Главная // Актуальные документы // НормыСПРАВКА
Источник публикации
М.: ГУГПС МВД РФ, ВНИИПО МВД РФ, 2000
Примечание к документу
Введен в действие с 1 июля 2000 года.
Название документа
"НПБ 84-2000. Установки водяного и пенного пожаротушения роботизированные. Общие технические требования. Методы испытаний"
(утв. Приказом ГУГПС МВД РФ от 10.04.2000 N 18)
"НПБ 84-2000. Установки водяного и пенного пожаротушения роботизированные. Общие технические требования. Методы испытаний"
(утв. Приказом ГУГПС МВД РФ от 10.04.2000 N 18)
Утверждены и введены в действие
Приказом ГУГПС МВД РФ
от 10 апреля 2000 г. N 18
НОРМЫ ПОЖАРНОЙ БЕЗОПАСНОСТИ
УСТАНОВКИ ВОДЯНОГО И ПЕННОГО
ПОЖАРОТУШЕНИЯ РОБОТИЗИРОВАННЫЕ.
ОБЩИЕ ТЕХНИЧЕСКИЕ ТРЕБОВАНИЯ. МЕТОДЫ ИСПЫТАНИЙ
WATER AND FOAM FIRE EXTINGUISHING INSTALLATIONS
ROBOTICS. GENERAL TECHNICAL REQUIREMENTS.
TEST METHODS
НПБ 84-2000
Разработаны Федеральным государственным учреждением "Всероссийский ордена "Знак Почета" научно-исследовательский институт противопожарной обороны Министерства внутренних дел Российской Федерации" (ФГУ ВНИИПО МВД России) (С.Г. Цариченко, Л.М. Мешман, В.В. Алешин, Р.Ю. Губин).
Внесены ФГУ ВНИИПО МВД России.
Подготовлены к утверждению Главным управлением Государственной противопожарной службы (ГУГПС) МВД России (Е.П. Шаститко, А.А. Бондарев).
Утверждены и введены в действие Приказом ГУГПС МВД России от 10 апреля 2000 г. N 18.
Дата введения в действие 1 июля 2000 г.
Вводятся впервые.
1. Настоящие нормы распространяются на вновь разрабатываемые и выпускаемые стационарные роботизированные установки пожаротушения (далее - РУП), предназначенные для использования в автоматических водяных и пенных установках пожаротушения, а также на пожарные дистанционно управляемые лафетные стволы (далее - ДУЛС) и устанавливают общие технические требования и методы испытаний, в том числе сертификационных.
Требования настоящих норм являются обязательными.
2. В настоящих нормах использованы следующие термины.
Роботизированная установка пожаротушения - стационарное автоматическое средство, которое смонтировано на неподвижном основании, состоит из пожарного ствола, имеющего несколько степеней подвижности и оснащенного системой приводов, а также из устройства программного управления и предназначено для тушения и локализации пожара или охлаждения технологического оборудования и строительных конструкций.
Дистанционно управляемый лафетный ствол - пожарный лафетный ствол, оснащенный системой приводов, позволяющей осуществлять дистанционное управление стволом.
Имитатор рабочей нагрузки - груз определенной массы, размещаемый на пожарном стволе, при котором токи в электродвигателях или давление рабочего тела в гидро- и пневмоприводах соответствуют номинальному рабочему давлению подачи и номинальному расходу огнетушащего вещества.
Номинальное (условное) давление - числовое значение давления, которое является удобным для ссылочных целей.
Номинальный (условный) расход - числовое значение расхода, которое является удобным для ссылочных целей.
Устройство управления - устройство для формирования и выдачи управляющих команд пожарному стволу РУП в соответствии с управляющей программой.
Местный пульт управления - пульт управления, располагаемый в непосредственной близости от пожарного ствола.
Дистанционный пульт - пульт управления, располагаемый в пультовой, обособленном или отгороженном помещении.
Программное управление - автоматическое управление пожарным стволом РУП по заранее введенной программе.
Позиционное управление - управление пожарным стволом РУП, при котором движение его рабочего органа (насадка - пеногенератора) происходит по заданным точкам позиционирования без контроля траектории движения между ними.
Контурное управление - управление пожарным стволом РУП, при котором движение его рабочего органа (насадка, пеногенератора) происходит по заданной траектории.
Программирование обучением - программирование РУП, при котором составление и ввод управляющей программы осуществляется оператором при помощи движения непосредственно пожарного ствола РУП.
Оперативная программа управления - управляющая программа, формируемая непосредственно на рабочем месте с учетом конкретных факторов пожара (размеров очага горения, вида горючего), направления и дальности подачи огнетушащего вещества.
Продолжительность программирования - время, необходимое для составления и отладки программы.
Управляющая программа - совокупность команд, определяющая заданное функционирование РУП.
Режим холостого хода - движение пожарного ствола без подачи огнетушащего вещества.
Рабочий режим (режим функционирования под нагрузкой) - движение пожарного ствола с подачей огнетушащего вещества.
Сканирование - управляемое по определенной программе пространственное движение пожарного ствола.
III. КЛАССИФИКАЦИЯ, ОБОЗНАЧЕНИЕ И СОСТАВ
3. РУП и ДУЛС подразделяют:
3.1. В зависимости от функциональных возможностей:
а) на универсальные (У), формирующие сплошную и распыленную (с изменяемым углом факела) струи воды, а также струю воздушно-механической пены, и перекрывные, имеющие переменный расход;
б) формирующие сплошную струю воды и струю воздушно-механической пены (без индекса).
3.2. В зависимости от величины расхода воды на установки, имеющие расход:
до 20 дм3/с (20);
от 20 до 40 дм3/с (40);
от 40 до 60 дм3/с (60);
от 60 до 100 дм3/с (100).
3.3. В зависимости от вида привода на установки с приводом:
электрическим (Э);
гидравлическим (Г);
пневматическим (П);
комбинированным (К).
3.4. В зависимости от места монтажа на рабочем месте на установки:
напольные (Н);
подвесные (П);
настенные (С).
3.5. В зависимости от погрешности наведения, позиционирования и отработки траектории на установки, имеющие погрешность:
не более 1° (1);
не более 2° (2).
4. Обозначение РУП и ДУЛС должно иметь следующую структуру:
1 2 3 4 5 6 7 8 9 10 11 12 13 14 15 16
┌──┬──┬──┬──┬──┬──┬──┬──┬──┬──┬──┬──┬──┬──┬──┬──┐
│ │ │- │ │ │/ │ │ │ │. │ │ │- │" │ │" │
└──┴──┴──┴──┴──┴──┴──┴──┴──┴──┴──┴──┴──┴──┴──┴──┘
Условное │ │ │ │ │ │ │ │ │ │Тип РУП или
обозначение│ │ │ │ │ │ │ │ │ │ДУЛС соглас-
