Главная // Актуальные документы // ГОСТ (Государственный стандарт)СПРАВКА
Источник публикации
М.: ИПК Издательство стандартов, 2004
Примечание к документу
Утратил силу на территории Российской Федерации с 1 июля 2009 года в связи с изданием
Приказа Ростехрегулирования от 27.06.2008 N 129-ст. Введен в действие
ГОСТ Р 52931-2008.
Документ включен в
Перечень международных и региональных (межгосударственных) стандартов, а в случае их отсутствия - национальных (государственных) стандартов, в результате применения которых на добровольной основе обеспечивается соблюдение требований технического
регламента Таможенного союза "О безопасности низковольтного оборудования" (ТР ТС 004/2011), в
Перечень международных и региональных (межгосударственных) стандартов, а в случае их отсутствия - национальных (государственных) стандартов, содержащих правила и методы исследований (испытаний) и измерений, в том числе правила отбора образцов, необходимые для применения и исполнения требований технического
регламента Таможенного союза "О безопасности низковольтного оборудования" (ТР ТС 004/2011) и осуществления оценки соответствия объектов технического регулирования (
Решение Коллегии Евразийской экономической комиссии от 11.05.2023 N 55).
Введен в действие с 1 июля 1986 года.
Взамен ГОСТ 12997-76.
Название документа
"ГОСТ 12997-84. Межгосударственный стандарт. Изделия ГСП. Общие технические условия"
(утв. и введен в действие Постановлением Госстандарта СССР от 26.11.1984 N 3988)
(ред. от 01.10.1992)
"ГОСТ 12997-84. Межгосударственный стандарт. Изделия ГСП. Общие технические условия"
(утв. и введен в действие Постановлением Госстандарта СССР от 26.11.1984 N 3988)
(ред. от 01.10.1992)
Утвержден и введен в действие
Постановлением Госстандарта СССР
от 26 ноября 1984 г. N 3988
МЕЖГОСУДАРСТВЕННЫЙ СТАНДАРТ
ИЗДЕЛИЯ ГСП
ОБЩИЕ ТЕХНИЧЕСКИЕ УСЛОВИЯ
SSI products. General specifications
ГОСТ 12997-84
| | Список изменяющих документов (в ред. Изменения N 1, утв. в октябре 1988 г., Изменения N 2, утв. в феврале 1990 г., Изменения N 3, утв. в декабре 1990 г., Изменения N 4, утв. в октябре 1992 г.) | |
Дата введения
1 июля 1986 года
1. Разработан и внесен Министерством приборостроения, средств автоматизации и систем управления СССР.
2. Утвержден и введен в действие Постановлением Государственного комитета СССР по стандартам от 26.11.1984 N 3988.
3. Взамен ГОСТ 12997-76.
4. Ссылочные нормативно-технические документы
──────────────────────────────────┬───────────────────────────────
Обозначение НТД, на который │ Номер пункта, приложения
дана ссылка │
──────────────────────────────────┼───────────────────────────────
ИС МЕГАНОРМ: примечание.
Взамен ГОСТ 8.001-80 на территории Российской Федерации с 1
проведения испытаний и утверждения типа средств измерений"
ИС МЕГАНОРМ: примечание.
Взамен ГОСТ 8.002-86 на территории Российской Федерации
Порядок осуществления государственного метрологического надзора
за выпуском, состоянием и применением средств измерений,
аттестованными методиками выполнения измерений, эталонами
Госстандарта России от 27.09.2001 N 394-ст).
ИС МЕГАНОРМ: примечание.
Взамен ГОСТ 8.326-89 на территории Российской Федерации
Порядок проведения испытаний и утверждения типа средств измерений"
ИС МЕГАНОРМ: примечание.
Взамен ГОСТ 8.383-80 на территории Российской Федерации
Порядок проведения испытаний и утверждения типа средств измерений"
ИС МЕГАНОРМ: примечание.
ГОСТ 12.1.024-81 утратил силу на территории Российской
Федерации в связи с изданием Приказа Ростехрегулирования
от 15.06.2005 N 157-ст. Взамен с 1 октября 2005 года введен
в действие ГОСТ 31273-2003. ГОСТ 31273-2003 утратил силу
с 1 ноября 2015 года в связи с введением в действие
ИС МЕГАНОРМ: примечание.
Взамен ГОСТ 12.1.025-81 Приказом Ростехрегулирования
от 15.06.2005 N 157-ст с 1 октября 2005 года на территории
ИС МЕГАНОРМ: примечание.
ГОСТ 12.1.027-80 утратил силу на территории Российской
Федерации с 1 июля 2000 года в связи с введением в действие
N 542-ст).
ИС МЕГАНОРМ: примечание.
ГОСТ 12.1.028-80 утратил силу на территории Российской
Федерации с 1 июля 2000 года в связи с введением в действие
N 544-ст).
ИС МЕГАНОРМ: примечание.
ГОСТ 12.2.086-83 утратил силу на территории Российской
Федерации с 1 января 2007 года в связи с введением в действие
N 88-ст).
ИС МЕГАНОРМ: примечание.
от 19.09.2001 N 387-ст с 1 января 2003 года на территории
ИС МЕГАНОРМ: примечание.
ГОСТ 3044-84 утратил силу с 1 января 1994 года в связи с
введением в действие ГОСТ Р 50431-92 (ИУС "Государственные
стандарты", N 3, 1993). Взамен ГОСТ Р 50431-92 с 1 июля 2002 года
России от 21.11.2001 N 474-ст).
ИС МЕГАНОРМ: примечание.
ГОСТ 16842-82 утратил силу на территории Российской Федерации
с 1 января 2001 года в связи с введением в действие
N 655-ст).
ИС МЕГАНОРМ: примечание.
ГОСТ 24754-81 утратил силу с 1 января 2016 года в связи
от 21.03.2014 N 217-ст).
ИС МЕГАНОРМ: примечание.
ГОСТ 25030-81 утратил силу на территории Российской Федерации
с 1 января 2002 года. Постановлением Госстандарта России от
14.12.2000 N 358-ст введен в действие ГОСТ Р 50043.3-2000
(ИУС "Государственные стандарты", N 3, 2001). ГОСТ Р 50043.3-2000
утратил силу с 1 января 2014 года в связи с введением в
N 854-ст).
5. Ограничение срока действия снято по Протоколу N 4-93 Межгосударственного совета по стандартизации, метрологии и сертификации (ИУС 4-94).
6. Издание (сентябрь 2004 г.) с Изменениями N 1, 2, 3, 4, утвержденными в октябре 1988 г., феврале 1990 г., декабре 1990 г., октябре 1992 г. (ИУС 1-89, 5-90, 4-91, 1-93).
Настоящий стандарт распространяется на изделия государственной системы промышленных приборов и средств автоматизации (ГСП), предназначенных для построения автоматических и автоматизированных систем измерения, контроля, регулирования, диагностики и управления производственными процессами, технологическими линиями и агрегатами.
ГСП представляет собой эксплуатационно, информационно, энергетически, метрологически и конструктивно организованную совокупность средств измерений, средств автоматизации, средств управляющей вычислительной техники, а также программных средств (далее - изделия).
Изделия должны выполнять одну или несколько из следующих функций:
- получения информации;
- передачи, ввода и (или) вывода информации;
- преобразования, обработки или хранения информации;
- использования информации;
- вспомогательные (источники питания и др.).
(Измененная редакция, Изм. N 1, 3, 4).
1.1. По наличию информационной связи изделия подразделяют на:
- предназначенные для информационной связи с другими изделиями;
- не предназначенные для информационной связи с другими изделиями.
1.2. По виду энергии носителя сигналов в канале связи изделия подразделяют на:
- электрические;
- пневматические;
- гидравлические;
- использующие другие виды энергии носителя сигналов;
- комбинированные;
- работающие без использования вспомогательной энергии.
1.3. В зависимости от эксплуатационной законченности изделия подразделяют на изделия третьего, второго и первого порядка (см.
Приложение 1).
1.4. По метрологическим свойствам изделия подразделяют на средства измерений и на изделия, не являющиеся средствами измерений.
Изделия, не являющиеся средствами измерения, подразделяют на изделия, имеющие точностные характеристики, и на изделия, не имеющие точностных характеристик.
1.5. По защищенности от воздействия окружающей среды изделия подразделяют на следующие исполнения: обыкновенное; защищенное от попадания внутрь изделия твердых тел (пыли), защищенные от попадания внутрь изделия воды; защищенные от агрессивной среды; взрывозащищенные, защищенные от других внешних воздействий.
Изделия допускается изготовлять в исполнениях, сочетающих несколько видов защиты.
1.6. По стойкости к механическим воздействиям изделия подразделяют на исполнения: виброустойчивое, вибропрочное, удароустойчивое и ударопрочное.
(Измененная редакция, Изм. N 1).
1.7. Изделия допускается изготовлять в сочетании исполнений, указанных в
пп. 1.5 и 1.6.
2. ТЕХНИЧЕСКИЕ ТРЕБОВАНИЯ
2.1. Изделия должны быть изготовлены в соответствии с требованиями настоящего стандарта, ГОСТ 13033, ГОСТ 13053, стандартов и (или) технических условий на изделия конкретных групп (видов) по рабочим чертежам, утвержденным в установленном порядке.
(Измененная редакция, Изм. N 1, 3).
2.2. (Исключен, Изм. N 1).
2.3. Изделия третьего порядка должны быть устойчивыми и (или) прочными к воздействию температуры и влажности окружающего воздуха в диапазонах, указанных в табл. 1.
──────────┬─────────────────┬───────────────────┬──────────────────────────
Группа │ Диапазон │ Верхнее значение │ Место размещения
исполнения│ температуры │ относительной │ при эксплуатации
│ окружающего │ влажности, % │
│ воздуха, °C │ │
├────────┬────────┤ │
│ Нижнее │Верхнее │ │
│значение│значение│ │
──────────┼────────┼────────┼───────────────────┼──────────────────────────
B1 │ +10 │ +35 │75 при 30 °C │Обогреваемые и (или)
──────────┼────────┼────────┤и более низких │охлаждаемые помещения
B2 │ +5 │ +40 │температурах, без │без непосредственного
│ │ │конденсации влаги │воздействия солнечных
──────────┼────────┼────────┼───────────────────┤лучей, осадков, ветра,
B3 │ +5 │ +40 │95 при 30 °C │песка и пыли, отсутствие
│ │ │и более низких │или незначительное
│ │ │температурах, без │воздействие конденсации
│ │ │конденсации влаги │
──────────┼────────┼────────┼───────────────────┤
B4 │ +5 │ +50 │80 при 35 °C │
│ │ │и более низких │
│ │ │температурах, без │
│ │ │конденсации влаги │
──────────┼────────┼────────┼───────────────────┼──────────────────────────
C1 │ -25 │ +55 │100 при 30 °C │Помещения
──────────┼────────┼────────┤и более низких │с нерегулируемыми
C2 │ -40 │ +70 │температурах, │климатическими условиями
│ │ │с конденсацией │и (или) навесы. Изделия
│ │ │влаги │могут быть влажными
──────────┼────────┼────────┼───────────────────┤в результате конденсации,
C3 │ -10 │ +50 │95 при 35 °C │вызванной резкими
──────────┼────────┼────────┤и более низких │изменениями температуры
C4 │ -30 │ +50 │температурах, без │или в результате
│ │ │конденсации влаги │воздействия заносимых
│ │ │ │ветром осадков и капающей
│ │ │ │воды
──────────┼────────┼────────┼───────────────────┼──────────────────────────
D1 │ -25 │ +70 │100 при 40 °C │Открытое пространство.
──────────┼────────┼────────┤и более низких │Изделия подвергаются
D2 │ -50 │ +85, │температурах, │воздействию атмосферных
│ │ 100, │с конденсацией │факторов (непосредственный
│ │ 125, │влаги │нагрев солнечными лучами,
│ │ 155, │ │ветер, дождь, снег, град,
│ │ 200 │ │обледенение). Могут
──────────┼────────┼────────┼───────────────────┤появляться резкие
D3 │ -50, │ +50 │95 при 35 °C │изменения температуры,
│ -60, │ │и более низких │изделия могут быть
│ -65 │ │температурах, без │влажными в результате
│ │ │конденсации влаги │конденсации, воздействия
│ │ │ │осадков, брызг, утечек
Примечания. 1. Изделия групп исполнений C и D должны быть устойчивыми к воздействию других климатических факторов по
ГОСТ 15150. При этом к изделиям группы исполнения C следует предъявлять требования как к изделиям категорий 2 (2.1) или 3 (3.1) по
ГОСТ 15150; к изделиям группы исполнения D - как к изделиям категории 1 (1.1) по
ГОСТ 15150.
К изделиям группы исполнения B требования к устойчивости при воздействии других климатических факторов не предъявляют.
2. Для групп исполнений C1, C2, C3, C4, D1, D2 и D3 скорости изменения температуры следует выбирать из ряда: 5, 10, 20 °C/ч и устанавливать в стандартах и (или) технических условиях на изделия конкретных групп (видов).
(Измененная редакция, Изм. N 1, 3).
2.4. Верхние значения рабочих температур для изделия первого и второго порядков (

и

соответственно) с учетом перегрева

должны быть определены по формулам:

; (1)

