Главная // Актуальные документы // ГОСТ (Государственный стандарт)СПРАВКА
Источник публикации
М.: Стандартинформ, 2014
Примечание к документу
Документ
введен в действие с 1 февраля 2015 года.
Название документа
"ГОСТ 32722-2014. Межгосударственный стандарт. Дороги автомобильные общего пользования. Песок природный и дробленый. Определение истинной плотности"
(введен в действие Приказом Росстандарта от 24.09.2014 N 1192-ст)
"ГОСТ 32722-2014. Межгосударственный стандарт. Дороги автомобильные общего пользования. Песок природный и дробленый. Определение истинной плотности"
(введен в действие Приказом Росстандарта от 24.09.2014 N 1192-ст)
агентства по техническому
регулированию и метрологии
от 24 сентября 2014 г. N 1192-ст
МЕЖГОСУДАРСТВЕННЫЙ СТАНДАРТ
ДОРОГИ АВТОМОБИЛЬНЫЕ ОБЩЕГО ПОЛЬЗОВАНИЯ
ПЕСОК ПРИРОДНЫЙ И ДРОБЛЕНЫЙ
ОПРЕДЕЛЕНИЕ ИСТИННОЙ ПЛОТНОСТИ
Automobile roads of general use. Natural and crushed sand.
Determination of the true density
ГОСТ 32722-2014
МКС 93.080.020
Дата введения
1 февраля 2015 года
Цели, основные принципы и основной порядок проведения работ по межгосударственной стандартизации установлены
ГОСТ 1.0-92 "Межгосударственная система стандартизации. Основные положения" и
ГОСТ 1.2-2009 "Межгосударственная система стандартизации. Стандарты межгосударственные, правила и рекомендации по межгосударственной стандартизации. Правила разработки, принятия, применения, обновления и отмены".
1. Разработан Обществом с ограниченной ответственностью "Центр метрологии, испытаний и стандартизации", Межгосударственным техническим комитетом по стандартизации МТК 418 "Дорожное хозяйство".
2. Внесен Федеральным агентством по техническому регулированию и метрологии Российской Федерации.
3. Принят Межгосударственным советом по стандартизации, метрологии и сертификации (Протокол от 25 июня 2014 г. N 45-П).
За принятие проголосовали:
Краткое наименование страны по МК (ИСО 3166) 004-97 | Код страны по МК (ИСО 3166) 004-97 | Сокращенное наименование национального органа по стандартизации |
Армения | AM | Минэкономики Республики Армения |
Беларусь | BY | Госстандарт Республики Беларусь |
Казахстан | KZ | Госстандарт Республики Казахстан |
Киргизия | KG | Кыргызстандарт |
Россия | RU | Росстандарт |
Таджикистан | TJ | Таджикстандарт |
Узбекистан | UZ | Узстандарт |
4.
Приказом Федерального агентства по техническому регулированию и метрологии от 24 сентября 2014 г. N 1192-ст межгосударственный стандарт ГОСТ 32722-2014 введен в действие в качестве национального стандарта Российской Федерации с 1 февраля 2015 г.
5. Введен впервые.
Информация об изменениях к настоящему стандарту публикуется в ежегодном информационном указателе "Национальные стандарты", а текст изменений и поправок - в ежемесячном информационном указателе "Национальные стандарты". В случае пересмотра (замены) или отмены настоящего стандарта соответствующее уведомление будет опубликовано в ежемесячном информационном указателе "Национальные стандарты". Соответствующая информация, уведомление и тексты размещаются также в информационной системе общего пользования - на официальном сайте Федерального агентства по техническому регулированию и метрологии в сети Интернет.
Настоящий стандарт входит в группу стандартов, устанавливающих требования и методы испытаний для природного и дробленого песков.
Настоящий стандарт разработан в рамках реализации
Программы по разработке межгосударственных стандартов, в результате применения которых на добровольной основе обеспечивается соблюдение требований технического регламента (ТР ТС 014/2011 "Безопасность автомобильных дорог"), утвержденной Решением Коллегии Евразийской экономической комиссии N 81 от 13.06.2012.
