют в соответствии с "Указаниями по оценке прочности и расчету усиления нежестких дорожных одежд"
ОДН 218.1.052-2002.
4.9.2. Оценку состояния дорожных одежд для определения адресов участков дорог, на которых необходимо выполнить детальные обследования дорожных конструкций, осуществляют по данным визуальной оценки состояния проезжей части дороги.
При невозможности выполнить инструментальную оценку прочности дорожной одежды, определение вероятного значения коэффициента прочности производят в зависимости от величины средневзвешенного балла, вычисляемого по
формуле (4.2) и характеризующего состояние дорожной одежды на однотипном участке обследуемой дороги (табл. 4.12).
Таблица 4.12
Значения коэффициента прочности дорожной одежды
┌────────────────────────────┬───────────────────────────────────┐
│Значения среднего балла Б │Величина коэффициента прочности К │
│ СР │ ПР│
├────────────────────────────┼───────────────────────────────────┤
│ 5,0 │ 1,0 │
├────────────────────────────┼───────────────────────────────────┤
│ 4,5 │ 0,95 │
├────────────────────────────┼───────────────────────────────────┤
│ 4,0 │ 0,90 │
├────────────────────────────┼───────────────────────────────────┤
│ 3,5 │ 0,85 │
├────────────────────────────┼───────────────────────────────────┤
│ 3,0 │ 0,80 │
├────────────────────────────┼───────────────────────────────────┤
│ 2,5 │ 0,75 │
├────────────────────────────┼───────────────────────────────────┤
│ 2,0 │ 0,70 │
├────────────────────────────┼───────────────────────────────────┤
│ 1,5 │ 0,65 │
├────────────────────────────┼───────────────────────────────────┤
│ 1,0 │ 0,60 │
└────────────────────────────┴───────────────────────────────────┘
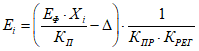
4.9.3. Фактический модуль упругости

на каждом однотипном участке определяют по формуле

, МПа, (4.3)
где

- общий расчетный модуль упругости, устанавливаемый для суммарного расчетного количества приложений нагрузки с момента строительства дорожной одежды или предыдущего строительства слоя усиления до момента испытаний, МПа.
В случае холодного фрезерования существующего покрытия перед усилением величина

должна быть снижена с учетом толщины фрезеруемого слоя.
4.9.4. Для последующего расчета усиления дорожной одежды следует установить тип грунта. Для этого выполняют определение показателей свойств грунта земляного полотна (гранулометрический состав и число пластичности), взятого непосредственно под дорожной одеждой, согласно ГОСТу. Можно пробы грунта для этой цели отбирать из шурфов или скважин, устраиваемых, например, буром геолога на обочине у кромки проезжей части, с глубины (от нижней границы дренирующего слоя) не менее 0,5 м. Допустимо использовать данные о грунте земляного полотна из паспорта на дорогу.
Для экспресс-оценки тип грунта можно установить на месте, используя их визуальные отличительные признаки (табл. 4.13). При необходимости ориентировочное значение относительной влажности грунта по этим данным на период ее определения может быть рассчитано по формуле:

, (4.4)
где

- фактическая влажность в долях от предела текучести;
В - показатель консистенции грунта, принимаемый по
табл. 4.14;
а - коэффициент, принимаемый равным для супесей 0,7 - 0,75, суглинков 0,6 - 0,65, глин 0,45 - 0,5. Меньшие значения принимаются по мере увеличения содержания в грунте глинистых частиц. Более точное значение влажности устанавливается в лабораторных условиях согласно требованиям действующих стандартов.
Таблица 4.13
┌─────┬─────────┬──────────────┬───────────────────────────┬─────────────┬──────────────┐
│Код │ Грунт │ Определение │ Состояние грунта │ При │ При │
│грун-│ │ на ощупь при ├──────────────┬────────────┤скатывании во│сдавливании во│
│та │ │ растирании │ Сухой │ Влажный │ влажном │ влажном │
│ │ │ │ │ │ состоянии │ состоянии │
├─────┼─────────┼──────────────┼──────────────┼────────────┼─────────────┼──────────────┤
│ 1. │Супесь │Преобладают │Комья легко │Мало │Трудно │Образуется │
│ │ │песчаные │рассыпаются и │пластичное │скатывается в│комок, который│
│ │ │частицы │крошатся при │ │шнур │при легком │
│ │ │ │надавливании │ │диаметром 3 -│надавливании │
│ │ │ │ │ │5 мм │рассыпается │
├─────┼─────────┼──────────────┼──────────────┼────────────┼─────────────┼──────────────┤
│ 2. │Супесь │При растирании│То же │При частом │То же │Комок при │
│ │пылеватая│напоминает │ │ударе │ │сотрясении │
│ │ │сухую муку │ │ладонью │ │растекается в │
│ │ │ │ │легко отдает│ │лепешку, │
│ │ │ │ │воду │ │выделяя на │
│ │ │ │ │ │ │поверхность │
│ │ │ │ │ │ │капиллярную │
│ │ │ │ │ │ │воду │
├─────┼─────────┼──────────────┼──────────────┼────────────┼─────────────┼──────────────┤
│ 3. │Суглинок │Песка на ощупь│Комья и куски │Пластичность│Длинного │Комок при │
│ │легкий │при растирании│сравнительно │и липкость │шнура │сдавливании │
│ │ │мало. Комочки │тверды, но │малая, │не образуется│образует │
│ │ │раздавливаются│раздавливаются│похоже на │ │лепешку с │
│ │ │легко │рукой │слегка │ │трещинами по │
│ │ │ │ │подогретый │ │краям │
│ │ │ │ │стеарин │ │ │
├─────┼─────────┼──────────────┼──────────────┼────────────┼─────────────┼──────────────┤
│ 4. │Суглинок │То же, │То же, но с │Пластичный и│Дает шнур │То же │
│ │пылеватый│пылевато- │трудом │липкий │диаметром 2 -│ │
│ │ │глинистых │ │ │3 мм │ │
│ │ │частиц заметно│ │ │ │ │
│ │ │больше │ │ │ │ │
│ │ │песчаных │ │ │ │ │
├─────┼─────────┼──────────────┼──────────────┼────────────┼─────────────┼──────────────┤
│ 5. │Суглинок │При растирании│Комья и куски │То же, но в │При │То же │
│ │тяжелый │слабо │сравнительно │большей │раскатывании │ │
│ │ │чувствуется │тверды, при │степени │дает длинный │ │
│ │ │присутствие │ударе молотком│ │шнур │ │
│ │ │песчаных │рассыпаются, │ │диаметром │ │
│ │ │частиц │образуется │ │1 - 2 мм │ │
│ │ │ │мелочь │ │ │ │
└─────┴─────────┴──────────────┴──────────────┴────────────┴─────────────┴──────────────┘
┌───────────────┬────────────────────────────────────────────────┐
│ Консистенция │ Признаки │
├───────────────┴────────────────────────────────────────────────┤
│ Суглинки и глины │
├───────────────┬────────────────────────────────────────────────┤
│Твердая │ Влажность не ощущается. Грунт разминается с │
│В < 0 │большим усилием. При ударе молотком рассыпается │
│ │на куски. При растирании пылит │
├───────────────┼────────────────────────────────────────────────┤
│Полутвердая │ При сжатии в горсть чувствуется влага и холод.│
│0 < В < 0,25 │При ударах рассыпается на куски, почти не │
│ │лепится, но режется ножом │
├───────────────┼────────────────────────────────────────────────┤
│Тугопластичная │ В руке ощущается влажность. Большие куски раз-│
│0,25 < В < 0,5 │минаются с трудом. Палец руки слегка оставляет │
│ │отпечаток, но вдавливается в грунт при сильном │
│ │нажатии, лепится тяжело │
├───────────────┼────────────────────────────────────────────────┤
│Мягкопластичная│ Грунт влажный, легко принимает различные формы│
│0,5 < В < 0,75 │при лепке. Палец вдавливается в грунт легко на │
│ │глубину нескольких сантиметров │
├───────────────┼────────────────────────────────────────────────┤
│Текуче- │ Грунт мокрый, при лепке не держит заданную │
│пластичная │форму, прилипает к рукам, разминается легко │
│0,75 < В < 1,0 │ │
├───────────────┼────────────────────────────────────────────────┤
│Текучая │ Грунт водонасыщенный, в спокойном состоянии │
│В > 1 │расползается и растекается, способен течь по │
│ │наклонной плоскости толстым слоем │
├───────────────┴────────────────────────────────────────────────┤
│ Супеси │
├───────────────┬────────────────────────────────────────────────┤
│Твердая │ Влажность не ощущается. Образец при сжатии в │
│В < 0 │ладони рассыпается, при разрушении пылит │
├───────────────┼────────────────────────────────────────────────┤
│Пластичная │ Образец легко разминается рукой, хорошо │
│0 < В < 1 │формируется и сохраняет приданную форму. При │
│ │сжатии в ладони ощущается влажность │
├───────────────┼────────────────────────────────────────────────┤
│Текучая │ Образец легко деформируется от незначительного│
│В > 1 │нажима и растекается │
└───────────────┴────────────────────────────────────────────────┘
4.9.5. По результатам полевых испытаний, обработанных методами математической статистики, определяют фактические показатели прочности дорожных одежд, сопоставляют их с величинами, требуемыми по условиям движения, и принимают решение по несущей способности обследованных дорог.
Требуемые показатели прочности назначают с учетом фактической интенсивности транспортного потока на дороге, приведенной к расчетным нагрузкам. Для приведения автомобиля к расчетным нагрузкам используют коэффициенты приведения.
Для непрочных участков рассчитывают слои усиления или назначают мероприятия по ограничению движения автомобилей по осевым нагрузкам в неблагоприятные по условиям увлажнения периоды года. Возможен и комбинированный подход, когда в течение некоторого периода ограничивают движение по дороге, а затем усиливают дорожную конструкцию. В каждом конкретном случае вопрос о проведении того или иного мероприятия должен решаться на основании технико-экономических расчетов.
4.10. Определение состояния инженерного оборудования
и обустройства дорог
4.10.1. К инженерному оборудованию и обустройству дорог относятся пересечения и железнодорожные переезды, технические средства организации дорожного движения (ограждения, знаки, разметка, направляющие устройства, сети освещения, светофоры, системы автоматизированного управления движением, вызывная связь), озеленение, площадки отдыха, малые архитектурные формы.
4.10.2. Под оценкой состояния понимают наличие и соответствие параметров, конструкций и размещения элементов инженерного оборудования и обустройства автомобильных дорог нормативным требованиям. При оценке наличия и состояния инженерного оборудования и обустройства следует руководствоваться требованиями нормативных документов.
4.10.3. Оценка состояния и местоположения инженерного оборудования и обустройства дорог производится визуально с использованием предварительно оттарированных датчика пути, установленного на ходовой лаборатории дорожного курвиметра, мерной ленты. Может быть также использована видеозапись элементов инженерного оборудования и обустройства, сопряженная с датчиком пройденного пути.
4.10.4. По специальному заданию заказчика в состав работ по диагностике может включаться сбор информации об объектах обустройства данной дороги, находящихся на некотором удалении от дороги, если эти сооружения указаны на дорожных знаках сервиса.
Занимаемая площадь придорожных предприятий и сооружений в придорожной полосе устанавливается путем непосредственных измерений.
Вместимость сооружений обслуживания проезжающих (количество мест) определяется по данным их администрации.
4.11. Определение интенсивности и состава
транспортных потоков
4.11.1. Данные об интенсивности и составе транспортных потоков получают из баз данных, сформированных по результатам измерений на автоматизированных учетных пунктах.
4.11.2. При отсутствии автоматизированных учетных пунктов выполняют выборочный визуальный учет дорожного движения с использованием или без использования специальных технических средств.
4.11.3. При отсутствии на автомобильной дороге учетных пунктов, их следует располагать на подходах к крупным административным и промышленным центрам, грузо- и пассажирообразующим комплексам, крупным транспортным развязкам.
4.11.4. При выполнении визуального учета дорожного движения сбор информации проводят не реже 4-х раз в квартал по 4 ч в сутки: по одному разу в месяц в рабочие дни и один раз в выходной день во второй месяц каждого квартала. В рабочие дни учет движения проводят во вторник, среду или четверг, а в выходные - в субботу или воскресенье.
4.11.5. Итоговые параметры интенсивности и состава движения по учетным пунктам на каждой автомобильной дороге включаются в отраслевой автоматизированный банк дорожных данных.
5. МЕТОДИКА ОЦЕНКИ ТРАНСПОРТНО-ЭКСПЛУАТАЦИОННОГО
СОСТОЯНИЯ АВТОМОБИЛЬНЫХ ДОРОГ
5.1.1. Оценку транспортно-эксплуатационного состояния дороги осуществляют по степени соответствия нормативным требованиям основных транспортно-эксплуатационных показателей дороги, которые приняты за ее потребительские свойства.
К ним относятся: обеспеченная дорогой скорость, непрерывность, удобство и безопасность движения, пропускная способность, способность пропускать автомобили и автопоезда с осевой нагрузкой и общей массой, установленными для соответствующих категорий дорог.
Интегральным показателем, наиболее полно отражающим все основные транспортно-эксплуатационные показатели, принята скорость движения, выраженная через коэффициент обеспеченности расчетной скорости.
Рассматриваемый метод применяется для оценки качества проекта строительства, реконструкции или ремонта дороги, качества дороги в момент сдачи ее в эксплуатацию после строительства, реконструкции или ремонта, а также качества и транспортно-эксплуатационного состояния дороги, находящейся в эксплуатации.
5.1.2. Потребительские свойства дороги или ее транспортно-эксплуатационные показатели обеспечиваются параметрами плана, продольного и поперечного профилей, прочностью дорожной одежды, ровностью и сцепными качествами покрытия, состоянием искусственных сооружений, инженерным оборудованием и обустройством, уровнем содержания дороги.
5.1.3. Оценку потребительских свойств дороги выполняют применительно к работе дороги и ее состоянию в расчетный по условиям движения автомобилей осенне-весенний период года с влажной или мокрой поверхностью, когда все достоинства и недостатки дороги проявляются наиболее полно. В сухое теплое время года при благоприятных условиях погоды фактические транспортно-эксплуатационные показатели могут быть выше, чем в осенне-весенний период. Поэтому результаты обследований, выполненных в сухое теплое время года, приводятся к расчетным осенне-весенним условиям работы дороги.
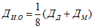
5.1.4. Конечным результатом оценки является обобщенный показатель качества и состояния дороги (

), включающий в себя комплексный показатель транспортно-эксплуатационного состояния дороги (

), показатель инженерного оборудования и обустройства (

) и показатель уровня эксплуатационного содержания (

):

. (5.1)
5.1.5. Показатели

,

,

,

являются критериями оценки качества и состояния дороги. Их нормативные значения для каждой категории принимают в соответствии с действующими нормативно-техническими документами. Порядок определения категории эксплуатируемой дороги приведен в
п. 4.3.
5.1.6. Нормативные значения комплексного показателя транспортно-эксплуатационного состояния дорог (

) соответствуют требованиям
СНиП 2.05.02-85,
ВСН 24-88 и
ГОСТ Р 50597-93. В неблагоприятных условиях погоды осенне-весеннего периода года допускается снижение требований к показателю транспортно-эксплуатационного состояния дороги (

), но не более чем на 25%. Эти значения принимают за предельно допустимые (

). Фактические значения

могут колебаться от 0,15 до 1,25 и более (табл. 5.1).
Таблица 5.1
Нормативные значения

(числитель) и предельно
допустимые

(знаменатель) значения комплексного
показателя транспортно-эксплуатационного состояния дорог
┌───────────┬───────────┬─────────────┬──────────────────────────┐
│ Категория │ Основная │ На основном │ На трудных участках │
│ дороги │расчетная │ протяжении │ местности │
│ │скорость, │ ├────────────┬─────────────┤
│ │ км/ч │ │пересеченной│ горной │
├───────────┼───────────┼─────────────┼────────────┼─────────────┤
│I-а │150 │1,25/0,94 │1,0/0,75 │0,67/0,50 │
├───────────┼───────────┼─────────────┼────────────┼─────────────┤
│I-б, II │120 │1,0/0,75 │0,83/0,62 │0,5/0,38 │
├───────────┼───────────┼─────────────┼────────────┼─────────────┤
│III │100 │0,83/0,62 │0,67/0,50 │0,42/0,33 │
├───────────┼───────────┼─────────────┼────────────┼─────────────┤
│IV │80 │0,67/0,50 │0,50/0,38 │0,33/0,25 │
├───────────┼───────────┼─────────────┼────────────┼─────────────┤
│V │60 │0,5/0,38 │0,33/0,25 │0,25/0,17 │
└───────────┴───────────┴─────────────┴────────────┴─────────────┘
Примечание. Критерии выделения трудных участков пересеченной и горной местности приняты в соответствии с
примечанием 1 к п. 4.1 СНиП 2.05.02-85.
5.1.7. Нормативным считается такое состояние дороги, при котором ее параметры и характеристики обеспечивают значения комплексного показателя транспортно-эксплуатационного состояния не ниже нормативного (

) в течение всего осенне-весеннего периода. Допустимым, но требующим улучшения и повышения уровня содержания, считается такое состояние дороги, при котором ее параметры и характеристики обеспечивают значение комплексного показателя транспортно-эксплуатационного состояния в осенне-весенний период ниже нормативного, но не ниже предельно допустимого (

).
Недопустимым, требующим немедленного ремонта или реконструкции, считается такое состояние дороги, при котором значение комплексного показателя транспортно-эксплуатационного состояния дороги в осенне-весенний период ниже предельно допустимого (

).
5.1.8. За нормативную величину показателя инженерного оборудования и обустройства принимают

= 1, который обеспечивается при наличии и соответствии требованиям стандартов и других нормативных документов основных элементов инженерного оборудования и обустройства дорог: дорожных знаков, ограждений, разметки, примыканий, пересечений автомобильных дорог с автомобильными и железными дорогами, автобусных остановок и площадок отдыха, тротуаров и пешеходных дорожек в населенных пунктах, освещения. Фактические значения величины

могут колебаться от 0,9 до 1,0.
5.1.9. За нормативную величину показателя уровня эксплуатационного содержания принимают

= 1,0, который обеспечивается средним уровнем содержания согласно "Временному
руководству по оценке уровня содержания автомобильных дорог", утвержденному ФДС России 26.11.1997 г. Фактические значения величины

могут колебаться от 0,9 до 1,1.
5.1.10. Нормативные и предельно допустимые значения обобщенного показателя качества и состояния дороги принимают равными соответствующим значениям комплексного показателя ТЭС АД, т.е.

и

. Дорога, находящаяся в эксплуатации, полностью соответствует требованиям к качеству и состоянию, когда

, и находится в допустимом состоянии, когда

.
При других значениях показателей дорога находится в недопустимом состоянии.
5.1.11. В зависимости от целей и задач оценки она может быть выполнена как по обобщенному показателю качества и состояния, так и раздельно по комплексному показателю транспортно-эксплуатационного состояния (

), показателю инженерного оборудования и обустройства (

) или по показателю уровня эксплуатационного содержания (

).
Значения всех показателей могут быть определены для участка дороги, для всего протяжения дороги, для сети дорог, обслуживаемых дорожной организацией, или для сети дорог региона.
5.1.12. Оценку качества дороги в момент сдачи в эксплуатацию после строительства, реконструкции или ремонта выполняют так же, как и эксплуатируемой дороги по результатам объективной оценки и измерения фактических параметров и характеристик дороги.
5.2. Оценка транспортно-эксплуатационного
состояния автомобильной дороги
5.2.1. Главным этапом оценки качества и состояния дороги является определение показателя ее технического уровня и эксплуатационного состояния или комплексного показателя транспортно-эксплуатационного состояния (

), которое включает в себя оценку геометрических параметров поперечного профиля, плана и продольного профиля дороги, состояния покрытия и прочности дорожной одежды, продольной и поперечной ровности, сцепных качеств покрытий, состояния обочин, габаритов мостов и путепроводов, интенсивности и состава транспортных потоков, а также безопасности движения.
В основу методики комплексной оценки транспортно-эксплуатационного состояния дороги положен принцип обязательного соблюдения всех нормативных требований к параметрам и характеристикам, определяющим ее транспортно-эксплуатационные показатели.
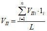
5.2.2. Транспортно-эксплуатационное состояние каждого характерного отрезка дороги оценивают итоговым коэффициентом обеспеченности расчетной скорости

, который принимают за комплексный показатель транспортно-эксплуатационного состояния дороги на данном отрезке:

. (5.2)
5.2.3. Оценку транспортно-эксплуатационного состояния автомобильной дороги на момент обследования выполняют по величине комплексного показателя:

, (5.3)
где

- итоговое значение коэффициента обеспеченности расчетной скорости на каждом участке;

- длина участка с итоговым значением

, км;
n - число таких участков;
L - общая длина дороги (участка дороги), км.
5.2.4. Изменение состояния дороги за период между обследованиями оценивают по величине прироста комплексного показателя ТЭС АД по формуле:

, (5.4)
где

,

- значения комплексного показателя на начало и конец оцениваемого периода, вычисленные по
формуле (5.3).
Отрицательное значение прироста свидетельствует об ухудшении состояния дороги за оцениваемый период по сравнению с первоначальным.
5.3. Оценка транспортно-эксплуатационного состояния
сети автомобильных дорог
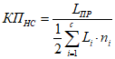
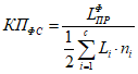
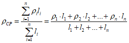
5.3.1. Оценку транспортно-эксплуатационного состояния сети автомобильных дорог производят по фактическому комплексному показателю состояния дорожной сети

. Для его вычисления используют коэффициент приведения дорог разного технического уровня к эталонной дороге. За эталонную принята двухполосная дорога II категории с параметрами и характеристиками, отвечающими всем нормативным требованиям.
Коэффициент приведения показывает, какую долю составляют потребительские свойства обследуемой дороги, выраженные через обеспеченную скорость, от потребительских свойств эталонной дороги. Коэффициенты приведения принимают численно равными нормативным значениям комплексного показателя состояния дорог

.
5.3.2. Комплексный показатель транспортно-эксплуатационного состояния дорожной сети вычисляют в следующем порядке:
а) составляют перечень или ведомость дорог или характерных участков, входящих в оцениваемую сеть. В качестве характерных выделяют участки с различным числом полос движения (без учета переходно-скоростных полос), участки с дополнительной полосой движения на подъемах, а также участки дорог различных категорий, входящие в состав одной автомобильной дороги;
б) определяют протяженность оцениваемой сети дорог при нормативном состоянии в приведенных к эталонным км:

, (5.5)
где

- протяженность каждой дороги или каждого характерного участка дороги, км;

- число полос движения без учета переходно-скоростных полос;

- значения нормативного комплексного показателя для каждой дороги или участка дороги, которые принимают по
табл. 5.1;
с - количество дорог или характерных участков;
в) определяют среднюю величину нормативного комплексного показателя транспортно-эксплуатационного состояния оцениваемой сети дорог:

; (5.6)
г) определяют протяженность сети дорог при фактическом состоянии в приведенных км:

, (5.7)
где

- фактические значения комплексного показателя транспортно-эксплуатационного состояния каждой дороги или участка дороги, вычисленные по
формуле (5.3);
д) определяют величину фактического показателя состояния оцениваемой сети дорог:

. (5.8)
5.3.3. Прирост комплексного показателя транспортно-эксплуатационного состояния дорожной сети за рассматриваемый период определяют по формуле:

. (5.9)
5.3.4. Показатель фактического состояния сети автомобильных дорог по отношению к нормативному определяют по формуле:

. (5.10)
Транспортно-эксплуатационное состояние сети дорог соответствует требованиям, когда

.
5.4. Порядок и методика оценки влияния элементов параметров
и характеристик дорог на комплексный показатель
их транспортно-эксплуатационного состояния
5.4.1. Для оценки влияния отдельных параметров и характеристик дорог на комплексный показатель их состояния (

) определяют частные коэффициенты обеспеченности расчетной скорости на каждом характерном участке в соответствии с указаниями
пп. 5.4.2 -
5.4.19 настоящих Правил.
При определении коэффициентов обеспеченности расчетной скорости аналитическим путем учитывают следующие особенности:
а) не принимают во внимание общие ограничения скорости Правилами дорожного движения и местные ограничения скорости (в населенных пунктах, на переездах железных дорог, на пересечениях с другими дорогами, на кривых малых радиусов, в зоне автобусных остановок, в зонах действия дорожных знаков и др.);
б) в случае резкого различия условий движения по дороге в разных направлениях (например, на затяжных уклонах горных дорог), кроме дорог I категории, величину коэффициента обеспеченности расчетной скорости принимают по наименьшему значению из двух направлений движения; на дорогах I категории следует выполнять оценку их состояния по направлениям движения раздельно;
в) не учитывают участки постепенного перехода скорости от одного значения к другому, то есть строят ступенчатую эпюру показателей.
5.4.2. Значения частных коэффициентов обеспеченности расчетной скорости принимают по
табл. 5.3 -
5.19.
Значение итогового коэффициента обеспеченности расчетной скорости

на каждом участке для осенне-весеннего расчетного по условиям движения периода года принимают равным наименьшему из всех частных коэффициентов на этом участке

.
Для этого строят линейный график, на который наносят сокращенный продольный профиль и план дороги, основные параметры и характеристики, частные и итоговые значения коэффициента обеспеченности расчетной скорости, а также линии нормативного и предельно допустимого значений показателей качества и транспортно-эксплуатационного состояния дороги.
Форма и пример линейного графика оценки качества и состояния дороги приведены в
Приложении.
5.4.3. Для получения итогового значения коэффициента обеспеченности расчетной скорости определяют частные коэффициенты, учитывающие ширину основной укрепленной поверхности (укрепленной поверхности) и ширину габарита моста -

; ширину и состояние обочин -

; интенсивность и состав движения -

; продольные уклоны и видимость поверхности дороги -

; радиусы кривых в плане и уклон виража -

; продольную ровность покрытия -

; коэффициент сцепления колеса с покрытием -

, состояние и прочность дорожной одежды -

; ровность в поперечном направлении (глубину колеи) -

; безопасность движения -

.
5.4.4. Частный коэффициент

определяют исходя из ширины проезжей части и краевых укрепленных полос, которые вместе составляют ширину основной укрепленной поверхности

, с учетом влияния в осенне-весенний периоды года укрепления обочин на фактически используемую для движения ширину этой поверхности

.
При наличии краевых укрепленных полос:

, м, (5.11)
где

- ширина проезжей части, м;

- ширина краевой укрепленной полосы, м;

- коэффициент, учитывающий влияние вида и ширины укрепления на фактически используемую для движения ширину основной укрепленной поверхности (коэффициент используемой ширины основной укрепленной поверхности), принимают по табл. 5.2.
Таблица 5.2
Значения коэффициента использования ширины
основной укрепленной поверхности
┌────────────────────────┬───────────────────────────────────────┐
│ Вид укрепления обочин │ Значения К │
│ │ У │
│ ├──────────────┬────────────────────────┤
│ │ на прямых │на кривых в плане радиу-│
│ │участках и на │сом менее 200 м, а также│
│ │кривых в плане│на участках с огражде- │
│ │радиусом более│ниями, направляющими │
│ │ 200 м │столбиками, тумбами, │
│ │ │парапетами │
├────────────────────────┼──────────────┼────────────────────────┤
│ Покрытие из асфаль- │1,0 │1,0 │
│тобетона, цементобетона │ │ │
│или из материалов, │ │ │
│обработанных вяжущими │ │ │
├────────────────────────┼──────────────┼────────────────────────┤
│ Слой щебня или гравия │0,98/0,96 │0,97/0,95 │
├────────────────────────┼──────────────┼────────────────────────┤
│ Засев трав │0,96/0,94 │0,95/0,93 │
├────────────────────────┼──────────────┼────────────────────────┤
│ Обочины не укреплены │0,95/0,93 │0,93/0,90 │
└────────────────────────┴──────────────┴────────────────────────┘
Примечания. 1. В числителе для дорог I - II категорий, в знаменателе - для дорог III - V категорий.
2. Значения

даны для ширины полосы укрепления обочины 1,0 м и более. При меньшей ширине полосы укрепления значения

принимают для укрепления асфальтобетоном или другими обработанными вяжущими материалами как для укрепления щебнем или гравием; для укрепления щебнем или гравием как для укрепления засевом трав, а для укрепления засевом трав как для неукрепленной обочины.
При отсутствии краевых укрепленных полос:

, м. (5.12)
На мостах, путепроводах, эстакадах:

, м, (5.13)
где Г - габарит моста, м;

- высота бордюра, м.
5.4.5. За характерные по ширине укрепленной поверхности принимают участки с одинаковой шириной проезжей части и укрепленных краевых полос, а при отсутствии краевых полос - участки дороги с одинаковой шириной проезжей части. При этом не учитывают колебания ширины в пределах до 0,20 м. При уменьшении или увеличении на смежном участке ширины основной укрепленной поверхности более чем на 0,20 м такой участок выделяют в характерный. Если разница в ширине

на смежных участках превышает 0,5 м, то участок с меньшей шириной относят к местным сужениям, в длину которого включают зоны влияния по 75 м от начала и конца сужения.
5.4.6. Значения

в зависимости от ширины основной укрепленной поверхности, используемой для движения, числа полос и интенсивности движения приведены в табл. 5.3 -
5.6.
Таблица 5.3
Значения частного коэффициента обеспеченности
расчетной скорости

