Главная // Актуальные документы // РуководствоСПРАВКА
Источник публикации
М.: Стройиздат, 1977
Примечание к документу
Название документа
"Руководство по проектированию предварительно-напряженных железобетонных конструкций из тяжелого бетона"
"Руководство по проектированию предварительно-напряженных железобетонных конструкций из тяжелого бетона"
ПО ПРОЕКТИРОВАНИЮ ПРЕДВАРИТЕЛЬНО-НАПРЯЖЕННЫХ
ЖЕЛЕЗОБЕТОННЫХ КОНСТРУКЦИЙ ИЗ ТЯЖЕЛОГО БЕТОНА
Рекомендовано к изданию решением секции несущих конструкций НТС ЦНИИПромзданий.
Руководство по проектированию предварительно-напряженных железобетонных конструкций из тяжелого бетона содержит положения главы
СНиП II-21-75, относящиеся к проектированию этих конструкций, упрощенные методы расчета, а также примеры расчета отдельных сечений и элементов.
Руководство предназначено для инженеров-проектировщиков, а также студентов строительных вузов.
Табл. 43, ил. 70.
Настоящее руководство содержит положения по проектированию железобетонных предварительно-напряженных конструкций из тяжелого бетона, применяемых в промышленном и гражданском строительстве.
В руководстве приведены требования главы
СНиП II-21-75 "Бетонные и железобетонные конструкции", относящиеся к проектированию указанных конструкций, и положения, детализирующие эти требования, а также дополнительные рекомендации по проектированию и приближенные способы расчета конструкций.
Положения, соответствующие требованиям главы
СНиП II-21-75, отмечены вертикальной чертой на полях руководства. В скобках указаны соответствующие номера пунктов и таблиц главы
СНиП II-21-75. При этом формулы, в которых коэффициенты при расчете элементов конструкций из тяжелого бетона имеют однозначную величину (в том числе величину, равную 1), приведены с заменой буквенных обозначений коэффициентов конкретной величиной.
Каждый раздел руководства сопровождается примерами расчета конструкций, охватывающими наиболее типичные случаи, встречающиеся в практике проектирования. Кроме того, в
приложении 2 приведен комплексный пример расчета предварительно-напряженной конструкции.
Руководство может быть использовано при проектировании как предварительно-напряженных конструкций, так и конструкций без предварительного напряжения. Однако ряд положений по расчету и конструированию, касающихся конструкций или их частей, всегда выполняемых без предварительного напряжения, в руководстве не приведен (расчет и конструирование коротких консолей, расчет на продавливание и отрыв, расчет и конструирование закладных деталей, воспринимающих внешнюю нагрузку, и т.п.). Эти материалы приведены в "
Руководстве по проектированию бетонных и железобетонных конструкций из тяжелого бетона (без предварительного напряжения)". Не приведены также некоторые материалы, связанные с проектированием монолитных конструкций, обычно выполняемых без предварительного напряжения.
В руководстве не приведены особенности проектирования статически неопределимых и сборно-монолитных конструкций, а также некоторых специальных сооружений (труб, силосов и др.), и в частности, не рассмотрены вопросы, связанные с определением усилий в этих конструкциях. Эти вопросы освещаются в специальных руководствах.
Руководство разработано ЦНИИПромзданий Госстроя СССР (инженеры Б.Ф. Васильев, И.К. Никитин, Л.Л. Лемыш, А.Г. Королькова) и НИИЖБ Госстроя СССР (д-ра техн. наук А.А. Гвоздев, С.А. Дмитриев, Г.И. Бердичевский, кандидаты техн. наук Н.М. Мулин, Е.А. Чистяков, А.С. Залесов, Ю.П. Гуща, Л.К. Руллэ, А.В. Яшин, С.А. Мадатян, Л.Н. Зайцев) при участии НИЛ ФХ ММ и ТП Главмоспромстройматериалов (кандидаты техн. наук Э.Г. Ратц и С.Ю. Цейтлин), КТБ Мосоргстройматериалов (канд. техн. наук В.С. Щукин), Днепропетровского инженерно-строительного института Минвуза УССР (канд. техн. наук В.М. Баташев), ЦНИИЭПсельстрой (кандидаты техн. наук Ю.Ф. Бирулин, Э.Г. Елагин).
ОСНОВНЫЕ БУКВЕННЫЕ ОБОЗНАЧЕНИЯ
Усилия от внешних нагрузок и воздействий
в поперечном сечении элемента
M - изгибающий момент или момент внешних сил относительно центра тяжести приведенного сечения; N - продольная сила; Q - поперечная сила; Mк - крутящий момент; |
Mкр, Mдл, Mп - изгибающие моменты соответственно от кратковременных нагрузок, от постоянных и длительных нагрузок и от полной нагрузки, включающей постоянные, длительные и кратковременные нагрузки (при расчете по прочности вводятся с коэффициентом перегрузки n > 1, а при расчете по раскрытию трещин и деформациям - с n = 1).
Характеристики предварительно напряженного элемента
N0 - усилие предварительного обжатия, определяемое по формуле (9), с учетом потерь предварительного напряжения в арматуре, соответствующих рассматриваемой стадии работы элемента; |
N01 и N02 - то же, с учетом соответственно первых и всех потерь напряжений;
 и  - предварительные напряжения соответственно в напрягаемой арматуре A и A' до обжатия бетона (при натяжении арматуры на упоры) либо в момент снижения величины предварительного напряжения в бетоне до нуля воздействием на элемент внешних фактических или условных сил, определяемые согласно указаниям пп. 1.21, 1.25 и 1.27 с учетом потерь предварительного напряжения в арматуре, соответствующих рассматриваемой стадии работы элемента; |

и

- напряжения

с учетом соответственно первых и всех потерь;
 - сжимающие напряжения в бетоне в стадии предварительного обжатия, определяемые согласно пп. 1.28 и 1.29 с учетом потерь предварительного напряжения в арматуре, соответствующих рассматриваемой стадии работы элементов; mт - коэффициент точности натяжения арматуры, определяемый согласно указаниям п. 1.24. |
Характеристики материалов
Rпр и RпрII - расчетные сопротивления бетона осевому сжатию для предельных состояний соответственно первой и второй группы; Rр и RрII - расчетные сопротивления бетона осевому растяжению для предельных состояний соответственно первой и второй группы; R0 - передаточная прочность бетона, назначенная в соответствии с указаниями п. 2.3; |

,

и

- расчетные сопротивления бетона соответственно
Rпр, RрII и
RпрII при марке бетона, равной передаточной прочности
R0;
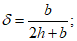
Rа - расчетное сопротивление арматуры растяжению для предельных состояний первой группы: а) продольной; б) поперечной - при расчете сечений, наклонных к продольной оси элемента, на действие изгибающего момента; Rа.х - расчетное сопротивление поперечной арматуры растяжению для предельных состояний первой группы при расчете сечений, наклонных к продольной оси элемента, на действие поперечной силы; Rа.с - расчетное сопротивление арматуры сжатию для предельных состояний первой группы; RаII - расчетное сопротивление арматуры растяжению для предельных состояний второй группы; Eб - начальный модуль упругости бетона при сжатии и растяжении; Eа - модуль упругости арматуры; n - отношение соответствующих модулей упругости арматуры Eа и бетона Eб. Характеристики положения продольной арматуры в поперечном сечении элемента A - обозначение продольной арматуры: а) при наличии сжатой и растянутой от действия внешней нагрузки зон сечения - всей арматуры (напрягаемой и ненапрягаемой), расположенной в растянутой зоне; б) при полностью сжатом от действия внешней нагрузки сечении - то же, расположенной у менее сжатой грани сечения; в) при полностью растянутом от действия внешней нагрузки сечении внецентренно растянутых элементов - расположенной у более растянутой грани сечения; A' - обозначение продольной арматуры: а) при наличии сжатой и растянутой от действия внешней нагрузки зон сечения - расположенной в сжатой зоне; б) при полностью сжатом от действия внешней нагрузки сечении - расположенной у более сжатой грани сечения; в) при полностью растянутом от действия внешней нагрузки сечении внецентренно растянутых элементов - расположенной у менее растянутой грани сечения. Геометрические характеристики b - ширина прямоугольного сечения; ширина ребра таврового и двутаврового сечений; bп и b'п - ширина полки таврового и двутаврового сечения соответственно в растянутой и сжатой зоне; h - высота прямоугольного, таврового и двутаврового сечения; hп и h'п - высота полки таврового и двутаврового сечения соответственно в растянутой и сжатой зоне; D - диаметр кольцевого или круглого сечения; |
Fн и F'н - площадь сечения напрягаемой части арматуры A и A';
Fа и F'а - площадь сечения ненапрягаемой части арматуры A и A';
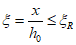
a - расстояние от равнодействующей усилий в арматуре A до ближайшей грани; a' - расстояние от равнодействующей предельных растягивающих усилий в арматуре A' до ближайшей грани; a'а и a'н - расстояние от равнодействующей усилий в арматуре соответственно площадью F'а и F'н до ближайшей грани; h0 - рабочая высота сечения, равная h - a; x - высота сжатой зоны бетона;  - относительная высота сжатой зоны бетона, равная x/h0; u - расстояние между хомутами, измеренное по длине элемента; e0 - эксцентриситет продольной силы N относительно центра тяжести приведенного сечения, равный M/N и определяемый в соответствии с указаниями п. 3.41; e0н - эксцентриситет усилия предварительного обжатия N0 относительно центра тяжести приведенного сечения, определяемый в соответствии с указаниями п. 1.26; e0с - эксцентриситет равнодействующей продольной силы N и усилия предварительного обжатия N0 относительно центра тяжести приведенного сечения; e и e' - расстояние от точки приложения продольной силы N до равнодействующей усилий соответственно в арматуре A и A'; eа и eа.н - расстояние соответственно от точки приложения продольной силы N и усилия предварительного обжатия N0 до центра тяжести площади сечения арматуры A; l - пролет элемента; l0 - расчетная длина элемента, подвергающегося действию сжимающей продольной силы; r - радиус инерции поперечного сечения элемента относительно центра тяжести сечения; d - номинальный диаметр стержней арматурной стали; Fх - площадь сечения хомутов, расположенных в одной, нормальной к продольной оси элемента плоскости, пересекающей наклонное сечение; Fо - площадь сечения отогнутых стержней, расположенных в одной наклонной к продольной оси элемента плоскости, пересекающей наклонное сечение; fх - площадь сечения одного стержня хомута; fа - площадь сечения одного стержня продольной арматуры;  - коэффициент армирования, определяемый как отношение площади сечения арматуры A к площади поперечного сечения элемента bh0 без учета сжатых и растянутых полок; F - площадь всего бетона в поперечном сечении; Fп - площадь приведенного сечения элемента, определяемая в соответствии с указаниями п. 1.28; J - момент инерции сечения бетона относительно центра тяжести сечения элемента; Jп - момент инерции приведенного сечения элемента относительно его центра тяжести, определяемый в соответствии с указаниями п. 1.28. |
1.1. Настоящее руководство распространяется на проектирование предварительно-напряженных железобетонных конструкций из тяжелого бетона, предназначенных для работы в условиях систематического воздействия температур не выше 50 °C и не ниже минус 70 °C.
Тяжелый бетон - бетон плотной структуры на цементном вяжущем и плотных заполнителях, крупнозернистый, тяжелый по объемной массе, при любых условиях твердения.
Примечания: 1. Настоящее руководство не распространяется на проектирование железобетонных конструкций гидротехнических сооружений, мостов, транспортных тоннелей, труб под насыпями, покрытий автомобильных дорог и аэродромов, а также конструкций, изготовляемых на напрягающем цементе.
2. В конструкциях, проектируемых в соответствии с настоящим руководством мелкозернистый бетон применяется только для заполнения швов в сборных конструкциях, для защиты от коррозии и обеспечения сцепления с бетоном напрягаемой арматуры, расположенной в каналах, пазах и на поверхности конструкции, а также для защиты от коррозии стальных закладных деталей.
1.2 (1.2). Проектирование железобетонных конструкций зданий и сооружений, предназначенных для работы в условиях агрессивной среды и повышенной влажности, должно вестись с учетом дополнительных требований, предъявляемых главой СНиП II-28-73 по защите строительных конструкций от коррозии. 1.3. Предварительное напряжение железобетонных конструкций применяется в целях: |
снижения расхода стали путем использования арматуры высокой прочности;
увеличения сопротивления конструкций образованию трещин в бетоне и ограничения их раскрытия;
повышения жесткости и уменьшения деформаций конструкций;
обжатия стыков элементов сборных конструкций;
повышения выносливости конструкций, работающих под воздействием многократно повторяющейся нагрузки;
уменьшения расхода бетона и снижения веса конструкций за счет применения бетона высоких марок.
1.4. Предварительное напряжение создается двумя основными способами:
натяжением арматуры на упоры формы или стенда;
натяжением арматуры на затвердевший бетон.
Натяжение арматуры на упоры производится механическим, электротермическим или электротермомеханическим способом. Натяжение арматуры на бетон производится только механическим способом.
При натяжении на упоры применяются стержневая арматура, высокопрочная проволока в виде пакетов и арматурные канаты. При натяжении на бетон применяются высокопрочная проволока в виде пучков и арматурные канаты. Кроме того, проволока и арматурные канаты небольших диаметров могут натягиваться на упоры форм или бетон путем непрерывной намотки.
1.5 (1.6). Элементы сборных предварительно-напряженных конструкций должны отвечать условиям механизированного изготовления на специализированных предприятиях. Целесообразно укрупнять элементы сборных конструкций, насколько это позволяют грузоподъемность монтажных механизмов, условия изготовления и транспортирования. 1.6 (1.3). Расчетная зимняя температура наружного воздуха принимается как средняя температура воздуха наиболее холодной пятидневки в зависимости от района строительства согласно главе СНиП по строительной климатологии и геофизике. Расчетные технологические температуры устанавливаются заданием на проектирование. Влажность воздуха окружающей среды определяется как средняя относительная влажность наружного воздуха наиболее жаркого месяца в зависимости от района строительства согласно главе СНиП по строительной климатологии и геофизике или как относительная влажность внутреннего воздуха помещений отапливаемых зданий и сооружений. 1.7 (1.10). Численные значения приведенных в настоящем руководстве расчетных характеристик бетона и арматуры, предельно допустимых величин ширины раскрытия трещин и прогибов применяются только при проектировании; для оценки качества конструкций следует руководствоваться требованиями соответствующих государственных стандартов и нормативных документов. |
ОСНОВНЫЕ РАСЧЕТНЫЕ ТРЕБОВАНИЯ
1.8
(1.11). Предварительно-напряженные железобетонные конструкции должны удовлетворять требованиям расчета по несущей способности (предельные состояния первой группы) и по пригодности к нормальной эксплуатации (предельные состояния второй группы).
а) Расчет по предельным состояниям первой группы должен обеспечивать конструкции от: хрупкого, вязкого или иного характера разрушения (расчет по прочности с учетом в необходимых случаях прогиба конструкции перед разрушением, неблагоприятного влияния агрессивной среды, попеременного замораживания и оттаивания и т.п.); усталостного разрушения (расчет на выносливость конструкций, находящихся под воздействием многократно повторяющейся нагрузки - подвижной или пульсирующей: подкрановых балок, шпал, перекрытий под некоторые неуравновешенные машины и т.п.); потери устойчивости формы конструкции (расчет на устойчивость тонкостенных конструкций и т.п.) или ее положения (расчет на опрокидывание и скольжение подпорных стен, внецентренно нагруженных высоких фундаментов; расчет на всплывание заглубленных или подземных резервуаров, насосных станций и т.п.); б) Расчет по предельным состояниям второй группы должен обеспечивать конструкции от: образования трещин, а также их чрезмерного или длительного раскрытия (если по условиям эксплуатации образование или длительное раскрытие трещин недопустимо); чрезмерных перемещений (прогибов, углов поворота, углов перекоса и колебаний). |
Примечание. Расчет на устойчивость формы конструкции и ее положения выполняется по соответствующим руководствам или литературным источникам.
1.9 (1.12). Расчет элементов по предельным состояниям должен, как правило, производиться для всех стадий: изготовления, транспортирования, возведения и эксплуатации. Расчет элементов на выносливость производится для стадии эксплуатации. Расчет по раскрытию трещин и по деформациям допускается не производить, если на основании опытной проверки или практики применения железобетонных конструкций установлено, что величина раскрытия в них трещин на всех стадиях, перечисленных в настоящем пункте, не превышает предельно допустимых величин и жесткость конструкций в стадии эксплуатации достаточна. 1.10 (1.13). Величины нагрузок и воздействий, значения коэффициентов перегрузок, коэффициентов сочетаний, а также подразделение нагрузок на постоянные и временные - длительные, кратковременные, особые - должны приниматься в соответствии с требованиями главы СНиП по нагрузкам и воздействиям. |
Нагрузки, учитываемые при расчете по предельным состояниям второй группы, должны приниматься согласно указаниям
табл. 2.
При этом к длительным нагрузкам следует относить часть полной величины кратковременных нагрузок, оговоренных в главе СНиП по нагрузкам и воздействиям, а вводимая в расчет кратковременная нагрузка принимается уменьшенной на величину, учтенную в длительной нагрузке (например, если снеговая нагрузка составляет: |
p = p0c = 100·1,4 = 140 кгс/см2, то снеговая длительная нагрузка будет равна: pдл = (100 - 70)1,4 = 42 кгс/см2, а снеговая кратковременная нагрузка - pкр = 140 - 42 = 98 кгс/см2).
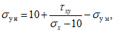
Коэффициенты сочетаний и другие коэффициенты снижения нагрузок относятся к полной величине кратковременных нагрузок. Для не защищенных от солнечной радиации конструкций, предназначенных для работы в климатическом подрайоне IVA согласно главе СНиП по строительной климатологии и геофизике, при расчете должны учитываться температурные климатические воздействия. 1.11 (1.14). При расчете элементов сборных конструкций на воздействие усилий, возникающих при их подъеме, транспортировании и монтаже, нагрузку от собственного веса элемента следует вводить в расчет с коэффициентом динамичности, равным: при транспортировании - 1,8; при подъеме и монтаже - 1,5. В этом случае коэффициент перегрузки к нагрузке от собственного веса элемента не вводится. Для указанных выше коэффициентов динамичности допускается принимать более низкие значения, если это подтверждено опытом применения конструкций, но не ниже 1,25. 1.12 (1.17). К трещиностойкости конструкций или их частей предъявляются требования соответствующих категорий в зависимости от условий, в которых работает конструкция, и от вида применяемой арматуры: а) 1-я категория - не допускается образование трещин; б) 2-я категория - допускается ограниченное по ширине кратковременное раскрытие трещин при условии обеспечения их последующего надежного закрытия (зажатия); в) 3-я категория - допускается ограниченное по ширине кратковременное и длительное раскрытие трещин. Категории требований к трещиностойкости железобетонных конструкций в зависимости от условий их работы и вида арматуры, а также величины предельно допустимой ширины раскрытия трещин для элементов, эксплуатируемых в условиях неагрессивной среды, приведены в табл. 1. Нагрузки, учитываемые при расчете железобетонных конструкций по образованию трещин, их раскрытию или закрытию, должны приниматься согласно табл. 2. Если в конструкциях или их частях, к трещиностойкости которых предъявляются требования 2-й и 3-й категорий, трещины не образуются при соответствующих нагрузках, указанных в табл. 2, их расчет по кратковременному раскрытию и по закрытию трещин (для 2-й категории) или по кратковременному и длительному раскрытию трещин (для 3-й категории) не производится. Указанные выше категории требований к трещиностойкости железобетонных конструкций относятся к нормальным и наклонным к продольной оси элемента трещинам. |
Категории требований к трещиностойкости различных зон по высоте сечения элемента устанавливаются:
а) если рассматриваются нормальные трещины - по виду и классу продольной арматуры рассматриваемой зоны;
б) если рассматриваются наклонные трещины - по виду и классу поперечной и отогнутой арматуры, а при расположении продольной арматуры в стенке двутаврового и таврового сечения - также по виду и классу этой продольной арматуры.
Во избежание раскрытия продольных трещин должны приниматься конструктивные меры (установка соответствующей поперечной арматуры) и, кроме того, величины сжимающих напряжений в бетоне в стадии предварительного обжатия должны быть ограничены (см. п. 1.29). Примечание. Под кратковременным раскрытием трещин понимается их раскрытие при действии постоянных, длительных и кратковременных нагрузок, а под длительным раскрытием - только постоянных и длительных нагрузок. 1.13 (1.18). На концевых участках предварительно-напряженных элементов с арматурой без анкеров в пределах длины зоны передачи напряжений (см. п. 2.26) не допускается образование трещин при действии постоянных, длительных и кратковременных нагрузок, вводимых в расчет с коэффициентом перегрузки n = 1. Указанное выше требование допускается не учитывать для части сечения, расположенной по его высоте от уровня центра тяжести приведенного сечения до растянутой от действия усилия предварительного обжатия грани, если в этой части сечения отсутствует напрягаемая арматура без анкеров, а длина зоны передачи напряжений не превышает 2h0 (где h0 определяется по сечению у грани опоры). При этом следует выполнять указания п. 5.49. |
| Условия работы конструкций, эксплуатируемых в неагрессивной среде | Категория требований к трещиностойкости железобетонных конструкций и предельно допустимая ширина кратковременного и длительного раскрытия трещин aт.кр и aт.дл при арматуре |
стержневой классов А-I, А-II и А-III | стержневой классов А-IV, Ат-IV, А-V, Ат-V и Атп-V; проволочной классов В-I и Вр-I | стержневой класса Ат-VI; проволочной классов В-II, Вр-II и К-7 при диаметре проволоки 4 мм и более | проволочной классов В-II и Вр-II при диаметре проволоки 3 мм, класса К-7 при диаметре проволоки 3 мм и менее |
| 1. Элементы, воспринимающие давление жидкостей, газов, а также эксплуатируемые в грунте ниже уровня грунтовых вод | а) при полностью растянутом сечении | 3-я категория; aт.кр = 0,2 мм; aт.дл = 0,1 мм | 1-я категория | 1-я категория | 1-я категория |
б) при частично сжатом сечении | 3-я категория; aт.кр = 0,3 мм; aт.дл = 0,2 мм | 3-я категория; aт.кр = 0,3 мм; aт.дл = 0,2 мм | 2-я категория; aт.кр = 0,1 мм | 1-я категория |
| 2. Элементы хранилищ сыпучих тел, непосредственно воспринимающие их давление | 3-я категория; aт.кр = 0,3 мм; aт.дл = 0,2 мм | 3-я категория; aт.кр = 0,3 мм; aт.дл = 0,2 мм | 2-я категория; aт.кр = 0,1 мм | 2-я категория aт.кр = 0,05 мм |
| 3. Прочие элементы, эксплуатируемые | а) на открытом воздухе, а также в грунте выше уровня грунтовых вод | 3-я категория; aт.кр = 0,4 мм; aт.дл = 0,3 мм | 3-я категория; aт.кр = 0,4 мм; aт.дл = 0,3 мм | 2-я категория; aт.кр = 0,15 мм | 2-я категория aт.кр = 0,05 мм |
б) в закрытом помещении | 3-я категория; aт.кр = 0,4 мм; aт.дл = 0,3 мм | 3-я категория; aт.кр = 0,4 мм; aт.дл = 0,3 мм | 3-я категория; aт.кр = 0,15 мм; aт.дл = 0,1 мм | 2-я категория aт.кр = 0,15 мм |
Примечания. 1. Для конструкций, рассчитываемых на выносливость, предельно допустимая ширина раскрытия трещин принимается равной соответствующим значениям ширины длительного раскрытия трещин (aт.дл).
2. При использовании канатов класса К-7 диаметр проволоки принимается равным одной трети диаметра каната.
| Категория требований к трещиностойкости железобетонных конструкций | Нагрузки, коэффициенты перегрузки n и коэффициенты точности натяжения mт, принимаемые при расчете по предельным состояниям второй группы |
по образованию трещин | по раскрытию трещин | по закрытию трещин | по деформациям |
кратковременному | длительному |
| 1-я категория | Постоянные, длительные и кратковременные нагрузки; n > 1 <*>, mт < 1 <**> | - | - | - | Постоянные, длительные и кратковременные нагрузки - когда прогибы ограничены технологическими и конструктивными требованиями (см. п. 1.17); постоянные и длительные нагрузки - когда прогибы ограничены эстетическими требованиями; n = 1; mт = 1 |
| 2-я категория | Постоянные, длительные и кратковременные нагрузки; n > 1 <*>, mт < 1 <**> - когда расчет производится для выяснения необходимости проверки по кратковременному раскрытию трещин и по их закрытию; | Постоянные, длительные и кратковременные нагрузки; n = 1, mт = 1 | - | Постоянные и длительные нагрузки при n = 1, mт < 1 - когда проверяется условие (244); |
n = 1, mт = 1 - когда расчет производится для выяснения случая расчета по деформации | Постоянные, длительные и кратковременные нагрузки при n = 1, mт = 1 - когда проверяется условие (248) |
| 3-я категория | Постоянные, длительные и кратковременные нагрузки; n = 1, mт = 1 (расчет производится для выяснения необходимости проверки по раскрытию трещин и для выяснения случая расчета по деформациям) | Постоянные, длительные и кратковременные нагрузки; n = 1, mт = 1 | Постоянные и длительные нагрузки; n = 1, mт = 1 | - | - |
| <*> Коэффициент перегрузки n принимается, как при расчете по прочности. <**> При проверке зоны, растянутой от усилия обжатия, mт > 1. Примечания: 1. Длительные кратковременные нагрузки принимаются с учетом указаний п. 1.10. 2. Особые нагрузки учитываются в расчете по образованию трещин в тех случаях, когда наличие трещин приводит к катастрофическому положению (взрыв, пожар и т.п.). 3. Коэффициент точности натяжения mт определяется согласно п. 1.24. 4. При действии многократно повторяющихся нагрузок принимаются те же коэффициенты перегрузки, что и при расчете на выносливость согласно главе СНиП по нагрузкам и воздействиям (т.е. для всех элементов, кроме подкрановых балок, n = 1). |
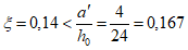
1.14 (1.19). В случае, если сжатая при эксплуатационных нагрузках зона предварительно-напряженных элементов не обеспечена расчетом в стадии изготовления, транспортирования и возведения от образования трещин, нормальных к продольной оси, следует учитывать снижение трещиностойкости растянутой при эксплуатации зоны элементов, а также увеличение их кривизны. Для элементов, рассчитываемых на воздействие многократно повторяющейся нагрузки, образование таких трещин не допускается. 1.15 (1.20). Для железобетонных слабоармированных элементов, характеризуемых тем, что их несущая способность исчерпывается одновременно с образованием трещин в бетоне растянутой зоны, площадь сечения продольной растянутой арматуры должна быть увеличена по сравнению с требуемой из расчета по прочности не менее чем на 15%. |
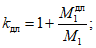
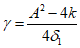
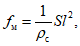
Такое увеличение армирования следует производить при выполнении условий
Mт >=
Mпр;

,
где
Mт - момент трещинообразования, определяемый согласно
п. 4.5 с заменой значения
RрII на 1,2
RрII и при
mт = 1;
Mпр - момент, соответствующий исчерпанию несущей способности, определяемый согласно
пп. 3.1 -
3.18,
3.41 -
3.59; для внецентренно сжатых и растянутых элементов значения
Mпр определяются относительно оси, проходящей через ядровую точку, наиболее удаленную от растянутой зоны (см.
п. 4.5);

