Главная // Актуальные документы // МетодикаСПРАВКА
Источник публикации
М.: НИИЖБ Госстроя СССР, 1981
Примечание к документу
Название документа
"Рекомендации по проектированию сборных и сборно-монолитных железобетонных фундаментов и опорных конструкций под блоки агрегатированного оборудования"
"Рекомендации по проектированию сборных и сборно-монолитных железобетонных фундаментов и опорных конструкций под блоки агрегатированного оборудования"
ПО ПРОЕКТИРОВАНИЮ СБОРНЫХ И СБОРНО-МОНОЛИТНЫХ
ЖЕЛЕЗОБЕТОННЫХ ФУНДАМЕНТОВ И ОПОРНЫХ КОНСТРУКЦИЙ
ПОД БЛОКИ АГРЕГАТИРОВАННОГО ОБОРУДОВАНИЯ
Рекомендованы к изданию секцией бетонных и железобетонных конструкций N 1 НТС НИИЖБ Госстроя СССР от 10 мая 1977 г.
Рекомендации содержат основные положения по проектированию сборных и сборно-монолитных железобетонных фундаментов и опорных конструкций плитного и рамного типов под блоки агрегатированного оборудования с динамическими нагрузками. Приведены методы выбора оптимальных конструктивных схем опорных конструкций и фундаментов, их расчета на действие статических и динамических нагрузок, а также требования к конструированию с учетом особенностей изготовления и монтажа.
Рекомендации предназначены для инженерно-технических работников проектных, научно-исследовательских строительных и машиностроительных организаций.
Табл. 5, ил. 17.
Настоящие Рекомендации распространяются на проектирование железобетонных опорных (базовых) конструкций, а также сборных и сборно-монолитных фундаментов плитного типа и типа этажерок под агрегатированное в крупные блоки технологическое оборудование преимущественно для химических производств, устанавливаемое как на отметке +/- 0.00, так и на более высоких отметках, т.е. в уровнях 2-го, 3-го и более высоких этажей.
Агрегатирование оборудования в крупные блоки, осуществляемое с помощью опорных конструкций, сокращает сроки и повышает качество строительно-монтажных работ за счет переноса основной части работ по монтажу технологического оборудования со стройплощадки в заводские условия. При применении железобетона в качестве материала для изготовления опорных конструкций по сравнению с металлическими аналогами расход металла, идущего на их изготовление, снижается на 70 - 80%. Железобетонные конструкции, кроме того, обладают значительной собственной жесткостью, позволяющей во время транспортирования и монтажа обеспечить сохранность взаиморасположения его элементов, а на месте эксплуатации выполнять совместно с полом здания функции фундамента (или верхней обвязочной плиты рамных фундаментов).
Настоящие Рекомендации обобщают результаты экспериментально-теоретических исследований железобетонных опорных конструкций агрегатированного оборудования, а также опыт внедрения их в практику строительства.
Рекомендации разработаны лабораторией специальных конструкций НИИЖБ Госстроя СССР (кандидаты техн. наук М.И. Браиловский, Л.Р. Спивак, инж. Г.М. Воловодовский).
Замечания и предложения по содержанию Рекомендаций просим направлять в НИИЖБ по адресу: 109389, Москва, 2-я Институтская ул., д. 6.
Дирекция НИИЖБ
1.1. Настоящие Рекомендации содержат требования по конструированию, расчету и изготовлению железобетонных опорных (базовых) конструкций, а также сборных и сборно-монолитных фундаментов плитного типа и типа этажерок под агрегатированное в крупные блоки технологическое оборудование преимущественно для химических производств, устанавливаемое как на отметке +/- 0.00, так и на более высоких отметках.
1.2. Технико-экономическую целесообразность применения железобетонных опорных конструкций взамен металлических обусловливают следующие факторы:
а) повышенная динамическая и статическая жесткости, обеспечивающие сохранность взаимного расположения элементов блока в процессе транспортирования и монтажа;
б) сниженный на 70 - 60% расход металла в расчете на одну конструкцию;
в) сниженная на 15 - 30% трудоемкость изготовления железобетонной опорной конструкции по сравнению с соответствующей литой и на 25 - 40% - по сравнению со сварной металлической опорной конструкцией;
г) повышенная по сравнению с металлическими опорными конструкциями коррозионная и противопожарная стойкость;
д) расход бетона компенсируется тем, что в большинстве случаев железобетонные опорные конструкции при установлении на отметке +/- 0.00 могут быть применены или без устройства специальных фундаментов, или в качестве их верхней части, а при установлении в уровнях 2-го, 3-го и более высоких этажей они используются в качестве элементов перекрытия.
1.3. В случае применения железобетонных опорных конструкций вместо металлических необходимо производить технико-экономическое обоснование, так как последние имеют некоторые преимущества: меньшую массу, что облегчает транспортирование и монтаж, кроме того, они более приспособлены к замене оборудования при его моральном и физическом износе.
2. ТИПЫ ОБОРУДОВАНИЯ, АГРЕГАТИРУЕМОГО
В КРУПНЫЕ БЛОКИ. НАГРУЗКИ ОТ ОБОРУДОВАНИЯ
2.1. Оборудование, входящее в состав блока, подразделяется в зависимости от характера нагрузки, передаваемой на опорную конструкцию или фундамент, на два основных типа:
оборудование с динамическими (инерционными) нагрузками (насосы, компрессоры, вентиляторы, электродвигатели и т.д.);
оборудование со статическими нагрузками (емкости, теплообменники, пульты управления и т.д.).
2.2. Оборудование с динамическими нагрузками в свою очередь подразделяется на:
машины с кривошипно-шатунными механизмами, при работе которых возникают неуравновешенные силы инерции (поршневые и плунжерные насосы, компрессоры, машины с эксцентриком и т.д.);
машины с вращающимися частями (электродвигатели, центробежные насосы, турбоагрегаты и т.д.), при работе которых из-за несовпадения центра тяжести вращающихся частей с их геометрической осью возникают инерционные воздействия.
2.3. Нормативную динамическую нагрузку (Rн, кН) от оборудования с вращающимися частями определяют по формуле

, (1)
где m - масса вращающихся частей, кН·с2/м;
e - эксцентрицитет вращающейся массы (радиус эксцентрика), м;
nо - число оборотов главного вала машины в секунду.
При отсутствии данных о массе и эксцентрицитете их величины для некоторых машин принимаются согласно указаниям Инструкции
[4] <*>.
--------------------------------
<*> См.
Прил. 7 настоящих Рекомендаций.
2.4. Нормативную динамическую нагрузку от оборудования с кривошипно-шатунными механизмами следует определять по формулам, приведенным в Инструкции
[4].
2.5. Расчетную динамическую нагрузку определяют с учетом коэффициента перегрузки, принимаемого в соответствии с указаниями Инструкции
[4].
2.6. При блокировании однотипных машин с синхронными двигателями определяют величину результирующей возмущающей силы, передаваемой на фундамент или опорную конструкцию, по следующей формуле:

