Главная // Актуальные документы // МетодикаСПРАВКА
Источник публикации
М.: Стандартинформ, 2019
Примечание к документу
Документ утратил силу с 01.06.2020 в связи с истечением срока действия, установленного
Приказом Росстандарта от 31.05.2019 N 21-пнст. Взамен введен в действие
ГОСТ Р 58406.1-2020, утв.
Приказом Росстандарта от 15.05.2020 N 191-ст.
Документ
введен в действие с 01.06.2019 на период по 01.06.2020 (
Приказ Росстандарта от 31.05.2019 N 21-пнст).
Название документа
"ПНСТ 183-2019. Предварительный национальный стандарт Российской Федерации. Дороги автомобильные общего пользования. Смеси асфальтобетонные дорожные и асфальтобетон щебеночно-мастичные. Технические условия"
(утв. и введен в действие Приказом Росстандарта от 31.05.2019 N 21-пнст)
"ПНСТ 183-2019. Предварительный национальный стандарт Российской Федерации. Дороги автомобильные общего пользования. Смеси асфальтобетонные дорожные и асфальтобетон щебеночно-мастичные. Технические условия"
(утв. и введен в действие Приказом Росстандарта от 31.05.2019 N 21-пнст)
Утвержден и введен в действие
агентства по техническому
регулированию и метрологии
от 31 мая 2019 г. N 21-пнст
ПРЕДВАРИТЕЛЬНЫЙ НАЦИОНАЛЬНЫЙ СТАНДАРТ РОССИЙСКОЙ ФЕДЕРАЦИИ
ДОРОГИ АВТОМОБИЛЬНЫЕ ОБЩЕГО ПОЛЬЗОВАНИЯ
СМЕСИ АСФАЛЬТОБЕТОННЫЕ ДОРОЖНЫЕ
И АСФАЛЬТОБЕТОН ЩЕБЕНОЧНО-МАСТИЧНЫЕ
ТЕХНИЧЕСКИЕ УСЛОВИЯ
Automobile roads of general use. Bituminous stone mastic
mixtures and stone mastic asphalt. Specifications
ПНСТ 183-2019
Срок действия
с 1 июня 2019 года
до 1 июня 2020 года
1 РАЗРАБОТАН Автономной некоммерческой организацией "Научно-исследовательский институт транспортно-строительного комплекса" (АНО "НИИ ТСК") при участии ООО "РГСП "Автобан", ООО "Газпромнефть-Битумные материалы", ЗАО "ВАД" и ООО "Технострой"
2 ВНЕСЕН Техническим комитетом по стандартизации ТК 418 "Дорожное хозяйство"
3 УТВЕРЖДЕН И ВВЕДЕН В ДЕЙСТВИЕ
Приказом Федерального агентства по техническому регулированию и метрологии от 31 мая 2019 г. N 21-пнст
Правила применения настоящего стандарта и проведения его мониторинга установлены в ГОСТ Р 1.16-2011 (разделы 5 и 6).
Федеральное агентство по техническому регулированию и метрологии собирает сведения о практическом применении настоящего стандарта. Данные сведения, а также замечания и предложения по содержанию стандарта можно направить не позднее чем за 4 мес до истечения срока его действия разработчику настоящего стандарта по адресу: tk418@bk.ru и/или в Федеральное агентство по техническому регулированию и метрологии по адресу: 109074 Москва, Китайгородский проезд, д. 7, стр. 1.
В случае отмены настоящего стандарта соответствующая информация будет опубликована в ежемесячном информационном указателе "Национальные стандарты" и также будет размещена на официальном сайте Федерального агентства по техническому регулированию и метрологии в сети Интернет (www.gost.ru)
В связи с вступлением в силу новых межгосударственных стандартов на каменные материалы, включенных в перечень стандартов, необходимых для применения и исполнения требований Технического регламента Таможенного союза
ТР ТС 014/2011 "Безопасность автомобильных дорог", а также предварительных национальных стандартов, разработанных в рамках внедрения системы "Superpave", возникает необходимость переработки действующих нормативных документов, регламентирующих технические требования и методы испытаний асфальтобетонных смесей и асфальтобетона.
Настоящий предварительный стандарт разработан с учетом отечественного и зарубежного опыта, а также положений следующих нормативно-технических документов:
- TL Asphalt-StB 07 Technische Lieferbedingunden

den Bau von

(Технические условия поставки асфальтобетонных смесей для строительства дорожной одежды проезжей части);
- ZTV Asphalt-StB 07