, учитывающего влияние ширины основной
укрепленной поверхности дороги для двухполосных дорог
┌───────────┬────────────────────────────────────────────────────┐
│ Ширина │ Интенсивность движения, авт./сут │
│ основной │ (физических ед.) │
│укрепленной│ │
│поверхности├──────────┬────────────┬──────────────┬─────────────┤
│ В , м │менее 600 │ 600 - 1200 │ 1200 - 3600 │3600 - 10000 │
│ 1Ф │ │ │ │ │
├───────────┼──────────┼────────────┼──────────────┼─────────────┤
│4,50 │0,58 │0,25 │- │- │
├───────────┼──────────┼────────────┼──────────────┼─────────────┤
│4,75 │0,68 │0,33 │- │- │
├───────────┼──────────┼────────────┼──────────────┼─────────────┤
│5,0 │0,79 │0,41 │- │- │
├───────────┼──────────┼────────────┼──────────────┼─────────────┤
│5,25 │0,88 │0,50 │- │- │
├───────────┼──────────┼────────────┼──────────────┼─────────────┤
│5,50 │1,0 │0,58 │- │- │
├───────────┼──────────┼────────────┼──────────────┼─────────────┤
│5,75 │1,10 │0,64 │- │- │
├───────────┼──────────┼────────────┼──────────────┼─────────────┤
│6,0 │1,20 │0,75 │0,65 │- │
├───────────┼──────────┼────────────┼──────────────┼─────────────┤
│6,25 │1,25 │0,84 │0,71 │- │
├───────────┼──────────┼────────────┼──────────────┼─────────────┤
│6,50 │- │0,93 │0,78 │0,61 │
├───────────┼──────────┼────────────┼──────────────┼─────────────┤
│6,75 │- │1,0 │0,85 │0,68 │
├───────────┼──────────┼────────────┼──────────────┼─────────────┤
│7,0 │- │1,07 │0,91 │0,75 │
├───────────┼──────────┼────────────┼──────────────┼─────────────┤
│7,25 │- │1,13 │0,98 │0,82 │
├───────────┼──────────┼────────────┼──────────────┼─────────────┤
│7,50 │- │1,19 │1,05 │0,88 │
├───────────┼──────────┼────────────┼──────────────┼─────────────┤
│7,75 │- │1,25 │1,12 │0,94 │
├───────────┼──────────┼────────────┼──────────────┼─────────────┤
│8,0 │- │1,30 │1,18 │1,0 │
├───────────┼──────────┼────────────┼──────────────┼─────────────┤
│8,25 │- │- │1,25 │1,05 │
├───────────┼──────────┼────────────┼──────────────┼─────────────┤
│8,50 │- │- │1,30 │1,10 │
├───────────┼──────────┼────────────┼──────────────┼─────────────┤
│8,75 │- │- │- │1,15 │
├───────────┼──────────┼────────────┼──────────────┼─────────────┤
│9,0 │- │- │- │1,20 │
├───────────┼──────────┼────────────┼──────────────┼─────────────┤
│9,25 │- │- │- │1,25 │
├───────────┼──────────┼────────────┼──────────────┼─────────────┤
│9,50 │- │- │- │1,30 │
└───────────┴──────────┴────────────┴──────────────┴─────────────┘
Таблица 5.4
Для трехполосных дорог
┌───────────────────────┬────────────────────────────────────────┐
│ Ширина укрепленной │ Значения К │
│ поверхности В , м │ РС1 │
│ 1Ф ├────────────────┬───────────────────────┤
│ │ с разметкой │при отсутствии разметки│
├───────────────────────┼────────────────┼───────────────────────┤
│10,50 │0,8 │0,7 │
├───────────────────────┼────────────────┼───────────────────────┤
│10,75 │0,83 │0,72 │
├───────────────────────┼────────────────┼───────────────────────┤
│11,0 │0,86 │0,74 │
├───────────────────────┼────────────────┼───────────────────────┤
│11,25 │0,88 │0,76 │
├───────────────────────┼────────────────┼───────────────────────┤
│11,50 │0,90 │0,78 │
├───────────────────────┼────────────────┼───────────────────────┤
│11,75 │0,95 │0,80 │
├───────────────────────┼────────────────┼───────────────────────┤
│12,0 │0,99 │0,81 │
├───────────────────────┼────────────────┼───────────────────────┤
│12,25 │1,03 │0,82 │
├───────────────────────┼────────────────┼───────────────────────┤
│12,50 │1,08 │0,83 │
├───────────────────────┼────────────────┼───────────────────────┤
│12,75 │1,10 │0,85 │
├───────────────────────┼────────────────┼───────────────────────┤
│13,0 │1,15 │0,87 │
├───────────────────────┼────────────────┼───────────────────────┤
│13,25 │1,18 │0,92 │
├───────────────────────┼────────────────┼───────────────────────┤
│13,50 │1,22 │0,97 │
├───────────────────────┼────────────────┼───────────────────────┤
│13,75 │1,25 │1,02 │
├───────────────────────┼────────────────┼───────────────────────┤
│14,0 │- │1,07 │
└───────────────────────┴────────────────┴───────────────────────┘
Примечание. Приведенные

действительны при интенсивности движения более 7 тыс. авт./сут. При меньшей интенсивности для дорог с шириной укрепленной поверхности 10,5 м принимают

= 1,10 при отсутствии разметки и

= 1,25 при наличии разметки.
Таблица 5.5
Для двухполосной проезжей части четырехполосных дорог
┌──────────────────────┬─────────────────────────────────────────┐
│ Ширина укрепленной │ Значения К при ширине │
│ поверхности В , м │ РС1 │
│ 1Ф │ разделительной полосы, м │
│ ├───────────────────┬─────────────────────┤
│ │ до 5 м │ более 5 м │
├──────────────────────┼───────────────────┼─────────────────────┤
│6,0 │0,50 │0,55 │
├──────────────────────┼───────────────────┼─────────────────────┤
│6,25 │0,59 │0,64 │
├──────────────────────┼───────────────────┼─────────────────────┤
│6,50 │0,67 │0,72 │
├──────────────────────┼───────────────────┼─────────────────────┤
│6,75 │0,75 │0,80 │
├──────────────────────┼───────────────────┼─────────────────────┤
│7,0 │0,83 │0,88 │
├──────────────────────┼───────────────────┼─────────────────────┤
│7,25 │0,90 │0,95 │
├──────────────────────┼───────────────────┼─────────────────────┤
│7,50 │0,95 │1,00 │
├──────────────────────┼───────────────────┼─────────────────────┤
│7,75 │1,0 │1,05 │
├──────────────────────┼───────────────────┼─────────────────────┤
│8,0 │1,05 │1,10 │
├──────────────────────┼───────────────────┼─────────────────────┤
│8,25 │1,10 │1,15 │
├──────────────────────┼───────────────────┼─────────────────────┤
│8,50 │1,15 │1,20 │
├──────────────────────┼───────────────────┼─────────────────────┤
│8,75 │1,20 │1,23 │
├──────────────────────┼───────────────────┼─────────────────────┤
│9,0 │1,25 │1,26 │
├──────────────────────┼───────────────────┼─────────────────────┤
│9,25 │1,29 │1,29 │
├──────────────────────┼───────────────────┼─────────────────────┤
│9,50 │1,32 │1,32 │
├──────────────────────┼───────────────────┼─────────────────────┤
│9,75 │1,35 │1,35 │
└──────────────────────┴───────────────────┴─────────────────────┘
Таблица 5.6
Для многополосных магистралей
┌──────────────────────────────┬─────────────────────────────────┐
│ Ширина основной укрепленной │ Значения К при ширине │
│ поверхности одного │ РС1 │
│ направления, м │ разделительной полосы, м │
│ ├──────────────┬──────────────────┤
│ │ до 5 м │ более 5 м │
├──────────────────────────────┴──────────────┴──────────────────┤
│ Шестиполосные дороги │
├──────────────────────────────┬──────────────┬──────────────────┤
│10,50 │0,75 │0,80 │
├──────────────────────────────┼──────────────┼──────────────────┤
│10,75 │0,80 │0,85 │
├──────────────────────────────┼──────────────┼──────────────────┤
│11,0 │0,85 │0,90 │
├──────────────────────────────┼──────────────┼──────────────────┤
│11,25 │0,92 │0,96 │
├──────────────────────────────┼──────────────┼──────────────────┤
│11,50 │0,98 │1,03 │
├──────────────────────────────┼──────────────┼──────────────────┤
│11,75 │1,05 │1,10 │
├──────────────────────────────┼──────────────┼──────────────────┤
│12,00 │1,10 │1,15 │
├──────────────────────────────┼──────────────┼──────────────────┤
│12,25 │1,15 │1,20 │
├──────────────────────────────┼──────────────┼──────────────────┤
│12,50 │1,20 │1,25 │
├──────────────────────────────┼──────────────┼──────────────────┤
│12,75 │1,25 │1,30 │
├──────────────────────────────┼──────────────┼──────────────────┤
│13,00 │1,30 │1,35 │
├──────────────────────────────┴──────────────┴──────────────────┤
│ Восьмиполосные дороги │
├──────────────────────────────┬──────────────┬──────────────────┤
│15,00 │0,75 │0,80 │
├──────────────────────────────┼──────────────┼──────────────────┤
│15,25 │0,80 │0,85 │
├──────────────────────────────┼──────────────┼──────────────────┤
│15,50 │0,85 │0,90 │
├──────────────────────────────┼──────────────┼──────────────────┤
│15,75 │0,95 │1,00 │
├──────────────────────────────┼──────────────┼──────────────────┤
│16,00 │1,05 │1,10 │
├──────────────────────────────┼──────────────┼──────────────────┤
│16,25 │1,15 │1,20 │
├──────────────────────────────┼──────────────┼──────────────────┤
│16,50 │1,20 │1,25 │
├──────────────────────────────┼──────────────┼──────────────────┤
│16,75 │1,25 │1,30 │
├──────────────────────────────┼──────────────┼──────────────────┤
│17,00 │1,30 │1,35 │
└──────────────────────────────┴──────────────┴──────────────────┘
5.4.7. Частный коэффициент

определяют по величине ширины обочины в соответствии с
табл. 5.8. В общем случае в состав обочины входят краевая укрепленная полоса, укрепленная полоса для остановки автомобилей и прибровочная полоса.
5.4.8. За характерные по ширине обочин принимают отрезки дороги с одинаковой шириной обочин. Если ширина правой и левой обочин разная, в расчет принимают меньшую. При выделении характерных участков не учитывают колебания ширины обочины в пределах до 0,10 м при общей ширине обочины до 1,5 м и в пределах до 0,20 м при ширине обочины более 1,5 м. В случае изменения ширины обочины на величину больше указанных (0,1 м и 0,20 м) участок выделяют в характерный.
5.4.9. В случае, когда проезжая часть и краевые укрепленные полосы или проезжая часть и укрепленные обочины имеют один тип покрытия и между этими элементами нет четко видимых различий (например, для гравийных и щебеночных покрытий), ширину краевых укрепленных полос или укрепленных обочин условно принимают по формуле:

, м, (5.14)
где

- ширина краевой укрепленной полосы или укрепленной обочины, имеющих одинаковый с проезжей частью тип покрытия, м;

- общая ширина укрепленной поверхности, имеющая один тип покрытия, м;

- оптимальная ширина укрепленной поверхности, соответствующая данной интенсивности движения, м (табл. 5.7).
Таблица 5.7
Значения

┌─────────────────┬─────────┬────────┬─────────┬─────────┬───────┐
│ Интенсивность │до 100 │100 - │600 - │1200 - │более │
│ движения, │ │ 600│ 1200│ 3600│3600 │
│ авт./сут │ │ │ │ │ │
├─────────────────┼─────────┼────────┼─────────┼─────────┼───────┤
│Оптимальная │4,5 │7 │7,5 │8 │9,5 │
│ширина укреп- │ │ │ │ │ │
│ленной поверх- │ │ │ │ │ │
│ности (В ), м │ │ │ │ │ │
│ О │ │ │ │ │ │
└─────────────────┴─────────┴────────┴─────────┴─────────┴───────┘
Для трехполосных дорог или проезжей части автомагистралей с тремя полосами движения оптимальную ширину укрепленной поверхности принимают 12,75 м, для четырехполосной проезжей части автомагистралей - 16 м.
5.4.10. В случае, когда на всей ширине обочины устроен один тип укрепления, значения

принимают по табл. 5.8 в зависимости от общей ширины обочины для данного типа укрепления. Аналогично принимают значения

при отсутствии укрепления на всей ширине обочины.
Таблица 5.8
Значения частного коэффициента обеспеченности
расчетной скорости

, учитывающего влияние
ширины и состояния обочин
┌────────────────┬───────────────────────────────────────────────┐
│ Ширина обочины │ Тип укрепления обочины │
│(включая краевую├───────────┬───────────┬────────────┬──────────┤
│ укрепленную │ а/б; ц/б; │слой щебня │ засев трав │обочины не│
│ полосу), м │ обработка │или гравия │ │ укреплены│
│ │ вяжущими │ │ │ │
├────────────────┼───────────┼───────────┼────────────┼──────────┤
│ 1 │ 2 │ 3 │ 4 │ 5 │
├────────────────┼───────────┼───────────┼────────────┼──────────┤
│0,30 │0,30 │0,20 │0,19 │0,19 │
├────────────────┼───────────┼───────────┼────────────┼──────────┤
│0,40 │0,34 │0,24 │0,22 │0,20 │
├────────────────┼───────────┼───────────┼────────────┼──────────┤
│0,50 │0,64 │0,44 │0,42 │0,35 │
├────────────────┼───────────┼───────────┼────────────┼──────────┤
│0,75 │0,71 │0,60 │0,52 │0,40 │
├────────────────┼───────────┼───────────┼────────────┼──────────┤
│1,00 │0,85 │0,70 │0,60 │0,50 │
├────────────────┼───────────┼───────────┼────────────┼──────────┤
│1,25 │0,90 │0,76 │0,65 │0,55 │
├────────────────┼───────────┼───────────┼────────────┼──────────┤
│1,50 │0,95 │0,82 │0,70 │0,60 │
├────────────────┼───────────┼───────────┼────────────┼──────────┤
│1,75 │1,0 │0,86 │0,75 │0,65 │
├────────────────┼───────────┼───────────┼────────────┼──────────┤
│2,00 │1,05 │0,90 │0,80 │0,70 │
├────────────────┼───────────┼───────────┼────────────┼──────────┤
│2,25 │1,10 │0,95 │0,85 │0,75 │
├────────────────┼───────────┼───────────┼────────────┼──────────┤
│2,50 │1,15 │1,00 │0,90 │0,80 │
├────────────────┼───────────┼───────────┼────────────┼──────────┤
│2,75 │1,20 │1,05 │0,95 │0,85 │
├────────────────┼───────────┼───────────┼────────────┼──────────┤
│3,00 │1,25 │1,10 │1,0 │0,90 │
├────────────────┼───────────┼───────────┼────────────┼──────────┤
│3,25 │1,30 │1,15 │1,05 │0,90 │
├────────────────┼───────────┼───────────┼────────────┼──────────┤
│3,50 │1,35 │1,20 │1,05 │0,90 │
├────────────────┼───────────┼───────────┼────────────┼──────────┤
│3,75 │1,35 │1,25 │1,05 │0,90 │
├────────────────┼───────────┼───────────┼────────────┼──────────┤
│4,00 │1,35 │1,25 │1,05 │0,90 │
└────────────────┴───────────┴───────────┴────────────┴──────────┘
Примечания. 1. При наличии на обочине крупных промоин, продольной колеи вдоль кромки проезжей части или краевой укрепленной полосы, а также при расположении поверхности обочины выше или ниже поверхности покрытия на проезжей части или краевой полосе более чем на 40 мм значения

принимают как для неукрепленной обочины, независимо от типа укрепления.
2. Значения

для обочин, укрепленных засевом трав, принимают, когда на всей ширине укрепленной полосы имеется сплошной травяной покров не более 5 см. При наличии на полосе, укрепленной засевом трав, разрушений травяного покрова значения

принимают как для неукрепленной обочины.
5.4.11. При наличии на обочине краевой укрепленной полосы и (или) укрепленных различными материалами, а также неукрепленных полос значения

определяют как средневзвешенную величину для данных типов укрепления по формуле:

, (5.15)
где

- ширина полосы обочины с различным типом укрепления, м;

- величина коэффициента обеспеченности расчетной скорости для данного типа укрепления полосы, принятая из предположения, что этот тип укрепления распространяется на всю ширину обочины;

- общая ширина обочины, м;
n - количество типов укреплений на обочине.
Пример 1. Общая ширина обочины

= 3 м. Из них ширина краевой полосы из асфальтобетона 0,5 м; ширина укрепленной щебнем полосы - 2 м и ширина неукрепленной полосы - 0,5 м. По
табл. 5.8 для общей ширины обочины 3 м принимаем значение

при укреплении: асфальтобетоном 1,25; щебнем - 1,10; для неукрепленной обочины - 0,90. Средневзвешенная величина

будет:

.
Пример 2. Общая ширина обочины 1,5 м. Из них ширина краевой полосы из слоя гравия 1 м и ширина полосы, укрепленной засевом трав, - 0,5 м.
Для общей ширины обочины 1,5 м по
табл. 5.9 принимаем при укреплении слоем гравия

= 0,82; при укреплении засевом трав

= 0,70. Средневзвешенная величина будет:

.
5.4.12. Частный коэффициент

определяют в зависимости от интенсивности и состава движения по формуле:

, (5.16)
где

- снижение коэффициента обеспеченности расчетной скорости под влиянием интенсивности и состава движения, значение которого приведено в табл. 5.9 и
5.10.
За характерный по интенсивности и составу движения принимают отрезок дороги, на котором эти показатели одинаковы и отличаются более чем на 15 - 20% от показателей на смежных участках. Интенсивность и состав движения принимают по результатам наблюдений в теплый период года.
Таблица 5.9
Значения

, учитывающего влияние интенсивности
и состава движения, на двухполосных и трехполосных дорогах
┌─────────┬────────────────────────────────────────────────────────┐
│Интенсив-│ Значения Дельта К │
│ность │ РС │
│движения,├────────────────────────────┬───────────────────────────┤
│тыс. │ Для двухполосных дорог при │Для трехполосных дорог при │
│авт./сут │ бета, равном │ бета, равном │
│ ├─────┬────┬─────┬─────┬─────┼────┬─────┬─────┬─────┬────┤
│ │0,60 │0,50│0,40 │0,30 │0,20 │0,60│0,50 │0,40 │0,30 │0,20│
├─────────┼─────┼────┼─────┼─────┼─────┼────┼─────┼─────┼─────┼────┤
│1 │0,03 │0,02│0,01 │- │- │- │- │- │- │- │
│2 │0,05 │0,04│0,03 │0,02 │0,01 │- │- │- │- │- │
│3 │0,08 │0,06│0,05 │0,04 │0,03 │0,05│0,04 │0,02 │0,01 │0,01│
│4 │0,11 │0,08│0,07 │0,06 │0,05 │0,06│0,04 │0,03 │0,02 │0,01│
│5 │0,13 │0,11│0,09 │0,07 │0,06 │0,07│0,05 │0,03 │0,03 │0,01│
│6 │0,17 │0,15│0,10 │0,08 │0,07 │0,08│0,05 │0,04 │0,03 │0,01│
│7 │0,20 │0,17│0,12 │0,09 │0,08 │0,10│0,06 │0,05 │0,04 │0,02│
│8 │0,23 │0,18│0,15 │0,10 │0,09 │0,11│0,07 │0,06 │0,04 │0,02│
│9 │0,29 │0,21│0,17 │0,11 │0,10 │0,11│0,08 │0,07 │0,05 │0,03│
│10 │0,32 │0,25│0,19 │0,12 │0,11 │0,12│0,09 │0,07 │0,05 │0,03│
│11 │- │- │0,21 │0,15 │0,13 │0,12│0,09 │0,08 │0,06 │0,04│
│12 │- │- │0,23 │0,17 │0,15 │0,13│0,10 │0,08 │0,06 │0,04│
│13 │- │- │0,25 │0,19 │0,17 │0,15│0,11 │0,10 │0,07 │0306│
│14 │- │- │0,27 │0,22 │0,19 │0,16│0,13 │0,12 │0,09 │0,08│
│15 │- │- │0,30 │0,23 │0,20 │0,18│0,15 │0,13 │0,11 │0,10│
└─────────┴─────┴────┴─────┴─────┴─────┴────┴─────┴─────┴─────┴────┘
Примечание.

- коэффициент, учитывающий состав транспортного потока. Численно равен доле грузовых автомобилей и автобусов в потоке.
Таблица 5.10
Значения

, учитывающего влияние интенсивности
и состава движения на автомагистралях
┌─────────┬──────────────────────────────────────────────────────────────────────────────────────┐
│Интенсив-│ Значения Дельта К │
│ность │ РС │
│движения,├────────────────────────────┬────────────────────────────┬────────────────────────────┤
│тыс. │Для 2-х полос автомагистрали│Для 3-х полос автомагистрали│Для 4-х полос автомагистрали│
│авт./сут │с 4-полосной проезжей частью│с 6-полосной проезжей частью│с 8-полосной проезжей частью│
│ │ при бета, равном │ при бета, равном │ при бета, равном │
│ ├─────┬─────┬─────┬────┬─────┼─────┬─────┬─────┬─────┬────┼─────┬─────┬─────┬────┬─────┤
│ │0,60 │ 0,50│ 0,40│0,30│ 0,20│0,60 │ 0,50│0,40 │ 0,30│0,20│ 0,60│0,50 │ 0,40│0,30│ 0,20│
├─────────┼─────┼─────┼─────┼────┼─────┼─────┼─────┼─────┼─────┼────┼─────┼─────┼─────┼────┼─────┤
│3 │0,06 │0,05 │0,04 │0,03│0,02 │- │- │- │- │- │- │- │- │- │- │
│4 │0,09 │0,07 │0,05 │0,04│0,03 │0,06 │0,05 │0,04 │0,03 │0,02│- │- │- │- │- │
│5 │0,11 │0,08 │0,06 │0,05│0,03 │0,08 │0,06 │0,04 │0,03 │0,02│- │- │- │- │- │
│6 │0,13 │0,10 │0,07 │0,06│0,04 │0,09 │0,07 │0,05 │0,04 │0,03│0,06 │0,05 │0,04 │0,02│0,02 │
│7 │0,14 │0,11 │0,07 │0,06│0,05 │0,11 │0,08 │0,06 │0,05 │0,04│0,06 │0,05 │0,04 │0,03│0,02 │
│8 │0,16 │0,12 │0,08 │0,07│0,06 │0,13 │0,10 │0,07 │0,06 │0,05│0,06 │0,05 │0,04 │0,03│0,02 │
│9 │0,18 │0,13 │0,09 │0,08│0,07 │0,14 │0,10 │0,07 │0,06 │0,05│0,07 │0,05 │0,04 │0,03│0,02 │
│10 │0,19 │0,14 │0,10 │0,09│0,08 │0,15 │0,11 │0,08 │0,07 │0,06│0,07 │0,06 │0,04 │0,03│0,02 │
│11 │0,20 │0,14 │0,11 │0,10│0,09 │0,16 │0,12 │0,08 │0,07 │0,06│0,07 │0,06 │0,05 │0,04│0,03 │
│12 │0,21 │0,15 │0,12 │0,11│0,10 │0,18 │0,13 │0,09 │0,08 │0,07│0,08 │0,07 │0,05 │0,04│0,03 │
│13 │0,21 │0,15 │0,12 │0,11│0,10 │0,18 │0,13 │0,09 │0,08 │0,07│0,08 │0,07 │0,05 │0,04│0,03 │
│14 │0,21 │0,15 │0,12 │0,12│0,11 │0,19 │0,13 │0,10 │0,09 │0,08│0,09 │0,08 │0,06 │0,05│0,04 │
│15 │0,25 │0,19 │0,15 │0,14│0,12 │0,19 │0,14 │0,11 │0,10 │0,09│0,09 │0,08 │0,06 │0,05│0,04 │
│16 │- │- │- │- │- │0,20 │0,14 │0,11 │0,10 │0,09│0,10 │0,09 │0,07 │0,05│0,04 │
│17 - 18 │- │- │- │- │- │0,20 │0,14 │0,11 │0,10 │0,09│0,11 │0,10 │0,08 │0,06│0,05 │
│19 - 20 │- │- │- │- │- │0,22 │0,15 │0,12 │0,11 │0,10│0,12 │0,11 │0,09 │0,06│0,05 │
│21 - 22 │- │- │- │- │- │0,24 │0,17 │0,14 │0,12 │0,11│0,13 │0,12 │0,10 │0,07│0,06 │
│23 - 24 │- │- │- │- │- │0,25 │0,19 │0,16 │0,14 │0,12│0,15 │0,13 │0,11 │0,08│0,07 │
│25 - 26 │- │- │- │- │- │0,28 │0,22 │0,19 │0,16 │0,13│0,17 │0,14 │0,12 │0,09│0,08 │
│27 - 30 │- │- │- │- │ │- │- │- │- │- │0,22 │0,19 │0,16 │0,09│0,08 │
└─────────┴─────┴─────┴─────┴────┴─────┴─────┴─────┴─────┴─────┴────┴─────┴─────┴─────┴────┴─────┘
5.4.13. Частный коэффициент

определяют по величине продольного уклона для расчетного состояния поверхности дороги в весенне-осенний период года и фактического расстояния видимости поверхности дороги при движении на подъем (табл. 5.11) и на спуск (
табл. 5.12). При этом между точками перелома продольного профиля допускается принимать величину уклона постоянной без учета его смягчения на вертикальных кривых.
Таблица 5.11
Значения частного коэффициента обеспеченности расчетной
скорости

, учитывающего влияние продольных уклонов
при движении на подъем
┌────────────────┬─────┬─────┬─────┬─────┬─────┬────┬─────┬──────┐
│ Продольный │0 - │21 - │31 - │41 - │51 - │61 -│71 - │более │
│ уклон, о/оо │ 20│ 30│ 40│ 50│ 60│ 70│ 80│80 │
├────────────────┼─────┼─────┼─────┼─────┼─────┼────┼─────┼──────┤
│Значения К : │ │ │ │ │ │ │ │ │
│ РС4 │ │ │ │ │ │ │ │ │
│ при мокром │1,25 │1,10 │1,00 │0,90 │0,80 │0,75│0,70 │0,60 │
│чистом покрытии │ │ │ │ │ │ │ │ │
│ при мокром │1,15 │1,10 │0,95 │0,85 │0,75 │0,70│0,65 │0,50 │
│загрязненном │ │ │ │ │ │ │ │ │
│покрытии │ │ │ │ │ │ │ │ │
└────────────────┴─────┴─────┴─────┴─────┴─────┴────┴─────┴──────┘
Таблица 5.12
Значения частного коэффициента обеспеченности расчетной
скорости

, учитывающего влияние продольных уклонов
и видимость поверхности дороги при движении на спуск
┌───────────┬────────┬────┬─────┬─────┬─────┬────┬────┬────┬─────┐
│Продольный │Види- │0 - │21 - │31 - │41 - │51 -│61 -│71 -│более│
│уклон, о/оо│мость, м│ 20│ 30│ 40│ 50│ 60│ 70│ 80│80 │
├───────────┼────────┼────┼─────┼─────┼─────┼────┼────┼────┼─────┤
│Значения │ │ │ │ │ │ │ │ │ │
│К : │ │ │ │ │ │ │ │ │ │
│ РС4 │ │ │ │ │ │ │ │ │ │
│ при мокром│45 │0,40│0,39 │0,38 │0,37 │0,36│0,33│0,30│0,25 │
│чистом │55 │0,45│0,44 │0,44 │0,44 │0,43│0,41│0,40│0,30 │
│покрытии │75 │0,54│0,52 │0,51 │0,51 │0,50│0,47│0,45│0,40 │
│ │85 │0,58│0,56 │0,55 │0,55 │0,54│0,52│0,50│0,45 │
│ │100 │0,65│0,62 │0,61 │0,61 │0,60│0,58│0,55│0,50 │
│ │150 │0,75│0,72 │0,71 │0,71 │0,70│0,67│0,65│0,60 │
│ │200 │0,85│0,83 │0,81 │0,81 │0,80│0,77│0,75│0,70 │
│ │250 │0,92│0,90 │0,88 │0,87 │0,86│0,82│0,80│0,75 │
│ │300 │1,00│0,97 │0,96 │0,94 │0,92│0,86│0,85│0,80 │
│ │более │1,25│1,10 │1,05 │1,00 │0,95│0,90│0,87│0,82 │
│ │300 │ │ │ │ │ │ │ │ │
│ при мокром│55 │0,40│0,39 │0,38 │0,38 │0,38│0,35│0,30│0,20 │
│загряз- │75 │0,48│0,46 │0,45 │0,45 │0,44│0,40│0,35│0,25 │
│ненном │85 │0,52│0,50 │0,48 │0,47 │0,47│0,44│0,40│0,30 │
│покрытии │100 │0,58│0,55 │0,54 │0,53 │0,52│0,50│0,45│0,35 │
│ │150 │0,68│0,65 │0,63 │0,62 │0,61│0,55│0,50│0,40 │
│ │200 │0,78│0,75 │0,73 │0,72 │0,71│0,65│0,60│0,50 │
│ │250 │0,85│0,82 │0,79 │0,76 │0,72│0,70│0,65│0,55 │
│ │300 │0,93│0,89 │0,85 │0,84 │0,83│0,80│0,70│0,60 │
│ │более │1,10│1,05 │1,00 │0,95 │0,90│0,85│0,80│0,70 │
│ │300 │ │ │ │ │ │ │ │ │
└───────────┴────────┴────┴─────┴─────┴─────┴────┴────┴────┴─────┘
Частный коэффициент

принимают для мокрого чистого покрытия на участках, где ширина укрепленной обочины из асфальтобетона, цементобетона или из материалов, обработанных вяжущими, вместе с краевой укрепленной полосой составляет 1,5 м и более. На других участках значения

принимают для мокрого загрязненного покрытия.
На каждом участке из двух значений

(одно для движения на подъем, другое - на спуск) выбирают меньшее и заносят в линейный график.
5.4.14. Частный коэффициент

определяют по величине радиуса кривой в плане и уклона виража по табл. 5.13 для расчетного состояния поверхности дороги в весенне-осенний период года, которое принимают с учетом типа и ширины укрепления обочин, как это указано в
п. 5.4.13.
Таблица 5.13
Значения частного коэффициента обеспеченности расчетной
скорости

, учитывающего влияние радиуса кривых
в плане и поперечного уклона виража
┌─────────┬──────────────────────────────────────────────────────┐
│Попереч- │ Коэффициент обеспеченности расчетной скорости К │
│ный уклон│ РС5 │
│виража, │ при радиусе кривой в плане, м, равном: │
│о/оо ├────┬────┬────┬────┬────┬────┬────┬────┬────┬────┬────┤
│ │30 │60 │100 │150 │200 │300 │400 │600 │800 │1000│1500│
├─────────┴────┴────┴────┴────┴────┴────┴────┴────┴────┴────┴────┤
│ Состояние покрытия - мокрое, чистое │
├─────────┬────┬────┬────┬────┬────┬────┬────┬────┬────┬────┬────┤
│-20 │0,27│0,37│0,46│0,54│0,60│0,69│0,76│0,85│0,92│0,97│1,06│
├─────────┼────┼────┼────┼────┼────┼────┼────┼────┼────┼────┼────┤
│0 │0,28│0,38│0,47│0,55│0,62│0,71│0,78│0,89│0,96│1,01│1,11│
├─────────┼────┼────┼────┼────┼────┼────┼────┼────┼────┼────┼────┤
│20 │0,29│0,39│0,49│0,57│0,64│0,74│0,81│0,92│1,00│1,05│1,16│
├─────────┼────┼────┼────┼────┼────┼────┼────┼────┼────┼────┼────┤
│30 │0,29│0,40│0,49│0,58│0,65│0,75│0,83│0,94│1,02│1,08│1,18│
├─────────┼────┼────┼────┼────┼────┼────┼────┼────┼────┼────┼────┤
│40 │0,30│0,40│0,50│0,59│0,66│0,76│0,84│0,95│1,03│1,10│1,20│
├─────────┼────┼────┼────┼────┼────┼────┼────┼────┼────┼────┼────┤
│50 │0,30│0,41│0,51│0,60│0,67│0,77│0,85│0,97│1,05│1,12│1,23│
├─────────┼────┼────┼────┼────┼────┼────┼────┼────┼────┼────┼────┤
│60 │0,31│0,42│0,52│0,61│0,68│0,79│0,87│1,00│1,07│1,12│1,25│
├─────────┴────┴────┴────┴────┴────┴────┴────┴────┴────┴────┴────┤
│ Состояние покрытия - мокрое, загрязненное │
├─────────┬────┬────┬────┬────┬────┬────┬────┬────┬────┬────┬────┤
│-20 │0,23│0,31│0,38│0,45│0,50│0,59│0,65│0,74│0,80│0,85│0,94│
├─────────┼────┼────┼────┼────┼────┼────┼────┼────┼────┼────┼────┤
│0 │0,24│0,32│0,40│0,47│0,53│0,62│0,68│0,78│0,85│0,90│1,00│
├─────────┼────┼────┼────┼────┼────┼────┼────┼────┼────┼────┼────┤
│20 │0,25│0,34│0,42│0,50│0,56│0,65│0,72│0,82│0,90│0,95│1,06│
├─────────┼────┼────┼────┼────┼────┼────┼────┼────┼────┼────┼────┤
│30 │0,25│0,34│0,43│0,51│0,57│0,66│0,73│0,84│0,92│0,98│1,09│
├─────────┼────┼────┼────┼────┼────┼────┼────┼────┼────┼────┼────┤
│40 │0,26│0,35│0,44│0,52│0,58│0,68│0,75│0,86│0,94│1,00│1,12│
├─────────┼────┼────┼────┼────┼────┼────┼────┼────┼────┼────┼────┤
│50 │0,26│0,36│0,45│0,53│0,59│0,69│0,77│0,88│0,96│1,03│1,14│
├─────────┼────┼────┼────┼────┼────┼────┼────┼────┼────┼────┼────┤
│60 │0,27│0,36│0,45│0,54│0,60│0,71│0,78│0,90│1,00│1,05│1,17│
└─────────┴────┴────┴────┴────┴────┴────┴────┴────┴────┴────┴────┘
Примечание. Знак "-" соответствует обратному поперечному уклону проезжей части на кривой в плане.
В длину участка кривой в плане включают длину круговой и переходных кривых. Кроме того, при радиусах закругления 400 м и менее в длину участка включают зоны влияния по 50 м от начала и конца кривой. На кривых более 1500 м, а также в промежутках между смежными участками кривых в плане принимают