и

- относительная высота сжатой зоны и ее граничное значение, определяемые при расчете по прочности.
1.16 (1.31). Для предварительно-напряженных конструкций, в которых предусматривается регулирование величины напряжения обжатия бетона в процессе их эксплуатации (например, в реакторах, резервуарах, телевизионных башнях), напрягаемая арматура применяется без сцепления с бетоном; при этом необходимо предусматривать эффективные мероприятия по защите арматуры от коррозии. К трещиностойкости предварительно-напряженных конструкций без сцепления арматуры с бетоном должны предъявляться требования 1-й категории. 1.17 (1.21). Прогибы элементов железобетонных конструкций не должны превышать предельно допустимых величин, устанавливаемых с учетом следующих требований: а) технологических (условия нормальной работы кранов, технологических установок, машин и т.п.); б) конструктивных (влияние соседних элементов, ограничивающих деформации; необходимость выдерживания заданных уклонов и т.п.); в) эстетических (впечатление людей о пригодности конструкции). |
Величины предельно допустимых прогибов, обусловленные технологическими и конструктивными требованиями, приведены в
табл. 3, поз. 1 и
5, а обусловленные эстетическими требованиями - в
табл. 3, поз. 2 -
4.
Нагрузки, учитываемые при определении прогибов, должны приниматься согласно
табл. 2.
| Элементы конструкций | Предельно допустимые прогибы |
| 1. Подкрановые балки при кранах: | |
| а) ручных | l ----- 500 |
| б) электрических | l ----- 600 |
| 2. Перекрытия с плоским потолком и элементы покрытия (кроме указанных в поз. 4) при пролетах | |
| а) l < 6 м | l ----- 200 |
| б) 6 м <= l <= 7,5 м | 3 см |
| в) l > 7,5 м | l ----- 250 |
| 3. Перекрытия с ребристым потолком и элементы лестниц при пролетах: | |
| а) l < 5 м | l ----- 200 |
| б) 5 м <= l <= 10 м | 2,5 см |
| в) l > 10 м | l ----- 400 |
| 4. Элементы покрытия зданий сельскохозяйственного производственного назначения при пролетах: | |
| а) l < 6 м | l ----- 150 |
| б) 6 м <= l <= 10 м | 4 см |
| в) l > 10 м | l ----- 250 |
| 5. Навесные стеновые панели (при расчете из плоскости) при пролетах: | |
| а) l < 6 м | l ----- 200 |
| б) 6 м <= l <= 7,5 м | 3 см |
| в) l > 7,5 м | l ----- 250 |
В табл. 3: l - пролет балок или плит; для консолей принимают l = 2 l1, где l1 - вылет консоли. |
Для не защищенных от солнечной радиации конструкций, предназначенных для эксплуатации в климатическом подрайоне IVA согласно главе СНиП по строительной климатологии и геофизике, при определении перемещений необходимо учитывать температурные климатические воздействия. Для железобетонных элементов, выполняемых со строительным подъемом, значения предельно допустимых прогибов могут быть увеличены на высоту строительного подъема, если это не ограничивается технологическими или конструктивными требованиями. Величины предельно допустимых прогибов для других случаев, не предусмотренных табл. 3, устанавливаются по специальным требованиям, но при этом они не должны превышать 1/ 150 пролета и 1/ 75 вылета консоли. |
Если в нижележащем помещении с гладким потолком имеются расположенные поперек пролета элемента l постоянные перегородки, не являющиеся опорами, с расстоянием между ними lп, то прогиб элемента в пределах расстояния lп (отсчитываемый от линии, соединяющей верхние точки осей перегородок) может быть допущен до 1/200lп, однако при этом предельный прогиб всего элемента должен быть не более 1/150l.
1.18 (1.21). Для не связанных с соседними элементами железобетонных плит перекрытий, лестничных маршей, площадок и т.п. должна производиться дополнительная проверка по зыбкости: добавочный прогиб от кратковременно действующей сосредоточенной нагрузки 100 кгс при наиболее невыгодной схеме ее приложения должен быть не более 0,7 мм. |
1.19. При расчете перекрытия по предельным состояниям второй группы вес расположенных на нем перегородок учитывается следующим образом:
а) нагрузка от веса жестких перегородок (например, железобетонных сборных, выполняемых из горизонтальных элементов, железобетонных и бетонных монолитных, каменных и т.п.) принимается сосредоточенной по концам перегородки, а при наличии проемов - и у краев проемов;
б) для прочих перегородок 60% их веса принимается распределенным по длине перегородки (на участках между проемами), а 40% сосредоточенным по концам перегородки и у краев проемов).
1.20. Распределение местной нагрузки между элементами сборных перекрытий, выполняемых из многопустотных или сплошных плит при условии обеспечения качественной заливки швов между плитами, допускается производить с учетом следующих правил:
а) при расчете по всем предельным состояниям принимается следующее распределение нагрузки от веса перегородок, расположенных вдоль пролета одинаковых по сечению плит:
если перегородка расположена в пределах одной плиты, то на эту плиту передается 50% веса перегородки, а по 25% ее веса передаются на две смежные плиты;
если перегородка опирается на две соседние плиты, то вес перегородки распределяется поровну между ними;
б) при расчете по предельным состояниям второй группы местные сосредоточенные нагрузки, расположенные в пределах средней трети пролета плиты, распределяются на ширину, не превышающую длины этого пролета, при расчете по предельным состояниям первой группы такое распределение сосредоточенных нагрузок может быть допущено лишь при условии соединения шпонками смежных плит по длине.
ПРЕДВАРИТЕЛЬНЫЕ НАПРЯЖЕНИЯ В ЖЕЛЕЗОБЕТОННЫХ КОНСТРУКЦИЯХ
1.21 (1.24). Величину предварительного напряжения  (а также  ) соответственно в напрягаемой арматуре A и A' без учета потерь следует назначать таким образом, чтобы выполнялись условия: при механическом способе натяжения: а) для стержневой арматуры  (1) б) для проволочной арматуры  (2) при электротермическом способе натяжения: а) для стержневой арматуры  (3) б) для проволочной арматуры  (4) где p - допустимые отклонения предварительного напряжения, кгс/см2, при электротермическом способе натяжения, равные:  (5) l - длина натягиваемого стержня (расстояние между наружными гранями упоров), м. |
Кроме того, при электротермическом способе натяжения величину  следует назначать с учетом допустимых температур нагрева согласно "Руководству по технологии изготовления предварительно-напряженных железобетонных конструкций"; при этом в случае отсутствия данных о технологии изготовления конструкций величина  принимается не более 7 000 кгс/см 2. |
При наличии перегибов проволочной арматуры напряжения

не должны превышать 0,7
RаII.
1.22 (1.26). При расчете предварительно-напряженных элементов следует учитывать потери предварительного напряжения арматуры. При натяжении арматуры на упоры учитывают: а) первые потери - от релаксации напряжений в арматуре, температурного перепада, деформации анкеров, трения арматуры об огибающие приспособления, деформации форм (при неодновременном натяжении арматуры на формы), быстронатекающей ползучести бетона; |
б) вторые потери - от усадки и ползучести бетона.
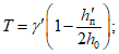
Потери от температурного перепада следует учитывать при натяжении арматуры на неподвижные упоры, расстояние между которыми не меняется в процессе прогрева бетона (упоры стенда).
При натяжении арматуры на бетон учитывают: в) первые потери - от деформации анкеров, трения арматуры о стенки каналов или поверхность бетона конструкции; г) вторые потери - от релаксации напряжений в арматуре, усадки и ползучести бетона, смятия бетона под витками арматуры, деформации стыков между блоками (для конструкций, состоящих из блоков). Потери предварительного напряжения арматуры должны определяться по табл. 4, при этом суммарную величину потерь при проектировании конструкций следует принимать не менее 1000 кгс/см 2. 1.23 (1.27). При определении потерь предварительного напряжения от усадки и ползучести бетона по поз. 8 и 9 табл. 4 должны учитываться следующие указания: а) если заранее известен срок загружения конструкции (например, при контрольных заводских испытаниях), потери от усадки и ползучести бетона умножаются на коэффициент  , определяемый по формуле  (6) но принимаемый не более единицы; здесь t - время в сутках отсчитываемое: при определении потерь от ползучести - со дня обжатия бетона, потерь от усадки - со дня окончания бетонирования. |
При проектировании стропильных балок и ферм, ригелей перекрытия массового заводского изготовления допускается потери от усадки и ползучести умножать на коэффициент

при
t = 65 сут.;
б) для конструкций, предназначенных для эксплуатации при влажности воздуха окружающей среды ниже 40%, потери от усадки и ползучести бетона должны быть увеличены на 25%, за исключением конструкций, предназначенных для эксплуатации в климатическом подрайоне IVA согласно главе СНиП по строительной климатологии и геофизике, не защищенных от солнечной радиации, для которых указанные потери увеличиваются на 50%; в) допускается использовать более точные методы для определения величин потерь от усадки и ползучести бетона, обоснованные в установленном порядке, если известны сорт цемента, состав бетона, условия изготовления и эксплуатации конструкций и т.п. 1.24 (1.28). Величина предварительного напряжения в арматуре  вводится в расчет с коэффициентом точности натяжения арматуры  (7) |
Рис. 1. Схема изменения напряжений в арматуре при наличии
трения арматуры о стенки каналов, о поверхность бетона
или об огибающие приспособления
1 - натяжное устройство; 2 - анкер;

- потери напряжений от трения
Знак "плюс" принимается при неблагоприятном влиянии предварительного напряжения (т.е. на данной стадии работы конструкции или на рассматриваемом участке элемента предварительное напряжение снижает несущую способность, способствует образованию трещин и т.д.), знак "минус" - при благоприятном. |
| Факторы, вызывающие потери предварительного напряжения арматуры | Условное обозначение | Величина потерь предварительного напряжения, кгс/см2, при натяжении арматуры |
на упоры | на бетон |
| | | А. Первые потери | |
| 1. Релаксация напряжений арматуры: при механическом способе натяжения: | | | |
| а) проволочной арматуры | | - |
| б) стержневой арматуры при электротермическом и электротермомеханическом способах натяжения: | | - |
| | - |
| а) проволочной арматуры | | - |
| б) стержневой арматуры | Здесь  принимается без учета потерь, кгс/см 2. Для арматуры классов А-III и А-IIIв потери от релаксации равны нулю. Если вычисленные значения потерь от релаксации напряжений оказываются отрицательными, их следует принимать равными нулю | - |
| 2. Температурный перепад (разность температур натянутой арматуры и устройства, воспринимающего усилие натяжения при пропаривании или прогреве бетона) | | где - разность между температурой арматуры и упоров, воспринимающих усилие натяжения, °C. Расчетная величина  при отсутствии точных данных принимается равной 65 °C. | - |
| | |
| 3. Деформации анкеров, расположенных у натяжных устройств | | где  - обжатие опрессованных шайб, смятие высаженных головок, принимаемое равным 2 мм; смещение стержней в инвентарных зажимах, определяемое по формуле  , где d - диаметр стержня в мм; деформация анкеров в виде гаек, равная  ; l - длина натягиваемого стержня, мм (расстояние между наружными гранями упоров формы или стенда). | где  - обжатие шайбы или прокладок, расположенных между анкерами и бетоном элемента, принимаемое равным 1 мм; - деформация анкеров стаканного типа, колодок с пробками, анкерных гаек и захватов, принимаемая равной 1 мм; l - длина натягиваемого стержня, мм (длина элемента). |
| При электротермическом способе натяжения потери от деформаций анкеров в расчете не учитываются, так как они учтены при определении величины полного удлинения арматуры. |
| Величины ,  и  допускается определять в соответствии с "Руководством по технологии изготовления предварительно-напряженных железобетонных конструкций" или другими инструктивными материалами либо назначать по данным испытаний конкретных анкеров |
| 4. Трение арматуры о стенки каналов, поверхность бетона конструкций или об огибающие приспособления (при натяжении на упоры) | | где  - принимается без учета потерь; e - основание натуральных логарифмов; k и - коэффициенты, определяемые по табл. 5; x - длина участка арматуры от натяжного устройства до расчетного сечения, м; для линейных элементов допускается принимать величину x, равной проекции указанного участка арматуры на продольную ось элемента;  - угол поворота арматуры на участке между расчетным сечением и натяжным устройством, рад (рис. 1), при нескольких перегибах арматуры;  - сумма этих углов. |
| Значение  можно определить по табл. 6 в зависимости от  . |
| 5. Деформации стальной формы при неодновременном натяжении арматуры на форму | | где k - коэффициент, определяемый по формулам: при натяжении арматуры домкратом при натяжении арматуры намоточной машиной электротермомеханическим способом (50% усилия создается грузом)  - сближение упоров по линии действия усилия N0, определяемое из расчета деформаций формы; l - расстояние между наружными гранями упоров; t - число групп стержней, натягиваемых неодновременно. При отсутствии данных о технологии изготовления и конструкции формы потери предварительного напряжения от деформации форм принимаются равными 300 кгс/см2. При электротермическом способе натяжения потери от деформаций формы в расчете не учитываются, так как они учтены при определении величины полного удлинения арматуры | - |
| 6. Быстронатекающая ползучесть: | | | |
| а) для бетона, подвергнутого тепловой обработке | |  при  ,  при  , где a и b - коэффициенты, принимаемые равными для бетона проектной марки: | - |
| М300 и выше М250 М200 | a = 0,6; b = 1,5, a = 0,55; b = 2,25, a = 0,5; b = 3; |
| - определяются на уровне центров тяжести продольной арматуры A и A' с учетом потерь по поз. 1 - 5 настоящей таблицы. При растягивающих напряжениях  потери  принимаются равными нулю |
| б) для бетона естественного твердения | Потери вычисляются по формулам поз. 6, а настоящей таблицы с делением полученного результата на коэффициент, равный 0,85 | |
| | | Б. Вторые потери | |
| 7. Релаксация напряжений арматуры: | | | |
| а) проволочной | - | |
| б) стержневой | - | |
| 8. Усадка бетона (см. п. 1.23) проектной марки: | | Бетон естественного твердения | Бетон, подвергнутый тепловой обработке при атмосферном давлении | Независимо от условий твердения бетона |
| а) М400 и ниже | 400 | 350 | 300 |
| б) М500 | 500 | 400 | 350 |
| в) М600 и выше | 600 | 500 | 400 |
| 9. Ползучесть бетона (см. п. 1.23): | | |
| а) подвергнутого тепловой обработке | |  при   при  где  - см. поз. 6 настоящей таблицы; при растягивающих напряжениях  потери  принимаются равными нулю |
| б) естественного твердения | Потери вычисляются по формулам поз. 9, а настоящей таблицы с делением полученного результата на коэффициент, равный 0,85 |
| 10. Смятие бетона под витками спиральной или кольцевой арматуры (при диаметре конструкции до 3 м) | | - | 300 |
| 11. Деформация обжатия стыков между блоками (для конструкций, состоящих из блоков) | | - |  , где nш - число швов конструкции по длине натягиваемой арматуры;  - обжатие стыка, принимаемое равным: для стыков, заполненных бетоном - 0,3 мм; при стыковании насухо - 0,5 мм; l - длина натягиваемой арматуры в мм |
| Примечание. Потери предварительного напряжения в напрягаемой арматуре A' определяются так же, как и в арматуре A. |
| Условия натяжения | Коэффициенты для определения потерь от трения арматуры (см. поз. 4, табл. 4) |
k |  при арматуре в виде |
проволоки, канатов | стержней периодического профиля |
| 1. | Натяжение на упоры | 0 | 0,25 | 0,25 |
| 2. | Натяжение на бетон: | | | |
| а) при канале с металлической поверхностью | 0,003 | 0,35 | 0,4 |
| б) при канале с бетонной поверхностью, образованном жестким каналообразователем, или при бетонной поверхности | 0 | 0,55 | 0,65 |
| в) при канале с бетонной поверхностью, образованном гибким каналообразователем | 0,0015 | 0,55 | 0,65 |
| 0 | 0,05 | 0,1 | 0,15 | 0,2 | 0,25 | 0,3 | 0,35 | 0,4 | 0,45 | 0,5 |
| 0 | 0,049 | 0,095 | 0,139 | 0,181 | 0,221 | 0,259 | 0,295 | 0,33 | 0,362 | 0,393 |
| 0,55 | 0,6 | 0,65 | 0,7 | 0,75 | 0,8 | 0,85 | 0,9 | 0,95 | 1 | 1,05 |
| 0,423 | 0,451 | 0,478 | 0,503 | 0,528 | 0,551 | 0,573 | 0,593 | 0,613 | 0,632 | 0,65 |
Значение  при механическом способе натяжения арматуры принимается равным 0,1, а при электротермическом способе натяжения определяется по формуле  (8) но принимается не менее 0,1; здесь p и  - см. п. 1.21; nс - число стержней напрягаемой арматуры в сечении элемента. |
При определении потерь предварительного напряжения арматуры значения

допускается принимать равными нулю.
При расчете по предельным состояниям второй группы значения
mт принимаются согласно
табл. 2.
1.25
(1.29). Предварительные напряжения арматуры

принимаются:
а) в стадии изготовления (с учетом подъема и складирования) с учетом первых потерь;
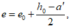
б) в стадии транспортирования, возведения и эксплуатации с учетом первых и вторых потерь. Величины предварительных сжимающих напряжений в ненапрягаемой арматуре  принимаются численно равными: а) в стадии изготовления - потерям напряжений от быстронатекающей ползучести по поз. 6 табл. 4; б) в стадии транспортирования, возведения и эксплуатации - сумме потерь напряжений от усадки и ползучести бетона по поз. 6, 8 и 9 табл. 4. Для ненапрягаемой арматуры A', расположенной в растянутой при обжатии зоне, напряжение  принимается равным нулю. 1.26 (1.29). Усилие предварительного обжатия N0 и эксцентриситет его приложения e0н относительно центра тяжести приведенного сечения (рис. 2) определяются по формулам: |
Рис. 2. Схема усилий предварительного напряжения арматуры
в поперечном сечении железобетонного элемента
 (9)  (10) где  и  - напряжения соответственно в ненапрягаемой арматуре A и A', вызванные усадкой и ползучестью бетона, определяемые согласно п. 1.25; yн, y'н, yа и у'а - расстояния от центра тяжести приведенного сечения до точек приложения равнодействующих усилий соответственно в напрягаемой и ненапрягаемой арматуре A и A' (см. рис. 2). При криволинейной напрягаемой арматуре величины  и  умножаются соответственно на  и  , где  и  - углы наклона оси арматуры к продольной оси элемента (для рассматриваемого сечения). |
1.27. Для элементов с напрягаемой арматурой без анкеров на длине зоны передачи напряжений
lп.н значения

снижаются путем умножения их на отношение
lx/lп.н, где
lx - расстояние от начала зоны передачи напряжения до рассматриваемого сечения.
Значение
lп.н при этом определяют согласно указаниям
п. 2.26, принимая

равным напряжению

с учетом первых потерь по
поз. 1 -
5 табл. 4.
Если площадь сечения всей ненапрягаемой арматуры составляет менее 15% площади сечения всей напрягаемой арматуры, усилие N0 в сечении на длине lп.н допускается снижать путем непосредственного умножения его на отношение lx/lп.н.
1.28
(1.29). Напряжения в бетоне

в сечениях, нормальных к продольной оси элемента, определяются как для упругих материалов по приведенному сечению. При этом усилие предварительного обжатия рассматривается как внешняя сила. Для изгибаемых элементов значение

определяется по формуле

(11)
где y0 - расстояние от центра тяжести приведенного сечения до рассматриваемого волокна;
M - изгибающий момент в рассматриваемой стадии работы элемента.
В формуле (11) сжимающие напряжения учитываются со знаком плюс, а растягивающие - со знаком минус.
Приведенное сечение включает в себя сечение бетона с учетом ослабления его пазами, каналами и т.п., а также сечение всей продольной (напрягаемой и ненапрягаемой) арматуры, умноженное на отношение n соответствующих модулей упругости арматуры и бетона; если части бетонного сечения выполнены из бетона разных проектных марок, их приводят к одной марке исходя из отношения модулей упругости nбi = Eбi/Eб. |
Геометрические характеристики приведенного сечения при бетоне одной марки определяются по формулам:
площадь приведенного сечения
Fп = F + nFа + nF'а + nFн + nF'н; (12)
расстояние от центра тяжести приведенного сечения до растянутой грани

(13)
где Sп - статический момент приведенного сечения, относительно растянутой грани,
Sп =
S +
nFаaа +
nF'а(
h -
a'а) +
nFнaн +
nF'н(
h -
a'н); (14)
момент инерции приведенного сечения относительно его центра тяжести

(15)
Допускается не уменьшать площадь сечения бетона за счет сечения арматуры, если общая площадь сечения арматуры составляет не более 0,03F. Кроме того, допускается не учитывать площадь сечения всей арматуры, если она составляет менее 0,008F.
1.29 (1.30) Сжимающие напряжения в бетоне в стадии предварительного обжатия  не должны превышать величин (в долях от передаточной прочности бетона R0), указанных в табл. 7. |
| Напряженное состояние сечения | Способ натяжения арматуры | Сжимающие напряжения в бетоне в стадии предварительного обжатия в долях от передаточной прочности бетона  , не более |
при расчетной зимней температуре наружного воздуха, °C |
минус 40 и выше | ниже минус 40 |
при обжатии |
центральном | внецентренном | центральном | внецентренном |
| 1. Напряжение  уменьшается или не изменяется при действии внешних нагрузок | На упоры | 0,65 | | 0,55 | 0,65 |
| На бетон | 0,55 | 0,65 | 0,45 | 0,55 |
| 2. Напряжение  увеличивается при действии внешних нагрузок | На упоры | 0,50 | 0,55 | 0,40 | 0,45 |
| На бетон | 0,45 | 0,50 | 0,35 | 0,40 |
| -------------------------------- <*> Для элементов, изготовляемых с постепенной передачей усилий обжатия, при наличии стальных опорных деталей и дополнительной поперечной арматуры, охватывающей все продольные стержни (см. п. 5.47) при fx/2au >= 0,5% (где fx и u - площадь сечения и шаг огибающего хомута), на длине не менее длины зоны передачи напряжений lп.н (см. п. 2.26) и не менее 2h допускается принимать значение  . Примечания: 1. Величины  , указанные в табл. 7, для бетона в водонасыщенном состоянии при расчетной температуре воздуха ниже минус 40 °C следует принимать на 0,05 меньше. 2. Расчетные зимние температуры наружного воздуха принимаются согласно указаниям п. 1.6. |
Величины  определяются на уровне крайнего сжатого волокна бетона с учетом потерь предварительного напряжения по поз. 1 - 5 табл. 4 и при коэффициенте точности натяжения арматуры mт, равном единице. |
| | ИС МЕГАНОРМ: примечание. Текст дан в соответствии с официальным текстом документа. | |
|
1.30 (1.25). Величины напряжений  и  в напрягаемой арматуре A и A', контролируемые по окончании натяжения на упоры, принимаются равными величинам  и (п. 1.21) за вычетом потерь по поз. 3 и 4 табл. 4. 1.31 (1.25). Величины напряжений в напрягаемой арматуре A и A', контролируемые в месте приложения натяжного усилия при натяжении арматуры на затвердевший бетон, принимаются равными соответственно  и  , определяемым из условия обеспечения в расчетном сечении напряжений  и  по формулам:  (16)  (17) где  и  - напряжения в бетоне на уровне арматуры A и A' от действия усилия обжатия N0, определенного с учетом первых потерь напряжений (см. п. 1.28);  и  - принимаются без учета потерь. |
При применении в элементе нескольких пучков или стержней арматуры, натягиваемых на бетон неодновременно, контролируемые напряжения в каждом из них рекомендуется определять с учетом влияния упругого обжатия бетона, вызванного усилиями пучков или стержней, натягиваемых позднее.
Контролируемые напряжения в группе арматуры k определяются в этом случае по формуле

(18)
где

- среднее по длине арматуры рассматриваемой группы
k напряжение в бетоне на уровне ее центра тяжести от упругого обжатия бетона усилием группы арматуры
i, натягиваемой позднее;

- напряжение в арматуре группы
k, определяемое по
формуле (16);
t - число групп арматуры, натягиваемых позднее группы k.
В
формуле (18) при сжимающем напряжении

принимают знак "плюс", а при растягивающем - "минус".
При прямолинейных и параллельных продольной оси элемента пучках (стержнях) и постоянном поперечном сечении элемента величину

определяют по
формуле (11), вычисляя
N0 и
e0 только от арматуры, натягиваемой после рассматриваемой группы.
При криволинейных или не параллельных продольной оси элемента пучках среднее напряжение в бетоне

допускается определять как среднее арифметическое напряжений в бетоне, определяемых по
формуле (11), в характерных сечениях по длине натягиваемой группы арматуры
k (например, на конце и в середине элемента).
Средние напряжения в бетоне для элемента с переменным по длине поперечным сечением следует определять по формуле
где

- среднее напряжение в бетоне на участке элемента
j, определяемое как для элемента с постоянным сечением, принимаемым по среднему сечению участка;
lj - длина участка элемента j;
l - полная длина элемента в пределах рассматриваемого пучка (стержня).
В качестве контролируемых напряжений рекомендуется принимать средние значения для отдельных групп последовательно натягиваемой арматуры.
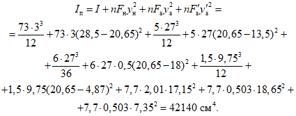
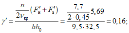
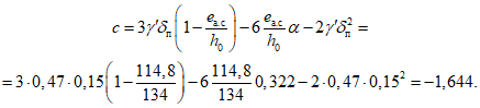
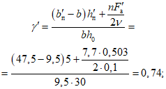
Пример 1. Дано: плита покрытия размером 1,5 x 6 м; поперечное сечение - по
рис. 3; бетон марки М300 (
Eб = 2,6·10
5 кгс/см
2), передаточная прочность бетона
R0 = 210 кгс/см
2; напрягаемая арматура класса А-IV (
RаII = 6000 кгс/см
2,
Eа = 2·10
6 кгс/см
2) площадью сечения
Fн = 2,01 см
2 
, ненапрягаемая арматура сжатая и растянутая класса А-III
(Eа = 2·10
6 кгс/см
2) площадью сечения
Fа = F'а = 0,503 см
2 
; натяжение арматуры производится на упоры формы электротермическим способом; технология изготовления плиты агрегатно-поточная с применением пропаривания; вес плиты 1,3 тс.
Требуется определить величину и точку приложения усилия предварительного обжатия с учетом первых потерь напряжений N01 и с учетом всех потерь N02 для сечения в середине пролета плиты, принимая максимально допустимое натяжение арматуры.
Расчет. Ввиду симметрии сечения расчет ведем для половины сечения плиты.
Определяем геометрические характеристики приведенного сечения согласно
п. 1.28, принимая для всей арматуры коэффициент

и
F'н = 0.
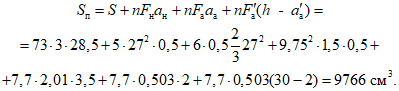
Площадь
Fп = F + nFн + nFа + nF'а = 73·3 + 5·27 + 6·27·0,5 +
+ 9,75·1,5 + 7,7·2,01 + 7,7·0,503·2 = 473 см2.
Статический момент относительно нижней грани ребра
Расстояние от центра тяжести сечения до нижней грани
yн = yц - aн = 20,65 - 3,5 = 17,15 см;
yа = yц - aа = 20,65 - 2 = 18,65 см;
| | ИС МЕГАНОРМ: примечание. Формула дана в соответствии с официальным текстом документа. | |
y'а = h - a'а - yц = 28 - 20,65 = 7,35 см.
Момент инерции
Из
условия (3) п. 1.21 определим максимально допустимое напряжение

без учета потерь. При длине натягиваемого стержня
l = 6 м имеем
Тогда
Определим первые потери напряжения по
поз. 1 -
6 табл. 4. Потери от релаксации напряжений в арматуре при электротермическом натяжении стержневой арматуры равны:
При агрегатно-поточной технологии форма с упорами при пропаривании нагревается вместе с изделием, поэтому температурный перепад между ними равен нулю и, следовательно,

.
Потери от деформаций анкеров

и формы

при электротермическом натяжении равны нулю. Поскольку напрягаемая арматура не отгибается, потери от трения арматуры

также равны нулю.
Таким образом, усилие обжатия
N01 с учетом потерь напряжений по
поз. 1 -
5 табл. 4 равно:
а его эксцентриситет равен: e0н = yн = 17,15 см.
В соответствии с
п. 1.29 проверим максимальное сжимающее напряжение бетона

от действия силы
N01, вычисляя его по
формуле (11) при
y0 = yц:
(момент от собственного веса не учитывается).
Поскольку
Определим потери от быстронатекающей ползучести бетона согласно
поз. 6 табл. 4. Для этого вычисляем напряжения в бетоне

и в середине пролета от действия силы
N01 и изгибающего момента от собственного веса плиты, равного:
(l = 570 см - расстояние между подкладками при хранении плиты).
Напряжение

на уровне арматуры
A (т.е. при
y0 = yн = 17,15 см) равно:
Напряжение

на уровне арматуры
A' (т.е. при
y0 =
y'а = 7,35 см) равно:
Потери от быстронатекающей ползучести

равны:
на уровне арматуры A
поскольку

,
то

на уровне арматуры A'
поскольку

, то

.
Напряжение

с учетом первых потерь равно:
Напряжения

и

принимаем равными потерям напряжений от быстронатекающей ползучести, т.е.

и

.
Определяем усилие обжатия с учетом первых потерь напряжений
N01 и его эксцентриситет

по
формулам (9) и
(10):
Потери от усадки равны

.
Потери от ползучести бетона

:
на уровне арматуры A,
так как

, то

;
на уровне арматуры A'
поскольку

, то

.
Суммарная величина потерь напряжений:
следовательно, согласно
п. 1.22 потери не увеличиваем.
Напряжение

с учетом всех потерь равно:
Усилие от обжатия с учетом всех потерь напряжений
N02 определяем по
формуле (9), принимая напряжение

равным сумме потерь от усадки и ползучести, т.е.
Поскольку

,
эксцентриситет усилия N02 равен:
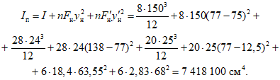
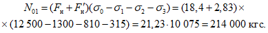
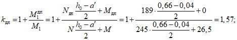
Пример 2. Дано: свободно опертая балка с поперечным сечением по
рис. 4; бетон марки М400 (
Eб = 3·10
6 кгс/см
2); передаточная прочность бетона
R0 = 280 кгс/см
2; напрягаемая арматура из канатов класса К-7 (
RаII = 165 000 кгс/см
2,
Eа = 1,8·10
6 кгс/см
2) площадью сечения: в растянутой зоне
Fн = 18,4 см
2 
, в сжатой зоне
F'н = 2,83 см
2 
; натяжение производится на упоры стенда механическим способом; бетон подвергается пропариванию; закрепление канатов на упорах с помощью инвентарных зажимов; длина стенда 20 м; вес балки 11,2 тс; длина балки
l = 18 м.
Требуется определить величину и точку приложения усилия предварительного обжатия с учетом первых потерь напряжения N01 и с учетом всех потерь N02 для сечения в середине пролета, принимая максимально допустимое натяжение арматуры.
Расчет. Определяем геометрические характеристики приведенного сечения согласно
п. 1.28, принимая коэффициент

(площадь сечения конструктивной ненапрягаемой арматуры не учитываем ввиду ее малости).
Для упрощения расчета высоту свесов полок усредняем.
Площадь
Fп = F + nFн + nF'н = 150·8 + 28·24 + 20·25 +
+ 6(18,4 + 2,83) = 2500 см2.
Расстояние от центра тяжести сечения арматуры A до нижней грани балки
Статический момент относительно нижней грани балки
Расстояние от центра тяжести сечения до нижней грани
yн = yц - aн = 77 - 13,45 = 63,55 см;
| | ИС МЕГАНОРМ: примечание. Формула дана в соответствии с официальным текстом документа. | |
y'н = h - a'н - yц = 145 - 77 = 68 см.
Момент инерции приведенного сечения
потери от релаксации напряжений в арматуре
| | ИС МЕГАНОРМ: примечание. Формула дана в соответствии с официальным текстом документа. | |
потери от температурного перепада между упорами стенда и бетоном при

потери от деформаций анкеров в виде инвентарных зажимов
при

и
l = 20 м
поскольку напрягаемая арматура не отгибается, потери от трения арматуры отсутствуют т.е.

