Главная // Актуальные документы // ГОСТ (Государственный стандарт)СПРАВКА
Источник публикации
М.: Стандартинформ, 2016
Примечание к документу
Документ включен в
Перечень стандартов, содержащих правила и методы исследований (испытаний) и измерений, в том числе правила отбора образцов, необходимые для применения и исполнения требований технического
регламента Таможенного союза "Безопасность автомобильных дорог" (ТР ТС 014/2011) и осуществления оценки соответствия объектов технического регулирования (
Решение Коллегии Евразийской экономической комиссии от 18.09.2012 N 159).
Текст данного документа приведен с учетом
поправки, опубликованной в "ИУС", N 9, 2016.
Документ
введен в действие с 1 июня 2016 года с правом досрочного применения.
Название документа
"ГОСТ 33057-2014. Межгосударственный стандарт. Дороги автомобильные общего пользования. Щебень и гравий из горных пород. Определение средней и истинной плотности, пористости и водопоглощения"
(введен в действие Приказом Росстандарт от 09.09.2015 N 1314-ст)
"ГОСТ 33057-2014. Межгосударственный стандарт. Дороги автомобильные общего пользования. Щебень и гравий из горных пород. Определение средней и истинной плотности, пористости и водопоглощения"
(введен в действие Приказом Росстандарт от 09.09.2015 N 1314-ст)
агентства по техническому
регулированию и метрологии
от 9 сентября 2015 г. N 1314-ст
МЕЖГОСУДАРСТВЕННЫЙ СТАНДАРТ
ДОРОГИ АВТОМОБИЛЬНЫЕ ОБЩЕГО ПОЛЬЗОВАНИЯ
ЩЕБЕНЬ И ГРАВИЙ ИЗ ГОРНЫХ ПОРОД
ОПРЕДЕЛЕНИЕ СРЕДНЕЙ И ИСТИННОЙ ПЛОТНОСТИ,
ПОРИСТОСТИ И ВОДОПОГЛОЩЕНИЯ
Automobile roads of general use. Crushed stone and gravel
from rocks. Determination of average and true density,
porosity and water absorption
ГОСТ 33057-2014
МКС 93.080.020
Дата введения
1 июня 2016 года
с правом досрочного применения
Цели, основные принципы и основной порядок проведения работ по межгосударственной стандартизации установлены
ГОСТ 1.0-92 "Межгосударственная система стандартизации. Основные положения" и
ГОСТ 1.2-2009 "Межгосударственная система стандартизации. Стандарты межгосударственные, правила и рекомендации по межгосударственной стандартизации. Правила разработки, принятия, применения, обновления и отмены"
1 РАЗРАБОТАН Федеральным государственным унитарным предприятием "Российский дорожный научно-исследовательский институт" совместно с обществом с ограниченной ответственностью "Инновационный технический центр"
2 ВНЕСЕН Межгосударственным техническим комитетом по стандартизации МТК 418 "Дорожное хозяйство"
3 ПРИНЯТ Межгосударственным советом по стандартизации, метрологии и сертификации (протокол от 5 декабря 2014 г. N 46)
За принятие стандарта проголосовали:
Краткое наименование страны по МК (ИСО 3166) 004-97 | Код страны по МК (ИСО 3166) 004-97 | Сокращенное наименование национального органа по стандартизации |
Азербайджан | AZ | Азстандарт |
Армения | AM | Минэкономики Республики Армения |
Беларусь | BY | Госстандарт Республики Беларусь |
Казахстан | KZ | Госстандарт Республики Казахстан |
Киргизия | KG | Кыргызстандарт |
Молдова | MD | Молдова-Стандарт |
Россия | RU | Росстандарт |
Узбекистан | UZ | Узстандарт |
4
Приказом Федерального агентства по техническому регулированию и метрологии от 9 сентября 2015 г. N 1314-ст межгосударственный стандарт ГОСТ 33057-2014 введен в действие в качестве национального стандарта Российской Федерации с 1 июня 2016 г.
5 ВВЕДЕН ВПЕРВЫЕ