, (2)
где

- верхнее значение рабочей температуры по
табл. 1 изделия третьего порядка, для размещения в котором предназначены изделия второго и первого порядков.
Значения

и

должны быть выбраны из ряда: 0; 2; 5; 10 или 15 °C и установлены в стандартах и (или) технических условиях на изделия конкретных групп (видов).
2.5. Изделия должны быть устойчивыми и (или) прочными к воздействию атмосферного давления в диапазонах, указанных в табл. 2.
Таблица 2
──────┬───────────────────────────────┬────────────────────────────────────
Группа│Диапазон атмосферного давления,│ Место размещения
испол-│ кПа │
нения ├───────────────┬───────────────┤
│Нижнее значение│ Верхнее │
│ │ значение │
──────┼───────────────┼───────────────┼────────────────────────────────────
P1 │ 84 │ 106,7 │На высоте до 1000 м над уровнем моря
──────┼───────────────┤ ├────────────────────────────────────
P2 │ 66 │ │На высоте до 3000 м над уровнем моря
(Измененная редакция, Изм. N 1, 3).
2.6. Изделия должны быть устойчивыми и (или) прочными к воздействию синусоидальных вибраций высокой частоты (с частотой перехода от 57 до 62 Гц) с параметрами, выбираемыми из табл. 3.
──────────┬────────────┬────────────────────────────┬──────────────────────
Группа │Частота, Гц │ Амплитуда │ Размещение
исполнения│ │ │
│ ├─────────────┬──────────────┤
│ │смещения для │ ускорения │
│ │частоты ниже │для частоты │
│ │ частоты │выше частоты │
│ │перехода, мм │перехода, м/с2│
──────────┼────────────┼─────────────┼──────────────┼──────────────────────
L1 │ 5 - 35 │ 0,350 │ - │Места, защищенные
──────────┤ ├─────────────┼──────────────┤от существенных
L2 │ │ 0,750 │ - │вибраций. Могут
──────────┤ ├─────────────┼──────────────┤появляться вибрации
LX │ │ - │ - │только низкой частоты
──────────┼────────────┼─────────────┼──────────────┤
──────────┼────────────┼─────────────┼──────────────┼──────────────────────
N1 │ 10 - 55 │ 0,150 │ - │Места, подверженные
──────────┤ ├─────────────┼──────────────┤вибрации от работающих
N2 │ │ 0,350 │ - │механизмов. Типовое
──────────┤ ├─────────────┼──────────────┤размещение
NX │ │ - │ - │на промышленных
──────────┼────────────┼─────────────┼──────────────┤объектах
──────────┤ ├─────────────┼──────────────┤
──────────┼────────────┼─────────────┼──────────────┼──────────────────────
V1 │ 10 - 150 │ 0,075 │ 9,8 │Места на промышленных
──────────┤ ├─────────────┼──────────────┤объектах при условии,
V2 │ │ 0,150 │ 19,6 │что существует
──────────┤ ├─────────────┼──────────────┤вибрация с частотой,
V3 │ │ 0,350 │ 49,0 │превышающей 55 Гц
──────────┤ ├─────────────┼──────────────┤
VX │ │ - │ - │
──────────┼────────────┼─────────────┼──────────────┤
(V4)
<*> │ (5 - 120) │ (0,150)
<*> │ (19,6)
<*> │
──────────┤
<*> ├─────────────┼──────────────┤
──────────┼────────────┼─────────────┼──────────────┼──────────────────────
F1 │ 10 - 500 │ 0,075 │ 9,8 │Места, расположенные
──────────┤ ├─────────────┼──────────────┤вблизи помещений,
F2 │ │ 0,150 │ 19,6 │в которых установлены
──────────┤ ├─────────────┼──────────────┤работающие авиационные
F3 │ │ 0,350 │ 49,0 │двигатели
──────────┤ ├─────────────┼──────────────┤
FX │ │ - │ - │
──────────┼────────────┼─────────────┼──────────────┤
G1 │ 10 - 2000 │ 0,350 │ 49,0 │
──────────┤ ├─────────────┼──────────────┤
G2 │ │ 0,750 │ 98,0 │
──────────┤ ├─────────────┼──────────────┤
GX │ │ - │ - │
──────────┼────────────┼─────────────┼──────────────┤
G3 <*> │ 5000 <*> │ 3,500 <*> │ 490,0 <*> │
--------------------------------
<*> По требованию потребителя.
Для групп исполнений LX, NX, VX, FX, GX значение амплитуды смещения для частоты ниже частоты перехода и соответствующей амплитуды ускорения для частоты выше частоты перехода следует выбирать из табл. 3а.
Таблица 3а
───────────────┬─────┬─────┬─────┬─────┬─────┬─────┬─────┬──────┬──────┬──────┬──────
Амплитуда │0,015│0,035│0,075│0,150│0,200│0,350│0,750│1,000 │1,500 │2,000 │3,500
смещения, мм │ │ │ │ │ │ │ │ │ │ │
───────────────┼─────┼─────┼─────┼─────┼─────┼─────┼─────┼──────┼──────┼──────┼──────
Амплитуда │1,96 │4,90 │9,80 │19,60│29,40│49,00│98,00│147,00│196,00│294,00│490,00
ускорения, м/с2│ │ │ │ │ │ │ │ │ │ │
Для изделий, подвергаемых при эксплуатации синусоидальным вибрациям низкой частоты (с частотой перехода от 8 до 9 Гц) в диапазоне от 0,1 до 150,0 Гц, допускается дополнительно устанавливать требования по устойчивости и прочности к их воздействию из табл. 3б.
───────────────────┬───────────────────────────────────────────────────────
Группа исполнения │ Амплитуда
├───────────────────────────┬───────────────────────────
│ смещения для частоты │ускорения для частоты выше
│ ниже частоты перехода, мм │ частоты перехода, м/с2
───────────────────┼───────────────────────────┼───────────────────────────
V1 │ 0,35 │ 1
───────────────────┼───────────────────────────┼───────────────────────────
V2 │ 0,75 │ 2
───────────────────┼───────────────────────────┼───────────────────────────
V3 │ 1,50 │ 5
───────────────────┼───────────────────────────┼───────────────────────────
V4 │ 3,50 │ 10
───────────────────┼───────────────────────────┼───────────────────────────
V5 │ 7,30 │ 20
───────────────────┼───────────────────────────┼───────────────────────────
V6 │ 10,00 │ 30
───────────────────┼───────────────────────────┼───────────────────────────
V7 │ 15,00 │ 50
Примечание. Требования настоящего пункта не распространяются на самопишущие приборы.
(Измененная редакция, Изм. N 1, 2, 3).
2.7. По требованию потребителя в стандартах и (или) технических условиях на изделия конкретных групп (видов) должны быть установлены требования к воздействию резонансных частот.
2.8. Изделия, подвергаемые в условиях эксплуатации многократным или одиночным механическим ударам, должны быть устойчивыми и (или) <*> прочными к их воздействию.
--------------------------------
<*> По требованию потребителя.
Для изделий, подвергаемых многократным механическим ударам, значение пикового ускорения должно быть выбрано из ряда: 100; 150; 250; 400; 1000 м/с2, длительность ударного импульса должна быть в пределах 2 - 50 мс. Общее число ударов должно быть не менее 1000.
Для изделий, подвергаемых одиночным механическим ударам, значение пикового ускорения должно быть выбрано из ряда: 50; 150; 300; 500; 1000; 5000; 10000; 15000 м/с2, длительность ударного импульса должна быть в пределах 0,5 - 30,0 мс.
Конкретные значения должны быть установлены в стандартах и (или) технических условиях на изделия конкретных групп (видов).
(Измененная редакция, Изм. N 1).
2.9. Требования к ударным и вибрационным воздействиям для обеспечения сейсмостойкости изделия должны быть установлены в стандартах и (или) технических условиях на изделия конкретных групп (видов) по согласованию изготовителя с потребителем.
2.10. Изделия, на которые влияет отклонение от рабочего положения, должны сохранять свои характеристики при отклонении на +/- 5°, если иное значение отклонения не установлено в стандартах и (или) технических условиях на изделия конкретных групп (видов).
2.11. Изделия, которые по своему принципу действия чувствительны к влиянию магнитного поля, должны сохранять свои характеристики при воздействии постоянных магнитных полей и (или) переменных полей сетевой частоты с напряженностью до 400 А/м.
2.12. Изделия, которые по своему принципу действия не выдерживают воздействия магнитных полей по п. 2.11, должны выдерживать указанные воздействия с напряженностью до 40 А/м.
2.13. Изделия, которые по своему принципу действия чувствительны к индустриальным радиопомехам, должны сохранять свои характеристики при воздействии на них индустриальных радиопомех, не превышающих норм, предусмотренных в "Общесоюзных нормах допускаемых индустриальных радиопомех" (Нормы 1-87 - 9-87).
2.14. Устойчивость и прочность изделий к воздействию других влияющих факторов, не установленных настоящим стандартом, должны быть установлены в стандартах и (или) технических условиях на изделия конкретных групп (видов).
2.15. Требования к характеристикам точности выполнения предписанной функции - по ГОСТ 23222, а для средств измерений - по
ГОСТ 8.009.
(Измененная редакция, Изм. N 1).
2.15.1 - 2.15.6. (Исключены, Изм. N 1).
| | Применение на добровольной основе пункта 2.16 обеспечивает соблюдение требований Федерального закона от 27.12.2009 N 347-ФЗ "Технический регламент о безопасности низковольтного оборудования" (Приказ Ростехрегулирования от 14.09.2010 N 3546). | |
2.16. Требования к электрической прочности и сопротивлению изоляции
(Измененная редакция, Изм. N 3).
2.16.1. Требования к изоляции распространяются на электрические цепи приборов по
п. 1.3, доступ к которым возможен без вскрытия (демонтажа) изделий.
2.16.2. Изоляция электрических цепей изделий относительно корпуса и между собой в зависимости от номинального напряжения цепи и условий испытаний должна выдерживать в течение 1 мин действие испытательного напряжения практически синусоидальной формы частотой от 45 до 65 Гц, указанного в табл. 3в.
───────────────────────────────────┬──────────────────────────────────────────────
Номинальное напряжение цепи U , В│ Испытательное напряжение (среднее
ном │ квадратическое значение), кВ
├──────────────────────────────────────────────
│ Условия испытаний
├──────────────────────────────┬───────────────
│ нормальные │ при верхнем
│ │ значении
│ │ относительной
──────────────────┬────────────────┼──────────────┬───────────────┼───────────────
постоянное или │несинусоидальное│ цепей │ цепей │ цепей
синусоидальное │ переменное │ с рабочей │ с двойной │ с рабочей
переменное (сред- │ или смешанное │ изоляцией │ или усиленной │ изоляцией
нее квадратическое│ (пиковое │ │ изоляцией │
значение) │ значение) │ │ │
──────────────────┼────────────────┼──────────────┼───────────────┼───────────────
До 60 │ До 85 │ 0,5 │ 0,75 │ 0,3
Св. 60 до 130 │ Св. 85 до 184│ 1,0 │ 1,50 │ 0,6
" 130 " 250 │ " 184 " 354│ 1,5 │ 3,00 │ 0,9
" 250 " 660 │ " 354 " 933│ 2,0 │ 4,00 │ 1,5
" 660 " 1000 │ " 933 " 1400│ 3,0 │ 6,00 │ 1,8
" 1000 " 1500 │ " 1400 " 2100│ 4,0 │ 8,00 │ 2,5
" 1500 " 2000 │ " 2100 " 2800│ 5,0 │ 10,00 │ 3,5
" 2000 " 7000 │ " 2800 " 9800│ 2U + 1,0 │ 4U + 2,00 │ 1,4U + 0,7
│ │ ном │ ном │ ном
│ │ │ │
" 7000 " 30000 │ " 9800 " 42000│1,3U + 6,0 │2,6U + 12,00│ U + 4,0
│ │ ном │ ном │ ном
│ │ │ │
" 30000 │ " 42000 │1,1U + 15,0│2,2U + 30,00│0,95U + 12,0
│ │ ном │ ном │ ном
--------------------------------
<*> Для изделий, для которых нормировано верхнее значение относительной влажности более 80%.
Примечание. Для цепей с номинальным напряжением до 42 В, а также для цепей, содержащих комплектующие элементы, не допускающие испытаний напряжением по
табл. 3в, допускается устанавливать меньшее испытательное напряжение, значение которого должно быть не менее

для цепей с рабочей изоляцией и

- для цепей с двойной или усиленной изоляцией.
Для цепей, содержащих слаботочное реле по ГОСТ 16121, допускается снижение испытательного напряжения до

для рабочей изоляции и

- для двойной или усиленной изоляции.
2.16.3. При испытаниях электрической прочности изоляции изделий группы исполнения P2 в условиях постоянного атмосферного давления значение испытательного напряжения устанавливают равным