;
потери от деформаций стальной формы отсутствуют, поскольку усилие обжатия передается на упоры стенда, т.е.

.
Таким образом, усилие обжатия
N01 с учетом потерь по
поз. 1 -
5 табл. 4 равно:
Точка приложения усилия N01 совпадает с центром тяжести всей напрягаемой арматуры, т.е.
Определяем по
формуле (11) максимальное сжимающее напряжение бетона от действия силы
N01 без учета собственного веса, принимая
y0 =
yц = 77 см,
Определим потери от быстронатекающей ползучести бетона согласно
поз. 6 табл. 4. Для этого вычисляем напряжения в бетоне

в середине пролета от действия силы
N01 и изгибающего момента от собственного веса балки, равного:
(l = 17,5 м - расстояние между подкладками при хранении балки).
Напряжение

на уровне арматуры
A' (т.е. при
y0 =
yн = 63,55 см)
Напряжение

на уровне арматуры
A' (т.е. при
y0 =
y'н = 68 см)
Потери от быстронатекающей ползучести

равны:
на уровне арматуры A
поскольку

, то
на уровне арматуры A'
Напряжение

с учетом первых потерь равно:
для арматуры A
для арматуры A'
Определим усилие обжатия с учетом первых потерь напряжений
N01 и его эксцентриситет по
формулам (9) и
(10):
Определим вторые потери напряжений по
поз. 8 и
9 табл. 4. Потери от усадки равны

.
Потери от ползучести бетона

равны:
на уровне арматуры A
для арматуры A'
Напряжения

с учетом всех потерь равны:
для арматуры A
для арматуры A'
Определяем усилие обжатия с учетом всех потерь напряжений N02 и его эксцентриситет e0н2:
2. МАТЕРИАЛЫ ДЛЯ ЖЕЛЕЗОБЕТОННЫХ КОНСТРУКЦИЙ
2.1 (2.3). Для предварительно-напряженных железобетонных конструкций должны предусматриваться следующие проектные марки тяжелого бетона: а) по прочности на осевое сжатие - М150, М200, М250, М300, М350, М400, М450, М500, М600, М700, М800 (при этом проектные марки М250, М350 и М450 должны предусматриваться при условии, что это приводит к экономии цемента по сравнению с применением бетона проектных марок соответственно М300, М400, М500 и не снижает другие технико-экономические показатели конструкций); б) по морозостойкости - Мрз 50, Мрз 75, Мрз 100, Мрз 150, Мрз 200, Мрз 300, Мрз 400, Мрз 500; в) по водонепроницаемости - В2, В4, В6, В8, В10, В12. |
Примечания. 1. Проектной маркой бетона по какому-либо признаку называется значение соответствующей характеристики бетона, задаваемое при проектировании.
2. Соответствие фактического значения характеристики бетона его проектной марке устанавливается на основании результатов испытаний согласно требованиям соответствующих государственных стандартов. 2.2 (2.4). Срок твердения (возраст) бетона, отвечающий его проектной марке по прочности на сжатие, принимается, как правило, 28 дней. В тех случаях, когда известны сроки фактического загружения конструкций, способы их возведения, условия твердения бетона, сорт применяемого цемента, допускается устанавливать проектную марку бетона в ином возрасте (большем или меньшем). Величина отпускной прочности бетона в элементах сборных конструкций устанавливается государственными стандартами на сборные изделия. 2.3 (2.6). Проектная марка бетона элемента, в котором расположена напрягаемая арматура, а также его передаточная прочность R0 должны приниматься в зависимости от вида и класса напрягаемой арматуры, ее диаметра и наличия анкерных устройств не ниже указанных в табл. 8. |
| Вид и класс напрягаемой арматуры | Проектная марка бетона, не ниже | Передаточная прочность бетона R0, кгс/см2, не ниже |
| | | |
| а) класса В-II с анкерами | М250 | 200 |
| б) класса Вр-II без анкеров при диаметре проволоки: | | |
| до 5 мм включительно | М250 | 200 |
| " 6 мм и более | М400 | 320 |
| в) класса К-7 | М350 | 280 |
| 2. Стержневая арматура без анкеров диаметром: | | |
| от 10 до 18 мм (включительно) классов: | | |
| а) А-III, А-IIIв, А-IV и Ат-IV | М200 | 160 |
| | М250 | 200 |
| в) Ат-VI | М350 | 280 |
| от 20 мм и более классов: | | |
| г) А-III, А-IIIв, А-IV, Ат-IV | М250 | 200 |
| д) А-V, Ат-V, Атп-V | М350 | 280 |
| е) Ат-VI | М400 | 320 |
Примечания. 1. Для конструкций с арматурой, указанной в поз. 2, б - е, допускается снижение минимальной проектной марки на одну ступень (50 кгс/см 2), а минимального значения R0 - на 40 кгс/см 2 при содержании крупного заполнителя не менее 820 л на 1 м 3, если это условие оговорено в проекте. |
2. Фактическое значение R0, сниженное по сравнению с проектным согласно требованиям статистического контроля на производстве, должно составлять не менее 140 кгс/см2, а при стержневой арматуре класса Ат-VI, арматурных канатах класса К-7 и проволочной арматуре без высаженных головок - не менее 200 кгс/см2. |
| Условия работы конструкций | Минимальные проектные марки бетона |
Характеристика режима | Расчетная зимняя температура наружного воздуха | по морозостойкости | по водонепроницаемости |
Конструкции (кроме наружных стен отапливаемых зданий) для зданий и сооружений класса |
I | II | III | I | II | III |
| 1. Попеременное замораживание и оттаивание в водонасыщенном состоянии (например, конструкции, расположенные в сезонно-оттаивающем слое грунта в районах вечной мерзлоты) | Ниже минус 40 °C | Мрз 300 | Мрз 200 | Мрз 150 | В6 | В4 | В2 |
| Ниже минус 20 °C до минус 40 °C включительно | Мрз 200 | Мрз 150 | Мрз 100 | В4 | В2 | Не нормируется |
| Ниже минус 5 °C до минус 20 °C включительно | Мрз 150 | Мрз 100 | Мрз 75 | В2 | Не нормируется | То же |
| Минус 5 °C и выше | Мрз 100 | Мрз 75 | Мрз 50 | Не нормируется | То же | " |
| 2. Попеременное замораживание и оттаивание в условиях эпизодического водонасыщения (например, надземные конструкции, постоянно подвергающиеся атмосферным воздействиям) | Ниже минус 40 °C | Мрз 200 | Мрз 150 | Мрз 100 | В4 | В2 | Не нормируется |
| Ниже минус 20 °C до минус 40 °C включительно | Мрз 100 | Мрз 75 | Мрз 50 | В2 | Не нормируется | То же |
| Ниже минус 5 °C до минус 20 °C включительно | Мрз 75 | Мрз 50 | Не нормируется | Не нормируется | То же | " |
| Минус 5 °C и выше | Мрз 50 | Не нормируется | То же | То же | " | " |
| 3. Попеременное замораживание и оттаивание в условиях воздушно-влажностного состояния при отсутствии эпизодического водонасыщения (например, конструкции, постоянно подвергающиеся воздействию окружающего воздуха, защищенные от воздействия атмосферных осадков) | Ниже минус 40 °C | Мрз 150 | Мрз 100 | Мрз 75 | В4 | В2 | Не нормируется |
| Ниже минус 20 °C до минус 40 °C включительно | Мрз 75 | Мрз 50 | Не нормируется | Не нормируется | Не нормируется | То же |
| Ниже минус 5 °C до минус 20 °C включительно | Мрз 50 | Не нормируется | То же | То же | То же | " |
| Минус 5 °C и выше | Не нормируется | То же | " | " | " | " |
| 4. Возможное эпизодическое воздействие температур ниже 0 °C в водонасыщенном состоянии (например, конструкции, находящиеся в грунте или под водой) | Ниже минус 40 °C | Мрз 150 | Мрз 100 | Мрз 75 | Не нормируется | Не нормируется | Не нормируется |
| Ниже минус 20 °C до минус 40 °C включительно | Мрз 75 | Мрз 50 | Не нормируется | То же | То же | То же |
| Ниже минус 5 °C до минус 20 °C включительно | Мрз 50 | Не нормируется | То же | " | " | " |
| Минус 5 °C и выше | Не нормируется | То же | " | " | " | " |
| 5. Возможное эпизодическое воздействие температур ниже 0 °C в условиях воздушно-влажностного состояния (например, внутренние конструкции отапливаемых зданий в период строительства и монтажа) | Ниже минус 40 °C | Мрз 75 | Мрз 50 | Не нормируется | Не нормируется | Не нормируется | Не нормируется |
| Ниже минус 20 °C до минус 40 °C включительно | Мрз 50 | Не нормируется | То же | То же | То же | То же |
| Минус 20 °C и выше | Не нормируется | То же | " | " | " | " |
| Примечания. 1. Проектные марки бетона по морозостойкости и водонепроницаемости для конструкций сооружений водоснабжения и канализации, а также для свай-оболочек следует назначать согласно требованиям соответствующих глав СНиП и государственных стандартов. 2. Расчетная зимняя температура наружного воздуха принимается согласно указаниям п. 1.6. |
Если проектная марка бетона принята выше указанного в табл. 8 минимального значения, то передаточная прочность, кроме того, должна составлять не менее 50% принятой проектной марки. |
Рекомендуется значение R0 принимать равным 70% принятой проектной марки бетона.
Для конструкций, рассчитываемых на воздействие многократно повторяющейся нагрузки, при арматуре, указанной в поз. 1, 2, а, 2, б и 2, г табл. 8, приведенные в этой таблице минимальные значения проектной марки должны увеличиваться на одну ступень (50 кгс/см 2), а минимальные значения R0 должны увеличиваться на 40 кгс/см 2. |
Для стенок монолитных круглых резервуаров и труб при напряжении только спиральной (или кольцевой) арматуры допускается применение проектной марки бетона М150 и передаточной прочности R0 = 100 кгс/см2.
Примечание. Передаточная прочность бетона R0 - прочность бетона к моменту его обжатия - определяется в соответствии с государственными стандартами. 2.4 (2.7). Проектная марка мелкозернистого бетона, применяемого для защиты от коррозии и обеспечения сцепления с бетоном напрягаемой арматуры, расположенной в пазах и на поверхности конструкции, должна быть не ниже М150, а для инъекции каналов - не ниже М300. 2.5 (2.8). Для замоноличивания стыков элементов сборных железобетонных конструкций проектную марку бетона следует устанавливать в зависимости от условий работы соединяемых элементов, но принимать не ниже М100. 2.6 (2.9). Проектные марки бетона по морозостойкости и водонепроницаемости бетонных и железобетонных конструкций в зависимости от режима их эксплуатации и значений расчетных зимних температур наружного воздуха в районе строительства должны приниматься: для конструкций зданий и сооружений (кроме наружных стен отапливаемых зданий) - не ниже указанных в табл. 9; для наружных стен отапливаемых зданий - не ниже указанных в табл. 10. 2.7 (2.10). Для замоноличивания стыков элементов сборных конструкций, которые в процессе эксплуатации или монтажа могут подвергаться воздействию отрицательных температур наружного воздуха, следует применять бетоны проектных марок по морозостойкости и водонепроницаемости не ниже принятых для стыкуемых элементов. |
| Условия работы конструкций | Минимальные марки бетона по морозостойкости наружных стен отапливаемых зданий класса |
| Относительная влажность внутреннего воздуха помещений  , % | Расчетная зимняя температура наружного воздуха |
| I | II | III |
| 1.  | Ниже минус 40 °C | Мрз 200 | Мрз 150 | Мрз 100 |
| Ниже минус 20 °C до минус 40 °C включительно | Мрз 100 | Мрз 75 | Мрз 50 |
| Ниже минус 5 °C до минус 20 °C включительно | Мрз 75 | Мрз 50 | Не нормируется |
| Минус 5 °C и выше | Мрз 50 | Не нормируется | То же |
| 2.  | Ниже минус 40 °C | Мрз 100 | Мрз 75 | Мрз 50 |
| Ниже минус 20 °C до минус 40 °C включительно | Мрз 50 | Не нормируется | Не нормируется |
| Минус 20 °C и выше | Не нормируется | То же | То же |
| Ниже минус 40 °C | Мрз 75 | Мрз 50 | " |
| 3.  | Минус 40 °C и выше | Не нормируется | Не нормируется | " |
| Примечания. 1. При наличии паро- и гидроизоляции конструкций марки по морозостойкости, указанные в табл. 10, снижаются на одну ступень. 2. Расчетные зимние температуры наружного воздуха принимаются согласно указаниям п. 1.6. |
НОРМАТИВНЫЕ И РАСЧЕТНЫЕ ХАРАКТЕРИСТИКИ БЕТОНА
2.8 (2.11). Нормативными сопротивлениями бетона являются: сопротивление осевому сжатию кубов (кубиковая прочность), Rн; сопротивление осевому сжатию призм (призменная прочность),  ; сопротивление осевому растяжению,  . Нормативные сопротивления бетона  и  в зависимости от проектной марки бетона по прочности на сжатие даны в табл. 11. 2.9 (2.13). Расчетные сопротивления бетона для предельных состояний первой группы Rпр и Rр определяются путем деления нормативных сопротивлений на коэффициенты безопасности по бетону, принимаемые равными: при сжатии kб.с = 1,3, при растяжении kб.р = 1,5. Расчетные сопротивления бетона Rпр и Rр снижаются (или повышаются) путем умножения на коэффициенты условий работы бетона mб, учитывающие: особенности свойств бетонов, длительность действия нагрузки и ее многократную повторяемость, условия и стадию работы конструкции, способ ее изготовления, размеры сечения и т.п. |
Вид сопротивления | Нормативные сопротивления бетона  и  , расчетные сопротивления бетона для предельных состояний второй группы RпрII и RрII, кгс/см 2, при проектной марке бетона по прочности на сжатие |
М150 | М200 | М250 | М300 | М350 | М400 | М450 | М500 | М600 | М700 | М800 |
Сжатие осевое (призменная прочность)  и RпрII | 85 | 115 | 145 | 170 | 200 | 225 | 255 | 280 | 340 | 390 | 450 |
| | ИС МЕГАНОРМ: примечание. Текст в графе "Вид сопротивления" дан в соответствии с официальным текстом документа. | |
|
Растяжение осевое  и RпрII | 9,5 | 11,5 | 13 | 15 | 16,5 | 18 | 19 | 20 | 22 | 23,5 | 25 |
Примечание. Для бетона на глиноземистом цементе значения  и RрII снижаются на 30%. |
| Вид сопротивления | Коэффициент условий работы бетона, mб1 | Расчетные сопротивления бетона для предельных состояний первой группы Rпр и Rр, кгс/см2, при проектной марке бетона по прочности на сжатие |
М150 | М200 | М250 | М300 | М350 | М400 | М450 | М500 | М600 | М700 | М800 |
| Сжатие осевое (призменная прочность), Rпр | 0,85 | 60 | 75 | 95 | 115 | 130 | 150 | 170 | 185 | 210 | 235 | 265 |
| 1 | 70 | 90 | 110 | 135 | 155 | 175 | 195 | 215 | 245 | 280 | 310 |
| 1,1 | 75 | 100 | 125 | 145 | 170 | 190 | 215 | 235 | 270 | 305 | 340 |
| Растяжение осевое, Rр | 0,85 | 5,4 | 6,5 | 7,5 | 8,5 | 9,5 | 10 | 11 | 11,5 | 12,5 | 13,5 | 14 |
| 1 | 6,3 | 7,5 | 8,8 | 10 | 11 | 12 | 12,8 | 13,5 | 14,5 | 15,5 | 16,5 |
| 1,1 | 7 | 8,5 | 9,5 | 11 | 12 | 13 | 14 | 14,5 | 16 | 17 | 18,5 |
Примечания. 1. Условия применения коэффициента mб1 приведены в п. 3.1. 2. Для бетона на глиноземистом цементе расчетные сопротивления растяжению Rр снижаются на 30%. |
Расчетные сопротивления бетона для предельных состояний второй группы RпрII и RрII принимаются равными нормативным сопротивлениям и вводятся в расчет с коэффициентом условий работы бетона mб = l, за исключением случаев, указанных в п. 4.11 и 4.16. Величины расчетных сопротивлений в зависимости от их проектных марок по прочности на сжатие приведены (с округлением) для предельных состояний первой группы в табл. 12, для предельных состояний второй группы - в табл. 11. В расчетные сопротивления, приведенные в табл. 12, включены следующие коэффициенты условий работы mб: а) для высокопрочного бетона проектных марок М600, М700 и М800 в расчетные сопротивления бетона сжатию Rпр - коэффициент mб, равный соответственно 0,95; 0,925 и 0,9; |
б) в расчетные сопротивления бетона сжатию и растяжению - коэффициент mб1, учитывающий влияние длительности действия нагрузок и условие нарастания прочности бетона во времени.
Порядок использования коэффициентов
mб1 в расчете приведен в
п. 3.1.
Расчетные сопротивления бетона, приведенные в
табл. 12, в соответствующих случаях следует умножать на коэффициенты условий работы бетона согласно табл. 13.
| Факторы, обусловливающие введение коэффициентов условий работы | Коэффициенты условий работы бетона |
Условное обозначение | Величина коэффициента |
| 1. Многократно повторяющаяся нагрузка | mб2 | |
| 2. Попеременное замораживание и оттаивание | mб3 | |
| 3. Расчет в стадии предварительного обжатия конструкций с напрягаемой арматурой: | | |
| проволочной | mб4 | 1,1 |
| стержневой | | 1,2 |
| 4. Стыки сборных элементов при толщине шва менее 1/ 5 наименьшего размера сечения элемента и менее 10 см | mб9 | 1,15 |
| 5. Автоклавная обработка конструкций | mб10 | 0,85 |
| 6. Эксплуатация не защищенных от солнечной радиации конструкций в климатическом подрайоне IVA согласно главе СНиП по строительной климатологии и геофизике | mб11 | 0,85 |
| Примечания. 1. Коэффициенты mб по поз. 1, 2 и 6 настоящей таблицы должны учитываться при определении расчетных сопротивлений бетона Rпр и Rр, а по остальным позициям - только при определении Rпр. 2. Для конструкций, находящихся под действием многократно повторяющейся нагрузки, коэффициент mб2 учитывается только при расчете на выносливость и по образованию трещин. |
2.10 (2.14). Для мелкозернистого бетона нормативные и расчетные сопротивления принимаются равными соответствующим значениям для тяжелого бетона, указанным в табл. 11 и 12. При этом должны учитываться соответствующие коэффициенты условий работы mб согласно табл. 13, 14. 2.11 (2.15). Величины начального модуля упругости бетона Eб принимаются по табл. 15. |
| Условия эксплуатации конструкции | Расчетная зимняя температура наружного воздуха | Коэффициент условий работы бетона mб3 при попеременном замораживании и оттаивании |
| 1. Попеременное замораживание и оттаивание в водонасыщенном состоянии (см. поз. 1, табл. 9) | Ниже минус 40 °C | 0,7 |
| Ниже минус 20 °C до минус 40 °C включительно | 0,85 |
| Ниже минус 5 °C до минус 20 °C включительно | 0,9 |
| Минус 5 °C и выше | 0,95 |
| 2. Попеременное замораживание и оттаивание в условиях эпизодического водонасыщения (см. поз. 2, табл. 9) | Ниже минус 40 °C | 0,9 |
| Минус 40 °C и выше | 1 |
| Примечание. Расчетные зимние температуры наружного воздуха принимаются согласно указаниям п. 1.6. |
| Проектная марка бетона по прочности на сжатие | Начальные модули упругости бетона Eб, кгс/см2 |
естественного твердения | подвергнутого тепловой обработке при атмосферном давлении |
| М150 | 210 000 | 190 000 |
| М200 | 240 000 | 215 000 |
| М250 | 265 000 | 240 000 |
| М300 | 290 000 | 260 000 |
| М350 | 310 000 | 280 000 |
| М400 | 330 000 | 300 000 |
| М450 | 345 000 | 310 000 |
| М500 | 360 000 | 325 000 |
| М600 | 380 000 | 340 000 |
| М700 | 390 000 | 350 000 |
| М800 | 400 000 | 360 000 |
Для не защищенных от солнечной радиации конструкций, предназначенных для работы в климатическом подрайоне IVA согласно главе СНиП по строительной климатологии и геофизике, значения Eб, указанные в табл. 15, следует умножать на коэффициент 0,85. |
Для бетона, подвергнутого автоклавной обработке, значения
Eб, указанные в
табл. 15 для бетона естественного твердения, следует умножать на коэффициент 0,75.
При наличии данных о сорте цемента, составе бетона, условиях изготовления (например, центрифугированный бетон) и т.д. допускается принимать другие значения Eб, согласованные в установленном порядке. 2.12 (2.16). Коэффициент линейной температурной деформации  при изменении температуры от минус 50 °C до плюс 50 °C принимается равным 1·10 -5 град -1. При наличии данных о минералогическом составе заполнителей, расходе цемента, степени водонасыщения бетона, морозостойкости и т.д. допускается принимать другие значения  , обоснованные в установленном порядке. 2.13 (2.17). Начальный коэффициент поперечной деформации бетона (коэффициент Пуассона)  принимается равным 0,2, а модуль сдвига бетона G - равным 0,4 от соответствующих значений Eб, указанных в табл. 15. |
2.14. Объемная масса тяжелого вибрированного бетона на гравии или щебне из природного камня принимается равной 2400 кг/м3.
Объемная масса железобетона при содержании арматуры 3% и менее может приниматься равной 2500 кг/м
3; при содержании арматуры более 3% она должна определяться как сумма массы бетона и арматуры на единицу объема железобетонной конструкции. При этом масса арматурной стали на единицу длины принимается по
табл. 1 прил. 3.
2.15 (2.18). Для армирования железобетонных конструкций должна применяться арматура, отвечающая требованиям соответствующих государственных стандартов (табл. 16), следующих видов. Стержневая арматура: а) горячекатаная - гладкая класса А-I; периодического профиля классов А-II, А-III, А-IV, А-V; б) термически упрочненная - периодического профиля классов Ат-IV, Ат-V, Атп-V, Ат-VI; |
в) упрочненная вытяжкой - периодического профиля класса А-IIIв.
Проволочная арматура: г) арматурная холоднотянутая проволока: обыкновенная - гладкая класса В-I, периодического профиля класса Вр-I; высокопрочная - гладкая класса В-II, периодического профиля класса Вр-II; д) арматурные канаты - спиральные семипроволочные класса К-7. |
| Вид арматуры и документы, регламентирующие качество | Класс арматуры | Марка стали | Диаметр, мм | Область применения арматуры в зависимости от условий эксплуатации конструкций (знак "плюс" означает "допускается", знак "минус" - "не допускается"). |
Статические нагрузки | Динамические и многократно повторяющиеся нагрузки |
В отапливаемых зданиях | На открытом воздухе и в неотапливаемых зданиях при расчетной температуре | В отапливаемых зданиях | На открытом воздухе и в неотапливаемых зданиях при расчетной температуре |
до минус 30 °C включительно | ниже минус 30 °C до минус 40 °C включительно | ниже минус 40 °C до минус 55 °C включительно | ниже минус 55 °C до минус 70 °C включительно | до минус 30 °C включительно | ниже минус 30 °C до минус 40 °C включительно | ниже минус 40 °C до минус 50 °C включительно | ниже минус 50 °C до минус 70 °C включительно |
| | ИС МЕГАНОРМ: примечание. Взамен ГОСТ 5781-75 Постановлением Госстандарта СССР от 17.12.1982 N 4800 с 1 июля 1983 года введен в действие ГОСТ 5781-82. | |
|
| Стержневая горячекатаная гладкая, ГОСТ 5781-75 | А-I | Ст3сп3 | 6 - 40 | + | + | + | + | | + | + | - | - | - |
| Ст3пс3 | 6 - 40 | + | + | + | - | - | + | + | - | - | - |
| Ст3кп3 | 6 - 40 | + | + | - | - | - | + | + | - | - | - |
| ВСт3сп2 | 6 - 40 | + | + | + | + | + | + | + | + | + | + |
| ВСт3пс2 | 6 - 40 | + | + | + | - | - | + | + | + | - | - |
| ВСт3кп2 | 6 - 40 | + | + | - | - | - | + | + | - | - | - |
| ВСт3Гпс2 | 6 - 18 | + | + | + | + | | + | + | + | + | |
| Стержневая горячекатаная периодического профиля, ГОСТ 5781-75 | А-II | ВСт5сп2 | 10 - 40 | + | + | + | | | + | + | | - | - |
| ВСт5пс2 | 10 - 16 | + | + | + | | - | + | + | | - | - |
| ВСт5пс2 | 18 - 40 | + | + | - | - | - | + | | - | - | - |
| 18Г2С | 40 - 80 | + | + | + | + | | + | + | + | + | |
| 10ГТ | 10 - 32 | + | + | + | + | + | + | + | + | + | + |
| А-III | 35ГС | 6 - 40 | + | + | + | | - | + | + | | - | - |
| 25Г2С | 6 - 40 | + | + | + | + | | + | + | + | + | - |
| А-IV | 80С | 10 - 18 | + | + | - | - | - | + | - | - | - | - |
| 20ХГ2Ц | 10 - 22 | + | + | + | | | + | + | + | | - |
| А-V | 23Х2Г2Т | 10 - 22 | + | + | + | + | | + | + | + | + | |
| Стержневая упрочненная вытяжкой периодического профиля | А-IIIв | 35ГС | 6 - 40 | + | + | + | - | - | + | + | - | - | - |
| 25Г2С | 6 - 40 | + | + | - | - | - | + | - | - | - | - |
| | ИС МЕГАНОРМ: примечание. Постановлением Госстандарта России от 13.04.1995 N 214 с 1 января 1996 года введен в действие ГОСТ 10884-94. | |
|
| Стержневая термически упрочненная периодического профиля ГОСТ 10884-71 | Ат-IV | - | 10 - 25 | + | + | + | | - | | | | - | - |
| Ат-V | - | 10 - 25 | + | + | + | | - | | | | | - |
| Ат-VI | - | 10 - 25 | + | + | + | | - | | | | | - |
| Стержневая термически упрочненная, стойкая против коррозионного растрескивания ТУ 14-1-1318-75 | Атп-V | - | 16 - 25 | + | + | + | | - | | | | | - |
| Атп-VI | - | 16 - 25 | + | + | + | | - | | | | | - |
| | ИС МЕГАНОРМ: примечание. Взамен ГОСТ 6727-53 Постановлением Госстандарта СССР от 15.05.1980 N 2108 с 1 января 1983 года введен в действие ГОСТ 6727-80. | |
|
| Обыкновенная арматурная проволока гладкая, ГОСТ 6727-53* | В-I | - | 3 - 5 | + | + | + | + | + | + | + | + | + | + |
| То же, периодического профиля, ТУ 14-4-659-75 | Вр-I | - | 3 - 5 | + | + | + | + | + | + | + | + | + | + |
| | ИС МЕГАНОРМ: примечание. Взамен ГОСТ 7348-63 Постановлением Госстандарта СССР от 21.01.1981 N 138 с 1 января 1983 года введен в действие ГОСТ 7348-81. | |
|
| Высокопрочная арматурная проволока гладкая, ГОСТ 7348-63 | В-II | - | 3 - 8 | + | + | + | + | + | + | + | + | + | + |
| То же, периодического профиля, ГОСТ 8480-63 | Вр-II | - | 3 - 8 | + | + | + | + | + | + | + | + | + | + |
| | К-7 | - | 4,5 - 15 | + | + | + | + | + | + | + | + | + | + |
| -------------------------------- <1> Допускается применять только в вязаных каркасах и сетках. <2> Допускается применять только в виде целых стержней мерной длины. <3> Применение термически упрочненной арматуры допускается при гарантируемой величине равномерного удлинения  не менее 2%. Термически упрочненную арматуру классов Ат-IV - Ат-VI не следует применять при действии многократно повторяющихся нагрузок с коэффициентом асимметрии цикла  <= 0,95 (см. п. 3.77). |
Примечания. 1. Расчетные температуры принимаются согласно указаниям
п. 1.6.
2. За динамические нагрузки принимаются нагрузки, доля которых, учитываемая в расчете на прочность, превышает 0,1 статической части нагрузки, а за многократно повторяющиеся - нагрузки, при которых коэффициент условий работы mа1 по табл. 33 меньше единицы. |
3. По согласованию с изготовителем допускается применение арматурной стали класса А-II марки 10ГТ, класса А-IV марки 20ХГ2Ц и класса А-V марки 23Х2Г2Т диаметром соответственно 36 - 40, 25 - 40 и 6 - 8 мм с областями применения, аналогичными для соответствующих марок стали.
4. Качество упрочненной вытяжкой арматурной стали класса А-IIIв регламентируется согласно приложению 2 "Руководства по технологии изготовления предварительно-напряженных железобетонных конструкций", М., Стройиздат, 1975.
Для закладных деталей и соединительных накладок применяется, как правило, прокатная углеродистая сталь класса С38/23 согласно главе СНиП II-В.3-72 по проектированию стальных конструкций. В качестве арматуры железобетонных конструкций допускается применять другие виды сталей, в том числе осваиваемые промышленностью (например, арматурные канаты - 19-проволочные класса К-19, многопрядные классов К-n), применение которых должно быть согласовано в установленном порядке. Примечание. В дальнейшем в настоящем руководстве для краткости используются следующие термины: "стержень" - для обозначения арматуры любого диаметра, вида и профиля, независимо от того, поставляется ли она в прутках или мотках (бунтах); "диаметр" (d), если не оговорено особо, означает номинальный диаметр стержня арматурной стали. |
2.16. Применяемая в железобетонных конструкциях арматура имеет предел текучести:
физический (стержневая классов А-I, А-II и А-III);
условный, равный величине напряжений, соответствующих остаточному относительному удлинению 0,2% (стержневая классов А-IV и выше, проволочная классов Вр-II, В-II и К-7).
Упрочненная вытяжкой арматура класса А-IIIв и обыкновенная арматурная проволока классов Вр-I и В-I по особенностям расчета условно отнесены к арматуре, имеющей физический предел текучести.
2.17 (2.22). В качестве напрягаемой арматуры предварительно-напряженных железобетонных элементов: при длине до 12 м включительно следует преимущественно применять: а) термически упрочненную арматуру классов Ат-VI и Ат-V; допускается также применять: б) высокопрочную арматурную проволоку классов В-II; Вр-II и арматурные канаты класса К-7, преимущественно в конструкциях, эксплуатирующихся в закрытых помещениях; в) горячекатаную арматуру классов А-V, А-IV и термически упрочненную арматуру класса Ат-IV; г) упрочненную вытяжкой арматуру класса А-IIIв и горячекатаную класса А-III; при длине элемента свыше 12 м следует преимущественно применять: д) высокопрочную арматурную проволоку классов В-II, Вр-II и арматурные канаты класса К-7; е) горячекатаную арматуру класса А-V; допускается также применять: ж) горячекатаную арматуру класса А-IV; з) термически упрочненную арматуру класса Атп-V. 2.18 (2.23). В качестве напрягаемой арматуры предварительно-напряженных элементов, находящихся под давлением газов, жидкостей или сыпучих тел, следует преимущественно применять: а) высокопрочную арматурную проволоку классов В-II, Вр-II и арматурные канаты класса К-7; б) термически упрочненную арматуру классов Ат-VI и Ат-V; в) горячекатаную арматуру класса А-V; допускается также применять: г) горячекатаную арматуру класса А-IV; д) термически упрочненную арматуру класса Ат-IV; для элементов, находящихся под воздействием агрессивной среды, рекомендуется преимущественно применять арматуру классов Атп-V, А-IV, А-IIIв. 2.19 (2.20). В качестве ненапрягаемой арматуры железобетонных конструкций следует преимущественно применять: а) горячекатаную арматуру класса А-III; б) обыкновенную арматурную проволоку диаметром 3 - 5 мм класса Вр-I и класса В-I (в сварных сетках и каркасах); допускается также применять: в) горячекатаную арматуру классов А-II и А-I в основном для поперечной арматуры линейных элементов для конструктивной и монтажной арматуры, а также в качестве продольной рабочей арматуры в случаях, когда использование других видов ненапрягаемой арматуры нецелесообразно или не допускается; г) обыкновенную арматурную проволоку класса В-I диаметром 3 - 5 мм для вязаных хомутов балок высотой до 400 мм и колонн; д) горячекатаную арматуру классов А-IV, А-V и термически упрочненную арматуру классов Ат-IV, Ат-V только для продольной рабочей арматуры вязаных каркасов и сеток; при этом в элементах, выполненных без предварительного напряжения, арматура классов А-V и Ат-V может использоваться только в качестве сжатой арматуры. Ненапрягаемую арматуру классов А-III, А-II и А-I рекомендуется применять в виде сварных каркасов и сварных сеток. 2.20 (2.24). При выборе вида и марок стали для арматуры, устанавливаемой по расчету, должны учитываться температурные условия эксплуатации конструкций и характер их нагружения согласно табл. 16. При возведении в условиях расчетных зимних температур наружного воздуха ниже минус 40 °C конструкции с арматурой, допускаемой для использования только в отапливаемых зданиях, должна быть обеспечена несущая способность конструкции на стадии ее возведения, принимая расчетное сопротивление арматуры с коэффициентом 0,7 и расчетную нагрузку с коэффициентом перегрузки n = 1. 2.21 (2.25). Для монтажных (подъемных) петель элементов сборных железобетонных конструкций должна применяться горячекатаная арматура класса А-II из стали марки 10ГТ и класса А-I из стали марок ВСт3сп2 и ВСт3пс2. В случае, если возможен монтаж конструкций при расчетной зимней температуре ниже минус 40 °C, для монтажных петель не допускается применять сталь марки ВСт3пс2. |
НОРМАТИВНЫЕ И РАСЧЕТНЫЕ ХАРАКТЕРИСТИКИ АРМАТУРЫ
2.22 (2.26). За нормативные сопротивления арматуры принимаются наименьшие контролируемые значения: для стержневой арматуры - предела текучести, физического или условного; для проволочной арматуры - временного сопротивления разрыву (для арматурных канатов это значение определяется по величине разрывного усилия каната в целом). |
| Стержневая арматура класса | Нормативные сопротивления растяжению  и расчетные сопротивления растяжению для предельных состояний второй группы RаII, кгс/см 2 | Стержневая арматура класса | Нормативные сопротивления растяжению  и расчетные сопротивления растяжению для предельных состояний второй группы RаII, кгс/см 2 |
| А-I | 2400 | А-V | 8000 |
| А-II | 3000 | Ат-IV | 6000 |
| А-III | 4000 | Ат-V, Атп-V | 8000 |
| А-IIIв | 5500 | Ат-VI | 10 000 |
| А-IV | 6000 | | |
| Проволочная арматура класса | Диаметр, мм | Нормативные сопротивления растяжению  и расчетные сопротивления растяжению для предельных состояний второй группы RаII, кгс/см 2 |
| В-I | 3 - 5 | 5 500 |
| Вр-I | 3 - 4 | 5 500 |
| 5 | 5 250 |
| В-II | 3 | 19 000 |
| 4 | 18 000 |
| 5 | 17 000 |
| 6 | 16 000 |
| 7 | 15 000 |
| 8 | 14 000 |
| Вр-II | 3 | 18 000 |
| 4 | 17 000 |
| 5 | 16 000 |
| 6 | 15 000 |
| 7 | 14 000 |
| 8 | 13 000 |
| К-7 | 4,5 | 19 000 |
| 6 | 18 550 |
| 7,5 | 18 000 |
| 9 | 17 500 |
| 12 | 17 000 |
| 15 | 16 500 |
Указанные контролируемые характеристики арматуры принимаются в соответствии с государственными стандартами или техническими условиями на арматурные стали и гарантируются с вероятностью не менее 0,95. Нормативные сопротивления  для основных видов стержневой и проволочной арматуры приведены соответственно в табл. 17 и 18. 2.23 (2.27). Расчетные сопротивления арматуры растяжению для предельных состояний первой и второй групп определяются по формуле  (19) где kа - коэффициент безопасности по арматуре, принимаемый по табл. 19. |
| Вид и класс арматуры | Коэффициент безопасности по арматуре kа при расчете конструкций по предельным состояниям |
| первой группы | второй группы |
| Стержневая арматура классов: | | |
| А-I и А-III | 1,15 | 1 |
| А-II | 1,1 | 1 |
| | 1,2 | 1 |
| А-V, Ат-V, Ат-VI и Атп-V | 1,25 | 1 |
| Проволочная арматура классов: | | |
| Вр-I, В-II, Вр-II и К-7 | 1,55 | 1 |
| В-I | 1,75 | 1 |
| -------------------------------- <*> При вытяжке арматуры без контроля натяжения kа = 1,4. |
Расчетные сопротивления арматуры растяжению для основных видов стержневой и проволочной арматуры при расчете конструкций по предельным состояниям первой группы приведены соответственно в табл. 20 и 21, а при расчете по предельным состояниям второй группы - в табл. 17 и 18. 2.24 (2.28). Расчетные сопротивления арматуры сжатию, используемые при расчете конструкций по предельным состояниям первой группы Rа.с при наличии сцепления арматуры с бетоном принимаются равными соответствующим расчетным сопротивлениям арматуры растяжению Rа, но не более 4000 кгс/см 2. Значения расчетных сопротивлений арматуры сжатию для основных видов стержневой и проволочной арматуры приведены соответственно в табл. 20 и 21. |
| Стержневая арматура класса | Расчетные сопротивления арматуры для предельных состояний первой группы, кгс/см2 |
растяжению | сжатию Rа.с |
продольной; поперечной (хомутов и отогнутых стержней) при расчете наклонных сечений на действие изгибающего момента Rа | поперечной (хомутов и отогнутых стержней) при расчете наклонных сечений на действие поперечной силы Rа.х |
| А-I | 2100 | 1700 | 2100 |
| А-II | 2700 | 2150 | 2700 |
| А-III | 3400 | | 3400 |
| | 4500 | 3600 | 4000 |
| А-IV | 5000 | 4000 | 4000 |
| А-V | 6400 | 5100 | 4000 |
| Ат-IV | 5000 | 4000 | 4000 |
| Ат-V, Атп-V | 6400 | 5100 | 4000 |
| Ат-VI | 8000 | 6400 | 4000 |
| -------------------------------- <*> В сварных каркасах для хомутов из арматуры класса А-III, диаметр которых меньше 1/3 диаметра продольных стержней, значение Rа.х принимается равным 2400 кгс/см2. <**> При вытяжке арматуры без контроля напряжения следует принимать Rа = 4000 кгс/см2 и Rа.х = 3200 кгс/см 2. |
При расчете конструкций, для которых расчетное сопротивление бетона принято с учетом коэффициента условий работы mб1 = 0,85 (см. табл. 12), допускается при соблюдении соответствующих конструктивных требований п. 5.41 принимать значения Rа.с равными: для арматуры классов А-IV и Ат-IV - 4500 кгс/см2; для арматуры классов А-V, Ат-V, Ат-VI, Атп-V, Атп-VI, В-II, Вр-II и К-7 - 5000 кгс/см2. При отсутствии сцепления арматуры с бетоном значение Rа.с принимается равным нулю. 2.25 (2.29). Расчетные сопротивления арматуры для предельных состояний первой группы снижаются (или повышаются) путем умножения на соответствующие коэффициенты условий работы mа, учитывающие возможность неполного использования прочностных характеристик арматуры в связи с неравномерным распределением напряжений в сечении, условиями анкеровки, наличием загибов, характером диаграммы растяжения стали, изменением ее свойств в зависимости от условий работы конструкции и т.п. Расчетные сопротивления арматуры для предельных состояний второй группы RаII вводят в расчет с коэффициентом условий работы mа = 1. |
| Проволочная арматура класса | Диаметр, мм | Расчетные сопротивления арматуры для предельных состояний первой группы, кгс/см2 |
растяжению | сжатию Rа.с |
продольной; поперечной (хомутов и отогнутых стержней) при расчете наклонных сечений на действие изгибающего момента Rа | поперечной (хомутов и отогнутых стержней) при расчете наклонных сечений на действие поперечной силы Rа.х |
| В-I | 3 - 5 | 3 150 | 2 200 (1900) | 3150 |
| Вр-I | 3 - 4 | 3 500 | 2600 (2800) | 3500 |
| 5 | 3 400 | 2500 (2700) | 3400 |
| В-II | 3 | 12 300 | 9800 | 4000 |
| 4 | 11 600 | 9300 | 4000 |
| 5 | 11 000 | 8800 | 4000 |
| 6 | 10 300 | 8300 | 4000 |
| 7 | 9 700 | 7700 | 4000 |
| 8 | 9 000 | 7200 | 4000 |
| Вр-II | 3 | 11 600 | 9300 | 4000 |
| 4 | 11 000 | 8800 | 4000 |
| 5 | 10 300 | 8300 | 4000 |
| 6 | 9 700 | 7700 | 4000 |
| 7 | 9 000 | 7200 | 4000 |
| 8 | 8 400 | 6700 | 4000 |
| К-7 | 4,5 | 12 300 | 9800 | 4000 |
| 6 | 11 900 | 9500 | 4000 |
| 7,5 | 11 600 | 9300 | 4000 |
| 9 | 11 300 | 9000 | 4000 |
| 12 | 11 000 | 8800 | 4000 |
| 15 | 10 600 | 8500 | 4000 |
| Примечание. Величины Rа.х в скобках даны для случая применения проволочной арматуры классов В-I и Вр-I в вязаных каркасах. |
| Факторы, обусловливающие введение коэффициентов условий работы арматуры | Характеристика арматуры | Класс арматуры | Коэффициент условий работы арматуры |
условное обозначение | значения коэффициентов |
| | ИС МЕГАНОРМ: примечание. В официальном тексте документа, видимо, допущена опечатка: таблица 33 находится в пункте 3.76, а не в пункте 3.77. | |
|
| 1. Многократное повторение нагрузки | Продольная и поперечная | А-I; А-II; А-III и А-IV; В-I и Вр-I; Атп-V, В-II, Вр-II и К-7 | mа1 | |
| 2. Наличие сварных соединений при многократном повторении нагрузки | Продольная и поперечная при наличии сварных соединений арматуры | А-I, А-II и А-III | mа2 | |
| 3. Зона передачи напряжений и зона анкеровки для арматуры без анкеров | а) Продольная напрягаемая | Независимо от класса | mа3 | lx/lп.н |
| б) Продольная ненапрягаемая | То же | lx/lа.н В формулах поз. 3: lx - расстояние от начала зоны передачи напряжений до рассматриваемого сечения; lп.н, lа.н - соответственно длина зоны передачи напряжений и зоны анкеровки арматуры (см. пп. 2.26 и 5.33) |
| 4. Работа высокопрочной арматуры с напряжениями выше условного предела текучести при расчете нормальных сечений | Продольная растянутая | А-IV и А-V; Ат-IV, Ат-V, Атп-V, Ат-VI, В-II, Вр-II и К-7 | mа4 | |
| 5. Расположение высокопрочной проволоки попарно вплотную без зазора | Продольная арматура | В-II, Вр-II | mа5 | 0,85 |
| 6. Отгиб напрягаемой арматуры на угол до 45° вокруг штыря диаметром менее 8 d | Отогнутая напрягаемая арматура при расчете на изгиб на участке длиной 5d в каждую сторону от места перегиба | А-IIIв, А-IV, А-V, Ат-IV, Ат-V, Атп-V, К-7, В-II, Вр-II | mа6 |  , где  - угол наклона (град) отогнутой арматуры к продольной оси элемента |
| Примечание. Коэффициенты mа1 и mа2 по поз. 1 и 2 настоящей таблицы учитываются только при расчете на выносливость; для арматуры, имеющей сварные соединения, эти коэффициенты учитываются одновременно. |
Расчетное сопротивление поперечной арматуры (хомутов и отогнутых стержней) на действие поперечных сил Rа.х снижается путем умножения на следующие коэффициенты условий работы mа.х, учитывающие особенности работы такой арматуры: а) независимо от вида и класса арматуры - коэффициент mа.х = 0,8, учитывающий неравномерность распределения напряжений в арматуре по длине наклонного сечения; кроме того, при применении: б) стержневой арматуры класса А-III диаметром менее 1/3 диаметра продольных стержней и проволочной арматуры классов В-I и Вр-I в сварных каркасах - коэффициент mа.х = 0,9, учитывающий возможность хрупкого разрушения сварного соединения; в) проволочной арматуры класса В-I в вязаных каркасах - коэффициент mа.х = 0,75, учитывающий ее пониженное сцепление с бетоном. Расчетные сопротивления растяжению поперечной арматуры (хомутов и отогнутых стержней) с учетом указанных выше коэффициентов условий работы арматуры Rа.х приведены в табл. 20 и 21. Кроме того, расчетные сопротивления Rа, Rа.с и Rа.х в соответствующих случаях следует умножать на коэффициенты условий работы согласно табл. 22. 2.26 (2.30). Длина зоны передачи напряжений lп.н для напрягаемой арматуры без анкеров определяется по формуле  (20) |
где
mп.н и