Информация об изменениях к настоящему стандарту публикуется в ежегодном информационном указателе "Национальные стандарты", а текст изменений и поправок - в ежемесячном информационном указателе "Национальные стандарты". В случае пересмотра (замены) или отмены настоящего стандарта соответствующее уведомление будет опубликовано в ежемесячном информационном указателе "Национальные стандарты". Соответствующая информация, уведомление и тексты размещаются также в информационной системе общего пользования - на официальном сайте Федерального агентства по техническому регулированию и метрологии в сети Интернет
Настоящий стандарт входит в группу межгосударственных стандартов, устанавливающих требования и методы испытаний для щебня и гравия из горных пород.
Настоящий стандарт распространяется на щебень и гравий (далее щебень (гравий)) из горных пород со средней плотностью зерен от 2,0 до 3,5 г/см3, применяемые при строительстве, ремонте, капитальном ремонте, реконструкции и содержании автомобильных дорог общего пользования.
Настоящий стандарт устанавливает методы определения средней и истинной плотности, пористости и водопоглощения щебня и гравия из горных пород.
В настоящем стандарте использованы ссылки на следующие межгосударственные стандарты:
ГОСТ 12.1.004-91 Система стандартов безопасности труда. Пожарная безопасность. Общие требования
ГОСТ 12.1.005-88 Система стандартов безопасности труда. Общие санитарно-гигиенические требования к воздуху рабочей зоны
| | ИС МЕГАНОРМ: примечание. В официальном тексте документа, видимо, допущена опечатка: стандарт имеет номер ГОСТ 12.1.007-76, а не ГОСТ 12.1.007-88. | |
ГОСТ 12.1.007-88 Система стандартов безопасности труда. Вредные вещества. Классификация и общие требования безопасности
ГОСТ 12.1.019-79 <*> Система стандартов безопасности труда. Электробезопасность. Общие требования и номенклатура видов защиты
--------------------------------
ГОСТ 12.4.021-75 Система стандартов безопасности труда. Системы вентиляционные. Общие требования
ГОСТ OIML R 76-1-2011 Государственная система обеспечения единства измерений. Весы неавтоматического действия. Часть 1. Метрологические и технические требования. Испытания
ГОСТ 450-77 Кальций хлористый технический. Технические условия
ГОСТ 25336-82 Посуда и оборудование лабораторные стеклянные. Типы, основные параметры и размеры
ГОСТ 27574-87 Костюмы женские для защиты от общих производственных загрязнений и механических воздействий. Технические условия
ГОСТ 27575-87 Костюмы мужские для защиты от общих производственных загрязнений и механических воздействий. Технические условия
ГОСТ 28498-90 Термометры жидкостные стеклянные. Общие технические требования. Методы испытаний
ГОСТ 32703-2014 Дороги автомобильные общего пользования. Щебень и гравий из горных пород. Технические требования
ГОСТ 33029-2014 Дороги автомобильные общего пользования. Щебень и гравий из горных пород. Определение гранулометрического состава
ГОСТ 33048-2014 Дороги автомобильные общего пользования. Щебень и гравий из горных пород. Отбор проб
Примечание - При пользовании настоящим стандартом целесообразно проверить действие ссылочных стандартов в информационной системе общего пользования - на официальном сайте Федерального агентства по техническому регулированию и метрологии в сети Интернет или по ежегодному информационному указателю "Национальные стандарты", который опубликован по состоянию на 1 января текущего года, и выпускам ежемесячного информационного указателя "Национальные стандарты" за текущий год. Если ссылочный стандарт заменен (изменен), то при пользовании настоящим стандартом следует руководствоваться заменяющим (измененным) стандартом. Если ссылочный стандарт отменен без замены, то положение, в котором дана ссылка на него, применяется в части, не затрагивающей эту ссылку.