, (2)
где

,
здесь K - количество машин;
Rо - величина гармонического воздействия от одной машины.
2.7. Динамическую нагрузку классифицируют в зависимости от ее величины по следующим категориям динамичности:
очень большая динамичность (амплитуда инерционной силы P > 10 кН);
большая динамичность (амплитуда инерционной силы 1 кН < P < 10 кН);
средняя динамичность (амплитуда инерционной силы 0,1 кН < P < 1 кН);
малая динамичность (амплитуда инерционной силы P < 0,1 кН).
2.8. Значение коэффициента перегрузки для статических нагрузок от оборудования должно приниматься в соответствии с требованиями главы
СНиП II-6-74 [12].
2.9. Значение коэффициента перегрузки к статическим нагрузкам, вводимого при транспортировании и монтаже блока, должно приниматься по Инструкции ВСН 42-74
[1].
2.10. Расчетная нагрузка, передаваемая на узел крепления оборудования к железобетонной опорной конструкции, а также требования к жесткости (ограничению деформаций) этого узла должны задаваться заводом - изготовителем оборудования. При отсутствии этих данных за расчетную нагрузку следует принимать прочность сечения крепежного болта на разрыв, определяемую с учетом расчетного сопротивления металла, из которого он изготовлен. Ограничения по деформативности узла крепления в этом случае должны приниматься, исходя из требования по неплоскостности поверхности опорной конструкции в месте установления оборудования.
3. КОНСТРУКТИВНЫЕ ТРЕБОВАНИЯ
К ЖЕЛЕЗОБЕТОННЫМ ОПОРНЫМ КОНСТРУКЦИЯМ
3.1. Железобетонные опорные конструкции изготовляются двух типов: сборные железобетонные заводского изготовления (рис. 1, а) и из металлических сварных или прокатных профилей
(рис. 1, б). Последние проектируются с учетом Рекомендаций
[7]. На месте эксплуатации они омоноличиваются бетоном и в этом случае представляют собой железобетонные опорные конструкции с жесткой арматурой.
а)
Рис. 1. Типы железобетонных опорных конструкций
под крупные блоки оборудования
а - сборные конструкции с гибкой арматурой; б - конструкции
с жесткой арматурой, омоноличиваемые на месте эксплуатации
3.2. Габаритные размеры опорных конструкций должны соответствовать нормальным транспортным габаритам при перевозке по железной и автомобильным дорогам.
3.3. Минимальная высота железобетонных опорных конструкций должна удовлетворять требованиям по прочности и жесткости при расчете на действие монтажных и эксплуатационных нагрузок, а также обеспечивать возможность заделки анкерного болта на глубину H >= 5d, где d - диаметр крепежного болта.
3.4. Точность и чистота поверхности опорной конструкции должна соответствовать требованиям, предъявляемым к оборудованию в месте его опирания и крепления. Обеспечение этих требований должно осуществляться или при изготовлении конструкции, или в процессе монтажа оборудования с помощью специальных компенсирующих устройств.
3.5. Конструкция узла крепления оборудования к железобетонным опорным конструкциям должна удовлетворять требованиям по прочности и жесткости при действии монтажно-транспортных и эксплуатационных нагрузок, а также технологическим требованиям при изготовлении опорной конструкции и при производстве монтажных работ. Примерные конструктивные решения узлов крепления приведены в
Прил. 1 настоящих Рекомендаций.
3.6. Для предотвращения сколов бетона грани опорных конструкций должны выполняться скругленными, с радиусами 30 - 50 мм или иметь скосы под углом 45° на высоту 30 - 50 мм.
3.7. Арматурный каркас опорных конструкций должен изготавливаться сварным пространственным. Арматура верхних сеток должна быть рассчитана на восприятие транспортировочных и монтажных нагрузок при возможном перемещении блока оборудования на катковых опорах.
3.8. Для выверки опорных конструкций, устанавливаемых на сплошном основании (пол или фундамент), с помощью регулировочных винтов в трех точках опорной конструкции должны быть заделаны на всю ее высоту закладные детали со сквозными резьбовыми отверстиями.
3.9. В случае сборно-монолитного стыка с нижележащими конструкциями или друг с другом опорные конструкции должны иметь арматурные выпуски, длина которых должна приниматься в соответствии с требованиями главы
СНиП II-21-75 [15], а также шпонки для обеспечения надежного сцепления с монолитным бетоном.
3.10. Для крепления к нижележащим конструкциям в опорных конструкциях должны быть предусмотрены отверстия для пропуска фундаментных болтов либо закладные детали, расположение которых должно быть увязано с расположением соответствующих анкерных отверстий или закладных деталей нижележащих конструкций.
3.11. Опорные конструкции должны иметь строповочные устройства, удовлетворяющие требованиям по прочности и надежности, а также обеспечивающие максимальные удобства при их транспортировании и монтаже оборудования. В качестве таких устройств должны использоваться заделанные в конструкции монтажные петли из мягких сталей, горизонтальные сквозные отверстия диаметром не менее 40 мм, в которые могут вводиться монтажные стержни или тросы, и рым-болты, вворачиваемые в закладные детали с резьбовыми отверстиями.
4. КОНСТРУКТИВНЫЕ ТРЕБОВАНИЯ К ЗДАНИЯМ И СООРУЖЕНИЯМ
ПРИ ПРИМЕНЕНИИ ЖЕЛЕЗОБЕТОННЫХ ОПОРНЫХ КОНСТРУКЦИЙ
4.1. При установке оборудования на отметке +/- 0.00 в зависимости от величины и характера нагрузки, а также от грунтовых условий, под опорные конструкции должны применяться следующие типы фундаментов:
а) плитный
(рис. 2, а) с соотношением высоты фундамента и меньшего размера его подошвы H
ф/B
ф <= 0,2, в виде монолитной (или сборно-монолитной) железобетонной плиты, лежащей на естественном или искусственном основании. При обоснованной расчетом возможности использования в качестве такой плиты пола здания опорные конструкции должны устанавливаться на подстилающий слой пола;
б) массивный в виде блока (сплошного или пустотелого), лежащего на естественном или искусственном основании;
в) ленточный
(рис. 2, б) в виде сборных (или сборно-монолитных) замкнутых прямоугольных балочных клеток, укладываемых на естественное или искусственное основание. Этот тип фундамента должен применяться, в основном, для оборудования, передающего статическую нагрузку;
г) свайный
(рис. 2, в) в виде железобетонных забивных, набивных или иной конструкции свай, применяемых в необходимых случаях в соответствии с грунтовыми условиями. В качестве ростверка в этом случае должны применяться конструкции фундаментов плитного или ленточного типа.
Рис. 2. Типы фундаментов под крупные
блоки оборудования на отметке +/- 0.00:
а - плитный; б - ленточный; в - свайный;
1 - опорная конструкция; 2 - конические анкерные болты;
3 - плитный (массивный) фундамент или пол; 4 - ленточный
фундамент; 5 - ростверк; 6 - сваи; 7 - слабое
основание; 8 - прочное основание
4.2. За критерии при выборе типа фундамента принимаются следующие характеристики:
наименьшая стоимость;
оптимальный расход материалов;
удовлетворение требований по несущей способности согласно строительным нормам и правилам;
соответствие опорной конструкции конструктивному решению (совпадение установочных плоскостей и фиксирующих крепежных деталей опорной конструкции и фундамента);
удобство транспортирования и монтажа блоков;
моральная долговечность и серийность оборудования.
| | ИС МЕГАНОРМ: примечание. Взамен СНиП II-19-79 Постановлением Госстроя СССР от 16.10.1987 N 242 с 1 июля 1988 года введен в действие СНиП 2.02.05-87. | |
4.3. Конструирование массивных ленточных фундаментов, фундаментов плитного типа, а также ростверков свайных фундаментов, на которые устанавливаются опорные конструкции, должно осуществляться с учетом требований
СНиП II-21-75, СНиП II-19-79
[16] и
СНиП II-17-77 [17].
4.4. Для крепления опорных конструкций к массивному фундаменту должны применяться фундаментные болты, для крепления к подстилающему слою пола - самоанкерующиеся болты конструкции НИИЖБ по
ГОСТ 24379.0-80 [2] и
ГОСТ 24379.1-80 [3].
4.5. При конструировании основных сечений железобетонных опорных конструкций и элементов этажерок, воспринимающих динамические нагрузки, влияние этих нагрузок должно учитываться согласно рекомендациям Руководства
[9].
4.6. При размещении блоков оборудования на несущих конструкциях зданий в качестве несущих элементов должны использоваться существующие типовые решения многоэтажных промышленных зданий.