устройства │ │ │ │ │ │ │ │ │ │но техничес-
(РУП, ДУЛС)│ │ │ │ │ │ │ │ │ │кой докумен-
───────────┘ │ │ │ │ │ │ │ │ │тации на это
Расход воды, │ │ │ │ │ │ │ │ │изделие
дм3/с │ │ │ │ │ │ │ │ └────────────
──────────────┘ │ │ │ │ │ │ │Категория размещения
Максимальное рабочее│ │ │ │ │ │ │(цифровое обозначе-
────────────────────┘ │ │ │ │ │ └─────────────────────
Функциональная │ │ │ │ │Климатическое исполнение
возможность (У) │ │ │ │ │(буквенное обозначение)
Вид привода (Э, Г, П, К) │ │ │ └────────────────────────
─────────────────────────────┘ │ │
Погрешность позиционирования │ │
(1, 2) │ │
────────────────────────────────┘ │
Способ монтажа (Н, П, С) │
───────────────────────────────────┘
2. Для РУП напольного исполнения, указанных в
п. 3.1, поз. 9 допускается не проставлять.
3. Для ДУЛС
поз. 8 проставляют.
4. Тип РУП и ДУЛС согласно технической документации
(поз. 15) при обозначении берут в кавычки
(поз. 14 и
16).
Пример условного обозначения РУП с расходом до 20 дм3/с, максимальным рабочим давлением 1 МПа, универсальной, с электроприводом, с погрешностью наведения, позиционирования и отработки траектории не более 1°; настенного монтажа, климатического исполнения О, с категорией размещения 4, обозначением по технической документации "УПР-1":
Роботизированная установка пожаротушения
РУП 20-1У/Э1С.04-"УПР-1"
Пример условного обозначения ДУЛС с расходом до 40 дм3/с, максимальным рабочим давлением 0,8 МПа, с гидроприводом, формирующего сплошную струю воды, климатического исполнения О, с категорией размещения 3, обозначением по технической документации "ПЛС-Э":
Дистанционно управляемый пожарный ствол
ДУЛС 40-0,8/Г.03-"ПЛС-Э"
5. В состав РУП должны входить:
модуль пожаротушения - пожарный лафетный ствол с системой приводов и насадков;
система управления (пульты управления, программное обеспечение);
соединительные кабельные линии связи.
В состав ДУЛС должны входить:
модуль пожаротушения - пожарный лафетный ствол с системой приводов и насадков;
пульты управления;
соединительные кабельные линии связи.
IV. ОБЩИЕ ТЕХНИЧЕСКИЕ ТРЕБОВАНИЯ
6. Характеристики
6.1. Требования назначения
6.1.1. РУП и ДУЛС должны соответствовать требованиям настоящих норм и технической документации (ТД), утвержденной в установленном порядке.
6.1.2. Номенклатура показателей, содержащихся в ТД на представляемые на испытания РУП и ДУЛС, должна соответствовать номенклатуре технических требований настоящих норм.
6.1.3. Огнетушащее вещество, используемое в РУП и ДУЛС, должно соответствовать ТД на РУП и ДУЛС (вода и/или вода с добавками, и/или низкократная пена).
6.1.4. Максимальное рабочее давление РУП должно быть не менее 1 МПа (10 кгс/см2).
6.1.5. Максимальное рабочее давление ДУЛС должно быть не менее 0,8 МПа (8 кгс/см2).
6.1.6. Расход воды, водного раствора пенообразователя должен соответствовать ТД на РУП и ДУЛС.
6.1.7. Диапазон варьирования расхода огнетушащего вещества должен соответствовать ТД на РУП и ДУЛС.
6.1.8. Кратность пены на выходе из ствола должна быть не менее 5 (кратность пены соответствует пенообразователю общего назначения по
ГОСТ Р 50588).
6.1.9. Дальность подачи сплошной и распыленной водяных струй, а также струи пены низкой кратности должна соответствовать ТД на РУП и ДУЛС.
6.1.10. Угол факела распыленной струи воды должен соответствовать ТД на РУП и ДУЛС.
6.1.11. Гидравлические потери давления на пожарном стволе не должны превышать 0,05 МПа (0,5 кгс/см2).
6.1.12. Угловая скорость наведения пожарного ствола РУП и движения пожарного ствола ДУЛС на холостом ходу должна быть не менее 9 град/с.
6.1.13. Угловая скорость сканирования пожарным стволом РУП при подаче огнетушащего вещества должна быть не менее 3 град/с.
6.1.14. Диапазон перемещений пожарного ствола в горизонтальной плоскости должен соответствовать требованиям ТД на РУП и ДУЛС; в вертикальной плоскости при отсчете от горизонтальной плоскости диапазон перемещений ствола должен быть: вверх не менее 75°, вниз не менее 15°.
6.1.15. Максимальный диапазон углов сканирования пожарным стволом РУП в горизонтальной и вертикальной плоскостях должен быть не менее 60°.
6.1.16. Минимальный диапазон углов сканирования пожарным стволом РУП в горизонтальной и вертикальной плоскостях должен быть не более 2°.
6.1.17. Погрешность наведения РУП должна быть:
вариант 1 - не более 1°;
вариант 2 - не более 2°.
6.1.18. Погрешность позиционирования РУП должна быть:
вариант 1 - не более 1°;
вариант 2 - не более 2°.
6.1.19. Погрешность отработки траектории РУП должна быть:
вариант 1 - не более 1°;
вариант 2 - не более 2°.
6.1.20. Продолжительность непрерывной работы в режиме подачи огнетушащего вещества должна быть не менее 6 ч.
6.1.21. Программируемых каналов должно быть не менее 8 (один из них оперативный).
6.1.22. В РУП и ДУЛС должна быть предусмотрена возможность одновременного движения пожарного ствола по двум степеням подвижности.
6.1.23. Каналов связи с внешним оборудованием, подключаемых на вход и выход, должно быть не менее 2 на каждый вход и выход.
6.1.24. Программирование РУП при контурном управлении должно осуществляться манипуляцией пожарным стволом по требуемой траектории.
6.1.25. Программирование РУП при позиционном управлении должно осуществляться путем фиксации координат двух взаимно диагональных точек растра построчного сканирования и количества строк в растре (или шага сканирования) или путем фиксации точек заданной траектории движения ствола.
6.1.26. В РУП должна быть предусмотрена возможность управления от аппаратуры обнаружения пожара.
6.1.27. Управление пожарным стволом должно осуществляться как дистанционно, так и вручную (непосредственно рычагом ствола).
6.1.28. Продолжительность формирования оперативной программы (растра сканирования) при позиционном управлении РУП должна быть не более 5 с с момента наведения ствола на исходную позицию (начальную точку программного сканирования).
6.1.29. Длительность цикла выполнения каждой программы РУП должна быть не менее 1 мин.
6.1.30. Продолжительность пауз при реверсе пожарного ствола РУП не должна превышать 0,5 с.
6.1.31. Напряжение питания должно быть:
переменное