В настоящем стандарте применены термины по
ГОСТ 32703, а также следующие термины с соответствующими определениями:
3.1 средняя плотность: Отношение массы материала ко всему занимаемому им объему, включая имеющиеся в нем пустоты и поры.
3.2 истинная плотность: Масса единицы объема материала в абсолютно плотном состоянии, т.е. без пор и пустот.
3.3 пористость: Относительное содержание пор и пустот в объеме материала.
3.4 водопоглощение: Способность материала впитывать и удерживать воду в порах и капиллярах, которую характеризуют отношением массы воды, поглощенной материалом, к массе сухого материала.
3.5 единичная проба: Проба щебня (гравия), полученная методом сужения из лабораторной пробы и предназначенная для сокращения до требуемого количества мерных проб для проведения испытания.
3.6 мерная проба: Количество щебня (гравия), используемое для получения одного результата в одном испытании.
3.7 постоянная масса: Масса пробы, высушиваемой в сушильном шкафу при температуре (110 +/- 5) °C, различающаяся не более чем на 0,1% по результатам двух последних последовательно проводимых взвешиваний через промежутки времени, составляющие не менее 1 ч.
Истинную плотность зерен щебня (гравия), определяют как отношение массы пробы материала в сухом состоянии к занимаемому им объему без пор и пустот.
Среднюю плотность зерен щебня (гравия) определяют как отношение массы пробы материала в сухом состоянии к занимаемому им объему.
Пористость щебня (гравия) определяют расчетным методом на основании предварительно установленных значений истинной и средней плотности.
Водопоглощение щебня (гравия) определяют путем сравнения массы пробы материала в насыщенном водой состоянии и после высушивания.
5. Требования безопасности, охраны окружающей среды
5.1 Содержание вредных веществ в воздухе лаборатории, образующихся при проведении испытаний, не должно превышать предельно допустимых концентраций по
ГОСТ 12.1.005.
5.2 Помещение, в котором проводятся испытания щебня (гравия), должно быть оборудовано местной приточно-вытяжной и общеобменной вентиляцией по
ГОСТ 12.4.021.
5.3 Эксплуатацию электрических приборов проводят в соответствии с правилами техники безопасности при эксплуатации электроустановок, а также правилами электробезопасности по
ГОСТ 12.1.019.
5.4 Пожарная безопасность лабораторных помещений должна соответствовать требованиям
ГОСТ 12.1.004.
5.5 При работе со щебнем (гравием) необходимо соблюдать требования техники безопасности, предусмотренные
ГОСТ 12.1.007.
5.6 При работе с сушильным шкафом необходимо соблюдать правила пожарной безопасности, предусмотренные
ГОСТ 12.1.004.
5.7 Персонал при работе со щебнем и гравием должен быть обеспечен средствами индивидуальной защиты:
5.8 Утилизацию материала, подвергнутого испытаниям, производят в соответствии с рекомендациями предприятия-изготовителя и действующим законодательством.
6. Требования к условиям испытания
При проведении испытания щебня (гравия) должны соблюдаться следующие условия для помещений:
- температура воздуха (21 +/- 4) °C;
- относительная влажность воздуха не более 80%.