принимаются по табл. 23.
| Вид и класс арматуры | Диаметр, мм | Коэффициенты для определения длины зоны передачи напряжений lп.н напрягаемой арматуры, применяемой без анкеров |
mп.н | |
| 1. Стержневая арматура периодического профиля независимо от класса | Независимо от диаметра | 0,3 | 10 |
| 2. Высокопрочная арматурная проволока периодического профиля класса Вр-II | 5 | 1,8 | 40 |
| 4 | 1,8 | 50 |
| 3 | 1,8 | 60 |
| 3. Арматурные канаты класса К-7 | 15 | 1,25 | 25 |
| 12 | 1,4 | 25 |
| 9 | 1,6 | 30 |
| 7,5 - 4,5 | 1,8 | 40 |
При мгновенной передаче усилия обжатия на бетон для стержневой арматуры периодического профиля значения mп.н и  увеличиваются в 1,25 раза. При диаметре стержней более 18 мм мгновенная передача усилий не допускается. В элементах конструкций, эксплуатируемых при расчетных зимних температурах наружного воздуха ниже минус 40 °C, величина  увеличивается в 2 раза. Для стержневой арматуры периодического профиля всех классов величина lп.н принимается не менее 15d. Начало зоны передачи напряжений при мгновенной передаче усилия обжатия на бетон для проволочной арматуры (за исключением высокопрочной проволоки класса Вр-II с внутренними анкерами по длине заделки) принимается на расстоянии 0,25lп.н от торца элемента. 2.27 (2.31). Величины модуля упругости арматуры Eа принимаются по табл. 24 |
| Класс арматуры | Модуль упругости арматуры Eа, кгс/см2 | Класс арматуры | Модуль упругости арматуры Eа, кгс/см2 |
| А-I, А-II | 2 100 000 | В-I, В-II, Вр-II | 2 000 000 |
| А-III, А-IV, А-IIIв | 2 000 000 | К-7 | 1 800 000 |
| А-V, Ат-IV, Ат-V, Ат-VI, Атп-V | 1 900 000 | Вр-I | 1 700 000 |
3. РАСЧЕТ ЭЛЕМЕНТОВ ЖЕЛЕЗОБЕТОННЫХ КОНСТРУКЦИЙ
ПО ПРЕДЕЛЬНЫМ СОСТОЯНИЯМ ПЕРВОЙ ГРУППЫ
РАСЧЕТ ЖЕЛЕЗОБЕТОННЫХ ЭЛЕМЕНТОВ ПО ПРОЧНОСТИ
3.1. С целью учета влияния вероятной длительности действия нагрузок на прочность бетона расчет железобетонных элементов по прочности в общем случае производится:
а) на действие постоянных, длительных и кратковременных нагрузок, кроме нагрузок, суммарная длительность действия которых мала (ветровые нагрузки, крановые нагрузки, нагрузки от транспортных средств; нагрузки, возникающие при транспортировании и возведении и т.п.), а также на действие особых нагрузок, вызванных деформациями просадочных, набухающих вечномерзлых и тому подобных грунтов; в этом случае расчетные сопротивления бетона сжатию и растяжению (
Rпр и
Rр) принимаются по
табл. 12 при
mб1 = 0,85;
б) на действие всех нагрузок, в этом случае расчетные сопротивления бетона сжатию и растяжению (
Rпр и
Rр) принимаются по
табл. 12 при
mб1 = 1,1.
Если конструкция эксплуатируется в условиях, благоприятных для нарастания прочности бетона (твердение под водой, во влажном грунте или при влажности окружающего воздуха выше 75%, см.
п. 1.6), расчет по
случаю "а" можно производить при
mб1 = 1.
При расчете прочности в стадии изготовления коэффициент mб1 принимается равным единице.
При отсутствии нагрузок с малой суммарной длительностью действия, а также аварийных нагрузок расчет прочности производится только по
случаю "а".
При наличии нагрузок с малой суммарной длительностью действия или аварийных нагрузок расчет производится только по
случаю "б", если выполняется условие
где
PI и
PII - усилия (моменты или силы) соответственно от нагрузок, используемых при расчете по
случаю "а" и по
случаю "б"; при расчете сечений, нормальных к продольной оси внецентренно нагруженного элемента,
PI и
PII - моменты внешних сил относительно оси, проходящей через наиболее растянутый (или наименее сжатый) стержень арматуры.
Допускается производить расчет только по
случаю "б" и при невыполнении
условия 21, вводя в расчетное сопротивление бетона
Rпр и
Rр (при
mб1 = 1) коэффициент
mб.д = 0,85
PII/
PI <= 1,1.
Для конструкций, эксплуатируемых в условиях, благоприятных для нарастания прочности бетона,
условие (21) приобретает вид
PI < 0,9
PII, а коэффициент
mб.д принимают равным
mб.д =
PII/
PI.
Для внецентренно сжатых элементов, рассчитываемых по недеформированной схеме, значения PI и PII можно определять без учета прогиба элемента.
Примечание. Если при учете особых нагрузок вводится дополнительный коэффициент условий работы согласно указаниям соответствующих нормативных документов (например, при учете сейсмических нагрузок), коэффициент mб1 принимается равным единице.
3.2 (3.9). Расчет по прочности элементов железобетонных конструкций должен производиться для сечений, нормальных к их продольной оси, а также для наклонных к ней сечений наиболее опасного направления; при наличии крутящих моментов следует проверить прочность пространственных сечений, ограниченных в растянутой зоне спиральной трещиной, наиболее опасного из возможных направлений. |
Кроме того, должен производиться расчет на местное действие нагрузки (смятие бетона, в том числе под анкерами напрягаемой арматуры, продавливание, отрыв), выполняемый в соответствии с указаниями "
Руководства по проектированию бетонных и железобетонных конструкций из тяжелого бетона (без предварительного напряжения)".
При напрягаемой арматуре, не имеющей сцепления с бетоном, расчет элементов по прочности производится по специальным указаниям.
РАСЧЕТ СЕЧЕНИЙ, НОРМАЛЬНЫХ К ПРОДОЛЬНОЙ ОСИ ЭЛЕМЕНТА
ОБЩИЕ УКАЗАНИЯ
3.3 (3.11). Расчет сечений, нормальных к продольной оси элемента, когда изгибающий момент действует в плоскости оси симметрии сечения и арматура сосредоточена у перпендикулярных к указанной плоскости граней элемента, должен производиться согласно пп. 3.6 - 3.16 в зависимости от соотношения между относительной высотой сжатой зоны бетона  , определяемой из условий равновесия, и граничным значением относительной высоты сжатой зоны бетона  (см. п. 3.6), при которой предельное состояние элемента наступает одновременно с достижением в растянутой арматуре напряжения, равного расчетному сопротивлению Rа. |
Примечание. Если часть арматуры
A с условным пределом текучести (см.
п. 2.16) применяется без предварительного напряжения, то расчет по вышеуказанным пунктам производят, учитывая следующее:
величина Fн заменяется на Fн.у - суммарную площадь сечения напрягаемой и ненапрягаемой арматуры A с условным пределом текучести, при этом в значении Fа учитывается только ненапрягаемая арматура с физическим пределом текучести;
предварительное напряжение

в арматуре с площадью сечения
Fн.у принимается равным усредненному его значению

.
3.4 (3.18). Расчет изгибаемых элементов кольцевого сечения при соотношении внутреннего и наружного радиусов r1/ r2 >= 0,5 с арматурой, равномерно распределенной по окружности (при числе продольных стержней не менее 6), должен производиться как для внецентренно сжатых элементов согласно п. 3.49, принимая величину продольной силы N = 0 и подставляя вместо Ne0 значение изгибающего момента M. |
3.5. Расчет нормальных сечений, не оговоренных в
пп. 3.3 и 3.4, а также в
п. 3.17, следует производить по формулам общего случая расчета нормального сечения изгибаемого элемента согласно
п. 3.18.
При расчете элемента с применением ЭВМ во всех случаях рекомендуется пользоваться
п. 3.18.
3.6 (3.12). Граничное значение относительной высоты сжатой зоны бетона  определяется по формуле  (22) где  - характеристика сжатой зоны бетона;  (23) здесь Rпр - в кгс/см2; |

- предельное напряжение, кгс/см
2, в арматуре сжатой зоны, принимаемое для всех видов арматуры равным:
5000 - при использовании коэффициента условий работы бетона mб1 = 0,85 (см. п. 3.1); 4000 - при использовании коэффициента mб1 = 1 или mб1 = 1,1;  - напряжение, кгс/см 2, в арматуре растянутой зоны, принимаемое равным: для арматуры с условным пределом текучести (см. п. 2.16) для арматуры с физическим пределом текучести  - определяется при коэффициенте mт (см. п. 1.24) меньшем единицы. |
При наличии напрягаемой и ненапрягаемой арматуры

определяется по напрягаемой арматуре. При напрягаемой арматуре разных классов допускается принимать наибольшее значение