.
(Измененная редакция, Изм. N 4).
2.16.4. Для электрических цепей с двойной или усиленной изоляцией значение испытательного напряжения при верхнем значении относительной влажности устанавливают в стандартах и (или) технических условиях на изделия конкретных групп (видов).
2.16.5. Изоляция цепей с различными номинальными напряжениями должна выдерживать приложенное между ними испытательное напряжение, соответствующее наибольшему номинальному напряжению испытуемых цепей.
2.16.6. Минимально допускаемое электрическое сопротивление изоляции цепей номинальным напряжением до 500 В устанавливают в стандартах и (или) технических условиях на изделия конкретных групп (видов), исходя из рядов по табл. 3г в зависимости от условий испытаний.
────────────────────────────────────┬──────────────────────────────────────
Условия испытаний │ Минимально допускаемое электрическое
│ сопротивление изоляции, МОм
────────────────────────────────────┼──────────────────────────────────────
Нормальные │ 20; 40; 100; 500; 1000
────────────────────────────────────┼──────────────────────────────────────
При верхнем значении температуры │ 5; 10; 20; 50; 200
рабочих условий │
────────────────────────────────────┼──────────────────────────────────────
При верхнем значении относительной │ 1; 2; 5; 7; 50
влажности рабочих условий │
Примечания. 1. Для электрических цепей до 100 В допускается снижать значение минимально допускаемого сопротивления, но не ниже 1 МОм.
2. Для изделий первого и второго порядков допускается увеличивать минимально допускаемое сопротивление изоляции с целью обеспечения соответствия изделий третьего порядка требованиям
табл. 3г.
3. Требования к сопротивлению изоляции распространяются на изделия, для которых верхнее значение относительной влажности более 80%.
2.16.7. Минимально допускаемое сопротивление изоляции цепей номинальным напряжением выше 500 В определяют умножением значений, указанных в
табл. 3г, на коэффициент, равный отношению номинального напряжения цепи к 500 В.
2.16.1 - 2.16.7. (Введены дополнительно, Изм. N 3).
2.17. Типовые унифицированные конструкции изделия должны быть выполнены на базе унифицированных типовых конструкций по ГОСТ 28601.1, ГОСТ 28601.2, ГОСТ 28601.3 и ГОСТ 20504.
(Измененная редакция, Изм. N 3).
| | ИС МЕГАНОРМ: примечание. ГОСТ 25030-81 утратил силу на территории Российской Федерации с 1 января 2002 года. Постановлением Госстандарта России от 14.12.2000 N 358-ст введен в действие ГОСТ Р 50043.3-2000 (ИУС "Государственные стандарты", N 3, 2001). ГОСТ Р 50043.3-2000 утратил силу с 1 января 2014 года в связи с введением в действие ГОСТ 31195.2.2-2012 (Приказ Росстандарта от 15.11.2012 N 854-ст). | |
2.18. Виды конструктивных элементов изделий, предназначенных для присоединения к ним внешних электрических цепей, и ряды их присоединительных размеров - по
ГОСТ 10434,
ГОСТ 25154,
ГОСТ 25034, ГОСТ 25030 <*>,
ГОСТ 19104, пневматических и гидравлических линий - по ГОСТ 25164 и ГОСТ 25165, первичных преобразователей - по ГОСТ 26331.
(Измененная редакция, Изм. N 1, 3).
--------------------------------
<*> На территории Российской Федерации действует ГОСТ Р 50043-2000.
2.19. Габаритные, установочные и присоединительные размеры, их числовые ряды и допуски должны быть установлены в стандартах и (или) технических условиях на изделия конкретных групп (видов).
(Измененная редакция, Изм. N 1).
2.20. Изделия одного и того же типа и исполнения должны быть взаимозаменяемыми.
2.21. Требования к входным и выходным сигналам
2.21.1. Входные и выходные сигналы изделий, предназначенных для информационной связи с другими изделиями, должны соответствовать:
- электрические - ГОСТ 26.010, ГОСТ 26.011, ГОСТ 26.013, ГОСТ 26.014, ГОСТ 3044 <**> и ГОСТ 19768;
- пневматические - ГОСТ 26.015;
- гидравлические - ГОСТ 26.012.
(Измененная редакция, Изм. N 2).
--------------------------------
2.21.2. Параметры сигналов интерфейсов должны удовлетворять указанным в стандартах на соответствующие интерфейсы.
Конкретные значения параметров входных и выходных сигналов, вид интерфейсов и их физическая реализация должны быть установлены в стандартах и (или) технических условиях на изделия конкретных групп (видов).
2.22 (2.22.1 - 2.22.4). (Исключены, Изм. N 1).
2.22.5. Номинальные значения давления питания пневматических дискретных изделий, за исключением изделий струйной техники, следует выбирать из ряда: 0,14; 0,16; 0,25; 0,40; 0,60; 0,63; 0,80; 1,00 МПа.
Допускаемое отклонение давления питания должно быть установлено в стандартах и (или) технических условиях на изделия конкретных групп (видов).
(Измененная редакция, Изм. N 1).
2.22.6. Номинальные значения давления питания изделий струйной техники должны быть установлены в стандартах и (или) технических условиях на изделия конкретных групп (видов).
2.22.7, 2.22.8. (Исключены, Изм. N 1).
2.22а. Требования к питанию электрических и пневматических изделий - по ГОСТ 13033 и ГОСТ 13053.
(Измененная редакция, Изм. N 3).
2.22б. Номинальное значение давления питания масла или максимальное и минимальное значения диапазонов давлений питания для гидравлических изделий следует выбирать из ряда: 0,10; 0,16; 0,25; 0,40; 0,63; 1,00; 1,60; 2,50; 4,00; 6,30; 10,00; 12,50; 16,00; 20,00; 25,00; 32,00; 40,00; 50,00 МПа.
Допускаемое отклонение давления питания +/- 10%.
2.22в. Номинальные значения расхода масла для гидравлических изделий, имеющих в качестве основного параметра выходной расход масла, следует выбирать из ряда: 0,40; 0,63; 1,0; 1,6; 2,5; 3,2; 4,0; 5,0; 6,3; 8,0; 10,0; 12,5; 16,0; 20,0; 25,0; 32,0; 40,0; 50,0; 63,0; 80,0; 100,0; 125; 160; 200; 250; 320; 400; 500; 630; 800; 1000; 1250; 1600; 2000; 2500; 3200; 4000; 5000 дм3/мин (л/мин).
2.22г. Выходное значение давления масла для приборов и устройств, имеющих в качестве основного параметра выходное давление масла, следует выбирать в соответствии с
п. 2.22б и устанавливать в стандартах и (или) технических условиях на изделия конкретных групп (видов).
2.22д. Требования к виду применяемого масла следует устанавливать в стандартах и (или) технических условиях на изделия конкретных групп (видов).
2.22ж. Точность фильтрации масла следует устанавливать в стандартах и (или) технических условиях на изделия конкретных групп (видов).
2.22б - 2.22ж. (Введены дополнительно, Изм. N 3).
2.23. Для гидравлических, пневматических изделий, работающих без использования вспомогательной энергии, испытательное давление и допускаемые утечки должны быть установлены в стандартах и (или) технических условиях на изделия конкретных групп (видов).
Пробное давление должно быть не менее 100% максимального рабочего давления и соответствовать
ГОСТ 356.
(Измененная редакция, Изм. N 1).
2.24. Требования к изделиям в транспортной таре
2.24.1. Изделия в транспортной таре должны выдерживать воздействие температуры и влажности в пределах, указанных в табл. 4.
Таблица 4
─────────────────────┬──────────────────────┬──────────────────────────────
Температура, °C │ Относительная │ Характеристика транспорта
│ влажность, % │
─────────────────────┼──────────────────────┼──────────────────────────────
От -25 до +55 │ 95 +/- 3 при 35 °C │Закрытый и открытый для всех
─────────────────────┤ (100 при 40 °C)
<*> │видов транспорта
От -50 до +50 │ │
(от -55 до +70) <*> │ │
─────────────────────┤ ├──────────────────────────────
От -60 до +50 │ │В неотапливаемых и
(от -65 до +70) <*> │ │негерметизированных отсеках
│ │самолетов
--------------------------------
<*> Для изделий, технические задания на разработку которых утверждены после 01.01.1990, если иные значения не установлены в технических условиях на изделия конкретного типа.
Изделия, которые по принципу действия не выдерживают отрицательных температур, что должно быть указано в технических условиях на изделия конкретных групп (видов), должны нормально функционировать после воздействия на них в упаковке температур от 1 °C до 50 °C.
(Измененная редакция, Изм. N 1, 2, 3).
2.24.2. (Исключен, Изм. N 1).
2.24.3. Изделия в транспортной таре должны быть прочными к воздействию одной из следующих нагрузок, действующих вдоль трех взаимно перпендикулярных осей тары или в направлении, обозначенном на таре манипуляционным знаком по
ГОСТ 14192 "Верх":
- вибрации по одной из групп, указанных в
табл. 3, при транспортировании одним из видов транспорта.
Конкретная группа исполнения должна быть установлена в технических условиях на изделия конкретного вида;
- ударам со значением пикового ударного ускорения 98 м/с2, длительность ударного импульса 16 мс; число ударов 1000 +/- 10 для каждого направления.
Допускается для изделий, технические задания на разработку которых утверждены до 01.01.1990, устанавливать требования по одной из вышеперечисленных нагрузок до 01.01.1991.
Конкретный вид нагрузки должен быть установлен в технических условиях на изделия конкретного вида.
(Измененная редакция, Изм. N 1, 2, 3, 4).
2.24.3а. Изделия в транспортной таре должны быть прочными к ударам при свободном падении. Значения высоты свободного падения должны выбираться из ряда 25; 50; 100; 250; 500; 1000 мм и устанавливаться в стандартах и (или) технических условиях на изделия конкретных групп (видов).
Указания по определению высоты падения в зависимости от массы изделия приведены в
Приложении 6.
Допускается не устанавливать требования к ударопрочности, если в стандартах и (или) технических условиях на изделия конкретных групп (видов) имеется указание по маркировке тары манипуляционным знаком "Хрупкое. Осторожно" по
ГОСТ 14192.
(Введен дополнительно, Изм. N 3).
2.24.4. Изделия в транспортной таре, предназначенные для транспортирования в неотапливаемых и негерметизированных отсеках самолетов, должны быть прочными к воздействиям:
- резкой смены температур от минус 65 °C до 70 °C и наоборот;
- пониженного атмосферного давления, конкретные значения которого в зависимости от предусматриваемой высоты транспортирования указаны в табл. 5.
Таблица 5
────────────────────────────────┬─────────────────────────────────
Давление, кПа │ Высота над уровнем моря, м
────────────────────────────────┼─────────────────────────────────
1 │ 31200
2 │ 26600
4 │ 22100
8 │ 17600
12 │ 15050
15 │ 13600
20 │ 11800
25 │ 10400
40 │ 7200
55 │ 4850
60 │ 4200
70 │ 3000
Конкретные значения давления воздуха должны быть установлены в стандартах и (или) технических условиях на изделия конкретных групп (видов).
(Измененная редакция, Изм. N 1).
2.24.5. (Исключен, Изм. N 1).
| | Применение на добровольной основе пункта 2.25 обеспечивает соблюдение требований Федерального закона от 27.12.2009 N 347-ФЗ "Технический регламент о безопасности низковольтного оборудования" (Приказ Ростехрегулирования от 14.09.2010 N 3546). | |
2.25. Степень защиты изделий от проникновения воды, пыли и посторонних твердых частиц - по
ГОСТ 14254.
(Измененная редакция, Изм. N 1).
2.26. (Исключен, Изм. N 1).
| | Применение на добровольной основе пункта 2.27 обеспечивает соблюдение требований Федерального закона от 27.12.2009 N 347-ФЗ "Технический регламент о безопасности низковольтного оборудования" (Приказ Ростехрегулирования от 14.09.2010 N 3546). | |
| | ИС МЕГАНОРМ: примечание. ГОСТ 24754-81 утратил силу с 1 января 2016 года в связи с введением в действие ГОСТ 24754-2013 (Приказ Росстандарта от 21.03.2014 N 217-ст). | |
2.27. Требования к взрывозащищенным и рудничным изделиям должны соответствовать установленным в
ГОСТ 22782.0, ГОСТ 24754.
Вид взрывозащиты должен быть установлен в стандартах и (или) технических условиях на изделия конкретных групп (видов).
| | Применение на добровольной основе пункта 2.28 обеспечивает соблюдение требований Федерального закона от 27.12.2009 N 347-ФЗ "Технический регламент о безопасности низковольтного оборудования" (Приказ Ростехрегулирования от 14.09.2010 N 3546). | |
2.28. Изделия, предназначенные для эксплуатации в среде, содержащей коррозионно-активные агенты (сероводород, диоксид серы), должны быть устойчивыми и (или) <*> прочными к их воздействию при значениях концентраций, установленных в стандартах и (или) технических условиях на изделия конкретных групп (видов).
--------------------------------
<*> По требованию потребителя.
Контактные соединения электрических изделий, предназначенных для указанных условий, должны быть устойчивыми и прочными при концентрациях сероводорода от 10 до 15 см3/м3, диоксида серы - от 20 до 30 см3/м3.
(Измененная редакция, Изм. N 1).
2.29. Изделия, являющиеся источниками радиопомех, должны соответствовать требованиям "Общесоюзных норм допускаемых индустриальных радиопомех" (Нормы 1-87 - 9-87).
2.30. Значения допускаемого уровня шума изделий третьего порядка, являющихся источниками шума, не должны превышать установленных в
ГОСТ 12.1.003 для постоянных рабочих мест и рабочих зон производственных помещений и на территории предприятий и должны быть установлены в стандартах и (или) технических условиях на изделия конкретных групп (видов).
2.31. Наружные поверхности изделий, а также их частей не должны иметь дефектов, ухудшающих эксплуатационные свойства или внешний вид изделия. Конкретные требования к поверхности изделий - по
ГОСТ 9.032.
2.32. Номенклатура и значения показателей надежности должны быть установлены в стандартах и (или) технических условиях на изделия конкретных групп (видов).
(Измененная редакция, Изм. N 1).
2.33. Показатели потребляемой энергоемкости должны быть установлены в стандартах и (или) технических условиях на изделия конкретных групп (видов).
Для электрических изделий по согласованию между изготовителем и потребителем в технических условиях на изделия конкретных видов допускается устанавливать максимальную и минимальную потребляемую мощность; для пневматических изделий - максимальный, номинальный и минимальный расход воздуха.
2.34. Показатели материалоемкости должны быть установлены в стандартах и (или) технических условиях на изделия конкретных групп (видов).
2.35. Требования к изделиям тропического исполнения - по
ГОСТ 15151.
(Измененная редакция, Изм. N 3).
Перечень и число прилагаемых присоединительных и установочных деталей и приспособлений, запасных частей и принадлежностей должны устанавливаться в стандартах и (или) технических условиях на изделия конкретных групп (видов).
Эксплуатационная документация, прилагаемая к изделиям, должна соответствовать требованиям
ГОСТ 2.601.
2.37. Примеры условных обозначений изделий должны быть установлены в стандартах и (или) технических условиях на изделия конкретных групп (видов).
| | Применение на добровольной основе раздела 3 обеспечивает соблюдение требований Федерального закона от 27.12.2009 N 347-ФЗ "Технический регламент о безопасности низковольтного оборудования" (Приказ Ростехрегулирования от 14.09.2010 N 3546). | |
3. ТРЕБОВАНИЯ БЕЗОПАСНОСТИ
3.1. Требования безопасности к электрическим изделиям должны соответствовать
ГОСТ 12.2.007.0 со следующими дополнениями.
3.1.1. Металлические части изделий, доступные для прикасания к ним обслуживающего персонала, которые могут оказаться под напряжением в результате повреждения изоляции и не имеющие других видов защиты, подлежат защитному заземлению по
ГОСТ 12.1.030. На видном месте этих изделий должны быть предусмотрены четко различимые устройства для подключения защитного заземления или зануления.
| | ИС МЕГАНОРМ: примечание. Взамен ГОСТ 12.4.026-76 Постановлением Госстандарта России от 19.09.2001 N 387-ст с 1 января 2003 года на территории Российской Федерации введен в действие ГОСТ Р 12.4.026-2001. | |
3.1.2. На изделия, для безопасной работы с которыми необходимо принимать особые меры, указанные в эксплуатационной документации, должен быть нанесен знак "Осторожно! Прочие опасности" по ГОСТ 12.4.026 <*>. Знак опасности наносят на наружную панель или около частей, представляющих опасность.
--------------------------------
3.1.3. Все внешние части изделий, находящиеся под напряжением, превышающим 42 В по отношению к корпусу, должны быть защищены от случайных прикасаний к ним во время работы.
| | ИС МЕГАНОРМ: примечание. ГОСТ 12.2.086-83 утратил силу на территории Российской Федерации с 1 января 2007 года в связи с введением в действие ГОСТ Р 52543-2006 (Приказ Ростехрегулирования от 10.05.2006 N 88-ст). | |
3.2. Требования безопасности к гидравлическим изделиям должны соответствовать ГОСТ 12.2.086,
ГОСТ 12.2.040.
3.3. Безопасность гидравлических и пневматических изделий должна быть обеспечена:
- прочностью и герметичностью измерительных камер, которые должны соответствовать нормам, установленным в стандартах и (или) технических условиях на изделия конкретных групп (видов);
- надежным креплением изделия при монтаже на объекте.
3.4. Конкретные требования безопасности изделий должны быть установлены в стандартах и (или) технических условиях на изделия конкретных групп (видов).
4.1. Изделия серийного и массового производства подвергают приемосдаточным, периодическим, типовым, государственным испытаниям и испытаниям на надежность.
| | ИС МЕГАНОРМ: примечание. Взамен ГОСТ 8.001-80 и ГОСТ 8.383-80 на территории Российской Федерации с 1 декабря 2001 года введены в действие ПР 50.2.009-94 "ГСИ. Порядок проведения испытаний и утверждения типа средств измерений" (Постановление Госстандарта России от 27.09.2001 N 394-ст). | |
Порядок проведения государственных испытаний изделий - по ГОСТ 8.001 <**>, ГОСТ 8.383 <**>.
(Измененная редакция, Изм. N 4).
| | ИС МЕГАНОРМ: примечание. Взамен ГОСТ 8.326-89 на территории Российской Федерации с 1 декабря 2001 года введены в действие ПР 50.2.009-94 "ГСИ. Порядок проведения испытаний и утверждения типа средств измерений" (Постановление Госстандарта России от 27.09.2001 N 394-ст). | |
4.2. Изделия единичного производства подвергают испытаниям по
ГОСТ 15.005. Средства измерений единичного производства подлежат метрологической аттестации по ГОСТ 8.326 <**>.
--------------------------------
| | ИС МЕГАНОРМ: примечание. В официальном тексте документа, видимо, допущена опечатка: имеется в виду ПР 50.2.009-94, а не ПР 5.2.009-94. | |
4.3. При приемосдаточных (предъявительских) испытаниях изделия подвергают проверке на соответствие требованиям
пп. 2.1,
2.15,
2.16,
2.18,
2.23,
2.36,
6.1 и требованиям, установленным в стандартах и (или) технических условиях на изделия конкретных групп (видов).
Последовательность проведения приемосдаточных испытаний должна быть установлена в стандартах и (или) технических условиях на изделия конкретных групп (видов).