7. Определение средней плотности
7.1 Требования к средствам измерений, вспомогательным устройствам и материалам
При проведении испытания применяют следующие средства измерений, вспомогательные устройства и материалы:
- сита с размером ячеек 4; 5,6; 8; 11,2; 16; 22,4; 31,5; 45; 63 мм в соответствии с ISO 3310-1
[1] и ISO 3310-2
[2];
- сушильный шкаф, обеспечивающий циркуляцию воздуха и поддержание температуры в интервале (110 +/- 5) °C;
- таймер;
- термометр с ценой деления не более 1 °C по
ГОСТ 28498;
- весы электронные с возможностью гидростатического взвешивания и ценой деления не более 0,01 г;
- весы электронные с возможностью гидростатического взвешивания с ценой деления 0,02 г;
- сетчатая (перфорированная) корзина или емкость из перфорированного листа для гидростатического взвешивания;
- полотенце и мягкая ткань для удаления влаги;
- емкость для воды объемом (5 +/- 1) л.
7.2 Подготовка к выполнению испытания
7.2.1 Отбор и формирование проб щебня (гравия) производят по
ГОСТ 33048.
7.2.2 Для подготовки к испытанию единичную пробу щебня (гравия) промывают под струей воды на сите с размером ячеек d. Затем единичную пробу щебня (гравия) высушивают в сушильном шкафу при температуре (110 +/- 5) °C до постоянной массы, после чего просеивают через сита с размером ячеек D и d. Зерна, прошедшие через сито с размером ячеек d и оставшиеся на сите с размером ячеек D отбрасывают.
7.2.3 Из единичной пробы готовят мерную пробу масса которой должна соответствовать значениям приведенным в таблице 1.
Таблица 1
Максимальный размер зерен D <*>, мм | Минимальная масса мерной пробы, г |
63,0 | 5000 |
45,0 | 3500 |
31,5 | 2500 |
16,0 | 1500 |
8,0 | 1000 |
<*> Минимальная масса мерной пробы с размерами зерен, не указанными в таблице и менее 63 мм, может рассчитываться методом интерполяции по массе согласно значениям, приведенным в таблице. |
7.3 Порядок выполнения испытания
7.3.1 Мерную пробу щебня (гравия) помещают в сетчатую (перфорированную) корзину и опускают ее в емкость с водой при температуре (21 +/- 4) °C. Уровень воды в емкости должен быть выше поверхности щебня не менее чем на (50 +/- 3) мм.
7.3.2 Далее удаляют пузырьки воздуха на корзине и материале, поднимая корзину не менее чем на 25 мм со дна сосуда и опуская, давая ей возможность падать, 25 раз. Удалив пузырьки воздуха сетчатую (перфорированную) корзину с мерной пробой щебня оставляют в воде при температуре (21 +/- 4) °C на (24,0 +/- 0,5) ч.
7.3.3 По истечении отведенного времени, сетчатую (перфорированную) корзину с мерной пробой встряхивают в соответствии с
п. 7.3.2 и взвешивают в воде при температуре (21 +/- 4) °C.
Примечание - Допускается перенести сетчатую (перфорированную) корзину с мерной пробой щебня для взвешивания в другую емкость, корзину с мерной пробой в новой емкости встряхивают 25 раз, как и раньше перед взвешиванием.
7.3.4 Сетчатую (перфорированную) корзину вынимают с мерной пробой щебня (гравия) из воды и дают воде стечь в течение (3 +/- 1) минут, затем выкладывают ее из корзины на сухое полотенце. Пустую сетчатую (перфорированную) корзину возвращают в воду и взвешивают.
7.3.5 С поверхности зерен щебня (гравия) удаляют влагу мягкой влажной тканью и взвешивают.
7.3.6 Мерную пробу щебня (гравия) высушивают в сушильном шкафу при температуре (110 +/- 5) °C до постоянной массы и взвешивают.
7.4 Обработка результата испытания
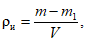
Средняя плотность