4.7. При размещении блоков оборудования на открытых эстакадах (этажерках) или внутри здания, но отдельно от его каркаса, допускается при соответствующем технико-экономическом обосновании применение конструктивных схем с использованием типовых конструкций либо в отдельных случаях конструкций индивидуального исполнения. Последнее может иметь место, например, при уникальном по техническим параметрам оборудовании или при внедрении новых прогрессивных методов монтажа и эксплуатации оборудования. Примерные индивидуальные решения приведены в
Прил. 2 настоящих Рекомендаций.
4.8. Железобетонные опорные конструкции должны устанавливаться непосредственно на ригели или другие несущие элементы каркаса здания или индивидуальной этажерки, совмещая функции перекрытий.
4.9. Если в блок включается оборудование с динамическими нагрузками, то в случае большой и очень большой динамичности (см.
п. 2 настоящих Рекомендаций) блок должен устанавливаться на этажерки, отделенные от каркаса здания (или общей эстакады).
4.10. При использовании оборудования с нагрузками малой и средней динамичности допускается установка опорной конструкции на элементы каркаса здания. При этом в случае необходимости между опорной конструкцией и элементами каркаса здания должны устанавливаться виброизолирующие устройства в соответствии с рекомендациями Руководства
[11].
4.11. При установке блоков оборудования, передающего статические нагрузки на этажерки индивидуального (нетипового) решения, конструирование элементов такой этажерки осуществляется с учетом общих конструктивных требований в соответствии с рекомендациями Руководства
[8].
4.12. При установке блоков оборудования на отметках выше +/- 0.00 как внутри промышленного здания, так и на открытых эстакадах (этажерках), должны удовлетворяться следующие основные требования к объемно-планировочному решению:
расстояния между осями колонн в плане должны иметь модуль 3 x 3 м. Размеры между перекрытиями по высоте должны быть кратными модулю 1,2 м;
компоновка функциональных блоков, а также зданий и этажерок для обеспечения удобства монтажных работ должна решаться на основе единого компоновочного элемента с размером в плане 12 x 3 м (12 м - пролет, 3 м - шаг), в котором должны быть предусмотрены и взаимоувязаны места размещения оборудования, коммуникаций, проходов, площадок для обслуживания оборудования и каналов подключения блока к основным коммуникациям;
расположение несущих элементов зданий или этажерок должно обеспечивать возможность монтажа и демонтажа оборудования в процессе строительства при эксплуатации как минимум с двух наружных сторон. При этом должны быть созданы условия для совмещенного монтажа оборудования и несущих элементов зданий и этажерок;
в качестве несущих элементов этажерок применяются П-образные железобетонные рамы. При осевом расположении оборудования на верхней плите и при соблюдении требований главы СНиП II-19-79 к ограничению эксцентрицитета приложения статической нагрузки допускается применение Т-образных рам с одним рядом колонн по оси фундамента. При этом момент результирующей статической нагрузки от оборудования, обусловленный возможным эксцентрицитетом ее приложения относительно оси стойки, не должен вызывать растягивающих напряжений в ее сечениях.
4.13. Соединения железобетонной опорной конструкции с ригелями типовых каркасов зданий или этажерок при статической нагрузке, а также при нагрузке малой и средней динамичности должны быть аналогичными существующим решениям соединений типовых плит перекрытий с ригелями многоэтажных промышленных зданий соответствующих типовых серий. Допускается применение неомоноличиваемых стыков ригеля с колоннами, а в случае отсутствия ригелей - опорных конструкций с колоннами фундаментов. Примерные решения неомоноличиваемых стыков приведены на
рис. 8 и
9 Прил. 3 настоящих Рекомендаций.
4.14. В случае применения оборудования с нагрузками большой и очень большой динамичности соединение сборной железобетонной опорной конструкции с несущими элементами этажерки должно быть сборно-монолитным в соответствии с рекомендациями Руководства
[10]. Для обеспечения прочности и жесткости стыкового соединения элементы этажерки должны иметь арматурные выпуски, длину которых следует принимать согласно требованиям главы
СНиП II-21-75.
| | ИС МЕГАНОРМ: примечание. Взамен СН 393-69 Постановлением Госстроя СССР от 04.09.1978 N 175 с 1 июля 1979 года введены в действие СН 393-78. | |
4.15. В случае сборно-монолитных стыков сварка арматурных выпусков должна осуществляться с применением желобчатых накладок многослойными швами или ванным способом в соответствии с требованиями Указаний СН 393-69
[19].
4.16. При необходимости дополнительного армирования сборно-монолитного стыка должны применяться сварные арматурные сетки в соответствии с рекомендациями Руководства
[10].
5. ОСНОВНЫЕ ПОЛОЖЕНИИ ПО РАСЧЕТУ
ЖЕЛЕЗОБЕТОННЫХ ОПОРНЫХ КОНСТРУКЦИЙ
5.1. Расчет железобетонных опорных конструкций производится на действие нагрузок, возникающих как при эксплуатации блока, так и при его транспортировании и монтаже:
на действие эксплуатационных нагрузок статического или динамического характера опорные конструкции следует рассчитывать так же, как элементы фундаментов соответствующего типа;
в стадии транспортирования и монтажа должен производиться статический расчет основных сечений опорных конструкций на нагрузки от веса оборудования блока и собственного веса опорной конструкции с учетом коэффициента динамичности в соответствии с требованиями Инструкции ВСН 42-74
[1]. Расчетом должны быть проверены наиболее невыгодные схемы загружения, включая перемещение блока на катковых опорах, при котором возникают изгибающие моменты обратного (по отношению к транспортированию за строповочные устройства) знака.
5.2. Основные параметры узлов крепления оборудования к железобетонным опорным конструкциям (количество, диаметр, глубина заделки анкерных устройств, а также их расстояние от края опорной конструкции) следует рассчитывать по несущей способности заделки анкера в бетоне.
Методика расчета примерных конструктивных решений узлов крепления оборудования к опорным конструкциям приведена в Прил. 1 настоящих Рекомендаций.
| | ИС МЕГАНОРМ: примечание. Взамен СН 471-75 Постановлением Госстроя СССР от 29.12.1985 N 263 с 1 января 1987 года введены в действие СНиП 2.09.03-85. | |
5.3. Расчет узлов крепления опорных конструкций к фундаментам или полам зданий должен производиться в соответствии с указаниями Инструкции СН 471-75
[6].
5.4. При установке блока оборудования со статическими нагрузками на отметке +/- 0.00 расчет фундамента должен производиться в соответствии с требованиями глав СНиП II-А.10-71
[13],
СНиП II-15-74 [14],
СНиП II-21-75 и
СНиП II-17-77, а при установке на несущие конструкции типа этажерок - в соответствии с общепринятыми методами расчета несущих конструкций многоэтажных промышленных зданий с учетом требований главы
СНиП II-21-75.
| | ИС МЕГАНОРМ: примечание. Взамен СНиП II-19-79 Постановлением Госстроя СССР от 16.10.1987 N 242 с 1 июля 1988 года введен в действие СНиП 2.02.05-87. | |
5.5. При установке блока оборудования с динамическими нагрузками на отметке +/- 0.00, а также на индивидуальную этажерку расчет амплитуд колебаний фундамента, в который входит составным элементом опорная конструкция, должен производиться в соответствии с требованиями главы СНиП II-19-79.
5.6. В опорных конструкциях, являющихся верхними обвязочными плитами рамных фундаментов, не допускается образование трещин, и их расчет по предельным состояниям 2-й группы должен производиться по 1-й категории трещиностойкости. В несущих рамных элементах этажерок допускается ограниченное по ширине кратковременное и длительное раскрытие трещин, и расчет их производится по 3-й категории трещиностойкости.
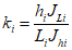
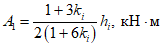
5.7. При расчете фундаментов и этажерок рамного типа на колебания коэффициенты жесткости одноэтажных П-образных поперечных рам с жесткими узлами (Si, кН/м) в случае отсутствия трещин в стойках следует определять по формуле