.
5.4.15. Частный коэффициент

определяют по величине суммы неровностей покрытия проезжей части (табл. 5.14). В расчет принимают худший из показателей ровности для различных полос на данном участке.
Таблица 5.14
Значения частного коэффициента обеспеченности расчетной
скорости

, учитывающего продольную ровность покрытия
┌───────────────┬─────────────────┬───────────────┬──────────────┐
│ Ровность по │ Значение К │ Ровность по │Значение К │
│ толчкомеру │ РС6 │ ПКРС-2, см/км │ РС6 │
│ ТХК-2, см/км │ │ │ │
├───────────────┼─────────────────┼───────────────┼──────────────┤
│ до 60 │ 1,25 │ до 300 │ 1,25 │
├───────────────┼─────────────────┼───────────────┼──────────────┤
│70 │1,15 │350 │1,20 │
├───────────────┼─────────────────┼───────────────┼──────────────┤
│80 │1,07 │400 │1,12 │
├───────────────┼─────────────────┼───────────────┼──────────────┤
│90 │0,96 │500 │0,98 │
├───────────────┼─────────────────┼───────────────┼──────────────┤
│100 │0,92 │600 │0,84 │
├───────────────┼─────────────────┼───────────────┼──────────────┤
│120 │0,75 │700 │0,72 │
├───────────────┼─────────────────┼───────────────┼──────────────┤
│140 │0,67 │800 │0,65 │
├───────────────┼─────────────────┼───────────────┼──────────────┤
│160 │0,63 │900 │0,59 │
├───────────────┼─────────────────┼───────────────┼──────────────┤
│200 │0,57 │1000 │0,55 │
├───────────────┼─────────────────┼───────────────┼──────────────┤
│250 │0,50 │1100 │0,51 │
├───────────────┼─────────────────┼───────────────┼──────────────┤
│300 │0,43 │1200 │0,43 │
├───────────────┼─────────────────┼───────────────┼──────────────┤
│350 │0,37 │1400 │0,33 │
├───────────────┼─────────────────┼───────────────┼──────────────┤
│400 │0,31 │1600 │0,28 │
├───────────────┼─────────────────┼───────────────┼──────────────┤
│450 │0,25 │1800 │0,24 │
├───────────────┼─────────────────┼───────────────┼──────────────┤
│более 500 │0,20 │2000 │0,20 │
└───────────────┴─────────────────┴───────────────┴──────────────┘
5.4.16. Частный коэффициент

определяют по измеренной величине коэффициента сцепления, при расстоянии видимости поверхности дороги, равном нормативному для данной категории дороги (табл. 5.15). В расчет принимают наиболее низкий из коэффициентов сцепления по полосам движения на данном участке.
Таблица 5.15
Значения частного коэффициента обеспеченности расчетной
скорости

, учитывающего влияние коэффициента
сцепления колеса с покрытием
┌─────────┬─────────────────────────────────────────────────────────┐
│Категория│ Значения К при коэффициенте сцепления дорожного │
│ дороги │ РС7 │
│ │ покрытия фи │
│ ├───────┬───────┬────────┬───────┬───────┬───────┬────────┤
│ │ 0,20 │ 0,25 │ 0,30 │ 0,35 │ 0,40 │ 0,45 │ 0,50 │
├─────────┼───────┼───────┼────────┼───────┼───────┼───────┼────────┤
│I-А │0,66 │0,72 │0,78 │0,83 │0,89 │0,94 │0,99 │
├─────────┼───────┼───────┼────────┼───────┼───────┼───────┼────────┤
│I-Б, II │0,62 │0,66 │0,73 │0,77 │0,83 │0,88 │0,92 │
├─────────┼───────┼───────┼────────┼───────┼───────┼───────┼────────┤
│III │0,59 │0,57 │0,69 │0,73 │0,77 │0,82 │0,86 │
├─────────┼───────┼───────┼────────┼───────┼───────┼───────┼────────┤
│IV │0,53 │0,51 │0,60 │0,64 │0,68 │0,71 │0,74 │
├─────────┼───────┼───────┼────────┼───────┼───────┼───────┼────────┤
│V │0,43 │0,41 │0,49 │0,51 │0,53 │0,56 │0,58 │
└─────────┴───────┴───────┴────────┴───────┴───────┴───────┴────────┘
Примечания. 1. Коэффициенты сцепления даны для скорости 60 км/ч, шины с рисунком и мокрого покрытия из цементобетона, асфальтобетона, а также из щебня и гравия, обработанных вяжущими.
2. При величинах коэффициентов сцепления более 0,50 принимают

.
5.4.17. Частный коэффициент

определяют в зависимости от состояния покрытия и прочности дорожной одежды только на тех участках, где визуально установлено наличие трещин, колейности, просадок или проломов, а коэффициент обеспеченности расчетной скорости по ровности меньше нормативного для данной категории дороги (

). Величину

определяют по формуле:

, (5.17)
где

- средневзвешенный показатель, учитывающий состояние покрытия и прочность дорожной одежды на однотипном участке.

, (5.18)
где

и

- соответствующие показатель и протяженность частных микроучастков i с практически одинаковым состоянием дорожной одежды;
n - количество частных микроучастков в составе однотипного участка.
Виды дефектов и их оценка в баллах и соответствующие значения показателя

для вычисления

даны в табл. 5.16.
Таблица 5.16
Значение показателя

, учитывающего состояние покрытия
и прочность дорожной одежды
┌────────────────────┬──────────┬────────────────────────────────┐
│ Вид дефекта │ Оценка в │ Значение показателя ро при │
│ │ баллах │ типе дорожных одежд │
│ │ ├────────┬──────────┬────────────┤
│ │ │Усовер- │Усовер- │ Переходные │
│ │ │шенство-│шенство- │ │
│ │ │ванные │ванные │ │
│ │ │капи- │облегчен- │ │
│ │ │тальные │ные │ │
├────────────────────┼──────────┼────────┼──────────┼────────────┤
│ 1 │ 2 │ 3 │ 4 │ 5 │
├────────────────────┼──────────┼────────┼──────────┼────────────┤
│ Без дефектов и │5,0 │1,0 │1,0 │1,0 │
│поперечные оди- │ │ │ │ │
│ночные трещины на │ │ │ │ │
│расстоянии более │ │ │ │ │
│40 м (для переходных│ │ │ │ │
│покрытий отсутствие │ │ │ │ │
│дефектов) │ │ │ │ │
├────────────────────┼──────────┼────────┼──────────┼────────────┤
│ Поперечные оди- │4,8 - 5,0 │0,95 - │1,0 │0,9 - 1,0 │
│ночные трещины (для │ │ 1,0│ │ │
│переходных покрытий │ │ │ │ │
│отдельные выбоины) │ │ │ │ │
│на расстоянии 20 - │ │ │ │ │
│40 м между трещинами│ │ │ │ │
├────────────────────┼──────────┼────────┼──────────┼────────────┤
│ То же на рас- │4,5 - 4,8 │0,90 - │0,95 - 1,0│0,80 - 0,90 │
│стоянии 10 - 20 м │ │ 0,95│ │ │
├────────────────────┼──────────┼────────┼──────────┼────────────┤
│ Поперечные редкие │4,0 - 4,5 │0,85 - │0,90 - │0,70 - 0,80 │
│трещины (для │ │ 0,90│ 0,95│ │
│переходных покрытий │ │ │ │ │
│выбоины) на │ │ │ │ │
│расстоянии 8 - 10 м │ │ │ │ │
├────────────────────┼──────────┼────────┼──────────┼────────────┤
│ То же 6 - 8 м │3,8 - 4,0 │0,80 - │0,85 - │0,55 - 0,70 │
│ │(3,0 - │ 0,85│ 0,90│ │
├────────────────────┼──────────┼────────┼──────────┼────────────┤
│ То же 4 - 6 м │3,5 - 3,8 │0,78 - │0,83 - │0,42 - 0,55 │
│ │(2,0 - │ 0,80│ 0,85│ │
├────────────────────┼──────────┼────────┼──────────┼────────────┤
│ Поперечные частые │3,0 - 3,5 │0,75 - │0,80 - │- │
│трещины на расстоя- │ │ 0,78│ 0,83│ │
│нии между соседними │ │ │ │ │
│трещинами 3 - 4 м │ │ │ │ │
├────────────────────┼──────────┼────────┼──────────┼────────────┤
│ То же 2 - 3 м │2,8 - 3,0 │0,70 - │0,75 - │- │
│ │ │ 0,75│ 0,80│ │
├────────────────────┼──────────┼────────┼──────────┼────────────┤
│ То же 1 - 2 м │2,5 - 2,8 │0,65 - │0,70 - │- │
│ │ │ 0,70│ 0,75│ │
├────────────────────┼──────────┼────────┼──────────┼────────────┤
│ Продольная цент- │4,5 │0,90 │0,95 │- │
│ральная трещина │ │ │ │ │
├────────────────────┼──────────┼────────┼──────────┼────────────┤
│ Продольные боковые│3,5 │0,90 │0,85 │- │
│трещины │ │ │ │ │
├────────────────────┼──────────┼────────┼──────────┼────────────┤
│ Одиночная сетка │3,0 │0,75 │0,80 │- │
│трещин на площади до│ │ │ │ │
│10 м2 с крупными │ │ │ │ │
│ячейками (сторона │ │ │ │ │
│ячейки более 0,5 м) │ │ │ │ │
├────────────────────┼──────────┼────────┼──────────┼────────────┤
│ Одиночная сетка │2,5 │0,65 │0,70 │ │
│трещин на площади до│ │ │ │ │
│10 м2 с мелкими │ │ │ │ │
│ячейками (сторона │ │ │ │ │
│ячейки менее 0,5 м) │ │ │ │ │
├────────────────────┼──────────┼────────┼──────────┼────────────┤
│ Густая сетка │2,0 │0,60 │0,65 │ │
│трещин на площади │ │ │ │ │
│до 10 м2 │ │ │ │ │
├────────────────────┼──────────┼────────┼──────────┼────────────┤
│ Сетка трещин на │2,0 - 2,5 │0,60 - │0,65 - │- │
│площади более │ │ 0,65│ 0,70│ │
│10 м2 при относи- │ │ │ │ │
│тельной площади, │ │ │ │ │
│занимаемой сеткой, │ │ │ │ │
│30 - 10% │ │ │ │ │
├────────────────────┼──────────┼────────┼──────────┼────────────┤
│ То же 60 - 30% │1,8 - 2,0 │0,55 - │0,60 - │- │
│ │ │ 0,60│ 0,65│ │
├────────────────────┼──────────┼────────┼──────────┼────────────┤
│ То же 90 - 60% │1,5 - 1,8 │0,50 - │0,55 - │- │
│ │ │ 0,55│ 0,60│ │
├────────────────────┼──────────┼────────┼──────────┼────────────┤
│ Колейность при │5,0 │1,0 │1,0 │1,0 │
│средней глубине │ │ │ │ │
│колеи до 10 мм │ │ │ │ │
├────────────────────┼──────────┼────────┼──────────┼────────────┤
│ То же 10 - 20 мм │4,0 - 5,0 │0,85 - │0,90 - 1,0│0,70 - 1,0 │
│ │ │ 1,0│ │ │
├────────────────────┼──────────┼────────┼──────────┼────────────┤
│ То же 20 - 30 мм │3,0 - 4,0 │0,75 - │0,80 - │0,65 - 0,70 │
│ │ │ 0,85│ 0,90│ │
├────────────────────┼──────────┼────────┼──────────┼────────────┤
│ То же 30 - 40 мм │2,5 - 3,0 │0,65 - │0,70 - │0,60 - 0,65 │
│ │ │ 0,75│ 0,80│ │
├────────────────────┼──────────┼────────┼──────────┼────────────┤
│ То же 40 - 50 мм │2,0 - 2,5 │0,60 - │0,65 - │0,55 - 0,60 │
│ │ │ 0,65│ 0,70│ │
├────────────────────┼──────────┼────────┼──────────┼────────────┤
│ То же 50 - 70 мм │1,8 - 2,0 │0,55 - │0,60 - │0,50 - 0,55 │
│ │ │ 0,60│ 0,65│ │
├────────────────────┼──────────┼────────┼──────────┼────────────┤
│ То же более 70 мм │1,5 │0,50 │0,55 │0,45 │
├────────────────────┼──────────┼────────┼──────────┼────────────┤
│ Просадки (пучины) │1,0 - 1,5 │0,45 - │0,50 - │0,35 - 0,40 │
│при относительной │ │ 0,50│ 0,55│ │
│площади просадок │ │ │ │ │
│20 - 10% │ │ │ │ │
├────────────────────┼──────────┼────────┼──────────┼────────────┤
│ То же 50 - 20% │0,8 - 1,0 │0,40 - │0,45 - │0,30 - 0,35 │
│ │ │ 0,45│ 0,50│ │
├────────────────────┼──────────┼────────┼──────────┼────────────┤
│ То же более 50% │0,5 │0,35 │0,40 │0,25 │
├────────────────────┼──────────┼────────┼──────────┼────────────┤
│ Проломы дорожной │1,0 - 1,5 │0,45 - │0,50 - │0,35 - 0,40 │
│одежды (вскрывшиеся │ │ 0,50│ 0,55│ │
│пучины) при │ │ │ │ │
│относительной │ │ │ │ │
│площади, занимаемой │ │ │ │ │
│проломами, 10 - 5% │ │ │ │ │
├────────────────────┼──────────┼────────┼──────────┼────────────┤
│ То же 30 - 10% │0,8 - 1,0 │0,40 - │0,45 - │0,30 - 0,35 │
│ │ │ 0,45│ 0,50│ │
├────────────────────┼──────────┼────────┼──────────┼────────────┤
│ То же более 30% │0,5 - 0,8 │0,35 - │0,40 - │0,25 - 0,30 │
│ │ │ 0,40│ 0,45│ │
├────────────────────┼──────────┼────────┼──────────┼────────────┤
│ Одиночные выбоины │4,0 - 5,0 │0,85 - │0,90 - │- │
│на покрытиях, │ │ 1,0│ 1,0│ │
│содержащих орга- │ │ │ │ │
│ническое вяжущее │ │ │ │ │
│(расстояние между │ │ │ │ │
│выбоинами более │ │ │ │ │
│20 м) │ │ │ │ │
├────────────────────┼──────────┼────────┼──────────┼────────────┤
│ Отдельные выбоины │3,0 - 4,0 │0,75 - │0,80 - │- │
│на покрытиях, содер-│ │ 0,85│ 0,90│ │
│жащих органическое │ │ │ │ │
│вяжущее (расстояние │ │ │ │ │
│между выбоинами │ │ │ │ │
│10 - 20 м) │ │ │ │ │
├────────────────────┼──────────┼────────┼──────────┼────────────┤
│ Редкие выбоины в │2,5 - 3,0 │0,65 - │0,70 - │- │
│тех же случаях (рас-│ │ 0,75│ 0,80│ │
│стояние 4 - 10 м) │ │ │ │ │
├────────────────────┼──────────┼────────┼──────────┼────────────┤
│ Частые выбоины в │2,0 - 2,5 │0,60 - │0,65 - │- │
│тех же случаях │ │ 0,65│ 0,70│ │
│(расстояние 1 - 4 м)│ │ │ │ │
├────────────────────┼──────────┼────────┼──────────┼────────────┤
│ Карты заделанных │3,0 │0,75 │0,80 │- │
│выбоин, залитые │ │ │ │ │
│трещины │ │ │ │ │
├────────────────────┼──────────┼────────┼──────────┼────────────┤
│ Поперечные волны, │2,0 - 3,0 │0,60 - │0,65 - │0,42 - 0,55 │
│сдвиги │ │ 0,75│ 0,80│ │
├────────────────────┼──────────┼────────┼──────────┼────────────┤
│ Шелушение, │- │- │- │- │
│выкрашивание <**> │ │ │ │ │
├────────────────────┼──────────┼────────┼──────────┼────────────┤
│ Разрушение попе- │- │- │- │- │
│речных и продольных │ │ │ │ │
│швов <***> │ │ │ │ │
├────────────────────┼──────────┼────────┼──────────┼────────────┤
│ Ступеньки в │- │- │- │- │
│швах <***> │ │ │ │ │
├────────────────────┼──────────┼────────┼──────────┼────────────┤
│ Перекос плит <***>│- │- │- │- │
├────────────────────┼──────────┼────────┼──────────┼────────────┤
│ Скол углов плит │- │- │- │- │
│<***> │ │ │ │ │
└────────────────────┴──────────┴────────┴──────────┴────────────┘
<*> Дорожные одежды переходного типа.
<**> На прочность нежестких одежд влияет мало.
<***> Характерно для цементобетонных покрытий.
5.4.18. Частный коэффициент

определяют в зависимости от величины параметров колеи в соответствии с табл. 5.17.
Таблица 5.17
Значения частного коэффициента обеспеченности расчетной
скорости

, учитывающего ровность в поперечном направлении
┌────────────────────────────────────────────────┬───────────────┐
│ Параметры колеи │ Значения К │
├───────────────────────┬────────────────────────┤ РС9 │
│ Глубина колеи под │ Общая глубина колеи │ │
│ уложенной на выпоры │ относительно правого │ │
│ рейкой, мм │ выпора, мм │ │
├───────────────────────┼────────────────────────┼───────────────┤
│ <= 4 │ 0 │ 1,25 │
├───────────────────────┼────────────────────────┼───────────────┤
│ 7 │ 3 │ 1,0 │
├───────────────────────┼────────────────────────┼───────────────┤
│ 9 │ 4 │ 0,9 │
├───────────────────────┼────────────────────────┼───────────────┤
│ 12 │ 6 │ 0,83 │
├───────────────────────┼────────────────────────┼───────────────┤
│ 17 │ 9 │ 0,75 │
├───────────────────────┼────────────────────────┼───────────────┤
│ 27 │ 15 │ 0,67 │
├───────────────────────┼────────────────────────┼───────────────┤
│ 45 │ 28 │ 0,58 │
├───────────────────────┼────────────────────────┼───────────────┤
│ >= 83 │ >= 56 │ 0,5 │
└───────────────────────┴────────────────────────┴───────────────┘
5.4.19. Частный коэффициент

определяют на основе сведений о дорожно-транспортных происшествиях (ДТП) по величине коэффициента относительной аварийности. В качестве характерных по безопасности движения выделяют отрезки дороги длиной по 1 км, на которых за последние 3 года произошли ДТП. Для каждого такого участка вычисляют относительный коэффициент аварийности по формуле:

, ДТП/1 млн. авт. км, (5.19)
где ДТП - число ДТП за последние n лет (n = 3 года);
N - среднегодовая суточная интенсивность движения, авт./сут.
В порядке исключения при отсутствии сведений за предыдущий период допускается определять величину И по данным о ДТП за последний год.
Значения

определяют по табл. 5.18. При наличии хотя бы одного ДТП по причине неудовлетворительных дорожных условий величину

для данного километра принимают в два раза меньше указанной в табл. 5.18. Это снижение аннулируется после выполнения работ по устранению недостатков дороги, послуживших причиной ДТП, и не учитывается, если к моменту оценки указанные работы были выполнены. На участках, где за оцениваемый период ДТП не зафиксировано, значения

принимают равными

.
Таблица 5.18
Значения частного коэффициента обеспеченности расчетной
скорости

, учитывающего безопасность движения
┌────────────┬────┬──────┬──────┬──────┬──────┬──────┬──────┬──────┬─────┐
│Значения │0 - │0,21 -│0,31 -│0,51 -│0,71 -│0,91 -│1,01 -│1,26 -│более│
│коэффициента│ 0,2│ 0,3│ 0,5│ 0,7│ 0,9│ 1,0│ 1,25│ 1,5│1,5 │
│относитель- │ │ │ │ │ │ │ │ │ │
│ной аварий- │ │ │ │ │ │ │ │ │ │
│ности, │ │ │ │ │ │ │ │ │ │
│ДТП/1 млн. │ │ │ │ │ │ │ │ │ │
│авт. км │ │ │ │ │ │ │ │ │ │
├────────────┼────┼──────┼──────┼──────┼──────┼──────┼──────┼──────┼─────┤
│Значение │1,25│1,0 │0,85 │0,7 │0,6 │0,5 │0,4 │0,3 │0,2 │
│К │ │ │ │ │ │ │ │ │ │
│ РС10 │ │ │ │ │ │ │ │ │ │
└────────────┴────┴──────┴──────┴──────┴──────┴──────┴──────┴──────┴─────┘
5.4.20. Прирост показателя транспортно-эксплуатационного состояния дороги вычисляют по формуле:

, (5.20)
где

и

- показатели транспортно-эксплуатационного состояния дороги на начало и конец рассматриваемого периода.
Результаты расчетов заносят в карточку оценки транспортно-эксплуатационного состояния автомобильной дороги (участка дороги), форма которой приведена в табл. 5.19.
Таблица 5.19
Карточка оценки транспортно-эксплуатационного состояния
автомобильной дороги (ТЭС АД) (участка дороги)
__________________________________________________________________
(наименование автомобильной дороги, участка)
протяженность _____ км, _________________________________ значения
(федер., территор., мест.)
категория дороги ______________ ; тип покрытия ___________________
Нормативное и предельно допустимое значение комплексного
показателя

= __________ ;

= __________________________.
┌──────┬─────────┬────────┬─────────────┬─────────────┬──────────┐
│ Дата │Пока- │Прирост │Протяженность│Протяженность│Подпись │
│оценки│затель │показа- │ участков с │ участков с │ответ- │
│ │КП │теля │ показателем │ показателем │ственного │
│ │ Д │качест- │ меньше │ меньше │за оценку │
│ │ │ва +/- │нормативного │ предельно │качества │
│ │ │Дельта │ │ допустимого │или прове-│
│ │ │КП ├─────┬───────┼────┬────────┤ряющего │
│ │ │ Д │км │доля, %│км │доля от │ │
│ │ │ │ │ │ │общей │ │
│ │ │ │ │ │ │длины, %│ │
├──────┼─────────┼────────┼─────┼───────┼────┼────────┼──────────┤
│ 1 │ 2 │ 3 │ 4 │ 5 │ 6 │ 7 │ 8 │
├──────┼─────────┼────────┼─────┼───────┼────┼────────┼──────────┤
│ │ │ │ │ │ │ │ │
└──────┴─────────┴────────┴─────┴───────┴────┴────────┴──────────┘
Карточку транспортно-эксплуатационного состояния сети автомобильных дорог составляют в форме табл. 5.20.
Таблица 5.20
Карточка оценки транспортно-эксплуатационного состояния
сети автомобильных дорог (ТЭС АД)
Протяженность сети дорог ___________ км.
Нормативное значение комплексного показателя

= _________________
┌────────┬────────┬───────┬─────────────┬─────────────┬──────────┐
│ Дата │Пока- │Прирост│Протяженность│Протяженность│Подпись │
│ оценки │затель │показа-│ участков с │ участков с │ответ- │
│ │КП │теля │ показателем │ показателем │ственного │
│ │ ФС │качест-│ меньше │ меньше │за оценку │
│ │ │ва +/- │нормативного │ предельно │качества │
│ │ │Дельта │ │ допустимого │или прове-│
│ │ │КП ├─────┬───────┼────┬────────┤ряющего │
│ │ │ ФС │ км │доля, %│ км │доля от │ │
│ │ │ │ │ │ │общей │ │
│ │ │ │ │ │ │длины, %│ │
├────────┼────────┼───────┼─────┼───────┼────┼────────┼──────────┤
│ 1 │ 2 │ 3 │ 4 │ 5 │ 6 │ 7 │ 8 │
├────────┼────────┼───────┼─────┼───────┼────┼────────┼──────────┤
│ │ │ │ │ │ │ │ │
└────────┴────────┴───────┴─────┴───────┴────┴────────┴──────────┘
5.5. Определение показателя инженерного
оборудования и обустройства
5.5.1. Показатель инженерного оборудования и обустройства дороги (

) определяют по величине итогового коэффициента дефектности соответствия инженерного оборудования и обустройства дороги (

).
Под дефектностью соответствия понимают отсутствие, недостаточное количество или несоответствие нормативным требованиям к параметрам, конструкции и размещению элементов инженерного оборудования и обустройства дорог.
5.5.2. Показатель инженерного оборудования и обустройства дороги

вычисляют для всей дороги установленной категории или каждого участка дороги, если дорога состоит из участков разных категорий.
5.5.3. Итоговый коэффициент дефектности соответствия инженерного оборудования и обустройства определяют по результатам обследования дорог по формулам:

, (5.21)

, (5.22)
где

- частный коэффициент дефектности соответствия, учитывающего количество и частоту расположения площадок отдыха и видовых площадок, функциональное влияние которых распространяется на значительную протяженность дороги. Значение

вычисляют для всей дороги или для каждого участка данной категории, если дорога состоит из участков разных категорий;

- частные коэффициенты дефектности соответствия элементов инженерного оборудования, функциональное влияние которых распространяется на локальный отрезок дороги (пересечения и примыкания, въезды и переезды, автобусные остановки, ограждения, тротуары и пешеходные дорожки в населенных пунктах, дорожная разметка, освещение, дорожные знаки). Их значения вычисляют для каждого километрового участка дороги.
5.5.4. Частный коэффициент

определяют по наличию и соответствию требованиям нормативных документов (
п. 10.11 СНиП 2.05.02-85) площадок отдыха, включая видовые площадки, по формуле:

, (5.23)
где

- нормативное расстояние между площадками отдыха, км;

- фактическое количество площадок отдыха на данной дороге, соответствующих требованиям;
L - длина дороги или участка дороги, км.
В том случае, когда фактическое количество площадок отдыха, включая видовые площадки, превышает нормативное, т.е. произведение

, принимают значение

= 0.
5.5.5. Частный коэффициент

определяют по соответствию требованиям
п. 5.1 -
5.18 СНиП 2.05.02-85 параметров пересечений и примыканий автомобильных дорог в одном и разном уровнях, а также пересечений автомобильных дорог с железными дорогами по формуле:

, (5.24)
где N - количество пересечений и примыканий, въездов и переездов на данном километре дороги;

- то же, соответствующих требованиям норм.
В число учитываемых при оценке не входят пересечения с улицами и въездами во дворы в населенных пунктах, а также неорганизованные съезды и переезды.
При отсутствии пересечений и примыканий на данном километре дороги принимают значение

= 0.
5.5.6. Частный коэффициент

определяют по соответствию требованиям
п. 10.8 и
10.9 СНиП 2.05.02-85 параметров автобусных остановок на данном километре дороги. Вычисления проводят аналогично

по
формуле (5.22).
5.5.7. Частный коэффициент

определяют по наличию и соответствию требованиям
п. 9.3,
9.4 и
9.9 СНиП 2.05.02-85 и
п. 5.1 и
5.2 ГОСТ 23457-86 дорожных ограждений на каждом километре дороги:

, (5.25)
где

- требуемая по нормам протяженность ограждений в одну линию на данном километровом участке дороги, м;

- фактическое протяжение ограждений в одну линию, м.
В том случае, когда фактическое протяжение ограждений больше требуемого, а также на участках, где по нормам не требуется установка ограждений, принимают величину

= 0.
| | ИС МЕГАНОРМ: примечание. В официальном тексте документа, видимо, допущена опечатка: имеются в виду подпункты 10.2.3 и 10.2.4, а не 10.23 и 10.24 ВСН 25-86. | |
5.5.8. Частный коэффициент

определяют по наличию и соответствию требованиям
п. 4.37 -
4.39 СНиП 2.05.02-85 и
п. 10.23 -
10.24 ВСН 25-86 параметров тротуаров и пешеходных дорожек вдоль дороги в населенных пунктах. Расчет коэффициента

производят так же, как и коэффициента

.
5.5.9. Частный коэффициент

определяют по наличию в однорядном исчислении и соответствию утвержденной схеме нанесения и требованиям ГОСТ 51256-99 и
ГОСТ 23457 дорожной разметки. Расчет коэффициента

производят так же, как и коэффициента

.
5.5.10. Частный коэффициент

определяют по соответствию требованиям
п. 2.5 -
2.7 СНиП 2.05.02-85 к размещению и пригодности к работе элементов освещения в однорядном исчислении. Расчет коэффициента

производят так же, как и коэффициента

.
5.5.11. Частный коэффициент

определяют по наличию и соответствию утвержденной схеме дислокации и требованиям
ГОСТ 10807 и
ГОСТ 23457 дорожных знаков, находящихся в исправном состоянии на каждом километре. При полной комплектации и рабочем состоянии всех дорожных знаков

= 0. При отклонении по количеству или требуемому состоянию до 10% дорожных знаков принимают

= 0,1; 20% - 0,2 и т.д.
5.5.12. Итоговый коэффициент дефектности соответствия инженерного оборудования и обустройства

определяют для каждого километра дороги. Вначале определяют значение коэффициента дефектности площадок отдыха и видовых площадок

по
формуле (5.23) и принимают его для всей дороги или участка дороги. К этому значению на каждом километре добавляют значения дефектности по локальным элементам инженерного оборудования

, вычисленные по
формуле (5.24) и по
формуле (5.25), получают итоговое значение коэффициента дефектности инженерного оборудования и обустройства

на каждом километре.
Значения показателя инженерного оборудования и обустройства дороги (

) на каждом километре принимают в зависимости от величины

в соответствии с табл. 5.21 и заносят в линейный график оценки качества автомобильной дороги.
Таблица 5.21
Значения показателя инженерного оборудования и обустройства
┌────────────┬───────────────────────────────────────────────────┐
│Коэффициент │ Значение показателя инженерного оборудования и │
│дефектности │ обустройства К , для категорий дорог │
│соответствия│ ОБ │
│ Д ├─────────────────┬────────────────┬────────────────┤
│ И.О │ I-А, I-Б, II │ III │ IV - V │
├────────────┼─────────────────┼────────────────┼────────────────┤
│ 0 │ 1,0 │ 1,0 │ 1,0 │
│ 0,1 │ 0,99 │ 0,99 │ 1,0 │
│ 0,2 │ 0,98 │ 0,98 │ 0,99 │
│ 0,3 │ 0,97 │ 0,98 │ 0,98 │
│ 0,4 │ 0,96 │ 0,97 │ 0,98 │
│ 0,5 │ 0,95 │ 0,96 │ 0,97 │
│ 0,6 │ 0,94 │ 0,96 │ 0,97 │
│ 0,7 │ 0,93 │ 0,95 │ 0,96 │
│ 0,8 │ 0,92 │ 0,94 │ 0,96 │
│ 0,9 │ 0,91 │ 0,94 │ 0,95 │
│ 1,0 │ 0,90 │ 0,93 │ 0,95 │
└────────────┴─────────────────┴────────────────┴────────────────┘
5.6. Определение показателя уровня эксплуатационного
содержания автомобильной дороги
5.6.1. Значение показателя уровня эксплуатационного содержания