Настоящий стандарт распространяется на песок природный с истинной плотностью зерен от 2,0 до 2,8 г/см3 и песок дробленый с истинной плотностью зерен от 2,0 до 3,5 г/см3, предназначенные для строительства, ремонта, содержания и реконструкции автомобильных дорог общего пользования (далее - песок), и устанавливает методы определения истинной плотности.
В настоящем стандарте использованы нормативные ссылки на следующие межгосударственные стандарты:
ГОСТ 12.1.004-91 Система стандартов безопасности труда. Пожарная безопасность. Общие требования
ГОСТ 12.1.007-76 Система стандартов безопасности труда. Вредные вещества. Классификация и общие требования безопасности
ГОСТ 12.1.019-79 Система стандартов безопасности труда. Электробезопасность. Общие требования и номенклатура видов защиты <*>
--------------------------------
ГОСТ 12.1.044-89 Система стандартов безопасности труда. Пожаровзрывоопасность веществ и материалов. Номенклатура показателей и методы их определения
ГОСТ 12.4.021-75 Система стандартов безопасности труда. Системы вентиляционные. Общие требования
ГОСТ 450-77 Кальций хлористый технический. Технические условия
ГОСТ 22524-77 Пикнометры стеклянные. Технические условия
ГОСТ 25336-82 Посуда и оборудование лабораторные стеклянные. Типы, основные параметры и размеры
ГОСТ 32728-2014 Дороги автомобильные общего пользования. Песок природный и дробленый. Отбор проб.
Примечание. При пользовании настоящим стандартом целесообразно проверить действие ссылочных стандартов в информационной системе общего пользования - на официальном сайте Федерального агентства по техническому регулированию и метрологии в сети Интернет или по ежегодному информационному указателю "Национальные стандарты", который опубликован по состоянию на 1 января текущего года, и по выпускам ежемесячного информационного указателя "Национальные стандарты" за текущий год. Если ссылочный стандарт заменен (изменен), то при пользовании настоящим стандартом следует руководствоваться заменяющим (измененным) стандартом. Если ссылочный стандарт отменен без замены, то положение, в котором дана ссылка на него, применяется в части, не затрагивающей эту ссылку.
В настоящем стандарте применены термины по
ГОСТ 32728, а также следующий термин с соответствующим определением.
3.1. Истинная плотность: масса единицы объема материала в абсолютно плотном состоянии, т.е. без пор и пустот.
3.2. Единичная проба: проба природного (дробленого) песка, полученная одним из методов сокращения из лабораторной пробы и предназначенная для сокращения до требуемого количества мерных проб для проведения испытания.
3.3. Мерная проба: количество песка природного (дробленого), используемое для получения одного результата в одном испытании.
3.4. Постоянная масса: масса пробы, высушиваемой в сушильном шкафу при температуре (110 +/- 5) °C, различающаяся не более чем на 0,1% по результатам двух последних последовательно проводимых взвешиваний через промежутки времени, составляющие не менее 1 ч.
4. Требования безопасности и охраны окружающей среды
4.1. При работе с песком необходимо соблюдать требования техники безопасности, предусмотренные
ГОСТ 12.1.007.
4.2. Лабораторные помещения, в которых производятся испытания песка, по настоящему стандарту должны быть оборудованы вентиляционными системами по
ГОСТ 12.4.021.
4.3. Песок в соответствии с
ГОСТ 12.1.044 относятся к негорючим материалам. При работе с песком необходимо соблюдать требования пожарной безопасности по
ГОСТ 12.1.004.
4.4. При эксплуатации электрооборудования, используемого в процессе испытаний, должны соблюдаться требования электробезопасности согласно
ГОСТ 12.1.019.