.
Для некоторых классов арматуры значения

приведены в
табл. 25.
3.7 (3.13). При расчете по прочности железобетонных элементов, если соблюдается условие  , расчетное сопротивление арматуры Rа должно быть умножено на коэффициент условий работы mа4, определяемый по формуле  (24) где  - максимальное значение коэффициента mа4, принимаемое равным для арматуры: классов А-IV и Ат-IV - 1,2; классов А-V, Ат-V, Атп-V, В-II, Вр-II и К-7 - 1,15; класса Ат-VI - 1,1; прочих классов - 1;  , где x - высота сжатой зоны бетона, определяемая согласно пп. 3.9, 3.13, а при наличии продольной силы - согласно пп. 3.47, 3.48, 3.56; при этом значение Rа допускается принимать без учета коэффициента mа4Коэффициент условий работы mа4"(mа4) не следует учитывать для арматуры элементов: рассчитываемых на действие многократно повторяющейся нагрузки; армированных высокопрочной проволокой, расположенной вплотную (без зазоров); эксплуатируемых в агрессивной среде, а также в зоне передачи напряжений (см. п. 2.26). |
Коэффициент условий работы бетона, mб1 | Класс растянутой арматуры | Обозначение | | Значения  и AR для бетона марок |
М200 | М250 | М300 | М350 | М400 | М450 | М500 | М600 | М700 | М800 |
0,85 | А-IIIв | | 1 | 0,79 | 0,77 | 0,76 | 0,75 | 0,73 | 0,71 | 0,7 | 0,68 | 0,66 | 0,64 |
0,6 | 0,72 | 0,7 | 0,68 | 0,67 | 0,65 | 0,63 | 0,62 | 0,6 | 0,58 | 0,56 |
0,4 | 0,69 | 0,67 | 0,65 | 0,64 | 0,62 | 0,6 | 0,59 | 0,57 | 0,54 | 0,52 |
AR | 1 | 0,48 | 0,47 | 0,47 | 0,47 | 0,46 | 0,46 | 0,46 | 0,45 | 0,44 | 0,44 |
0,6 | 0,46 | 0,45 | 0,45 | 0,45 | 0,44 | 0,43 | 0,43 | 0,42 | 0,41 | 0,4 |
0,4 | 0,45 | 0,44 | 0,44 | 0,43 | 0,43 | 0,42 | 0,41 | 0,41 | 0,4 | 0,39 |
А-IV и Ат-IV | | 1 | 0,64 | 0,63 | 0,61 | 0,59 | 0,58 | 0,56 | 0,54 | 0,52 | 0,5 | 0,48 |
0,6 | 0,59 | 0,57 | 0,55 | 0,54 | 0,52 | 0,5 | 0,49 | 0,47 | 0,45 | 0,43 |
0,4 | 0,57 | 0,55 | 0,53 | 0,51 | 0,5 | 0,48 | 0,47 | 0,45 | 0,43 | 0,41 |
AR | 1 | 0,44 | 0,43 | 0,42 | 0,42 | 0,41 | 0,4 | 0,4 | 0,39 | 0,38 | 0,37 |
0,6 | 0,42 | 0,41 | 0,4 | 0,39 | 0,38 | 0,38 | 0,37 | 0,36 | 0,35 | 0,34 |
0,4 | 0,41 | 0,4 | 0,39 | 0,38 | 0,37 | 0,36 | 0,36 | 0,35 | 0,33 | 0,32 |
А-V Ат-V и Атп-V | | 1 | 0,64 | 0,63 | 0,61 | 0,59 | 0,58 | 0,56 | 0,54 | 0,52 | 0,5 | 0,48 |
0,6 | 0,58 | 0,56 | 0,54 | 0,52 | 0,51 | 0,49 | 0,48 | 0,46 | 0,43 | 0,42 |
0,4 | 0,55 | 0,53 | 0,51 | 0,50 | 0,48 | 0,46 | 0,45 | 0,43 | 0,41 | 0,39 |
AR | 1 | 0,44 | 0,43 | 0,42 | 0,42 | 0,41 | 0,4 | 0,4 | 0,39 | 0,38 | 0,37 |
0,6 | 0,41 | 0,4 | 0,39 | 0,39 | 0,38 | 0,37 | 0,36 | 0,35 | 0,34 | 0,33 |
0,4 | 0,4 | 0,39 | 0,38 | 0,37 | 0,36 | 0,35 | 0,35 | 0,34 | 0,32 | 0,31 |
Ат-VI | | 1 | 0,64 | 0,63 | 0,61 | 0,59 | 0,58 | 0,56 | 0,54 | 0,52 | 0,5 | 0,48 |
0,6 | 0,56 | 0,54 | 0,52 | 0,51 | 0,49 | 0,47 | 0,46 | 0,44 | 0,42 | 0,4 |
0,4 | 0,53 | 0,51 | 0,49 | 0,48 | 0,46 | 0,44 | 0,43 | 0,41 | 0,39 | 0,37 |
AR | 1 | 0,44 | 0,43 | 0,42 | 0,42 | 0,41 | 0,4 | 0,4 | 0,39 | 0,38 | 0,37 |
0,6 | 0,4 | 0,4 | 0,39 | 0,38 | 0,37 | 0,36 | 0,36 | 0,34 | 0,33 | 0,32 |
0,4 | 0,39 | 0,38 | 0,37 | 0,36 | 0,35 | 0,34 | 0,34 | 0,33 | 0,31 | 0,3 |
К-7 (  ,  ) В-II (  ,  ) Вр-II (  ,  ) | | 1 | 0,64 | 0,63 | 0,61 | 0,59 | 0,58 | 0,56 | 0,54 | 0,52 | 0,5 | 0,48 |
0,6 | 0,54 | 0,52 | 0,5 | 0,48 | 0,47 | 0,45 | 0,44 | 0,42 | 0,4 | 0,38 |
0,4 | 0,49 | 0,48 | 0,46 | 0,44 | 0,43 | 0,41 | 0,4 | 0,38 | 0,36 | 0,34 |
AR | 1 | 0,44 | 0,43 | 0,42 | 0,42 | 0,41 | 0,4 | 0,4 | 0,39 | 0,38 | 0,37 |
0,6 | 0,39 | 0,38 | 0,37 | 0,37 | 0,36 | 0,35 | 0,34 | 0,33 | 0,32 | 0,31 |
0,4 | 0,37 | 0,36 | 0,35 | 0,35 | 0,34 | 0,33 | 0,32 | 0,31 | 0,29 | 0,28 |
1 и 1,1 | А-IIIв | | 1 | 0,77 | 0,75 | 0,73 | 0,71 | 0,7 | 0,68 | 0,66 | 0,63 | 0,61 | 0,58 |
0,6 | 0,68 | 0,66 | 0,64 | 0,62 | 0,6 | 0,58 | 0,56 | 0,53 | 0,5 | 0,48 |
0,4 | 0,64 | 0,62 | 0,6 | 0,58 | 0,56 | 0,54 | 0,52 | 0,49 | 0,46 | 0,44 |
AR | 1 | 0,47 | 0,47 | 0,46 | 0,46 | 0,45 | 0,45 | 0,44 | 0,43 | 0,42 | 0,41 |
0,6 | 0,45 | 0,44 | 0,43 | 0,43 | 0,42 | 0,41 | 0,4 | 0,39 | 0,38 | 0,36 |
0,4 | 0,44 | 0,43 | 0,42 | 0,41 | 0,4 | 0,39 | 0,39 | 0,37 | 0,36 | 0,34 |
А-IV и Ат-IV | | 1 | 0,59 | 0,57 | 0,55 | 0,53 | 0,51 | 0,49 | 0,47 | 0,45 | 0,42 | 0,39 |
0,6 | 0,53 | 0,51 | 0,49 | 0,47 | 0,45 | 0,43 | 0,41 | 0,39 | 0,36 | 0,34 |
0,4 | 0,5 | 0,48 | 0,46 | 0,44 | 0,43 | 0,41 | 0,39 | 0,36 | 0,34 | 0,32 |
AR | 1 | 0,42 | 0,41 | 0,4 | 0,39 | 0,38 | 0,37 | 0,36 | 0,35 | 0,33 | 0,32 |
0,6 | 0,39 | 0,38 | 0,37 | 0,36 | 0,35 | 0,34 | 0,33 | 0,31 | 0,3 | 0,28 |
0,4 | 0,38 | 0,37 | 0,36 | 0,34 | 0,34 | 0,32 | 0,31 | 0,3 | 0,28 | 0,27 |
А-V, Ат-V и Атп-V | | 1 | 0,59 | 0,57 | 0,55 | 0,53 | 0,51 | 0,49 | 0,47 | 0,45 | 0,42 | 0,39 |
0,6 | 0,52 | 0,49 | 0,47 | 0,45 | 0,44 | 0,42 | 0,4 | 0,37 | 0,35 | 0,33 |
0,4 | 0,48 | 0,46 | 0,44 | 0,42 | 0,41 | 0,39 | 0,37 | 0,35 | 0,32 | 0,3 |
AR | 1 | 0,42 | 0,41 | 0,4 | 0,39 | 0,38 | 0,37 | 0,36 | 0,35 | 0,33 | 0,32 |
0,6 | 0,38 | 0,37 | 0,36 | 0,35 | 0,34 | 0,33 | 0,32 | 0,3 | 0,29 | 0,27 |
0,4 | 0,37 | 0,36 | 0,35 | 0,33 | 0,32 | 0,31 | 0,3 | 0,29 | 0,27 | 0,25 |
Ат-VI | | 1 | 0,59 | 0,57 | 0,55 | 0,53 | 0,51 | 0,49 | 0,47 | 0,45 | 0,42 | 0,39 |
0,6 | 0,5 | 0,48 | 0,46 | 0,44 | 0,42 | 0,4 | 0,39 | 0,36 | 0,34 | 0,31 |
0,4 | 0,46 | 0,44 | 0,42 | 0,4 | 0,39 | 0,37 | 0,35 | 0,33 | 0,3 | 0,28 |
AR | 1 | 0,42 | 0,41 | 0,4 | 0,39 | 0,38 | 0,37 | 0,36 | 0,35 | 0,33 | 0,32 |
0,6 | 0,37 | 0,36 | 0,35 | 0,34 | 0,33 | 0,32 | 0,31 | 0,3 | 0,28 | 0,26 |
0,4 | 0,36 | 0,34 | 0,33 | 0,32 | 0,31 | 0,3 | 0,29 | 0,27 | 0,26 | 0,24 |
К-7 (  ,  ) В-II (  ,  ) Вр-II (  ,  ) | | 1 | 0,59 | 0,57 | 0,55 | 0,53 | 0,51 | 0,49 | 0,47 | 0,45 | 0,42 | 0,39 |
0,6 | 0,47 | 0,45 | 0,43 | 0,41 | 0,39 | 0,38 | 0,36 | 0,34 | 0,31 | 0,29 |
0,4 | 0,43 | 0,41 | 0,39 | 0,37 | 0,35 | 0,34 | 0,32 | 0,3 | 0,28 | 0,26 |
AR | 1 | 0,42 | 0,41 | 0,4 | 0,39 | 0,38 | 0,37 | 0,36 | 0,35 | 0,33 | 0,32 |
0,6 | 0,36 | 0,35 | 0,34 | 0,33 | 0,32 | 0,3 | 0,3 | 0,28 | 0,26 | 0,25 |
0,4 | 0,34 | 0,32 | 0,31 | 0,3 | 0,29 | 0,28 | 0,27 | 0,25 | 0,24 | 0,22 |

- предварительное напряжение при коэффициенте
mт, меньшем единицы (см.
п. 1.24).
Примечания: 1. При подборе арматуры, когда неизвестно напряжение

, допускается значение

и
AR определять при

.
2. При использовании коэффициентов
mб из
табл. 13 не допускается применение табличных значений

и
AR.
3. При использовании коэффициента
mб.д согласно
п. 3.1 табличные значения

и
AR принимаются при
mб1 = 1.
При наличии сварных стыков в зоне элемента с изгибающими моментами, превышающими 0,9Mмакс (где Mмакс - максимальный расчетный момент), значение коэффициента mа4 для арматуры классов А-IV и А-V принимается не более 1,1. 3.8 (3.14). Напрягаемая арматура, расположенная в сжатой от действия внешних сил зоне и имеющая сцепление с бетоном, вводится в расчет с напряжением  , равным  , кгс/см 2, (где  - определяется при коэффициенте mт, большем единицы,  - см. п. 3.6), но не более Rа.с. |
3.9
(3.15). Расчет прямоугольных сечений, указанных в
п. 3.3 (рис. 5), производится следующим образом в зависимости от высоты сжатой зоны

(25)
Рис. 5. Поперечное прямоугольное сечение
изгибаемого железобетонного элемента
а) при

из условия

(26)
б) при

из условия

(27)
При напрягаемой арматуре растянутой зоны классов А-IIIв и А-III значение

в условии (27) заменяется на
AR.
В условии (27) значения AR и A0 вычисляются по формулам:
Таблица 26
Значения

,

и
A0
| | A0 | | | A0 | | | A0 |
0,01 | 0,995 | 0,01 | 0,26 | 0,87 | 0,226 | 0,51 | 0,745 | 0,38 |
0,02 | 0,99 | 0,02 | 0,27 | 0,865 | 0,234 | 0,52 | 0,74 | 0,385 |
0,03 | 0,985 | 0,03 | 0,28 | 0,86 | 0,241 | 0,53 | 0,735 | 0,39 |
0,04 | 0,98 | 0,039 | 0,29 | 0,855 | 0,248 | 0,54 | 0,73 | 0,394 |
0,05 | 0,975 | 0,049 | 0,3 | 0,85 | 0,255 | 0,55 | 0,725 | 0,399 |
0,06 | 0,97 | 0,058 | 0,31 | 0,845 | 0,262 | 0,56 | 0,72 | 0,403 |
0,07 | 0,965 | 0,068 | 0,32 | 0,84 | 0,269 | 0,57 | 0,715 | 0,407 |
0,08 | 0,96 | 0,077 | 0,33 | 0,835 | 0,276 | 0,58 | 0,71 | 0,412 |
0,09 | 0,955 | 0,086 | 0,34 | 0,83 | 0,282 | 0,59 | 0,705 | 0,416 |
0,1 | 0,95 | 0,095 | 0,35 | 0,825 | 0,289 | 0,6 | 0,7 | 0,42 |
0,11 | 0,945 | 0,104 | 0,36 | 0,82 | 0,295 | 0,62 | 0,69 | 0,428 |
0,12 | 0,94 | 0,113 | 0,37 | 0,815 | 0,302 | 0,64 | 0,68 | 0,435 |
0,13 | 0,935 | 0,122 | 0,38 | 0,81 | 0,308 | 0,66 | 0,67 | 0,442 |
0,14 | 0,93 | 0,13 | 0,39 | 0,805 | 0,314 | 0,68 | 0,66 | 0,449 |
0,15 | 0,925 | 0,139 | 0,4 | 0,8 | 0,32 | 0,7 | 0,65 | 0,455 |
0,16 | 0,92 | 0,147 | 0,41 | 0,795 | 0,326 | 0,72 | 0,64 | 0,461 |
0,17 | 0,915 | 0,156 | 0,42 | 0,79 | 0,332 | 0,74 | 0,63 | 0,466 |
0,18 | 0,91 | 0,164 | 0,43 | 0,785 | 0,338 | 0,76 | 0,62 | 0,471 |
0,19 | 0,905 | 0,172 | 0,44 | 0,78 | 0,343 | 0,78 | 0,61 | 0,476 |
0,2 | 0,9 | 0,18 | 0,45 | 0,775 | 0,349 | 0,8 | 0,6 | 0,48 |
0,21 | 0,895 | 0,188 | 0,46 | 0,77 | 0,354 | 0,85 | 0,575 | 0,489 |
0,22 | 0,89 | 0,196 | 0,47 | 0,765 | 0,36 | 0,9 | 0,55 | 0,495 |
0,23 | 0,885 | 0,204 | 0,48 | 0,76 | 0,365 | 0,95 | 0,525 | 0,499 |
0,24 | 0,88 | 0,211 | 0,49 | 0,755 | 0,37 | 1,0 | 0,5 | 0,5 |
0,25 | 0,875 | 0,219 | 0,5 | 0,75 | 0,375 | - | - | - |
Для изгибаемых элементов прямоугольного сечения |
При большом количестве в растянутой зоне ненапрягаемой арматуры с физическим пределом текучести (см.
п. 2.16) (при
RаFа > 0,2
RаFн) и напрягаемой арматуре с условным пределом текучести в
условии (27) величину

следует заменить на
AR, а при напрягаемой арматуре с физическим пределом текучести значения

и
AR определяются по ненапрягаемой арматуре. В этих случаях, если

, несущую способность сечения при необходимости можно несколько увеличить, производя расчет по формулам общего случая согласно
п. 3.18.
Значение

при сопоставлении его с

допускается определять при
mа4 = 1.
Если из
формулы (25) x < 0, то прочность сечения проверяется из условия

(28)
3.10
(3.17). Изгибаемые элементы рекомендуется проектировать так, чтобы обеспечить выполнение условия

. Невыполнение этого условия можно допустить лишь в том случае, когда площадь сечения растянутой арматуры определена из расчета по предельным состояниям второй группы или принята по конструктивным соображениям.
3.11. Продольная арматура
A при отсутствии напрягаемой арматуры в сжатой зоне подбирается следующим образом.
Вычисляется значение

(29)
Если
A0 <=
AR (см.
табл. 25), то сжатой ненапрягаемой арматуры по расчету не требуется. В этом случае площадь сечения напрягаемой арматуры в растянутой зоне при известной ненапрягаемой растянутой арматуре
Fа (например, принятой из конструктивных соображений) определяется по формуле

(30)
где значение

и значение

, необходимое для вычисления
mа4 (см.
п. 3.7), определяются по
табл. 26 в зависимости от
A0.
Если
A0 >
AR, то требуется увеличить сечение или повысить марку бетона или установить сжатую ненапрягаемую арматуру согласно
п. 3.12.
Примечание. При ненапрягаемой арматуре с физическим пределом текучести, когда выполняется условие
RаFа > 0,2
RаFн, значения

и
AR определяются по ненапрягаемой арматуре.
3.12. Требуемая площадь сечения сжатой ненапрягаемой арматуры при известной напрягаемой арматуре
A' (например, принятой из условия ограничения начальных трещин) определяется по формуле

(31)
Если принятая площадь сечения сжатой арматуры близка к ее значению F'а, вычисленному по формуле (31), то требуемая площадь сечения напрягаемой арматуры, расположенной в растянутой зоне, определяется по формуле

(32)
Если принятая площадь сечения сжатой арматуры
F'а значительно превышает ее требуемое значение из
формулы (31), то площадь сечения напрягаемой арматуры растянутой зоны определяется с учетом фактического значения
F'а.
В любом случае при наличии учитываемой в расчете арматуры A' площадь сечения напрягаемой арматуры растянутой зоны определяется по формуле

(33)
где

определяется по
табл. 26 в зависимости от значения

(34)
которое должно удовлетворять условию
A0 <=
AR (см.
табл. 25);
Если A0 < 0, значение Fн определяется по формуле

(35)
ТАВРОВЫЕ И ДВУТАВРОВЫЕ СЕЧЕНИЯ
3.13 (3.16). Расчет сечений, имеющих полку в сжатой зоне (тавровых, двутавровых и т.п.) и указанных в п. 3.3, должен производиться в зависимости от положения границы сжатой зоны: |
Рис. 6. Форма сжатой зоны в двутавровом
поперечном сечении железобетонного элемента
а - при расположении границы сжатой зоны
в полке; б - то же, в ребре
а) если граница сжатой зоны проходит в полке ( рис. 6, а), т.е. соблюдается условие  (36) то расчет производится как для прямоугольного сечения шириной b'п в соответствии с указаниями п. 3.9; |
б) если граница сжатой зоны проходит в ребре (
рис. 6, б), т.е.
условие (36) не соблюдается, расчет производится следующим образом в зависимости от высоты сжатой зоны

(37)
при

из условия

(38)
при

из условия

(39)
при напрягаемой арматуре растянутой зоны классов А-IIIв и А-III значение

в
условии (39) заменяется на
AR;
Значение

при его сопоставлении с

допускается определять при
mа4 = 1.
При большом количестве в растянутой зоне ненапрягаемой арматуры с физическим пределом текучести (когда
RаFа > 0,2
RаFн) следует учитывать указания
п. 3.9. Кроме того, следует учитывать указание
п. 3.10.
Примечания. 1. При переменной высоте свесов полки допускается принимать значение h'п равным средней высоте свесов.
2. Ширина сжатой полки
b'п, вводимая в расчет, не должна превышать величин, указанных в
п. 3.16.
3.14. Требуемая площадь сечения сжатой ненапрягаемой арматуры определяется по формуле

(40)
где AR определяется по формуле
При этом, если

, значение
F'а определяется как для прямоугольных сечений шириной
b =
b'п согласно
п. 3.12.
3.15. Требуемая площадь сечения напрягаемой арматуры, расположенной в растянутой зоне, определяется следующим образом:
а) если граница сжатой зоны проходит в полке, т.е. соблюдается условие

(41)
площадь сечения растянутой арматуры определяется как для прямоугольного сечения шириной
b'п в соответствии с указаниями
пп. 3.11 и
3.12;
б) если граница сжатой зоны проходит в ребре, т.е.
условие (41) не соблюдается, площадь сечения растянутой напрягаемой арматуры определяется по формуле

(42)
где

- определяется по
табл. 26 в зависимости от значения

(43)
При этом должно удовлетворяться условие

,
3.16 (3.16). Вводимая в расчет ширина сжатой полки bп принимается из условия, что ширина свеса в каждую сторону от ребра должна быть не более 1/6 пролета элемента и не более: а) при наличии поперечных ребер или при h'п > 0,1h - 1/2 расстояния в свету между продольными ребрами; б) при отсутствии поперечных ребер (или при расстояниях между ними,  , чем расстояния между продольными ребрами) и при h'п <= 0,1 h - 6 h'п; в) при консольных свесах полки: при h'п > 0,1h - 6h'п; при 0,05h <= h'п < 0,1h - 3h'п; при h'п < 0,05h - свесы не учитываются. |
ПРИМЕРЫ РАСЧЕТА
Пример 3. Дано: размеры сечения
b = 30 см,
h = 70 см,
a = 5 см; нагрузки с малой суммарной длительностью отсутствуют; бетон марки М300 (
Rпр = 115 кгс/см
2 при
mб1 = 0,85); предварительно-напряженная арматура
A класса А-IV (
Rа = 5000 кгс/см
2); площадь ее сечения
Fн = 18,47 см
2 
; предварительное напряжение в напрягаемой арматуре (с учетом всех потерь при
mт < 1)

; ненапрягаемая арматура
A класса А-III (
Rа = 3400 кгс/см
2), площадь ее сечения
Fа = 2,36 см
2 
; изгибающий момент
M = 50 тс·м.
Требуется проверить прочность сечения.
Расчет. h0 = 70 - 5 = 65 см.
Из
формулы (25) определим значение

без учета коэффициента
mа4.
Из
табл. 25 при
mб1 = 0,85, классе арматуры А-IV, марке бетона М300 и

находим значение

.
Высота сжатой зоны x:
Rпрbx(h0 - 0,5x) = 115·30·30,2(65 - 0,5·30,2) =
= 5 200 000 кгс·см = 52 тс·м > M = 50 тс·м,
т.е. прочность сечения обеспечена.
Пример 4. Дано: размеры сечения
b = 30 см,
h = 70 см,
a = 5 см;
a'н = 3 см; бетон марки М400 (
Rпр = 150 кгс/см
2 при
mб1 = 0,85); предварительно-напряженная арматура класса Вр-II диаметром 5 мм (
Rа = 10 300 кгс/см
2); ненапрягаемая арматура класса А-III (
Rа = 3400 кгс/см
2); предварительное напряжение с учетом всех потерь для арматуры
A равно:

, а для арматуры
A' равно:

; натяжение арматуры механическое; площадь сечения арматуры
A:
Fн = 15,7 см
2 
и
Fа = 2,36 см
2 
, арматура
A':
F'н = 3,92 см
2 
; изгибающий момент
M = 65 тс·м.
Требуется проверить прочность сечения.
Расчет. h0 = 70 - 5 = 65 см.
Определяем напряжение в предварительно-напряженной арматуре сжатой зоны

согласно
п. 3.8, принимая в соответствии с
п. 1.24 mт = 1,1.
Напряжение

в напрягаемой арматуре
A с учетом коэффициента
mт = 0,9 равно:

.
Из
табл. 25 при
mб1 = 0,85, классе арматуры Вр-II, марке бетона М400 и

находим значение

.
т.е. прочность сечения обеспечена.
Пример 5. Дано: размеры сечения
b = 30 см,
h = 70 см,
a =
a'а = 5 см; бетон марки М300 (
Rпр = 115 кгс/см
2 при
mб1 = 0,85); предварительно-напряженная арматура
A класса А-IV (
Rа = 5000 кгс/см
2), ненапрягаемая арматура
A' класса А-III (
Rа = 3400 кгс/см
2) площадью сечения
F'а = 8,04 см
2 
, изгибающий момент
M = 50 тс·м.
Требуется определить площадь сечения продольной напрягаемой арматуры.
Расчет. h0 = 70 - 5 = 65 см.
Площадь сечения продольной напрягаемой арматуры, расположенной в растянутой зоне, определяем согласно
п. 3.12.
Из
табл. 25 при
mб1 = 0,85, классе арматуры А-IV, марке бетона М300, принимая согласно примечанию

, находим значения

и
AR = 0,4.
Поскольку
A0 = 0,231 <
AR = 0,4, площадь сечения
Fн определяем по
формуле (33).
Из
табл. 26 по значению
A0 = 0,231 находим величину

.
Отсюда
Принимаем в сечении

(
Fн = 15,98 см
2).
ТАВРОВЫЕ И ДВУТАВРОВЫЕ СЕЧЕНИЯ
Пример 6. Дано: размеры сечения b'п = 112 см, h'п = 3 см, b = 10 см, h = 30 см, a = 3 см; бетон марки М300 (Rпр = 115 кгс/см2 при mб1 = 0,85); предварительно-напряженная арматура A класса А-IV (Rа = 5000 кгс/см2); изгибающий момент M = 2,3 тс·м.
Требуется определить площадь сечения арматуры.
Расчет. h0 = 30 - 3 = 27 см.
Расчет ведем согласно указаниям
п. 3.15 в предположении, что сжатая ненапрягаемая арматура по расчету не требуется.
Rпрb'пh'п(h0 - 0,5h'п) = 115·112·3(27 - 0,5·3) =
= 985 000 кгс·см = 9,85 тс·м > M = 2,3 тс·м,
т.е. граница сжатой зоны проходит в полке и расчет производим как для прямоугольного сечения шириной
b =
b'п = 112 см согласно
п. 3.11.
Из
табл. 25 при
mб1 = 0,85, классе арматуры А-IV, марке бетона М300, принимая согласно примечанию

, находим
AR = 0,4 и

.
Так как
A0 = 0,0245 <
AR = 0,4, сжатой арматуры не требуется, и площадь сечения арматуры
A вычисляем по
формуле (30). Для этого по
табл. 26 при
A0 = 0,0245 находим

и

. По
формуле (24) определяем коэффициент
mа4 при

Тогда при Fа = 0
Принимаем

(
Fн = 1,54 см
2).
Пример 7. Дано: размеры сечения
b'п = 28 см,
h'п = 20 см,
b = 8 см,
h = 90 см,
a = 7,2 см;
a' = 4 см; бетон марки М400 (
Rпр = 150 кгс/см
2 при
mб1 = 0,85); предварительно-напряженная арматура
A класса А-IV (
Rа = 5000 кгс/см
2) площадью сечения
Fн = 20,36 см
2 
; ненапрягаемая арматура
A' класса А-III (
Rа.с = 3400 кгс/см
2) площадью сечения
F'а = 2,26 см
2 
; с учетом всех потерь при
mт < 1 предварительное напряжение арматуры
A 
, изгибающий момент
M = 78 тс·м.
Требуется проверить прочность сечения.
Расчет. h0 = 90 - 7,2 = 82,8 см.
Проверяем
условие (36), принимая в первом приближении
mа4 = 1:
Rпрb'пh'п + Rа.сF'а = 150·28·20 + 3400·2,26 =
= 91700 кгс < RаFн = 5000·20,36 = 101 800 кгс,
т.е.
условие (36) не соблюдается; при
mа4 > 1 это условие тем более не будет соблюдаться и, следовательно, граница сжатой зоны проходит в ребре, а прочность сечения проверяем согласно
п. 3.13 б.
Из
табл. 25 при
mб1 = 0,85, классе арматуры А-IV, марке бетона М400 и

находим назначение

.
Высота сжатой зоны равна:
Rпрbx(h0 - 0,5x) + Rпр(b'п - b)h'п(h0 - 0,5h'п) +
+ Rа.сF'а(h0 - a'а) = 150·8·34,2(82,8 - 0,5·34,2) +
+ 150(28 - 8)20(82,8 - 0,5·20) + 3400·2,26(82,8 - 4) =
= 7 660 000 кгс·см = 76,6 тс·м > M = 76 тс·м,
т.е. прочность сечения обеспечена.
Пример 8. Дано: балка покрытия с размерами сечения
b'п = 28 см,
h'п = 20 см,
b = 8 см,
h = 90 см,
a = 9 см;
a'а = 4 см; бетон марки М500; предварительно-напряженная арматура
A из канатов класса К-7 диаметром 15 мм (
Rа = 10 600 кгс/см
2); ненапрягаемая арматура
A' из стали класса А-III (
Rа.с = 3400 кгс/см
2) площадью сечения
F'а = 2,26 см
2 
; изгибающие моменты: без учета нагрузки от подвесного транспорта
MI = 83 тс·м, с учетом нагрузки от подвесного транспорта
MII = 110 тс·м.
Требуется определить площадь предварительно-напряженной арматуры A.
0,77MII = 0,77·110 = 84,6 тс·м > MI = 83 тс·м,
т.е. расчет ведем только по
случаю "б" - на действие момента
MII = 110 тс·м, принимая
Rпр = 235 кгс/см
2 (при
mб1 = 1,1).
h0 = h - a = 90 - 9 = 81 см.
Rпрb'пh'п(h0 - 0,5h'п) + Rа.сF'а(h0 - a'а) =
= 235·28·20(81 - 0,5·20) + 3400·2,26(81 - 4) =
= 9905000 кгс·см = 99,1 тс·м < M = 110 тс·м,
т.е. граница сжатой зоны проходит в ребре, и поэтому требуемую арматуру определяем согласно
п. 3.15 "б".
Из
табл. 25 при
mб1 = 1,1, классе арматуры К-7, марке бетона М500 и

находим
AR = 0,3 и

.
Так как
A0 = 0,286 <
AR = 0,3, сжатой арматуры поставлено достаточно, и площадь сечения арматуры
A вычисляем по
формуле (42). Для этого из
табл. 26 при
A0 = 0,286 находим

.
Принимаем

(
Fн = 15,57 см
2).
ЭЛЕМЕНТЫ, РАБОТАЮЩИЕ НА КОСОЙ ИЗГИБ
3.17. Расчет прямоугольных, тавровых, двутавровых и Г-образных сечений элементов, работающих на косой изгиб, допускается производить, принимая форму сжатой зоны по рис. 7, при этом должно удовлетворяться условие:
Рис. 7. Форма сжатой зоны в поперечном сечении
железобетонного элемента, работающего на косой изгиб
а - таврового сечения; б - прямоугольного сечения;
1 - плоскость действия изгибающего момента; 2 - точка
приложения равнодействующей усилий в растянутой арматуре

(44)
где Mx - составляющая изгибающего момента в плоскости оси x (за оси x и y принимаются две взаимно перпендикулярные оси, проходящие через точку приложения равнодействующей усилий в растянутой арматуре, параллельно сторонам сечения; для сечения с полкой ось x принимается параллельно плоскости ребра);
Fб - площадь сжатой зоны бетона, равная

(46)
Fсв - площадь сечения наиболее сжатого свеса полки;
x - размер сжатой зоны бетона по наиболее сжатой стороне сечения, определяемый по формуле

(47)
Sсв.x и Sсв.y - статические моменты площади Fсв относительно соответственно оси y и оси x;
b0 - расстояние от равнодействующей усилий в растянутой арматуре до наиболее сжатой боковой стороны сечения (грани ребра);
Sа.x, Sн.x, Sа.y, Sн.y - статические моменты площади сечения ненапрягаемой и напрягаемой арматуры A' относительно соответственно оси y и оси x;
My - составляющая изгибающего момента в плоскости оси y.
Если в растянутой зоне располагается один стержень или если все растянутые стержни располагаются в один ряд, параллельный плоскости ребра (рис. 8), значение x вычисляется только по формуле
Рис. 8. Сечение с растянутыми арматурными
стержнями в плоскости оси x
1 - плоскость действия изгибающего момента

(48)
где

- угол наклона плоскости действия изгибающего момента к оси
x, т.е.