; (3)
для Т-образных рам

, (4)
где

- модуль упругости материала рам верхнего строения, кН/м
2;
Jhi и JLi - моменты инерции площади поперечных сечений соответственно колонны и ригеля рамы, м4;

;
hi, Li - соответственно расчетная высота колонн и расчетный пролет ригеля i-й поперечной рамы, м.
(Допускается принимать расчетную высоту колонн hi равной расстоянию от верхней грани нижней плиты до оси ригеля, проходящей через центр тяжести площади его сечения, а расчетный пролет ригеля равным 0,9 расстояния между осями колонн.)
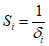
5.8. В случае наличия участков с трещинами на стойках поперечных П-образных рам коэффициенты жесткости определяют по формуле

; (5)
где

; (7)

, (8)
здесь M1 и M2 - ординаты эпюры моментов от статической составляющей нагрузки от оборудования соответственно в верхней и нижней точках стойки поперечной рамы, кН·м;
M
т - момент трещинообразования для сечения стоек рам, кН·м (определяется по
СНиП II-21-75);
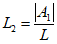
L = |A| + |A1|, кН·м; (9)

; (10)

; (11)

; (12)

; (13)
B - жесткость приведенного сечения на участках без трещин, кН/м2;
B1 и B2 - жесткости сечений стойки на участках с трещинами, кН/м2.
Значения B, B
1 и B
2 определяются по соответствующим формулам
СНиП II-21-75.
5.9. При установке блока оборудования с динамическими нагрузками на несущие элементы каркаса здания должен производиться поверочный расчет амплитуд колебаний последнего в соответствии с Инструкцией
[4]. В случае необходимости устройства виброизоляции ее расчет производят согласно Руководству
[11].
5.10. При динамическом характере нагрузки основные сечения опорной конструкции и элементов этажерки следует рассчитывать с учетом выносливости материалов в соответствии с требованиями главы
СНиП II-21-75.
6. МАТЕРИАЛЫ ДЛЯ ЖЕЛЕЗОБЕТОННЫХ ОПОРНЫХ КОНСТРУКЦИЙ.
ИЗГОТОВЛЕНИЕ И МОНТАЖ КОНСТРУКЦИЙ
6.1. Для изготовления опорных конструкций, работающих в обычных условиях, должны применяться высокопрочные бетоны марки М400, для изготовления фундаментов и несущих конструкций этажерок - обычно применяемые марки бетона, но не ниже М200.
6.2. Конструкции, подвергающиеся в процессе эксплуатации постоянному воздействию агрессивных сред, а также повышенных (t > 200 °C) и отрицательных температур (t <= -40 °C), должны изготавливаться в соответствии с указаниями глав
СНиП II-21-75,
СНиП II-28-73* [18], а также Инструкции СН 482-76
[5].
6.3. Для элементов индивидуальных (нетиповых) этажерок должен применяться тяжелый бетон или бетон на пористых заполнителях с проектной маркой по прочности на сжатие не ниже М300.
6.4. Для армирования элементов индивидуальных (нетиповых) этажерок при отсутствии предварительного напряжения следует применять в качестве стержней рабочей арматуры горячекатаную арматурную сталь класса А-III, для поперечной конструктивной и монтажной арматуры - горячекатаную арматурную сталь классов А-I и А-II. При наличии предварительного напряжения в качестве напрягаемой арматуры необходимо применять термически упрочненную арматурную сталь классов Ат-V и Ат-VI либо высокопрочную арматурную проволоку классов В-II и Вр-II.
6.5. При устройстве сборно-монолитных стыков для заделки должен применяться бетон на мелком заполнителе с проектной маркой не ниже М250.
6.6. Для заделки стыков в случае, если толщина швов превышает 1/5 наименьшего размера сечения стыкуемых элементов или превышает 100 мм, рекомендуется применять бетон, проектная марка которого должна быть не ниже, чем у стыкуемых элементов. При меньшей толщине шва прочность бетона стыка может быть на 1 ступень ниже, чем у стыкуемых элементов.
6.7. Для дополнительного армирования сборно-монолитных стыков должны использоваться стандартные сварные сетки из арматурной проволоки класса В-I и Вр-I.
6.8. Для обеспечения требуемой точности железобетонных опорных конструкций в местах опирания оборудования должны применяться следующие технологические приемы:
изготавливать опорные конструкции весового применения целиком, а контактирующие с оборудованием конструкции при габаритах в плане более 2 x 3 м - в литых (чугунных, железобетонных или пластмассовых) неразъемных опалубках, образующая поверхность которых должна иметь точность, на класс превышающую требуемую точность формуемого изделия по установочным поверхностям под оборудование;
применять в процессе монтажа малосерийного оборудования на опорной конструкции специальные компенсирующие устройства (металлические подкладки, регулировочные винты и т.д.) с последующим их омоноличиванием.
6.9. При транспортировании и монтаже блока оборудования с применением железобетонных опорных конструкций должны использоваться специальные траверсы. Схемы строповки должны быть указаны в соответствующей паспортной документации на блок оборудования. При складировании необходимо использовать деревянные прокладки, устанавливаемые под местами строповки (примерные схемы приведены в
Прил. 6 настоящих Рекомендаций).
6.10. Для выведения блока в проектное положение на опорной конструкции должны быть нанесены риски, определяющие ее главные оси, а в случае изготовления в матричных формах, кроме того, должны быть указаны места установки уровня.
6.11. При установке железобетонной опорной конструкции на полы промздания или фундаменты для обеспечения опирания по всей контактной поверхности необходимо производить подливку цементно-песчаным раствором или мелкозернистым бетоном.
ПРИМЕРНЫЕ КОНСТРУКТИВНЫЕ РЕШЕНИЯ И МЕТОДИКА РАСЧЕТА
УЗЛОВ КРЕПЛЕНИЯ ОБОРУДОВАНИЯ К ОПОРНЫМ КОНСТРУКЦИЯМ
На рис. 3 представлены два варианта конструктивного решения крепления оборудования к опорным конструкциям. Оба варианта крепления могут быть использованы при действии статических и динамических нагрузок. Выбор варианта зависит от характеристик жесткости крепления и их технологичности при монтаже данного типа оборудования.
Рис. 3. Конструктивные решения узлов крепления
оборудования к опорным конструкциям
а - вариант крепления А; б - то же, Б
В соответствии с вариантом крепления А (см.
рис. 3, а) шпильку вворачивают в установленную в плите металлическую закладную деталь с внутренним резьбовым гнездом, которая изготавливается из арматурной стали периодического профиля класса А-II. Диаметр закладной детали в 2 - 2,5 раза, а длина в 5 - 6 раз превышает диаметр крепежного болта d. Присоединительная торцевая поверхность закладной детали находится в одной плоскости с поверхностью плиты.
При варианте крепления Б (см.
рис. 3, б) крепежный болт вводят снизу (головкой вниз) в отверстие в плите таким образом, что резьбовая часть болта выступает над поверхностью плиты. Элементы агрегата "навешиваются" на выступающий болт, после чего они фиксируются наворачиваемой на болт гайкой.
Для крепления кожухов, электроразводки и другого вспомогательного оборудования агрегатов допускается крепление их к плите по варианту Б с помощью стандартных болтов
(ГОСТ 7798-70) требуемых диаметров с заделанной в бетон головкой на глубину 3 - 5d и с выступающей над поверхностью резьбовой частью.
Расчет несущей способности узлов крепления оборудования к железобетонным опорным конструкциям по вариантам А и Б производится по формуле
P = 0,0025·Kкр·Rр·h2, (14)
где K
кр - безразмерный коэффициент, учитывающий расстояние от оси анкера до края опорной конструкции и определяемый по
табл. 1 или по формуле