, г/см
3, мерной пробы щебня (гравия) рассчитывается по формуле

(1)
где

- плотность воды, принимаемая равной 1 г/см
3;
M4 - масса высушенной в сушильном шкафу мерной пробы, г;
M1 - масса мерной пробы в насыщенном водой состоянии на воздухе, г;
M2 - масса сетчатой (перфорированной) корзины и мерной пробы в насыщенном водой состоянии, в воде, г;
M3 - масса пустой сетчатой (перфорированной) корзины в воде, г.
Результат испытаний рассчитывают с точностью до второго знака после запятой.
За результат принимают среднеарифметическое значение результатов двух параллельных испытаний. Расхождение результатов испытаний не должно превышать 0,02 г/см3, в противном случае испытание необходимо повторить.
8. Определение истинной плотности
8.1 Пикнометрический метод (метод А)
8.1.1 Требования к средствам измерений, вспомогательным устройствам, материалам и реактивам
При проведении испытания применяют следующие средства измерений, вспомогательные устройства, материалы и реактивы:
- сита с размером ячеек 0,125 и 4 мм в соответствии с ISO 3310-1
[1] и ISO 3310-2
[2];
- пресс гидравлический с максимальным усилием не менее 200 кН или дробилка щековая лабораторная ДЛЩ 60 x 100 по
ГОСТ 27412;
- термометр с ценой деления не более 1 °C по
ГОСТ 28498;
- два пикнометра вместимостью 100 мл по
ГОСТ 22524;
- эксикатор по ГОСТ 25336;
- сушильный шкаф, обеспечивающий циркуляцию воздуха и поддержание температуры в интервале (110 +/- 5) °C;
- кальций хлористый (кальций хлорид) по
ГОСТ 450;
- песчаная баня;
- таймер;
- электроплитка;
- водяной термостат, обеспечивающий поддержание температуры в интервале (20 +/- 0,5) °C.
8.1.2 Подготовка к выполнению испытания
8.1.2.1 Отбор и формирование проб проводится по
ГОСТ 33048.
8.1.2.2 Для подготовки к испытанию единичную пробу щебня (гравия) готовят в соответствии с
п. 7.2.2 массой не менее 1000 г, дробят и просеивают через сита с размером ячеек 4 и 0,125 мм в соответствии с
ГОСТ 33029.
8.1.2.3 Из материала, прошедшего через сито с размером ячеек 0,125 мм, отбирают пробу массой (50 +/- 5) г и высушивают до постоянной массы при температуре (110 +/- 5) °C. Высушенный материал помещают в эксикатор над безводным хлористым кальцием и дают ему остыть до температуры (21 +/- 4) °C. После этого отбирают из материала две мерные пробы. Масса мерной пробы должна составлять (15 +/- 1) г.
8.1.3 Порядок выполнения испытания
8.1.3.1 Взвешивают по одному сухие чистые пикнометры.
8.1.3.2 Затем высыпают в пикнометр (10 +/- 1) г материала с размером частиц менее 0,125 мм и взвешивают.
8.1.3.3 В пикнометры добавляют дистиллированной воды в таком количестве, чтобы материал был полностью покрыт водой, но не более 2/3 объема пикнометра.
8.1.3.4 Содержимое аккуратно перемешивают и ставят пикнометры в наклонном положении на песчаную баню, установленную на электроплитку.
8.1.3.5 Содержимое пикнометров доводят до кипения и кипятят в течение (17,5 +/- 2,5) мин для удаления пузырьков воздуха.
8.1.3.6 После этого пикнометры снимают с песчаной бани и охлаждают до температуры (21 +/- 4) °C. Затем добавляют дистиллированную воду до отметки на горловине пикнометров, обтирают поверхность пикнометров сухой материей или бумажным полотенцем и взвешивают.
8.1.3.7 Освобождают пикнометры от содержимого, промывают и заново заполняют дистиллированной водой до отметки. Обтирают поверхность пикнометров сухой материей или бумажным полотенцем и взвешивают.
8.1.4 Обработка результата испытания
8.1.4.1 Истинная плотность щебня (гравия)

, г/см
3 рассчитывается по формуле

(2)
где m - масса пикнометра с материалом, г;
m1 - масса пустого пикнометра, г;

- плотность дистиллированной воды, равная 1 г/см
3;
m2 - масса пикнометра с дистиллированной водой, г;
m3 - масса пикнометра с материалом и дистиллированной водой наполненного до отметки, г.
Расхождение между результатами параллельных определений истинной плотности в двух пикнометрах не должно превышать значения 0,02 г/см3. В противном случае проводят третье определение и вычисляют истинную плотность как среднее арифметическое двух ближайших значений.
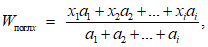
8.1.4.2 Истинную плотность смеси фракций щебня (гравия) рассчитывают по формуле