В;
постоянное

или

В.
6.1.32. Потребляемая мощность должна соответствовать ТД на РУП и ДУЛС.
6.2. Требования стойкости к внешним воздействиям
6.2.1. По устойчивости к климатическим воздействиям РУП и ДУЛС должны соответствовать требованиям
ГОСТ 15150.
6.3. Требования эргономики
6.3.1. Усилие на рукоятке пожарного ствола при механическом управлении вручную (с подачей воды) должно быть не более 120 Н.
6.3.2. Эргономические требования к клавишным и кнопочным выключателям и переключателям - согласно
ГОСТ 22614.
6.4. Конструктивные требования
6.4.1. Габаритные размеры должны соответствовать ТД на РУП и ДУЛС.
6.4.2. Масса должна соответствовать ТД на РУП и ДУЛС.
6.4.3. Монтажные посадочные соединения пожарного ствола должны соответствовать требованиям
ГОСТ 12815.
6.4.4. Расстояние между дистанционным пультом управления и пожарным стволом должно быть не менее 100 м, между местным пультом и стволом - согласно ТД на РУП и ДУЛС.
6.4.5. Конструкция пожарного ствола не должна иметь открытых передаточных механизмов.
6.4.6. Пожарный ствол должен сохранять прочность при гидравлическом давлении, превышающем максимальное рабочее давление в 1,25 раза.
6.4.7. Подвижные соединения пожарного ствола должны быть герметичны при максимальном рабочем давлении.
6.4.8. Гидро- и пневмоприводы должны быть герметичны при максимальных значениях рабочего давления и расхода огнетушащего вещества.
6.4.9. Степень защиты от индустриальных помех должна соответствовать требованиям
ГОСТ Р 50009.
6.4.10. Степень защиты оболочки электропривода пожарного ствола и местного пульта управления должна быть не ниже IP 45 по
ГОСТ 14254.
6.4.11. Вид взрывозащиты по
ГОСТ 22782.6 должен соответствовать ТД на РУП и ДУЛС.
6.4.12. Электрическая прочность изоляции соединительных кабелей цепей питания 220 В должна быть не менее 1500 В.
6.4.13. Электрическое сопротивление изоляции проводов силовых цепей и цепей управления при питании РУП и ДУЛС переменным током напряжением 220 В должно быть не менее 1 МОм.
6.4.14. Пожарный ствол и все блоки управления, находящиеся под переменным напряжением 220 В, должны иметь клемму и знак заземления. Знак заземления и место клеммы должны соответствовать требованиям
ГОСТ 21130.
6.4.15. Операции и сервисные функции, реализуемые на дистанционном (ДПУ) и местном (МПУ) пультах управления, должны соответствовать данным, приведенным в таблице 1.
Таблица 1
Наименование сервисных функций | ДПУ | МПУ |
РУП | ДУЛС | РУП | ДУЛС |
Перемещение ствола в горизонтальной и вертикальной плоскостях | | | | |
Программирование сканированием по оперативной программе | | | | |
Программирование сканированием по всем программам (кроме оперативной) | | | | |
Вызов любой из программ | | | | |
Контроль перегрузки приводов | | | | |
Изменение скорости сканирования РУП и движения ДУЛС | | | | |
Включение-выключение устройства внешнего орошения РУП | | | | |
Включение-выключение пожарного запорного устройства | | | | |
Примечание. + реализация функции обязательна; * реализация функции возможна.
6.4.16. РУП и ДУЛС должны иметь сигнализацию о режимах работы, включении РУП, пожарного ствола и пожарного запорного устройства, работе устройств внешнего орошения пожарного ствола.
6.4.17. Приоритеты управления (по важности) для РУП: управление вручную - управление с МПУ - управление с ДПУ - программное сканирование; для ДУЛС: управление вручную - управление с МПУ - управление с ДПУ.
| | ИС МЕГАНОРМ: примечание. Взамен ГОСТ 12.4.026-76 Постановлением Госстандарта РФ от 19.09.2001 N 387-ст с 1 января 2003 года введен в действие ГОСТ Р 12.4.026-2001. | |
6.4.18. РУП и ДУЛС должны быть окрашены в красный цвет по ГОСТ 12.4.026 и
ГОСТ Р 50680, а трубопровод обвязки допускается окрашивать в белый или серебристый цвет.
7. Маркировка
7.1. На РУП и ДУЛС (на видном месте) должны быть прикреплены фирменные таблички с обозначениями, приведенными в таблице 2.
Таблица 2
Вид обозначения | Пожарный ствол | ДПУ | МПУ |
Обозначение РУП и ДУЛС согласно п. 4настоящих норм | | | |
Наименование или товарный знак предприятия-изготовителя | | | |
Условное обозначение РУП и ДУЛС согласно ТД на эти изделия | | | |
Вид устройства (соответственно пожарный ствол, ДПУ, МПУ) | | | |
Условное обозначение (соответственно пожарного ствола, ДПУ, МПУ) согласно ТД | | | |
Рабочее давление | | | |
Расход воды | | | |
Напряжение питания | | | |
Степень защиты оболочки электропривода и МПУ (если имеется защита оболочки) | | | |
Вид взрывозащиты электрооборудования (если исполнение взрывозащищенное) | | | |
Заводской номер | | | |
Год выпуска | | | |
7.2. Метод нанесения маркировки должен обеспечивать ее сохранность в течение всего срока службы РУП и ДУЛС.
V. ТРЕБОВАНИЯ БЕЗОПАСНОСТИ
8. Конструкция РУП должна обеспечивать защиту от ошибок оператора и несанкционированного доступа, а также отключение привода при предельных значениях диапазона перемещения пожарного ствола РУП и ДУЛС.
9. Все испытания, если иное не оговорено настоящими нормами, проводят в нормальных климатических условиях, установленных
ГОСТ 15150.
10. Испытания проводят в режимах:
входного контроля;
статических испытаний (при неподвижном пожарном стволе);
холостого хода (сканирование пожарным стволом без подачи огнетушащего вещества);
рабочем (сканирование пожарным стволом с подачей огнетушащего вещества или с использованием имитатора рабочей нагрузки).
11. Объем сертификационных испытаний РУП должен соответствовать данным таблицы 3, кроме пунктов настоящих норм:
6.1.7, 6.1.10, 6.1.11, 6.1.20, 6.1.24, 6.1.25, 6.1.30 -
6.1.32, 6.2.1, 6.3.2, 6.4.2, 6.4.8 -
6.4.13.
Таблица 3
Наимено- вание этапов испы- таний | Наименование испытаний и проверок | Пункты настоящих норм |
технические требования | методы испытаний |
1. Испы- тания в режиме входного контроля | 1.1. Проверка соответствия объема данных, содержащихся в представляемой технической документации, объему требований настоящих норм | | |
1.2. Проверка наличия клемм и знаков заземления | | |
1.3. Проверка комплектности | | |
1.4. Проверка маркировки | | |
1.5. Проверка габаритных и присоединительных размеров блоков, монтажных посадочных соединений пожарного ствола, длины кабельных линий связи | | |
1.6. Проверка массы | | |
1.7. Проверка отсутствия открытых передаточных механизмов пожарного ствола | | |
1.8. Проверка эргономических требований к клавишным и кнопочным выключателям и переключателям | | |
2. Испы- тания в стати- ческом режиме | 2.1. Испытания на устойчивость к климатическим воздействиям | | |
2.2. Проверка прочности ствола гидравлическим давлением | | |
2.3. Проверка расхода огнетушащего вещества | | |
2.4. Проверка диапазона варьирования расхода огнетушащего вещества и угла факела распыленной струи воды | | |
2.5. Проверка кратности пены | | |
2.6. Проверка гидравлических потерь давления в стволе | | |
2.7. Проверка дальности подачи струи | | |
2.8. Испытания изоляции соединительных кабелей линий на электрическую прочность | | |
2.9. Испытания изоляции соединительных кабельных линий на электрическое сопротивление | | |
2.10. Проверка числа каналов связи с внешним оборудованием | | |
2.11. Проверка работоспособ- ности средств защиты РУП от несанкционированного доступа и ошибок оператора, отключения привода при предельных значе- ниях диапазона перемещения пожарного ствола РУП и ДУЛС | | |
2.12. Испытания на устойчи- вость к индустриальным помехам | | |