.
Формулой (48) также следует пользоваться, если необходимо определить предельное значение изгибающего момента при заданном угле

.
Если Fб < Fсв или если x < 0,2h'п, расчет производится как для прямоугольного сечения шириной b = b'п.
Если выполняется условие

(49)
где
bсв - ширина наименее сжатого свеса полки, расчет производится без учета косого изгиба, т.е. по формулам
пп. 3.9 и
3.13 на действие момента
M =
Mx; при этом следует проверить
условие (53), принимая

(50)
Коэффициент
mа4, входящий в
формулу (46), определяется согласно
п. 3.7, где значение

вычисляется по формуле

(51)
где b'св - ширина наиболее сжатого свеса;

- угол наклона прямой, ограничивающей сжатую зону, к оси
y; значение

принимается равным:

(52)
При определении значения

величина
x вычисляется при
mа4 = 1.
Если выполняется условие

(53)
следует производить повторный расчет с заменой в
формуле (46) значения
mа4Rа для напрягаемой арматуры напряжением

, равным:
для арматуры с условным пределом текучести (см.
п. 2.16) при

(где

- см.
табл. 27)

(54)
при


(55)
где

- предварительное напряжение арматуры растянутой зоны с учетом всех потерь при коэффициенте
mт, меньшем единицы (см.
п. 1.24);
для арматуры с физическим пределом текучести - по
формуле (55).
При этом ненапрягаемую арматуру с физическим пределом текучести, если площадь ее сечения не превышает 0,2
Fн, допускается учитывать в
формуле (46) с полным расчетным сопротивлением. При большей площади этой ненапрягаемой арматуры, если

(где

определено для этой арматуры), в
формуле (46) значение
Rа для этой арматуры заменяется на напряжение

, определяемое по
формуле (55).
При повторном расчете значение
x вычисляется только по
формуле (48).
При проектировании конструкций не рекомендуется допускать случаи, когда

.
Если выполняются условия:
для прямоугольных, тавровых и Г-образных сечений с полкой в сжатой зоне:
x > h,
для тавровых, двутавровых и Г-образных сечений с полкой в растянутой зоне:
где
hп и
bсв.р - высота и ширина наименее растянутого свеса полки
(рис. 9), то расчет на косой изгиб производится по формулам общего случая расчета нормального сечения согласно
п. 3.18.
При использовании формул этого пункта в качестве арматуры
A площадью
Fн и
Fа рекомендуется принимать арматуру, расположенную вблизи растянутой грани, параллельной оси
y, а в качестве арматуры
A' площадью
F'а и
F'н - арматуру, располагаемую вблизи сжатой грани, параллельной оси
y, но по одну наиболее сжатую сторону от оси
x (см.
рис. 7).
Если арматура распределена по сечению, что не позволяет до расчета определить площади и центры тяжести сечений арматуры
A и
A', расчет также производится по формулам общего случая согласно
п. 3.18.
При наличии ненапрягаемой арматуры с условным пределом текучести следует учитывать
примечание к п. 3.3.
Рис. 9. Двутавровое сечение со сжатой зоной,
заходящей в наименее растянутый свес полки
1 - плоскость действия изгибающего момента
ПРИМЕРЫ РАСЧЕТА
Расчет на косой изгиб. Пример 9. Дано: железобетонный прогон кровли с уклоном 1:4, размеры сечения по
рис. 10; марка бетона М300 (
Rпр = 115 кгс/см
2 при
mб1 = 0,85); арматура
A класса А-IV (
Rа = 5000 кгс/см
2) с площадью сечения
Fн = 3,142 см
2 
; арматура
A' класса А-III (
Rа.с = 3400 кгс/см
2) с площадью сечения
F'а = 2,26 см
2 
; предварительное напряжение арматуры при

.
Требуется определить предельный изгибающий момент в вертикальной плоскости.
Расчет. Расчет ведем без учета стержня, расположенного в менее сжатом свесе.
1 - плоскость действия изгибающего момента
Из рис. 10 имеем:
h0 =
h -
a = 30 - 3 = 27 см;

bсв = b'св = 5,5 см.
Определяем площадь сжатой зоны бетона по
формуле (46), учитывая один стержень арматуры
A', т.е.
F'а = 1,13 см
2 
, и принимая
mа4 = 1:
Площадь сечения наиболее сжатого свеса и ее статические моменты относительно осей x и y соответственно равны:
Fсв = b'свhп = 5,5·6 = 33 см2;
Sсв.y = Fсв(b0 + 0,5b'св) = 33(5,5 + 0,5·5,5) = 272 см3;
Sсв.x = Fсв(h0 - 0,5h'п) = 33(27 - 0,5·6) = 792 см3.
Так как Fб > Fсв, расчет продолжаем как для таврового сечения:
Fреб = Fб - Fсв = 103 - 33 = 70 см2.
следовательно, расчет продолжаем по формулам косого изгиба.
Из
табл. 25 и
27 при
mб1 = 0,85, марке бетона М300, классе арматуры А-IV и при

находим

и

.
Fреб = 94,4 - 33 = 61,4 см2;
Определяем предельный изгибающий момент в плоскости оси
x из
условия (44)
Предельный изгибающий момент в вертикальной плоскости равен
ОБЩИЙ СЛУЧАЙ РАСЧЕТА НОРМАЛЬНЫХ СЕЧЕНИЙ ИЗГИБАЕМЫХ
ЭЛЕМЕНТОВ (ПРИ ЛЮБЫХ ФОРМАХ СЕЧЕНИЯ, НАПРАВЛЕНИЯХ
ДЕЙСТВИЯ ВНЕШНЕГО МОМЕНТА И ЛЮБОМ АРМИРОВАНИИ)
3.18 (3.28). Расчет сечений изгибаемого элемента в общем случае (рис. 11) должен производиться из условия  (56) |
Рис. 11. Схема усилий и эпюра напряжений в сечении,
нормальном к продольной оси изгибаемого железобетонного
элемента, в общем случае расчета по прочности
1-1 - плоскость, параллельная плоскости действия
изгибающего момента; А - точка приложения равнодействующих
усилий в сжатой арматуре и в бетоне сжатой зоны; Б - точка
приложения равнодействующей усилий в растянутой арматуре
где  - проекция момента внешних сил на плоскость, перпендикулярную прямой, ограничивающей сжатую зону сечения; Sб - статический момент площади сжатой зоны бетона относительно оси параллельной прямой, ограничивающей сжатую зону и проходящей через центр тяжести сечения наиболее растянутого стержня; Sаi - статический момент i-го стержня продольной арматуры относительно указанной оси;  - напряжение в i-м стержне продольной арматуры. |
Высота сжатой зоны
x и напряжения

определяются из совместного решения уравнений

(57)
при


(58)
при


(59)
при


(60)
Для продольной арматуры с физическим пределом текучести (см.
п. 2.16) при

используется только уравнение (60).
Fб - площадь сжатой зоны бетона;
fаi - площадь сечения i-го стержня продольной арматуры;
h0i - расстояние от оси, проходящей через центр тяжести сечения рассматриваемого
i-го стержня арматуры и параллельной прямой, ограничивающей сжатую зону, до наиболее удаленной точки сжатой зоны сечения (см.
рис. 11);

и

- относительная высота сжатой зоны, отвечающая достижению в рассматриваемом стержне напряжений, соответственно равных
Rаi и 0,8
Rаi; значение

определяют по
формуле (22) п. 3.6, значение

- также по
формуле (22), принимая

;

- см.
п. 3.7.
Напряжения

, определенные по
формуле (60), вводятся в расчет со своими знаками; при этом напряжения со знаком "плюс" означают растягивающие напряжения, а напряжения со знаком "минус" - сжимающие напряжения. Эти напряжения

принимаются не более
Rа и не более 0,8
Rа соответственно для арматуры с физическим и с условным пределом текучести, а также не менее -
Rа.с (максимальное сжимающее напряжение) и не менее

. Напряжение

в
формуле (60) определяется при коэффициенте
mт меньшем единицы, если рассматриваемый стержень расположен в растянутой зоне, и при
mт, большем единицы, если стержень расположен в сжатой зоне.
Для определения положения границы сжатой зоны при косом изгибе (т.е. когда плоскость действия момента не перпендикулярна прямой, ограничивающей сжатую зону) кроме использования
формул (57) -
(60) требуется соблюдение дополнительного условия параллельности плоскости действия моментов внешних и внутренних сил.
Если в сечении можно выявить характерную ось (например, ось симметрии или ось ребра Г-образного сечения), то при косом изгибе расчет рекомендуется проводить в следующем порядке.
1. Проводят две оси x и y соответственно параллельно и перпендикулярно указанной характерной оси через центр тяжести сечения наиболее растянутого стержня.
2. Подбирают последовательными приближениями положение прямой, ограничивающей сжатую зону, так, чтобы удовлетворить
равенство (57) после подстановки в него значений

, определенных по
формулам (58) -
(60); при этом угол

между этой прямой и осью
y принимают постоянным и равным углу наклона нейтральной оси, определенному как для упругого материала.
3. Определяют моменты внутренних сил в плоскости осей x и y соответственно Mx.пр и My.пр.
4. Если оба эти момента оказываются больше или меньше соответствующих составляющих внешнего момента (Mx и My), то прочность сечения считается соответственно обеспеченной или не обеспеченной.
Если один из этих моментов (например,
My.пр) меньше соответствующей составляющей внешнего момента (
My), а другой момент больше составляющей внешнего момента (т.е.
Mx.пр >
Mx), то задаются другим углом

(

, чем ранее принятый) и снова проводят аналогичный расчет.
РАСЧЕТ СЕЧЕНИЙ, НАКЛОННЫХ К ПРОДОЛЬНОЙ ОСИ ЭЛЕМЕНТА
3.19 (3.29). Расчет по прочности наклонных сечений железобетонных элементов производится: |
ОБЩИЕ ПОЛОЖЕНИЯ РАСЧЕТА НАКЛОННЫХ
СЕЧЕНИЙ ПО ПОПЕРЕЧНОЙ СИЛЕ
3.20 (3.30). При расчете элементов на действие поперечной силы должно соблюдаться условие при этом значение Rпр для бетонов проектных марок выше М400 принимается как для бетонов марки М400. |
При переменной ширине
b по высоте элемента в расчет [в
формулу (61) и последующие] вводится ширина элемента на уровне середины высоты сечения (без учета полок).
Для элементов с поперечной арматурой при расчете их по поперечной силе рабочую высоту сечения h0 допускается увеличить, отсчитывая ее от центра тяжести сечения крайнего продольного ненапрягаемого стержня, анкерующего поперечные стержни (хомуты).
3.21 (3.31). Расчет на действие поперечной силы согласно указаниям пп. 3.22 - 3.35 не производится, если соблюдается условие где k1 - коэффициент, принимаемый равным: для линейных элементов (балок, ребер и т.д.) - 0,6; для сплошных плоских плит - 0,75. Примечание. В тексте настоящего руководства под поперечной арматурой имеются в виду хомуты и отогнутые стержни. Термин "хомуты" включает поперечные стержни сварных каркасов и хомуты вязаных каркасов. 3.22 (3.33). Расчет элементов с поперечной арматурой (рис. 12) должен производиться из условия |

(63)
Рис. 12. Схема усилий, действующих в наклонном
сечении изгибаемого элемента с поперечной
арматурой, при расчете по поперечной силе
Рис. 13. Определение расчетного значения поперечной силы Q
где
Q - поперечная сила от внешней нагрузки, действующая в наклонном сечении, т.е. равнодействующая всех поперечных сил, расположенных по одну сторону от рассматриваемого наклонного сечения (рис. 13); при этом, если не имеет место случай, оговоренный в
п. 3.24, следует учитывать возможность отсутствия нагрузки в пределах наклонного сечения, т.е. принимать значение
Q равным максимальной поперечной силе в пределах наклонного сечения;

и

- сумма поперечных усилий, воспринимаемых соответственно хомутами и отогнутыми стержнями, пересекающими наклонное сечение;

- угол наклона отогнутых стержней к продольной оси элемента в наклонном сечении;
Qб - поперечное усилие, воспринимаемое бетоном в наклонном сечении. Значение Qб определяется по формуле  (64) где c - длина проекции наклонного сечения на продольную ось элемента. Для элементов с наклонной сжатой гранью значение Qб определяют по формуле (64), принимая рабочую высоту элемента h0 у конца наклонного сечения в сжатой зоне. |
При ширине
b, переменной по длине элемента, в
формуле (64) принимается значение
b по нормальному сечению, расположенному у конца наклонного сечения в сжатой зоне.
Для элементов с наклонной растянутой гранью в правую часть условия (63) (вводится дополнительное поперечное усилие Qа, равное проекции усилий в продольной арматуре, расположенной у наклонной грани, на нормаль к сжатой грани:  (65) где M - изгибающий момент в сечении, нормальном к сжатой грани и проходящем через конец наклонного сечения в сжатой зоне; z - расстояние от равнодействующей усилий в арматуре до равнодействующей усилий в сжатой зоне (плечо внутренней пары сил) в плоскости сечения, указанного выше;  - угол наклона арматуры A к сжатой грани элемента; при этом величина Qб определяется по формуле (64) при рабочей высоте h0 у начала наклонного сечения в растянутой зоне. 3.23 (3.35). Для хомутов, устанавливаемых по расчету в элементе с поперечной нагрузкой в пределах его пролета, должно удовлетворяться условие  (66) |
Если выполняется требование
п. 3.34, условие (66) может не соблюдаться.
Расстояния между хомутами u, между опорой и концом отгиба, ближайшего к опоре u1, а также между концом предыдущего и началом последующего отгиба u2 (рис. 15) должны быть не более величины  (67) Кроме того, поперечное армирование элемента независимо от расчета должно удовлетворять конструктивным требованиям, приведенным в п. 5.44. |
3.24. В элементах, рассчитываемых только на фиксированные нагрузки, в том числе на сплошные распределенные нагрузки (например, гидростатическое давление), расчетную поперечную силу
Q следует определять с учетом разгружающего влияния нагрузки, приложенной к элементу в пределах длины проекции наклонного сечения, если эта нагрузка приложена по грани элемента и действует в его сторону (например, в горизонтальном элементе - нагрузка, действующая сверху вниз и приложенная к верхней грани) (см.
рис. 13).
РАСЧЕТ ЭЛЕМЕНТОВ ПОСТОЯННОГО ПО ДЛИНЕ СЕЧЕНИЯ, АРМИРОВАННЫХ ХОМУТАМИ БЕЗ ОТГИБОВ 3.25 (3.34). Проверка прочности по поперечной силе производится для невыгоднейших сечений, начинающихся у опоры и в местах изменения интенсивности хомутов (рис. 14), из условия где Q - поперечная сила в нормальном сечении у начала рассматриваемого наклонного сечения (у опоры и в местах изменения интенсивности поперечного армирования); Рис. 14. Места расположения невыгоднейших наклонных сечений при расчете по поперечной силе и определение места изменения интенсивности хомутов 1, 2 - невыгоднейшие наклонные сечения Qх.б - предельная поперечная сила, воспринимаемая бетоном и хомутами в невыгоднейшем наклонном сечении, определяемая по формуле  (69) qх - усилие в хомутах на единицу длины элемента в пределах наклонного сечения, определяемое по формуле  (70) при этом длина проекции невыгоднейшего наклонного сечения определяется по формуле  (71) |
3.26. Требуемая интенсивность хомутов определяется по формуле

(72)
3.27. При расчете элемента на действие равномерно распределенной нагрузки
p, приложенной по грани элемента и действующей в его сторону, допускается в
формулы (69),
(71) и
(72) вместо величины
qх подставлять величину (
qх +
p1), где значение
p1 определяется следующим образом:
а) если нагрузка на отдельных участках пролета может отсутствовать и эпюра M от принятой в расчете равномерно распределенной нагрузки p всегда огибает любую действительную эпюру M (например, нагрузка на перекрытия) - p1 = p/2;
б) если равномерно распределенная нагрузка фиксированная и сплошная (например, распределенное гидростатическое давление) - p1 = p;
в) в прочих случаях - p1 = 0;
при этом собственный вес, входящий в нагрузку p1, учитывается в ней с коэффициентом 0,5.
При действии фиксированной сосредоточенной силы
Pi, приложенной к верхней грани элемента в пределах невыгоднейшего наклонного сечения с длиной проекции
c0 (см.
п. 3.25), расчет из
условия (68) допускается производить на действие поперечной силы, равной
Q -
Pi; при этом следует проверить также условие

(73)
где ci - длина проекции наклонного сечения, направленного к точке приложения сосредоточенной силы Pi.
3.28. При изменении интенсивности хомутов по длине элемента с
qх1 на
qх2 (например, увеличением шага хомутов) участок с интенсивностью
qх1 принимается до сечения, в котором поперечная сила
Q становится равной усилию
Qх.б2, воспринимаемому бетоном и хомутами при интенсивности хомутов
qх2 (см.
рис. 14), т.е. длина участка с интенсивностью
qх1 принимается равной:

(74)
где Q - наибольшая поперечная сила на участке l1 (у опоры);
p и Pi - равномерно распределенная и сосредоточенная нагрузки, действующие в пределах длины l1.
Если интенсивность хомутов
qх2 не удовлетворяет условию
[(66), п. 3.23] (т.е. если они поставлены из конструктивных соображений), участок с интенсивностью
qх1 принимается до сечения, в котором поперечная сила
Q становится равной
Q1 =
k1Rрbh0, где
k1 - см.
п. 3.21. В этом случае значение
l1 определяется по
формуле (74) с заменой
Qх.б2 на
Q1.
При расположении нагрузки в пределах высоты сечения длина участка l1 должна также приниматься не менее

(75)
Кроме того, следует учитывать конструктивные требования
п. 5.44.
РАСЧЕТ ЭЛЕМЕНТОВ ПОСТОЯННОГО СЕЧЕНИЯ С ОТОГНУТЫМИ СТЕРЖНЯМИ
3.29. Проверка прочности по поперечной силе производится для невыгоднейших наклонных сечений, начинающихся у опоры и у начала отгибов
(рис. 15), из условия

(76)
где Q - поперечная сила в нормальном сечении у начала рассматриваемого сечения (у опоры и начала отгибов);
Fо - площадь сечения отогнутых стержней в ближайшей за началом рассматриваемого наклонного сечения плоскости отгибов;

- угол наклона плоскости отгибов к оси элемента;
При наличии равномерно распределенных или фиксированных сосредоточенных нагрузок допускается учитывать указания
п. 3.27.
Рис. 15. Места расположения невыгоднейших наклонных
сечений при расчете по поперечной силе
для элементов с отогнутыми стержнями
1, 2, 3 - невыгоднейшие наклонные сечения
3.30. Необходимое сечение отгибов, расположенных в одной плоскости, определяется из условия

(77)
При этом поперечная сила Q принимается:
а) при расчете отгибов первой (от опоры) плоскости - равной поперечной силе у опоры;
б) при расчете отгибов каждой из последующих плоскостей - равной поперечной силе у начала предыдущей (по отношению к опоре) плоскости отгибов (см.
рис. 15).
Нижний конец наиболее удаленного от опоры отгиба должен располагаться не ближе к опоре, чем то сечение, в котором поперечная сила Q становится больше усилия Qх.б, воспринимаемого бетоном и хомутами.
Кроме того, расположение отгибов должно удовлетворять требованиям
п. 3.23.
РАСЧЕТ ЭЛЕМЕНТОВ С ПЕРЕМЕННОЙ ВЫСОТОЙ СЕЧЕНИЯ
3.31. Расчет прочности по поперечной силе для элементов со сжатой гранью, наклонной к продольной оси элемента под углом
(рис. 16), производится согласно указаниям
пп. 3.25 -
3.30; при этом предельное усилие, воспринимаемое бетоном и хомутами (
Qх.б), определяется по формуле

(78)
где
h0 - рабочая высота элемента у начала наклонного сечения в растянутой зоне.
Рис. 16. Наклонное сечение балки с наклонной
сжатой и горизонтальной растянутой гранями
Длина невыгоднейшего наклонного сечения при этом равна:

(79)
3.32. Для элементов с растянутой гранью, наклонной к их продольной оси, расчет прочности по поперечной силе производится согласно
пп. 3.25 -
3.30 с учетом следующих указаний:
а) во всех формулах рабочая высота h0 принимается в начале наклонного сечения в растянутой зоне;
б) поперечная сила принимается уменьшенной на величину Qа - проекцию усилий в растянутой продольной арматуре на нормаль к продольной оси, определяемую по формуле

(80)
и принимаемую не менее нуля.
В формуле (80):
c - длина проекции наклонного сечения, определяемая согласно
пп. 3.25 и
3.27;
zо - расстояния от плоскостей расположения отгибов до равнодействующей усилий сжатой зоны наклонного сечения:

(81)
где
a - расстояние от начала отгиба в растянутой зоне до начала наклонного сечения
(рис. 17);

- угол наклона отгиба к продольной оси элемента;
z1 - плечо внутренней пары сил в нормальном сечении, проходящем через начало отгиба в растянутой зоне.
Рис. 17. Наклонное сечение элемента с наклонной
растянутой и горизонтальной сжатой гранями
a - эпюра изгибающих моментов
Примечание. В
пп. 3.31 и
3.32 за продольную ось принимается прямая, параллельная линии, соединяющей точки опирания элемента.
3.33. Для свободно лежащих элементов без отгибов с растянутой гранью, наклонной к продольной оси элемента под углом

, расчет прочности по поперечной силе допускается производить из
условия (68), п. 3.25, как для элементов с постоянной высотой, равной высоте у опоры, а увеличение несущей способности учитывать путем деления значения
Qх.б на величину

. Такой расчет не следует производить при

.
РАСЧЕТ ЭЛЕМЕНТОВ БЕЗ ПОПЕРЕЧНОГО АРМИРОВАНИЯ
3.34 (3.36). Расчет элементов постоянного сечения без поперечной арматуры (см. п. 5.43) производится из условий: где Qмакс - максимальная поперечная сила у грани опоры;  (83) где c - длина проекции наклонного сечения, проходящего через опору; значение c принимается не более 2h0; Q - поперечная сила в конце рассматриваемого наклонного сечения. |
k2 и k3 - коэффициенты, принимаемые равными:
для сплошных плоских плит k2 = 2,5; k3 = 1,5;
для балок и ребер, многопустотных настилов k2 = 2; k3 = 1,2.
При проверке
условия (83) в общем случае задаются рядом значений
c, равных или меньших 2
h0.
При действии фиксированных сосредоточенных сил проверка
условия (83) производится для наклонных сечений, направленных к точкам приложения сосредоточенных сил (рис. 18).
Рис. 18. Расположение невыгоднейших наклонных сечений
в элементах без поперечной арматуры
1 - наклонное сечение, проверяемое на действие
поперечной силы Q1; 2 - наклонное сечение,
проверяемое на действие силы Q2
При расчете элемента на действие равномерно распределенной нагрузки
p условие (83) можно заменить условием

(84)
в котором правая часть принимается не менее
k1Rрbh0 + 2p1h0.
ПО ПОПЕРЕЧНОЙ СИЛЕ ПРИ КОСОМ ИЗГИБЕ
3.35. Расчет по поперечной силе элементов прямоугольного сечения, подвергающихся косому изгибу, производится из условия

(85)
где Qx и Qy - составляющие поперечной силы, действующие соответственно в плоскости симметрии x и нормальной к ней плоскости y;
Qх.б(x) и Qх.б(y) - предельные поперечные силы, которые могут быть восприняты наклонным сечением при действии их соответственно только в плоскости x и только в плоскости y, определяемые по формулам
bx и by - размеры сечения в направлении, нормальном соответственно оси x и оси y;
h0x и h0y - рабочие высоты сечения в направлении соответственно оси x и оси у;
qх(x) и
qх(y) - предельные усилия в поперечных стержнях соответственно в направлении оси
x и оси
y на единицу длины элемента (см.
п. 3.25).
Примечание. Отогнутые стержни при расчете на поперечную силу при косом изгибе не учитываются.
РАСЧЕТ НАКЛОННЫХ СЕЧЕНИЙ ПО ИЗГИБАЮЩЕМУ МОМЕНТУ
3.36
(3.39). Расчет наклонных сечений по изгибающему моменту
(рис. 19) производится из условия
 (86) где M - момент всех внешних сил, действующих по одну сторону от рассматриваемого наклонного сечения относительно оси, проходящей через точку приложения равнодействующей усилий в сжатой зоне и перпендикулярной плоскости действия момента; если внешняя нагрузка приложена к грани свободно опертой балки и действует в ее сторону, то M - изгибающий момент в нормальном сечении, проходящем через вышеуказанную ось;  и  - сумма моментов относительно той же оси соответственно от усилий в отгибах и в хомутах, пересекающих растянутую зону наклонного сечения; z, zо и zх - расстояния от плоскостей расположения соответственно продольной арматуры, отгибов и хомутов до указанной выше оси. Высота сжатой зоны в наклонном сечении, измеренная по нормали к продольной оси элемента, определяется из условия равновесия проекций усилий в бетоне и арматуре наклонного сечения на продольную ось элемента, согласно указаниям пп. 3.9 и 3.13; |
при этом в случае наличия отгибов в числители выражений для
x добавляются значения

, где

- угол наклона отгибов к продольной оси элемента.
Проверка на действие изгибающего момента не производится для наклонных сечений, пересекающих растянутую грань элемента на участках, обеспеченных от образования нормальных трещин, т.е. там, где момент M от внешней нагрузки, на которую ведется расчет по прочности, меньше или равен моменту трещинообразования Mт, определяемому согласно пп. 4.5 - 4.7 при замене значений RрII значениями Rр. |
Если наклонное сечение пересекает в растянутой зоне предварительно-напряженную арматуру без анкеров на длине зоны передачи напряжений (см.
п. 2.26) либо ненапрягаемую арматуру без анкеров на длине зоны анкеровки (см.
п. 5.33), то значение расчетного сопротивления соответствующей арматуры снижается путем умножения его на коэффициент условия работы
mа3, определяемый согласно
поз. 3 табл. 22.
Рис. 19. Схема усилий, действующих в наклонном сечении,
при расчете по изгибающему моменту

- равнодействующая усилий в сжатой зоне
3.37. Наиболее невыгодное наклонное сечение пересекает продольную растянутую арматуру в нормальном сечении, в котором внешний момент равен моменту трещинообразования
Mт (см.
пп. 4.5 -
4.7) с заменой
RрII на
Rр; при этом длина проекции этого наклонного сечения на продольную ось элемента, измеренная между точками приложения равнодействующих усилий в растянутой арматуре и в сжатой зоне, определяется для элементов с постоянной высотой сечения по формуле

(87)
где Q1 - поперечная сила в нормальном сечении, проходящем через начало наклонного сечения в растянутой зоне;
Pi и
p - сосредоточенная и равномерно распределенная нагрузка, приложенная к грани элемента
(рис. 19) в пределах наклонного сечения;
qхw - усилие в хомутах на единицу длины элемента (интенсивность хомутов):

(88)
u - шаг хомутов;

- угол наклона отгибов к продольной оси элемента.
Если значение c, определенное с учетом сосредоточенной силы Pi, оказывается меньше расстояния до этой силы Pi, а определенное без учета силы Pi - больше этого расстояния, то значение c следует принимать равным расстоянию до силы Pi.
При расчете консолей и опорных участков неразрезных балок нагрузки
Pi и
p не учитываются в
формуле (87). В этом случае величина
c принимается не более расстояния от опоры до начала наклонного сечения в растянутой зоне.