вычисляют на основании результатов оценки фактического уровня содержания дороги за последние 9 - 12 месяцев, проведенной в соответствии с "Временным
руководством по оценке уровня содержания автомобильных дорог", утвержденным ФДС России 26.11.1997 г.
5.6.2. Результаты ежемесячной оценки фактического уровня содержания, выполняемой комиссией в соответствии с "Руководством", оформляются в виде Акта проверки (Приложение 7 "Руководства") и содержат оценку фактического уровня содержания на каждом участке дороги с разделением на три уровня: "допустимый", "средний", "высокий".
В процессе диагностики необходимо получить у организации, которая содержит дорогу, или у Заказчика копии заполненных и подписанных актов ежемесячной оценки фактического уровня содержания за предыдущие 9 - 12 месяцев.
5.6.3. Для последующей обработки каждому уровню содержания присваивается балл: допустимый - 3; средний - 4; высокий - 5. Вводится условно еще один уровень содержания "ниже допустимого", которому присваивается балл - 2.
После этого составляется таблица исходных данных и определяется показатель среднего уровня содержания в баллах Б. Форма и пример ее заполнения приведены в табл. 5.22.
Таблица 5.22
Пример определения среднего уровня фактического
содержания дороги (название) в баллах, Б
┌───┬─────────┬─────────────────────────────────────────────┬────┐
│ N │ Участок │ Оценка уровня содержания в баллах за │ Б │
│п/п│дороги от│ предыдущие месяцы │ │
│ │км ... до├────┬──┬───┬──┬───┬───┬──┬────┬───┬──┬───┬───┤ │
│ │ км ... │VIII│IX│ X │XI│XII│ I │II│III │ IV│V │ VI│VII│ │
├───┼─────────┼────┼──┼───┼──┼───┼───┼──┼────┼───┼──┼───┼───┼────┤
│ 1 │от пункта│ 4 │3 │ 5 │4 │ 3 │ 4 │4 │ 4 │ 4 │5 │ 4 │ 5 │4,09│
│ │ А до │ │ │ │ │ │ │ │ │ │ │ │ │ │
│ │ пункта В│ │ │ │ │ │ │ │ │ │ │ │ │ │
├───┼─────────┼────┼──┼───┼──┼───┼───┼──┼────┼───┼──┼───┼───┼────┤
│ 2 │от пункта│ 4 │3 │ 4 │4 │ 3 │ 3 │3 │ - │ 2 │4 │ 4 │ 4 │3,45│
│ │ В до │ │ │ │ │ │ │ │ │ │ │ │ │ │
│ │ пункта С│ │ │ │ │ │ │ │ │ │ │ │ │ │
└───┴─────────┴────┴──┴───┴──┴───┴───┴──┴────┴───┴──┴───┴───┴────┘
5.6.4. Значения балльной оценки переводятся в значения уровня эксплуатационного содержания

по табл. 5.23.
Таблица 5.23
Значения показателя уровня содержания
┌───────────┬───┬────┬────┬────┬────┬───┬────┬────┬────┬────┬────┐
│Значение │3,0│3,2 │3,4 │3,6 │3,8 │4,0│4,2 │4,4 │4,6 │4,8 │5,0 │
│оценки │ │ │ │ │ │ │ │ │ │ │ │
│содержания │ │ │ │ │ │ │ │ │ │ │ │
│в баллах, Б│ │ │ │ │ │ │ │ │ │ │ │
├───────────┼───┼────┼────┼────┼────┼───┼────┼────┼────┼────┼────┤
│Показатель │0,9│0,92│0,94│0,96│0,98│1,0│1,02│1,04│1,06│1,08│1,10│
│уровня │ │ │ │ │ │ │ │ │ │ │ │
│эксплуа- │ │ │ │ │ │ │ │ │ │ │ │
│тационного │ │ │ │ │ │ │ │ │ │ │ │
│содержания,│ │ │ │ │ │ │ │ │ │ │ │
│К │ │ │ │ │ │ │ │ │ │ │ │
│ Э │ │ │ │ │ │ │ │ │ │ │ │
└───────────┴───┴────┴────┴────┴────┴───┴────┴────┴────┴────┴────┘
5.6.5. При оценке качества проекта, а также в момент сдачи дороги в эксплуатацию после строительства, реконструкции или ремонта показатель уровня эксплуатационного содержания

не вычисляют, а принимают равным единице (

= 1,0).
5.7. Сводные результаты оценки технического уровня
и эксплуатационного состояния автомобильных дорог
5.7.1. Общую оценку качества и состояния автомобильной дороги выполняют:
после завершения работ по диагностике для выявления степени соответствия фактического состояния дороги нормативным требованиям по потребительским свойствам и назначения мероприятий по ремонту или реконструкции дороги;
после разработки плана мероприятий по ремонту или реконструкции дороги или сети дорог для определения ожидаемого уровня транспортно-эксплуатационного состояния, сравнения его с нормативами и расчета ожидаемой эффективности намеченных мероприятий;
ежегодно после окончания ремонтно-строительного сезона или сразу после окончания работ по ремонту или реконструкции для оценки фактического состояния и фактической динамики его изменения в результате выполненных работ, а также оценки их эффективности и составления плана дальнейших действий.
5.7.2. Величину обобщенного показателя качества и состояния каждой дороги (участка дороги) определяют по
формуле (5.1). Степень соответствия фактически обеспеченных всей дорогой транспортно-эксплуатационных показателей или потребительских свойств (

) нормативным требованиям оценивают по относительному показателю качества дороги:

. (5.26)
Дорога полностью соответствует нормативным требованиям, когда

> 1.
5.7.3. Прирост обобщенного показателя качества дороги вычисляют по формуле:

, (5.27)
где

и

- обобщенные показатели качества дороги на начало и конец рассматриваемого периода.
Результаты расчетов заносят в карточку оценки качества автомобильной дороги (участка дороги), форма которой приведена в табл. 5.24.
Таблица 5.24
Карточка оценки качества и состояния автомобильной дороги
(участка дороги)
___________________________________________________________________
(наименование автомобильной дороги, участка)
протяженность__________км, _______________________________ значения
(федер., территор., мест.)
категория дороги_______________; тип покрытия______________________
Нормативное и предельно допустимое значение комплексного показателя

= ___________;

= ______________
┌─────┬─────────┬───────┬─────────────┬─────────────┬────────────┐
│Дата │Обоб- │Прирост│Протяженность│Протяженность│Подпись │
│оцен-│щенный │показа-│ участков с │ участков с │ответствен- │
│ки │пока- │теля │ показателем │ показателем │ного за │
│ │затель │качест-│ качества │ качества │оценку │
│ │качест- │ва +/- │ меньше │ меньше │качества или│
│ │ва │Дельта │нормативного │ предельно │проверяющего│
│ │дороги П │П │ │ допустимого │ │
│ │ Д│ Д ├─────┬───────┼────┬────────┤ │
│ │ │ │ км │доля, %│ км │доля от │ │
│ │ │ │ │ │ │общей │ │
│ │ │ │ │ │ │длины, %│ │
├─────┼─────────┼───────┼─────┼───────┼────┼────────┼────────────┤
│ 1 │ 2 │ 3 │ 4 │ 5 │ 6 │ 7 │ 8 │
├─────┼─────────┼───────┼─────┼───────┼────┼────────┼────────────┤
│ │ │ │ │ │ │ │ │
└─────┴─────────┴───────┴─────┴───────┴────┴────────┴────────────┘
5.7.4. Обобщенный показатель качества и состояния дорожной сети определяют по формуле:

, (5.28)
| | ИС МЕГАНОРМ: примечание. В официальном тексте документа, видимо, допущена опечатка: п. 5.1.19 отсутствует. Вероятно, речь идет о п. 5.3.2д. | |
где

- значение фактического комплексного показателя состояния сети автомобильных дорог, вычисленное в соответствии с
п. 5.1.19;

- средневзвешенное значение показателя инженерного оборудования и обустройства;

- средневзвешенное значение показателя уровня эксплуатационного содержания.
5.7.5. Средневзвешенное значение показателя инженерного оборудования и обустройства сети дорог определяют по формуле:

, (5.29)
где

- значение показателя инженерного оборудования и обустройства для каждой i-ой дороги;

- длина каждой дороги;
L - общая протяженность сети дорог, км;
n - количество дорог.
5.7.6. Средневзвешенное значение показателя уровня эксплуатационного содержания сети дорог определяют по формуле:

, (5.30)
где

- значение показателя уровня эксплуатационного содержания для каждой i-ой дороги.
5.7.7. Показатель качества и состояния дорожной сети по отношению к нормативным требованиям определяют по формуле:

, (5.31)
где

- средняя величина нормативного комплексного показателя транспортно-эксплуатационного состояния сети дорог (см.
п. 5.3.2).
Сеть дорог полностью соответствует требованиям к качеству, когда

.
5.7.8. Прирост обобщенного показателя качества и состояния дорожной сети вычисляют по формуле:

. (5.32)
Результаты расчетов заносят в карточку оценки качества сети автомобильных дорог, обслуживаемых автодором, упрдором, ДРСУ и т.д. (табл. 5.25).
Таблица 5.25
Карточка оценки качества и состояния
сети автомобильных дорог
__________________________________________________________________
(название автодора, ДРСУ и т.д.)
Протяженностью _________ км
Нормативное и предельно допустимое значение комплексного показателя

= _____________;

= __________________.
┌──────┬────────┬─────────┬───────────────┬───────────────┬──────────┐
│Дата │Обоб- │Прирост │ Протяженность │ Протяженность │Подпись │
│оцен- │щенный │показа- │ участков с │ участков с │ответ- │
│ки │пока- │теля │ показателем │ показателем │ственного │
│ │затель │качества │качества меньше│качества меньше│за оценку │
│ │качест- │+/- Дель-│ нормативного │ предельно │качества │
│ │ва до- │та П │ │ допустимого │или прове-│
│ │роги │ С │ │ │ряющего │
│ │П │ ├──────┬────────┼──────┬────────┤ │
│ │ С │ │ км │ доля, %│ км │ доля │ │
│ │ │ │ │ │ │ от │ │
│ │ │ │ │ │ │ общей │ │
│ │ │ │ │ │ │длины, %│ │
├──────┼────────┼─────────┼──────┼────────┼──────┼────────┼──────────┤
│ 1 │ 2 │ 3 │ 4 │ 5 │ 6 │ 7 │ 8 │
├──────┼────────┼─────────┼──────┼────────┼──────┼────────┼──────────┤
│ │ │ │ │ │ │ │ │
└──────┴────────┴─────────┴──────┴────────┴──────┴────────┴──────────┘
5.7.9. На основании анализа оценки качества и состояния автомобильных дорог и дорожной сети намечают основные пути повышения транспортно-эксплуатационных свойств дорог, последовательность и очередность выполнения работ по реконструкции, ремонту и содержанию.
Динамика изменения показателей качества дорог во времени характеризует эффективность деятельности дорожных организаций по содержанию и ремонту дорог.
6. ФОРМИРОВАНИЕ ИНФОРМАЦИОННОГО БАНКА ДАННЫХ
О СОСТОЯНИИ ДОРОГ
6.1. На основе результатов диагностики автомобильных дорог формируется и систематически обновляется автоматизированный банк дорожных данных (АБДД). АБДД является важнейшим элементом системы управления состоянием автомобильных дорог. Он представляет собой автоматизированную информационно-аналитическую систему, содержащую периодически обновляемую информацию об автомобильных дорогах, искусственных сооружениях, движении автотранспортных средств, ДТП, объектах сервиса и др. Кроме того, АБДД содержит комплекс расчетно-аналитических программ, позволяющих выполнять оценку состояния автомобильных дорог и решать комплекс вопросов, связанных с управлением состоянием автомобильных дорог.
6.2. В зависимости от решаемых задач, АБДД делятся на общеотраслевые и локальные. Общеотраслевые банки данных функционируют в системе государственного органа управления дорожным хозяйством и содержат в основном технические данные об автомобильных дорогах и искусственных сооружениях, а также информацию о движении автотранспортных средств, ДТП, объектах сервиса и др. Комплекс расчетно-аналитических программ, входящих в структуру общеотраслевых банков данных, ориентирован в основном на решение вопросов, связанных с управлением состоянием сети федеральных автомобильных дорог, в том числе с планированием ремонтных работ и распределением денежных средств, выделяемых на дорожные работы. Локальные банки данных функционируют в различных органах управления дорожным хозяйством и включают в себя технические данные об отдельных автомобильных дорогах (участках дорог) и искусственных сооружениях, а также информацию о движении автотранспортных средств, ДТП, объектах сервиса на этих дорогах. Кроме того, эти банки данных могут содержать специфические модули, отвечающие за отдельные направления административно-хозяйственной деятельности дорожных организаций.
6.3. Данные, используемые для формирования АБДД, делятся на три группы:
исходные данные о дорогах и искусственных сооружениях, получаемые в органах управления дорожным хозяйством;
результаты полевых обследований дорог и искусственных сооружений;
данные о ДТП и параметрах дорожного движения автотранспортных средств.
Исходные данные об автомобильных дорогах получают на основе проектно-сметной документации, технических паспортов дорог, результатов инвентаризации дорог, планов ремонтных работ, результатов сезонных осмотров, стандартных форм отчетности и т.д. Полученные исходные данные заносят непосредственно в соответствующие базы АБДД.
Результаты полевых измерений заносят в полевые журналы, подвергают предварительной обработке и только после этого заносят в соответствующие базы данных АБДД. При использовании передвижных лабораторий, оснащенных специальным оборудованием, часть параметров регистрируется, обрабатывается и вносится в базы данных в автоматическом режиме.
Данные о ДТП берут из учетных карточек, составляемых в органах ГИБДД. Данные об интенсивности и составе транспортных потоков получают с помощью автоматизированных учетных пунктов или на основе выборочных визуальных наблюдений.
6.4. При формировании АБДД выполняют контроль качества собранной информации с помощью экспертного визуального контроля и специальных прикладных программ. Эти программы контролируют полноту информации, совместимость данных, непрерывность данных, стыковку данных на границах, взаимную привязку объектов. Кроме того, при формировании АБДД должна быть обеспечена совместимость текущего банка дорожных данных с банками данных прошлых лет.
6.5. Периодичность обновления баз данных соответствует принятой периодичности проведения основных видов полевых работ при диагностике автомобильных дорог (см.
Приложение 9.3).
6.6. Рекомендуемый состав отраслевого АБДД приведен в таблице 6.1.
Таблица 6.1
Укрупненный состав отраслевого автоматизированного банка
дорожных данных (АБДД) (наименование баз данных)
┌────────┬────────┬─────────┬────────┬────────┬────────┬─────────┐
│Общие │Интен- │ Данные │Ровность│ Сцепные│Проч- │ Дефекты │
│сведе- │сивность│ о ДТП │покрытия│свойства│ность │ а/б │
│ния по │дорож- │ │ │покрытия│дорожной│ покрытия│
│дороге │ного │ │ │ │одежды │ │
│ │движения│ │ │ │ │ │
├────────┼────────┼─────────┼────────┼────────┼────────┼─────────┤
│дефекты │катего- │дорожно- │кривые в│ширина │види- │продоль- │
│ц/б │рия │климати- │плане │проезжей│мость в │ный уклон│
│покры- │дороги │ческая │ │части │плане │ │
│тия │ │зона │ │ │ │ │
├────────┼────────┼─────────┼────────┼────────┼────────┼─────────┤
│репер │водопро-│разметка │дорожные│комму- │дорожная│границы │
│участка │пускные │проезжей │знаки │никации │одежда │(областей│
│дороги │трубы │части │ │ │ │и др.) │
├────────┼────────┼─────────┼────────┼────────┼────────┼─────────┤
│участки │стацио- │рекон- │рассто- │элементы│станции │противо- │
│дорог, │нарные │струи- │яние │земляно-│техни- │шумовые и│
│распо- │пункты │руемые │между │го поло-│ческого │против- │
│ложен- │автома- │участки │километ-│тна и │обслу- │ослеп- │
│ные в │тизиро- │дорог │ровыми │системы │живания │ляющие │
│насе- │ванного │ │знаками │водо- │ │экраны │
│ленных │учета │ │ │отвода │ │ │
│пунктах │дорож- │ │ │ │ │ │
│ │ного │ │ │ │ │ │
│ │движения│ │ │ │ │ │
├────────┼────────┼─────────┼────────┼────────┼────────┼─────────┤
│сигналь-│мостовые│туннели │лесо- │развязки│ограж- │метео- │
│ные │соору- │ │полосы │ │дения │станции │
│стол- │жения │ │ │ │ │ │
│бики │ │ │ │ │ │ │
├────────┼────────┼─────────┼────────┼────────┼────────┼─────────┤
│авто- │пешеход-│снего- │примы- │дорожные│обочины │осве- │
│бусные │ные до- │защитные │кания и │здания и│ │щение │
│оста- │рожки и │соору- │пересе- │соору- │ │дороги │
│новки │тротуары│жения │чения │жения │ │ │
├────────┼────────┼─────────┼────────┼────────┼────────┼─────────┤
│тоннели │подзем- │стацио- │вызывная│пункты │застрой-│ремонт- │
│ │ные │нарные │связь │питания │ка │ные │
│ │переходы│посты ДПС│ │ │ │работы │
├────────┼────────┼─────────┼────────┼────────┼────────┼─────────┤
│пункты │кемпинги│авто- │АЗС │площадки│стацио- │объекты │
│меди- │ │вокзалы │ │отдыха │нарные │сервиса │
│цинской │ │ │ │ │пункты │ │
│помощи │ │ │ │ │весового│ │
│ │ │ │ │ │контроля│ │
└────────┴────────┴─────────┴────────┴────────┴────────┴─────────┘
7. ПЛАНИРОВАНИЕ ДОРОЖНО-РЕМОНТНЫХ РАБОТ
НА ОСНОВЕ РЕЗУЛЬТАТОВ ДИАГНОСТИКИ
И ОЦЕНКИ СОСТОЯНИЯ АВТОМОБИЛЬНЫХ ДОРОГ
7.1. Планирование видов и объемов работ на основе
анализа фактического состояния дорог
7.1.1. В основу принятия решения должны быть положены результаты диагностики и оценки состояния дорог, проведенных в соответствии с положениями главы 5 настоящих правил. Потребность в реконструкции или ремонте во всех случаях устанавливают путем выявления участков дорог, фактическое состояние которых по каким-либо параметрам и характеристикам не удовлетворяет действующим требованиям к обеспеченной скорости, безопасности движения, пропускной способности, способности пропускать автомобили и автопоезда с разрешенной массой и осевыми нагрузками.
7.1.2. Анализ состояния дорог проводят с помощью специальных компьютерных аналитических программ (далее - аналитических программ), позволяющих решать следующие задачи:
- разработку программы ремонта или реконструкции дороги с определением участков, подлежащих ремонту или реконструкции, назначением вида, адреса, объема и очередности дорожно-ремонтных работ, а также с расчетом необходимых для этих целей финансовых ресурсов;
- определение годовой потребности в физическом и денежном выражении в ремонте и реконструкции автомобильных дорог (по России и/или по органам управления дорожным хозяйством);
- распределение между органами управления дорожным хозяйством денежных средств, выделенных на ремонт и реконструкцию автомобильных дорог;
- разработку программы ремонтных работ по каждому органу управления, исходя из величины выделенных средств.
7.1.3. В условиях ограниченных финансовых ресурсов, ежегодно выделяемых на реконструкцию, ремонт и содержание автомобильных дорог, время, необходимое для реализации такой программы, может занять несколько лет. Для распределения ежегодных денежных средств, выделяемых на ремонт и содержание автомобильных дорог, формируется опорный план дорожных работ. Распределение выделенных денежных средств может происходить по разным критериям в зависимости от поставленных задач.
При этом на практике в зависимости от поставленной задачи используют в качестве критерия для определения видов работ комплексный показатель транспортно-эксплуатационного состояния дороги, характеризующий потребительские качества дороги, или показатель "индекса соответствия", определяющий очередность дорожно-ремонтных работ на участках, в первую очередь не соответствующих требованиям по безопасности движения.
7.1.4. Метод планирования, основывающийся на обеспеченности комплексного показателя транспортно-эксплуатационного состояния дороги, используют для детального анализа состояния дороги и оптимизации плана работ с учетом транспортного эффекта при разных условиях финансирования. Это технико-экономический метод, позволяющий оценить эффективность планируемых работ и степень их влияния на изменение транспортно-эксплуатационного состояния и потребительских качеств дороги.
7.1.5. Критерий экономической эффективности является наиболее оптимальным с точки зрения экономической целесообразности расходования средств. Он подразумевает, что по каждому возможному объекту дорожных работ будет произведено сравнение затрат на проведение работ и эффекта, который они обеспечат. Наиболее значимыми формами эффекта являются:
- снижение транспортных издержек;
- снижение дополнительных затрат на ремонт дороги из-за несвоевременности проведения работ или выполнения работ не в полном объеме;
- снижение затрат, связанных с дорожно-транспортными происшествиями;
- стимулирование экономического развития;
- повышенный комфорт и удобство движения.
7.1.6. Система показателей эффективности включает:
интегральный эффект - сумма эффектов за весь период сравнения;
индекс доходности - отношение суммы эффектов к общей величине единовременных затрат;
внутренняя норма доходности - представляет собой ту неизменную в течение расчетного периода норму дисконта, при которой сумма эффектов равна сумме единовременных затрат;
срок окупаемости - такой минимальный интервал времени от начала расчетного периода, за пределами которого интегральный эффект становится и в дальнейшем остается неотрицательным.
7.1.7. Интегральный эффект следует выбирать в роли основного критерия, когда важна общая сумма эффекта, получаемая при реализации выбранного решения. Оценка индекса доходности играет важную роль, когда одним из основных критериев выбора является ожидаемая величина эффекта, получаемая на единицу затрат за весь расчетный период. Если важна величина эффекта, получаемая на единицу затрат ежегодно, то определяющее значение будет играть внутренняя норма доходности. В случае, когда важное значение имеет срок, после которого вложенные средства будут иметь отдачу, лучшим будет считаться вариант с наименьшим сроком окупаемости.
7.1.8. В условиях недостаточного финансирования дорожных работ, когда значительная часть эксплуатируемых автомобильных дорог, нуждающихся в восстановительных работах, в течение ряда лет в полном объеме не ремонтируется, наряду с критерием экономической эффективности допускается использовать "индекс соответствия". Основой данного подхода является классификация выделенных участков дорожной сети с точки зрения их соответствия требованиям обеспечения безопасности движения и другим требованиям, предъявляемым к дороге. При распределении денежных средств соблюдается принцип предоставления преимущества тем участкам дорог, которые находятся в наиболее критическом с точки зрения выбранного критерия состоянии.
7.2. Планирование работ по критерию обеспеченности
расчетной скорости движения, транспортного эффекта
и экономической эффективности
7.2.1. Для определения потребности в ремонте определяют по фактическим параметрам и показателям транспортно-эксплуатационного состояния дороги значения частных коэффициентов обеспеченности расчетной скорости

и сопоставляют их с нормативными значениями комплексного показателя транспортно-эксплуатационного состояния

(при оценке показателей технического уровня дороги) и с предельно допустимыми его значениями (при оценке показателей эксплуатационного состояния дороги). При соответствующем технико-экономическом обосновании допускается уточнять потребность в ремонте, обеспечивая фактический комплексный транспортно-эксплуатационный показатель дороги

(равный итоговому значению коэффициента обеспеченности расчетной скорости

и характеризующий потребительские качества дороги) в пределах между нормативными и предельно допустимыми значениями. Эффективность ремонта в этом случае оценивают по изменению потребительских качеств в результате ремонта дороги.
7.2.2. Для определения видов и очередности ремонтных работ используется вычислительная программа "ODRR", разработанная МАДИ (ГТУ) при участии ГП Росдорнии. Программа работает как в среде "DOS", так и в среде "Windows 95/98" и обеспечивает планирование ремонта как при полной обеспеченности финансированием, так и при ограниченных ресурсах. Вариант расчета выбирается автоматически, исходя из нормы ежегодно выделяемых средств на ремонт дорог.
Программа позволяет получать решения при разных требованиях к транспортно-эксплуатационному состоянию дорог. Предусмотрена возможность для совместного рассмотрения автомобильных дорог разных категорий. Учитывается возможность использования договорных цен и стыковки с банками данных о состоянии сети автомобильных дорог.
Ввод исходной информации о состоянии дорог возможен как вручную, так и автоматически из любого банка данных при разработке специальной подпрограммы. Предоставлена возможность для укрупнения (при необходимости) вводимых характерных участков дороги, исходя из точности оценки параметров автомобильной дороги и отдельных транспортно-эксплуатационных показателей.
Программа оценивает эффективность различных видов работ и рассчитывает прирост комплексного транспортно-эксплуатационного показателя в результате проведенных дорожно-ремонтных работ.
7.2.3. В результате анализа фактических частных коэффициентов обеспеченности расчетной скорости устанавливают параметры и переменные характеристики дороги, которые стали причиной снижения транспортно-эксплуатационного состояния дороги. На участках, где частные коэффициенты обеспеченности расчетной скорости не отвечают предъявляемым требованиям (

), намечают, согласно действующей классификации, соответствующие виды работ по ремонту и содержанию дороги (табл. 7.1).
Таблица 7.1
Виды дорожных работ в зависимости
от частных коэффициентов

┌───────────┬───────────────────┬────────────────────────────────┐
│ Частный │ Учет влияния │Вид дорожно-ремонтных работ при │
│коэффициент│ │ К < КП │
│ К │ │ РСi Н │
│ РСi │ │ │
├───────────┼───────────────────┼────────────────────────────────┤
│К │ Ширины и сос- │ Укрепление обочин │
│ РС2 │тояния обочин │ │
├───────────┼───────────────────┼────────────────────────────────┤
│К │ Интенсивности и │ Уширение проезжей части, │
│ РС3 │состава движения, │устройство укрепительных полос, │
│ │ширины фактически │укрепление обочин, уширение │
│ │используемой │мостов и путепроводов │
│ │укрепленной повер- │ │
│ │хности покрытия │ │
├───────────┼───────────────────┼────────────────────────────────┤
│К │ Продольного укло-│ Смягчение продольного уклона, │
│ РС4 │на и видимости │увеличение видимости │
│ │поверхности дороги │ │
├───────────┼───────────────────┼────────────────────────────────┤
│К │ Радиуса кривых в │ Увеличение радиусов кривых, │
│ РС5 │плане │устройство виражей, спрямление │
│ │ │участка │
├───────────┼───────────────────┼────────────────────────────────┤
│К │ Продольной ров- │ Устройство выравнивающего слоя│
│ РС6 │ности покрытия │с поверхностной обработкой или │
│ │ │восстановление верхнего слоя │
│ │ │методами термопрофилирования и │
│ │ │регенерации (ремонт покрытия при│
│ │ │Е >= Е ). Ремонт │
│ │ │ Ф ТР │
│ │ │(усиление) дорожной одежды при │
│ │ │Е < Е │
│ │ │ Ф ТР │
├───────────┼───────────────────┼────────────────────────────────┤
│К │ Сцепных качеств │ Устройство шероховатой повер- │
│ РС7 │покрытия │хности методом поверхностной │
│ │ │обработки, втапливания щебня, │
│ │ │укладки верхнего слоя из │
│ │ │многощебенистого асфальтобетона │
├───────────┼───────────────────┼────────────────────────────────┤
│К │ Поперечной ров- │ Ликвидация колеи методами │
│ РС9 │ности покрытия │перекрытия, заполнения, │
│ │(колеи) │фрезерования │
├───────────┼───────────────────┼────────────────────────────────┤
│К │ Безопасности │ Мероприятия по повышению │
│ РС10 │движения │безопасности движения на опасных│
│ │ │участках │
├───────────┴───────────────────┴────────────────────────────────┤
│ Примечания: 1. К и К учитывается при оценке состояния│
│ РС1 РС8 │
│дороги соответственно по К и К . │
│ РС3 РС6 │
│ 2. Е и Е - соответственно фактический и требуемый модули│
│ Ф ТР │
│упругости дорожной одежды и земляного полотна. │
└────────────────────────────────────────────────────────────────┘
7.2.4. Как правило, на анализируемых участках дороги имеются два или более параметров и характеристик дороги, не отвечающих нормативным требованиям. В этом случае должен выполняться комплексный ремонт дороги для устранения всех причин снижения ее транспортно-эксплуатационного состояния. Если в процессе ремонта или реконструкции дороги не все параметры и характеристики будут доведены до нормативных значений, фактическое состояние дороги будет определяться минимальным значением частного коэффициента обеспеченности расчетной скорости, соответствующим показателю или характеристике дороги, не доведенных до норматива. В этом случае произойдет только частичное улучшение состояния дороги и средства, затраченные на ремонт или реконструкцию, окажутся израсходованными неэффективно.
При частном коэффициенте обеспеченности расчетной скорости, учитывающем влияние интенсивности и состава движения,

<

принятие решения о ремонте или реконструкции дороги осуществляют только после оценки возможности доведения значения

до нормативных величин за счет осуществления более экономичных работ. Прежде всего, проверяют возможность увеличения

за счет очистки от загрязнения фактически используемой для движения ширины укрепленной поверхности. Ширину зоны загрязнения оценивают в соответствии с
п. 5.4.4 по величине коэффициента использования ширины основной укрепленной поверхности (
табл. 5.2).
Данную проверку не проводят только для случая укрепления обочин материалами с использованием органических и неорганических вяжущих. Если в результате коэффициент обеспеченности расчетной скорости

достигает нормативных величин, на рассматриваемом участке ограничиваются только содержанием дороги. В случае, если очистка укрепленной поверхности от загрязнения не дает желаемого результата, проверяют последовательно возможность ремонта или устройства краевых укрепительных полос, укрепления обочин и уширения проезжей части автомобильной дороги с соответствующим пересчетом значения

для оценки эффективности ремонта.
7.2.5. Для случая, когда на участке дороги не удовлетворяют требованиям два или более факторов (

<

), для назначения вида дорожных работ руководствуются табл. 7.2. Таблица позволяет оценить, насколько вышеуказанные виды работ способны изменить значения влияющих частных коэффициентов обеспеченности расчетной скорости

или довести их значения до нормативных требований (т.е. фактически устранить их действие и не требовать выполнения по ним соответствующих ремонтных работ).
Таблица 7.2
Влияние дорожно-ремонтных работ
на изменение коэффициента

┌───────────────┬─────────────────────────────────────────────────┐
│ К , │Влияние ремонта на частные коэффициенты К при │
│ РСij │ РСi │
│определяющий │совместном действии факторов на участке дороги: │
│вид ремонта │° - устранение влияния │
│ │+ - частичное повышение показателя │
├───────────────┼─────┬─────┬────┬────┬─────┬─────┬────┬────┬─────┤
ИС МЕГАНОРМ: примечание.
В официальном тексте документа, видимо, допущена опечатка:
табл. 3.1 отсутствует.
│(см. табл. 3.1)│К │К │К │К │К │К │К │К │К │
│ │ РС2 │ РС3 │ РС4│ РС5│ РС6 │ РС7 │ РС8│ РС9│ РС10│
├───────────────┼─────┼─────┼────┼────┼─────┼─────┼────┼────┼─────┤
│К │ │+ │+ │+ │ │+ │ │ │+ │
│ РС2 │ │ │ │ │ │ │ │ │ │
├───────────────┼─────┼─────┼────┼────┼─────┼─────┼────┼────┼─────┤
│К │° │ │° │° │° │° │° │° │° │
│ РС3 │ │ │ │ │ │ │ │ │ │
├───────────────┼─────┼─────┼────┼────┼─────┼─────┼────┼────┼─────┤
│К │° │ │ │° │° │° │° │° │° │
│ РС4 │ │ │ │ │ │ │ │ │ │
├───────────────┼─────┼─────┼────┼────┼─────┼─────┼────┼────┼─────┤
│К │° │ │° │ │° │° │° │° │° │
│ РС5 │ │ │ │ │ │ │ │ │ │
├───────────────┼─────┼─────┼────┼────┼─────┼─────┼────┼────┼─────┤
│К │ │ │ │ │ │° │+ │° │+ │
│ РС6 │ │ │ │ │ │ │ │ │ │
├───────────────┼─────┼─────┼────┼────┼─────┼─────┼────┼────┼─────┤
│К │ │ │+ │+ │+ │ │ │ │+ │
│ РС7 │ │ │ │ │ │ │ │ │ │
├───────────────┼─────┼─────┼────┼────┼─────┼─────┼────┼────┼─────┤
│К │ │ │ │ │° │° │ │° │+ │
│ РС8 │ │ │ │ │ │ │ │ │ │
├───────────────┼─────┼─────┼────┼────┼─────┼─────┼────┼────┼─────┤
│К │ │ │ │ │ │ │ │ │° │
│ РС9 │ │ │ │ │ │ │ │ │ │
└───────────────┴─────┴─────┴────┴────┴─────┴─────┴────┴────┴─────┘
Примечание.