Метод контроля при приемосдаточных (предъявительских) испытаниях (сплошной или выборочный) должен быть установлен в стандартах и (или) технических условиях на изделия конкретных групп (видов). Допускается использование статистического приемочного контроля по количественному признаку по ГОСТ 20736 <***>.
--------------------------------
(Измененная редакция, Изм. N 2, 3).
4.4. Необходимость проведения, режим и последовательность технологического прогона должны быть установлены в конструкторской или технологической документации.
4.5. Объем и последовательность периодических испытаний должны быть установлены в стандартах и (или) технических условиях на изделия конкретных групп (видов) в зависимости от предъявляемых к изделию требований.
Последовательность проведения испытаний на влияние внешних факторов окружающей среды рекомендуется устанавливать в соответствии с
Приложением 5.
4.1 - 4.5. (Измененная редакция, Изм. N 1).
4.6. Объем метрологических или точностных характеристик, контролируемых при приемосдаточных и периодических испытаниях, должен быть установлен в стандартах и (или) технических условиях на изделия конкретных групп (видов).
4.7. Типовые испытания следует проводить по программе, в которую должна входить обязательная проверка параметров (характеристик), на которые могли повлиять изменения, внесенные в конструкцию или технологию изготовления изделий.
4.8. Объем и периодичность испытаний на надежность должны быть установлены в стандартах и (или) технических условиях на изделия конкретных групп (видов).
5.1.1. Нормальные условия испытаний при определении характеристик точности выполнения предписанной функции - по ГОСТ 23222 и стандартам и (или) техническим условиям на изделия конкретных групп (видов).
(Измененная редакция, Изм. N 1).
5.1.2. Общие положения при проведении испытаний на воздействие механических и климатических факторов - по
ГОСТ 30630.0.0.
5.1.3. При испытании на устойчивость изделия к внешнему воздействующему фактору значение этого фактора устанавливают в соответствии с требованиями настоящего стандарта, при этом остальные воздействующие факторы должны быть в пределах нормальных условий испытаний.
5.1.4. Испытание изделий проводят в следующей последовательности:
- начальная стабилизация (при необходимости);
- начальная проверка характеристик (при необходимости);
- выдержка в испытательном режиме;
- проверка характеристик в испытательном режиме (при необходимости);
- конечная стабилизация (при необходимости);
- заключительные проверки характеристик (при необходимости).
5.1.5. При начальной и конечной стабилизации изделие выдерживают в нормальных условиях в течение времени и в режиме, установленных в стандартах и (или) технических условиях на изделия конкретных групп (видов).
5.1.6. Начальные и заключительные проверки характеристик изделия проводят после стабилизации. Перечень проверяемых характеристик, их значения до, в процессе и после выдержки изделия в испытательном режиме устанавливают в стандартах и (или) технических условиях на изделия конкретных групп (видов).
5.1.7. Начальную и конечную стабилизации и начальные и заключительные проверки характеристик изделия при климатических испытаниях проводят в испытательной камере. Допускается проводить эти операции вне камеры (кроме конечной стабилизации и заключительных проверок при испытании на воздействие пониженной температуры).
5.1.8. При последовательном проведении испытаний на воздействие различных внешних влияющих факторов начальные проверки характеристик изделия допускается не проводить, считая началом испытаний заключительные проверки при предшествующих испытаниях.
5.1.9. Продолжительность выдержки изделия в испытательном режиме отсчитывают с момента установления режима в испытательной камере (на стенде).
5.1.10. Если в стандартах и (или) технических условиях на изделия конкретных групп (видов) предусмотрена проверка характеристик в испытательном режиме, то ее проводят без извлечения изделий из камеры.
При невозможности проверки характеристик без извлечения изделий из камер допускается проводить эти проверки вне камеры в течение времени, установленного в стандартах и (или) технических условиях на изделия конкретных групп (видов). При этом в первую очередь контролируют характеристики, наиболее чувствительные к влиянию условий испытаний.
| | ИС МЕГАНОРМ: примечание. ГОСТ 24555-81 утратил силу на территории Российской Федерации с 1 июля 1998 года. Действует ГОСТ Р 8.568-97, утв. Постановлением Госстандарта РФ от 10.11.1997 N 364 (ИУС "Государственные стандарты", N 2, 1998). | |
5.1.11. Испытательное оборудование, стенды и устройства, применяемые при испытаниях, должны иметь паспорт и быть аттестованы в соответствии с ГОСТ 24555 <*>. Указанные в паспортах технические характеристики должны обеспечивать режимы, установленные настоящим стандартом.
--------------------------------
| | ИС МЕГАНОРМ: примечание. Взамен ГОСТ 8.002-86 на территории Российской Федерации с 1 декабря 2001 года введены в действие ПР 50.2.002-94 "ГСИ. Порядок осуществления государственного метрологического надзора за выпуском, состоянием и применением средств измерений, аттестованными методиками выполнения измерений, эталонами и соблюдением метрологических правил и норм" (Постановление Госстандарта России от 27.09.2001 N 394-ст). | |
Средства измерений, применяемые при испытаниях, должны быть проверены в соответствии с ГОСТ 8.002 <**> и иметь действующие поверительные клейма или свидетельства о поверке.
--------------------------------
5.1.12. Испытательные режимы при проведении испытаний на воздействие внешних воздействующих факторов следует устанавливать и поддерживать с допускаемыми отклонениями, приведенными ниже:
- температура ........................... +/- 3 °C
- относительная влажность ............... +/- 3%
- пониженное давление ................... +/- 5% или +/- 0,1 кПа
(в зависимости от того,
что больше)
- амплитуда вибросмещения ............... +/- 20%
- амплитуда виброускорения .............. +/- 20%
- частота вибрации ...................... до 0,25 Гц ... +/- 0,05 Гц,
св. 0,25 до 5 Гц ... +/- 20%,
св. 5 до 50 Гц ... +/- 1 Гц,
св. 50 Гц ... +/- 2%
- относительное значение поперечных
составляющих вибросмещения .................. +/- 25%
- амплитуда ускорения при воздействии
ударных нагрузок ............................ +/- 25%
- относительное значение поперечных
составляющих ударного ускорения ............. +/- 30%.
(Измененная редакция, Изм. N 1).
5.1.13. Перечень рекомендуемого испытательного оборудования и средств измерений, применяемых при испытаниях, следует указывать в стандартах и (или) технических условиях на изделия конкретных групп (видов).
5.1.14. Испытания следует проводить при соблюдении требований безопасности, приведенных в нормативно-технической и эксплуатационной документации на испытательное оборудование. Электрические испытания проводят с соблюдением требований
ГОСТ 12.3.019.
5.1.15. Погрешность образцовых средств следует устанавливать в стандартах и (или) технических условиях на изделия конкретных групп (видов).
| | ИС МЕГАНОРМ: примечание. В официальном тексте документа, видимо, допущена опечатка: пункт 2.1.7 отсутствует. Возможно, имеется в виду пункт 2.17. | |
5.2. Внешний вид, маркировку, комплектность (
пп. 2.1;
2.1.7;
2.36;
6.1) проверяют внешним осмотром, сличением с конструкторской документацией, а при проверке внешнего вида - с утвержденным образцом (при наличии последнего).
5.3. Испытание изделия на воздействие повышенной (пониженной) температуры, соответствующей рабочим условиям (
пп. 2.3 и
2.4)
5.3.1. Проводят внешний осмотр изделия, после чего его помещают в камеру тепла (холода), в которой установлены нормальные условия испытаний. После начальной стабилизации проводят начальные проверки характеристик.
5.3.2. Температуру в камере изменяют до верхнего (нижнего) значения рабочих температур, установленного в стандартах и (или) технических условиях на изделия конкретных групп (видов). Изделия выдерживают в течение времени, достаточного для нагрева (охлаждения) его по всему объему.
Продолжительность выдержки изделия при повышенной (пониженной) температуре устанавливают в стандартах и (или) технических условиях на изделия конкретных групп (видов), рекомендуется продолжительность выдержки выбирать из ряда: 2; 8; 16; 32; 72; 96 ч.
Скорость повышения (понижения) температуры определяется характеристиками испытательной камеры.
От начальной до конечной проверки характеристик при испытаниях на воздействие повышенной температуры изделие должно быть во включенном состоянии, при испытаниях на воздействие пониженной температуры - в выключенном, если нет других указаний в стандартах и (или) технических условиях на изделия конкретных групп (видов).
Относительная влажность в камере должна быть естественно установившейся.
После выдержки при повышенной (пониженной) температуре проверяют характеристики, установленные в стандартах и (или) технических условиях на изделия конкретных групп (видов).
При наличии требований только к прочности проверку характеристик изделия при повышенной (пониженной) температуре не проводят.
(Измененная редакция, Изм. N 1, 3).
5.3.3. Температуру в камере понижают (повышают) до температуры нормальных условий испытаний и после конечной стабилизации проводят заключительные проверки внешнего вида и характеристик изделия, установленных в стандартах и (или) технических условиях на изделия конкретных групп (видов).
5.3.4. Изделие считают выдержавшим испытание, если во время и (или) после испытания его внешний вид и характеристики соответствуют требованиям, установленным в стандартах и (или) технических условиях на изделия конкретных групп (видов).
(Измененная редакция, Изм. N 3).
5.4. Испытание изделия на воздействие повышенной влажности
(п. 2.3)
5.4.1. Испытание изделия на воздействие повышенной влажности проводят по одному из следующих режимов:
- постоянный (без конденсации влаги);
- циклический (с конденсацией влаги).
5.4.2. Изделие испытывают в выключенном состоянии, если нет других указаний в стандартах и (или) технических условиях на изделия конкретных групп (видов).
5.4.3. Испытанию по постоянному режиму подвергают изделия групп исполнений B3, C3, C4, D3. Изделия групп исполнений B1, B2 и B4 на воздействие повышенной влажности не испытывают.
Испытание проводят следующим образом:
- проводят внешний осмотр изделия, после чего изделие помещают в камеру тепла и влаги, в которой установлены нормальные условия испытаний. После начальной стабилизации проводят начальные проверки характеристик изделия, затем его выключают;
- температуру в камере устанавливают равной 40 °C и изделие выдерживают в течение 2 ч, если иное время не указано в стандартах и (или) технических условиях на изделия конкретных групп (видов);
- относительную влажность в камере повышают до (93 +/- 3% и этот режим поддерживают в камере в течение времени, установленного в стандартах и (или) технических условиях на изделия конкретных групп (видов), выбирая его из ряда: 2; 4; 10; 21; 56 сут;
- после выдержки, если установлено в стандартах и (или) технических условиях на изделия конкретных групп (видов), проводят проверку характеристик, указанных в стандартах и (или) технических условиях на изделия конкретных групп (видов). Во время выдержки допускается проводить промежуточные измерения параметров;
- в камере устанавливают нормальные условия испытаний и после конечной стабилизации проверяют внешний вид и проводят заключительные проверки характеристик.
При наличии требований к прочности проверку характеристик и внешнего вида изделия при повышенной влажности не проводят.
Изделие считают выдержавшим испытание, если во время и (или) после испытания его внешний вид и характеристики соответствуют требованиям, установленным в стандартах и (или) технических условиях на изделия конкретных групп (видов).
(Измененная редакция, Изм. N 1, 3).
5.4.4. Испытанию по циклическому режиму подвергают изделия групп исполнений C1, C2, D1, D2. Изделия групп исполнений C1 и C2, которые в процессе эксплуатации не подвергаются длительному воздействию относительной влажности воздуха, равной 100%, допускается испытывать по постоянному режиму.
Испытание по циклическому режиму проводят
методом 207-3 по ГОСТ 20.57.406 при верхнем значении температуры 40 °C, нижнем - согласно
п. 5.1.1.
5.5. Испытание изделий на воздействие пониженного атмосферного давления
(п. 2.5) изделий групп исполнения P2
Изделия группы исполнения P1 испытаниям не подвергают.
При наличии требований только к прочности проверку характеристик и внешнего вида изделия при пониженном давлении не проводят.
(Измененная редакция, Изм. N 3).
5.5.1. Изделие помещают в барокамеру и проводят начальные проверки характеристик изделия, после чего изделие выключают, если нет других указаний в стандартах и (или) технических условиях на изделия конкретных групп (видов).
5.5.2. Давление в камере понижают до 66 кПа со скоростью, не превышающей 10 кПа/мин, и поддерживают в течение времени, указанного в стандартах и (или) технических условиях на изделия конкретных групп (видов), выбирая его из ряда: 5; 15; 30 мин; 1; 2; 4 ч.
При заданном пониженном давлении проверяют характеристики изделия, установленные в стандартах и (или) технических условиях на изделия конкретных групп (видов).
Затем давление в камере повышают до первоначального со скоростью, не превышающей 10 кПа/мин. Изделие может оставаться во включенном состоянии в течение всего времени изменения давления.
5.5.1, 5.5.2. (Измененная редакция, Изм. N 1).
5.5.3. После выдержки изделия в нормальных условиях испытаний проводят заключительные проверки его характеристик.
Изделие считают выдержавшим испытание, если во время и (или) после испытания его характеристики соответствуют требованиям, установленным в стандартах и (или) технических условиях на изделия конкретных групп (видов).
(Измененная редакция, Изм. N 3).
5.6. Испытания на воздействие вибрационных и ударных нагрузок, соответствующих рабочим условиям (
пп. 2.6 -
2.9)
5.6.1. Испытания проводят в следующей последовательности:
- испытание на виброустойчивость;
- испытание по обнаружению резонансных частот;
- испытание на вибропрочность;
- испытание на ударную прочность;
- испытание на удароустойчивость.
Необходимость проведения отдельных видов испытаний устанавливают в стандартах и (или) технических условиях на изделия конкретных групп (видов) в зависимости от предъявляемых к ним требований.
(Измененная редакция, Изм. N 1).
5.6.2. Испытаниям подвергают одни и те же образцы изделий.
5.6.3. Изделия при испытаниях крепят одним из следующих способов:
- непосредственно на платформе испытательного стенда;
- на жестком крепежном приспособлении;
- на собственных амортизаторах (если изделие при эксплуатации крепится таким образом).
Способ крепления изделия при испытании должен быть установлен в стандартах и (или) технических условиях на изделия конкретных групп (видов).
5.6.4. Средства, используемые для крепления изделия к платформе испытательного стенда или приспособления, не должны вызывать искажений вибраций и ударов в местах крепления изделия.
5.6.5. Внешние соединения, необходимые для измерения характеристик изделий и параметров вибрации и удара, а также для подключения питания, не должны вызывать дополнительных искажений вибрации в местах крепления испытуемого изделия.
5.6.6. Испытание на воздействие вибрационных и ударных нагрузок проводят одним из следующих способов:
- на однокомпонентном стенде - с вертикальным или горизонтальным направлением вибрации и ударов поочередно в трех взаимно перпендикулярных направлениях изделия;
- на двухкомпонентном стенде - поочередно в двух взаимно перпендикулярных направлениях таким образом, чтобы воздействие вибрации и ударов было осуществлено по всем трем координатным осям изделия;
- на трехкомпонентном стенде - в эксплуатационном положении.
Если поворот изделия не предусмотрен конструкцией, допускается воздействие вибрации и ударов относительно оси изделия в одном или двух направлениях без сокращения общей продолжительности испытаний.
5.6.7. Параметры испытательных режимов измеряют в контрольной точке, которая должна находиться в максимальной близости от места крепления изделия на стенде, на крепежном приспособлении.
5.6.8. Общую продолжительность испытаний распределяют поровну между направлениями воздействия.
При испытании на двухкомпонентном стенде продолжительность испытаний в каждом положении изделия должна составлять половину общей продолжительности, при испытании на трехкомпонентном стенде - одну треть.
5.6.9. Испытание на устойчивость при воздействии синусоидальной вибрации (испытание на виброустойчивость)
5.6.9.1. При испытании изделие должно функционировать при значениях входных (выходных) сигналов, установленных в стандартах и (или) технических условиях на изделия конкретных групп (видов).
5.6.9.2. Испытание проводят плавным изменением частоты во всем диапазоне от нижнего значения до верхнего и обратно.
Скорость изменения частоты должна допускать возможность контроля необходимых характеристик изделий, но не превышать одной октавы в минуту.
Для изделий групп исполнений L1, L2, L3, N1 и N2 в заданном диапазоне частот поддерживают постоянную амплитуду смещения.
Для изделий остальных групп исполнений в диапазоне от нижнего значения частоты до частоты перехода поддерживают постоянную амплитуду смещения, начиная с частоты перехода до верхнего значения частоты поддерживают постоянную амплитуду ускорения по
табл. 3 или
3б.
(Измененная редакция, Изм. N 1).
5.6.9.3. При обнаружении у изделий частот, на которых наблюдается нестабильность работы или ухудшение характеристик, изделие дополнительно выдерживают на этих частотах не менее 5 мин.
5.6.9.4. При использовании механических вибростендов диапазон частот разбивают на следующие поддиапазоны: 0,1 - 1; 1 - 5; 5 - 10; 10 - 25; 25 - 35; 35 - 55; 55 - 80; 80 - 100; 100 - 120; 120 - 150 Гц.
В каждом поддиапазоне следует плавно изменять частоту вибрации. Значения амплитуд смещения и ускорения, приведенные в
табл. 3 и
3б, следует относить к верхнему значению частоты поддиапазона.
Время прохождения поддиапазона в одном направлении должно быть не менее 1 мин.
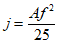
Примечание. Зависимость между амплитудами ускорения и смещения при синусоидальной вибрации определяют по формуле