4.5. Персонал при работе с песком должен быть обеспечен средствами индивидуальной защиты:
4.6. Утилизацию испытанного материала производят в соответствии с рекомендациями завода-изготовителя и действующим законодательством.
5. Требования к условиям испытаний
При проведении испытаний должны соблюдаться следующие условия для помещений, в которых производится испытание материала:
- температура воздуха (21 +/- 4) °C;
- относительная влажность воздуха не более 80%.
6.1. Пикнометрический метод А
6.1.1. Требования к средствам измерений, вспомогательным устройствам, материалам, реактивам
При проведении испытаний применяют следующее оборудование, материалы и реактивы:
- весы электронные по
ГОСТ 24104 с наибольшим пределом взвешивания не менее 2000 г и ценой деления не более 0,01 г;
- сита с ячейками размером 0,125 и 4 мм по
[1];
- термостат, обеспечивающий поддержание температуры в интервале (20 +/- 0,5) °C;
- термометр с ценой деления не более 0,2 °C;
- пикнометры вместимостью 100 см3 по ГОСТ 22524 - 2 шт.;
- сушильный шкаф, обеспечивающий циркуляцию воздуха и поддержание температуры в интервале (110 +/- 5) °C;
- кальций хлористый (кальций хлорид) по
ГОСТ 450;
- песчаная баня;
- таймер с диапазоном измерения не менее 30 мин и ценой деления не более 1 мин;
- электроплитка;
6.1.2. Сущность метода
Сущность метода состоит в определении массы зерен песка в абсолютно плотном состоянии путем взвешивания до и после кипячения.
6.1.3. Подготовка к испытанию
6.1.3.1. Отбор и формирование проб производят по
ГОСТ 32728.
6.1.3.2. Подготавливают единичную пробу массой (500 +/- 10) г и просеивают ее через сита с размером ячеек 4 и 0,125 мм. Просеянный через сито 0,125 мм материал высушивают до постоянной массы, помещают в эксикатор над безводным хлористым кальцием и дают ему остыть до комнатной температуры. После этого отбирают из материала две мерные пробы. Масса мерной пробы должна составлять (15,00 +/- 0,01) г.
6.1.4. Порядок выполнения испытаний
6.1.4.1. Взвешивают по одному сухие чистые пикнометры.
6.1.4.2. Подготовленные по 6.1.3.2 мерные пробы засыпают в пикнометры.
6.1.4.3. Взвешивают пикнометры с песком.
6.1.4.4. Добавляют в пикнометры с песком дистиллированной воды примерно до заполнения 2/3 их объема. Содержимое аккуратно перемешивают и ставят пикнометры в наклонном положении на песчаную баню, установленную на электроплитку.
6.1.4.5. Содержимое пикнометров доводят до кипения и кипятят в течение 15 - 20 мин для удаления пузырьков воздуха.
6.1.4.6. После этого пикнометры снимают с песчаной бани, охлаждают до комнатной температуры, помещают в водяной термостат таким образом, чтобы верхняя часть горловины находилась на 0,5 - 1 см выше уровня воды, и выдерживают при температуре (20 +/- 0,5) °C в течение (25 +/- 5) мин. Затем в пикнометры добавляют дистиллированную воду до отметки на горловине, обтирают поверхность пикнометров салфеткой или бумажным полотенцем и взвешивают. Добавляемая дистиллированная вода должна иметь температуру (20 +/- 0,5) °C.
6.1.4.7. Освобождают пикнометры от содержимого, промывают и заново наполняют дистиллированной водой до отметки, расположенной ниже метки на горловине, помещают их в водяной термостат и выдерживают в течение 10 - 15 мин. Затем в пикнометры добавляют дистиллированную воду до отметки на горловине, обтирают поверхность пикнометров салфеткой или бумажным полотенцем и взвешивают. Добавляемая дистиллированная вода должна иметь температуру (20 +/- 0,5) °C.