Technische

und Richtlinien

den Bau von

aus Asphalt (Дополнительные технические условия договора и положения для строительства дорожных одежд с асфальтобетонным покрытием проезжей части);
- Финские нормы на асфальтобетон 2011 г. PANK ry;
- комплекс предварительных национальных стандартов, разработанный в рамках внедрения системы "Superpave";
-
ГОСТ 31015-2002 "Смеси асфальтобетонные и асфальтобетон щебеночно-мастичные. Технические условия";
-
ГОСТ 12801-98 "Материалы на основе органических вяжущих для дорожного и аэродромного строительства. Методы испытаний";
- ПНСТ 183-2019 "Дороги автомобильные общего пользования. Смеси асфальтобетонные дорожные и асфальтобетон щебеночно-мастичные. Технические условия".
При разработке проекта предварительного национального стандарта была создана рабочая группа, в которую входили специалисты следующих организаций:
- АНО "НИИ ТСК";
- ООО "РГ СП "Автобан";
- ООО "Газпромнефть-Битумные материалы";
- ООО "Инновационный технический центр";
- ЗАО "ВАД";
- ООО "Технострой;
- ОАО "ДСК "Автобан";
- ОАО "АБЗ N 1".
Настоящий стандарт распространяется на асфальтобетонные смеси и асфальтобетон щебеночно-мастичные, предназначенные для устройства верхнего слоя покрытия автомобильных дорог общего пользования и аэродромов.
В настоящем стандарте использованы нормативные ссылки на следующие стандарты:
ГОСТ 12.1.004 Система стандартов безопасности труда. Пожарная безопасность. Общие требования
ГОСТ 12.1.005 Система стандартов безопасности труда. Общие санитарно-гигиенические требования к воздуху рабочей зоны
ГОСТ 12.1.007 Система стандартов безопасности труда. Вредные вещества. Классификация и общие требования безопасности
ГОСТ 12.3.002 Система стандартов безопасности труда. Процессы производственные. Общие требования безопасности
ГОСТ 17.2.3.02 Правила установления допустимых выбросов загрязняющих веществ промышленными предприятиями
ГОСТ 23932 Посуда и оборудование лабораторные стеклянные. Общетехнические условия
ГОСТ 30108 Материалы и изделия строительные. Определение удельной эффективной активности естественных радионуклидов
ГОСТ 32703 Дороги автомобильные общего пользования. Щебень и гравий из горных пород. Технические требования
ГОСТ 32722 Дороги автомобильные общего пользования. Песок природный и дробленый. Определение истинной плотности
ГОСТ 32761 Дороги автомобильные общего пользования. Порошок минеральный. Технические требования
ГОСТ 32763 Дороги автомобильные общего пользования. Порошок минеральный. Метод определения истинной плотности
ГОСТ 33029 Дороги автомобильные общего пользования. Щебень и гравий из горных пород. Определение гранулометрического состава
ГОСТ 33057 Дороги автомобильные общего пользования. Щебень и гравий из горных пород. Определение средней и истинной плотности, пористости и водопоглощения
ГОСТ 33133 Дороги автомобильные общего пользования. Битумы нефтяные дорожные вязкие. Технические требования
ГОСТ Р 52056 Вяжущие полимерно-битумные дорожные на основе блоксополимеров типа стирол-бутадиен-стирол. Технические условия
ГОСТ Р 53228 Весы неавтоматического действия. Часть 1. Метрологические и технические требования. Испытания
ГОСТ Р 58400.2 Дороги автомобильные общего пользования. Материалы вяжущие нефтяные битумные. Технические условия с учетом уровней эксплуатационных транспортных нагрузок
ГОСТ Р 58400.3 Дороги автомобильные общего пользования. Материалы вяжущие нефтяные битумные. Порядок определения марки с учетом температурного диапазона эксплуатации
ГОСТ Р 58401.8 Дороги автомобильные общего пользования. Смеси асфальтобетонные дорожные и асфальтобетон. Метод определения содержания воздушных пустот
ГОСТ Р 58401.10 Дороги автомобильные общего пользования. Смеси асфальтобетонные дорожные и асфальтобетон. Методы определения объемной плотности
ГОСТ Р 58401.15 Дороги автомобильные общего пользования. Смеси асфальтобетонные дорожные и асфальтобетон. Определение содержания битумного вяжущего методом выжигания
ГОСТ Р 58401.16 Дороги автомобильные общего пользования. Смеси асфальтобетонные дорожные и асфальтобетон. Методы определения максимальной плотности
ГОСТ Р 58401.18 Дороги автомобильные общего пользования. Смеси асфальтобетонные дорожные и асфальтобетон. Метод определения водостойкости и адгезионных свойств
ГОСТ Р 58401.19 Дороги автомобильные общего пользования. Смеси асфальтобетонные дорожные и асфальтобетон. Определение содержания битумного вяжущего методом экстрагирования
ГОСТ Р 58406.8 Дороги автомобильные общего пользования. Смеси асфальтобетонные дорожные и асфальтобетон. Определение сопротивления пластическому течению по методу Маршалла
ГОСТ Р 58406.9 Дороги автомобильные общего пользования. Смеси асфальтобетонные дорожные и асфальтобетон. Метод приготовления образцов уплотнителем Маршалла
ГОСТ Р 58407.4 Дороги автомобильные общего пользования. Смеси асфальтобетонные дорожные. Методы отбора проб
ГОСТ Р 58407.5 Дороги автомобильные общего пользования. Асфальтобетон дорожный. Методы отбора проб из уплотненных слоев дорожной одежды
ПНСТ 179-2019 Дороги автомобильные общего пользования. Смеси асфальтобетонные дорожные и асфальтобетон. Метод определения предела прочности на растяжение при изгибе и предельной относительной деформации растяжения
ПНСТ 180-2019 Дороги автомобильные общего пользования. Смеси асфальтобетонные дорожные и асфальтобетон. Метод определения истираемости
ПНСТ 181-2019 Дороги автомобильные общего пользования. Смеси асфальтобетонные дорожные и асфальтобетон. Метод определения стойкости к колееобразованию прокатыванием нагруженного колеса