, (15)
здесь

- определяется из соотношения

;
b - расстояние от края конструкции, м;
R
р - расчетное сопротивление растяжению бетона опорной конструкции по
СНиП II-21-75, МПа;
h - расчетная глубина заделки анкера крепления в бетоне (для варианта А - высота отрезка арматуры периодического профиля, для варианта Б - расстояние от верхней грани головки болта до поверхности бетона), м.
Таблица 1
Значение коэффициента K
кр
Глубина заделки h | Значения коэффициента Kкр при b, равном |
4d | 6d | 8d | 10d |
3d | 0,93 | 0,99 | 0,997 | 1 |
4d | 0,87 | 0,96 | 0,99 | 1 |
5d | 0,79 | 0,91 | 0,93 | 0,99 |
7d | 0,75 | 0,85 | 0,9 | 0,94 |
9d | 0,69 | 0,77 | 0,84 | 0,89 |
ПРИМЕРНЫЕ КОНСТРУКТИВНЫЕ СХЕМЫ УСТАНОВКИ
ОПОРНЫХ КОНСТРУКЦИЙ НА ЭТАЖЕРКИ
В настоящем Приложении представлены следующие конструктивные схемы установки опорных конструкций на этажерки:
двухконсольная схема с двумя рядами колонн с использованием нетиповых железобетонных конструкций двухконсольных ригелей, колонн и фундаментов (рис. 4), разработанная ЦНИИПромзданий Госстроя СССР. В поперечном направлении этажерки представляют собой рамные конструкции со спаренными ригелями. Консольные ригели состоят из двух элементов, которые охватывают колонны и опираются на их консоли. Монтаж и крепление блоков осуществляются непосредственно на консоли. Схема рассчитана на блоки оборудования со статическими нагрузками, а также с нагрузками малой динамичности;
а)
б)
Рис. 4. Двухконсольная схема рамного
фундамента с двумя рядами колонн
а - при длине консоли 6 м; б - то же, 4,5 м
схема из металлических поперечных рам с гибкими консольными элементами, используемыми в качестве виброизоляторов (рис. 5). Эта схема разработана Харьковским отделением института "Теплоэлектропроект" Минэнерго СССР. Установка опорных конструкций на эти элементы выполняется шарнирно-неподвижной. Нижняя часть фундамента - монолитная железобетонная плита, к которой жестко крепятся металлические стойки. Схема рассчитана на блоки оборудования с нагрузками большой и очень большой динамичности;
Рис. 5. Схема рамного фундамента из металлических
поперечных рам с гибкими консольными элементами
1 - агрегат; 2 - опорная конструкция;
3 - два швеллера N 20; 4 - двутавр N 40; 5 - нижняя
бетонная плита; 6 - амортизирующие консоли
схема, основанная на одновременном использовании в качестве свайного основания и колонн железобетонных свай-оболочек, заглубленных в грунт на часть их высоты (рис. 6). На ригели, опирающиеся на сваи, устанавливается опорная конструкция. В уровне нулевой отметки предусматривается монолитная железобетонная плита. Эта схема разработана ГПИ "Фундаментпроект" Минмонтажспецстроя СССР. Она предусмотрена к применению в случае необходимости использования по гидрогеологическим условиям свайного основания и рассчитана на блоки оборудования со статическими нагрузками, а также с нагрузками малой и средней динамичности;
Рис. 6. Схема рамного фундамента с использованием
железобетонных свай-оболочек
1 - опорная конструкция; 2 - ригель сечением 400 x 400 мм;
3 - свая-оболочка диаметром 400 - 500 мм;
4 - усиленный железобетонный пол
схема, основанная на применении Т-образных рам, для стоек которых используются типовые центрифугированные железобетонные колонны повышенной несущей способности. На двухконсольные железобетонные ригели, опирающиеся на колонны, устанавливается опорная конструкция. Под колонны устраивают фундаменты стаканного типа (рис. 7). Эта схема разработана НИИЖБ. Схема рассчитана на блоки оборудования со статическими нагрузками, а также с нагрузками малой и средней динамичности.
Рис. 7. Схема рамного фундамента с одним
рядом колонн по оси фундамента
1 - опорная конструкция; 2 - ригель;
3 - оголовник колонны; 4 - колонна; 5 - нижняя плита
ПРИМЕРНЫЕ РЕШЕНИЯ НЕОМОНОЛИЧИВАЕМЫХ УЗЛОВ
СОПРЯЖЕНИЯ ЭЛЕМЕНТОВ ФУНДАМЕНТОВ
Рис. 8. Стык сборных элементов этажерок при ригелях-насадках
1 - колонна; 2 - стык колонн; 3 - ригель-насадка;
4 - сквозное трапецеидальное отверстие в ригеле;
5 - верхний подригельный оголовок колонны
Рис. 9. Стык верхней плиты с колоннами этажерки
с применением железобетонных капителей
1 - верхняя плита; 2 - колонна; 3 - оголовок колонны; 4 -
капитель; 5 - сквозное трапецеидальное отверстие в капители
ПРИМЕРЫ ДИНАМИЧЕСКИХ РАСЧЕТОВ ПЛИТНЫХ ФУНДАМЕНТОВ
ПОД БЛОКИ ОБОРУДОВАНИЯ ХОЛОДИЛЬНОЙ СТАНЦИИ
В состав холодильной станции входит три типа блоков оборудования (рис. 10).
Рис. 10. Схема размещения блоков холодильной станции
Блок N 1 состоит из компрессора ФУ-175/2 и фреонного ресивера РФ-0,5, установленных на раме Р-2, а также испарительно-конденсирующего агрегата ИАК-300, установленного на раме Р-1.
Блок N 2 состоит из компрессорно-конденсаторного агрегата АК-ФУУ-801 и испарительно-регулирующего агрегата АИР-2008, установленных на раме.
Блок N 3 состоит из расположенных на раме насосов 3к-6, 4к-12, 3к-9а.
Для расчетов принята композитная конструкция фундаментов, состоящая из железобетонной опорной конструкции и из части подстилающего слоя пола холодильной станции под этой конструкцией.
1. Динамический расчет фундамента блока N 1
Заводские данные компрессора ФУ-175/2
1. | Число оборотов вала компрессора | nоб = 960 об/мин. |
2. | Горизонтальная составляющая сил инерции | Pг = 4,32 кН. |
3. | Вес компрессора с электродвигателем и деталями привода | Q1 = 31 кН. |
4. | Расстояние от чистого пола до оси вала | h = 0,7 м. |
5. | Количество цилиндров | 4. |
6. | Расположение цилиндров | У-образное (90°). |
7. | Угол заклинивания | 180°. |
Исходные данные
1. Размеры и вес фундамента (опорная конструкция + пол, очерченный контуром опорной конструкции):
3,85 x 5,6 x 0,24 м; Q4 = 3,85·5,6·0,24·22 = 119 кН.
2. Грунт основания - мелкий песок R = 0,1 МПа.
3. Коэффициент условий работы (п. 3.15) <*> m = 1.
--------------------------------
<*> Здесь и далее даны ссылки на СНиП II-19-79.
4. Коэффициент особых грунтовых условий (п. 3.15) m1 = 1.
5. Коэффициент упругого равномерного сжатия (п. 1.41)