(89)
3.38. Проверку наклонных сечений по изгибающему моменту согласно
пп. 3.36 и
3.37 для элементов с постоянной или плавно меняющейся высотой допускается не производить, если продольную арматуру растянутой зоны можно учитывать с полным расчетным сопротивлением, т.е. если на концах имеются анкеры или если при отсутствии анкеров изгибающий момент в нормальном сечении, проходящем через конец зоны передачи напряжения (см.
п. 2.26), меньше момента трещинообразования
Mт, определенного по
формуле (183) с заменой
RрII на
Rр.
Для элементов с резко меняющейся высотой сечения, например, для балок, имеющих подрезки, должен производиться расчет согласно
пп. 3.36 и
3.37 в наклонном сечении, проходящем через входящий угол подрезки.
3.39 (3.40). В элементах постоянной высоты с хомутами продольные растянутые стержни, обрываемые в пролете, должны заводиться за точку теоретического обрыва (т.е. за нормальное сечение, в котором эти стержни перестают требоваться по расчету) на длину не менее 20 d и не менее величины w, определяемой по формуле  (90) где Q - поперечная сила в нормальном сечении, проходящем через точку теоретического обрыва стержня; Fо и  - соответственно площадь сечения и угол наклона отгибов, пересекающих указанное выше сечение; d - диаметр обрываемого стержня; 3.40 (5.29). Для обеспечения прочности наклонных сечений на действие изгибающего момента начало отгиба в растянутой зоне должно отстоять от нормального сечения, в котором отгибаемый стержень полностью используется по моменту, не менее чем на h0/2, а конец отгиба должен быть расположен не ближе того нормального сечения, в котором отгиб не требуется по расчету. |
ПРИМЕРЫ РАСЧЕТА
Расчет наклонных сечений на действие поперечной силы. Пример 10. Дано: железобетонная балка покрытия с размерами поперечного сечения b = 8, h = 90 см; h0 = 85 см; бетон марки М400; поперечная арматура в виде сварных хомутов класса А-III (Rа.х = 2700 кгс/см2) по два в поперечном сечении диаметром 8 мм (Fх = 1,01 см2) с шагом u = 25 см; поперечная сила на опоре Q = 18,5 тс; нагрузка от подвесных кранов отсутствует.
Требуется проверить прочность наклонных сечений балки по поперечной силе.
Расчет. Поскольку нагрузки малой суммарной длительности отсутствуют, согласно
п. 3.1 принимаем
mб1 = 0,85 и, следовательно,
Rпр = 150 кгс/см
2 и
Rр = 10 кгс/см
2. Проверяем
условие (61), п. 3.20.
0,35Rпрbh0 = 0,35·150·8·85 = 35 100 кгс > Q = 18 500 кгс.
Так как 0,6
Rрbh0 = 0,6·10·8·85 = 4080 кгс >
Q = 13 500 кгс, согласно
п. 3.21 проверка прочности наклонных сечений необходима. Кроме того, должны выполняться требования
п. 3.23.
Условия
п. 5.44 u <
h/3 = 90/3 = 30 см и
u < 50 см также удовлетворяются.
т.е. прочность наклонного сечения обеспечена.
Пример 11. Дано: железобетонная плита покрытия пролетом 11,85 м с равномерно распределенной нагрузкой на одно продольное ребро p = 1,3 тс/м; размеры поперечного сечения ребра b = 10 см, h = 45 см, h0 = 40 см; бетон марки М400 (Rпр = 150 кгс/см2, Rр = 10 кгс/см2 с учетом mб1 = 0,85); хомуты сварные класса А-III (Rа.х = 2700 кгс/см2); поперечная сила на опоре Q = 7,7 тс.
Требуется определить диаметр и шаг хомутов у опоры, а также выяснить, на каком расстоянии от опоры и на сколько может быть увеличен их шаг.
Расчет. Проверяем требование
п. 3.20.
0,35Rпрbh0 = 0,35·150·10·40 = 21000 кгс > Q = 7700 кгс.
Так как
k1Rрbh0 = 0,6·10·10·40 = 2400 кгс <
Q согласно
п. 3.21 поперечную арматуру подбираем из расчета по прочности. Согласно
п. 5.44 шаг
u1 у опоры должен быть не более 1/2
h = 22,5 см и не более 15 см, а в пролете - не более 3/4
h = 3/4·45 = 34 см и не более 50 см. Принимаем шаг хомутов у опоры
u1 = 15 см, а в пролете
u2 = 30 см.
Максимально допустимый шаг хомутов согласно
формуле (67) равен:
По
формуле (72) определим требуемую интенсивность хомутов приопорного участка с учетом разгружающего влияния нагрузки
p1 =
p/2 = 1,3/2 = 0,65 тс/м = 6,5 кгс/см (см.
п. 3.27);
Поскольку требования
п. 3.34 не соблюдаются (
Q > 0,6
Rрbh0 + 2
p1h0 = 2400 + 2·6,5·40 = 2920 кгс), выполнение
условия (66) обязательно. Принимаем
Откуда
Принимаем в поперечном сечении один хомут диаметром 6 мм (Fх = 0,283 см2).
Интенсивность хомутов в пролете определим по формуле
Так как интенсивность хомутов
qх2 не удовлетворяет
условию (66), минимальную длину участка с шагом хомутов
u1 = 15 см определим по
формуле (74) с заменой
Qх.б2 на
Q1 = 0,6·
Rрbh0 = 2,4 тс;
Принимаем длину участка с шагом хомутов u1 = 15 см равной 4,08 м.
Пример 12. Дано: железобетонная балка покрытия с размерами поперечного сечения
b = 8 см,
h = 90 см,
h0 = 85 см нагружена сосредоточенными силами от плит покрытия согласно
рис. 20; бетон марки М300, сварные хомуты класса А-III (
Rа.х = 2700 кгс/см
2), нагрузка от подвесных кранов отсутствует, нагрузка от собственного веса балки 0,32 тс/м. Требуется подобрать диаметр хомутов, их шаг у опоры и выяснить, на каком расстоянии и на сколько может быть увеличен их шаг.
Расчет. Максимальная поперечная сила у опоры равна (см. рис. 20):
Поскольку нагрузки малой суммарной длительности отсутствуют, согласно
п. 3.1 принимаем
mб1 = 0,85 и, следовательно, для марки бетона М300 имеем
Rпр = 115 кгс/см
2,
Rр = 8,5 кгс/см
2. Проверяем
условие (61), п. 3.20
0,35Rпрbh0 = 0,35·115·8·85 = 21400 кгс > Qмакс = 16000 кгс.
Определим требуемую интенсивность хомутов исходя из максимальной поперечной силы у опоры
Q =
Qмакс = 16 тс по
формуле (72):
Этой интенсивности соответствует невыгоднейшее наклонное сечение с длиной проекции, равной:
т.е. в пределах невыгоднейшего наклонного сечения действует сосредоточенная сила P1 = 9 тс.
Из
условия (73), принимая
Q с учетом разгружающего влияния половины нагрузки от собственного веса в пределах длины
c1 = 100 см (см.
п. 3.27), т.е.
получаем
Принимаем максимальное значение qх1 = 60,2 кгс/см.
Определяем шаг хомутов на приопорном участке, принимая в сечении два хомута диаметром 6 мм (Fх = 0,57 см2),
Принимаем
u1 = 25 см. Поскольку
u1 = 25 <
h/3 = 30 см, требования
п. 5.44 удовлетворены.
Назначаем шаг хомутов на участке с меньшей интенсивностью хомутов
u2 = 40 см, удовлетворяющий требованиям
п. 5.44, б для пролетного участка (
u2 = 40 < 50 см и
u2 < 3/4
h = 67,5 см).
Интенсивность хомутов в пролете равна:
т.е. интенсивность хомутов
qх2 удовлетворяет
условию (66) и участок с интенсивностью хомутов
u1 принимаем от опоры до сечения, в котором усилие
Q становится меньше усилия
Qх.б2, равного:
но не менее 1/4 пролета, т.е. 8,7/4 = 2,17 м (см.
п. 5.44). Так как значение
Qх.б2 больше поперечной силы
Q за первым грузом, который расположен ближе к опоре, чем 1/4 пролета, длину участка с шагом
u1 = 25 см принимаем равным 1/4 пролета, т.е. 2,17 м.
Пример 13. Дано: сплошная плита перекрытия без поперечной арматуры пролетом l = 3 м, толщиной h = 16 см, нагруженная равномерно распределенной нагрузкой p = 6,5 тс/м2; a = 2 см; бетон марки М300 (Rр = 8,5 кгс/см2 при учете mб1 = 0,85).
Требуется проверить прочность плиты на действие поперечной силы.
Расчет. h0 = h - a = 16 - 2 = 14 см.
Расчет ведем для полосы плиты шириной b = 100 см. Поперечная сила на опоре равна:
k1Rрbh0 = 0,75·8,5·100·14 = 8920 кгс < Qмакс = 9,75 тс,
следовательно, расчет по прочности необходим.
Прочность проверяем согласно
п. 3.34, принимая
k2 = 2,5;
k3 = 1,5:
k2Rрbh0 = 2,5·8,5·100·14 = 29750 кгс > Qмакс,
p1 = p/2 = 6,5/2 = 3,25 тс/м = 32,5 кгс/см,
Так как
Qмакс = 9750 кгс <
k1Rрbh0 + 2
p1h0 = 9830 кгс,
условие (84) выполнено и прочность плиты по поперечной силе обеспечена.
Пример 14. Дано: двускатная балка покрытия с размерами по
рис. 21; бетон марки М400, поперечная арматура из хомутов диаметром 10 мм, по одному в сечении (
Fх = 0,785 см
2), с шагом 15 см класса А-III (
Rа.х = 2700 кгс/см
2); поперечная сила на опоре с учетом нагрузки от подвесных кранов
QII = 25 тс, без учета этой нагрузки
QI = 20 тс.
| | ИС МЕГАНОРМ: примечание. Наименование рисунка дано в соответствии с официальным текстом документа. | |
Требуется проверить прочность наклонного сечения по поперечной силе.
Расчет. Поскольку имеет место нагрузка малой суммарной длительности (крановая), в соответствии с
п. 3.1 определим коэффициент

. Следовательно, расчет ведем только по
случаю "б" - на действие
QII = 25 тс при расчетных сопротивлениях бетона
Rпр = 175·1,06 = 186 кгс/см
2 и
Rр = 12·1,06 = 12,7 кгс/см
2.
Для опорного сечения
h0 = 77 см,
b = 7 см (см.
рис. 21).
0,35Rпрbh0 = 0,35·186·7·77 = 35100 кгс > QII = 25 000 кгс.
Интенсивность хомутов равна:
т.е.
условие (68) выполнено и прочность наклонного сечения обеспечена.
Пример 15. Дано: плита покрытия с растянутой гранью, наклонной к продольной оси элемента, с размерами по
рис. 22; бетон марки М500 (
Rр = 11 кгс/см
2, при учете
mб1 = 0,85), хомуты класса А-III (
Rа.х = 2700 кгс/см
2), диаметром 8 мм (
Fх = 0,503 см
2) и шагом
u = 10 см; отогнутая арматура класса А-V (
Rа.х = 5100 кгс/см
2) в виде двух стержней диаметром 25 мм (
Fо = 9,82 см
2); поперечная сила на опоре 18,6 тс.
Требуется проверить прочность наклонного сечения по поперечной силе.
Расчет. Расчет ведем согласно
п. 3.32.
Из
рис. 22 имеем
h0 = 30 - 5 = 25 см. Размер
b на уровне середины высоты сечения равен:
Проверяем
условие (61), п. 3.20, принимая
Rпр, как для марки бетона М400 при
mб1 = 0,85, т.е.
Rпр = 150 кгс/см
2.
0,35Rпрbh0 = 0,35·150·23,3·25 = 30600 кгс > Q = 18600 кгс.
Интенсивность хомутов равна:
Проекцию невыгоднейшего наклонного сечения определяем по
формуле (71)
откуда
Момент в сечении, проходящем через конец наклонного сечения, равен (нагрузкой в пределах наклонного сечения пренебрегаем):
M = Qc0 = 18600·48,5 = 902000 кгс·см.
Рабочая высота этого сечения
Плечо внутренней пары сил z в этом сечении определим, принимая равнодействующую усилий в сжатой зоне по середине сжатой полки, т.е.
z = h01 - 0,5h'п = 27,7 - 0,5·6 = 24,7 см.
Значение
zо определим по
формуле (81), принимая
z1 = 50 см и
a = 14 + 368,5 + 40 = 392,5 см.
Усилие, воспринимаемое бетоном и хомутами, определим по формуле
Прочность наклонного сечения проверяем из
условия (76), п. 3.29 уменьшая поперечную силу
Q на значение
Qа, т.е.
Q = 18,6 - 0,25 = 18,35 тс.
т.е. прочность наклонного сечения по поперечной силе обеспечена.
ВНЕЦЕНТРЕННО СЖАТЫЕ ЭЛЕМЕНТЫ
ОБЩИЕ ПОЛОЖЕНИЯ
3.41 (1.22). При расчете прочности внецентренно сжатых железобетонных элементов должен приниматься во внимание случайный эксцентриситет  , обусловленный не учтенными в расчете факторами, в том числе неоднородностью свойств бетона по сечению. Значение  следует принимать не менее: 1/600 всей длины элемента или длины его части (между точками закрепления элемента), учитываемой в расчете; 1/30 высоты сечения элемента; 1 см. Для элементов статически неопределимых конструкций величина эксцентриситета продольной силы относительно центра тяжести приведенного сечения e0 принимается равной эксцентриситету, полученному из статического расчета конструкции, но не менее  . |
В элементах статически определимых конструкций (например, фахверковые стойки, стойки ЛЭП) эксцентриситет e0 находится как сумма эксцентриситетов - определяемого из статического расчета конструкции и случайного.
3.42. Расчет внецентренно сжатых элементов должен производиться с учетом влияния прогиба элемента как в плоскости эксцентриситета продольной силы (в плоскости изгиба), так и в нормальной к ней плоскости. В последнем случае принимается, что продольная сила приложена с эксцентриситетом
e0, равным случайному эксцентриситету

(см.
п. 3.41).
Влияние прогиба элемента учитывается согласно указаниям
пп. 3.45 и
3.46.
Расчет из плоскости изгиба можно не производить, если гибкость элемента l0/r (для прямоугольных сечений l0/h) в плоскости изгиба превышает гибкость в плоскости, нормальной плоскости изгиба.
При наличии расчетных эксцентриситетов в двух направлениях производится расчет на косое внецентренное сжатие.
3.43. Для наиболее часто встречающихся видов внецентренно сжатых предварительно-напряженных элементов (прямоугольного и двутаврового сечений с симметричной арматурой, сосредоточенной у наиболее сжатой и у растянутой граней; кольцевого сечения с арматурой, равномерно распределенной по окружности) расчет прочности нормальных сечений при расположении продольной силы в плоскости симметрии производится согласно
пп. 3.47 -
3.49. При этом граничное значение относительной высоты сжатой зоны

и напряжение

в напрягаемой арматуре, расположенной в сжатой зоне, определяются как для изгибаемых элементов согласно
пп. 3.6 и
3.8.
Коэффициент условий работы высокопрочной арматуры
mа4, определяемый согласно
п. 3.7, учитывается в расчетах внецентренно сжатых элементов, если гибкость
l0/
r <= 35 (для прямоугольных сечений при
l0/
h <= 10).
Для других видов сечений, а также при косом внецентренном сжатии расчет нормальных сечений производится по формулам общего случая расчета нормального сечения изгибаемых элементов согласно
п. 3.18; при этом в правую часть
формулы (57) добавляется значение
N, а за

в
формуле (56) принимается момент продольной силы
N относительно оси, параллельной прямой, ограничивающей сжатую зону, и проходящей через центр тяжести сечения растянутого стержня, наиболее удаленного от указанной прямой.
3.44. Расчет прочности наклонных сечений внецентренно сжатых элементов производится аналогично расчету изгибаемых элементов в соответствии с
пп. 3.19 -
3.40, за исключением
условия (66), п. 3.23.
УЧЕТ ВЛИЯНИЯ ПРОГИБА ЭЛЕМЕНТА
3.45 (3.24). Влияние прогиба элемента на величину эксцентриситета продольного усилия следует учитывать, как правило, путем расчета конструкций по деформированной схеме, принимая во внимание неупругие деформации материалов и наличие трещин. Допускается производить расчет конструкций по недеформированной схеме, учитывая влияние прогиба элемента путем умножения эксцентриситета e0 на коэффициент  , определяемый по формуле  (91) где Nкр - условная критическая сила, принимаемая равной:  (92) I и Iа - моменты инерции соответственно бетонного сечения и сечения всей продольной арматуры относительно центра тяжести приведенного сечения; kдл - коэффициент, учитывающий влияние длительности действия нагрузки на прогиб элемента в предельном состоянии:  (93) M1 и  - моменты внешних сил относительно оси, проходящей через центр тяжести крайнего ряда арматуры, расположенного у растянутой (менее сжатой) грани параллельно этой грани, соответственно от полной нагрузки и от действия постоянных и длительных нагрузок; t - коэффициент, принимаемый равным e0/h, но не менее величины tмин = 0,5 - 0,01 l0/ h - 0,001 Rпр (94) (здесь Rпр - в кгс/см2 допускается принимать при mб1 = 1); kн - коэффициент, учитывающий влияние предварительного напряжения арматуры на жесткость элемента; при равномерном обжатии сечения напрягаемой арматурой kн определяется по формуле  (95) здесь  - напряжения обжатия в бетоне (см. п. 1.28) с учетом всех потерь при коэффициенте mт, меньшем единицы; e0/h - принимается не более 0,25. |
При гибкости элемента
l0/
r <= 14 (для прямоугольных сечений при
l0/
h <= 4) допускается принимать

.
При гибкости

и при

допускается принимать
При N >= Nкр следует увеличить размеры сечения.
При расчетных эксцентриситетах в двух направлениях коэффициент

определяется отдельно для каждого направления и умножается на соответствующий эксцентриситет.
3.46. Для внецентренно сжатых элементов, имеющих несмещаемые опоры (например, фахверковые стойки), а также для элементов не связанных с другими конструкциями (например, стойки ЛЭП), расчетные длины
l0 определяются из расчета на устойчивость.
Расчетные длины колонн одноэтажных и многоэтажных зданий определяются согласно указаниям "
Руководства по проектированию бетонных и железобетонных конструкций из тяжелого бетона (без предварительного напряжения)".
РАСЧЕТ ЭЛЕМЕНТОВ СИММЕТРИЧНОГО СЕЧЕНИЯ
ПРИ РАСПОЛОЖЕНИИ ПРОДОЛЬНОЙ СИЛЫ В ПЛОСКОСТИ СИММЕТРИИ
ПРЯМОУГОЛЬНЫЕ СЕЧЕНИЯ С СИММЕТРИЧНОЙ АРМАТУРОЙ (РИС. 23)
Рис. 23. Схема усилий в прямоугольном сечении
внецентренно сжатого железобетонного элемента
3.47. Расчет прямоугольных сечений с симметричной арматурой, сосредоточенной у наиболее сжатой и у растянутой (менее сжатой) граней элемента, производится следующим образом в зависимости от высоты сжатой зоны:

(96)

(97)
б) при

- также из условия (97), при этом, если применяется арматура с условным пределом текучести (см.
п. 2.16), высота сжатой зоны
x определяется по формуле

(98)
где

и
k - определяются по формулам

(99)
где

определяется по формуле
При наличии ненапрягаемой арматуры
A и
A' с условным пределом текучести следует учитывать
примечание к п. 3.3, распространяя его и на арматуру
A'.
Если используется напрягаемая арматура с физическим пределом текучести, высота сжатой зоны
x при

всегда определяется по
формуле (99).
Значение e вычисляется по формуле

(100)
при этом эксцентриситет
e0 определяется с учетом прогиба элемента согласно
пп. 3.45 и
3.46.
Примечание. При большом количестве ненапрягаемой арматуры с физическим пределом текучести (при
RаFа > 0,2
RаFн) не следует пользоваться
формулами (98) и
(99). В этом случае высота сжатой зоны
x определяется по формулам общего случая согласно
п. 3.18 с учетом
п. 3.43.
ДВУТАВРОВЫЕ СЕЧЕНИЯ С СИММЕТРИЧНОЙ АРМАТУРОЙ
3.48. Расчет двутавровых сечений с симметричной арматурой, сосредоточенной в полках, производится следующим образом.
Если соблюдается условие

(101)
(т.е. граница сжатой зоны проходит в полке), то расчет производится как для прямоугольного сечения шириной
b'п в соответствии с указаниями
п. 3.47.
Если
условие (101) не соблюдается (т.е. граница сжатой зоны проходит в ребре), расчет производится в зависимости от высоты сжатой зоны

(102)
а) при

(см.
табл. 25) прочность сечения проверяется из условия

(103)
б) при

прочность сечения проверяется также из условия (103), при этом высота сжатой зоны
x при арматуре с условным пределом текучести (см.
п. 2.16) определяется по формуле

(104)
Fсв - площадь сечения сжатых свесов полки:
Fсв = (b'п - b)h'п.

(105)
где
При напрягаемой арматуре с физическим пределом текучести высоту сжатой зоны
x при

всегда определяют по
формуле (105).
Коэффициент условий работы бетона mб1 | Класс растянутой арматуры | Обозначение | | Значения  ,  , k и  для бетона марки |
М200 | М250 | М300 | М350 | М400 | М450 | М500 | М600 | М700 | М800 |
0,85 | Любой | | Любое | 0,79 | 0,774 | 0,758 | 0,746 | 0,73 | 0,718 | 0,702 | 0,682 | 0,654 | 0,638 |
| " | 17 740 | 16 870 | 16 080 | 15 530 | 14 860 | 14 240 | 13 810 | 13 160 | 12 560 | 12 010 |
А-IV, Ат-IV | k | 1 | 1,04 | 1,01 | 0,99 | 0,98 | 0,96 | 0,95 | 0,94 | 0,93 | 0,92 | 0,91 |
0,6 | 1,27 | 1,25 | 1,24 | 1,23 | 1,22 | 1,21 | 1,21 | 1,21 | 1,21 | 1,22 |
0,4 | 1,39 | 1,38 | 1,37 | 1,36 | 1,36 | 1,36 | 1,36 | 1,36 | 1,37 | 1,38 |
| 1 | 0,84 | 0,82 | 0,81 | 0,8 | 0,78 | 0,77 | 0,76 | 0,74 | 0,72 | 0,7 |
0,6 | 0,75 | 0,73 | 0,71 | 0,7 | 0,68 | 0,67 | 0,65 | 0,63 | 0,61 | 0,59 |
0,4 | 0,71 | 0,69 | 0,67 | 0,66 | 0,64 | 0,63 | 0,61 | 0,59 | 0,57 | 0,55 |
А-V, Ат-V и Атп-V | k | 1 | 0,97 | 0,94 | 0,92 | 0,91 | 0,89 | 0,88 | 0,87 | 0,86 | 0,85 | 0,84 |
0,6 | 1,25 | 1,23 | 1,22 | 1,21 | 1,21 | 1,2 | 1,2 | 1,2 | 1,2 | 1,21 |
0,4 | 1,4 | 1,39 | 1,39 | 1,38 | 1,38 | 1,38 | 1,38 | 1,39 | 1,4 | 1,42 |
| 1 | 0,85 | 0,84 | 0,82 | 0,81 | 0,8 | 0,78 | 0,77 | 0,76 | 0,74 | 0,72 |
0,6 | 0,74 | 0,72 | 0,7 | 0,69 | 0,67 | 0,66 | 0,64 | 0,62 | 0,6 | 0,58 |
0,4 | 0,69 | 0,67 | 0,65 | 0,64 | 0,63 | 0,61 | 0,59 | 0,57 | 0,55 | 0,53 |
Ат-VI | k | 1 | 0,89 | 0,87 | 0,85 | 0,84 | 0,82 | 0,81 | 0,8 | 0,79 | 0,78 | 0,77 |
0,6 | 1,23 | 1,22 | 1,21 | 1,2 | 1,19 | 1,19 | 1,19 | 1,19 | 1,2 | 1,21 |
0,4 | 1,42 | 1,41 | 1,4 | 1,4 | 1,41 | 1,41 | 1,42 | 1,43 | 1,45 | 1,47 |
| 1 | 0,87 | 0,86 | 0,84 | 0,83 | 0,82 | 0,8 | 0,79 | 0,78 | 0,76 | 0,74 |
0,6 | 0,72 | 0,71 | 0,69 | 0,68 | 0,66 | 0,64 | 0,63 | 0,61 | 0,59 | 0,57 |
0,4 | 0,67 | 0,65 | 0,63 | 0,62 | 0,6 | 0,58 | 0,57 | 0,55 | 0,53 | 0,51 |
| k | 1 | 0,77 | 0,76 | 0,73 | 0,72 | 0,71 | 0,7 | 0,69 | 0,68 | 0,67 | 0,66 |
0,6 | 1,2 | 1,19 | 1,18 | 1,18 | 1,18 | 1,18 | 1,18 | 1,19 | 1,2 | 1,21 |
0,4 | 1,44 | 1,44 | 1,45 | 1,45 | 1,46 | 1,47 | 1,49 | 1,5 | 1,52 | 1,55 |
| 1 | 0,9 | 0,89 | 0,88 | 0,87 | 0,86 | 0,84 | 0,84 | 0,82 | 0,8 | 0,79 |
0,6 | 0,7 | 0,68 | 0,67 | 0,65 | 0,64 | 0,62 | 0,61 | 0,58 | 0,56 | 0,54 |
0,4 | 0,63 | 0,61 | 0,6 | 0,58 | 0,56 | 0,55 | 0,53 | 0,51 | 0,49 | 0,47 |
1 и 1,1 | Любой | | Любое | 0,77 | 0,754 | 0,734 | 0,714 | 0,698 | 0,678 | 0,662 | 0,634 | 0,602 | 0,578 |
| " | 13 330 | 12 570 | 12 020 | 11 400 | 10 940 | 10 420 | 10 040 | 9440 | 8910 | 8430 |
А-IV и Ат-IV | k | 1 | 0,83 | 0,81 | 0,8 | 0,79 | 0,78 | 0,77 | 0,76 | 0,76 | 0,76 | 0,76 |
0,6 | 1,08 | 1,07 | 1,06 | 1,06 | 1,06 | 1,06 | 1,07 | 1,08 | 1,09 | 1,12 |
0,4 | 1,21 | 1,21 | 1,21 | 1,21 | 1,22 | 1,23 | 1,24 | 1,26 | 1,29 | 1,32 |
| 1 | 0,83 | 0,81 | 0,8 | 0,78 | 0,77 | 0,75 | 0,74 | 0,71 | 0,68 | 0,66 |
0,6 | 0,72 | 0,69 | 0,68 | 0,66 | 0,64 | 0,62 | 0,6 | 0,57 | 0,54 | 0,52 |
0,4 | 0,67 | 0,65 | 0,63 | 0,61 | 0,59 | 0,57 | 0,55 | 0,52 | 0,49 | 0,47 |
А-V, Ат-V и Атп-V | k | 1 | 0,77 | 0,75 | 0,74 | 0,73 | 0,72 | 0,71 | 0,7 | 0,69 | 0,69 | 0,69 |
0,6 | 1,07 | 1,06 | 1,06 | 1,06 | 1,06 | 1,07 | 1,07 | 1,09 | 1,11 | 1,13 |
0,4 | 1,24 | 1,24 | 1,24 | 1,25 | 1,26 | 1,27 | 1,28 | 1,31 | 1,35 | 1,39 |
| 1 | 0,85 | 0,84 | 0,82 | 0,8 | 0,79 | 0,77 | 0,76 | 0,73 | 0,71 | 0,68 |
0,6 | 0,7 | 0,68 | 0,66 | 0,64 | 0,62 | 0,6 | 0,59 | 0,56 | 0,53 | 0,5 |
0,4 | 0,65 | 0,62 | 0,61 | 0,59 | 0,57 | 0,54 | 0,53 | 0,5 | 0,47 | 0,44 |
Ат-VI | k | 1 | 0,71 | 0,69 | 0,68 | 0,66 | 0,65 | 0,64 | 0,64 | 0,63 | 0,62 | 0,62 |
0,6 | 1,07 | 1,06 | 1,06 | 1,06 | 1,06 | 1,07 | 1,08 | 1,1 | 1,12 | 1,15 |
0,4 | 1,27 | 1,28 | 1,28 | 1,29 | 1,31 | 1,32 | 1,34 | 1,39 | 1,42 | 1,47 |
| 1 | 0,88 | 0,86 | 0,85 | 0,83 | 0,82 | 0,8 | 0,79 | 0,76 | 0,74 | 0,71 |
0,6 | 0,69 | 0,67 | 0,65 | 0,63 | 0,61 | 0,59 | 0,57 | 0,54 | 0,51 | 0,49 |
0,4 | 0,62 | 0,6 | 0,58 | 0,56 | 0,54 | 0,52 | 0,5 | 0,47 | 0,45 | 0,42 |
| k | 1 | 0,61 | 0,59 | 0,58 | 0,56 | 0,55 | 0,54 | 0,53 | 0,52 | 0,51 | 0,51 |
0,6 | 1,06 | 1,06 | 1,06 | 1,07 | 1,07 | 1,08 | 1,09 | 1,12 | 1,15 | 1,18 |
0,4 | 1,33 | 1,35 | 1,36 | 1,38 | 1,4 | 1,42 | 1,45 | 1,49 | 1,55 | 1,62 |
| 1 | 0,92 | 0,91 | 0,95 | 0,88 | 0,87 | 0,86 | 0,85 | 0,83 | 0,8 | 0,78 |
0,6 | 0,66 | 0,64 | 0,62 | 0,6 | 0,58 | 0,56 | 0,54 | 0,51 | 0,49 | 0,46 |
0,4 | 0,58 | 0,56 | 0,54 | 0,52 | 0,5 | 0,48 | 0,46 | 0,43 | 0,41 | 0,38 |

- предварительное напряжение при коэффициенте
mт, меньшем единицы (см.
п. 1.24);
Примечания: 1. При использовании коэффициентов
mб из
табл. 13 не допускается применение табличных значений

,

,
k и

.
2. При использовании коэффициента
mб.д согласно
п. 3.1 табличные значения

,

,
k и

принимаются при
mб1 = 1.
При наличии ненапрягаемой арматуры
A и
A' с условным пределом текучести следует учитывать
примечание к п. 3.3, распространяя его и на арматуру
A'.
Примечания: 1. При переменной высоте свесов полки значение h'п принимается равным средней высоте свесов.
2. При большом количестве ненапрягаемой арматуры с физическим пределом текучести (при
RаFа > 0,2
RаFн) не следует пользоваться
формулами (104) и
(105). В этом случае высота сжатой зоны определяется по формулам общего случая согласно
п. 3.18 с учетом
п. 3.43.
КОЛЬЦЕВЫЕ СЕЧЕНИЯ (РИС. 24)
Рис. 24. Схема, принимаемая при расчете кольцевого сечения 3.49 (3.21). Расчет элементов кольцевого сечения при соотношении внутреннего и наружного радиусов r1/ r2 >= 0,5 с арматурой, равномерно распределенной по окружности (при числе продольных стержней не менее 6), должен производиться из условия  (106) где rср = 0,5 (r1 + r2); Fн.к - площадь сечения всей напрягаемой продольной арматуры; Fа.к - площадь сечения всей ненапрягаемой арматуры; rн и rа - радиусы окружностей, проходящих через центры тяжести стержней, соответственно площадью Fн.к и Fа.к;  - относительная площадь сжатой зоны бетона, определяемая по формуле  (107) где  ,  ; mк = 1,1 - для арматуры с условным пределом текучести (см. п. 2.16); mк = 1 - для арматуры с физическим пределом текучести; (Rа - в кгс/см2);  - предварительное напряжение с учетом коэффициента mт, большего единицы; zн и zа - расстояния от равнодействующей в напрягаемой и ненапрягаемой арматуре растянутой зоны до центра тяжести сечения, определяемые по формуле  (108) но принимаемые не более rн(а); kн и kа - коэффициенты, принимаемые равными:  (109) если kн <= 0 либо если kа <= 0, значение  снова вычисляется по формуле (107), при этом соответственно принимается Aн = 0 либо Aа = 0. Если  , в условие (106) подставляется значение  , определяемое по формуле  (110) |
Эксцентриситет силы
N относительно центра тяжести сечения
e0 определяется с учетом прогиба элемента согласно
пп. 3.45 и
3.46.
ПРИМЕРЫ РАСЧЕТА
Прямоугольные сечения. Пример 16. Дано: колонна с размерами сечения
b = 40 см;
h = 70 см;
a =
a' = 4 см; бетон марки М400 (
Rпр = 190 кгс/см
2 при
mб1 = 1,1;
RпрII = 225 кгс/см
2,
Eб = 3·10
5 кгс/см
2); арматура симметричная класса А-V (
Rа = 6400 кгс/см
2,
Eа = 1,9·10
6 кгс/см
2) площадью сечения: напрягаемая -
Fн = 4,02 см
2 
, ненапрягаемая -
Fа = 2,01 см
2 
; предварительное напряжение с учетом всех потерь