ПНСТ 182-2019 Дороги автомобильные общего пользования. Смеси асфальтобетонные дорожные и асфальтобетон. Метод определения влияния противогололедных реагентов
ПНСТ 184-2019 Дороги автомобильные общего пользования. Смеси асфальтобетонные дорожные и асфальтобетон. Технические условия
Примечание - При пользовании настоящим стандартом целесообразно проверить действие ссылочных стандартов в информационной системе общего пользования - на официальном сайте Федерального агентства по техническому регулированию и метрологии в сети Интернет или по ежегодному информационному указателю "Национальные стандарты", который опубликован по состоянию на 1 января текущего года, и по выпускам информационного указателя "Национальные стандарты" за текущий год. Если заменен ссылочный стандарт, на который дана недатированная ссылка, то рекомендуется использовать действующую версию этого стандарта с учетом всех внесенных в данную версию изменений. Если заменен ссылочный стандарт, на который дана датированная ссылка, то рекомендуется использовать версию этого стандарта с указанным выше годом утверждения (принятия). Если после утверждения национального стандарта в ссылочный стандарт, на который дана датированная ссылка, внесено изменение, затрагивающее положение, на которое дана ссылка, то это положение рекомендуется применять без учета данного изменения. Если ссылочный стандарт отменен без замены, то положение, в котором дана ссылка на него, рекомендуется применять в части, не затрагивающей эту ссылку.
В настоящем стандарте применены следующие термины с соответствующими определениями:
3.1
щебеночно-мастичная асфальтобетонная смесь: Горячая смесь минеральных заполнителей, битумного вяжущего (с полимерными или другими добавками, или без них) и стабилизирующей добавки, подобранная в таких пропорциях, чтобы обеспечить непосредственное соприкосновение зерен крупного заполнителя друг с другом. |
3.2 щебеночно-мастичный асфальтобетон: Уплотненная щебеночно-мастичная асфальтобетонная смесь.
3.3
номинально максимальный размер минерального заполнителя, мм: Размер минерального заполнителя в щебеночно-мастичной асфальтобетонной смеси, соответствующий размеру ячейки сита, которое на один размер больше первого сита, полный остаток минерального заполнителя на котором составляет более 10%. |
3.4
максимальный размер минерального заполнителя, мм: Размер минерального заполнителя в асфальтобетонной смеси, который на один размер больше, чем номинально максимальный размер минерального заполнителя. |
3.5 основные показатели: Показатели асфальтобетонных смесей и асфальтобетонов, определяемые в обязательном порядке при проектировании смесей, приемо-сдаточных и периодических испытаниях.
3.6 дополнительные показатели: Показатели асфальтобетонных смесей и асфальтобетонов, указанные в контрактной, проектной или иной документации, определение которых обусловлено климатическими условиями или набором статистических данных.
3.7 вырубка (керн): Образец, полученный из уложенного асфальтобетонного слоя путем выпиливания или выбуривания.
В зависимости от номинального максимального размера зерен заполнителя щебеночно-мастичные асфальтобетонные смеси (смеси) и щебеночно-мастичный асфальтобетон (асфальтобетон) подразделяют на типы:
- смеси с номинальным максимальным размером зерен 22,4 мм (ЩМА 22);
- смеси с номинальным максимальным размером зерен 16,0 мм (ЩМА 16);
- смеси с номинальным максимальным размером зерен 11,2 мм (ЩМА 11);
- смеси с номинальным максимальным размером зерен 8,0 мм (ЩМА 8).
Смеси должны соответствовать требованиям настоящего стандарта и изготавливаться по технологическому регламенту, утвержденному предприятием-изготовителем.
5.1 Требования к зерновым составам смесей
Зерновой состав минеральной части смесей проектируют и определяют на ситах с квадратными ячейками размерами: 0,063; 0,125; 0,25; 0,5; 1,0; 2,0; 4,0; 5,6; 8,0; 11,2; 16,0; 22,4; 31,5 мм.
Зерновые составы минеральной части смесей должны соответствовать требованиям, указанным в таблице 1.
Таблица 1
Размер сита, мм | Проход смеси через сито, % по массе, для типов смесей |
ЩМА 22 | ЩМА 16 | ЩМА 11 | ЩМА 8 |
31,5 | 100 | - | - | - |
22,4 | От 90 до 100 включ. | 100 | - | - |
16,0 | От 50 до 65 включ. | От 90 до 100 включ. | 100 | - |
11,2 | От 30 до 50 включ. | От 50 до 65 включ. | От 90 до 100 включ. | 100 |
8,0 | От 24 до 40 включ. | От 40 до 55 включ. | От 50 до 65 включ. | От 90 до 100 включ. |
5,6 | - | - | От 35 до 45 включ. | От 35 до 55 включ. |
4,0 | От 20 до 35 включ. | От 23 до 38 включ. | От 25 до 40 включ. | От 25 до 45 включ. |
2,0 | От 16 до 26 включ. | От 18 до 28 включ. | От 20 до 30 включ. | От 20 до 30 включ. |
0,063 | От 8 до 12 включ. | От 8 до 12 включ. | От 8 до 12 включ. | От 8 до 12 включ. |
Требования к гранулометрическому составу, указанные в
таблице 1, являются обязательными при проектировании и подборе смесей. При контроле качества смеси (приемо-сдаточные и периодические испытания) необходимо пользоваться предельно допустимыми отклонениями от рецепта, указанными в
таблице 6.
5.2 Требования к показателям
5.2.1 Показатели смесей и асфальтобетонов подразделяют на основные и дополнительные.
К основным показателям относятся:
- зерновой состав и количество вяжущего;
- содержание воздушных пустот;
- стекание вяжущего;
- пустоты в минеральном заполнителе (ПМЗ);
- водостойкость;
- водонасыщение;
- средняя глубина колеи.
К дополнительным показателям относятся:
- угол наклона кривой колееобразования;
- предел прочности при изгибе;
- предельная относительная деформация;
- разрушающая нагрузка по Маршаллу;
- деформация по Маршаллу;