2.13. Испытания на соответст- оболочки электропривода пожарного ствола и МПУ | | |
2.14. Испытания на соответствие оболочек электропривода и МПУ | | |
тания в режиме холосто- го хода | 3.1. Проверка количества программируемых каналов | | |
3.2. Проверка возможности одновременного движения пожарного ствола по двум степеням подвижности | | |
3.3. Проверка способов программирования | | |
3.4. Проверка возможности управления РУП от аппаратуры обнаружения пожара | | |
3.5. Проверка управления пожарным стволом дистанционно и вручную | | |
3.6. Проверка продолжительности формирования оперативной программы (растра сканирования при позиционном управлении РУП) | | |
3.7. Проверка длительности цикла отработки программы РУП | | |
3.8. Проверка сервисных функций, реализуемых на МПУ и ДПУ | | |
3.9. Проверка приоритетов управления | | |
3.10. Проверка работоспособ- ности сигнализации о режимах работы, включении РУП и пожарного запорного устройства, устройств внешнего орошения и работе пожарного ствола | | |
3.11. Проверка диапазона перемещений ствола в горизонтальной и вертикальной плоскостях | | |
3.12. Проверка максимального диапазона углов сканирования РУП в горизонтальной и вертикальной плоскостях | | |
3.13. Проверка угловой скорости наведения | | |
3.14. Проверка погрешности наведения | | |
3.15. Проверка длительности пауз при реверсе пожарного ствола | | |
тания в рабочем режиме | 4.1. Проверка минимального диапазона углов сканирования РУП в горизонтальной и вертикальной плоскостях | | |
4.2. Проверка угловой скорости сканирования | | |
4.3. Проверка продолжительности непрерывной работы: РУП; ДУЛС | | |
4.4. Проверка работоспособности в диапазоне напряжений питания | | |
4.5. Проверка потребляемой мощности | | |
4.6. Проверка усилия на рукоятке пожарного ствола при механическом управлении вручную | | |
4.7. Испытание на герметичность пожарного ствола | | |
4.8. Испытания гидро- и пневмоприводов на герметичность | | |
4.9. Проверка погрешности позиционирования РУП | | |
4.10. Проверка погрешности отработки траектории РУП | | |
12. Сертификационные испытания ДУЛС проводят по следующим пунктам настоящих норм:
6.1.1 -
6.1.6, 6.1.8, 6.1.9, 6.1.11 -
6.1.14, 6.1.22, 6.3.1, 6.4.1, 6.4.3 -
6.4.7, 6.4.14, 6.4.16, 6.4.17, 7.1, 7.2, 29.
13. Последовательность проведения испытаний: испытания в режиме входного контроля - испытания в режиме статических испытаний - испытания в режиме холостого хода - испытания в рабочем режиме. В пределах режима входного контроля последовательность испытаний не регламентируется.
Испытания по
п. 3.15 таблицы 3 проводят после завершения испытаний по
пп. 3.1 -
3.14 таблицы 3.
В пределах рабочего режима не регламентируется последовательность испытаний по
пп. 4.1, 4.2 таблицы 3.
Последовательность испытаний в пределах
пп. 4.4 -
4.8 таблицы 3 не регламентируется, но их проводят после испытаний по
п. 4.3 таблицы 3.
Последовательность испытаний в пределах
пп. 4.9 и
4.10 таблицы 3 не регламентируется, но их проводят после испытаний по
пп. 4.1 -
4.8 таблицы 3.
14. Количество РУП и ДУЛС, подлежащих сертификационным испытаниям, - два изделия (для единичного и мелкосерийного производства - одно).
Количество испытаний каждого вида на каждом изделии РУП и ДУЛС, если иное не оговорено настоящими нормами, - одно (при одном изделии, предъявленном на сертификационные испытания, - не менее двух).
15. Результаты испытаний считают удовлетворительными, если предъявленные на испытания изделия соответствуют требованиям настоящих норм и ТД на эти изделия.
16. При несоответствии даже одного изделия хотя бы одному из требований настоящих норм или ТД на данное изделие выявляют причины, вызвавшие отказ, устраняют их и проводят повторные проверки удвоенного количества изделий (при мелкосерийном производстве количество каждого вида испытаний на одном изделии принимают равным 4). В случае повторного обнаружения неисправности изделия считают не выдержавшими испытания.
17. Все РУП и ДУЛС, представленные на испытания, должны быть приняты службой технического контроля предприятия-изготовителя в соответствии с требованиями ТД на это изделие.
18. При испытаниях допускается применять средства измерений, не оговоренные в настоящих нормах, при условии обеспечения ими требуемой точности измерений.
19. Испытания должны проводиться при скорости ветра, не превышающей 3 м/с.
20. При проведении испытаний длина соединительных кабельных линий связи должна быть максимальной согласно требованиям ТД (допускается использовать имитаторы линий с эквивалентными электрическими сопротивлениями).
21. При испытании изделий в рабочем режиме допускается, если это не оговорено особо, вместо подачи огнетушащего вещества использовать имитатор рабочей нагрузки.
22. Измерение параметров:
давления - манометрическими приборами класса точности не ниже 0,6;
расхода - расходомерами, счетчиками воды или объемным способом с погрешностью не более 4% от верхнего предела измерения;
времени - секундомерами и хронометрами с ценой деления шкалы 0,2 с для промежутков времени до 10 мин включительно и 1 с для промежутков времени более 10 мин;
температуры - термометрами или контактными преобразователями температуры с погрешностью +/- 0,2%;
скорости ветра - анемометрами с диапазоном измерения 0,3 - 5,0 м/с и чувствительностью не более 0,2 м/с;
угловой величины - угломерами или по положению указателя, закрепленного на подвижной части стояка пожарного ствола, относительно шкалы, установленной на основании ствола или на подвижной части стояка; цена деления шкалы 0,5°. Допускается применять маркерные столбики, устанавливаемые на шкалу или неподвижное основание, или использовать расчетные методы с точностью до 0,5°;
линейной величины - штангенциркулями с точностью 0,1 мм, линейками и рулетками с ценой деления 1 мм;
усилия - динамометрами с диапазоном измерения не более 200 Н и ценой деления не более 2 Н;
массы - на весах с погрешностью 2%;
объема воды - счетчиками воды или мерными баками с ценой деления соответственно не более 10 и 1 дм3;
электрического сопротивления, напряжения, тока и мощности - соответственно мегаомметрами, вольтметрами, амперметрами и ваттметрами с погрешностью измерения 1,5%.
23. Допуск на начальные значения физических величин, если это не оговорено особо, принимается равным +/- 5%.
24. Скорость сканирования пожарным стволом РУП, если это не оговорено особо, выбирают произвольно.
25. Испытания в режиме входного контроля
25.1. Все РУП и ДУЛС, подлежащие испытаниям, предварительно осматривают на отсутствие очевидных дефектов и наличие клемм и знаков заземления
(п. 6.4.14). Проверяют: соответствие объема данных, содержащихся в представленной ТД, требованиям настоящих норм
(пп. 6.1.2 -
6.1.4), комплектность поставки на испытания
(п. 29) и маркировку
(пп. 7.1, 7.2), массу
(п. 6.4.2), габаритные и присоединительные размеры блоков
(п. 6.4.1), монтажные посадочные соединения пожарного ствола
(п. 6.4.3), длину кабельных линий связи
(п. 6.4.4), отсутствие открытых передаточных механизмов пожарного ствола
(п. 6.4.5), цвет окраски
(п. 6.4.18).
25.2. Эргономические характеристики клавишных и кнопочных включателей и переключателей
(п. 6.3.2) проверяют на соответствие требованиям
ГОСТ 22614.
26. Испытания в статическом режиме
26.1. Проверку прочности пожарного ствола гидравлическим давлением
(п. 6.4.6) проводят при заглушенных входном патрубке и выходном отверстии насадка и давлении, равном