,
6. Коэффициент упругого равномерного сдвига (п. 1.42)
Cx = 0,7Cz = 21200 кН/м3.
7. Коэффициент упругого неравномерного сжатия (п. 1.42)

.
8. Допускаемые расчетные амплитуды (3.22)
Aд = 0,1 мм (I гармоника);
Aд = 0,05 мм (II гармоника).
9. Допустимый эксцентрицитет (п. 1.11) eд = 3%.
Расчет амплитуд вынужденных колебаний фундамента
Эксцентрицитет центра тяжести установки относительно геометрического центра тяжести фундамента можно определить по схеме, представленной на рис. 11.
Рис. 11. Схема приложения нагрузок в блоке N 1
Q1 - компрессор ФУ-175/2; Q2 - рама Р-2;
Q3 - ресивер фреонный РФ-0,5; Q4 - плита и пол;
Q5 - испарительно-конденсирующий агрегат
ИАК-300 (ц.т. - центр тяжести)
Таблица 2
Таблица вспомогательных вычислений
Qi | Вес, кН | Координаты центра тяжести, м | Статические моменты, кН·м |
x | y | z | Qixi | Qiyi | Qizi |
Q1 | 31 | -1,525 | -0,975 | -4 | -47,3 | -30,2 | 12,4 |
Q2 | 2,65 | 0,5 | -0,975 | 4 | 1,32 | 2,58 | 1,06 |
Q3 | 3 | 1,57 | -0,975 | 4 | 4,72 | -2,93 | 1,2 |
Q4 | 119 | 0 | 0 | 0 | 0 | 0 | 0 |
Q5 | 6,4 | 0,2 | 0,65 | 14 | 13,3 | 43,2 | 93 |
| 222 | - | - | - | -28 | 7,5 | 107,6 |
Координаты центра тяжести установки

.
Эксцентрицитеты центра тяжести

;

.
Среднее статическое давление на грунт основания фундамента

.
Для определения момента инерции массы установки относительно оси y определяем квадраты расстояний от центра тяжести установки до центра тяжести ее элементов

;

;

;

;

.
Таблица 3
Моменты инерции масс элементов установки
блока N 1 относительно оси y
Qi | Масса mi, кН·с2/м | Момент инерции массы элементов относительно их собственной оси  , кН·м·с 2 | Квадрат расстояния от центра тяжести установки до центра тяжести элементов ri, м2 |  , кН·м·с 2 | Момент инерции массы элементов относительно оси, проходящей через центр тяжести установки  , кН·м·с 2 |
1 | 2 | 3 | 4 | 5 | 6 |
Q1 | 3,16 | - | 1,95 | 6,2 | 6,2 |
Q2 | 0,27 | - | 0,4 | 0,1 | 0,1 |
Q3 | 0,31 | - | 2,896 | 0,898 | 0,9 |
Q4 | 12,1 | | 0,25 | 3 | 4,7 |
Q5 | 6,8 | - | 0,96 | 6,5 | 6,5 |
| | | |
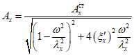
Определяем амплитуду горизонтально-вращательных колебаний верхней грани фундамента (прил. 1 СНиП II-19-79):

,
где Kx = CxF = 21200·21,6 = 4,57·105 кН/м;
Kz = CzF = 30200·21,6 = 6,52·105 кН/м;

;
F = 3,85·5,6 = 21,6 м
2;

;
h1 = 0,496 - 0,12 = 0,376 м; h2 = 0,496 + 0,12 = 0,616 м;

;
M = 4,32(1,4 - 0,48) = 3,96 кН·м;

;

;

;

;

;

;

;

;

;

;

;

;

;

;

;
| | ИС МЕГАНОРМ: примечание. Формула дана в соответствии с официальным текстом документа. | |

.
Итак, Aг = 0,008 мм < Aд = 0,1 мм, т.е. определенная величина амплитуды находится в пределах нормируемого значения для первой гармоники возмущающей силы.
Для расчета амплитуды горизонтально-вращательных колебаний верхней грани фундамента для второй гармоники возмущающей силы принимаем частоту вынужденных колебаний, равной

(п. 3.17).

;

;

;
S4 = 1 + 1,48 = 2,48;

;

.

.

.
Итак, Aг = 0,003 мм < Aд = 0,05 мм, т.е. и для второй гармоники возмущающей силы определенная величина амплитуды находится в пределах нормируемого значения.
Таким образом, рассчитанная конструкция фундамента блока N 1 удовлетворяет требованиям по ограничению амплитуд колебаний.
2. Динамический расчет фундамента блока N 2
Расчеты амплитуд колебаний фундаментов блоков 1 и 2 аналогичны.
3. Динамический расчет фундамента блока N 3
Исходные данные
1. | Количество входящих в блок машин с вращающимися частями | 7 насосов. |
2. | Рабочее число оборотов | |
3. | Суммарный вес насосов | 17,8 кН. |
4. | Вес металлической рамы | 4,07 кН. |
5. | Опорная конструкция + пол, очерченный контуром опорной конструкции (6,4 x 2,5 x 0,24 м) | Q8 = 92,2 кН. |
6. | Грунт основания - мелкий песок | R = 0,1 МПа. |
7. | Коэффициент условия работы | |
8. | Коэффициент особых грунтовых условий | m1 = 1 (п. 3.15). |
9. | Коэффициент упругого равномерного сжатия (см. пример расчета фундамента блока N 1) | Cz = 30200 кН/м3 (п. 1.41). |
10. | Коэффициент упругого равномерного сдвига | Cx = 0,7Cz = 21200 кН/м3 (п. 1.42). |
11. | Коэффициент упругого неравномерного сжатия |  . |
--------------------------------
| | ИС МЕГАНОРМ: примечание. Взамен СНиП II-19-79 Постановлением Госстроя СССР от 16.10.1987 N 242 с 1 июля 1988 года введен в действие СНиП 2.02.05-87. | |
<*> Согласно указаниям п. 2.20 главы СНиП II-19-79 для фундаментов машин с частотой вращения частей более 1000 об/мин расчет колебаний необязателен. Данный расчет приводится в качестве примера, который может быть использован при расчетах фундаментов блоков машин с частотой вращения менее или равной 1000 об/мин.
<**> Здесь и далее даны ссылки на главу СНиП II-19-79.
12. Допускаемые расчетные амплитуды при nоб = 1000 об/мин (п. 2.26)
Aд = 0,1 мм.
13. Допустимый эксцентрицитет (п. 1.11) eд = 3%.
14. Вес вращающихся частей, составляющий 50% от веса насоса, равен