- исходные значения (

<

);

- значения показателя, повышенные в результате ремонта.
При ремонте по

:
при ремонте по

:

;

,
при ремонте по

:

;

,
при ремонте по

:

.
Например, если на рассматриваемом участке дороги не удовлетворяет требованиям дорожная одежда по прочности, покрытие по скользкости и продольный уклон дороги (частные коэффициенты

,

и

), то с учетом
табл. 7.2 рассматривают возможность капитального ремонта или частичной реконструкции участка дороги (смягчение продольного уклона).
Если на участке не отвечают требованиям коэффициенты обеспеченности расчетной скорости

,

,

и

, то на участке проводят укрепление обочин (

) и усиление дорожной одежды (

). Влияние

устраняется в результате проведения работ по усилению дорожной одежды. По коэффициенту

вид работ по ремонту дороги не определяют. Этим фактором учитывается влияние проводимых дорожных работ на изменение скорости движения транспортных средств и улучшение условий по безопасности движения.
Частичное повышение показателей коэффициентов обеспеченности расчетной скорости определяют с использованием зависимостей (см.
примечание к табл. 7.2), полученных в результате статистической обработки данных о режимах движения автомобилей при разных состояниях дорожного покрытия.
Значения

приведены в табл. 7.3 и
7.4.
┌─────────────────────┬──────────────────────────────────────────┐
│Тип укрепления обочин│ Дельта К для категории дороги │
│ │ РС3 │
│ ├────────┬───────────┬───────────┬─────────┤
│ │ I │ II │ III │ IV - V │
├─────────────────────┼────────┼───────────┼───────────┼─────────┤
│ Планировка обочин │0 │0 │0 │0 │
│ Засев трав │0,05 │0,06 │0,12 │0,14 │
│ Слой щебня или │0,05 │0,06 │0,23 │0,31 │
│гравия │ │ │ │ │
│ А/Б, Ц/Б, обработка│0,12 │0,15 │0,42 │0,47 │
│вяжущим │ │ │ │ │
└─────────────────────┴────────┴───────────┴───────────┴─────────┘
┌──────────────────────────┬─────────────────────────────────────┐
│ Тип укрепления обочин │ Величины поправок к К │
│ │ РСi │
│ ├─────────┬────────┬─────────┬────────┤
│ │Дельта │Дельта │Дельта │Дельта │
│ │К │К │К │К │
│ │ РС4 │ РС5 │ РС7 │ РС10 │
├──────────────────────────┼─────────┼────────┼─────────┼────────┤
│ Планировка обочин │1,0 │1,0 │1,0 │1,0 │
│ Засев трав │1,0 │1,0 │1,0 │1,0 │
│ Слой щебня или гравия │1,0 │1,0 │1,12 │1,12 │
│ А/Б, Ц/Б, обработка │1,11 │1,12 │1,15 │1,15 │
│вяжущим │ │ │ │ │
└──────────────────────────┴─────────┴────────┴─────────┴────────┘
7.2.6. По полученному перечню работ определяют требуемые затраты "Д" на ремонт дороги, сопоставляют их с общей суммой выделяемых средств "Ф" и выбирают метод планирования ремонтных работ.
При определении стоимости ремонта дорожной одежды

и покрытия

необходимо учитывать затраты и по другим видам одновременно выполняемых работ, назначаемых в соответствии с действующей классификацией дорожно-ремонтных работ:

, (7.1)

, (7.2)
где

- ширина проезжей части, м;

- длина i-го характерного участка, км;

и

- принимаются в МПа;

- территориальный коэффициент стоимости согласно нормативам удельных капитальных вложений в строительство автомобильных дорог общего пользования;

и

- коэффициенты, учитывающие затраты по другим видам работ, осуществляемых одновременно с работами соответственно по ремонту дорожной одежды и покрытия (табл. 7.5);

- затраты на устройство 1 м2 поверхностной обработки (с выравнивающим слоем) в ценах 1990 г. (в среднем могут быть приняты

= 1,55 руб./м2);

- поправочные коэффициенты, показывающие, во сколько раз стоимость работ в рассматриваемом году изменилась по отношению к 1990 году.
Таблица 7.5
┌─────────────────┬─────────────────────┬────────────────────────┐
│ Тип дорожной │ Категория дороги │ Коэффициенты │
│ одежды │ ├────────────┬───────────┤
│ │ │ Z │ Z │
│ │ │ Д │ П │
├─────────────────┼─────────────────────┼────────────┼───────────┤
│Капитальный │I и II │2,07 │1,49 │
│ │III │2,13 │1,53 │
├─────────────────┼─────────────────────┼────────────┼───────────┤
│Облегченный │III и IV │2,44 │1,76 │
├─────────────────┼─────────────────────┼────────────┼───────────┤
│Переходный │IV и V │3,70 │2,66 │
└─────────────────┴─────────────────────┴────────────┴───────────┘
При необходимости ремонта, капитального ремонта или реконструкции участков дороги затраты на выполнение работ могут рассчитываться с использованием укрупненных показателей согласно действующим нормативам удельных капитальных вложений в строительство автомобильных дорог общего пользования.
7.2.7. При достаточном объеме финансирования (Ф

Д) в качестве критерия назначения очередности работ принимают величину транспортного эффекта на перевозках грузов и пассажиров. Для практических целей используют условный относительный показатель себестоимости, позволяющий оценить приоритеты отдельных видов ремонтных работ, что важно для организации дорожно-ремонтных работ поточным методом. В этом случае в первую очередь подлежат ремонту участки, для которых обеспечивается наибольший эффект


, (7.3)
где

- разница в величине коэффициентов обеспеченности расчетной скорости движения на i-ом характерном участке дороги после и до ремонта при рассматриваемом j-ом виде ремонтных работ, т.е.

; (7.4)

и

- соответственно длина на i-ом и первом участках, подлежащих ремонту, км;
n - количество i-ых участков;

- фактическая интенсивность движения транспортного потока на i-ом участке дороги, авт./сут.
По формуле (7.4) выполняется относительная оценка эффекта (по отношению к участку дороги длиной 1 км с движением транспортного потока интенсивностью 100 авт./сут) для обеспечения возможности сопоставления разновременных результатов расчета между собой применительно к дорогам разных категорий.
Определяя эффект по конкретному виду работ, следует считать, что другие виды работ на автомобильной дороге не проводятся.
Пример. Допустим, что в результате анализа фактического состояния дороги II категории с интенсивностью движения 3500 авт./сут установлены нижеследующие значения частных коэффициентов обеспеченности расчетной скорости

(см. табл. 7.6).
Таблица 7.6
┌────────┬───────────────────────────────────────────────────────┐
│ Участок│ Частные коэффициенты К │
│ │ РСi │
├────────┼────┬────┬─────┬─────┬────┬─────┬─────┬─────┬────┬─────┤
│ дороги │К │К │К │К │К │К │К │К │К │К │
│ │ РС1│ РС2│ РС3 │ РС4 │ РС5│ РС6 │ РС7 │ РС8 │ РС9│ РС10│
├────────┼────┼────┼─────┼─────┼────┼─────┼─────┼─────┼────┼─────┤
│км 1 - 2│0,74│0,70│1,0 │1,0 │- │0,80 │0,75 │0,55 │1,0 │0,55 │
│ │----│----│ │ │ │ │ │-----│ │---- │
├────────┼────┼────┼─────┼─────┼────┼─────┼─────┼─────┼────┼─────┤
│км 2 - 3│1,10│0,60│1,0 │1,0 │1,00│0,50 │0,75 │0,50 │1,0 │0,90 │
│ │ │----│ │ │ │---- │ │---- │ │ │
├────────┼────┼────┼─────┼─────┼────┼─────┼─────┼─────┼────┼─────┤
│км 3 - 4│1,0 │1,00│1,0 │1,0 │0,90│0,75 │0,60 │0,90 │1,0 │1,00 │
│ │ │ │ │ │----│ │---- │ │ │ │
└────────┴────┴────┴─────┴─────┴────┴─────┴─────┴─────┴────┴─────┘
В таблице подчеркнуты значения

на отдельных участках, не удовлетворяющие нормативному комплексному транспортно-эксплуатационному показателю

. С учетом взаимного влияния факторов (см.
табл. 7.2) определяем виды дорожных работ на дороге (выделены жирным):
- укрепление обочин щебнем (

);
- увеличение радиуса кривой в плане (

);
- усиление дорожной одежды (

).
Влияния

,

и

устраняются в результате проведения указанного выше ремонта. Находим приоритет работ в соответствии с критерием
(7.3):
Рассматриваем вид работ по

.
На участке 1 - 2 км: скорость до ремонта определяется

= 0,55. В результате ремонта по

(см.
табл. 7.2) действие

не устраняется. Изменение величины

не дает эффекта, т.к. скорость движения после ремонта также будет определяться

=

= 0,55. Тогда по
формуле (5.1) эффект в результате укрепления обочин на данном участке

= 0. Аналогично для участка 2 - 3 км:

= 0. Суммарный эффект

= 0.
Рассматривая по отдельности другие виды работ, устанавливаем, что усиление дорожной одежды на дороге (участок 1 - 3 км) дает суммарный экономический эффект

= 8,75 и для увеличения радиуса кривой в плане -

= 14. В результате целесообразно при обеспеченном финансировании прежде всего планировать комплекс работ по увеличению радиуса кривой в плане с целью достижения максимальных потребительских качеств дороги.
Таким образом, руководствуясь рекомендациями
пп. 7.2.1 -
7.2.7, получают экономически обоснованную программу работ "Максимум" по реконструкции или ремонту дороги, которая при наименьших затратах обеспечивает приведение дороги в полное соответствие с требованиями к ее транспортно-эксплуатационному состоянию.
7.2.8. При ограниченных ресурсах (Ф < Д) возникает потребность в рациональном распределении ежегодно выделенных средств по ремонтируемым участкам дороги. Вид и очередность ремонтных работ определяют по критерию, учитывающему отличия выполняемых ремонтных работ по межремонтным срокам службы. В первую очередь исправляют те параметры дороги, которые способствуют наибольшему снижению транспортных издержек на единицу вложенных средств в ремонт или реконструкцию участка дороги, не допуская дополнительных затрат из-за недоремонта дороги:

, (7.5)
где

- экономия затрат на перевозках в t-й год после ремонта дороги, руб.;

- эффект, связанный с недопущением потерь из-за несвоевременности проведения или выполнения работ не в полном объеме, руб.;

- дополнительный эффект за счет ремонта искусственных сооружений;

- потери на перевозках из-за ухудшения условий движения в процессе проведения ремонтных работ, руб.;

- затраты на ремонт i-го участка дороги при j-м виде ремонтных работ, руб.;
Т - фактический период суммирования величины эффекта на перевозках, годы.
Фактический период суммирования величины эффекта для случая укрепления обочин (определяющий

) принимают в соответствии с нормами межремонтных сроков службы нежестких дорожных одежд (ВСН 41-88).
При уширении проезжей части (

), исправлении продольного уклона (

) и радиусов кривых в плане (

) период суммирования принимают равным

, но не более 20 лет, учитывая рекомендации
СНиП 2.05.02-85.
Фактический срок службы автомобильной дороги до реконструкции:

, (7.6)
где

- интенсивность движения транспортного потока (или приведенная к расчетному автомобилю при доле легковых автомобилей в транспортном потоке

> 0,3) в первый год после ремонта дороги, авт./сут;
q - показатель роста интенсивности движения во времени (q > 1,0).
Эффект от работ по усилению дорожных одежд, устройства выравнивающих слоев с поверхностной обработкой (фактор

) рассматривают в соответствии с ВСН 41-88 на период Т = 3 - 20 лет, но не более

.
Эффект от устройства поверхностных обработок (фактор

) определяют, исходя из норм межремонтных сроков службы дорожных покрытий (см. ВСН 41-88) Т = 2 - 8 лет в зависимости от интенсивности движения, типа дорожной одежды и региональных условий.
Транспортный эффект, учитывающий межремонтные сроки службы, рост интенсивности движения, изменение состояния покрытия во времени и отдаленность затрат в любой t-й год эксплуатации:

, (7.7)
где

- экономия издержек на автомобильные перевозки в первый год после ремонта, руб.;

- коэффициент для приведения разновременных затрат,

= 0,08.
Экономию издержек на автомобильные перевозки определяют как сумму этих издержек для разных типов автомобилей:

, (7.8)
где

- количество типов автомобилей в транспортном потоке;

- экономия издержек для j-го типа автомобиля, руб.
Величину экономии издержек автомобиля на участке дороги длиной

(в км) определяют по формуле:

, (7.9)
где

- доля j-го автомобиля в транспортном потоке;

и

- расчетные значения переменных и постоянных затрат в себестоимости пробега j-го автомобиля, коп./маш. км и коп./маш. час, соответственно;

- часовая заработная плата водителя, коп./маш. час;

- коэффициент влияния дорожных условий;

- фактическая средняя скорость движения j-го автомобиля, км/ч.
Показатели

;

;

;

определяют в соответствии с действующим порядком.
Порядок определения средней скорости движения транспортного потока приведен в
Прил. 9.1.
Эффект, связанный с недопущением потерь из-за несвоевременности ремонта дорожной одежды, рассчитывают с учетом отдаленности затрат во времени:

, (7.10)
где t = 1 год (при ежегодно выделяемых средствах на ремонт дорог);

- дополнительные затраты на усиление дорожной одежды, определяемые с учетом снижения фактического модуля упругости конструкции. Рассчитывают по
формуле (7.1), принимая

и заменяя

на

и

на

. Где

- фактический модуль упругости дорожной конструкции с учетом снижения его во времени из-за задержек с ремонтом, МПа.
В рассматриваемом случае можно пренебречь по малости затратами на установку дополнительных дорожных знаков, предупреждающих и ограничивающих скорость движения на участке, где не удается своевременно провести ремонтные работы.

, (7.11)

, (7.12)
где t = 1 (при ежегодно выделяемых средствах на ремонт дорог);

;

;

;

;

; А; В;

;

- параметры, назначаемые в соответствии с Указаниями по расчету усиления;

- интенсивность движения на полосу в первый год после проведения диагностики, приведенная к расчетным автомобилям (осевая нагрузка 100 кН), авт./сут;

- фактический срок службы дорожной одежды с модулем упругости конструкции

, годы.
Формула (
7.12) справедлива при условии 5 < Y < 10000, где Y выражение под логарифмом. В случае, если Х < 5, участок требует немедленного ремонта.

, (7.13)
где

- фактическая интенсивность движения транспортного потока, приведенная к расчетному автомобилю (на полосу), авт./сут.

, (7.14)

. (7.15)
Потери

за счет нарушения режимов движения автомобилей в процессе ремонта дорог определяют по формуле аналогичной
(7.9), но используя значение скорости движения до ремонта и в процессе ремонта дороги и учитывая затраты за время проведения ремонтных работ, а не за период в 365 дней.
Эффект от проведения тех или иных ремонтных работ оценивают с учетом взаимного влияния факторов при их совместном действии (см.
табл. 7.2). Определив величину эффекта на рубль дорожных затрат по каждому виду работ, осуществляют ранжирование работ по степени убывания эффекта. Последовательно суммируя затраты на ремонт, полученные величины сопоставляют с выделяемыми на ремонт средствами. Выбор работ по ремонту дороги прекращают в момент равенства фактических затрат и выделяемых денежных средств.
Подобные расчеты проводят при разных требованиях к транспортно-эксплуатационному состоянию дороги:

.
Окончательно выбирают вариант с максимальным значением фактического комплексного транспортно-эксплуатационного показателя

для рассматриваемых участков дороги в целом.
7.2.9. Выбор видов и очередности работ по ремонту дороги в условиях ограниченных ресурсов может быть выполнен вручную без использования вычислительной программы, ориентируясь на более простой критерий, оценивающий транспортные издержки приближенно через прирост комплексного показателя транспортно-эксплуатационного состояния (после и до ремонта)

:

, (7.16)

- затраты, определяемые для каждого i-го участка дороги и j-го вида работ;

и

- соответственно интенсивность движения транспортного потока (авт./сут) и длина участков в км.
Анализ частных коэффициентов обеспеченности расчетной скорости на каждом i-м участке осуществляют аналогично изложенному выше, рассматривая возможность ремонта по каждому коэффициенту

<

. Решение задачи выполняют, принимая во внимание, как и при расчетах по критерию
(7.5), что отдельные виды ремонтов, хотя и не устраняют действие отдельных факторов, но изменяют (повышают) величину их частных коэффициентов обеспеченности расчетной скорости

. Степень увеличения частично повышаемых

определяют по
табл. 7.2. Вспомогательные величины - по
табл. 7.3 и
7.4.
7.2.10. По результатам расчетов составляют титульный список ремонтируемых или реконструируемых дорог, обеспеченных выделенным объемом финансирования, реализация которого дает наибольший транспортный эффект пользователям дорог.
Таким образом, получают годовую программу работ "Минимум", исходя из выделяемых финансовых ресурсов. Аналогично может быть разработана такая программа на любую планируемую перспективу.
7.3. Планирование ремонтных работ на основе
"индексов соответствия"
7.3.1. Под "индексом соответствия", назначаемым экспертным путем, понимают уровень соответствия состояния участков дорог требованиям безопасности движения в сочетании с соответствием нормативным требованиям сцепных качеств и ровности покрытия, наличия виража и укрепленных обочин на этих участках.
Использование "индекса соответствия" не заменяет экономический критерий, а служит инструментом для анализа результатов диагностики в первую очередь на участках концентрации дорожно-транспортных происшествий и планирования дорожно-ремонтных работ в условиях недостаточного их финансирования.
7.3.2. Помимо уровня безопасности дорожного движения, критериями распределения выделенных денежных средств на реконструкцию и ремонт автомобильных дорог могут выступать: дефектность дорожной одежды, коэффициент прочности дорожной конструкции, показатели ровности и сцепных свойств дорожного покрытия. Распределение выделенных денежных средств может осуществляться по каждому критерию отдельно, либо по комбинации перечисленных критериев. Все участки дорог разбиваются на группы в зависимости от значения выбранного критерия. Каждой группе присваивается соответствующий ранг.
7.3.3. При определении очередности работ по реконструкции помимо степени опасности участков дорог учитывают уровень загрузки движением. В первую очередь выбирают очень опасные участки с наибольшим уровнем загрузки движением.
7.3.4. При использовании в качестве основного критерия уровня безопасности дорожного движения анализируют фактические данные о ДТП, происшедших за последние три года. В соответствии с "Методическими рекомендациями по назначению мероприятий для повышения безопасности движения на участках концентрации дорожно-транспортных происшествий" (М., 2001 г.) устанавливают адреса участков с различной степенью опасности по условиям движения автотранспортных средств. Все объекты разбивают на группы исходя из степени опасности. При определении очередности ремонтных работ руководствуются табл. 7.7, с использованием которой может быть установлен средневзвешенный показатель очередности ремонтных работ.
Таблица 7.7
┌──────────────┬───────────────────────────────┬─────────────────┐
│ Очередность │ Состояние участка по условиям │ Показатель │
│ ремонтных │безопасности дорожного движения│ очередности и │
│ работ │ │состояния участка│
├──────────────┼───────────────────────────────┼─────────────────┤
│Первая │ Очень опасные или опасные и с│ 0 │
│ │неудовлетворительным │ │
│ │коэффициентом сцепления │ │
├──────────────┼───────────────────────────────┼─────────────────┤
│Вторая │ Очень опасные или опасные и с│ 1 │
│ │неудовлетворительной │ │
│ │ровностью, или (и) отсутствием │ │
│ │виража, или (и) с неукрепленной│ │
│ │обочиной │ │
├──────────────┼───────────────────────────────┼─────────────────┤
│Третья │ Малоопасные и неопасные и с │ 2 │
│ │неудовлетворительным │ │
│ │коэффициентом сцепления │ │
├──────────────┼───────────────────────────────┼─────────────────┤
│Четвертая │ Малоопасные и неопасные и с │ 3 │
│ │неудовлетворительной ровностью │ │
│ │или (и) отсутствием виража │ │
│ │или (и) с неукрепленной обочи- │ │
│ │ной │ │
├──────────────┼───────────────────────────────┼─────────────────┤
│Пятая │ Остальные участки, нуждающие-│ 4 │
│ │ся в ремонте │ │
└──────────────┴───────────────────────────────┴─────────────────┘
Примечание. Участкам, не требующим ремонта, присваивается показатель очередности или состояния, равный 5.
7.3.4.1. При отсутствии средств на реконструкцию дорог и ограниченных финансовых ресурсах на ремонт выполнение работ по реконструкции дорог не предусматривают, а ремонтные работы планируют только на участках с показателями очередности (а, следовательно, и оценкой состояния) 0, 1 и 2. Если после этого часть выделенных средств остается неиспользованной, то их направляют на ремонт участков с показателем очередности 3.
7.3.4.2. Если по результатам оценки состояния дорог выявлены участки с повышенной опасностью для дорожного движения, при том, что их транспортно-эксплуатационное состояние отвечает действующим требованиям, следует провести дополнительный анализ для назначения необходимых мероприятий. В качестве временной меры на таких участках предусматривают улучшение организации движения: ограничение скорости движения, запрещение обгонов и др.
7.3.4.3. Все другие участки с недостатками дорожных условий рассматривают только после тех, которые характеризуются повышенной аварийностью.
7.3.5. На основе принципа приоритетов формируют минимальную годовую программу работ - программу "Минимум", которая определяет минимально необходимую потребность в ремонтных работах для поддержания требуемого уровня безопасности движения.
7.3.6. При формировании программы "Максимум" учитывают полную потребность в работах по реконструкции и ремонту дорог, реализация которых позволила бы полностью удовлетворить "индекс соответствия".
7.4. Общие принципы формирования программ ремонта
и реконструкции автомобильных дорог по результатам
диагностики и оценки их состояния
7.4.1. Для формирования годовой "опорной" программы работ по ремонту и реконструкции автомобильных дорог прежде всего определяют потребность в финансовых ресурсах отдельно для работ по ремонту и реконструкции, руководствуясь рекомендациями, приведенными в
разделах 7.1 -
7.3.
Если выделенные ресурсы соответствуют рассчитанной потребности, то эту программу принимают к исполнению. Если выделенных средств оказывается недостаточно, то намеченные объемы работ пересматривают, сокращая в первую очередь работы по реконструкции, занимающие последние места ранжированного ряда. При этом участки дорог, нуждающиеся в реконструкции, но не вошедшие в программу работ, рассматривают при уточнении программы ремонтов.
7.4.2. При недостатке денежных средств на минимально необходимые ремонтные работы используют принцип замены основных видов работ на альтернативные, более дешевые виды, позволяющие поддержать соответствующие участки дорог в работоспособном состоянии.
Чаще всего к альтернативным видам работ относятся: поверхностная обработка покрытия, устройство тонких защитных слоев и слоев износа из холодных эмульсионно-минеральных смесей.
7.4.3. Для выполнения анализа и расчетов, а также формирования программ дорожных работ "максимум" и "минимум" разработаны компьютерные программы, которые включены в "меню" автоматизированного банка дорожных данных по федеральной сети.
8. ПРИМЕР ОЦЕНКИ ТРАНСПОРТНО-ЭКСПЛУАТАЦИОННОГО СОСТОЯНИЯ
АВТОМОБИЛЬНЫХ ДОРОГ И ПЛАНИРОВАНИЯ ДОРОЖНО-РЕМОНТНЫХ РАБОТ
Для рассмотрения примера разработки и построения линейных графиков транспортно-эксплуатационного состояния и обобщенного показателя качества дороги выбран участок автомобильной дороги без установленной фактической категории протяженностью 5 км (с 264 км по 269 км).
Работы по составлению графиков включают четыре этапа:
1. Сбор объективной информации о параметрах и характеристиках автомобильной дороги, элементах инженерного оборудования и обустройства, а также качества содержания с занесением необходимой информации на линейный график.
2. Определение и занесение на график значений частных коэффициентов обеспеченности расчетной скорости, показателя инженерного оборудования и обустройства и показателя уровня содержания.
3. Построение линейного графика транспортно-эксплуатационного состояния дороги.
4. Расчет и построение линейного графика обобщенного показателя качества дороги.
8.1. Сбор и оформление полученной информации
Работу по сбору информации начинают с установления номера и титула дороги с указанием района ее расположения, дорожного органа управления и обслуживающей организации (табл. 8.1). В данном случае фактическая категория неизвестна. В соответствии с
п. 4.3.4 определение категории дороги оставляем до получения информации о фактической ширине основной укрепленной поверхности, на что указывает наличие краевых укрепленных полос.
Таблица 8.1
Общие данные об участке дороги N 12/56
в Смоленской обл. (II ДКЗ), обслуживаемой ДРСУ 2
┌───────────────────┬──────────────┬─────────────┬───────────────┐
│ Адрес участка, │ Фактическая │ Количество │ Рельеф │
│ км + ... │ категория │ полос │ местности │
├─────────┬─────────┤ дороги │ │ │
│ начало │ конец │ │ │ │
├─────────┼─────────┼──────────────┼─────────────┼───────────────┤
│ 264,000 │ 269,000 │ ? │ 2 │ равнинный │
└─────────┴─────────┴──────────────┴─────────────┴───────────────┘
Поскольку Паспорт на дорогу и другие рабочие чертежи в обслуживающей организации отсутствовали, измерение параметров и характеристик продольного и поперечного профилей и плана выполняли инструментально с использованием передвижной лаборатории. Измерению подлежали продольные уклоны, радиусы кривых в плане и поперечные уклоны виражей (табл. 8.2 -
8.3).
Таблица 8.2
Ведомость продольных уклонов
┌──────────────────────────────┬───────────────────────────────┐
│ Адрес начала микроучастка, │ Продольный уклон, о/оо │
│ км + ... │ │
├──────────────────────────────┼───────────────────────────────┤
│ 264,000 │ 20 │
├──────────────────────────────┼───────────────────────────────┤
│ 264,380 │ -10 │
├──────────────────────────────┼───────────────────────────────┤
│ 264,750 │ 30 │
├──────────────────────────────┼───────────────────────────────┤
│ 265,320 │ -20 │
├──────────────────────────────┼───────────────────────────────┤
│ 265,660 │ 0 │
├──────────────────────────────┼───────────────────────────────┤
│ 265,990 │ -20 │
├──────────────────────────────┼───────────────────────────────┤
│ 266,540 │ -30 │
├──────────────────────────────┼───────────────────────────────┤
│ 266,820 │ -60 │
├──────────────────────────────┼───────────────────────────────┤
│ 267,110 │ -10 │
├──────────────────────────────┼───────────────────────────────┤
│ 267,450 │ 0 │
├──────────────────────────────┼───────────────────────────────┤
│ 267,900 │ -40 │
├──────────────────────────────┼───────────────────────────────┤
│ 268,230 │ 30 │
├──────────────────────────────┼───────────────────────────────┤
│ 268,670 │ -10 │
└──────────────────────────────┴───────────────────────────────┘
Таблица 8.3
Ведомость радиусов кривых в плане и виражей
┌───────────────────────┬──────────────────┬─────────────────────┐
│ Адрес микроучастка, │ Радиус кривой, м │ Поперечный уклон │
│ км + ... │ │ виража, о/оо │
├─────────────┬─────────┤ │ │
│ начало │ конец │ │ │
├─────────────┼─────────┼──────────────────┼─────────────────────┤
│ 265,480 │ 265,960 │ 1290 │ 0 │
├─────────────┼─────────┼──────────────────┼─────────────────────┤
│ 267,140 │ 267,520 │ 2870 │ 0 │
└─────────────┴─────────┴──────────────────┴─────────────────────┘
Определение расстояния видимости произведено непосредственным наблюдением на участке дороги и результаты занесены в ведомость (табл. 8.4).
Таблица 8.4
Ведомость расстояний видимости (на остальном протяжении
расстояние видимости более 300 м)
┌────────────────────────────────────────────┬───────────────────┐
│ Адрес микроучастка, км + ... │ Расстояние │
├─────────────────────┬──────────────────────┤ видимости, м │
│ начало │ конец │ │
├─────────────────────┼──────────────────────┼───────────────────┤
│264,800 │265,380 │200 │
├─────────────────────┼──────────────────────┼───────────────────┤
│267,460 │267,690 │250 │
├─────────────────────┼──────────────────────┼───────────────────┤
│268,440 │268,590 │150 │
└─────────────────────┴──────────────────────┴───────────────────┘
В графе "Ситуация" на линейном графике приводят информацию о ситуации в полосе отвода: ландшафт, пересечения с автомобильными и железными дорогами, реками, примыкания, населенные пункты, службы сервиса, автобусные остановки, съезды к площадкам отдыха, расположенным за пределами полосы отвода.
Ширину проезжей части и обочин, разделяя краевые укрепленные полосы, укрепленную часть обочины, неукрепленную часть обочин, габарит моста и высоту борта измеряли с использованием ручного инструмента (табл. 8.5 -
8.7). В расчет для оценки принимаем наименьшую ширину обочин (микроучасток 268,000 - 269,000 км), а при равной ширине - с наименьшей шириной краевой укрепленной полосы (остальные микроучастки).
Таблица 8.5
Ведомость ширины проезжей части, типа покрытия, краевых
укрепленных полос и основной укрепленной поверхности
┌─────────────┬───────────┬────────┬─────────────────┬───────────┐
│Адрес начала │ Ширина │Тип по- │ Ширина краевых │ Ширина │
│микроучастка,│ проезжей │крытия │ укрепленных │ основной │
│ км + ... │ части │ │ полос а , м │укрепленной│
│ │ В (Г), м │ │ у │поверхности│
│ │ П │ ├───────┬─────────┤В (Г), м │
│ │ │ │ слева │ справа │ 1 │
├─────────────┼───────────┼────────┼───────┼─────────┼───────────┤
│264,000 │7,7 │а/б │0,75 │0,85 │9,3 │
├─────────────┼───────────┼────────┼───────┼─────────┼───────────┤
│265,000 │7,7 │а/б │0,75 │0,85 │9,3 │
├─────────────┼───────────┼────────┼───────┼─────────┼───────────┤
│266,000 │7,7 │а/б │0,75 │0,85 │9,3 │
├─────────────┼───────────┼────────┼───────┼─────────┼───────────┤
│266,320 │(12,0) │а/б │- │- │12,0 │
├─────────────┼───────────┼────────┼───────┼─────────┼───────────┤
│266,510 │7,4 │а/б │1,0 │0,80 │9,2 │
├─────────────┼───────────┼────────┼───────┼─────────┼───────────┤
│267,430 │7,5 │а/б │- │- │7,5 │
├─────────────┼───────────┼────────┼───────┼─────────┼───────────┤
│268,000 │7,7 │а/б │0,75 │0,85 │9,3 │
└─────────────┴───────────┴────────┴───────┴─────────┴───────────┘
Таблица 8.6
Ведомость характеристики обочин
┌───────────────┬───────────┬────────────────────────────────────┐
│ Адрес начала │ Ширина │ Тип укрепления и его ширина, м │
│ микроучастка, │ обочины ├───────────┬─────────┬───────┬──────┤
│ км + ... │ В , м │ А/б, ц/б, │ Щебень, │ Засев │Не │
│ │ ОБ │ укрепл. │ гравий │ трав │укреп-│
│ │ │ вяжущим │ │ │ленные│
├───────────────┼───────────┼───────────┼─────────┼───────┼──────┤
│264,000 │3,75 │0,75 │- │3,0 │- │
├───────────────┼───────────┼───────────┼─────────┼───────┼──────┤
│265,000 │3,75 │0,75 │- │- │3,0 │
├───────────────┼───────────┼───────────┼─────────┼───────┼──────┤
│266,000 │3,75 │0,75 │- │3,0 │- │
├───────────────┼───────────┼───────────┼─────────┼───────┼──────┤
│266,510 │3,50 │0,80 │2,70 │- │- │
├───────────────┼───────────┼───────────┼─────────┼───────┼──────┤
│267,430 │3,50 │- │- │3,50 │- │
├───────────────┼───────────┼───────────┼─────────┼───────┼──────┤
│268,000 │3,50 │0,85 │- │2,65 │- │
└───────────────┴───────────┴───────────┴─────────┴───────┴──────┘
Таблица 8.7
Ведомость высоты бордюра на искусственных сооружениях
┌───────────────────────────────┬────────────────────────────────┐
│ Адрес микроучастка, км + ... │ Высота бордюра, м │
├───────────────┬───────────────┼────────────────────────────────┤
│ начала │ конца │ 0,20 │
├───────────────┼───────────────┤ │
│ 266,320 │ 266,510 │ │
└───────────────┴───────────────┴────────────────────────────────┘
Т.к. ширина основной укрепленной поверхности составляет более 9,0 м, а на микроучастке без наличия краевых укрепленных полос более 7,4 м, то весь обследуемый участок дороги следует отнести ко II категории. Это укажем в
табл. 8.1 (вместо значка "?").
Значительный объем представляет информация о показателях состояния дорожной одежды и покрытия.
Ровность покрытия в продольном направлении измеряли с помощью ПКРС-2У согласно
ГОСТ 30412-96 "Дороги автомобильные и аэродромы. Методы измерений неровностей оснований и покрытий". В ведомости приведены максимальные значения показателя ровности на каждом километре (табл. 8.8).
Таблица 8.8
Ведомость показателя ровности в продольном направлении
Прибор ПКРС-2У
┌───────────────────────────────────────┬────────────────────────┐
│ Адрес начала микроучастка, км + ... │Показания прибора, см/км│
├───────────────────────────────────────┼────────────────────────┤
│ 264,000 │ 340 │
├───────────────────────────────────────┼────────────────────────┤
│ 265,000 │ 640 │
├───────────────────────────────────────┼────────────────────────┤
│ 266,000 │ 395 │
├───────────────────────────────────────┼────────────────────────┤
│ 267,000 │ 480 │
├───────────────────────────────────────┼────────────────────────┤
│ 268,000 │ 850 │
└───────────────────────────────────────┴────────────────────────┘
Коэффициент сцепления колеса автомобиля с поверхностью покрытия определяли также установкой ПКРС-2У по
ГОСТ 30413-96 "Дороги автомобильные. Метод определения коэффициента сцепления". Измерения выполняли шиной с неизношенным протектором с фиксированием температуры воздуха. В ведомости приведены минимальные значения коэффициента сцепления на каждом километре (табл. 8.9).
Таблица 8.9
Ведомость коэффициентов сцепления
┌───────────────────────────────────────┬────────────────────────┐
│ Адрес начала микроучастка, км + ... │ Коэффициент сцепления │
├───────────────────────────────────────┼────────────────────────┤
│ 264,000 │ 0,44 │
├───────────────────────────────────────┼────────────────────────┤
│ 265,000 │ 0,36 │
├───────────────────────────────────────┼────────────────────────┤
│ 266,000 │ 0,29 │
├───────────────────────────────────────┼────────────────────────┤
│ 267,000 │ 0,26 │
├───────────────────────────────────────┼────────────────────────┤
│ 268,000 │ 0,40 │
└───────────────────────────────────────┴────────────────────────┘
Устанавливали конструкцию дорожной одежды отбором кернов по всей толщине, ее тип (табл. 8.10), а также вид, расположение и характеристику дефектов. По результатам дефектной ведомости в соответствии с методикой, изложенной в
разделе 4, и с помощью
табл. 5.16 рассчитывали средневзвешенный балл состояния дорожной одежды