- сопротивление течению по Маршаллу;
- истираемость асфальтобетона;
- остаточная прочность после воздействия реагентов.
5.2.2 Требования к показателям
Требования к показателям смесей и асфальтобетонов представлены в таблице 2.
Таблица 2
Требования к показателям смесей и асфальтобетонов
Наименование показателя | Значение показателя для типов смеси |
ЩМА 22 | ЩМА 16 | ЩМА 11 | ЩМА 8 |
Основные показатели |
Содержание воздушных пустот, % | От 2,5 до 5,0 включ. | От 2,0 до 4,0 включ. | От 2,0 до 4,0 включ. | От 1,5 до 3,5 включ. |
Пустоты в минеральном заполнителе, %, не менее | 15 | 16 | 16 | 16 |
Водонасыщение, % от объема: | | | | |
- для образцов, приготовленных в лаборатории | От 1,5 до 4,5 включ. | От 1,0 до 3,5 включ. | От 1,0 до 3,5 включ. | От 0,5 до 3,0 включ. |
- для вырубок (кернов), не более | 5,0 | 4,0 | 4,0 | 3,5 |
Средняя глубина колеи, мм, не более | 3,5 | 3,5 | 3,5 | 3,5 |
Водостойкость, не менее | 0,85 |
Дополнительные показатели |
Предел прочности на растяжение при изгибе, МПа, не менее | 7,5 |
Предельная относительная деформация растяжения, не менее | 0,005 |
Угол наклона кривой колееобразования, мм/1000 циклов | 0,15 |
Истираемость | Класс асфальтобетона по истираемости выбирается по рекомендациям, приведенным в приложении В |
Остаточная прочность после воздействия реагентов, %, не менее | Для набора статистических данных |
Разрушающая нагрузка по Маршаллу, кН |
Деформация по Маршаллу, мм |
Сопротивление течению по Маршаллу, кН/мм |
Рекомендуемое минимальное количество вяжущего в смеси рассчитывается в соответствии с методикой, приведенной в
приложении А.
Смеси должны быть устойчивыми к расслаиванию в процессе транспортирования и загрузки-выгрузки. Устойчивость к расслаиванию определяют по показателю стекания вяжущего, который должен быть не более 0,20% по массе. При проектировании смесей рекомендуемое значение показателя стекания вяжущего должно находиться в пределах от 0,07% до 0,15%. Испытание проводят в соответствии с
приложением Б.
5.3 Рекомендуемые температурные режимы
Рекомендуемая температура смесей при приготовлении в зависимости от применяемого битумного вяжущего должна соответствовать температурному интервалу смешивания.
Рекомендуемым температурным интервалом смешивания является интервал температур, в котором вязкость битумного вяжущего находится в пределах (0,17 +/- 0,02) Па·с. Температурный интервал смешивания определяют в соответствии с ПНСТ 184-2019
(приложение Б).
Рекомендуемая температура смесей при изготовлении образцов в лаборатории и начале уплотнения при укладке должна соответствовать температурному интервалу уплотнения.
Рекомендуемым температурным интервалом уплотнения смеси является интервал температур, в котором вязкость битумного вяжущего находится в пределах (0,28 +/- 0,03) Па·с. Температурный интервал уплотнения определяют в соответствии ПНСТ 184-2019
(приложение Б).
Рекомендуемые температурные интервалы для смесей, изготавливаемых на ПБВ и битумных вяжущих с модификаторами, выбирают исходя из рекомендаций производителя битумного вяжущего.
Допускается повышение или понижение температурных интервалов, если этого требует технология применения вяжущих и не приведет к снижению показателей асфальтобетона.
5.4 Требования к исходным материалам
5.4.1 Вяжущие
При применении битумных вяжущих по
ГОСТ 33133 и
ГОСТ Р 52056 рекомендуется применять марки битумных вяжущих в зависимости от дорожно-климатической зоны строительства в соответствии с таблицей 3.
Таблица 3
Рекомендуемые марки битумных вяжущих в зависимости
от дорожно-климатической зоны строительства
Дорожно-климатическая зона | Тип и марка вяжущего |
I ДКЗ | БНД 130/200 БНД 100/130 БНД 70/100 ПБВ 60 ПБВ 90 ПБВ 130 |
II ДКЗ | БНД 100/130 БНД 70/100 БНД 50/70 ПБВ 90 ПБВ 60 |
III ДКЗ | БНД 100/130 БНД 70/100 БНД 50/70 БНД 35/50 ПБВ 90 ПБВ 60 ПБВ 40 |
IV и V ДКЗ | БНД 70/100 БНД 50/70 БНД 35/50 ПБВ 60 ПБВ 40 |
Битумные вяжущие по
ГОСТ Р 58400.2 применяются с учетом температурных условий района строительства и уровня прогнозируемых транспортных нагрузок на участке автомобильной дороги.
Температурный диапазон эксплуатации автомобильной дороги оценивается максимальной и минимальной расчетными температурами конструктивного слоя, определяемыми в соответствии с
ГОСТ Р 58400.3.
Выбирают марку битумного вяжущего с верхним значением выше максимальной расчетной температуры и нижним значением ниже минимальной расчетной температуры слоя дорожного покрытия в районе строительства автомобильной дороги. Рекомендуется применять битумные вяжущие по
ГОСТ Р 58400.2 с типом марки по уровню транспортной нагрузки не менее уровня прогнозируемых транспортных нагрузок на данном участке автомобильной дороги или осуществлять выбор битумного вяжущего в соответствии с
ГОСТ Р 58400.3.
Примечание - При определении соответствия прогнозируемых транспортных нагрузок на участке автомобильной дороги типу марки битумного вяжущего по
ГОСТ Р 58400.2 допускается не учитывать среднюю скорость движения транспортных средств.
Битумное вяжущее должно выдерживать испытание на сцепление с поверхностью щебня, входящего в состав смесей, в соответствии с
приложением Г. Качество сцепления должно быть не ниже четырех баллов.
5.4.2 Щебень
Щебень из горных пород, входящий в состав смесей, должен соответствовать требованиям
ГОСТ 32703.
Для приготовления смесей применяют щебень основных и широких фракций по
ГОСТ 32703.
Требования к показателям щебня, входящего в состав смесей, представлены в таблице 4.
Таблица 4
Требования к показателям щебня, входящего в состав смесей
Наименование показателя | Вид щебня | Марка щебня |