,
где

- амплитуда ускорения, м/с2;
f - частота вибрации, Гц;
A - амплитуда смещения, мм.
Измененная редакция, Изм. N 1).
5.6.9.5. Изделие считают выдержавшим испытания, если во время испытания его характеристики соответствуют требованиям, установленным в стандартах и (или) технических условиях на изделия конкретных групп (видов).
5.6.10. Испытание по обнаружению резонансных частот
5.6.10.1. Испытания проводят с целью определения резонансных частот на стадии предварительных испытаний опытных образцов по методике испытания на виброустойчивость
(5.6.9).
5.6.10.2. Диапазон частот, значения амплитуды ускорения и смещения выбирают по
табл. 3 или
3б и устанавливают в стандартах и (или) технических условиях на изделия конкретных групп (видов) или программе испытаний.
Для изделий групп исполнений L1 - L3 допускается проведение испытаний только при верхнем значении частоты диапазона и требуемой амплитуде смещения.
(Измененная редакция, Изм. N 1).
5.6.10.3. Состояние изделия при испытании (включенное или выключенное) устанавливают в зависимости от метода определения резонансных частот.
5.6.10.4. Наличие резонансных частот проверяют в процессе испытаний по превышению амплитуды перемещения отдельных элементов изделий по сравнению с амплитудой перемещения точек крепления в два и более раза.
Кроме того, резонансные частоты могут быть обнаружены по изменению значений контролируемых характеристик, по шумовым эффектам внутри изделия, визуально при помощи микроскопа, стробоскопа, рентгенотелевидения, вибропреобразователей и других средств контроля.
Методы обнаружения резонансных частот следует выбирать индивидуально для каждого вида изделия.
Для контроля резонансных частот внутри изделия допускается снимать кожухи и крышки, если они не являются несущей частью конструкции и при этом не нарушается нормальное функционирование изделия, а также его крепление.
5.6.11. Испытание изделия на прочность при воздействии синусоидальной вибрации (испытание на вибропрочность)
5.6.11.1. Испытание изделия на вибропрочность проводят методом качающейся частоты (метод плавно изменяющейся частоты) или методом фиксированных частот.
Метод качающейся частоты является предпочтительным.
5.6.11.2. Состояние изделия (включенное или выключенное) устанавливают в стандартах и (или) технических условиях на изделия конкретных групп (видов).
5.6.11.3. Испытание методом качающейся частоты проводят по
п. 5.6.9.2. Продолжительность испытания по каждому направлению определяется числом циклов качания, выбираемым из ряда: 5; 10; 20; 50; 100. Длительность испытания по числу циклов качания приведена в
Приложении 4.
5.6.11.4. При испытании методом фиксированных частот во всем диапазоне заданный диапазон частот разбивают на третьоктавные поддиапазоны: 10; 13; 16; 20; 25; 31,5; 40; 50; 63; 80; 100; 125; 160; 200; 250; 315; 400; 500; 630; 800; 1000; 1250; 1600; 2000 Гц.
Если верхнее значение диапазона частот не совпадает с одной из указанных третьоктавных частот, то его округляют до ближайшей большей частоты третьоктавного ряда.
На верхней частоте диапазона изделия выдерживают в течение времени, определенного для третьоктавного поддиапазона частот, затем в пределах каждого поддиапазона частот плавно изменяют частоту от верхней к нижней в течение 1 мин, оставшееся для третьоктавного поддиапазона частот время выдерживают на нижней частоте каждого поддиапазона.
Общая продолжительность воздействия вибрации по всему диапазону частот указывается в стандартах и (или) технических условиях на конкретные группы (виды) изделий и выбирается из ряда: 1,5; 3; 6 ч. Общую продолжительность воздействия вибрации в каждом третьоктавном поддиапазоне частот определяют делением общей продолжительности испытаний во всем диапазоне частот на число третьоктавных частот, содержащихся в нем.
Значения амплитуды смещения или ускорения выбирают по
табл. 3.
5.6.11.5. Испытание методом одной или нескольких фиксированных или резонансных частот применяют для изделий, у которых в процессе испытания по обнаружению резонансных частот в пределах заданного диапазона частот обнаружено 1 - 4 четко выраженные резонансные частоты, или для изделий, у которых значительные перегрузки или ухудшение характеристик возникает на определенных частотах. Конкретный метод устанавливают в стандартах и (или) технических условиях на изделия конкретных групп (видов).
Испытания проводят только на частоте (частотах), значение которой установлено в стандартах и (или) технических условиях на изделия конкретных групп (видов). Значения амплитуды смещения и (или) амплитуды ускорения выбирают по
табл. 3.
Продолжительность испытания на каждой фиксированной (резонансной) частоте в каждом направлении выбирают из ряда: (10 +/- 0,5); (30 +/- 1); (90 +/- 1); (600 +/- 5) мин.
5.6.11.3 - 5.6.11.5. (Измененная редакция, Изм. N 1).
5.6.11.6. Изделие считают выдержавшим испытания, если после воздействия вибрации оно сохраняет значения характеристик в пределах, установленных в стандартах и (или) технических условиях на изделия конкретных групп (видов), и при его внешнем осмотре не обнаружено механических повреждений.
5.6.12. Испытание на ударную устойчивость (прочность)
(п. 2.8)
5.6.12.1. Изделие устанавливают на ударном стенде и проводят начальные проверки характеристик. Форма ударного импульса указана на чертеже.
1 - пределы отклонений; 2 - номинальный пробег;