, а по
формуле (5.18) - средневзвешенный показатель

. Результатами расчета заполняем ведомость (
табл. 8.11).
Участок расположения моста из рассмотрения исключали.
Таблица 8.10
Ведомость характеристики конструкции дорожной одежды
┌──────────────────────────────────┬──────────────┬──────────────┐
│ Материал слоя дорожной одежды и │Толщина слоя, │ Тип дорожной │
│ его характеристика │ см │ одежды │
├──────────────────────────────────┼──────────────┼──────────────┤
│ а/б мелкозернистый, тип Б, │6 │Капитальный │
│плотный │ │ │
├──────────────────────────────────┼──────────────┤ │
│ а/б крупнозернистый, пористый │11 │ │
├──────────────────────────────────┼──────────────┤ │
│ щебень осадочный, заклинкой │18 │ │
├──────────────────────────────────┼──────────────┤ │
│ песок мелкий │30 │ │
├──────────────────────────────────┼──────────────┴──────────────┤
│ грунт земляного полотна │ Суглинок легкий непылеватый │
└──────────────────────────────────┴─────────────────────────────┘
Таблица 8.11
Ведомость состояния покрытия и прочности дорожной одежды
┌──────────────────────┬─────────────────┬───────────────────────┐
│ Адрес начала │ Балл состояния │ Средневзвешенный │
│ микроучастка, │ дорожной одежды │ показатель ро │
│ км + ... │ Б │ СР │
│ │ СР │ │
├──────────────────────┼─────────────────┼───────────────────────┤
│ 264,000 │ 5,0 │ 1.0 │
├──────────────────────┼─────────────────┼───────────────────────┤
│ 265,000 │ 3,7 │ 0,79 │
├──────────────────────┼─────────────────┼───────────────────────┤
│ 266,000 │ 4,2 │ 0,88 │
├──────────────────────┼─────────────────┼───────────────────────┤
│ 267,000 │ 2,4 │ 0,64 │
├──────────────────────┼─────────────────┼───────────────────────┤
│ 268,000 │ 4,5 │ 0,90 │
└──────────────────────┴─────────────────┴───────────────────────┘
Ровность покрытия в поперечном направлении (колейность) измеряли, руководствуясь методикой ОДМ "Методика измерения и оценки эксплуатационного состояния дорог по глубине колеи", 2-метровой рейкой. Работы выполняли путем приложения рейки на выпоры колеи (упрощенный метод), со взятием отсчета по вертикали между нижней опорной гранью рейки и дном колеи (табл. 8.12). Участок расположения моста из рассмотрения исключаем.
Таблица 8.12
Ведомость параметра ровности в поперечном
направлении (колеи)
Метод измерения упрощенный
┌─────────────────────────────────────────┬──────────────────────┐
│ Адрес начала микроучастка, км + ... │ Глубина колеи, мм │
├─────────────────────────────────────────┼──────────────────────┤
│ 264,000 │ 2 │
├─────────────────────────────────────────┼──────────────────────┤
│ 264,400 │ 4 │
├─────────────────────────────────────────┼──────────────────────┤
│ 265,100 │ 10 │
├─────────────────────────────────────────┼──────────────────────┤
│ 265,550 │ 8 │
├─────────────────────────────────────────┼──────────────────────┤
│ 266,200 │ 0 │
├─────────────────────────────────────────┼──────────────────────┤
│ 267,150 │ 26 │
├─────────────────────────────────────────┼──────────────────────┤
│ 268,000 │ 17 │
└─────────────────────────────────────────┴──────────────────────┘
Сведения о ДТП на каждом километре участка автомобильной дороги были получены по данным ГИБДД за последние три года (табл. 8.13).
Таблица 8.13
Ведомость наличия ДТП
┌────────────────────────────────────────┬───────────────────────┐
│ Адрес начала микроучастка, км + ... │ Количество ДТП │
├────────────────────────────────────────┼───────────────────────┤
│ 264,000 │ 0 │
├────────────────────────────────────────┼───────────────────────┤
│ 265,000 │ 2 │
├────────────────────────────────────────┼───────────────────────┤
│ 266,000 │ 0 │
├────────────────────────────────────────┼───────────────────────┤
│ 267,000 │ 1 │
├────────────────────────────────────────┼───────────────────────┤
│ 268,000 │ 1 │
└────────────────────────────────────────┴───────────────────────┘
Сбор данных о характеристиках транспортного потока включал определение интенсивности движения на каждом микроучастке между пересечениями и примыканиями с другими автомобильными дорогами. В данном случае результаты замера движения показали расхождение в пределах 15 - 20% по всем основным параметрам транспортного потока. Поэтому весь участок является характерным. При этом выделяли доли легковых и грузовых автомобилей, а также автобусов (табл. 8.14).
Таблица 8.14
Ведомость характеристик транспортного потока
┌─────────────┬───────────────┬──────────────────────────────────┐
│ Адрес начала│ Среднегодовая │ Доля автомобильного парка, % │
│микроучастка,│ интенсивность │ (количество) │
│ км + ... │ движения, ├───────────┬───────────┬──────────┤
│ │ авт./сут │ легковые │ грузовые │ автобусы │
├─────────────┼───────────────┼───────────┼───────────┼──────────┤
│ 264,000 │ 6421 │ 73 (4687) │ 26 (1670) │ 1 (64) │
└─────────────┴───────────────┴───────────┴───────────┴──────────┘
При учете грузовой составляющей транспортные средства делили по грузоподъемности (табл. 8.15).
Таблица 8.15
Ведомость состава и интенсивности грузового движения
┌─────────────────────────────────┬───────────────────────────────┐
│ Тип автомобилей │Количество транспортных средств│
├─────────────────────────────────┼───────────────────────────────┤
│ легкие, 1 - 2 т │ 551 │
├─────────────────────────────────┼───────────────────────────────┤
│ средние, 2 - 5 т │ 434 │
├─────────────────────────────────┼───────────────────────────────┤
│ тяжелые, 5 - 8 т │ 184 │
├─────────────────────────────────┼───────────────────────────────┤
│ очень тяжелые, более 8 т │ 284 │
├─────────────────────────────────┼───────────────────────────────┤
│ с прицепами и полуприцепами │ 217 │
├─────────────────────────────────┴───────────────────────────────┤
│ Всего: 1670 │
└─────────────────────────────────────────────────────────────────┘
Обследуемая дорога удовлетворяет требованиям по интенсивности движения к дороге II категории.
Уровень эксплуатационного содержания по данным оценки за последние 10 месяцев представлен в табл. 8.16.
Таблица 8.16
Ведомость оценки уровня эксплуатационного содержания
(высокий - в; средний - с; допустимый - д)
┌─────────────┬────┬─────┬────┬─────┬────┬─────┬─────┬────┬─────┬─────┐
│ Месяц │ 11 │ 12 │ 1 │ 2 │ 3 │ 4 │ 5 │ 6 │ 7 │ 8 │
├─────────────┼────┼─────┼────┼─────┼────┼─────┼─────┼────┼─────┼─────┤
│ Уровень │ с │ в │ в │ с │ с │ д │ с │ с │ в │ с │
│ содержания │ │ │ │ │ │ │ │ │ │ │
└─────────────┴────┴─────┴────┴─────┴────┴─────┴─────┴────┴─────┴─────┘
8.2. Обработка полученной информации для определения
комплексного показателя транспортно-эксплуатационного
состояния участка дороги
Работу по оценке качества данного участка дороги начинаем с определения величины нормативного и предельно допустимого комплексного показателя транспортно-эксплуатационного состояния (они же величины нормативного и предельно допустимого обобщенного показателя качества). Определение частных коэффициентов обеспеченности расчетной скорости проводим с округлением до 0,01 при необходимости интерполяцией по интервалам значений.
По
табл. 5.1 устанавливаем, что для участка дороги II категории в равнинной местности

= 1,0 и

= 0,75.
| | ИС МЕГАНОРМ: примечание. В официальном тексте документа, видимо, допущена опечатка: табл. П.3.5 отсутствует. | |
Частный коэффициент обеспеченности расчетной скорости

, учитывающий ширину основной укрепленной поверхности и ширину габарита моста, определяем в соответствии с
пп. 5.4.4 -
5.4.6 настоящих Правил. Расчет фактически используемой для движения ширины основной укрепленной поверхности проводим по
формулам (5.11) -
(5.13). Ширину основной укрепленной поверхности берем из табл. П.3.5. Коэффициент

находим по табл. 5.2, значения

- по
табл. 5.3 в диапазоне интенсивности 3600 - 10000. Результаты расчета заносим в табл. 8.17.
Таблица 8.17
Ведомость результатов определения

┌────────────────────────┬─────────┬─────┬──────┬─────┬───────┬────┐
│ Адрес начала │В │К │Г, м │h , │В , м │К │
│ микроучастка, км + ... │ 1 │ У │ │ Б │ 1Ф │ РС1│
│ │(В ), м │ │ │м │ │ │
│ │ П │ │ │ │ │ │
├────────────────────────┼─────────┼─────┼──────┼─────┼───────┼────┤
│264,000 │9,3 │0,96 │- │- │8,9 │1,18│
├────────────────────────┼─────────┼─────┼──────┼─────┼───────┼────┤
│265,000 │9,3 │0,95 │- │- │8,8 │1,16│
├────────────────────────┼─────────┼─────┼──────┼─────┼───────┼────┤
│266,000 │9,3 │0,96 │- │- │8,9 │1,18│
├────────────────────────┼─────────┼─────┼──────┼─────┼───────┼────┤
│266,320 │- │- │12,0 │0,2 │11,4 │1,30│
├────────────────────────┼─────────┼─────┼──────┼─────┼───────┼────┤
│266,510 │9,2 │0,98 │- │- │9,0 │1,20│
├────────────────────────┼─────────┼─────┼──────┼─────┼───────┼────┤
│267,430 │(7,5) │0,96 │- │- │7,2 │0,80│
├────────────────────────┼─────────┼─────┼──────┼─────┼───────┼────┤
│268,000 │9,3 │0,96 │- │- │8,9 │1,18│
└────────────────────────┴─────────┴─────┴──────┴─────┴───────┴────┘
Частный коэффициент обеспеченности расчетной скорости

, учитывающий влияние ширины и состояния обочин, определяем в соответствии с
пп. 5.4.10 -
5.4.11. Расчеты выполняем по
формуле (5.15). Значения

берем из
табл. 5.8. Так, для адреса 264,000 - 265,000 согласно
табл. 8.6

.
То же значение

получено и для адреса 266,000 - 266,320.
Для адреса 265,000 - 266,000

.
Для адреса 266,510 - 267,430

.
Для адреса 267,430 - 268,000

= 1,05.
Для адреса 268,000 - 269,000

.
Результаты расчета по всему участку дороги сводим в табл. 8.18.
Таблица 8.18
Ведомость результатов определения

┌────────────────────────────────────────┬───────────────────────┐
│ Адрес начала микроучастка, км + ... │ Значения К │
│ │ РС2 │
├────────────────────────────────────────┼───────────────────────┤
│ 264,000 │ 1,11 │
├────────────────────────────────────────┼───────────────────────┤
│ 265,000 │ 0,99 │
├────────────────────────────────────────┼───────────────────────┤
│ 266,000 │ 1,11 │
├────────────────────────────────────────┼───────────────────────┤
│ 266,510 │ 1,23 │
├────────────────────────────────────────┼───────────────────────┤
│ 267,430 │ 1,05 │
├────────────────────────────────────────┼───────────────────────┤
│ 268,000 │ 1,12 │
└────────────────────────────────────────┴───────────────────────┘
Частный коэффициент обеспеченности расчетной скорости

, учитывающий интенсивность и состав движения, определяем по
формуле (5.16), в которой величину

устанавливаем по
табл. 5.9 для двухполосных дорог при

= 0,27. Интенсивность движения по
табл. 8.14 N = 6421 авт./сут. При этом заполняем табл. 8.19.
Таблица 8.19
Ведомость результатов определения

┌─────────────────┬────────────┬───────────────┬──────────────┐
│ Адрес начала │ К │ Дельта К │ К │
│ микроучастка, │ РС1 │ РС │ РС3 │
│ км + ... │ │ │ │
├─────────────────┼────────────┼───────────────┼──────────────┤
│ 264,000 │ 1,18 │ 0,08 │ 1,1 │
├─────────────────┼────────────┼───────────────┼──────────────┤
│ 265,000 │ 1,16 │ 0,08 │ 1,08 │
├─────────────────┼────────────┼───────────────┼──────────────┤
│ 266,000 │ 1,18 │ 0,08 │ 1,1 │
├─────────────────┼────────────┼───────────────┼──────────────┤
│ 266,320 │ 1,30 │ 0,08 │ 1,22 │
├─────────────────┼────────────┼───────────────┼──────────────┤
│ 266,510 │ 1,20 │ 0,08 │ 1,12 │
├─────────────────┼────────────┼───────────────┼──────────────┤
│ 267,430 │ 0,80 │ 0,08 │ 0,72 │
├─────────────────┼────────────┼───────────────┼──────────────┤
│ 268,000 │ 1,18 │ 0,08 │ 1,1 │
└─────────────────┴────────────┴───────────────┴──────────────┘
Частный коэффициент обеспеченности расчетной скорости

, учитывающий продольные уклоны и видимость поверхности дороги, определяем в соответствии с
п. 5.4.13. Так, для адреса микроучастка 264,000 - 264,380 абсолютное значение продольного уклона 20

(см.
табл. 8.2). Поскольку ширина укрепленной обочины из асфальтобетона составляет 0,75 м, что менее 1,5 м, то состояние покрытия принимаем как мокрое загрязненное (м.з.). Расстояние видимости составляет более 300 м (
табл. 8.4). Тогда по
табл. 5.11 при движении на подъем

= 1,15, по
табл. 5.12 при движении на спуск

= 1,1, а окончательное значение

принимаем равным наименьшему из двух значений, т.е.

= 1,1.
Результаты определения

по всем характерным микроучасткам занесены в табл. 8.20.
Таблица 8.20
Ведомость результатов определения

┌─────────┬──────────┬────────┬────────────┬──────┬──────┬───────┐
│Адрес │Продольный│Состо- │Расстояние │К │К │Окон- │
│начала │ уклон, │яние │видимости, м│ РС4 │ РС4 │чатель-│
│микро- │ о/оо │покрытия│ │на │на │ный │
│участка, │ │ │ │подъем│спуск │К │
│км + ... │ │ │ │ │ │ РС4 │
├─────────┼──────────┼────────┼────────────┼──────┼──────┼───────┤
│264,000 │20 │м.з. │более 300 │1,15 │1,1 │1,1 │
├─────────┼──────────┼────────┼────────────┼──────┼──────┼───────┤
│264,380 │-10 │м.з. │более 300 │1,15 │1,1 │1,1 │
├─────────┼──────────┼────────┼────────────┼──────┼──────┼───────┤
│264,750 │30 │м.з. │200 │1,1 │0,75 │0,75 │
├─────────┼──────────┼────────┼────────────┼──────┼──────┼───────┤
│265,320 │-20 │м.з. │200 │1,15 │0,78 │0,78 │
├─────────┼──────────┼────────┼────────────┼──────┼──────┼───────┤
│265,660 │0 │м.з. │более 300 │1,15 │1,1 │1,1 │
├─────────┼──────────┼────────┼────────────┼──────┼──────┼───────┤
│265,990 │-20 │м.з. │более 300 │1,15 │1,1 │1,1 │
├─────────┼──────────┼────────┼────────────┼──────┼──────┼───────┤
│266,540 │-30 │м.з. │более 300 │1,1 │1,05 │1,05 │
├─────────┼──────────┼────────┼────────────┼──────┼──────┼───────┤
│266,820 │-60 │м.з. │более 300 │0,75 │0,9 │0,75 │
├─────────┼──────────┼────────┼────────────┼──────┼──────┼───────┤
│267,110 │-10 │м.з. │более 300 │1,15 │1,1 │1,1 │
├─────────┼──────────┼────────┼────────────┼──────┼──────┼───────┤
│267,450 │0 │м.з. │250 │1,15 │0,85 │0,85 │
├─────────┼──────────┼────────┼────────────┼──────┼──────┼───────┤
│267,900 │-40 │м.з. │более 300 │0,95 │1,0 │0,95 │
├─────────┼──────────┼────────┼────────────┼──────┼──────┼───────┤
│268,230 │30 │м.з. │150 │1,1 │0,65 │0,65 │
├─────────┼──────────┼────────┼────────────┼──────┼──────┼───────┤
│268,670 │-10 │м.з. │более 300 │1,15 │1,1 │1,1 │
└─────────┴──────────┴────────┴────────────┴──────┴──────┴───────┘
Частный коэффициент обеспеченности расчетной скорости

, учитывающий радиусы кривых в плане и уклон виража, устанавливаем по п. 5.4.14,
табл. 5.13 и для всех характерных участков дороги приводим в табл. 8.21.
Таблица 8.21
Ведомость результатов определения

┌───────────────────────┬─────────┬────────────┬───────────┬─────┐
│ Адрес микроучастка, │ Радиус │ Состояние │Поперечный │К │
│ км + ... │кривой, м│ покрытия │ уклон │ РС5 │
├──────────┬────────────┤ │ │ виража, │ │
│ начало │ конец │ │ │ о/оо │ │
├──────────┼────────────┼─────────┼────────────┼───────────┼─────┤
│ 265,480 │ 265,960 │ 1290 │ м.з. │ 0 │ 0,96│
├──────────┼────────────┼─────────┼────────────┼───────────┼─────┤
│ 267,140 │ 267,520 │ 2870 │ м.з. │ 0 │ 1,0 │
└──────────┴────────────┴─────────┴────────────┴───────────┴─────┘
Частный коэффициент обеспеченности расчетной скорости

, учитывающий продольную ровность покрытия, определяем в соответствии с п. 5.4.15 по
табл. 5.14 для контрольно-измерительного прибора ПКРС-2У, интерполируя при необходимости (табл. 8.22).
Таблица 8.22
Ведомость результатов определения

┌───────────────────────┬──────────────────────┬─────────────────┐
│ Адрес микроучастка, │ Показания ПКРС-2У, │ Значение К │
│ км + ... │ см/км │ РС6 │
├───────────────────────┼──────────────────────┼─────────────────┤
│ 264,000 │ 340 │ 1,21 │
├───────────────────────┼──────────────────────┼─────────────────┤
│ 265,000 │ 640 │ 0,79 │
├───────────────────────┼──────────────────────┼─────────────────┤
│ 266,000 │ 395 │ 1,12 │
├───────────────────────┼──────────────────────┼─────────────────┤
│ 267,000 │ 480 │ 1,0 │
├───────────────────────┼──────────────────────┼─────────────────┤
│ 268,000 │ 850 │ 0,62 │
└───────────────────────┴──────────────────────┴─────────────────┘
Частный коэффициент обеспеченности расчетной скорости

, учитывающий коэффициент сцепления колеса с покрытием, находим согласно п. 5.4.16, по строке
табл. 5.15 для II категории дороги, интерполируя при необходимости, с занесением в ведомость (табл. 8.23).
Таблица 8.23
Ведомость результатов определения

┌──────────────────────┬────────────────────┬────────────────────┐
│ Адрес начала │ Коэффициент │ К │
│ микроучастка, │ сцепления │ РС7 │
│ км + ... │ │ │
├──────────────────────┼────────────────────┼────────────────────┤
│ 264,000 │ 0,44 │ 0,87 │
├──────────────────────┼────────────────────┼────────────────────┤
│ 265,000 │ 0,36 │ 0,78 │
├──────────────────────┼────────────────────┼────────────────────┤
│ 266,000 │ 0,29 │ 0,72 │
├──────────────────────┼────────────────────┼────────────────────┤
│ 267,000 │ 0,26 │ 0,67 │
├──────────────────────┼────────────────────┼────────────────────┤
│ 268,000 │ 0,40 │ 0,83 │
└──────────────────────┴────────────────────┴────────────────────┘
Частный коэффициент обеспеченности расчетной скорости

, учитывающий состояние и прочность дорожной одежды, рассчитывают по
формуле (5.17) п. 5.4.17. Ранее определенное нормативное значение комплексного показателя транспортно-эксплуатационного состояния участка дороги

= 1,0. Целесообразность инструментальной оценки устанавливаем при сравнении средневзвешенного балла состояния

с предельно допустимым баллом для II категории дороги, который равен 3,0. Приближенный коэффициент прочности дорожной одежды

определяем по
табл. 4.6. Результаты вычислений и сравнения регистрируем в табл. 8.24.
Таблица 8.24
Ведомость результатов определения состояния
дорожной одежды и

┌───────────────┬────┬───────┬─────────┬─────┬──────┬─────┬──────┐
│ Адрес начала │Б │Пре- │Основание│К │ро │КП │К │
│ микроучастка, │ СР │дельно │инстру- │ ПР │ СР │ Н │ РС8 │
│ км + ... │ │допус- │менталь- │ │ │ │ │
│ │ │тимый │ной │ │ │ │ │
│ │ │балл │оценки │ │ │ │ │
├───────────────┼────┼───────┼─────────┼─────┼──────┼─────┼──────┤
│ 264,000 │5,0 │ 3,0 │ нет │ 1,0 │ 1,0 │ 1,0 │ 1,0 │
├───────────────┼────┼───────┼─────────┼─────┼──────┼─────┼──────┤
│ 265,000 │3,7 │ 3,0 │ нет │ 0,8 │ 0,79 │ 1,0 │0,79 │
│ │ │ │ │ 7 │ │ │ │
├───────────────┼────┼───────┼─────────┼─────┼──────┼─────┼──────┤
│ 266,000 │4,2 │ 3,0 │ нет │ 0,9 │ 0,88 │ 1,0 │0,88 │
│ │ │ │ │ 2 │ │ │ │
├───────────────┼────┼───────┼─────────┼─────┼──────┼─────┼──────┤
│ 267,000 │2,4 │ 3,0 │ да │ 0,7 │ 0,64 │ 1,0 │0,64 │
│ │ │ │ │ 4 │ │ │ │
├───────────────┼────┼───────┼─────────┼─────┼──────┼─────┼──────┤
│ 268,000 │4,5 │ 3,0 │ нет │ 0,9 │ 0,90 │ 1,0 │0,90 │
│ │ │ │ │ 5 │ │ │ │
└───────────────┴────┴───────┴─────────┴─────┴──────┴─────┴──────┘
Частный коэффициент обеспеченности расчетной скорости

, учитывающий ровность в поперечном направлении (глубину колеи), определяем по п. 5.4.18, используя
табл. 5.17, с заполнением табл. 8.25.
Таблица 8.25
Ведомость результатов определения

┌─────────────────┬───────────────────────┬──────────────────────┐
│ Адрес начала │ Глубина колеи, мм │ К │
│ микроучастка, │ │ РС9 │
│ км + ... │ │ │
├─────────────────┼───────────────────────┼──────────────────────┤
│ 264,000 │ 2 │ 1,25 │
├─────────────────┼───────────────────────┼──────────────────────┤
│ 264,400 │ 4 │ 1,25 │
├─────────────────┼───────────────────────┼──────────────────────┤
│ 265,100 │ 10 │ 0,88 │
├─────────────────┼───────────────────────┼──────────────────────┤
│ 265,550 │ 8 │ 0,95 │
├─────────────────┼───────────────────────┼──────────────────────┤
│ 266,200 │ 0 │ 1,25 │
├─────────────────┼───────────────────────┼──────────────────────┤
│ 267,150 │ 26 │ 0,68 │
├─────────────────┼───────────────────────┼──────────────────────┤
│ 268,000 │ 17 │ 0,75 │
└─────────────────┴───────────────────────┴──────────────────────┘
Частный коэффициент обеспеченности расчетной скорости

, учитывающий безопасность движения, рассчитывают по
формуле (5.19) п. 5.4.19. Так для микроучастков по адресу 264,000 - 265,000 км и 266,000 - 267,000 км

.
Для микроучастка по адресу 265,000 - 266,000

.
Для микроучастков по адресу 267,000 - 268,000 км и 268,000 - 269,000 км

.
Величины

устанавливаем по
табл. 5.18. Вычисления оформляем в табл. 8.26.
Таблица 8.26
Ведомость результатов определения

┌───────────────┬─────────────┬────────────────┬────────┬────────┐
│ Адрес начала │ Количество │ Среднегодовая │ И │ К │
│микроучастка, │ ДТП │ интенсивность │ │ РС10 │
│ км + ... │ │ движения, │ │ │
│ │ │ авт./сут │ │ │
├───────────────┼─────────────┼────────────────┼────────┼────────┤
│ 264,000 │ 0 │ 6421 │ 0 │ 1,25 │
├───────────────┼─────────────┼────────────────┼────────┼────────┤
│ 265,000 │ 2 │ 6421 │ 0,285 │ 1,0 │
├───────────────┼─────────────┼────────────────┼────────┼────────┤
│ 266,000 │ 0 │ 6421 │ 0 │ 1,25 │
├───────────────┼─────────────┼────────────────┼────────┼────────┤
│ 267,000 │ 1 │ 6421 │ 0,142 │ 1,25 │
├───────────────┼─────────────┼────────────────┼────────┼────────┤
│ 268,000 │ 1 │ 6421 │ 0,142 │ 1,25 │
└───────────────┴─────────────┴────────────────┴────────┴────────┘
Определенные частные коэффициенты обеспеченности расчетной скорости заносим в сводную ведомость (табл. 8.27). Значение итогового коэффициента обеспеченности расчетной скорости

на каждом характерном микроучастке равно минимальному из десяти частных коэффициентов обеспеченности расчетной скорости. Поскольку обследованию и оценке состояния подлежит участок автомобильной дороги, а не вся дорога в целом, то комплексный показатель транспортно-эксплуатационного состояния дороги

не определяем. По
формуле (5.2) комплексный показатель транспортно-эксплуатационного состояния на отрезке дороги

равен

для каждого характерного микроучастка.
Таблица 8.27
Сводная ведомость оценки комплексного показателя
транспортно-эксплуатационного состояния участка дороги