Дробимость, не ниже | Щебень из изверженных и метаморфических пород | М1200 |
Щебень из осадочных горных пород | М1200 |
Морозостойкость, не ниже | Для всех видов щебня | F50 |
Сопротивление дроблению и износу, не ниже | И2 |
Содержание зерен пластинчатой (лещадной) и игловатой формы, не ниже | Л15 |
Сопротивление истираемости по показателю микро-Деваль <*> | МД1 |
<*> Данный показатель является дополнительным и определяется в случае указания по его определению в контрактной, проектной или иной документации. |
Содержание пылевидных и глинистых частиц должно быть не более 1,0% от массы.
5.4.3 Песок
Дробленый песок, входящий в состав смесей, должен соответствовать требованиям
ГОСТ 32730.
Содержание глинистых частиц, определяемое методом набухания у дробленого песка, применяемого в смесях, должно быть не более 0,5% по массе.
Общее содержание зерен мельче 0,125 мм (в том числе пылевидных и глинистых частиц) в дробленом песке, применяемом в смесях, не нормируется.
Марка по дробимости дробленого песка должна быть не ниже М1000.
5.4.4 Минеральный порошок
Минеральный порошок, входящий в состав смесей, должен соответствовать требованиям
ГОСТ 32761.
Для приготовления смесей применяют минеральный порошок марок МП-1 и МП-2 по
ГОСТ 32761.
При соответствующем технико-экономическом обосновании допускается применять минеральный материал из системы пылеулавливания смесительной установки. При этом количество минерального материала из системы пылеулавливания с размером зерен менее 0,063 мм должно быть не более 50% количества зерен минерального порошка размером менее 0,063 мм. Содержание глинистых частиц в минеральном материале из системы пылеулавливания, определяемых методом набухания, должно быть не более 5,0% по массе.
5.4.5 Стабилизирующие добавки и модификаторы асфальтобетона и битумных вяжущих
В качестве стабилизирующей добавки применяют гранулированное или негранулированное целлюлозное волокно.
Волокно должно быть однородным и не должно содержать пучков, скоплений нераздробленного материала и посторонних включений. По физическим свойствам волокно должно соответствовать значениям, указанным в таблице 5.
Таблица 5
Наименование показателя | Значение показателя | Метод испытания |
Влажность, % по массе, не более | 8,0 | |
Термостойкость при температуре 220 °C по изменению массы при прогреве, %, не более | 7,0 | |
Допускается применять иные добавки - акриловые, минеральные, стеклянные и пр., способные сорбировать (удерживать) битумное вяжущее при технологических температурах, не оказывая отрицательного воздействия на вяжущее и смесь.
Допускается применение в смесях добавок и модификаторов асфальтобетона и битумных вяжущих.
Добавки и модификаторы асфальтобетона и битумных вяжущих применяются при указании об их применении в контрактной, проектной или иной документации и при условии соответствия показателей асфальтобетонов требованиям настоящего стандарта.
6 Требования безопасности
6.1 При производстве, транспортировании и укладке смесей следует соблюдать общие требования безопасности по
ГОСТ 12.3.002, требования пожарной безопасности - по
ГОСТ 12.1.004.
6.2 Материалы для приготовления смесей (щебень, песок, минеральный порошок, битумное вяжущее, добавки и модификаторы асфальтобетона) по характеру вредности и по степени воздействия на организм человека относятся к малоопасным веществам класса опасности 4 по
ГОСТ 12.1.007.
6.3 Воздух в рабочей зоне при производстве смесей должен удовлетворять требованиям
ГОСТ 12.1.005.
6.4 Удельная эффективная активность естественных радионуклидов
Aэфф в минеральной части смесей не должна превышать значений, установленных
ГОСТ 30108.
7 Требования охраны окружающей среды
7.1 С целью защиты атмосферного воздуха от выбросов вредных веществ при производстве смесей должна быть организована система контроля за ПДВ в соответствии с
ГОСТ 17.2.3.02.
7.2 Контроль за состоянием воздушной среды при производстве смесей осуществляют в соответствии с
[1].
7.3 Эффективными мерами защиты природной среды являются герметизация оборудования и предотвращение разливов битумных вяжущих материалов.
8.1 Приемку смесей проводят партиями. Партией считают количество смеси одного типа и состава, выпускаемое на одной смесительной установке в течение смены, но не более 3000 т.
8.2 Для проверки соответствия качества смеси требованиям настоящего стандарта проводят приемо-сдаточные и периодические испытания.
8.2.1 Приемо-сдаточные испытания
При приемо-сдаточных испытаниях смесей определяют температуру отгружаемой смеси при выпуске из смесителя или бункера-накопителя, отбирают в соответствии с
ГОСТ Р 58407.4 одну объединенную пробу от партии и определяют:
- гранулометрический состав смеси и количество вяжущего;
- стекание вяжущего;
- водонасыщение.
Предельно допустимые отклонения фактических значений отдельных показателей от указанных в рецепте значений представлены в таблице 6.
Таблица 6
Предельно допустимые отклонения отдельных показателей
от рецепта
Наименование показателя | Предельно допустимое отклонение |
Водонасыщение, % от объема | +/- 1,5 |
Содержание воздушных пустот, % от объема | +/- 1,0 |
Количество вяжущего, % по массе | +/- 0,4 |
Проход через сито, на один размер меньше номинального максимального размера, % по массе | +/- 5,0 |
Проход через сито 8 мм, % по массе | +/- 5,0 |
Проход через сито 4 мм, % по массе | +/- 5,0 |
Проход через сито 2 мм, % по массе | +/- 4,0 |
Проход через сито 0,063 мм, % по массе | +/- 3,0 |
8.2.2 Периодические испытания