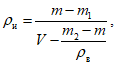
6.1.5. Обработка результатов
Истинную плотность песка

, г/см
3, определяют по формуле (1) с точностью до второго знака после запятой

(1)
где m - масса пикнометра с песком, г;
m1 - масса пустого пикнометра, г;
m2 - масса пикнометра с дистиллированной водой, г;
m3 - масса пикнометра с песком и дистиллированной водой, наполненного до метки, г;

- плотность воды, равная 1 г/см
3.
Расхождение результатов двух параллельных испытаний истинной плотности не должно превышать значения 0,02 г/см3. В противном случае повторяют определение истинной плотности.
6.2. Пикнометрический метод Б
6.2.1. Требования к средствам измерений, вспомогательным устройствам, материалам, реактивам
При проведении испытаний применяют следующее оборудование, материалы и реактивы:
- весы электронные по
ГОСТ 24104 с наибольшим пределом взвешивания не менее 2000 г и ценой деления не более 0,01 г;
- вакуумная установка с возможностью создавать и поддерживать давление (2000 +/- 100) Па;
- термостат, обеспечивающий поддержание температуры в интервале (20 +/- 0,5) °C;
- термометр с ценой деления не более 0,2 °C;
- таймер с диапазоном измерения не менее 30 мин и ценой деления не более 1 мин;
- сита с ячейками размером 0,125 и 4 мм по
[1];
- два пикнометра вместимостью 100 см3 по ГОСТ 22524;
- сушильный шкаф с циркуляцией воздуха и поддержанием температуры (110 +/- 5) °C;
6.2.2. Сущность метода
Сущность метода состоит в определении массы зерен песка в абсолютно плотном состоянии путем взвешивания до и после вакуумирования.
6.2.3. Подготовка к испытанию
6.2.3.1. Отбор и формирование проб производят по
ГОСТ 32728.
6.2.3.2. Подготавливают единичную пробу массой (500 +/- 10) г и просеивают ее через сита с размером ячеек 4 и 0,125 мм. Просеянный через сито 0,125 мм материал высушивают до постоянной массы, помещают в эксикатор над безводным хлористым кальцием и дают ему остыть до комнатной температуры. После этого отбирают из материала две мерные пробы. Масса мерной пробы должна составлять (10,00 +/- 0,01) г.
6.2.4. Порядок выполнения испытаний
6.2.4.1. Взвешивают по одному чистые и сухие пикнометры.
| | ИС МЕГАНОРМ: примечание. В официальном тексте документа, видимо, допущена опечатка: пункт 5.3.2 отсутствует. | |
6.2.4.2. Мерные пробы, подготовленные по 5.3.2, засыпают в пикнометры. Взвешивают пикнометры с песком.
6.2.4.3. Добавляют в пикнометры дистиллированной воды в таком количестве, чтобы песок был полностью покрыт водой.
6.2.4.4. Устанавливают пикнометры в вакуумную установку. Создают давление в вакуумной установке (2000 +/- 100) Па и выдерживают указанное давление в течение 30 минут.
6.2.4.5. По истечении отведенного времени давление доводят до атмосферного. Извлекают пикнометры из вакуумной установки и наполняют их дистиллированной водой до отметки, расположенной ниже метки на горловине.
6.2.4.6. Помещают в водяной термостат таким образом, чтобы верхняя часть горловины находилась на 0,5 - 1 см выше уровня воды, и выдерживают при температуре (20 +/- 0,5) °C в течение (25 +/- 5) мин.
6.2.4.7. По истечении (25 +/- 5) мин в пикнометры добавляют дистиллированную воду до отметки на горловине, обтирают поверхность пикнометров салфеткой или бумажным полотенцем и взвешивают. Добавляемая дистиллированная вода должна иметь температуру (20 +/- 0,5) °C.
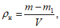
6.2.5. Обработка результатов
Истинную плотность песка

, г/см
3, определяют по формуле (2) с точностью до второго знака после запятой

(2)
где m - масса пикнометра с песком, г;
m1 - масса пустого пикнометра, г;
m2 - масса пикнометра с песком, заполненного дистиллированной водой, г;
V - объем пикнометра, мл;

- плотность дистиллированной воды, равная 1 г/см
3.