. Продолжительность выдержки не менее 2 мин. Появление следов влаги в виде капель на наружных поверхностях деталей не допускается.
26.2. Расход огнетушащего вещества
(п. 6.1.5, 6.1.6) измеряют расходомером (счетчиком воды или мерным баком вместимостью не менее 150 дм3) при давлении подачи огнетушащего вещества 0,60 МПа (6,0 кгс/см2). Расходомер (счетчик воды) устанавливают на линии подачи воды на прямолинейном участке длиной не менее 10 диаметров подводящего трубопровода. Продолжительность подачи воды при использовании счетчика воды должна быть не менее 10 с, при использовании объемного способа (мерного бака) не более времени заполнения мерного бака, но не менее времени заполнения 75% вместимости мерного бака.
26.3. Проверку диапазона варьирования расхода огнетушащего вещества
(п. 6.1.7) при дискретных значениях расхода через насадок и угла факела распыленной струи воды
(п. 6.1.10) проводят в каждом фиксированном положении переключателя, а при плавной регулировке расхода в положении минимального и максимального значения. Давление подачи воды (0,60 +/- 0,01) МПа [(6,0 +/- 0,1) кгс/см2]. Метод измерения расхода согласно
п. 26.2 настоящих норм.
Угол факела распыленной струи воды определяют посредством фотографирования факела с последующим измерением угла между прямыми линиями, проведенными на фотографии по крайним каплям.
26.4. Кратность пены
(п. 6.1.8) проверяют согласно
ГОСТ Р 50588. Устойчивую пенную струю на излете направляют в мерный бак вместимостью не менее 150 дм3. Пеной заполняют не менее половины бака (допускается между насадком-пеногенератором и мерным баком устанавливать рукав с внутренним диаметром не менее 300 мм). Давление подачи (0,60 +/- 0,01) МПа [(6,0 +/- 0,1) кгс/см2].
Массу пены определяют по разности масс заполненной и пустой емкости.
Высоту пены определяют с помощью масштабной линейки. Объем пены

, дм3, вычисляют по формуле

,
где S - площадь сечения мерного бака для сбора пены, дм2; Н - высота пены в мерном баке, дм.
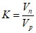
Кратность пены К вычисляют по формуле

,
где

- объем пены, дм3;

- объем раствора пенообразователя, дм3, численно равный массе пены, кг.
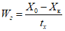
26.5. Гидравлические потери давления на пожарном стволе
(п. 6.1.11) определяют по разнице давлений у входного патрубка и у насадка (пеногенератора). Давление на входе 0,60 МПа (6,0 кгс/см2). Прямолинейный участок подводящего трубопровода должен быть равен не менее 10 диаметрам трубопровода.
26.6. Дальность подачи струи
(п. 6.1.9) определяют в положении, при котором угол наклона ствола к горизонтальной плоскости составляет (30 +/- 2)°; высота устья насадка над уровнем испытательной площадки (1,0 +/- 0,1) м. Дальность подачи струи измеряют от проекции насадка на испытательную площадку до крайних капель струи. Испытания проводят при неподвижном стволе и максимальной скорости сканирования вокруг вертикальной оси. Диапазон сканирования по (15 +/- 5)° в обе стороны от среднего положения ствола. Давление подачи воды 0,60 МПа (6,0 кгс/см2).
26.7. Электрическую прочность изоляции соединительных кабельных линий (испытание на пробой) проверяют переменным напряжением не ниже 1500 В
(п. 6.4.12), получаемым от трансформатора мощностью не менее 500 ВА и прикладываемым между соединенными электрическими проводами и заземленными пожарным стволом и устройством управления в течение не менее 1 мин. Электроаппаратура и детали, не предназначенные для испытания на такое высокое напряжение, должны быть отключены. Конденсаторы для защиты от радиопомех, находящиеся в процессе работы под напряжением, не должны отключаться и должны выдерживать это испытание.
Критерием положительной оценки испытания считают отсутствие пробоя или поверхностного перекрытия изоляции. Появление короткого разряда или шума при испытании не является признаком неудовлетворительных результатов испытаний.
26.8. Электрическое сопротивление изоляции соединительных кабельных линий (проводов силовых цепей и цепей управления) измеряют с помощью мегаомметра с напряжением 500 В
(п. 6.4.13) между электрическими проводами и клеммой заземления, а также между отдельными электрическими проводами. Один провод мегаомметра присоединяют к клемме заземления, другой - последовательно к проверяемым клеммам, а затем один провод - к одной проверяемой клемме, а другой - последовательно к остальным проверяемым проводам и т.д.
26.9. Проверку числа каналов связи с внешним оборудованием
(п. 6.1.23) проводят путем сравнения выходных и входных сигналов (дискретных и/или аналоговых) РУП, представленных в ТД, с их реальным количеством, обозначенным на ДПУ испытываемого изделия.
26.10. Проверку работоспособности средств защиты РУП от несанкционированного доступа и ошибок оператора, а также отключение привода при предельных значениях диапазона перемещения пожарного ствола РУП и ДУЛС
(п. 8) проводят в соответствии с ТД на конкретную РУП. В любом случае при нажатии на орган управления, выполняющий функцию "Общий стоп", должно прекращаться любое движение, независимо от режима работы. После нажатия на данный орган управления самопроизвольные движения частей РУП и ДУЛС не допускаются. При перемещении пожарного ствола РУП и ДУЛС в крайние положения (при управлении с МПУ и ДПУ) привод должен отключаться. Число проверок по каждому виду испытаний должно быть не менее 3. Отказы в работе не допускаются.
26.11. Устойчивость РУП и ДУЛС к климатическим воздействиям
(п. 6.2.1) проверяют в климатических камерах, при этом устройство должно находиться в обесточенном состоянии.
Климатические испытания крупногабаритных РУП, для которых нет стандартных климатических камер, проводят по
ГОСТ 12997 (как для крупногабаритных изделий).
Испытания на холодо- и теплоустойчивость проводят при температуре в соответствии с исполнением и категорией по
ГОСТ 15150 (теплоустойчивость - не ниже 50 °С). РУП и ДУЛС выдерживают при одной из соответствующих температур в течение 3 ч, затем в нормальных климатических условиях в течение 3 ч. После этого цикл повторяют при другой температуре. Признаки механических повреждений комплектующих изделий не допускаются.
26.12. Испытания на устойчивость к индустриальным помехам
(п. 6.4.9) проводят согласно требованиям
ГОСТ Р 50009 в специализированной организации.
26.13. Испытания на соответствие
ГОСТ 14254 степени защиты оболочки электропривода пожарного ствола и МПУ
(п. 6.4.10) проводят согласно требованиям указанного стандарта в специализированной организации.
26.14. Испытания на соответствие
ГОСТ 22782.6 взрывозащищенности оболочек электропривода и МПУ
(п. 6.4.11) проводят согласно требованиям указанного стандарта в специализированной организации.
27. Испытания в режиме холостого хода
27.1. Проверку количества программируемых каналов
(п. 6.1.21) проводят путем сравнения данных, представленных в ТД, с реальным числом обозначенных программируемых каналов на ДПУ испытываемого изделия.
27.2. Проверку возможности одновременного движения пожарного ствола по двум степеням подвижности
(п. 6.1.22) осуществляют следующим образом.
27.2.1. Для РУП: оператор формирует через систему управления набор команд и осуществляет перемещение ствола по траектории, обеспечивающей сканирование пожарным стволом с параметрами растра сканирования: начальными