Периодические испытания смеси осуществляют не реже одного раза в 15 сут или на каждые 45000 т, а также при каждом изменении свойств минеральных материалов (щебня, песка), марки минерального порошка и марки битумного вяжущего, используемых для приготовления смеси.
При периодическом контроле качества смесей и асфальтобетонов определяют:
- гранулометрический состав смеси и количество вяжущего;
- содержание воздушных пустот;
- стекание вяжущего;
- пустоты в минеральном заполнителе (ПМЗ);
- водонасыщение;
- водостойкость;
- среднюю глубину колеи;
- результаты испытаний дополнительных показателей (при необходимости).
При определении дополнительных показателей смесей и асфальтобетонов периодичность испытаний определяют в контрактной, проектной или иной документации.
Предельно допустимые отклонения фактических значений отдельных показателей от указанных в рецепте значений представлены в
таблице 6. Показатели, не представленные в
таблице 6, должны соответствовать требованиям
5.2.
Удельную эффективную активность естественных радионуклидов принимают по максимальной удельной эффективной активности естественных радионуклидов в применяемых минеральных материалах. Эти данные указывает в документе о качестве предприятие-поставщик.
8.3 На каждую партию отгруженной смеси потребителю выдают документ о качестве, в котором указывают обозначение настоящего стандарта и результаты испытаний, в том числе:
- наименование и адрес организации-изготовителя;
- номер и дату выдачи документа;
- наименование и адрес потребителя;
- номер заказа (партии) и количество (массу) смеси партии;
- тип смеси;
- рецепт смеси;
- стекание вяжущего;
- содержание воздушных пустот;
- пустоты в минеральном заполнителе (ПМЗ);
- водонасыщение;
- водостойкость;
- среднюю глубину колеи;
- результаты испытаний дополнительных показателей (при необходимости);
- удельное содержание радионуклидов.
При отгрузке смеси потребителю каждый автомобиль сопровождают транспортной документацией, в которой указывают:
- наименование и адрес организации-изготовителя;
- наименование и адрес потребителя;
- дату и время изготовления смеси;
- температуру отгружаемой смеси;
- тип и количество смеси.
8.4 Потребитель имеет право проводить контрольную проверку соответствия поставляемой смеси требованиям настоящего стандарта, соблюдая методы отбора проб, изготовления образцов и испытаний, предусмотренные настоящим стандартом.
В случае несоответствия смеси и асфальтобетона требованиям более чем по двум показателям партию бракуют. При несоответствии смеси и асфальтобетона по одному или двум показателям потребитель дополнительно из партии материала подготавливает пять лабораторных проб и проверяет их на соответствие требованиям настоящего стандарта. В случае несоответствия двух или более проб партию бракуют.
9.1 Толщина укладываемого слоя асфальтобетона должна быть не меньше 2,5-кратного номинального максимального размера минерального заполнителя.
9.2 Толщина укладываемого слоя асфальтобетона из смесей с номинальным максимальным размером заполнителя не более 11,2 мм должна быть более 30 мм.
9.3 Вырубки (керны) следует отбирать из слоя асфальтобетона не ранее чем через 1 сут после его уплотнения в соответствии с
ГОСТ Р 58407.5.
9.4 Вырубки (керны) отбирают не менее чем в трех равномерно распределенных точках на 10000 м2. В каждой точке отбирают не менее двух вырубок (кернов). При необходимости допускается увеличивать число точек, а также число вырубок (кернов) в каждой точке.
9.5 Допустимые отклонения по толщине слоя асфальтобетона относительно проектных значений должны быть:
- не более 10% результатов определений могут иметь отклонения от минус 15% до плюс 20%, остальные - до +/- 10%.
10 Транспортирование смесей
Смеси транспортируют к месту укладки автомобилями, сопровождая каждый автомобиль транспортной документацией.
Предприятие-изготовитель гарантирует соответствие выпускаемой смеси по температуре, составу и показателям требованиям настоящего стандарта при условии соблюдения правил ее транспортирования и укладки в покрытие.
12 Методы испытаний смесей и асфальтобетонов
12.1 Методы определения показателей смесей и асфальтобетонов
Показатели смесей и асфальтобетонов определяют в соответствии с таблицей 7.
Таблица 7
Методы испытаний смесей и асфальтобетонов
Наименование показателя | Метод испытания |
Количество вяжущего в смеси | |
Гранулометрический состав смеси | Определяется по ГОСТ 33029 на ситах с квадратным сечением ячеек размерами 0,063; 0,125; 0,25; 0,5; 1,0; 2,0; 4,0; 5,6; 8,0; 11,2; 16,0; 22,4; 31,5 мм |
Содержание воздушных пустот | |
Объемная плотность | |
Максимальная плотность | |
Водостойкость | |
Разрушающая нагрузка по Маршаллу | |
Деформация по Маршаллу | |
Сопротивление течению по Маршаллу | |
Средняя глубина колеи | |
Угол наклона кривой колееобразования | |
Предел прочности на растяжение при изгибе | |
Предельная относительная деформация растяжения | |
Истираемость асфальтобетона | |
Остаточная прочность после воздействия реагентов | |
Стекание вяжущего | |
Объем пустот минерального заполнителя (ПМЗ) | |
Водонасыщение | |
12.2 Методы изготовления асфальтобетонных образцов в лаборатории
Показатели "Объемная плотность", "Водонасыщение", "Водостойкость", "Разрушающая нагрузка по Маршаллу", "Деформация по Маршаллу", "Сопротивление течению по Маршаллу" определяются на асфальтобетонных образцах, изготовленных в соответствии с
ГОСТ Р 58406.9.
(рекомендуемое)
РАСЧЕТА РЕКОМЕНДУЕМОГО МИНИМАЛЬНОГО КОЛИЧЕСТВА
БИТУМНОГО ВЯЖУЩЕГО В СМЕСЯХ
Рекомендуемое минимальное количество битумного вяжущего сверх 100% минеральной части смеси в щебеночно-мастичных смесях рассчитывается по формуле