- пиковое усиление удара;

- длительность ударного импульса
При испытании на многократные удары
(п. 2.8) изделие подвергают воздействию ударов в каждом направлении, при этом частоту следования ударов рекомендуется выбирать в пределах 1 - 3 удара в 1 с.
При испытании на ударную устойчивость частота следования должна быть такой, чтобы между ударами можно было контролировать характеристики изделий, критичные к ударным нагрузкам. Число ударов в каждом направлении должно быть не менее 1000.
При испытании на одиночные удары
(п. 2.8) изделие подвергают воздействию трех ударов поочередно в каждом из двух противоположных направлений по трем взаимно перпендикулярным осям (всего 18 ударов), если нет других указаний в стандартах и (или) технических условиях на изделия конкретных групп (видов).
Значения пикового ускорения, длительность действия ударного импульса устанавливают по
п. 2.8.
При испытании на ударную устойчивость изделие должно функционировать при значениях входных (выходных) сигналов, установленных в стандартах и (или) технических условиях на изделия конкретных групп (видов).
По окончании испытаний на ударную прочность проводят заключительные проверки внешнего вида и характеристик изделия, установленных в стандартах и (или) технических условиях на изделия конкретных групп (видов).
5.6.12, 5.6.12.1. (Измененная редакция, Изм. N 1).
5.6.12.2. Изделие считают выдержавшим испытание, если в процессе и (или) после испытания его характеристики соответствуют требованиям, установленным в стандартах и (или) технических условиях на изделия конкретных групп (видов), и при его внешнем осмотре не обнаружено механических повреждений.
(Измененная редакция, Изм. N 3).
5.6.13. Методика проверки ударных и вибрационных воздействий для обеспечения сейсмостойкости изделий
(п. 2.9) должна быть установлена в стандартах и (или) технических условиях на изделия конкретных групп (видов).
5.7. Испытание на воздействие отклонения от рабочего положения
(п. 2.10) проводят следующим образом: после начальных проверок характеристик изделия в рабочем положении его наклоняют на 5° или угол, установленный в стандартах и (или) технических условиях на изделия конкретных групп (видов) относительно рабочего положения, в четырех направлениях относительно двух взаимно перпендикулярных осей изделий.
В каждом из указанных положений проверяют характеристики изделия, установленные в стандартах и (или) технических условиях на изделия конкретных групп (видов).
Изделие считают выдержавшим испытание, если его характеристики соответствуют требованиям, установленным в стандартах и (или) технических условиях на изделия конкретных групп (видов).
5.8. Испытание на воздействие внешних магнитных полей (
пп. 2.11,
2.12)
5.8.1. После начальных проверок характеристик изделие помещают в центре катушки, создающей равномерное магнитное поле. Для этой цели применяют катушку, состоящую из двух параллельных коаксиальных плоских колец и имеющую возможность поворота вокруг горизонтальной оси. Расстояние между средними плоскостями колец должно равняться половине среднего диаметра обмотки колец. Средний диаметр кольца должен быть не менее чем в 2,5 раза больше габаритных размеров испытуемого изделия.
Обмотки обоих колец включают последовательно и согласно.
Каркас и крепление катушки должны быть из немагнитных материалов.
5.8.2. Изделие подвергают воздействию постоянного и (или) переменного магнитного поля в зависимости от указаний в стандартах и (или) технических условиях на изделия конкретных групп (видов).
Силу тока катушки выбирают с таким расчетом, чтобы получить в центре катушки магнитное поле напряженности, указанной в
пп. 2.11 или
2.12.
Напряженность магнитного поля H, А/м, вычисляют по формуле