.
Расчет амплитуд вынужденных колебаний фундамента
Эксцентрицитет центра тяжести установки относительно геометрического центра тяжести фундамента пола можно определить по схеме, представленной на рис. 12.
Рис. 12. Схема приложения нагрузок в блоке N 3
Q1, Q2 - насосы 3к-6; Q3, Q4 и Q5 - насосы 4к-12;
Q6, Q7 - насосы 3к-9а; Q8 - плита и опорная конструкция
Таблица 4
Таблица вспомогательных вычислений
Qi | Вес, кН | Координаты центра тяжести, м | Статические моменты сил, кН·м |
x | y | z | Qixi | Qiyi | Qizi |
Q1 | 3,1 | -2,958 | 0,465 | 0,565 | -9,16 | 1,44 | 1,75 |
Q2 | 3,1 | -2,223 | 0,465 | 0,565 | -6,9 | 1,44 | 3,75 |
Q3 | 3,1 | -0,752 | 0,465 | 0,565 | -2,34 | 1,44 | 1,75 |
Q4 | 3,1 | 0,355 | 0,465 | 0,565 | 1,1 | 1,44 | 1,75 |
Q5 | 3,1 | 0,85 | 0,465 | 0,565 | 2,63 | 1,44 | 1,75 |
Q6 | 1,15 | 2,18 | 0,14 | 0,48 | 2,51 | 0,16 | 0,55 |
Q7 | 1,15 | 2,725 | 0,14 | 0,48 | 3,13 | 0,16 | 0,55 |
Q8 | 92,2 | 0 | 0 | 0 | 0 | 0 | 0 |
| 110 | - | - | - | -9,02 | 7,52 | 9,85 |
Координаты центра тяжести установки

;

.
Эксцентрицитеты центра тяжести установки

;

.
Среднее статическое давление на грунт основания фундамента

.
Квадраты расстояний от центра тяжести элементов блока до общего центра тяжести установки

;

;

;

;

;

;

;

.
Таблица 5
Моменты инерции масс элементов
установки блока N 3 относительно оси y
Qi | Масса mi, кН·с2/м | Момент инерции массы элементов относительно их собственной оси  , кН·м·с 2 | Квадрат расстояния от центра тяжести установки до центра тяжести элементов  , м 2 |  , кН·м·с 2 | Момент инерции массы элементов относительно оси, проходящей через центр тяжести установки  , кН·м·с 2 |
Q1 | 0,316 | - | 8,4 | 2,65 | 2,65 |
Q2 | 0,316 | - | 4,76 | 1,5 | 1,5 |
Q3 | 0,316 | - | 0,59 | 0,19 | 0,19 |
Q4 | 0,316 | - | 0,37 | 0,12 | 0,12 |
Q5 | 0,316 | - | 1,05 | 0,33 | 0,33 |
Q6 | 0,18 | - | 5,13 | 0,92 | 0,92 |
Q7 | 0,18 | - | 7,87 | 1,42 | 1,42 |
Q8 | 9,2 | | 0,075 | 0,7 | 3,1 |
| | | |

;

;

.
Так как число оборотов насосов превышает 750 об/мин, то нормативная центробежная сила инерции принимается равной 0,2 веса вращающихся частей (п. 2.15). Тогда для одного насоса
Pг = 0,2·1,55 = 0,31 кН.
| | ИС МЕГАНОРМ: примечание. Взамен СНиП II-19-79 Постановлением Госстроя СССР от 16.10.1987 N 242 с 1 июля 1988 года введен в действие СНиП 2.02.05-87. | |
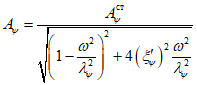
Амплитуду горизонтально-вращательных колебаний верхней грани фундамента от возмущающей силы одного насоса Aг определяем по прил. 1 главы СНиП II-19-79 аналогично расчету амплитуды для фундамента блока N 1.
Kx = Cx·F = 21200·16 = 3,4·105 кН/м;
Kz = Cz·F = 30200·16 = 4,8·105 кН/м;

;
F = 6,4·2,5 = 16 м2;

;
h1 = 0,12 - 0,089 = 0,031 м;
h2 = 0,089 + 0,12 = 0,209 м;
M = 0,031·(0,565 - 0,089) = 0,015 кН·м;

;

;

;

;

;

;

;

;

;

;

;

;
S4 = 1 + 2,31 = 3,31;

;

;

.
Определяем амплитуду горизонтально-вращательных колебаний верхней грани фундамента от возмущающей нагрузки одного насоса

.
Определяем общую амплитуду горизонтально-вращательных колебаний верхней грани фундамента от возмущающих нагрузок семи насосов, входящих в блок (п. 1.46)

;
Aг = 0,00059 мм < Aд = 0,1 мм.
Таким образом, величина амплитуды находится в пределах нормируемого значения и, следовательно, рассматриваемая конструкция фундамента блока N 3 удовлетворяет требованиям по ограничению амплитуды колебаний.
ПРИМЕР ДИНАМИЧЕСКОГО РАСЧЕТА ФУНДАМЕНТА РАМНОГО
ТИПА ПОД БЛОК АППАРАТА ВОЗДУШНОГО ОХЛАЖДЕНИЯ
Фундамент (рис. 13) представляет собой пространственную конструкцию, состоящую из трех поперечных П-образных железобетонных рам, на которые укладывают опорные конструкции для агрегатированного оборудования (толщина опорной конструкции 0,25 м). Колонны рам заделаны в железобетонную плиту толщиной 1 м.
Рис. 13. Конструкция фундамента-этажерки
1 - ригель; 2 - аппарат воздушного охлаждения;
3 - опорная конструкция; 4 - пакеты трубопроводов;
5 - колонны; 6 - нижняя плита
Необходимые для динамического расчета фундамента исходные данные:
Высота поперечной рамы H, м ........................................ 8
Пролет поперечной рамы L, м ........................................ 6
Расчетная высота колонны h, м ...................................... 7,6
Расчетный пролет ригеля поперечной рамы l, м ....................... 5,4
Площадь поперечного сечения ригеля

,

.......................... 0,64
Момент инерции поперечного сечения ригеля

,

.................. 0,0384
Площадь поперечного сечения стойки

,

.......................... 0,56
Момент инерции поперечного сечения стойки

,

.................. 0,03
Грунт основания - аллювиальные суглинки с коэффициентом пористости, равный 0,55, в пределах нормативных значений их консистенции 0,25 - 0,5.
Модуль деформации E = 20,3 МПа.
| | ИС МЕГАНОРМ: примечание. Текст абзаца дан в соответствии с официальным текстом документа. | |
Модуль деформации E = 20,3 МПа.
Расчетное значение модуля упругости для материала верхнего строения фундамента (бетон марки М300) E
б = 29·10
3 МПа
(СНиП II-21-75).
Стойки поперечных рам армированы рабочей арматурой класса А-III, процент армирования

.
В состав блока технологического оборудования, устанавливаемого на этажерке, входят:
1. Пакеты трубопроводов
Трубопроводы опираются на железобетонные конструкции, расположенные по длине этажерки через каждые 6 м и крепящиеся к ригелям рамы. Погонная нагрузка от труб составляет 20 кН/м длины.
2. Аппарат воздушного охлаждения - воздушный конденсатор зигзагообразного типа шестисекционный, состоящий из вентилятора и электродвигателя.
Технические характеристики аппарата
Вентилятор-колесо типа ЦАГИ-УК-2М ........................