(А.1)
где
Gsb - объемная плотность минерального заполнителя, входящего в состав асфальтобетонной смеси, г/см
3, определенная по
формуле А.2;

- минимальное количество битумного вяжущего, %, согласно таблице А.1 для смесей, общая объемная плотность минерального заполнителя которых составляет 2,65 г/см
3.
Таблица А.1
Номинальный максимальный размер зерен заполнителя в смеси, мм |  , % |
22 | 5,7 |
16 | 5,9 |
11 | 6,2 |
8 | 6,7 |
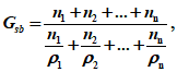
Объемную плотность минерального заполнителя Gsb, г/см3, вычисляют по формуле

(А.2)
где n1, n2, ..., nn - количество в минеральной части смеси каждого отдельного минерального заполнителя, %;

,

, ...,

- плотности каждого отдельного минерального заполнителя, входящего в состав смеси, г/см
3. Для щебней берется средняя плотность каждой применяемой фракции, определяемая согласно
ГОСТ 33057. Для дробленого песка берется истинная плотность, определяемая согласно
ГОСТ 32722, для минерального порошка берется истинная плотность согласно
ГОСТ 32763.
(обязательное)
МЕТОД ОПРЕДЕЛЕНИЯ УСТОЙЧИВОСТИ СМЕСИ К РАССЛАИВАНИЮ
ПО ПОКАЗАТЕЛЮ СТЕКАНИЯ ВЯЖУЩЕГО
Б.1 Требования к средствам измерений и вспомогательным устройствам
При выполнении измерений применяют следующие средства измерений и вспомогательные устройства:
- весы лабораторные по
ГОСТ Р 53228 с классом точности III, пределом взвешивания не менее 2000 г и точностью 0,1 г;
- стаканы химические термостойкие по
ГОСТ 23932 вместимостью 1000 см
3, диаметром 10 см;
- покровные стекла;
- биметаллический термометр или иное средство для измерения температуры смеси с диапазоном измерения от 120 °C до 200 °C с погрешностью не более 2 °C;
- сушильный шкаф для нагрева смеси с принудительной конвекцией воздуха, обеспечивающий поддержание температуры от 120 °C до 200 °C с погрешностью не более 2 °C.
Б.2 Требования к условиям измерений
При выполнении измерений соблюдают следующие условия:
- температура (22 +/- 3) °C;
- относительная влажность (55 +/- 15)%.
Б.3 Метод измерений
Сущность метода заключается в оценке способности смеси удерживать содержащееся в ней вяжущее.
Б.4 Подготовка к выполнению измерений
Приготовленную смесь разогревают до температуры, входящей в температурный интервал смешивания в соответствии с ПНСТ 184-2019
(приложение Б), и тщательно перемешивают. Сушильный шкаф также разогревают до температуры, входящей в температурный интервал смешивания, которую поддерживают в период испытаний с допустимой погрешностью +/- 2 °C.
Пустой стакан взвешивают, помещают в сушильный шкаф и выдерживают при температуре, входящей в температурный интервал смешивания не менее 10 мин.
Стакан ставят на весы и быстро помещают в него не менее 1200 г смеси, взвешивают стакан со смесью и закрывают покровным стеклом.
Б.5 Порядок выполнения измерений
Стакан со смесью помещают в сушильный шкаф, где выдерживают при температуре согласно
Б.4 в течение (60 +/- 5) мин. Затем стакан вынимают, снимают с него покровное стекло и удаляют смесь, перевернув стакан, не встряхивая вверх дном, на (10 +/- 1) с. При этом допускается удалять вручную только прилипшие к стенкам стакана зерна щебня. После этого стакан вновь ставят на дно, охлаждают в течение не менее 10 мин и взвешивают вместе с остатками вяжущего и смеси, прилипшей на его внутренней поверхности.
Б.6 Обработка результатов измерений
Стекание вяжущего B, % по массе, вычисляют по формуле