,
где I - сила тока, протекающего через обмотку, А;
w - число витков обмотки каждого из колец;
D - средний диаметр кольца, м.
Изделие испытывают во включенном состоянии.
5.8.3. Испытуемое изделие и катушку, создающую магнитное поле, поворачивают относительно друг друга до положения, при котором наблюдается максимальное влияние поля на изделие.
5.8.4. Средства измерений, используемые в процессе испытаний, должны быть удалены от магнитной катушки на расстояние, обеспечивающее независимость их показаний от магнитного поля, создаваемого катушкой.
5.8.5. После включения катушки при необходимости проводят заключительные проверки характеристик.
Изделие считают выдержавшим испытание, если во время (и после испытания) его характеристики соответствуют требованиям, установленным в стандартах и (или) технических условиях на изделия конкретных групп (видов).
5.9. Методика испытания изделия на воздействие индустриальных радиопомех
(п. 2.13) должна быть установлена в стандартах и (или) технических условиях на изделия конкретных групп (видов).
5.10. Метрологические или точностные характеристики изделия
(п. 2.15) контролируют по методикам, установленным в стандартах и (или) технических условиях на изделия конкретных групп (видов).
5.11. Испытание электрической прочности и сопротивления изоляции изделий
(п. 2.16)
(Измененная редакция, Изм. N 3).
5.11.1. Испытания следует проводить:
- между гальванически не связанными цепями изделия (цепями питания, измерения, контроля, управления, сигнализации и т.д.);
- между каждой из указанных цепей и доступными для касания металлическими нетоковедущими частями (корпусом, защитным экраном).
Электрические цепи, подлежащие испытаниям, точки приложения испытательного напряжения и подключения средств измерений сопротивления изоляции указывают в стандартах и (или) технических условиях на изделия конкретных групп (видов).
5.11.2. Испытания изоляции следует проводить в следующей последовательности:
- испытания электрической прочности;
- измерение электрического сопротивления.
5.11.3. Цепи изделий, испытательное напряжение которых превышает 2 кВ, подвергают испытаниям электрической прочности полным напряжением не более двух раз. Последующие испытания проводят напряжением, составляющим 80% полного испытательного напряжения.
5.11.4. Состав испытаний изоляции изделий на стадии разработки и серийного производства приведен в
Приложении 7.
Испытания изоляции в условиях, отличающихся от нормальных, проводят в конце соответствующих климатических испытаний без извлечения изделия из камеры. Если это невозможно, то допускается проводить испытания изоляции не позднее чем через 3 мин после извлечения изделий из камеры.
5.11.5. Мощность установок для испытания электрической прочности изоляции должна быть не менее значений, указанных в табл. 6.
Таблица 6
────────────────────────────────────────────┬──────────────────────────────
Верхний предел испытательного напряжения, кВ│ Мощность, кВ x А
────────────────────────────────────────────┼──────────────────────────────
До 1,5 │ 0,10
Св. 1,5 до 3,0 │ 0,25
" 3,0 " 10,0 │ 0,50
" 10,0 " 60,0 │ 2,50
5.11.6. Относительная погрешность измерения испытательного напряжения не должна превышать +/- 5%.
5.11.7. Сопротивление изоляции следует измерять омметром или автоматическими средствами измерения сопротивления изоляции с погрешностью, не превышающей +/- 20%.
5.11.8. Зажимы испытуемой электрической цепи соединяют в соответствии с указаниями стандартов и (или) технических условий на изделия конкретных групп (видов).
5.11.9. Допускается при испытаниях изоляции отключение модулей с К-МОП схемами при условии, если напряжение на элементах модуля и напряжение питания не превышает 42 В.
5.11.10. Изделия с корпусом из изоляционного материала перед испытаниями изоляции покрывают сплошной, плотно прилегающей к поверхности металлической фольгой таким образом, чтобы расстояние ее от зажимов испытуемой цепи было не менее 20 мм.
5.11.11. Испытания изоляции цепей постоянного тока и цепей, соединенных с зажимом или контактом защитного заземления через помехоподавляющий фильтр, допускается проводить постоянным напряжением, значение которого в 1,4 раза выше напряжения, установленного в
табл. 3в.
5.11.12. Испытательное напряжение повышают плавно, начиная с нуля или значения, не превышающего номинальное напряжение цепи, до испытательного в течение времени, установленного в стандартах и (или) технических условиях на изделия конкретных групп (видов), но не более 30 с.
Испытание напряжением постоянного тока следует проводить при положительной или отрицательной полярности в зависимости от установленного в стандартах и (или) технических условиях на изделия конкретных групп (видов).
5.11.13. Изоляцию выдерживают под испытательным напряжением в течение 1 мин. Затем напряжение снижают до нуля или значения, не превышающего номинальное, после чего установку отключают.
Испытания изоляции следует проводить с соблюдением требований по
ГОСТ 12.3.019, "Правил технической эксплуатации электроустановок потребителей" и "Правил техники безопасности при эксплуатации электроустановок", утвержденных Госэнергонадзором.
Установки для проведения испытаний электрической прочности изоляции должны быть снабжены автоматическим выключателем напряжения, срабатывающим при пробое изоляции испытуемых цепей. Ток отключения (отсечки) установок должен быть 40 - 200 мА.
По окончании испытаний все конденсаторы испытуемой цепи, зарядившиеся во время испытаний, необходимо разрядить до напряжения не более 42 В за время, не превышающее 30 с.
5.11.14. Изделие считают выдержавшим испытание электрической прочности изоляции, если не произошло пробоя или перекрытия изоляции. Появление коронного разряда или шума при испытании не является признаком неудовлетворительных результатов испытаний.
5.11.15. Электрическое сопротивление изоляции измеряют постоянным напряжением, значение которого выбирают в зависимости от номинального напряжения цепи по табл. 7. Напряжение постоянного тока при измерении не должно превышать испытательное напряжение при испытании электрической прочности изоляции.
Таблица 7
В вольтах
────────────────────────────────┬──────────────────────────────────────────
Номинальное напряжение цепи │Напряжение постоянного тока при измерении
────────────────────────────────┼──────────────────────────────────────────
До 100 │ От 100 до 250
Св. 100 до 250 │ Св. 250 " 500
" 250 " 660 │ " 500 " 1000
" 660 " 2000 │ " 1000 " 2500
" 2000 │ " 2500
5.11.16. Показания, определяющие электрическое сопротивление изоляции, следует отсчитывать по истечении 1 мин после приложения напряжения или меньшего времени, за которое показания средства измерения практически установятся.
5.11.17. Изделия считают выдержавшими испытания, если измеренные значения сопротивления изоляции равны или превышают установленные в стандартах и (или) технических условиях на изделия конкретных групп (видов).
5.11.1 - 5.11.17. (Введены дополнительно, Изм. N 3).
5.12 (5.12.1 - 5.12.4), 5.13 (5.13.1 - 5.13.4), 5.14, 5.15 (5.15.1 - 5.15.4). (Исключены, Изм. N 1).
5.16. Испытание изделий на прочность и герметичность
(п. 2.23)
Общие требования к выбору метода испытания на герметичность, к подготовке, проведению испытания и оформлению его результатов - по
ГОСТ 24054.
Конкретный метод испытания, давление пробного вещества и способ обнаружения утечек устанавливают в стандартах и (или) технических условиях на изделия конкретных групп (видов).
5.17. Испытание изделий на воздействие повышенной (пониженной) температуры, соответствующей условиям транспортирования
(п. 2.24.1)
5.17.1. Испытание изделия в упаковке проводят в камере тепла (холода) по методике
п. 5.3. Проверку внешнего вида и характеристик изделий в камере при верхнем (нижнем) значении температур не проводят. Температуру в камере устанавливают по
п. 2.24.1. Время выдержки в камере при заданной температуре должно быть не менее 6 ч <*>, 16 ч.
--------------------------------
<*> Допускается до 01.07.1991 для изделий, технические задания на разработку которых утверждены до 01.01.1990.
Допускается проводить испытание изделий без упаковки, а также не проводить испытание изделий, для которых значения температуры при транспортировании, установленные в стандартах и (или) технических условиях на изделия конкретных групп (видов), не превышают значений температуры при эксплуатации.
(Измененная редакция, Изм. N 1, 2).
5.17.2. Изделие считают выдержавшим испытание, если после испытания его внешний вид и характеристики соответствуют требованиям, установленным в стандартах и (или) технических условиях на изделия конкретных групп (видов).
5.18. Испытание изделий на воздействие повышенной влажности, соответствующей условиям транспортирования
(п. 2.24.1)
5.18.1. Испытание изделий в упаковке проводят в камере тепла и влаги по методу постоянного режима по
п. 5.4.3 при относительной влажности и температуре воздуха, установленных по
п. 2.24.1. Время выдержки в камере выбирают из ряда 6 ч <**>, 2, 4, 10 сут. Допускается проводить испытание изделий без упаковки и не проводить испытания изделий групп исполнений D1, D2. Проверку внешнего вида и характеристик изделий в камере при верхнем значении относительной влажности не проводят.
--------------------------------
<**> Допускается по согласованию с потребителем.
Изделие считают выдержавшим испытание, если после испытания его внешний вид и характеристики соответствуют требованиям, установленным в стандартах и (или) технических условиях на изделия конкретных групп (видов).
(Измененная редакция, Изм. N 1 - 3).
5.19 (5.19.1 - 5.19.3). (Исключены, Изм. N 1).
5.20. Испытание изделий на воздействие механико-динамических нагрузок, соответствующих условиям транспортирования
(п. 2.24.3)
5.20.1. Изделие в упаковке крепят к платформе испытательного стенда без дополнительной наружной амортизации в положении, определенном маркировкой тары.
5.20.2. Испытание изделий на воздействие вибрационных нагрузок проводят вдоль трех взаимно перпендикулярных осей тары или в направлении, обозначенном на таре манипуляционным знаком "Верх" по
ГОСТ 14192 одним из методов испытания на вибропрочность по
п. 5.6.11 в диапазоне частот при амплитуде смещения и ускорения по
п. 2.24.3. Общая продолжительность воздействия вибрации - не менее 6 ч.
(Измененная редакция, Изм. N 1, 3).
5.20.3. Испытание изделий на воздействие ударных нагрузок проводят в упаковке по методу испытаний на многократные удары
(п. 5.6.12) при параметрах испытательных режимов по
п. 2.24.3.
По согласованию с потребителем допускается испытания на ударном и вибрационном стендах (для группы N 2) заменять испытанием на стенде транспортирования при среднем квадратическом значении ускорения не менее 98 м/с2 в течение 1 ч или перевозкой изделий автомобильным транспортом в соответствии с требованиями
ГОСТ 23170 по одной из категорий Л, С, Ж, указанных в стандартах и (или) технических условиях на изделия конкретных групп (видов).
(Измененная редакция, Изм. N 1, 2).
5.20.3.1. Испытание изделий в транспортной таре на удары при свободном падении
(п. 2.24.3а)
Изделие в транспортной таре два раза сбрасывают на гладкую твердую бетонную или стальную плиту (пол) из положения, в котором изделие находится при эксплуатации, или в транспортной таре, если иное не установлено в стандартах и (или) технических условиях на изделия конкретных групп (видов).
Высоту падения выбирают по
п. 2.24.3а. При необходимости требования к характеристикам плиты (пола) устанавливают в стандартах и (или) технических условиях на изделия конкретных групп (видов).
(Измененная редакция, Изм. N 2, 3).
5.20.4. Изделие считают выдержавшим испытание, если после воздействия механических нагрузок его внешний вид и характеристики соответствуют требованиям, установленным в стандартах и (или) технических условиях на изделия конкретных групп (видов).
5.21. Испытания изделий в транспортной таре, предназначенных для транспортирования в негерметизированных отсеках самолетов
(п. 2.24.4)
5.21.1. Испытание на воздействие резкой смены температур
Изделие в упакованном для транспортирования виде подвергают воздействию циклического изменения температуры. Число циклов должно быть равно пяти, если в стандартах и (или) технических условиях на изделие нет иных указаний.
Каждый цикл состоит из следующих этапов:
- изделие помещают в камеру холода, температуру в которой заранее устанавливают равной минус 65 °C, и выдерживают не менее 16 ч;
- после выдержки в камере холода изделие переносят в камеру тепла, температуру в которой устанавливают равной 70 °C, и выдерживают не менее 16 ч;
- изделие переносят в камеру холода, в которой установлена температура минус 65 °C, и выдерживают не менее 16 ч.
Время переноса изделия не должно превышать 3 мин, если не установлено иное в стандартах и (или) технических условиях на конкретные группы (виды) изделий.
Температуру в камере устанавливают равной нормальным условиям испытаний, и после конечной стабилизации изделия распаковывают и проводят заключительные проверки характеристик, установленных в стандартах и (или) технических условиях на изделие конкретных групп (видов), и внешний осмотр изделия.
(Измененная редакция, Изм. N 1).
5.21.2. При испытании на воздействие пониженного атмосферного давления изделие в упакованном для транспортирования виде помещают в барокамеру.
Испытания проводят по методу
п. 5.5 при давлении, установленном в соответствии с
п. 2.24.4.
Время выдержки изделия в камере - не менее 6 ч.
Проверку характеристик и внешнего вида изделия проводят после конечной стабилизации и распаковывания.
5.21.3. Изделие считают выдержавшим испытание, если после него внешний вид изделия и его характеристики соответствуют требованиям, установленным в стандартах и (или) технических условиях на изделия конкретных групп (видов).
5.22. (Исключен, Изм. N 1).
5.23. Испытание изделий на воздействие твердых тел
(п. 2.25) проводят методом, установленным
ГОСТ 14254 для соответствующей степени защиты.
Изделия степени защиты от попадания твердых тел IP0X испытаниям не подвергают.
При испытании изделий на соответствие степеням защиты IP5X и IP6X испытательная установка, характеристики пылевой смеси, продолжительность испытаний, необходимость подключения вакуумного насоса, концентрация пыли - по
ГОСТ 14254. Для поддержания в испытательной камере заданной постоянной концентрации пыли рекомендуется применять испытательную установку, приведенную в
Приложении 2. Определение концентрации пыли - по
Приложению 3.
(Измененная редакция, Изм. N 2).
5.24. Испытания изделий на воздействие воды
(п. 2.25) проводят методом, установленным
ГОСТ 14254 для соответствующей степени защиты.
Изделия степени защиты от попадания воды IPX0 испытаниям не подвергают.
Испытания изделий степеней защиты IPX3, а также IPX4, допускающие возможность поворота вокруг горизонтальной оси на 180°, допускается проводить в камере дождя в режиме "брызгозащищенность". Зона дождя должна перекрывать габаритные размеры изделия не менее чем на 300 мм. Угол наклона стола, на котором крепят изделие к горизонтальной плоскости, 45°. Во время испытаний стол должен вращаться вокруг вертикальной оси.
Интенсивность искусственного дождя - (5 +/- 2) мм/мин. Интенсивность дождя контролируют перед испытаниями в месте расположения изделия не менее 30 с циклическим сборником диаметром 100 - 200 мм и высотой не менее половины диаметра.
Продолжительность испытаний изделия - не менее 10 мин. При этом продолжительность испытаний изделий степени защиты IPX4 распределяют поровну между двумя положениями.
Изделия считают выдержавшими испытания, если его характеристики удовлетворяют требованиям стандартов и (или) технических условий на изделия конкретных групп (видов) и после вскрытия внутри изделия не обнаружено воды.
5.25. Испытание изделий взрывозащищенных и рудничных
(п. 2.27) проводят по
ГОСТ 22782.3, ГОСТ 22782.4 - ГОСТ 22782.6, ГОСТ 24719 <1>.
--------------------------------
5.26. Испытания изделий, предназначенных для эксплуатации в среде, содержащей коррозионно-активные агенты
(п. 2.28), проводят по методике, установленной в стандартах и (или) технических условиях на изделия конкретных групп (видов).
Испытания контактных соединений изделий, предназначенных для эксплуатации в среде, содержащей диоксид серы, проводят по ГОСТ 20.57.406
(метод 301-1).
Испытания контактных соединений изделий, предназначенных для эксплуатации в среде, содержащей сероводород, проводят по ГОСТ 20.57.406
(метод 301-3).
(Измененная редакция, Изм. N 1).
| | ИС МЕГАНОРМ: примечание. ГОСТ 16842-82 утратил силу на территории Российской Федерации с 1 января 2001 года в связи с введением в действие ГОСТ Р 51320-99 (Постановление Госстандарта России от 22.12.1999 N 655-ст). | |
5.27. Проверку уровня радиопомех, создаваемых изделием, содержащим источник радиопомех
(п. 2.29), проводят по ГОСТ 16842 <2> и "Общесоюзным нормам допускаемых индустриальных радиопомех" (Нормы 1-87 - 9-87).
--------------------------------
(Измененная редакция, Изм. N 2, 3).
5.28. Измерение уровня шума, создаваемого изделием
(п. 2.30)
| | ИС МЕГАНОРМ: примечание. ГОСТ 12.1.024-81 утратил силу на территории Российской Федерации в связи с изданием Приказа Ростехрегулирования от 15.06.2005 N 157-ст. Взамен с 1 октября 2005 года введен в действие ГОСТ 31273-2003. ГОСТ 31273-2003 утратил силу с 1 ноября 2015 года в связи с введением в действие ГОСТ ISO 3745-2014 (Приказ Росстандарта от 29.12.2014 N 2147-ст). | |
| | ИС МЕГАНОРМ: примечание. Взамен ГОСТ 12.1.025-81 Приказом Ростехрегулирования от 15.06.2005 N 157-ст с 1 октября 2005 года на территории Российской Федерации введен в действие ГОСТ 31274-2004. | |
| | ИС МЕГАНОРМ: примечание. ГОСТ 12.1.027-80 утратил силу на территории Российской Федерации с 1 июля 2000 года в связи с введением в действие ГОСТ Р 51400-99 (Постановление Госстандарта России от 17.12.1999 N 542-ст). | |
| | ИС МЕГАНОРМ: примечание. ГОСТ 12.1.028-80 утратил силу на территории Российской Федерации с 1 июля 2000 года в связи с введением в действие ГОСТ Р 51402-99 (Постановление Госстандарта России от 17.12.1999 N 544-ст). | |
Уровень шума определяют шумомерами одним из методов по ГОСТ 12.1.024, ГОСТ 12.1.025,
ГОСТ 12.1.026 <3>, ГОСТ 12.1.027 <4>, ГОСТ 12.1.028 <5>.
--------------------------------
Конкретный метод определения уровня шума должен быть установлен в стандартах и (или) технических условиях на изделия конкретных групп (видов).
Измеренный уровень шума не должен превышать значения, установленного в
п. 2.30.
5.29. Защитные и защитно-декоративные покрытия
(п. 2.31) проверяют методами, установленными в стандартах и (или) технических условиях на изделия конкретных групп (видов).
5.30. Испытание изделий на надежность проводят по нормативно-технической документации.
(Измененная редакция, Изм. N 1).
5.31. Измерение потребляемой мощности
(п. 2.33)
Значение потребляемой электрической мощности изделий определяют при номинальном напряжении питания и максимальной нагрузке по показанию ваттметра класса точности не ниже 2,5 или вольтметра и амперметра классов точности не ниже 1,5, включенных в цепь питания изделия.
Метод определения потребляемой пневматической и гидравлической энергии устанавливают в стандартах и (или) технических условиях на изделия конкретных групп (видов).
Значение потребляемой мощности изделия не должно превышать установленного в стандартах и (или) технических условиях на изделия конкретных групп (видов).
5.32. Массу изделий
(п. 2.34) проверяют на весах, обеспечивающих необходимую точность.
(Измененная редакция, Изм. N 3).
5.34. Методы проведения комплексных испытаний устанавливают в стандартах и (или) технических условиях на изделия конкретных групп (видов).
(Введен дополнительно, Изм. N 3).
6. МАРКИРОВКА, УПАКОВКА, ТРАНСПОРТИРОВАНИЕ И ХРАНЕНИЕ
(Измененная редакция, Изм. N 1).
6.2. Изделия следует упаковывать в закрытых вентилируемых помещениях при температуре окружающего воздуха от 15 °C до 40 °C и относительной влажности до 80% при отсутствии в окружающей среде агрессивных примесей. Хранение - по
ГОСТ 15150.
(Измененная редакция, Изм. N 3).
6.3. Упакованные изделия должны быть рассчитаны на транспортирование одним или несколькими видами транспорта согласно с правилами перевозки грузов, действующими на соответствующем виде транспорта. Вид и категорию транспортирования указывают в стандартах и (или) технических условиях на изделия конкретных групп (видов).
6.4. Упакованные изделия должны быть закреплены в транспортных средствах, а при использовании открытых транспортных средств - защищены от атмосферных осадков и брызг воды.
6.5. Размещение и крепление в транспортных средствах упакованных изделий должны обеспечивать их устойчивое положение, исключать возможность ударов друг о друга, а также о стенки транспортных средств.
6.6. Укладывать упакованные изделия в штабели следует согласно правилам и нормам, действующим на соответствующем виде транспорта, чтобы не допускать деформации транспортной тары при возможных механических перегрузках.
6.7. Условия транспортирования изделий должны соответствовать требованиям настоящего стандарта,
ГОСТ 15150 и правилам и нормам, действующим на каждом виде транспорта, и должны быть установлены в стандартах и (или) технических условиях на изделия конкретных групп (видов).
6.8. Транспортировать изделия следует упакованными в пакеты, контейнеры или поштучно.
Транспортировать изделия пакетами следует в соответствии с установленными для каждого вида транспорта правилами.
(Измененная редакция, Изм. N 1).
6.9. Транспортировать и хранить изделия в районах Крайнего Севера и приравненных к ним местностях следует в соответствии с требованиями настоящего стандарта и
ГОСТ 15846.
6.10. Расположение изделий в хранилищах должно обеспечивать их свободное перемещение и доступ к ним.
6.11. Изделия следует хранить на стеллажах.
6.12. Расстояние между стенами, полом хранилища и изделиями должно быть не менее 100 мм.
6.13. Расстояние между отопительными устройствами хранилищ и изделиями должно быть не менее 0,5 м.
6.14. Возможность и допускаемая длительность хранения изделий в транспортной таре должны быть установлены в стандартах и (или) технических условиях на изделия конкретных групп (видов), при этом транспортная тара должна быть без подтеков и загрязнений.
6.15. (Исключен, Изм. N 1).
6.16. Изделия, имеющие ограниченный срок защиты без переконсервации (указанный в паспорте), по истечении срока должны быть переконсервированы.
7.1. Изготовитель гарантирует соответствие изделий требованиям настоящего стандарта и стандартов и (или) технических условий на изделия конкретных групп (видов) при соблюдении условий эксплуатации, хранения и транспортирования.
Гарантийный срок эксплуатации должен быть установлен в стандартах и (или) технических условиях на изделия конкретных групп (видов), при этом он должен быть не менее 18 мес с момента ввода изделий в эксплуатацию. Гарантийный срок хранения - 6 мес с момента изготовления изделий.
Справочное
ПОЯСНЕНИЯ ТЕРМИНОВ, ИСПОЛЬЗОВАННЫХ В НАСТОЯЩЕМ СТАНДАРТЕ
Точностные характеристики - характеристики свойств изделий, оказывающие влияние на соответствие реализуемых функций номинальным функциям изделия.
Изделия третьего порядка - изделия, которые не требуется обязательно размещать внутри других изделий при эксплуатации.
Изделия второго порядка - изделия, которые требуется обязательно размещать внутри изделий третьего порядка при эксплуатации.
Изделия первого порядка - изделия, которые требуется обязательно размещать внутри изделий второго порядка при эксплуатации.
Изделия в обыкновенном исполнении - изделия, не предназначенные для работы в условиях воздействия: твердых посторонних тел, воды (изделия степени защиты IP00 по
ГОСТ 14254), взрывоопасной и агрессивной среды, интенсивных механических воздействий.
Частота перехода - условная частота вибрации