┌────────┬────┬────┬────┬────┬────┬────┬─────┬────┬────┬─────┬────┐
│Адрес │К │К │К │К │К │К │К │К │К │К │КП │
│начала │ РС1│ РС2│ РС3│ РС4│ РС5│ РС6│ РС7 │ РС8│ РС9│ РС10│ Дi│
│микро- │ │ │ │ │ │ │ │ │ │ │ │
│участка,│ │ │ │ │ │ │ │ │ │ │ │
│км + ...│ │ │ │ │ │ │ │ │ │ │ │
├────────┼────┼────┼────┼────┼────┼────┼─────┼────┼────┼─────┼────┤
│ 1 │ 2 │ 3 │ 4 │ 5 │ 6 │ 7 │ 8 │ 9 │ 10 │ 11 │ 12 │
├────────┼────┼────┼────┼────┼────┼────┼─────┼────┼────┼─────┼────┤
│264,000 │1,18│1,11│1,1 │1,1 │1,0 │1,21│0,87 │1,0 │1,25│1,25 │0,87│
├────────┼────┼────┼────┼────┼────┼────┼─────┼────┼────┼─────┼────┤
│264,380 │1,18│1,11│1,1 │1,1 │1,0 │1,21│0,87 │1,0 │1,25│1,25 │0,87│
├────────┼────┼────┼────┼────┼────┼────┼─────┼────┼────┼─────┼────┤
│264,400 │1,18│1,11│1,1 │1,1 │1,0 │1,21│0,87 │1,0 │1,25│1,25 │0,87│
├────────┼────┼────┼────┼────┼────┼────┼─────┼────┼────┼─────┼────┤
│264,750 │1,18│1,11│1,1 │0,75│1,0 │1,21│0,87 │1,0 │1,25│1,25 │0,75│
│ │ │ │ │----│ │ │ │ │ │ │ │
├────────┼────┼────┼────┼────┼────┼────┼─────┼────┼────┼─────┼────┤
│265,000 │1,16│0,99│1,08│0,75│1,0 │0,79│0,78 │0,79│1,25│1,0 │0,75│
│ │ │ │ │----│ │ │ │ │ │ │ │
├────────┼────┼────┼────┼────┼────┼────┼─────┼────┼────┼─────┼────┤
│265,100 │1,16│0,99│1,08│0,75│1,0 │0,79│0,78 │0,79│0,88│1,0 │0,75│
│ │ │ │ │----│ │ │ │ │ │ │ │
├────────┼────┼────┼────┼────┼────┼────┼─────┼────┼────┼─────┼────┤
│265,320 │1,16│0,99│1,08│0,78│1,0 │0,79│0,78 │0,79│0,88│1,0 │0,78│
│ │ │ │ │----│ │ │ │ │ │ │ │
├────────┼────┼────┼────┼────┼────┼────┼─────┼────┼────┼─────┼────┤
│265,480 │1,16│0,99│1,08│0,78│0,96│0,79│0,78 │0,79│0,88│1,0 │0,78│
│ │ │ │ │----│----│ │ │ │ │ │ │
├────────┼────┼────┼────┼────┼────┼────┼─────┼────┼────┼─────┼────┤
│265,550 │1,16│0,99│1,08│0,78│0,96│0,79│0,78 │0,79│0,95│1,0 │0,78│
│ │ │ │ │----│----│ │ │ │ │ │ │
├────────┼────┼────┼────┼────┼────┼────┼─────┼────┼────┼─────┼────┤
│265,660 │1,16│0,99│1,08│1,1 │0,96│0,79│0,78 │0,79│0,95│1,0 │0,78│
│ │ │ │ │ │----│ │ │ │ │ │ │
├────────┼────┼────┼────┼────┼────┼────┼─────┼────┼────┼─────┼────┤
│265,960 │1,16│0,99│1,08│1,1 │1,0 │0,79│0,78 │0,79│0,95│1,0 │0,78│
├────────┼────┼────┼────┼────┼────┼────┼─────┼────┼────┼─────┼────┤
│265,990 │1,16│0,99│1,08│1,1 │1,0 │0,79│0,78 │0,79│0,95│1,0 │0,78│
├────────┼────┼────┼────┼────┼────┼────┼─────┼────┼────┼─────┼────┤
│266,000 │1,18│1,11│1,1 │1,1 │1,0 │1,12│0,72 │0,88│0,95│1,25 │0,72│
│ │ │ │ │ │ │ │---- │ │ │ │ │
├────────┼────┼────┼────┼────┼────┼────┼─────┼────┼────┼─────┼────┤
│266,200 │1,18│1,11│1,1 │1,1 │1,0 │1,12│0,72 │0,88│1,25│1,25 │0,72│
│ │ │ │ │ │ │ │---- │ │ │ │ │
├────────┼────┼────┼────┼────┼────┼────┼─────┼────┼────┼─────┼────┤
│266,320 │1,30│- │1,22│1,1 │1,0 │1,12│0,72 │- │1,25│1,25 │0,72│
│ │ │ │ │ │ │ │---- │ │ │ │ │
├────────┼────┼────┼────┼────┼────┼────┼─────┼────┼────┼─────┼────┤
│266,510 │1,20│1,23│1,12│1,1 │1,0 │1,12│0,72 │0,88│1,25│1,25 │0,72│
│ │ │ │ │ │ │ │---- │ │ │ │ │
├────────┼────┼────┼────┼────┼────┼────┼─────┼────┼────┼─────┼────┤
│266,540 │1,20│1,23│1,12│1,05│1,0 │1,12│0,72 │0,88│1,25│1,25 │0,72│
│ │ │ │ │ │ │ │---- │ │ │ │ │
├────────┼────┼────┼────┼────┼────┼────┼─────┼────┼────┼─────┼────┤
│266,820 │1,20│1,23│1,12│0,75│1,0 │1,12│0,72 │0,88│1,25│1,25 │0,72│
│ │ │ │ │----│ │ │---- │ │ │ │ │
├────────┼────┼────┼────┼────┼────┼────┼─────┼────┼────┼─────┼────┤
│267,000 │1,20│1,23│1,12│0,75│1,0 │1,0 │0,67 │0,64│1,25│1,25 │0,64│
│ │ │ │ │----│ │ │---- │----│ │ │ │
├────────┼────┼────┼────┼────┼────┼────┼─────┼────┼────┼─────┼────┤
│267,110 │1,20│1,23│1,12│1,1 │1,0 │1,0 │0,67 │0,64│1,25│1,25 │0,64│
│ │ │ │ │ │ │ │---- │----│ │ │ │
├────────┼────┼────┼────┼────┼────┼────┼─────┼────┼────┼─────┼────┤
│267,140 │1,20│1,23│1,12│1,1 │1,0 │1,0 │0,67 │0,64│1,25│1,25 │0,64│
│ │ │ │ │ │ │ │---- │----│ │ │ │
├────────┼────┼────┼────┼────┼────┼────┼─────┼────┼────┼─────┼────┤
│267,150 │1,20│1,23│1,12│1,1 │1,0 │1,0 │0,67 │0,64│0,68│1,25 │0,64│
│ │ │ │ │ │ │ │---- │----│----│ │ │
├────────┼────┼────┼────┼────┼────┼────┼─────┼────┼────┼─────┼────┤
│267,430 │0,80│1,05│0,72│1,1 │1,0 │1,0 │0,67 │0,64│0,68│1,25 │0,64│
│ │ │ │----│ │ │ │---- │----│----│ │ │
├────────┼────┼────┼────┼────┼────┼────┼─────┼────┼────┼─────┼────┤
│267,450 │0,80│1,05│0,72│0,85│1,0 │1,0 │0,67 │0,64│0,68│1,25 │0,64│
│ │ │ │----│----│ │ │---- │----│----│ │ │
├────────┼────┼────┼────┼────┼────┼────┼─────┼────┼────┼─────┼────┤
│267,520 │0,80│1,05│0,72│0,85│1,0 │1,0 │0,67 │0,64│0,68│1,25 │0,64│
│ │ │ │----│----│ │ │---- │----│----│ │ │
├────────┼────┼────┼────┼────┼────┼────┼─────┼────┼────┼─────┼────┤
│267,900 │0,80│1,05│0,72│0,95│1,0 │1,0 │0,67 │0,64│0,68│1,25 │0,64│
│ │ │ │----│----│ │ │---- │----│----│ │ │
├────────┼────┼────┼────┼────┼────┼────┼─────┼────┼────┼─────┼────┤
│268,000 │1,18│1,12│1,1 │0,95│1,0 │0,62│0,83 │0,90│0,75│1,25 │0,62│
│ │ │ │ │----│ │ │---- │----│----│ │ │
├────────┼────┼────┼────┼────┼────┼────┼─────┼────┼────┼─────┼────┤
│268,230 │1,18│1,12│1,1 │0,65│1,0 │0,62│0,83 │0,90│0,75│1,25 │0,62│
│ │ │ │ │----│ │----│ │ │ │ │ │
├────────┼────┼────┼────┼────┼────┼────┼─────┼────┼────┼─────┼────┤
│268,670 │1,18│1,12│1,1 │1,1 │1,0 │0,62│0,83 │0,90│0,75│1,25 │0,62│
│ │ │ │ │ │ │----│ │ │ │ │ │
└────────┴────┴────┴────┴────┴────┴────┴─────┴────┴────┴─────┴────┘
Примечание. Выделены значения коэффициентов обеспеченности расчетной скорости ниже требуемых.
8.3. Обработка полученной информации для определения
обобщенного показателя качества участка дороги
Показатель инженерного оборудования и обустройства участка дороги

рассчитан согласно
параграфу 5.5 с округлением до десятых и в данном примере не разбирается. При использовании
табл. 5.21 величины

выбирают для II категории дороги. Результаты вычислений представлены в табл. 8.28.
Таблица 8.28
Ведомость результатов определения

┌─────────────────┬─────────────────────────────┬────────────────┐
│ Адрес начала │ Итоговый коэффициент │ Показатель К │
│ микроучастка, │дефектности соответствия Д │ ОБ │
│ км + ... │ И.О│ │
├─────────────────┼─────────────────────────────┼────────────────┤
│ 264,000 │ 0,1 │ 0,99 │
├─────────────────┼─────────────────────────────┼────────────────┤
│ 265,000 │ 0 │ 1,0 │
├─────────────────┼─────────────────────────────┼────────────────┤
│ 265,660 │ 0,4 │ 0,96 │
├─────────────────┼─────────────────────────────┼────────────────┤
│ 266,320 │ 0 │ 1,0 │
├─────────────────┼─────────────────────────────┼────────────────┤
│ 266,510 │ 0,3 │ 0,97 │
├─────────────────┼─────────────────────────────┼────────────────┤
│ 267,430 │ 0,1 │ 0,99 │
├─────────────────┼─────────────────────────────┼────────────────┤
│ 268,320 │ 0 │ 1,0 │
└─────────────────┴─────────────────────────────┴────────────────┘
Таким образом, добавляем в оценку микроучастки с адресами 268,230 - 268,320 км и 268,320 - 268,670 км.
Показатель уровня эксплуатационного содержания

участка дороги определяем согласно
параграфу 5.6 в зависимости от оценки содержания в баллах Б. Балл рассчитываем как среднее арифметическое всех оценок за 10 месяцев. При этом заполняем форму табл. 8.29.
Таблица 8.29
Ведомость результатов определения

Адрес микроучастка, км + ... начало 264,000 конец 269,000
------- -------
┌─────────────────────────────────────────────────┬──────┬───────┐
│ Оценка уровня содержания в баллах за предыдущие │ Б │ К │
│ месяцы │ │ Э │
├─────┬─────┬────┬────┬────┬───┬────┬────┬───┬────┤ │ │
│ 11 │ 12 │ 1 │ 2 │ 3 │ 4 │ 5 │ 6 │ 7 │ 8 │ │ │
├─────┼─────┼────┼────┼────┼───┼────┼────┼───┼────┼──────┼───────┤
│ 4 │ 5 │ 5 │ 4 │ 4 │ 3 │ 4 │ 4 │ 5 │ 4 │ 4,2 │ 1,02 │
└─────┴─────┴────┴────┴────┴───┴────┴────┴───┴────┴──────┴───────┘
Обобщенный показатель качества каждого характерного микроучастка дороги рассчитываем по
формуле (5.1). Вычисления сопровождаем заполнением формы сводной ведомости (табл. 8.30).
Таблица 8.30
Сводная ведомость оценки обобщенного показателя
качества участка дороги

┌──────────────┬─────────────┬───────────┬─────────┬─────────────┐
│ Адрес начала │ Комплексный │Показатель │Показа- │ Обобщенный │
│ микроучастка,│ показатель │ К │тель К │ показатель │
│ км + ... │ КП │ ОБ │ Э │качества П │
│ │ Дi │ │ │ Дi │
├──────────────┼─────────────┼───────────┼─────────┼─────────────┤
│ 264,000 │ 0,87 │ 0,99 │ 1,02 │ 0,88 │
├──────────────┼─────────────┼───────────┼─────────┼─────────────┤
│ 264,380 │ 0,87 │ 0,99 │ 1,02 │ 0,88 │
├──────────────┼─────────────┼───────────┼─────────┼─────────────┤
│ 264,400 │ 0,87 │ 0,99 │ 1,02 │ 0,88 │
├──────────────┼─────────────┼───────────┼─────────┼─────────────┤
│ 264,750 │ 0,75 │ 0,99 │ 1,02 │ 0,76 │
├──────────────┼─────────────┼───────────┼─────────┼─────────────┤
│ 265,000 │ 0,75 │ 1,0 │ 1,02 │ 0,77 │
├──────────────┼─────────────┼───────────┼─────────┼─────────────┤
│ 265,100 │ 0,75 │ 1,0 │ 1,02 │ 0,77 │
├──────────────┼─────────────┼───────────┼─────────┼─────────────┤
│ 265,320 │ 0,78 │ 1,0 │ 1,02 │ 0,80 │
├──────────────┼─────────────┼───────────┼─────────┼─────────────┤
│ 265,480 │ 0,78 │ 1,0 │ 1,02 │ 0,80 │
├──────────────┼─────────────┼───────────┼─────────┼─────────────┤
│ 265,550 │ 0,78 │ 1,0 │ 1,02 │ 0,80 │
├──────────────┼─────────────┼───────────┼─────────┼─────────────┤
│ 265,660 │ 0,78 │ 0,96 │ 1,02 │ 0,76 │
├──────────────┼─────────────┼───────────┼─────────┼─────────────┤
│ 265,960 │ 0,78 │ 0,96 │ 1,02 │ 0,76 │
├──────────────┼─────────────┼───────────┼─────────┼─────────────┤
│ 265,990 │ 0,78 │ 0,96 │ 1,02 │ 0,76 │
├──────────────┼─────────────┼───────────┼─────────┼─────────────┤
│ 266,000 │ 0,72 │ 0,96 │ 1,02 │ 0,71 │
├──────────────┼─────────────┼───────────┼─────────┼─────────────┤
│ 266,200 │ 0,72 │ 0,96 │ 1,02 │ 0,71 │
├──────────────┼─────────────┼───────────┼─────────┼─────────────┤
│ 266,320 │ 0,72 │ 1,0 │ 1,02 │ 0,73 │
├──────────────┼─────────────┼───────────┼─────────┼─────────────┤
│ 266,510 │ 0,72 │ 0,97 │ 1,02 │ 0,71 │
├──────────────┼─────────────┼───────────┼─────────┼─────────────┤
│ 266,540 │ 0,72 │ 0,97 │ 1,02 │ 0,71 │
├──────────────┼─────────────┼───────────┼─────────┼─────────────┤
│ 266,820 │ 0,72 │ 0,97 │ 1,02 │ 0,71 │
├──────────────┼─────────────┼───────────┼─────────┼─────────────┤
│ 267,000 │ 0,64 │ 0,97 │ 1,02 │ 0,63 │
├──────────────┼─────────────┼───────────┼─────────┼─────────────┤
│ 267,110 │ 0,64 │ 0,97 │ 1,02 │ 0,63 │
├──────────────┼─────────────┼───────────┼─────────┼─────────────┤
│ 267,140 │ 0,64 │ 0,97 │ 1,02 │ 0,63 │
├──────────────┼─────────────┼───────────┼─────────┼─────────────┤
│ 267,150 │ 0,64 │ 0,97 │ 1,02 │ 0,63 │
├──────────────┼─────────────┼───────────┼─────────┼─────────────┤
│ 267,430 │ 0,64 │ 0,99 │ 1,02 │ 0,65 │
├──────────────┼─────────────┼───────────┼─────────┼─────────────┤
│ 267,450 │ 0,64 │ 0,99 │ 1,02 │ 0,65 │
├──────────────┼─────────────┼───────────┼─────────┼─────────────┤
│ 267,520 │ 0,64 │ 0,99 │ 1,02 │ 0,65 │
├──────────────┼─────────────┼───────────┼─────────┼─────────────┤
│ 267,900 │ 0,64 │ 0,99 │ 1,02 │ 0,65 │
├──────────────┼─────────────┼───────────┼─────────┼─────────────┤
│ 268,000 │ 0,62 │ 0,99 │ 1,02 │ 0,63 │
├──────────────┼─────────────┼───────────┼─────────┼─────────────┤
│ 268,230 │ 0,62 │ 0,99 │ 1,02 │ 0,63 │
├──────────────┼─────────────┼───────────┼─────────┼─────────────┤
│ 268,320 │ 0,62 │ 1,0 │ 1,02 │ 0,63 │
├──────────────┼─────────────┼───────────┼─────────┼─────────────┤
│ 268,670 │ 0,62 │ 1,0 │ 1,02 │ 0,63 │
└──────────────┴─────────────┴───────────┴─────────┴─────────────┘
Показатели инженерного оборудования и обустройства, уровня эксплуатационного содержания, а также обобщенный показатель качества наносим на линейный график по соответствующим характерным микроучасткам.
8.4. Назначение видов и очередности дорожно-ремонтных работ
при полной обеспеченности финансированием
Виды и очередность дорожно-ремонтных работ при полном финансировании назначаем, руководствуясь положениями
раздела 7. Работы по восстановлению требуемого качества участка дороги необходимо наметить в том случае, если значения частных коэффициентов обеспеченности расчетной скорости

,

и

ниже ранее установленной величины нормативного комплексного показателя транспортно-эксплуатационного состояния

= 1,0, а также, если значения

,

,

,

,

и

ниже величины предельно допустимого комплексного показателя транспортно-эксплуатационного состояния

= 0,75 (
табл. 5.1).
При этом учитываем эффект взаимного устранения и частичного повышения отдельных видов работ, исправляющих одни параметры дороги, на частные коэффициенты обеспеченности расчетной скорости, характеризующие другие параметры дороги на том же микроучастке по
табл. 7.2. Например, на микроучастке по адресу 267,000 - 267,110 км работы по

, значение которого ниже 1,0, полностью устраняют влияние

и

, значения которых ниже 0,75. А на микроучастке по адресу 268,670 - 269,000 км устройство выравнивающего слоя (

) повышает значение

в 1,05 раза с 0,90 до 0,95, а значения

и

по дефектам, не требующим исправления, доводит до нормативной величины

= 1,0. Поэтому на данном микроучастке

= 0,95.
При работах по исправлению параметров дороги по

, не требующих реконструкции, следует учитывать специфику намеченного вида работ, поскольку они могут быть совмещены при работах по исправлению дефектов, характеризуемых другими частными коэффициентами обеспеченности расчетной скорости. Так, на микроучастке по адресу 267,430 - 267,450 км устройство краевых укрепленных полос совмещено с усилением дорожной одежды (

), а на микроучастках по адресу 267,450 - 268,000 км устройство краевых укрепленных полос следует выполнить при смягчении продольного уклона (

).
Намеченные виды работ и ожидаемые изменения показателей состояния дороги приводим в табл. 8.31. При расчетах обобщенного показателя качества и состояния

после ремонта значения показателей

и

принимаем по
табл. 8.30.
Таблица 8.31
Ведомость дорожно-ремонтных работ и оценки состояния
участка дороги после ремонта
┌─────────────┬────────────┬──────────────────┬─────────┬────────┐
│Адрес начала │К , │Вид дорожно- │ КП │ П │
│микро- │ РС │ремонтных работ │ Дi │ Дi │
│участка, │определяющий│ │ после │ после │
│км + ... │вид дорожно-│ │ ремонта │ремонта │
│ │ремонтных │ │ │ │
│ │работ │ │ │ │
├─────────────┼────────────┼──────────────────┼─────────┼────────┤
│ 1 │ 2 │ 3 │ 4 │ 5 │
├─────────────┼────────────┼──────────────────┼─────────┼────────┤
│264,000 │- │ Не требуется │0,87 │0,88 │
├─────────────┼────────────┤ ├─────────┼────────┤
│264,380 │- │ │0,87 │0,88 │
├─────────────┼────────────┤ ├─────────┼────────┤
│264,400 │- │ │0,87 │0,88 │
├─────────────┼────────────┼──────────────────┼─────────┼────────┤
│264,750 │К │ Увеличение види-│1,0 │1,0 │
│ │ РС4 │мости, смягчение │ │ │
├─────────────┼────────────┤продольного ├─────────┼────────┤
│265,000 │К │уклона │1,0 │1,02 │
│ │ РС4 │ │ │ │
├─────────────┼────────────┤ ├─────────┼────────┤
│265,100 │К │ │1,0 │1,02 │
│ │ РС4 │ │ │ │
├─────────────┼────────────┤ ├─────────┼────────┤
│265,320 │К │ │1,0 │1,02 │
│ │ РС4 │ │ │ │
├─────────────┼────────────┼──────────────────┼─────────┼────────┤
│265,480 │К │ Увеличение │1,0 │1,02 │
│ │ РС5 │радиуса кривой; │ │ │
├─────────────┼────────────┤устройство виража ├─────────┼────────┤
│265,550 │К │с уклоном не │1,0 │1,02 │
│ │ РС5 │менее 20 о/оо │ │ │
├─────────────┼────────────┤ ├─────────┼────────┤
│265,660 │К │ │1,0 │0,98 │
│ │ РС5 │ │ │ │
├─────────────┼────────────┼──────────────────┼─────────┼────────┤
│265,960 │- │ Не требуется │0,78 │0,76 │
├─────────────┼────────────┤ ├─────────┼────────┤
│265,990 │- │ │0,78 │0,76 │
├─────────────┼────────────┼──────────────────┼─────────┼────────┤
│266,000 │К │ Устройство │0,88 │0,86 │
│ │ РС7 │шероховатой │ │ │
├─────────────┼────────────┤поверхностной ├─────────┼────────┤
│266,200 │К │обработки │0,88 │0,86 │
│ │ РС7 │ │ │ │
├─────────────┼────────────┤ ├─────────┼────────┤
│266,320 │К │ │1,0 │1,02 │
│ │ РС7 │ │ │ │
├─────────────┼────────────┤ ├─────────┼────────┤
│266,510 │К │ │0,88 │0,87 │
│ │ РС7 │ │ │ │
├─────────────┼────────────┤ ├─────────┼────────┤
│266,540 │К │ │0,88 │0,87 │
│ │ РС7 │ │ │ │
├─────────────┼────────────┼──────────────────┼─────────┼────────┤
│266,820 │К │ Увеличение види-│1,0 │0,99 │
│ │ РС4 │мости, смягчение │ │ │
├─────────────┼────────────┤продольного уклона├─────────┼────────┤
│267,000 │К │ │1,0 │0,99 │
│ │ РС4 │ │ │ │
├─────────────┼────────────┼──────────────────┼─────────┼────────┤
│267,110 │К │ Усиление дорож- │1,0 │0,99 │
│ │ РС8 │ной одежды │ │ │
├─────────────┼────────────┤ ├─────────┼────────┤
│267,140 │К │ │1,0 │0,99 │
│ │ РС8 │ │ │ │
├─────────────┼────────────┤ ├─────────┼────────┤
│267,150 │К │ │1,0 │0,99 │
│ │ РС8 │ │ │ │
├─────────────┼────────────┤ ├─────────┼────────┤
│267,430 │К │ │1,0 │1,0 │
│ │ РС8 │ │ │ │
├─────────────┼────────────┼──────────────────┼─────────┼────────┤
│267,450 │К │ Увеличение ви- │1,0 │1,0 │
│ │ РС4 │димости, смягчение│ │ │
├─────────────┼────────────┤продольного уклона├─────────┼────────┤
│267,520 │К │ │1,0 │1,0 │
│ │ РС4 │ │ │ │
├─────────────┼────────────┤ ├─────────┼────────┤
│267,900 │К │ │1,0 │1,0 │
│ │ РС4 │ │ │ │
├─────────────┼────────────┤ ├─────────┼────────┤
│268,000 │К │ │1,0 │1,0 │
│ │ РС4 │ │ │ │
├─────────────┼────────────┤ ├─────────┼────────┤
│268,230 │К │ │1,0 │1,0 │
│ │ РС4 │ │ │ │
├─────────────┼────────────┤ ├─────────┼────────┤
│268,320 │К │ │1,0 │1,02 │
│ │ РС4 │ │ │ │
├─────────────┼────────────┼──────────────────┼─────────┼────────┤
│268,670 │К │ Укладка вырав- │0,95 │0,97 │
│ │ РС6 │нивающего слоя │ │ │
└─────────────┴────────────┴──────────────────┴─────────┴────────┘
Очередность дорожно-ремонтных работ определяем, используя критерий транспортного эффекта по
формуле (7.3). Поскольку интенсивность движения на всем протяжении оцениваемого отрезка дороги одинакова, то для упрощения демонстрации расчетов пренебрежем составляющей

.
Рассмотрим подробно расчет экономического эффекта для работ по устройству шероховатой поверхностной обработки (

) на микроучастке по адресу 266,000 - 266,820 км:
Эффект по работам, связанным с обеспечением требуемой видимости и смягчением продольного уклона (

), на микроучастках с адресами 264,750 - 265,480 км, 266,820 - 267,110 км и 267,450 - 268,670 км:
Эффект по работам, связанным с увеличением радиуса кривой в плане или устройством виража (

), на микроучастке по адресу 265,480 - 265,960 км:
Эффект по работам, связанным с усилением дорожной одежды (

), на микроучастке по адресу 267,110 - 267,450 км:
Эффект по работам, связанным с восстановлением ровности (

), на микроучастке по адресу 268,670 - 269,000 км:
Результаты анализа занесем в табл. 8.32.
Таблица 8.32
Ведомость очередности дорожно-ремонтных работ
┌────────────┬──────────────────┬──────────────────┬─────────────┐
│Очередность │Вид дорожно- │Адрес микроучаст- │ Достигаемый │
│ работ │ремонтных работ │ка, км + ... │ эффект Э │
│ │ ├─────────┬────────┤ Дj │
│ │ │ начало │ конец │ │
├────────────┼──────────────────┼─────────┼────────┼─────────────┤
│ 1 │ 2 │ 3 │ 4 │ 5 │
├────────────┼──────────────────┼─────────┼────────┼─────────────┤
│1 │ Увеличение ви- │264,750 │265,480 │0,7203 │
│ │димости, смягчение│266,820 │267,110 │ │
│ │продольного │267,450 │268,670 │ │
│ │уклона │ │ │ │
├────────────┼──────────────────┼─────────┼────────┼─────────────┤
│2 │ Устройство шеро-│266,000 │266,820 │0,154 │
│ │ховатой поверх- │ │ │ │
│ │ностной обработки │ │ │ │
├────────────┼──────────────────┼─────────┼────────┼─────────────┤
│3 │ Усиление │267,110 │267,450 │0,1224 │
│ │дорожной одежды │ │ │ │
├────────────┼──────────────────┼─────────┼────────┼─────────────┤
│4 │ Укладка выравни-│268,670 │269,000 │0,1089 │
│ │вающего слоя │ │ │ │
├────────────┼──────────────────┼─────────┼────────┼─────────────┤
│5 │ Увеличение │265,480 │265,960 │0,1056 │
│ │радиуса кривой; │ │ │ │
│ │устройство виража │ │ │ │
└────────────┴──────────────────┴─────────┴────────┴─────────────┘
8.5. Назначение видов и очередности дорожно-ремонтных работ
с использованием программы ODDR 7
Программа ODDR позволяет выполнять назначение видов и очередности дорожно-ремонтных работ как в условиях полного финансирования, так и при ограниченном финансировании. Если на участке автомобильной дороги выделены самостоятельные характерные микроучастки с рассчитанным итоговым коэффициентом обеспеченности расчетной скорости