.
Мощность ................................................. N = 100 кВт.
Число оборотов ...........................................

.
Максимальный вес аппарата ................................

.
Вес электродвигателя .....................................

.
Вес колеса вентилятора ...................................

.
Центробежная сила от неуравновешенных масс
вентилятора, действующая в горизонтальной плоскости ......

.
На рис. 14 изображена геометрическая схема фундамента. Нагрузки от вращающихся частей действуют на ригели рам посередине их пролета.
Рис. 14. Геометрическая схема фундамента
Расчет амплитуд горизонтально-крутильных колебаний
| | ИС МЕГАНОРМ: примечание. Взамен СНиП II-19-79 Постановлением Госстроя СССР от 16.10.1987 N 242 с 1 июля 1988 года введен в действие СНиП 2.02.05-87. | |
Расчет производится в соответствии с требованиями прил. 1 главы СНиП II-19-79 на действие расчетных динамических нагрузок Pг
| | ИС МЕГАНОРМ: примечание. Формула дана в соответствии с официальным текстом документа. | |

;

(п. 2.14).
--------------------------------
<*> Здесь и далее даны ссылки на главу СНиП II-19-79.
Амплитуду горизонтально-крутильных колебаний верхней плиты рамного фундамента определяем по формуле

,
где lмакс = 6 м.

;

.
Угловая частота вращения машины

;
F = 7·13 = 91 м2;

;
J = 162 м4.
Упругие характеристики грунта

;
Cx = 0,7Cz = 0,7·32250 = 22575 кН/м3;

;

(пп. 1.41, 1.42);
Kx = CxF = 1219050 кН/м;

;

(пп. 1.41, 1.42, 1.43).
| | ИС МЕГАНОРМ: примечание. Текст абзаца дан в соответствии с официальным текстом документа. | |
Расчетное значение момента трещинообразования рамы Mт = 330 кН·м. На рис. 15 приведена эпюра моментов для поперечной рамы от действия статической нагрузки, откуда видно, что на участках стоек и значения M > Mт, то есть эти участки являются участками с трещинами, моменты в верхних и нижних точках стоек равны M1 = 1650 кН·м, M2 = 825 кН·м.
Рис. 15. Эпюра моментов для поперечной рамы
от действия статической нагрузки

;

;

;

;

;
L = |A| + |A1| = 1,744 + 2,055 = 3,8 кН·м;

;

.
B = 73,975·104 кН·м2;
B1 = 20,8·104 кН·м2;
B2 = 30,34·104 кН·м2.
Коэффициент жесткости поперечной рамы

.

;

;

;

;

;

.
Расчетное давление на основание
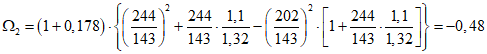
m = 0,8; m1 = 1 (п. 2.11);
Pср <= mm1R = 0,8·1·0,15 = 0,12 МПа.

;

;

(пп. 1.45, 1.46);

;

;

;

;

;

;

;

;

.
Искомая амплитуда горизонтально-крутильных колебаний верхней плиты рамного фундамента
Aг = 0,00008569 + 6·0,00001992 = 0,0001949 м ~= 0,195 мм.
Допускаемая амплитуда колебаний Aд = 0,2 мм, т.е. Aг < Aд.
Расчет амплитуд вертикальных колебаний для фундаментов машин с вращающимися частями производить не обязательно (п. 2.21).
ПРИМЕРНЫЕ СХЕМЫ ТРАНСПОРТИРОВАНИЯ И СКЛАДИРОВАНИЯ БЛОКОВ
ОБОРУДОВАНИЯ С ЖЕЛЕЗОБЕТОННЫМИ ОПОРНЫМИ КОНСТРУКЦИЯМИ
Рис. 16. Схемы рекомендуемых транспортировочных устройств
и транспортирования грузоподъемными механизмами
1 - траверса; 2 - стропы; 3 - транспортировочное отверстие;
4 - транспортировочный стержень; 5 - опорная конструкция;
6 - рым-болт; 7 - закладная деталь из арматуры
периодического профиля; 8 - транспортировочные петли
Рис. 17. Схема установки опорных конструкций
при складировании и транспортировании
1 - опорная конструкция; 2 - деревянная
прокладка; 3 - транспортировочное устройство
(отверстие, петли, рым-болты и т.п.)
ИНСТРУКТИВНО-НОРМАТИВНОЙ ЛИТЕРАТУРЫ,
НА КОТОРУЮ ДАНЫ ССЫЛКИ В НАСТОЯЩИХ РЕКОМЕНДАЦИЯХ
1. Временная инструкция по проектированию, изготовлению и эксплуатации монтажных приспособлений (ВСН 42-74/ММСС СССР). М., 1974.
2.
ГОСТ 24379.0-80. Фундаментные болты. Общие технические условия. М., 1981.
4.
Инструкция по расчету несущих конструкций промышленных зданий и сооружений на динамические нагрузки. М., 1970.
5. Инструкция по проектированию бетонных и железобетонных конструкций, предназначенных для работы в условиях воздействия повышенных и высоких температур (СН 482-76). М., 1977.
| | ИС МЕГАНОРМ: примечание. Взамен СН 471-75 Постановлением Госстроя СССР от 29.12.1985 N 263 с 1 января 1987 года введены в действие СНиП 2.09.03-85. | |
6. Инструкция по креплению технологического оборудования фундаментными болтами (СН 471-75). М., 1976.
7. Рекомендации по разработке проектов для объектов промышленного строительства в блочном исполнении. М., 1977.
8.
Руководство по проектированию бетонных и железобетонных конструкций из тяжелого бетона (без предварительного напряжения). М., 1978.
9.
Руководство по проектированию предварительно-напряженных железобетонных конструкций из тяжелого бетона. М., 1978.
10.
Руководство по проектированию железобетонных сборно-монолитных конструкций. М., 1977.
11. Руководство по проектированию виброизоляции машин и оборудования. М., 1972.
13. СНиП II-А.10-71. Строительные конструкции и основания. М., 1972.
15.
СНиП II-21-75. Бетонные и железобетонные конструкции. М., 1976.
| | ИС МЕГАНОРМ: примечание. Взамен СНиП II-19-79 Постановлением Госстроя СССР от 16.10.1987 N 242 с 1 июля 1988 года введен в действие СНиП 2.02.05-87. | |
16. СНиП II-19-79. Фундаменты машин с динамическими нагрузками. М., 1980.
18.
СНиП II-28-73*. Защита строительных конструкций от коррозии. М., 1980.
| | ИС МЕГАНОРМ: примечание. Взамен СН 393-69 Постановлением Госстроя СССР от 04.09.1978 N 175 с 1 июля 1979 года введены в действие СН 393-78. | |
19. Указания по сварке соединений арматуры и закладных деталей железобетонных конструкций (СН 393-69). М., 1970.