,
где j - амплитуда ускорения для частоты выше частоты перехода,
А - амплитуда смещения для частоты ниже частоты перехода.
Взаимозаменяемые изделия, являющиеся средствами автоматизации, - изделия одного и того же типа и исполнения, которые не требуется при замене одного экземпляра изделия другим регулировать с применением контрольных средств.
Взаимозаменяемые изделия, являющиеся средствами измерений, - изделия, имеющие одинаковые входные и выходные сигналы, проходящие раздельную поверку и не требующие при взаимном комплектовании регулировки с применением контрольных средств.
Стойкость, устойчивость и прочность изделия - по
ГОСТ 26883.
Приложение 1. (Измененная редакция, Изм. N 1, 3).
Рекомендуемое
УСТАНОВКА ДЛЯ ИСПЫТАНИИ НА ВОЗДЕЙСТВИЕ ПЫЛИ
1 - испытуемое изделие; 2 - заборное устройство;
3 - манометр; 4 - стеклянное окно;
5 - контактный термометр; 6 - нагреватель; 7 - кабель;
8 - дозирующее устройство; 9 - направляющая воронка;
10 - вентилятор; 11 - поворотная задвижка; 12 - сетка;
13 - фильтродержатель; 14 - расходомер;
15 - вентиль; 16 - вакуумный насос
Испытательная установка состоит из камеры пыли с аппаратурой, обеспечивающей контроль заданного режима испытаний; трубопровода с аппаратурой, регулирующей и контролирующей заданный режим в оболочке изделия; вакуумной установки, обеспечивающей необходимое разрежение в оболочке изделия.
Камера пыли состоит из испытательного бункера, центробежного вентилятора и трубопровода, обеспечивающего замкнутую циркуляцию воздушного потока.
Размеры испытательного бункера должны обеспечивать свободный обдув оболочки изделия со всех сторон. Минимальное расстояние между стенками оболочки и бункера камеры должно быть не менее 0,2 м.
Циркуляция воздушного потока должна обеспечиваться центробежным вентилятором пылевого типа производительностью 36000 - 40000 м3/ч.
Камера пыли должна иметь устройство (поворотная заслонка), обеспечивающее регулирование скорости циркулирующего потока от 0,5 до 1 м/с при статическом воздействии пыли и от 1 до 10 м/с при динамическом воздействии пыли.
Нагрев циркулирующего потока воздуха - при помощи встроенного герметичного нагревателя. Регулирование температуры нагрева - контактным термометром по
ГОСТ 9871.
Камера пыли должна иметь дозирующее устройство, обеспечивающее непрерывную подачу пыли в камеру с заданной производительностью. В качестве дозирующего устройства рекомендуется использовать дисковый питатель.
Контроль концентрации пыли должен осуществляться заборным устройством, использующим фильтрацию запыленного воздуха через фильтр.
Контроль заданного режима испытаний в оболочке изделия должен осуществляться с помощью манометра (разрежение) по техническим условиям, утвержденным в установленном порядке, и реометром (расход прокаченного воздуха) по
ГОСТ 9932.
Для поддержания заданного перепада давления в оболочке применяют вакуумный насос.
Приложение 2. (Измененная редакция, Изм. N 4).
Рекомендуемое
ОПРЕДЕЛЕНИЕ КОНЦЕНТРАЦИИ ПЫЛИ В КАМЕРЕ
Для определения концентрации пыли в камере используют заборное устройство (поз. 2), схема которого приведена на чертеже.
Заборное устройство
1 - насадка; 2 - воздухозаборная трубка;
3 - поворотное устройство; 4 - фильтродержатель;
5 - расходомер; 6 - вентиль; 7 - вакуумный насос
Отбор пробы пыли для определения концентрации производят внешней фильтрацией запыленного воздуха через фильтр.
Отбор пробы производят следующим образом:
- фильтр типа АФА-В-18 взвешивают на аналитических весах и устанавливают в фильтродержателе;
- поворотным устройством производят установку заборной трубки. Отверстие насадки заборной трубки должно быть установлено перпендикулярно направлению пылевого потока;
- включают вакуумный насос и производят отбор пробы. Время отбора должно быть таким, чтобы навеска отфильтрованной пыли на фильтре была не менее 0,11 г;
- после окончания отбора вакуумный насос выключают, заборную трубку при помощи поворотного устройства устанавливают под углом 90° к пылевому потоку. Фильтр извлекают и взвешивают на аналитических весах.
Аналогично проводят еще два отбора пробы.
Концентрацию пыли в камере N, г/м3, рассчитывают по формуле

,
где

- разность весов на фильтре до и после отбора, г;
O - расход воздуха через фильтр, м3/мин;
t - время отбора пробы, мин.
За концентрацию пыли при испытаниях принимают среднее арифметическое результатов всех определений.
Справочное
ПРОДОЛЖИТЕЛЬНОСТЬ ИСПЫТАНИЯ НА ВОЗДЕЙСТВИЕ
СИНУСОИДАЛЬНОЙ ВИБРАЦИИ МЕТОДОМ КАЧАЮЩЕЙСЯ ЧАСТОТЫ
ПО КАЖДОМУ НАПРАВЛЕНИЮ ОСИ
───────────┬───────────────────────────────────────────────────────────────
Диапазоны │ Число циклов качания
частот, Гц ├────────────┬─────────────┬───────────┬────────────┬───────────
│ 5 │ 10 │ 20 │ 50 │ 100
───────────┼────────────┼─────────────┼───────────┼────────────┼───────────
5 - 25 │ 23 мин │ 46 мин │1 ч 30 мин │ 3 ч 30 мин │ 7 ч 45 мин
5 - 35 │ 28 мин │ 56 мин │1 ч 50 мин │ 4 ч 40 мин │ 9 ч 20 мин
10 - 55 │ 25 мин │ 45 мин │1 ч 45 мин │ 4 ч │ 8 ч
5 - 80 │ 40 мин │1 ч 20 мин │2 ч 40 мин │ 6 ч 40 мин │13 ч 20 мин
5 - 120 │ 46 мин │1 ч 30 мин │3 ч │ 7 ч 40 мин │15 ч
10 - 150 │ 40 мин │1 ч 15 мин │2 ч 30 мин │ 7 ч │13 ч
10 - 500 │ 55 мин │2 ч │3 ч 45 мин │ 9 ч │19 ч
10 - 2000 │1 ч 15 мин │2 ч 30 мин │5 ч │13 ч │25 ч
Примечание. Длительность испытания вычислена из расчета скорости изменения частоты 1 октава/мин с последующим округлением.
Рекомендуемое
ПОСЛЕДОВАТЕЛЬНОСТЬ ИСПЫТАНИЯ
НА ВОЗДЕЙСТВИЕ ВНЕШНИХ ФАКТОРОВ
Рекомендуется проводить испытания на воздействие внешних факторов на одних и тех же изделиях в следующей последовательности:
1. Повышенная и пониженная температура.
2. Резкие смены температур.
3. Механические единичные и многократные удары.
4. Синусоидальные вибрации.
5. Атмосферное давление.
6. Повышенная влажность. Циклический режим.
7. Повышенная влажность. Постоянный режим.
8. Устойчивость к коррозионно-активным агентам.
9. Проникновение пыли.
10. Проникновение твердых тел.
11. Проникновение воды.
Приложения 4, 5. (Введены дополнительно, Изм. N 1).
Рекомендуемое
УКАЗАНИЯ ПО ОПРЕДЕЛЕНИЮ ВЫСОТЫ ПАДЕНИЯ
В ЗАВИСИМОСТИ ОТ МАССЫ ИЗДЕЛИЯ (С УПАКОВКОЙ)
Таблица 8
─────────────────────────────────────┬─────────────────────────────────────
Масса изделия (с упаковкой), кг │ Высота падения, мм
─────────────────────────────────────┼─────────────────────────────────────
До 2 │ 1000
Св. 2 до 5 │ 500
" 5 " 10 │ 250
" 10 " 50 │ 100
" 50 │ 25 или 50
Обязательное
СОСТАВ ИСПЫТАНИЙ ИЗОЛЯЦИИ НА СТАДИЯХ РАЗРАБОТКИ
И СЕРИЙНОГО ПРОИЗВОДСТВА
1. Состав испытаний изоляции изделий на стадиях разработки рабочей документации, опытного образца (опытной партии) и установочной серии следует указывать в программе и методике испытаний или в технических условиях на изделия конкретных групп (видов).
2. Состав испытаний изоляции на стадии серийного производства, устанавливаемый в зависимости от требований, предъявляемых к изделию по устойчивости к воздействию температуры и влажности окружающего воздуха, должен соответствовать указанному в табл. 9.
Таблица 9
───────────────────┬────────────────────────────────┬──────────────────────
Состав испытаний │ Условия испытаний │ Обязательность
│ │ проведения испытания
│ ├───────────┬──────────
│ │ приемо- │ периоди-
│ │ сдаточных │ ческих
───────────────────┼────────────────────────────────┼───────────┼──────────
Испытания на │ Нормальные условия испытаний │ + │ +
электрическую │ При верхнем значении │ - │ +
прочность │относительной влажности, │ │
│соответствующей рабочим условиям│ │
│ При пониженном атмосферном │ - │ +
│давлении │ │
───────────────────┼────────────────────────────────┼───────────┼──────────
Измерение │ Нормальные условия │ + │ +
электрического │ При верхнем значении │ - │ +
сопротивления │температуры, соответствующей │ │
│рабочим условиям │ │
│ При верхнем значении │ - │ +
│относительной влажности, │ │
│соответствующей рабочим условиям│ │
Примечания. 1. Знак "+" означает, что испытания проводят, знак "-" - не проводят.
2. При приемосдаточных испытаниях допускается выборочный контроль электрической прочности изоляции. Объем выборки следует устанавливать в стандартах и (или) технических условиях на изделия конкретных групп (видов).
3. Необходимость проведения испытаний изоляции при типовых испытаниях устанавливает разработчик изделий.
Приложения 6, 7. (Введены дополнительно, Изм. N 3).