= (-15 +/- 5)°,

= +/- 5°, конечными

= (-15 +/- 5)°,

= (30 +/- 5)°; количество наблюдаемых циклов - 1.
27.2.2. Для ДУЛС: оператор с местного пульта управления одновременно обеспечивает движение пожарного ствола по вертикали и горизонтали: вверх-вправо, вверх-влево, вниз-вправо, вниз-влево; начальное положение ствола произвольное; продолжительность каждого цикла не менее 3 с.
27.2.3. Критерием положительной оценки испытаний является визуальное подтверждение одновременного движения ствола по двум взаимно перпендикулярным плоскостям.
27.3. Проверку способов программирования
(пп. 6.1.24, 6.1.25) проводят по каждому программируемому каналу в следующей последовательности. Манипуляцией пожарным стволом обеспечивают произвольное движение по заданной траектории (при контурном управлении) или задают на пульте управления растр сканирования в количестве 10 строк (при позиционном управлении). Диапазон углов сканирования по горизонтали и вертикали должен быть не менее 30°. Продолжительность работы в режиме сканирования (начальное положение ствола произвольное) - отработка не менее 3 циклов.
Критерием работоспособности является выполнение заданной программы при отсутствии заметных искажений заданных траекторий или растра сканирования и их смещения от начального положения.
27.4. Проверку возможности управления РУП от аппаратуры обнаружения пожара
(п. 6.1.26) осуществляют поочередно по всем каналам программирования заданием параметров сканирования согласно
п. 27.2.1. Затем ствол отводят в любое положение, отличное от начальных координат программного сканирования, после чего имитируют сигнал срабатывания аппаратуры обнаружения загорания.
Критерием положительной оценки является визуальное подтверждение приведения ствола в заданное начальное положение и движения ствола из начального положения программного сканирования в конечное.
27.5. Проверку управления пожарным стволом дистанционно и вручную
(п. 6.1.27) осуществляют вручную, управляя непосредственно рычагом ствола, и дистанционно, управляя с МПУ и ДПУ.
Критерием положительной оценки испытания является визуальное подтверждение движения ствола согласно управляющим командам и соответствие обозначения органов управления на пульте их функциональному назначению.
27.6. Продолжительность формирования оперативной программы (растра сканирования при позиционном управлении РУП)
(п. 6.1.28) определяют с момента начала формирования оператором через систему управления набора команд до момента выполнения пожарным стволом заданной программы.
27.7. Проверку длительности цикла отработки программы РУП
(п. 6.1.29) проводят по каждому программируемому каналу. Оператор набирает произвольную программу сканирования продолжительностью согласно ТД, но не менее 1 мин.
Критерием положительной оценки испытания является визуальное подтверждение движения ствола согласно управляющим командам с длительностью цикла не менее 1 мин.
27.8. Проверку длительности пауз при реверсе пожарного ствола
(п. 6.1.30) проводят по каждому каналу программирования последовательно в горизонтальной и вертикальной плоскостях. Программа произвольная. Длительность пауз в каждой плоскости регистрируется с момента окончания движения до момента начала движения в противоположном направлении.
27.9. Проверку сервисных функций, реализуемых на МПУ и ДПУ
(п. 6.4.15), осуществляют следующим образом.
27.9.1. Перемещение ствола в горизонтальной и вертикальной плоскостях по всем программируемым каналам отслеживают визуально. Параметры программы сканирования РУП и движения ДУЛС аналогичны указанным соответственно в
пп. 27.2.1 и
27.2.2.
27.9.2. Операции по проверке контроля перегрузки электроприводов осуществляют путем подключения в цепь электродвигателей амперметров, работоспособности (перегрузки) гидро- и пневмоприводов - посредством контроля давления. Испытания проводят на любом из программируемых каналов, программа произвольная. На короткое время, продолжительностью не более 2 с, обеспечивают силовое препятствие перемещению ствола. При этом должна сработать сигнализация (световая и/или звуковая) о перегрузке привода.
27.9.3. Возможность изменения скорости сканирования РУП и движения ДУЛС проверяют на одном из программируемых каналов манипуляцией соответствующими органами управления, расположенными на МПУ и ДПУ. Испытания РУП проводят по произвольной оперативной программе.
Критерием положительной оценки испытания является визуально наблюдаемое изменение скорости сканирования РУП или движения ДУЛС.
27.9.4. Включение-выключение устройства внешнего орошения и пожарного запорного устройства проверяют манипуляцией соответствующими органами управления, расположенными на МПУ и ДПУ. При этом контролируют выходные сигналы, управляющие устройством внешнего орошения и пожарным запорным устройством. За положительный результат проверки принимают появление выходных сигналов, соответствующих планируемым действиям.
27.10. Проверку приоритетов управления (ручное управление, управление с МПУ и ДПУ, программное сканирование)
(п. 6.4.17) проводят следующим образом.
27.10.1. РУП: оператор включает РУП в программное сканирование на одном из программируемых каналов по программе, аналогичной описанной в
п. 27.2.1, затем, не отменяя команды предыдущего управления, последовательно осуществляет дистанционное управление с ДПУ, МПУ и управление ручным приводом. После этого вновь возвращает РУП к программному сканированию по предыдущей программе, а затем осуществляет управление с МПУ и, наконец, при программном сканировании РУП производит управление ручным приводом.
27.10.2. ДУЛС: один из операторов с ДПУ одновременно обеспечивает движение пожарного ствола по вертикали и горизонтали: вверх-вправо, вверх-влево, вниз-вправо, вниз-влево. По команде этого оператора другой оператор осуществляет с МПУ движение пожарного ствола в противоположном направлении. Затем один из операторов повторяет перечисленные циклы совместных движений пожарного ствола с МПУ, а другой оператор приступает к управлению пожарным стволом вручную, причем направления движения вручную не должны совпадать с командами движения, задаваемыми с МПУ.
27.10.3. За критерий положительной оценки испытаний принимают соблюдение приоритетности при осуществлении управления на каждом этапе. При обратной последовательности управления (ручное управление, управление с МПУ и ДПУ, программное сканирование) передачи управления на последующий режим управления не должно быть.
27.11. Проверку работоспособности сигнализации о режимах работы, включении РУП, пожарного запорного устройства, устройств внешнего орошения и работы устройств внешнего орошения пожарного ствола
(п. 6.4.16) проводят путем визуальных наблюдений срабатывания элементов сигнализации при включении РУП, пожарного запорного устройства и работе пожарного ствола.
27.12. Угловую скорость наведения пожарного ствола РУП и движения пожарного ствола ДУЛС в горизонтальной