Расхождение результатов двух параллельных испытаний истинной плотности не должно превышать значения 0,02 г/см3. В противном случае повторяют определение истинной плотности.
6.3. Метод ускоренного определения истинной плотности
Данный метод применяют для оперативного определения значения истинной плотности.
6.3.1. Требования к средствам измерений, вспомогательным устройствам, материалам
При проведении испытаний применяют следующее оборудование, материалы:
- весы электронные по
ГОСТ 24104 с наибольшим пределом взвешивания не менее 2000 г и ценой деления не более 0,01 г;
- сито с ячейками размером 4 мм по
[1];
- термостат, обеспечивающий поддержание температуры в интервале (20 +/- 0,5) °C;
- термометр с ценой деления не более 0,2 °C;
- сушильный шкаф, обеспечивающий циркуляцию воздуха и поддержание температуры в интервале (110 +/- 5) °C;
Рисунок 1. Прибор Ле-Шателье
6.3.2. Сущность метода
Сущность метода состоит в определении истинной плотности песка путем измерения высушенной до постоянной массы единицы объема зерен песка с использованием прибора Ле-Шателье.
6.3.3. Подготовка к испытанию
6.3.3.1. Отбор и формирование проб производят по
ГОСТ 32728.
6.3.3.2. Подготавливают единичную пробу массой (500 +/- 10) г и просеивают ее через сито с размерами ячеек 4 мм. Просеянный через сито 4 мм песок высушивают до постоянной массы, помещают в эксикатор над безводным хлористым кальцием и дают ему остыть до комнатной температуры. После этого отбирают две мерные пробы. Масса мерной пробы должна составлять (75,00 +/- 0,01) г.
6.3.4. Порядок выполнения испытаний
6.3.4.1. Прибор наполняют водой до нулевой отметки. Уровень воды определяют по нижнему мениску.
6.3.4.2. Мерную пробу песка засыпают через воронку прибора небольшими равномерными порциями до тех пор, пока уровень воды в приборе не поднимется до отметки с делением 20 мл (или другим делением в пределах верхней градуированной части прибора). Для удаления пузырьков воздуха прибор устанавливают на резиновый коврик и в наклонном положении несколько раз поворачивают вокруг его вертикальной оси.
6.3.4.3. Остаток песка, не вошедший в прибор, взвешивают.
6.3.5. Обработка результатов
Истинную плотность песка

, г/см
3, определяют по формуле (3) с точностью до второго знака после запятой

(3)
где m - масса мерной пробы песка, г;
m1 - масса остатка песка, г;
V - объем воды, вытесненной песком, мл.
Расхождение результатов двух параллельных испытаний истинной плотности не должно превышать значения 0,02 г/см3. В противном случае повторяют определение истинной плотности.
7. Оформление результатов испытаний
Результат испытания оформляется в виде протокола, который должен содержать:
- номер протокола;
- дату проведения испытания;
- название организации, проводившей испытание;
- ссылку на настоящий стандарт;
- ссылку на акт отбора проб;
- результат испытания;
- сведения об условиях проведения испытания;
- фамилия, имя, отчество и подпись лица, проводившего испытание;
- фамилия, имя, отчество и подпись лица, ответственного за испытание.
8. Контроль точности результатов измерений
Точность результатов измерений обеспечивается:
- соблюдением требований настоящего стандарта;
- проведением периодической оценки метрологических характеристик средств измерений;
- проведением периодической аттестации оборудования.
Лицо, проводящее измерения, должно быть ознакомлено с требованиями настоящего стандарта.
| Сита лабораторные. Технические требования и испытания. Часть 1. Лабораторные сита из проволочной ткани (Test sieves - Technical requirements and testing - Part 1: Test sieves of metal wire cloth). |