(3)
где x1, x2, ...xi - истинная плотность отдельной фракции щебня (гравия), в процентах;
a1, a2, ...ai - содержание данной фракции, в процентах.
Результат испытаний рассчитывают с точностью до второго знака после запятой.
8.2 Пикнометрический метод (метод Б)
8.2.1 Требования к средствам измерений, вспомогательным устройствам и материалам
При проведении испытания применяют средства измерения, вспомогательные устройства и материалы в соответствии с
п. 8.1.1. Дополнительно применяется вакуумная установка с возможностью создавать и поддерживать давление (2000 +/- 100) Па.
8.2.2 Подготовка к выполнению испытания
8.2.2.1 Отбор и формирование проб щебня (гравия) проводится в соответствии с
п. 8.1.2.1.
Подготовка мерной пробы щебня (гравия) проводится в соответствии с
п. 8.1.2.2.
8.2.3 Порядок выполнения испытания
8.2.3.1 Взвешивают по одному сухие чистые пикнометры.
8.2.3.2 Затем высыпают в пикнометр (10 +/- 1) г материала с размером частиц менее 0,125 мм и взвешивают.
8.2.3.3 В пикнометры добавляют дистиллированной воды в таком количестве, чтобы материал был полностью покрыт водой, но не более 2/3 объема пикнометра, содержимое аккуратно перемешивают и устанавливают в вакуумную установку.
8.2.3.4 В вакуумной установке создают давление (2000 +/- 100) Па и выдерживают указанное давление в течение (30 +/- 1) минут.
8.2.3.5 По истечении отведенного времени давление доводят до атмосферного. Извлекают пикнометры из вакуумной установки и наполняют их дистиллированной водой до отметки на горловине.
8.2.3.6 Затем ставят в емкость с водой при температуре (21 +/- 4) °C, так, чтобы его верхняя часть находилась на (2,5 +/- 0,5) мм выше уровня воды.
8.2.3.7 После истечения (60 +/- 1) минут пикнометры извлекают из емкости с водой. Обтирают поверхность пикнометров сухой материей или бумажным полотенцем и взвешивают.
8.2.4 Обработка результата испытания
8.2.4.1 Истинная плотность щебня (гравия)

, г/см
3 определяют по формуле

(4)
где m - масса пикнометра с материалом, г;
m1 - масса пустого пикнометра, г;
m2 - масса пикнометра с материалом заполненного дистиллированной водой, г;
V - объем пикнометра, см3;

- плотность дистиллированной воды, равная 1 г/см
3.
Примечание - необходимо определять объем применяемого пикнометра до отметки на горловине.
Расхождение между результатами параллельных определений истинной плотности в двух пикнометрах не должно превышать значения 0,02 г/см3. В противном случае проводят третье определение и вычисляют истинную плотность как среднее арифметическое двух ближайших значений.
8.2.4.2 Истинную плотность зерен смеси фракций щебня (гравия) рассчитывают по
п. 8.1.4.2.
8.3 Ускоренный метод определения истинной плотности в приборе Ле-Шателье
8.3.1 Требования к средствам измерений, вспомогательным устройствам и материалам
При проведении испытания применяют средства измерения, вспомогательные устройства и материалы в соответствии с
п. 8.1.1 и прибор Ле-Шателье, указанный на рисунке 1.
Рисунок 1 - Прибор Ле-Шателье
8.3.2 Подготовка к проведению испытания
8.3.2.1 Отбор и формирование проб щебня (гравия) проводится в соответствии с
п. 8.1.2.1.
8.3.2.2 Подготовка мерной пробы щебня (гравия) проводится в соответствии с
п. 8.1.2.2. Масса каждой мерной пробы, высушенной до постоянной массы, должна составлять (70 +/- 1) г.
8.3.3 Порядок выполнения испытания
8.3.3.1 Прибор Ле-Шателье наполняют водой до нижней нулевой риски.
8.3.3.2 Каждую мерную пробу материала засыпают через воронку прибора равномерными порциями до тех пор, пока уровень жидкости в приборе не поднимется до риски с делением 20 мл (или другим делением в пределах верхней градуированной части прибора).
8.3.3.3 Для удаления пузырьков воздуха прибор поворачивают под наклоном несколько раз вокруг его вертикальной оси так, чтобы на стенках прибора не оставалось материала.
8.3.3.4 Остаток материала, не вошедший в прибор, взвешивают.
8.3.4 Обработка результата испытания
8.3.4.1 Истинная плотность щебня (гравия)