и вертикальной

плоскостях
(п. 6.1.12) определяют при координатах начального положения пожарного ствола:
по горизонтали: минус 180; минус 135; минус 90; минус 45; минус 30; 0; 30; 45; 90; 135; 180°;
по вертикали вверх с самого нижнего положения: минус 30; 0; 30; 60°.
Скорость определяется в диапазоне (30 +/- 5)°:
по горизонтали при движении влево и вправо (кроме крайних значений: при минус 180° движение только вправо, при 180° - движение только влево);
по вертикали движение вверх.
Значение скорости определяют по формулам

;

,
где

,

- угловые скорости наведения (движения) соответственно по горизонтальной и вертикальной плоскостям, град/с;

,

- начальный и конечный угол наведения (движения) по горизонтали, град;

,

- начальный и конечный угол наведения (движения) по вертикали, град;

,

- продолжительность перемещения пожарного ствола соответственно в горизонтальной и вертикальной плоскостях, с.
Количество испытаний для каждой степени подвижности не менее четырех (по два в каждом из противоположных направлений движения пожарного ствола).
За результат испытаний в горизонтальной плоскости принимают среднее арифметическое значение всех измерений.
За результат испытаний в вертикальной плоскости принимают среднее арифметическое наименьших скоростей движения.
27.13. Погрешность наведения РУП
(п. 6.1.17) определяют по градусной шкале как наибольшую абсолютную разность между заданными координатами и координатами начальной точки наведения пожарного ствола.
Испытания осуществляют по всем каналам программирования на максимальной скорости наведения. Начальное положение пожарного ствола выбирают таким образом, чтобы как по вертикали, так и по горизонтали пожарный ствол мог переместиться при движении в заданные координаты наведения не менее чем на 30°.
Испытания проводят на каждом программируемом канале. Количество испытаний на каждом канале не менее 2 (при этом заданные координаты начальной точки наведения в каждом испытании не должны быть идентичными).
Погрешность каждого испытания не должна превышать значения, установленного в ТД на данную РУП, но не более 2°.
27.14. Проверку диапазона перемещений пожарного ствола
(п. 6.1.14) проводят без подачи воды. Диапазон перемещения пожарного ствола в горизонтальной плоскости замеряют между крайними его положениями, в вертикальной плоскости измеряют из горизонтального положения вверх и вниз. Перемещение пожарного ствола в крайние положения осуществляют вручную и со всех входящих в комплектацию РУП и ДУЛС пультов управления. Количество проверок в каждом режиме не менее 2. За окончательный результат испытаний принимают наименьшее полученное значение.
27.15. Проверку максимального диапазона углов сканирования пожарным стволом РУП
(п. 6.1.15) осуществляют последовательно в горизонтальной и вертикальной плоскостях. Начальное положение ствола: по горизонтали (30 +/- 5)° слева относительно среднего положения, по вертикали (30 +/- 5)°. Количество испытаний по прямому и обратному ходу в каждой плоскости должно быть не менее 3. За максимальное значение диапазона сканирования принимают минимальное значение из результатов всех серий испытаний в соответствующей плоскости.
28. Испытания в рабочем режиме (под нагрузкой)
28.1. Проверку усилия на рукоятке ствола
(п. 6.3.1) проводят при подаче воды при максимальном рабочем давлении. Динамометр крепится на рукоятке ствола в середине места, к которому прикладывают усилие руки; ось приложения усилий динамометра должна быть перпендикулярна рукоятке. Пожарный ствол поочередно поворачивают по вертикали и по горизонтали из одного крайнего положения в другое и обратно, причем при вращении в горизонтальной плоскости угол наклона пожарного ствола должен составлять (0 +/- 5)°. Количество испытаний для каждой степени подвижности не менее четырех (по два в каждом из противоположных направлений движения пожарного ствола).
За результат принимают максимальное значение усилия.
28.2. Проверку герметичности пожарного ствола
(п. 6.4.7) проводят при заглушенном выходном отверстии насадка пожарного ствола при максимальном рабочем давлении подачи и максимальной скорости сканирования РУП (максимальной скорости движения ДУЛС). Программа сканирования (движения) произвольная, но движение пожарного ствола должно осуществляться одновременно по горизонтали и вертикали. Продолжительность испытаний не менее 2 мин. Течь в местах соединения деталей пожарного ствола не допускается.
28.3. Герметичность гидро- и пневмоприводов
(п. 6.4.8) проверяют визуально при максимальных рабочем давлении подачи и расходе огнетушащего вещества и наибольшей скорости сканирования пожарным стволом РУП (наибольшей скорости движения пожарного ствола ДУЛС) поочередно (если приводы раздельные) в горизонтальной и вертикальной плоскостях от упора до упора. Количество испытаний для каждой степени подвижности не менее четырех (по два в каждом из противоположных направлений движения пожарного ствола). Течь в элементах гидро- и пневмосистем не допускается.
28.4. Угловую скорость сканирования
(п. 6.1.13) пожарным стволом РУП вычисляют как отношение угла сканирования при максимальном рабочем давлении соответственно в горизонтальной и вертикальной плоскостях к продолжительности

,

перемещения пожарного ствола на этом участке по формулам

;

,
где

,

- угловые скорости сканирования соответственно в горизонтальной и вертикальной плоскостях;

,

- начальный и конечный угол сканирования по горизонтали;

,

- начальный и конечный угол сканирования по вертикали.
Координаты начального положения пожарного ствола:
по горизонтали: минус 180; минус 135; минус 90; минус 45; минус 30; 0; 30; 45; 90; 135; 180°;
по вертикали вверх с самого нижнего положения: минус 30; 0; 30; 60°.
Скорость определяется в диапазоне (30 +/- 5)°:
по азимуту при движении влево и вправо (кроме крайних значений: при минус 180° движение только вправо, при 180° - движение только влево);
по вертикали движение вверх.
Количество испытаний для каждой степени подвижности не менее четырех (по два в каждом из противоположных направлений движения пожарного ствола).
За результат испытаний в горизонтальной плоскости принимают среднее арифметическое значение всех измерений.
За результат испытаний в вертикальной плоскости принимают среднее арифметическое наименьших скоростей движения в указанном диапазоне измерений.
28.5. Минимальный диапазон углов сканирования пожарным стволом РУП
(п. 6.1.16) проверяют при подаче огнетушащего вещества под давлением 1 МПа (10 кг/см2).
Осуществляют программирование сканирования последовательно на минимальный диапазон в горизонтальной и вертикальной плоскостях. Начальное положение ствола: по горизонтали - от среднего положения +/- 5°, по вертикали (0 +/- 5)°.
За минимальное значение диапазона углов сканирования принимают максимальное значение по каждой плоскости сканирования.
28.6. Проверку погрешности позиционирования
(п. 6.1.18) и погрешности отработки траектории
(п. 6.1.19) по обеим степеням подвижности осуществляют при максимальных рабочем давлении подачи и расходе огнетушащего вещества с наибольшей скоростью сканирования. Программа сканирования аналогична программе, изложенной в
п. 27.2.1.
Общее число циклов не менее 30 или продолжительность испытаний не менее 10 мин. Программа должна предусматривать движение по всем степеням подвижности. Испытания проводят по всем каналам программирования.
Допускается отклонение программируемых точек по каждой координате на угол, отличающийся от установленной в ТД на РУП погрешности не более чем в два раза.
28.7. Испытания РУП на продолжительность непрерывной работы
(п. 6.1.20) проводят под имитационной нагрузкой по программе сканирования: начальные координаты