протяженностью менее 300 м, программа с некоторым осреднением укрупняет такой микроучасток до 300 м.
В форме табл. 8.33 приведен общий вид сводной таблицы результатов оценки состояния участка дороги для ввода в ЭВМ. Результаты проведенного программой расчета для рассматриваемого примера в условиях полного и ограниченного финансирования показаны на форме
табл. 8.34 и
8.35 соответственно.
Таблица 8.33
РАСЧЕТ ОБЪЕМОВ И ОЧЕРЕДНОСТИ ДОРОЖНО-РЕМОНТНЫХ РАБОТ
на автомобильных дорогах в Смоленской области
ОСНОВНЫЕ ИСХОДНЫЕ ДАННЫЕ
ЗНАЧЕНИЕ ДОРОГИ - Федеральная: ...
ДОРОЖНО-КЛИМАТИЧЕСКАЯ ЗОНА - 2
ХАРАКТЕР РЕЛЬЕФА МЕСТНОСТИ - Равнинный
ТЕРРИТОР. КОЭФФ. СТОИМОСТИ - 1.04
ИСПЫТАНИЕ ДОРОЖНОЙ ОДЕЖДЫ
ПРОВЕДЕНО МЕТОДОМ НАГРУЖЕНИЯ
КОЛЕСОМ АВТОМОБИЛЯ
А* - 125 МПа
В* - 68 МПа
┌────┬────────┬─────┬──────┬───────┬───────┬─────────────────────────────────┬────────────┬───────┬────────┬──────┬────────────┬──────────┬────────┬──────┬───────┐
│N │Распо- │Кате-│Колич.│Фактич.│Показа-│ Дорожная одежда │ Обочины │Ширина │Ширина │Про- │Кривые в │Ровность │Коэффи- │Глуби-│Коэффи-│
│уча-│ложение │гория│полос │интенс.│тель │ │ │укрепл.│разде- │доль- │плане │по ТХК │циент │на │циент │
│стка│участка │дорог│движе-│движе- │роста ├───────┬───┬──────┬───────┬──────┼──────┬─────┤поверх.│литель- │ный ├──────┬─────┤(см/км) │сцеп- │колеи │относи-│
│ │(от ... │ │ния │ния │интен. │Период │Тип│Модуль│Толщи- │Толщи-│Шири- │Тип │(м) │ной по- │уклон │Ради- │Ви- │ │ления │(мм) │тельной│
│ │до) км+м│ │ │(авт./ │движ. │эксплу-│ │упру- │на (см)│на │на (м)│укре-│ │лосы (м)│(%) │ус, м │раж │ │ │ │аварий-│
│ │- км+м │ │ │сут) │(%) │атации │ │гости │ │песча-│ │пле- │ │ │ │ │ │ │ │ │ности │
│ │ │ │ │ │ │(годы) │ │(МПа) │ │ного │ │ния │ │ │ │ │ │ │ │ │ │
│ │ │ │ │ │ │ │ │ │ │слоя │ │ │ │ │ │ │ │ │ │ │ │
│ │ │ │ │ │ │ │ │ │ │(см) │ │ │ │ │ │ │ │ │ │ │ │
├────┼────────┼─────┼──────┼───────┼───────┼───────┼───┼──────┼───────┼──────┼──────┼─────┼───────┼────────┼──────┼──────┼─────┼──────────┼────────┼──────┼───────┤
│ │ │ │ │ │ │ │ │ │ │ │ │ │ │ │ │ │ │ │ │ │ │
└────┴────────┴─────┴──────┴───────┴───────┴───────┴───┴──────┴───────┴──────┴──────┴─────┴───────┴────────┴──────┴──────┴─────┴──────────┴────────┴──────┴───────┘
Таблица 8.34
ПРОГРАММА ODDR_7
Дата расчета 25-02-2002
РАСЧЕТ ОБЪЕМОВ И ОЧЕРЕДНОСТИ ДОРОЖНО-РЕМОНТНЫХ РАБОТ
на автомобильных дорогах в Смоленской области
ЗНАЧЕНИЕ ДОРОГИ - Федеральная: ...
ДОРОЖНО-КЛИМАТИЧЕСКАЯ ЗОНА - 2
ХАРАКТЕР РЕЛЬЕФА МЕСТНОСТИ - Равнинный
ТЕРРИТОР. КОЭФФ. СТОИМОСТИ - 1.04
ИСПЫТАНИЕ ДОРОЖНОЙ ОДЕЖДЫ
КОЛЕСОМ АВТОМОБИЛЯ
А* - 125 МПа
В* - 68 МПа
ОЧЕРЕДНОСТЬ РАБОТ
ПО РЕМОНТУ АВТОМОБИЛЬНОЙ ДОРОГИ
ПРИ ПОЛНОЙ ОБЕСПЕЧЕННОСТИ ФИНАНСИРОВАНИЕМ
┌───────┬────────────────────────┬───────┬─────────┬───────┬────────────┬───────┐
│Очеред-│ Виды работ │N учас-│Располо- │ Длина │ Стоимость │Показа-│
│ность │ │тка │жение │участка│ выполнения │тель │
│работ │ │ │участка │ (км) │работ (руб.)│эффек- │
│ │ │ │(км - км)│ │ │тивно- │
│ │ │ │ │ │ │сти │
│ │ │ │ │ │ │ремонта│
├───────┼────────────────────────┼───────┼─────────┼───────┼────────────┼───────┤
│ 1 │ 2 │ 3 │ 4 │ 5 │ 6 │ 7 │
├───────┼────────────────────────┼───────┼─────────┼───────┼────────────┼───────┤
│1 │Укрепление обочин │ │ │ │ │41,8137│
│ │(слой щебня или гравия) │1 │264,00 - │ .38 │3306,04 │ │
│ │ │ │ 264,38│ │ │ │
│ │ │2 │264,38 - │ .37 │3218,96 │ │
│ │ │ │ 264,75│ │ │ │
│ │ │3 │264,75 - │ .73 │6351,10 │ │
│ │ │ │ 265,48│ │ │ │
│ │ │4 │265,48 - │ .48 │4175,83 │ │
│ │ │ │ 265,96│ │ │ │
│ │ │5 │265,96 - │ .36 │3132,14 │ │
│ │ │ │ 266,32│ │ │ │
│ │ │9 │267,52 - │ .38 │3306,04 │ │
│ │ │ │ 267,90│ │ │ │
│ │ │10 │267,90 - │ .33 │2871,15 │ │
│ │ │ │ 268,23│ │ │ │
│ │ │11 │268,23 - │ .44 │3828,02 │ │
│ │ │ │ 268,67│ │ │ │
│ │ │12 │268,67 - │ .33 │2870,88 │ │
│ │ │ │ 269,00│ │ │ │
│ │ │ │ │ Итого: 33060,16 │ │
├───────┼────────────────────────┼───────┼─────────┼───────┬────────────┼───────┤
│2 │Усиление дорожной одежды│ │ │ │ │38,9242│
│ │ Етр = 221,637 │3 │264,75 - │ .73 │6825,55 │ │
│ │ │ │ 265,48│ │ │ │
│ │ Етр = 221,637 │4 │265,48 - │ .48 │19098,81 │ │
│ │ │ │ 265,96│ │ │ │
│ │ Етр = 221,637 │5 │265,96 - │ .36 │9752,31 │ │
│ │ │ │ 266,32│ │ │ │
│ │ Етр = 221,637 │9 │267,52 - │ .38 │27286,61 │ │
│ │ │ │ 267,90│ │ │ │
│ │ Етр = 221,637 │10 │267,90 - │ .33 │5410,58 │ │
│ │ │ │ 268,23│ │ │ │
│ │ Етр = 221,637 │11 │268,23 - │ .44 │7213,77 │ │
│ │ │ │ 268,67│ │ │ │
│ │ Етр = 221,637 │12 │268,67 - │ .33 │5410,08 │ │
│ │ │ │ 269,00│ │ │ │
│ │ │ │ │ Итого: 80997,72 │ │
├───────┼────────────────────────┼───────┼─────────┼───────┬────────────┼───────┤
│3 │Увелич. ширины укрепл. │ │ │ │ │33,8254│
│ │поверхн. (реконстр.) │ │ │ │ │ │
│ │ │6 │266,32 - │ .50 │338000,00 │ │
│ │ │ │ 266,82│ │ │ │
│ │ │7 │266,82 - │ .32 │277162,50 │ │
│ │ │ │ 267,14│ │ │ │
│ │ │8 │267,14 - │ .38 │297431,30 │ │
│ │ │ │ 267,52│ │ │ │
│ │ │ │ │ Итого: 912593,90 │ │
├───────┴────────────────────────┴───────┴─────────┴────────────────────┴───────┤
│Всего 1026652,00 │
│комплексный транспортно-эксплуатационный показатель: │
│ │
│- до ремонта дороги КП = .67 │
│ ф │
│- после комплексного ремонта КП = .91 │
│ ф │
│- прирост показателя КП = 35.03% │
│ ф │
└───────────────────────────────────────────────────────────────────────────────┘
Примечание. В связи с изменением цен после 1990 года фактическая потребность в объеме финансирования должна быть увеличена в соответствующее число раз.
Таблица 8.35
ПРОГРАММА ODDR_7
Дата расчета 25-02-2002
РАСЧЕТ ОБЪЕМОВ И ОЧЕРЕДНОСТИ ДОРОЖНО-РЕМОНТНЫХ РАБОТ
на автомобильных дорогах в Смоленской области
ЭКОНОМИЧЕСКИЙ ЭФФЕКТ НА РУБЛЬ ЗАТРАТ
ОТ ВЫПОЛНЕНИЯ РЕМОНТА НА ОТДЕЛЬНЫХ УЧАСТКАХ ДОРОГИ
┌───┬────────┬────────────────────────────────────────────────────────────────────┐
│ N │Располо-│ Виды дорожно-ремонтных работ │
│п/п│жение ├──────┬─────────┬────────┬───────┬────────┬─────────┬────────┬──────┤
│ │участка │укреп-│увелич. │смягчен.│увелич.│выравн. │устройст-│усиление│устра-│
│ │ │ление │укр. пов.│продоль-│радиуса│слой с │во по- │дорожной│нение │
│ │ │обочин│(рекон- │ного │кривой │поверхн.│верхнос. │одежды │колеи │
│ │ │ │струкция)│уклона │в плане│обработ.│обработки│ │ │
├───┼────────┼──────┼─────────┼────────┼───────┼────────┼─────────┼────────┼──────┤
│1 │264,00 -│3.51 │ │ │ │ │ │ │ │
│ │ 264,38│ │ │ │ │ │ │ │ │
│2 │264,38 -│3.51 │ │ │ │ │ │ │ │
│ │ 264,75│ │ │ │ │ │ │ │ │
│3 │264,75 -│-.08 │ │ │ │ │ │4.24 │ │
│ │ 265,48│ │ │ │ │ │ │ │ │
│4 │265,48 -│-.09 │ │ │ │1.57 │ │ .80 │ │
│ │ 265,96│ │ │ │ │ │ │ │ │
│5 │265,96 -│-.11 │ │ │ │ │-.28 │1.42 │ │
│ │ 266,32│ │ │ │ │ │ │ │ │
│6 │266,32 -│ │ │ │ │ │-.25 │ .04 │ │
│ │ 266,82│ │ │ │ │ │ │ │ │
│7 │266,82 -│9.19 │ │-.01 │ │ │-.24 │ .05 │ │
│ │ 267,14│ │ │ │ │ │ │ │ │
│8 │267,14 -│7.09 │ .20 │ │ │ │-.26 │ .30 │ │
│ │ 267,52│ │ │ │ │ │ │ │ │
│9 │267,52 -│-.11 │ .31 │ │ │ │-.28 │ .85 │ │
│ │ 267,90│ │ │ │ │ │ │ │ │
│10 │267,90 -│-.10 │ .23 │ │ │2.12 │ │7.31 │ │
│ │ 268,23│ │ │ │ │ │ │ │ │
│11 │268,23 -│-.09 │ │ │ │2.13 │ │7.32 │ │
│ │ 268,67│ │ │ │ │ │ │ │ │
│12 │268,67 -│-.10 │ │ │ │2.12 │ │7.31 │ │
│ │ 269,00│ │ │ │ │ │ │ │ │
└───┴────────┴──────┴─────────┴────────┴───────┴────────┴─────────┴────────┴──────┘
ОЧЕРЕДНОСТЬ РАБОТ ПО РЕМОНТУ АВТОМОБИЛЬНОЙ ДОРОГИ
В УСЛОВИЯХ ОГРАНИЧЕННЫХ РЕСУРСОВ
Необходимые затраты на ремонт дороги 1026652.00
Выделяемые средства 55300.00
┌─────┬───────────────────┬──────┬────────┬───────┬────────────────────┐
│Оче- │ Виды работ │N уча-│Располо-│ Длина │Стоимость выполнения│
│ред- │ │стка │жение │участка│ работ (руб.) │
│ность│ │ │участка │ (км) ├─────────┬──────────┤
│работ│ │ │(км - │ │ затраты │выделяемые│
│ │ │ │ км) │ │на ремонт│ средства │
├─────┼───────────────────┼──────┼────────┼───────┼─────────┼──────────┤
│1 │ Укрепление обочин│7 │266,82 -│ .32 │2784,06 │2784,06 │
│ │(слой щебня или │ │ 267,14│ │ │ │
│ │гравия) │ │ │ │ │ │
│2 │ Усиление дорожной│11 │268,23 -│ .44 │7213,77 │7213,77 │
│ │одежды │ │ 268,67│ │ │ │
│ │(Етр = 221,637) │ │ │ │ │ │
│3 │ Усиление дорожной│10 │267,90 -│ .33 │5410,58 │5410,58 │
│ │одежды │ │ 268,23│ │ │ │
│ │(Етр = 221,637) │ │ │ │ │ │
│4 │ Усиление дорожной│12 │268,67 -│ .33 │5410,08 │5410,08 │
│ │одежды │ │ 269,00│ │ │ │
│ │(Етр = 221,637) │ │ │ │ │ │
│5 │ Укрепление обочин│8 │267,14 -│ .38 │3305,78 │3305,78 │
│ │(слой щебня или │ │ 267,52│ │ │ │
│ │гравия) │ │ │ │ │ │
│6 │ Усиление дорожной│3 │264,75 -│ .73 │6825,55 │6825,55 │
│ │одежды │ │ 265,48│ │ │ │
│ │(Етр = 221,637) │ │ │ │ │ │
│7 │ Укрепление обочин│1 │264,00 -│ .38 │3306,04 │3306,04 │
│ │(слой щебня или │ │ 264,38│ │ │ │
│ │гравия) │ │ │ │ │ │
│8 │ Укрепление обочин│2 │264,38 -│ .37 │3218,96 │3218,96 │
│ │(слой щебня или │ │ 264,75│ │ │ │
│ │гравия) │ │ │ │ │ │
│9 │ Устр-во выравн. │4 │265,48 -│ .48 │8313,86 │8313,86 │
│ │слоя с поверхн. │ │ 265,96│ │ │ │
│ │обработкой │ │ │ │ │ │
│10 │ Усиление дорожной│5 │265,96 -│ .36 │9752,31 │9511,32 │
│ │одежды │ │ 266,32│ │ │ │
│ │(Етр = 221,637) │ │ │ │ │ │
│ │ │ │ │ │ │ │
│ Всего 55300,00 │
│ Комплексный транспортно-эксплуатационный показатель: │
│ - до ремонта дороги КП = .67 │
│ ф │
│ - после комплексного ремонта КП = .76 │
│ ф │
│ - прирост показателя КП = 12,54% │
│ ф │
└──────────────────────────────────────────────────────────────────────┘
Примечание. В связи с изменением цен после 1990 года фактическая потребность в объеме финансирования должна быть увеличена в соответствующее число раз.
ОПРЕДЕЛЕНИЯ СРЕДНЕЙ СКОРОСТИ ТРАНСПОРТНОГО ПОТОКА
1. Важным показателем степени соответствия качества и состояния дороги сложившейся интенсивности и составу является средняя скорость транспортного потока.
Оценку потребительских свойств дороги выполняют применительно к ее характерному состоянию в расчетных по условиям движения осенне-весенний период года при влажной или мокрой поверхности дороги.
Скорость движения транспортного потока, наблюдаемая в этих условиях, условно принята за среднегодовую, поскольку в летний период при благоприятных условиях погоды скорость движения может быть выше, чем в осенне-весенний, а в зимний период из-за наличия скользкости, снежных отложений и других неблагоприятных факторов скорость движения может быть значительно ниже, чем в осенне-весенний.
Более точно среднегодовая скорость движения может быть определена после оценки состояния дороги в летний, осенне-весенний и зимний периоды года, методика выполнения которой в данной работе не рассматривается.
2. В общем виде среднюю скорость транспортного потока на каждом характерном участке дороги определяют по формуле:

, км/ч, (9.1)
где

- фактическая обеспеченная дорогой при данном ее состоянии максимально возможная безопасная скорость движения одиночного автомобиля, км/ч;
t - функция доверительной вероятности; принимают t = 1,04 для доверительной вероятности 85%;

- среднеквадратическое отклонение скорости движения свободного транспортного потока, км/ч;

- показатель, учитывающий влияние интенсивности и состава транспортного потока на скорость движения, км/ч.
3. Практический расчет средней скорости транспортного потока на каждом характерном участке ведут с использованием данных линейного графика транспортно-эксплуатационного состояния в такой последовательности:
а) За характерные принимают участки, на протяжении которых все основные элементы, параметры и характеристики дороги сохраняют одни и те же размеры, величины и значения. На всем протяжении этого участка комплексный показатель транспортно-эксплуатационного состояния (

) имеет одну и ту же величину, ограниченную одним и тем же параметром или характеристикой дороги.
Порядок выделения характерных участков изложен в
разделе 5.
б) На каждом характерном участке определяют значения фактически обеспеченной максимальной скорости движения

, км/ч, (9.2)
где

- комплексный показатель транспортно-эксплуатационного состояния дороги. Принимают по линейному графику оценки транспортно-эксплуатационного состояния.
в) Определяют значения, учитывающие уровень доверительной вероятности и разброс скоростей движения в транспортном потоке, по
табл. 9.1 и
9.2.
г) Определяют величину снижения скорости за счет влияния интенсивности и состава движения:

. (9.3)
Значения

принимают по
табл. 5.7, исходя из фактической интенсивности и состава движения на каждом участке дороги.
д) Определяют величину средней скорости транспортного потока на каждом характерном участке дороги по
формуле (9.1).
При этом необходимо учитывать, что при определении

значение

уже было учтено. Поэтому, если на данном участке величина

, то значение средней скорости транспортного потока определяют по формуле:

, км/ч. (9.4)
В тех случаях, когда минимальное значение на данном участке имеет любой другой частный коэффициент обеспеченности расчетной скорости, принятый за

, расчет ведется по
формуле (9.1).
4. Средневзвешенную скорость транспортного потока по всей дороге определяют по формуле:

, км/ч, (9.5)
где

- средняя скорость транспортного потока на каждом характерном участке дороги, км/ч;

- протяженность каждого характерного участка, км;
n - количество характерных участков;
L - длина дороги, км.
5. При необходимости определения кроме средней скорости транспортного потока средней скорости отдельно легковых и грузовых автомобилей пользуются следующими эмпирическими соотношениями:

, км/ч, (9.6)

, км/ч, (9.7)
где

и

- средние скорости легковых и грузовых автомобилей соответственно, км/ч.
Таблица 9.1
Значения

для двухполосных дорог
┌───────────────┬────────────────────────────────────────────────┐
│ Значения │ Значения t х сигма при доле грузовых │
│ V , км/ч │ V │
│ Ф.МАХ │ автомобилей и автобусов бета, равном │
│ ├─────────┬────────┬────────┬─────────┬──────────┤
│ │ 0,6 │ 0,5 │ 0,4 │ 0,3 │ 0,2 │
├───────────────┼─────────┼────────┼────────┼─────────┼──────────┤
│20 │4,3 │4,0 │4,0 │3,8 │3,7 │
├───────────────┼─────────┼────────┼────────┼─────────┼──────────┤
│30 │5,0 │4,6 │4,5 │4,2 │4,1 │
├───────────────┼─────────┼────────┼────────┼─────────┼──────────┤
│40 │6,1 │5,3 │5,1 │4,8 │4,6 │
├───────────────┼─────────┼────────┼────────┼─────────┼──────────┤
│50 │7,5 │6,2 │6,0 │5,5 │5,2 │
├───────────────┼─────────┼────────┼────────┼─────────┼──────────┤
│60 │9,2 │7,3 │7,0 │6,4 │6,0 │
├───────────────┼─────────┼────────┼────────┼─────────┼──────────┤
│70 │11,3 │8,7 │8,2 │7,5 │7,0 │
├───────────────┼─────────┼────────┼────────┼─────────┼──────────┤
│80 │13,6 │10,3 │9,6 │8,8 │8,1 │
├───────────────┼─────────┼────────┼────────┼─────────┼──────────┤
│90 │16,3 │12,1 │11,2 │10,2 │9,0 │
├───────────────┼─────────┼────────┼────────┼─────────┼──────────┤
│100 │19,2 │14,0 │13,0 │11,8 │10,7 │
├───────────────┼─────────┼────────┼────────┼─────────┼──────────┤
│110 │22,5 │16,2 │15,0 │13,5 │12,2 │
├───────────────┼─────────┼────────┼────────┼─────────┼──────────┤
│120 │26,1 │18,6 │17,1 │15,4 │13,9 │
├───────────────┼─────────┼────────┼────────┼─────────┼──────────┤
│130 │30,0 │21,2 │19,4 │17,5 │15,7 │
└───────────────┴─────────┴────────┴────────┴─────────┴──────────┘
Таблица 9.2
Значения

для многополосных дорог
┌───────────────┬────────────────────────────────────────────────┐
│ Значения │ Значения t х cигма в зависимости от │
│ V , км/ч │ V │
│ Ф.МАХ │ местоположения полос движения, км/ч │
│ ├─────────────────┬────────────────┬─────────────┤
│ │ правая крайняя │средние полосы │левая крайняя│
├───────────────┼─────────────────┼────────────────┼─────────────┤
│20 │1,6 │1,5 │1,4 │
├───────────────┼─────────────────┼────────────────┼─────────────┤
│30 │1,7 │1,6 │1,5 │
├───────────────┼─────────────────┼────────────────┼─────────────┤
│40 │2,5 │1,7 │1,6 │
├───────────────┼─────────────────┼────────────────┼─────────────┤
│50 │3,2 │2,5 │1,8 │
├───────────────┼─────────────────┼────────────────┼─────────────┤
│60 │4,6 │3,3 │2,6 │
├───────────────┼─────────────────┼────────────────┼─────────────┤
│70 │6,5 │4,1 │3,3 │
├───────────────┼─────────────────┼────────────────┼─────────────┤
│80 │8,2 │5,9 │4,3 │
├───────────────┼─────────────────┼────────────────┼─────────────┤
│90 │9,9 │7,7 │5,7 │
├───────────────┼─────────────────┼────────────────┼─────────────┤
│100 │12,3 │9,8 │7,0 │
├───────────────┼─────────────────┼────────────────┼─────────────┤
│110 │14,8 │11,5 │8,8 │
├───────────────┼─────────────────┼────────────────┼─────────────┤
│120 │17,9 │13,6 │10,5 │
├───────────────┼─────────────────┼────────────────┼─────────────┤
│130 │20,5 │16,4 │12,3 │
├───────────────┼─────────────────┼────────────────┼─────────────┤
│140 │23,1 │18,7 │13,3 │
├───────────────┼─────────────────┼────────────────┼─────────────┤
│150 │26,2 │21,3 │15,6 │
└───────────────┴─────────────────┴────────────────┴─────────────┘
НОРМАТИВЫ
ОБЪЕМОВ РАБОТ И ПЕРИОДИЧНОСТЬ ДИАГНОСТИКИ
И ОБСЛЕДОВАНИЯ АВТОМОБИЛЬНЫХ ДОРОГ
┌──┬──────────────────────┬──────────────────────────┬─────────────┐
│N │ Параметры и элементы │ Федеральные дороги │Местные доро-│
│ │ ├────────────┬─────────────┤ги (террито- │
│ │ │Магистраль- │ Прочие │риальные) │
│ │ │ные │ │ │
├──┼──────────────────────┼────────────┼─────────────┼─────────────┤
│1 │ 2 │ 3 │ 4 │ 5 │
├──┼──────────────────────┼────────────┴─────────────┴─────────────┤
│1 │ Геометрические │ При первичной диагностике эксплуати- │
│ │параметры плана и │руемых дорог. │
│ │профиля (ширина │ При повторной диагностике только на │
│ │проезжей части и │участках изменения геометрических пара- │
│ │обочин, продольные и │метров после проведения соответствующих │
│ │поперечные уклоны, │ремонтных мероприятий или реконструкции │
│ │радиусы горизонтальных│ │
│ │кривых, ширина │ │
│ │разделительной полосы │ │
│ │и др.) │ │
├──┼──────────────────────┼────────────┬─────────────┬─────────────┤
│2 │ Ровность покрытия │ │ │ │
│ │проезжей части: │ │ │ │
│ │ на участках с │Ежегодно │Раз в 2 года │Раз в 3 года │
│ │неудовлетворительной │ │ │ │
│ │ровностью │ │ │ │
│ │ на остальных участ- │Раз в 2 года│Раз в 3 года │Раз в 3 года │
│ │ках │ │ │ │
├──┼──────────────────────┼────────────┼─────────────┼─────────────┤
│3 │ Сцепные свойства │Ежегодно │Раз в 2 года │Раз в 3 года │
│ │дорожных покрытий │ │ │ │
├──┼──────────────────────┼────────────┼─────────────┼─────────────┤
│4 │ Визуальная │Ежегодно │Ежегодно │Ежегодно │
│ │регистрация дефектов │ │ │ │
│ │дорожных одежд и │ │ │ │
│ │покрытий с целью │ │ │ │
│ │определения их │ │ │ │
│ │состояния │ │ │ │
├──┼──────────────────────┼────────────┼─────────────┼─────────────┤
│5 │ Прочность дорожной │ │ │ │
│ │одежды, оценка │ │ │ │
│ │состояния и системы │ │ │ │
│ │водоотвода: │ │ │ │
│ │ на участках с │Ежегодно │Ежегодно │Раз в 3 года │
│ │ К < 0,80 │ │ │ │
│ │ ПР │ │ │ │
│ │ на остальных │Раз в 3 года│Раз в 4 года │Раз в 5 лет │
│ │участках │ │ │ │
│ │ а также после проведения работ по ремонту и реконструкции │
├──┼──────────────────────┬────────────┬─────────────┬─────────────┤
│6 │ Состояние дорожных │Раз в 3 года│Раз в 4 года │Раз в 5 лет │
│ │устройств и обстановки│ │ │ │
│ │дороги (площадки │ │ │ │
│ │отдыха, площадки для │ │ │ │
│ │стоянки автомобилей, │ │ │ │
│ │автобусные остановки и│ │ │ │
│ │автопавильоны, │ │ │ │
│ │дорожные знаки и │ │ │ │
│ │указатели, ограждения │ │ │ │
│ │и др.) │ │ │ │
├──┼──────────────────────┼────────────┼─────────────┼─────────────┤
│7 │ Состояние водо- │Раз в 3 года│Раз в 4 года │Раз в 5 лет │
│ │пропускных труб │ │ │ │
├──┼──────────────────────┼────────────┼─────────────┼─────────────┤
│8 │ Учет интенсивности │Ежегодно │Раз в 3 года │Раз в 5 лет │
│ │движения и состава │ │ │ │
│ │транспорта потока │ │ │ │
├──┼──────────────────────┼────────────┼─────────────┼─────────────┤
│9 │ Сбор информации об │Ежегодно │Ежегодно │Ежегодно │
│ │аварийности с вы- │ │ │ │
│ │явлением участков │ │ │ │
│ │концентрации ДТП и их │ │ │ │
│ │детальным │ │ │ │
│ │обследованием │ │ │ │
├──┼──────────────────────┼────────────┼─────────────┼─────────────┤
│10│ Формирование и │Ежегодно │Ежегодно │Ежегодно │
│ │обновление банка │ │ │ │
│ │данных о состоянии │ │ │ │
│ │дорог │ │ │ │
└──┴──────────────────────┴────────────┴─────────────┴─────────────┘
ОЦЕНКИ ТРАНСПОРТНО-ЭКСПЛУАТАЦИОННОГО СОСТОЯНИЯ ДОРОГИ
┌──────────────────────────────────────────────────────┬───┬─────────┐
│Схематический продольный профиль │1 │ │
├──────────────────────────────────────────────────────┼───┼─────────┤
│Продольные уклоны, о/оо │2 │ │
├──────────────────────────────────────────────────────┼───┼─────────┤
│Радиусы кривых в плане, м │3 │ │
│наличие виража │ │ │
├──────────────────────────────────────────────────────┼───┼─────────┤
│Расстояние видимости, м │4 │ │
├──────────────────────────────────────────────────────┼───┼─────────┤
│Ситуация (пересечения, примыкания, подъезды, съезды, │5 │ │
│автобусные остановки - А, населенные пункты с │ │ │
│тротуарами и пешеходными дорожками, водотоки, │ │ │
│ландшафт) │ │ │
├────────┬────────┬────────────────────────────────────┼───┼─────────┤
│Поверх- │Обочина │Ширина обочины, м │6 │ │
│ность │слева ├────────────────────────────────────┼───┼─────────┤
│земля- │ │Ширина укрепленной части, м (тип │7 │ │
│ного │ │укрепления) │ │ │
│полотна │ ├────────────────────────────────────┼───┼─────────┤
│ │ │Ширина краевой полосы, м │8 │ │
│ ├────────┴────────────────────────────────────┼───┼─────────┤
│ │Ширина проезжей части (количество полос) │9 │ │
│ │движения (тип покрытия) │ │ │
│ ├────────┬────────────────────────────────────┼───┼─────────┤
│ │Обочина │Ширина обочины, м │10 │ │
│ │справа ├────────────────────────────────────┼───┼─────────┤
│ │ │Ширина укрепленной части, м (тип │11 │ │
│ │ │укрепления) │ │ │
│ │ ├────────────────────────────────────┼───┼─────────┤
│ │ │Ширина краевой полосы, м │12 │ │
├────────┴────────┴────────────────────────────────────┼───┼─────────┤
│Состояние дорожного покрытия, баллы │13 │ │
├──────────────────────────────────────────────────────┼───┼─────────┤
│Ровность дорожного покрытия, см/км (прибор) │14 │ │
├──────────────────────────────────────────────────────┼───┼─────────┤
│Коэффициент сцепления │15 │ │
├─────────────────┬────────────────────────────────────┼───┼─────────┤
│Ограждения │слева │16 │ │
│ ├────────────────────────────────────┼───┼─────────┤
│ │справа │17 │ │
├─────────────────┼────────────────────────────────────┼───┼─────────┤
│Освещение │слева │18 │ │
│ ├────────────────────────────────────┼───┼─────────┤
│ │справа │19 │ │
├─────────────────┴────────────────────────────────────┼───┼─────────┤
│Площадки отдыха (ПО) и видовые площадки (ВП) │20 │ │
├──────────────────────────────────────────────────────┼───┼─────────┤
│Искусственные сооружения и их характеристика │21 │ │
├──────────────────────────────────────────────────────┼───┼─────────┤
│Интенсивность движения, авт./сут (доля грузовых и │22 │ │
│автобусов) │ │ │
├──────────────────────────────────────────────────────┼───┼─────────┤
│Количество ДТП │23 │ │
├────────┬─────────────────────────────────────────────┼───┼─────────┤
│Частные │Ширины основной укрепленной поверхности К │24 │ │
│коэффи- │ РС1│ │ │
│циенты ├─────────────────────────────────────────────┼───┼─────────┤
│обеспе- │Ширины и состояния обочин К │25 │ │
│ченно- │ РС2│ │ │
│сти ├─────────────────────────────────────────────┼───┼─────────┤
│расчет- │Интенсивности и состава движения К │26 │ │
│ной │ РС3│ │ │
│скоро- ├─────────────────────────────────────────────┼───┼─────────┤
│сти │Продольного уклона и видимости К │27 │ │
│ │ РС4│ │ │
│ ├─────────────────────────────────────────────┼───┼─────────┤
│ │Радиуса кривой в плане К │28 │ │
│ │ РС5│ │ │
│ ├─────────────────────────────────────────────┼───┼─────────┤
│ │Ровности покрытия К │29 │ │
│ │ РС6│ │ │
│ ├─────────────────────────────────────────────┼───┼─────────┤
│ │Коэффициента сцепления К │30 │ │
│ │ РС7│ │ │
│ ├─────────────────────────────────────────────┼───┼─────────┤
│ │Прочности дорожной одежды К │31 │ │
│ │ РС8│ │ │
│ ├─────────────────────────────────────────────┼───┼─────────┤
│ │Параметров колеи К │32 │ │
│ │ РС9│ │ │
│ ├─────────────────────────────────────────────┼───┼─────────┤
│ │Безопасности движения К │33 │ │
│ │ РС10│ │ │
├────────┴─────────────────────────────────────────────┼───┼─────────┤
│Комплексный показатель транс.-экспл. состояния КП │34 │ │
│ Д│ │ │
├──────────────────────────────────────────────────────┼───┼─────────┤
│Показатель инженерного оборудования и обустройства К │35 │ │
│ ОБ│ │ │
├──────────────────────────────────────────────────────┼───┼─────────┤
│Показатель уровня эксплуатационного содержания К │36 │ │
│ Э│ │ │
├──────────────────────────────────────────────────────┼───┼─────────┤
│Обобщенный показатель качества и состояния П │37 │ │
│ Д│ │ │
├──────────────────────────────────────────────────────┼───┼─────────┤
│Минимальный К │38 │ │
│ РС │ │ │
├──────────────────────────────────────────────────────┼───┼─────────┤
│График транспортно-эксплуатационного состояния КП │1,0│ │
│ Д│ │ │
│ │ ├─────────┤
│ │0,9│ │
│ │ ├─────────┤
│ │0,8│ │
│ │ ├─────────┤
│ │0,7│ │
│ │ ├─────────┤
│ │0,6│ │
├──────────────────────────────────────────────────────┼───┼─────────┤
│График обобщенного показателя качества и состояния П │1,0│ │
│ Д│ ├─────────┤
│ │0,9│ │
│ │ ├─────────┤
│ │0,8│ │
│ │ ├─────────┤
│ │0,7│ │
│ │ ├─────────┤
│ │0,6│ │
└──────────────────────────────────────────────────────┴───┴─────────┘