(Б.1)
где g3 - масса стакана после удаления смеси, г;
g1 - масса пустого стакана, г;
g2 - масса стакана со смесью, г.
За результат испытаний принимают округленное до второго знака после запятой среднеарифметическое значение двух параллельных определений. Расхождение между результатами параллельных испытаний не должно превышать 0,05% по абсолютной величине. В случае больших расхождений между результатами параллельных испытаний повторно определяют стекание вяжущего и для расчета среднеарифметического значения берут данные четырех определений.
(рекомендуемое)
ПО ВЫБОРУ КЛАССОВ АСФАЛЬТОБЕТОНОВ ПО ИСТИРАЕМОСТИ
Класс асфальтобетона по истираемости указывают в контрактной, проектной или иной документации.
Классы асфальтобетона по истираемости подразделяют в соответствии с таблицей В.1.
Таблица В.1
Классы асфальтобетонов по истираемости
Класс по истираемости | Истираемость асфальтобетона, мл |
1 | 1 А | Менее 15 |
1 Б | От 15 до 25 включ. |
2 | От 26 до 35 включ. |
3 | От 36 до 45 включ. |
4 | Более 45 включ. |
Класс по истираемости 1 рекомендуется для асфальтобетонов для дорог с наиболее тяжелыми условиями по интенсивности, а также для дорог с высокой интенсивностью движения легковых автомобилей в регионах с широким применением шипованных шин.
Классы по истираемости 2, 3 и 4 рекомендуются для дорог с нормальными условиями движения по интенсивности и выбираются по усмотрению заказчика.
(обязательное)
ОПРЕДЕЛЕНИЕ ВЛАЖНОСТИ И ТЕРМОСТОЙКОСТИ ВОЛОКОН
Г.1 Требования к средствам измерений и вспомогательным устройствам
При выполнении измерений применяют следующие средства измерений и вспомогательные устройства:
- металлические противни;
- сушильный шкаф с принудительной конвекцией воздуха, обеспечивающий поддержание температуры от 100 °C до 220 °C с погрешностью не более 3 °C;
- термометр с диапазоном измерения от 120 °C до 220 °C с погрешностью не более 2 °C;
- весы лабораторные по
ГОСТ Р 53228 с классом точности III, с пределом взвешивания не менее 500 г и точностью 0,1 г.
Г.2 Требования к условиям измерений
При выполнении измерений соблюдают следующие условия:
- температура (22 +/- 3) °C;
- относительная влажность (55 +/- 10)%.
Г.3 Метод измерений
Сущность метода заключается в определении потери массы волокна при определенных температурах и времени испытания.
Г.4 Подготовка к выполнению измерений
Перед испытанием пробу волокна помещают на лист бумаги и разрыхляют вручную, устраняя комочки, если они есть в пробе.
Тщательно вымытые металлические противни помещают не менее чем на 30 мин в сушильный шкаф при температуре (105 +/- 3) °C, затем до температуры (22 +/- 3) °C.
Г.5 Порядок выполнения измерений
При испытании волокон взвешивание проводят с допустимой погрешностью взвешивания 0,1% массы. Массу определяют в граммах с точностью до второго десятичного знака.
| | ИС МЕГАНОРМ: примечание. В официальном тексте документа, видимо, допущена опечатка: пункт В.4 отсутствует. | |
Испытание проводят в двух противнях. Каждый противень, подготовленный по В.4, взвешивают. Из пробы волокна, подготовленной по
Г.4, берут две навески по (5 +/- 1) г и всыпают в противни, заполняя их равномерно без уплотнения. Противни с волокном взвешивают и помещают в сушильный шкаф температурой (105 +/- 3) °C для сушки волокон.
По истечении 30 мин противни с волокнами вынимают из сушильного шкафа, охлаждают до температуры (22 +/- 3) °C и взвешивают.
Противни с волокнами, высушенными в сушильном шкафу при температуре (105 +/- 3) °C и охлажденные до температуры (22 +/- 3) °C, помещают в сушильный шкаф, предварительно нагретый до (220 +/- 3) °C.
Так как при установлении холодных противней температура сушильного шкафа понижается, то время пребывания противней с волокнами в сушильном шкафу отсчитывают от момента достижения установленной температуры.
Противни с волокнами выдерживают в сушильном шкафу при температуре (220 +/- 3) °C в течение 5 мин.
По истечении времени выдерживания противни с волокнами вынимают из сушильного шкафа, охлаждают до температуры (22 +/- 3) °C и взвешивают.
Г.6 Обработка результатов испытания
Влажность волокон W, %, вычисляют по формуле

(Г.1)
где g2 - масса противня с волокнами, г;
g3 - масса противня с волокнами после сушки в сушильном шкафу, г;
g1 - масса противня, г.
Термостойкость волокон Tв, %, вычисляют по формуле

(Г.2)
где g4 - масса противня с волокнами после выдерживания в сушильном шкафу при температуре (220 +/- 3) °C, г.
Расхождение между результатами двух параллельных определений не должно быть более 0,5% (по абсолютной величине). За результат принимают округленное до первого десятичного знака среднеарифметическое значение результатов двух параллельных определений.
| | Химические факторы производственной среды. Предельно допустимые концентрации (ПДК) вредных веществ в воздухе рабочей зоны. Гигиенические нормативы |