, г/см
3 рассчитывается по формуле

(5)
где m - масса мерной пробы материала, г;
m1 - масса остатка материала, г;
V - объем воды, вытесненной материалом, мл.
Расхождение между результатами двух параллельных определений истинной плотности не должно превышать значения 0,02 г/см3. В противном случае проводят третье определение и вычисляют истинную плотность как среднее арифметическое двух ближайших значений.
8.3.4.2 Истинную плотность зерен смеси фракций щебня (гравия) рассчитывают по
п. 8.1.4.2.
9. Определение пористости
Пористость щебня (гравия) Vпор, в процентах по объему, рассчитывается по формуле

(6)
где

- средняя плотность щебня (гравия), г/см
3 определяемая в соответствии с
разделом 7;

- истинная плотность щебня (гравия), г/см
3 определяемая в соответствии
разделом 8.
10. Определение водопоглощения
Водопоглощение щебня (гравия) определяется расчетным методом после определения средней плотности.
10.1 Водопоглощение щебня (гравия) Wпогл, в процентах, рассчитывается по формуле

(7)
где m1 - масса мерной пробы щебня (гравия) в насыщенном водой состоянии на воздухе, г;
m4 - масса высушенной в сушильном шкафу мерной пробы щебня (гравия), г.
Результат испытания рассчитывают с точностью до первого знака после запятой. За результат испытания принимается среднее арифметическое значение двух параллельных испытаний.
10.2 Водопоглощение щебня (гравия) в смеси фракций, Wпоглx рассчитывают по формуле

(8)
где x1, x2, ..., xi - водопоглощение щебня (гравия) каждой отдельной фракции, в процентах.
a1, a2, ..., ai - содержание данной фракции, в процентах.
Результаты испытаний рассчитывают с точностью до первого знака после запятой.
11. Оформление результата испытания
Результат испытания регистрируют в журнале и оформляют в виде протокола, который должен содержать:
- номер протокола;
- дату проведения испытания;
- название организации, проводившей испытание;
- ссылку на настоящий стандарт;
- ссылку на акт отбора проб;
- наименование испытываемого материала;
- результат испытания;
- сведения об условиях проведения испытания;
- фамилию, имя, отчество и подпись лица, проводившего испытание;
- фамилию, имя, отчество и подпись лица, ответственного за испытание.
12. Контроль точности результата испытания
Точность результата испытания обеспечивается:
- соблюдением требований настоящего стандарта;
- проведением периодической оценки метрологических характеристик средств измерений;
- проведением периодической аттестации оборудования.
Лицо, проводящее испытание, должно быть ознакомлено с требованиями настоящего стандарта.
| ISO 3310-1:2000 | Сита лабораторные. Технические требования и испытания. Часть 1. Лабораторные сита из проволочной ткани (Test sieves - Technical requirements and testing - Part 1: Test sieves of metal wire cloth) |
| ISO 3310-2:1999 | Сита лабораторные. Технические требования и испытания. Часть 2. Лабораторные сита с перфорированной металлической пластиной (Test sieves - Technical requirements and testing - Part 2: Test sieves of perforated metal plat) |