= середина диапазона перемещения,

= 0°; допуск начальных координат +/- 5°. Конечные координаты - вправо от середины и вверх на 5°. Время испытаний должно составлять не менее 6 ч, из них не менее 2 ч - работа при максимальном рабочем напряжении. Общее время испытаний РУП делят поровну (+/- 10%) между всеми каналами программирования.
Температуру приводов измеряют в течение всего времени испытаний при помощи контактного термопреобразователя, установленного в месте, где предположительно температура достигнет наиболее высокого значения.
Результаты испытаний считают положительными, если значение токов в электроприводах, давление рабочего тела в гидро- и пневмоприводах и температура корпусов приводов (электродвигателей) в течение всего времени испытаний соответствуют паспортным данным на эти виды.
28.8. Испытания ДУЛС на продолжительность непрерывной работы
(п. 6.1.20) проводят под имитационной нагрузкой. Управление ДУЛС осуществляют вручную, дистанционно или с помощью программного устройства. В качестве программного устройства могут использоваться группы конечных выключателей с соответствующей схемой переключения или группа датчиков положения с системой управления, аналогичной системе управления РУП. Программа перемещения ДУЛС: начальные координаты

= середина диапазона перемещения,

= 0°; допуск начальных координат +/- 5°. Конечные координаты - вправо от середины и вверх на 5°. Время испытаний должно составлять не менее 6 ч, из них не менее 2 ч - работа при максимальном рабочем напряжении.
Температуру приводов измеряют в течение всего времени испытаний при помощи контактного термопреобразователя, установленного в месте, где предположительно температура достигнет наиболее высокого значения.
Результаты испытаний считают положительными, если значение токов в электроприводах, давление рабочего тела в гидро- и пневмоприводах и температура корпусов приводов в течение всего времени испытаний соответствуют паспортным данным на эти виды приводов.
28.9. Работоспособность в диапазоне рабочих напряжений питания
(п. 6.1.31) проверяют последовательно при крайних значениях. Продолжительность испытаний при значении минимального напряжения

- не менее 5 мин. Продолжительность испытаний при значении максимального напряжения

- не менее 2 ч. Программа сканирования и нагрузки на приводы аналогичны указанным в
п. 28.7. Критериями положительной оценки испытания являются выполнение заданной программы сканирования и отсутствие перегрева приводов.
28.10. Потребляемую мощность
(п. 6.1.32) определяют на клеммах источника питания ваттметром (или амперметром и вольтметром) при максимальном напряжении питания в режиме сканирования РУП (движения ДУЛС) при подаче огнетушащего вещества под максимальным рабочим давлением на одном из программируемых каналов при максимальной скорости сканирования.
Диапазон сканирования: по горизонтали вправо и влево от среднего положения на угол (30 +/- 15)°, по вертикали на угол (60 +/- 15)° от нижнего упора вверх и в обратном направлении. За результат испытания принимают максимальное значение мощности.
28.11. По завершении всех испытаний проводят проверку состояния и осмотр наружных поверхностей всех блоков РУП и ДУЛС. Нарушения защитного покрытия, механические повреждения, разрушения и остаточные деформации не допускаются.
VIII. КОМПЛЕКТНОСТЬ РУП ИЛИ ДУЛС,
ПРЕДСТАВЛЯЕМЫХ НА СЕРТИФИКАЦИОННЫЕ ИСПЫТАНИЯ
29. В комплект поставки РУП или ДУЛС на сертификационные испытания должны входить:
РУП или ДУЛС со всеми блоками и кабелями связи;
техническое описание, инструкция по монтажу и эксплуатации;
паспорт (или паспорт, совмещенный с техническим описанием и инструкцией по эксплуатации), заверенный организацией-изготовителем;
чертежи общего вида всех блоков с присоединительными и монтажными размерами, электрические монтажные схемы;
комплект запасных частей и принадлежностей, необходимых для монтажа, испытания и обслуживания (в том числе заглушка на насадок, ответный фланец для монтажа пожарного ствола на трубопровод и глухой фланец для герметизации пожарного ствола);
элементы крепежа блоков в соответствии с ТД;
электрический кабель (для включения изделия в электрическую сеть) длиной не менее 20 м, кабельные линии связи между блоками длиной согласно данным ТД на данный вид РУП или ДУЛС;
протоколы заводских испытаний;
документация на иностранном языке должна сопровождаться переводом на русский язык в том виде, в котором она будет поставляться отечественным потребителям. Переводы документации на русский язык должны быть заверены организацией-изготовителем или ее представительством в России.
IX. ПЕРЕЧЕНЬ ИСПОЛЬЗОВАННЫХ В НАСТОЯЩИХ НОРМАХ
НОРМАТИВНЫХ ДОКУМЕНТОВ
30. В настоящих нормах использованы ссылки на следующие стандарты.
ГОСТ 12815-80 Фланцы арматуры, соединительных частей и трубопроводов на

от 0,1 до 20,0 МПа (от 1 до 200 кгс/см2). Типы. Присоединительные размеры и размеры уплотнительных поверхностей.
ГОСТ 14254-96 Степени защиты, обеспечиваемые оболочками (код IP).
ГОСТ 15150-69 Машины, приборы и другие технические изделия. Исполнения для различных климатических районов. Категории, условия эксплуатации, хранения и транспортирования в части воздействия климатических факторов внешней среды.
ГОСТ 21130-75 Изделия электротехнические. Зажимы заземляющие и знаки заземления. Конструкция и размеры.
ГОСТ 22614-77 Система "человек-машина". Выключатели и переключатели клавишные и кнопочные. Общие эргономические требования.
ГОСТ 22782.6-81 Электрооборудование взрывозащищенное с видом взрывозащиты "Взрывонепроницаемая оболочка". Технические требования и методы испытаний.
ГОСТ Р 50009-92 Совместимость технических средств охранной, пожарной и охранно-пожарной сигнализации электромагнитная. Требования, нормы и методы испытаний на помехоустойчивость и индустриальные радиопомехи.
ГОСТ Р 50588-93 Пенообразователи для тушения пожаров. Общие технические требования и методы испытаний.
ГОСТ Р 50680-94 Установки водяного пожаротушения автоматические. Общие технические требования. Методы испытаний.