; площадь приведенного сечения
Fп = 2876 см
2; усилие предварительного обжатия с учетом всех потерь напряжений при
mт = 0,9 -
N02 = 39 670 кгс; продольные силы от постоянных и длительных нагрузок
Nдл = 189 тс, от всех нагрузок
N = 245 тс; изгибающий момент от кратковременных нагрузок, полученный из статического расчета по недеформированной схеме,
M =
Mкр = 26,5 тс·м; расчетная длина
l0 = 14,6 м.
Требуется проверить прочность сечения
Расчет. h0 = h - а = 70 - 4 = 66 см.
Так как
l0/
h = 14,6/0,7 = 20,8 > 10, расчет ведем с учетом прогиба колонны согласно
п. 3.45, вычисляя
Nкр по
формуле (92).
Для этого определяем
Следовательно, принимаем t = e0/h = 0,154.
Напряжение обжатия в бетоне равно:
Поскольку
e0/
h < 0,25, в
формуле (95) оставляем
e0/
h = 0,154. Тогда
Моменты инерции бетонного сечения и арматуры равны:
Значение e равно:
Проверку прочности ведем согласно
п. 3.47. Поскольку в сечении применяется ненапрягаемая арматура с условным пределом текучести, согласно
п. 3.47 и
примечанию к п. 3.3 значение
Fн =
F'н заменяем на
Fн.у =
F'н.у =
Fн +
Fа = 6,03 см
2, напряжение

заменяем на усредненное напряжение
и принимаем Fа = F'а = 0.
Определяем напряжение в арматуре

согласно
п. 3.8, принимая

, а

с учетом коэффициента
mт = 1,1.
Поскольку l0/h > 10, принимаем mа4 = 1.
Высота сжатой зоны равна:
Из
табл. 25 при
mб1 = 1,1, классе арматуры А-V, марке бетона М400 и

находим значение

.
Поскольку

, а арматура класса А-V с условным пределом текучести, высоту сжатой зоны определяем по
формуле (98). Для этого из
табл. 27 при
mб1 = 1,1, классе арматуры А-V, марке бетона М400 и

находим значения
k = 1,2 и

.
Тогда
Поскольку

, оставляем
x = 36,7 см.
т.е. прочность сечения обеспечена.
КОЛЬЦЕВЫЕ СЕЧЕНИЯ
Пример 17. Дано: внутренний радиус
r1 = 15 см, наружный радиус
r2 = 25 см; бетон марки М300 (
Rпр = 145 кгс/см
2;
RпрII = 170 кгс/см
2,
Eб = 2,6·10
5 кгс/см
2, при
mб1 = 1,1); напрягаемая арматура класса А-IV (
Rа = 5000 кгс/см
2,
Rа.с = 4000 кгс/см
2,
Eа = 2·10
6 кгс/см
2) площадью сечения
Fн.к = 14,7 см
2 
распределена равномерно по середине толщины кольца; площадь приведенного сечения
Fп = 1369 см
2; предварительное напряжение с учетом всех потерь

; продольная сила от постоянных и длительных нагрузок
N =
Nдл = 25 тс, изгибающий момент от ветровой нагрузки
M =
Mкр = 12 тс·м, расчетная длина элемента
l0 = 6 м.
Требуется проверить прочность сечения.
Расчет. Вычисляем площадь кольцевого сечения
Радиус инерции сечения
Тогда гибкость элемента l0/r = 600/14,6 = 41 > 35.
Следовательно, расчет ведем с учетом прогиба элемента согласно
п. 3.45, вычисляя
Nкр по
формуле (92).
Для этого определяем:
Так как

принимаем
t = e0/D = 0,96.
Напряжение обжатия в бетоне с учетом mт = 0,9 равно:
Поскольку
e0/
D > 0,25, в
формуле (95) принимаем
e0/
D = 0,25. Тогда
Моменты инерции бетонного сечения и арматуры равны:
Коэффициент

равен:
Проверку прочности ведем согласно
п. 3.49.
Определяем значение

по
формуле (107), принимая
Fа.к = 0 и
mк = 1,1; для этого вычисляем:
следовательно, значение

оставляем без изменения.
Значение kн равно:
Так как kн > 0, значение Aн оставляем без изменения.
Значение zн равно:
Проверяем
условие (106), принимая эксцентриситет
e0 с учетом коэффициента

т.е. прочность сечения обеспечена.
НА ВОЗДЕЙСТВИЕ ПРЕДВАРИТЕЛЬНОГО ОБЖАТИЯ
3.50. При расчете элемента на воздействие предварительного обжатия с учетом нагрузок, действующих в стадии изготовления, усилие в напрягаемой арматуре
Nн вводится в расчет как внешняя нагрузка. Это усилие определяется следующим образом:
а) при натяжении арматуры на упоры

(111)
где F'н - площадь сечения напрягаемой арматуры, расположенной в зоне, наиболее сжатой от действия нагрузок в стадии изготовления;
3300 - в кгс/см2;

- определяется при коэффициенте
mт, большем единицы;
б) при натяжении арматуры на бетон усилие Nн определяется от всей напрягаемой арматуры, при этом напряжения в ней принимаются равными:
если вся арматура натягивается одновременно -
,
где

- контролируемые напряжения в арматуре (см.
п. 1.31);
если арматура натягивается поочередно группами -

,
где
но не более 2800 кгс/см2;
F1 и F2 - соответственно наименьшая и наибольшая площади поперечных сечений обжимаемого элемента;
Fн и Fп.н - площади сечения соответственно всех групп напрягаемой арматуры и последней группы напрягаемой арматуры.
При расположении усилия
Nн в плоскости симметрии сечения и при натяжении арматуры на упоры расчет прочности на действие предварительного обжатия производится согласно
пп. 3.52 -
3.54. При натяжении арматуры на бетон расчет прочности на действие обжатия также можно производить согласно
пп. 3.52 -
3.54, при этом используемая при определении
Nн напрягаемая арматура менее обжатой зоны в расчете не учитывается.
При наличии ненапрягаемой арматуры с условным пределом текучести следует учитывать
примечание к п. 3.3.
Расчет прочности при обжатии производят с учетом расчетного сопротивления бетона

, соответствующего его передаточной прочности
R0 при коэффициенте условий работы
mб4 (см.
табл. 13, поз. 4).
При натяжении арматуры на упоры расчет элементов на действие центрального обжатия может не производиться.
3.51. При натяжении арматуры на упоры влияние прогиба элемента не учитывается. Также не учитывается влияние прогиба элемента при натяжении на бетон арматуры, расположенной в закрытых каналах и не смещаемой по поперечному сечению.
При натяжении на бетон арматуры, расположенной в каналах, пазах, выемках или за пределами сечения, не имеющей сцепления с бетоном и способной смещаться по поперечному сечению элемента, влияние прогиба элемента должно быть учтено согласно указаниям
п. 3.45, как для ненапрягаемого элемента. При этом расчетная длина принимается равной расстоянию между устройствами, прикрепляющими арматуру к бетону по длине элемента, а в значении
Iа учитывается только ненапрягаемая арматура.
3.52. Для элементов прямоугольного и таврового сечения с полкой в наименее обжатой зоне
(рис. 25) расчет прочности на действие предварительного обжатия при арматуре, натягиваемой на упоры, производится следующим образом в зависимости от высоты сжатой зоны

(112)
а) при

(см.
п. 3.6) - из условия

(113)
б) при

- из условия

(114)
где

.
Рис. 25. Схема усилий в поперечном сечении внецентренно
обжатого железобетонного элемента с прямоугольной
сжатой зоной
Значения

и
AR при ненапрягаемой арматуре наименее обжатой зоны классов А-III, Вр-I или В-I можно определять по табл. 28.
Вид напрягаемой арматуры наиболее обжатой зоны | Класс ненапрягаемой арматуры наименее обжатой зоны | Обозначение | Значения  ,  ,  и AR при передаточной прочности бетона R0 |
160 | 210 | 245 | 280 | 315 | 350 | 420 | 490 |
Стержневая | Любой | | 0,78 | 0,76 | 0,75 | 0,73 | 0,71 | 0,7 | 0,67 | 0,65 |
| 13700 | 12900 | 12400 | 11900 | 11400 | 11000 | 10300 | 9700 |
А-III и Вр-I | | 0,624 | 0,602 | 0,585 | 0,568 | 0,551 | 0,536 | 0,507 | 0,48 |
AR | 0,429 | 0,421 | 0,414 | 0,416 | 0,399 | 0,392 | 0,379 | 0,365 |
В-I | | 0,633 | 0,611 | 0,595 | 0,577 | 0,56 | 0,545 | 0,516 | 0,489 |
AR | 0,433 | 0,424 | 0,418 | 0,411 | 0,403 | 0,396 | 0,383 | 0,37 |
Проволочная | Любой | | 0,79 | 0,77 | 0,75 | 0,75 | 0,73 | 0,71 | 0,69 | 0,66 |
| 14000 | 13300 | 12700 | 12200 | 11800 | 11400 | 10700 | 10100 |
А-III и Вр-I | | 0,631 | 0,61 | 0,596 | 0,58 | 0,564 | 0,55 | 0,522 | 0,497 |
AR | 0,432 | 0,424 | 0,408 | 0,412 | 0,405 | 0,399 | 0,386 | 0,374 |
В-I | | 0,64 | 0,62 | 0,606 | 0,589 | 0,573 | 0,56 | 0,532 | 0,506 |
AR | 0,435 | 0,428 | 0,423 | 0,416 | 0,409 | 0,403 | 0,39 | 0,378 |
При наличии в менее обжатой зоне напрягаемой арматуры значения

и
AR можно определить по
табл. 25,
п. 3.6 в зависимости от класса этой арматуры, принимая
mб1 = 1,1,

, а проектную марку бетона равной его передаточной прочности
R0.
Если

, расчетную несущую способность на действие обжатия при необходимости можно несколько увеличить, используя
условие (113) при значении
x, определенном следующим образом:
при отсутствии в менее обжатой зоне арматуры с условным пределом текучести

(115)
где

;
при наличии в менее обжатой зоне арматуры с условным пределом текучести

(116)
При этом, если значение
x, определенное по формуле (116), больше

, то в
условие (113) следует подставлять значение
x, определяемое по
формуле (115), где

и

находят по
табл. 27.
При определении значений

,

,
k и

по
табл. 27 следует принимать
mб1 = 1,1,

, а проектную марку бетона - равной его передаточной прочности
R0.
Рис. 26. Схема усилий в поперечном сечении внецентренно
обжатого железобетонного элемента с полкой в сжатой зоне
3.53. Для элементов таврового и двутаврового сечения с полкой в наиболее обжатой зоне (рис. 26) расчет прочности на действие предварительного обжатия при арматуре, натягиваемой на упоры, производится следующим образом.
Если соблюдается условие

(117)
(т.е. граница сжатой зоны проходит в полке), расчет производится как при отсутствии полки в наиболее обжатой зоне в соответствии с
п. 3.52, при
b =
b'п.
Если условие (117) не соблюдается (т.е. граница сжатой зоны проходит в ребре), расчет производится в зависимости от высоты сжатой зоны

(118)
а) при

(см.
п. 3.6) - из условия

(119)
б) при

- из условия

(120)
где
Значения

и
AR при арматуре менее обжатой зоны классов А-III, Вр-I или В-I можно определять по
табл. 28.
Если

, расчетную несущую способность на действие обжатия при необходимости можно несколько увеличить, используя
условие (119) при высоте сжатой зоны
x, определяемой по
формулам (115) или
(116), п. 3.52, в которых сила
Nн уменьшается на величину

.
Здесь Fсв - площадь сечения сжатых свесов полки:
Fсв = (b'п - b)h'п.
при натяжении арматуры на упоры

(121)
при натяжении арматуры на бетон

(122)
где e0.н - эксцентриситет усилия Nн относительно центра тяжести приведенного сечения;
y - расстояние от центра тяжести приведенного сечения до наиболее обжатой грани элемента;
M - момент от нагрузок, действующих в стадии изготовления;
знак "плюс" принимается, если момент усилия Nн относительно арматуры A и момент M совпадают по направлению; знак "минус" - если направления этих моментов противоположны.
ПРИМЕРЫ РАСЧЕТА
РАСЧЕТ ЭЛЕМЕНТОВ
НА ВОЗДЕЙСТВИЕ ПРЕДВАРИТЕЛЬНОГО ОБЖАТИЯ
Пример 18. Дано: ребристая плита покрытия длиной 12 м с поперечным сечением ребра по
рис. 27; напрягаемая арматура из канатов класса К-7 натягивается на упоры; предварительное напряжение с учетом первых потерь при

, передаточная прочность бетона
R0 = 350 кгс/см
2; собственный вес плиты 7,4 тс; монтажные петли расположены на расстоянии 80 см от торца плиты.
Требуется проверить прочность плиты в стадии изготовления.
Расчет. Из рис. 27 видно, что в наиболее обжатой зоне располагается напрягаемая арматура класса К-7 площадью
F'
н = 5,66 см
2 
. Ненапрягаемую арматуру

, расположенную в этой зоне, в расчете не учитываем, поскольку она не удовлетворяет конструктивным требованиям
п. 5.41. В менее обжатой зоне располагается ненапрягаемая арматура с физическим пределом текучести

(
Fа1 = 0,785 см
2) и

(
Fа2 = 1,076 см
2).
Равнодействующая усилий в арматуре менее обжатой зоны отстоит от верхней грани на расстоянии
Следовательно, h0 = h - a = 45 - 3,24 = 41,76 см.
Расчетное усилие обжатия согласно
п. 3.50 равно:
Определяем значение
e согласно
п. 3.54. Поскольку монтажные петли располагаются на расстоянии 80 см от торца, невыгоднейший момент от собственного веса, растягивающий верхнюю грань, будет возникать при подъеме плиты. Определим этот момент с учетом коэффициента 1,5 (см.
п. 1.11) для половины сечения плиты:
Тогда
Расчетное сопротивление бетона, соответствующее передаточной прочности
R0 = 350 кгс/см
2, согласно
табл. 12 при
mб1 = 1 равно:

, а с учетом коэффициента
mб4 = 1,1 (см.
табл. 13, поз. 3) равно:

.
Высоту сжатой зоны определяем по
формуле (112), принимая ширину ребра на уровне центра тяжести сечения напрягаемой арматуры, т.е.
Fн = 0 и
F'
а = 0;
| | ИС МЕГАНОРМ: примечание. Текст дан в соответствии с официальным текстом документа. | |
Из
табл. 28 при
R0 = 350 кгс/см
2, при проволочной нижней арматуре и верхней арматуре класса А-III находим

. Поскольку

, прочность проверяем из
условия (113)
т.е. прочность в стадии изготовления обеспечена.
ЦЕНТРАЛЬНО И ВНЕЦЕНТРЕННО РАСТЯНУТЫЕ ЭЛЕМЕНТЫ.
ЦЕНТРАЛЬНО РАСТЯНУТЫЕ ЭЛЕМЕНТЫ
3.55 (3.26). При расчете сечений центрально растянутых железобетонных элементов должно соблюдаться условие  (123)  и  - площади сечения всей продольной соответственно напрягаемой и ненапрягаемой арматуры. |
ВНЕЦЕНТРЕННО РАСТЯНУТЫЕ ЭЛЕМЕНТЫ
РАСЧЕТ ЭЛЕМЕНТОВ ПРЯМОУГОЛЬНОГО СЕЧЕНИЯ ПРИ РАСПОЛОЖЕНИИ
ПРОДОЛЬНОЙ СИЛЫ В ПЛОСКОСТИ ОСИ СИММЕТРИИ
3.56 (3.27). Расчет прямоугольных сечений внецентренно растянутых элементов с арматурой, сосредоточенной у наиболее растянутой и у сжатой (наименее растянутой) граней, должен производиться в зависимости от положения продольной силы N:а) если продольная сила N приложена между равнодействующими усилий в арматуре A и A' ( рис. 28, а), т. е. при e' <= h0 - a', - из условий  (124) и  (125) б) если продольная сила N приложена за пределами расстояния между равнодействующими усилий в арматуре A и A' ( рис. 28, б), т. е. при e' > h0 - a', - из условия  (126) при этом высота сжатой зоны x определяется по формуле  (127) |
Рис. 28. Схема усилий в прямоугольном сечении
внецентренно растянутого железобетонного элемента
при расчете его на прочность
а - продольная сила N приложена между равнодействующими
усилий в арматуре A и A'; б - то же, за пределами расстояния
между равнодействующими усилий в арматуре A и A'
При применении ненапрягаемой арматуры с условным пределом текучести следует учитывать указания
примечания к п. 3.3.
Примечание. Если при
e' >
h0 -
a' высота сжатой зоны, определенная без учета ненапрягаемой арматуры
A',

меньше 2
'a, расчетную несущую способность можно несколько увеличить, производя расчет по
формулам (126) и
(127) без учета ненапрягаемой арматуры
A'.
3.57. Элементы прямоугольного сечения с симметричной арматурой, расположенной в несколько рядов по высоте сечения, рассчитываются при силе N, приложенной между крайними рядами арматуры, из условия

(128)
где e1 - расстояние от силы N до наименее растянутого ряда арматуры;
Sн и Sа - статические моменты площади сечения соответственно всей напрягаемой и всей ненапрягаемой арматуры относительно оси, перпендикулярной направлению эксцентриситета и проходящей через наименее растянутый ряд арматуры;
Если сила
N приложена за пределами расстояния между крайними рядами арматуры, расчет производится по формулам общего случая согласно
п. 3.59.
3.58. Определение требуемого количества продольной арматуры производится следующим образом:
а) при e' <= h0 - a' площадь сечения напрягаемой арматуры A и A' определяется соответственно по формулам

(129)

(130)
б) при
e' >
h0 -
a' площадь сечения напрягаемой арматуры
A определяется по формуле

(131)

(132)
При этом должно удовлетворяться условие
A0 <=
AR (см.
табл. 25,
п. 3.6). В противном случае следует увеличить площадь сечения ненапрягаемой арматуры
F'а, повысить марку бетона или увеличить размеры сечения.
Если
A0 < 0, площадь сечения напрягаемой арматуры
A определяется по
формуле (129).
При подборе симметричной напрягаемой арматуры в первом приближении в
формулах (131) и
(132) принимается
F'н = 0. При этом, если напряжение

сжимающее (т.е.

), повторный расчет можно не производить.
Примечание. При
e' >
h0 -
a' и при отсутствии напрягаемой арматуры
A' необходимое количество напрягаемой арматуры
A можно несколько снизить, если значение

, определенное по
табл. 26 без учета ненапрягаемой арматуры
A', т.е. по значению

, оказывается меньше 2
a'а/
h0. В этом случае площадь сечения напрягаемой арматуры
A определяется по формуле

(133)
где значение

и значение

, необходимые для вычисления
mа4, определяются по
табл. 26 зависимости от
.
ОБЩИЙ СЛУЧАЙ РАСЧЕТА НОРМАЛЬНЫХ СЕЧЕНИЙ ВНЕЦЕНТРЕННО
РАСТЯНУТОГО ЭЛЕМЕНТА (ПРИ ЛЮБЫХ СЕЧЕНИЯХ, ВНЕШНИХ УСИЛИЯХ
И ЛЮБОМ АРМИРОВАНИИ)
3.59
(3.28). Расчет нормальных сечений внецентренно растянутого элемента в общем случае
(рис. 29) должен производиться из условия

(134)
где
- расстояние от продольной силы
N до оси, параллельной прямой, ограничивающей сжатую зону, и проходящей через точку сжатой зоны, наиболее удаленную от указанной прямой;

- напряжение в
i-м стержне продольной арматуры;
Sai - статический момент площади сечения i-го стержня продольной арматуры относительно указанной оси;
Sб - статический момент площади сжатой зоны бетона относительно указанной оси.
Рис. 29. Общий случай расчета внецентренно
растянутого элемента
1 - точка приложения растягивающей силы N; А - точка
приложения равнодействующей усилий в арматуре и бетоне
сжатой зоны; Б - точка приложения равнодействующей усилий
в арматуре растянутой зоны; 1 - 6 - арматурные стержни
При косом внецентренном растяжении для определения положения границы сжатой зоны кроме использования
формул (57) -
(60) требуется соблюдение дополнительного условия, что точки приложения внешней продольной силы, равнодействующей сжимающих усилий в бетоне и арматуре и равнодействующей усилий в растянутой арматуре должны лежать на одной прямой.
НАКЛОННЫХ К ПРОДОЛЬНОЙ ОСИ ЭЛЕМЕНТОВ
3.60. Расчет наклонных сечений внецентренно растянутых элементов на действие поперечной силы производится как для изгибаемых элементов согласно
пп. 3.20 -
3.35; при этом значения
Rр во всех этих пунктах умножаются на коэффициент
kN, равный:

(135)
но принимаемый не менее 0,2.
Расчет наклонных сечений внецентренно растянутых элементов на действие изгибающего момента производится как для изгибаемых элементов согласно
пп. 3.36 -
3.40. При этом высота сжатой зоны в наклонном сечении определяется с учетом растягивающей силы
N по
формуле (127), п. 3.56, или согласно
п. 3.59. В случае выполнения условия
e' <=
h0 -
a' расчетный момент в наклонном сечении допускается определять как момент всех внешних сил, расположенных по одну сторону от рассматриваемого наклонного сечения, относительно оси, проходящей через центр тяжести арматуры
A'.
ПРИМЕРЫ РАСЧЕТА
Внецентренно растянутые элементы. Пример 19. Дано: размеры сечения нижнего пояса безраскосной фермы
b = 22 см,
h = 24 см,
a =
a' = 4 см; бетон марки М400, продольная напрягаемая арматура симметричная класса А-IV (
Rа = 5000 кгс/см
2,

) площадью сечения
Fн = F'н = 7,63 см
2 
; продольная растягивающая сила
N = 60 тс; максимальный изгибающий момент
M = 2,4 тс·м.
Требуется проверить прочность нормального сечения.
Расчет. h0 = h - a = 24 - 4 = 20 см;
Так как
e' = 12 см <
h0 -
a' = 20 - 4 = 16 см, прочность сечения проверяем из
условия (124).
Условие (125) не проверяем, поскольку арматура симметричная.
т.е. прочность сечения обеспечена.
Пример 20. Дано: П-образная плита перекрытия; к нижней грани ее продольного ребра приложена растягивающая сила
N = 5 тс, вызванная сдвигающими усилиями в диске перекрытия от ветровых нагрузок; размеры поперечного сечения плиты (для половины сечения)
h = 40 см,
b = 8,5 см,
b'п = 35 см,
h'п = 5 см;
a = 3,7 см; бетон марки М300 (
Rпр = 145 кгс/см
2 при
mб1 = 1,1); продольная растянутая арматура напрягаемая класса А-V (
Rа = 6400 кгс/см
2) и ненапрягаемая класса А-III (
Rа = 3400 кгс/см
2); площади сечения арматуры
Fн = 3,14 см
2 
и
Fа = 0,785 см
2 
; предварительное напряжение арматуры с учетом всех потерь при
mт < 1

; максимальный изгибающий момент плиты от вертикальной нагрузки
M = 6,6 тс·м.
Требуется проверить прочность нормального сечения плиты.
Расчет.
h0 =
h -
a = 40 - 3,7 = 36,3 см. Поскольку сила
N приложена за пределами расстояния между арматурами
A и
A', прочность сечения проверяем согласно
п. 3.56, б.
Предполагая, что граница сжатой зоны проходит в полке, расчет ведем, как для прямоугольных сечений (по аналогии с изгибаемыми элементами), принимая b = b'п = 35 см.
т.е. граница сжатой зоны действительно проходит в полке.
Из
табл. 25,
п. 3.6, при
mб1 = 1,1, классе арматуры А-IV, марке бетона М300 и

находим значение

.
Высота сжатой зоны x равна:
Определим Ne - момент внешних сил относительно точки приложения равнодействующей усилий в арматуре A:
Ne = Na + M = 5·0,037 + 6,6 = 6,785 тс·м.
Rпрbx(h0 - 0,5x) = 145·35·4(36,3 - 0,5·4) = 696 000 кгс·см =
= 6,96 тс·м > Ne = 6,785 тс·м,
т.е. прочность сечения обеспечена.
Пример 21. Дано: размеры сечения
b = 24 см,
h = 36 см; расположение продольной напрягаемой арматуры класса А-V по рис. 30; центрально приложенная растягивающая сила
N = 100 тс; изгибающий момент
M = 8 тс·м; площадь сечения всей продольной арматуры

.
1 - центр тяжести сечения
Требуется проверить прочность нормального сечения.
Расчет. Расстояние от крайнего ряда арматуры до центра тяжести сечения согласно
рис. 30 равно:
Поскольку
e0 = M/N = 800/100 = 8 см < a1 = 12 см,
сила
N приложена между крайними рядами арматуры и прочность сечения можно проверить из
условия (128).
Статический момент площади сечения всей арматуры относительно крайнего ряда арматуры равен:
Sн = Fнa1 = 25,13·12 = 301,6 см3.
Расстояние от силы N до наименее растянутого ряда арматуры
e1 = e0 + a1 = 8 + 12 = 20 см.
т.е. прочность сечения обеспечена.
Пример 22. Дано: размеры сечения нижнего пояса подстропильной фермы b = 55 см, h = 21 см, a = a' = 5 см; продольная напрягаемая арматура в виде канатов класса К-7 диаметром 15 мм (Rа = 10 600 кгс/см2); продольная растягивающая сила N = 220 тс; изгибающий момент M = 4,4 тс·м.
Требуется определить площадь сечения симметричной продольной арматуры.
Расчет.
h0 = h - a = 21 - 5 = 16 см;
e0 = M/N = 4,4/220 = 0,02 м = 2 см;
e' = e0 + h/2 - a = 2 + 21/2 - 5 = 7,5 см.
Так как
h0 - a' = 16 - 5 = 11 см > e' = 7,5 см,
площадь сечения арматуры
A и
A' определяем по
формуле (129), принимая

:
Принимаем
Fн =
F'н = 12,73 см
2 
.
Пример 23. Дано: размеры сечения нижнего пояса безраскосной фермы b = 24 см, h = 36 см, a = a' = 6 см; бетон марки М400 (Rпр = 150 кгс/см2 при mб1 = 0,85); продольная напрягаемая арматура класса А-V (Rа = 6400 кгс/см2); растягивающая сила N = 48 тс; изгибающий момент M = 7,2 тс·м.
Требуется определить площадь сечения симметричной продольной арматуры.
Расчет.
h0 = h - a = 36 - 6 = 30 см;
e' = e0 + h/2 - a' = 15 + 36/2 - 6 = 27 см;
e = e0 - h/2 + a = 15 - 36/2 + 6 = 3 см.
Так как
h0 -
a' = 30
- 6 = 24 см <
e' = 27 см, арматуру подбираем согласно
п. 3.58, б.
Тогда по
формуле (132) определяем значение
A0, принимая в первом приближении
F'н = 0:
Из
табл. 26 для
A0 = 0,0445 находим

и

. Из
табл. 25,
п. 3.6, при
mб1 = 0,85, классе арматуры А-V, марке бетона М400 и

находим

.
При
значение

,
следовательно, повторный расчет не производим.
Принимаем
Fн =
F'н = 7,6 см
2 
.
Пример 24. Дано: нижний пояс безраскосной фермы с размерами сечения b = 22 см, h = 24 см, a = a' = 4 см; бетон марки М400 (Rр = 10 кгс/см2 при mб1 = 0,85); поперечная арматура в виде согнутых сеток из проволоки класса В-I (Rа.х = 2200 кгс/см2); продольная растягивающая сила N = 40 тс; поперечная сила Q = 1,7 тс.
Требуется определить диаметр и шаг поперечных стержней (хомутов).
Расчет.
h0 = h - a = 24 - 4 = 20 см.
Принимаем минимальное значение kN = 0,2.
Тогда учитываемое в расчете значение Rр будет равно:
Rр = 0,2·10 = 2 кгс/см2.
0,6Rрbh0 = 0,6·2·22·20 = 528 кгс < Q = 1700 кгс.
Следовательно, хомуты подбираем из расчета по прочности.
Максимально допустимый шаг хомутов согласно
п. 3.23 равен:
Принимаем шаг хомутов
u = 15 см < 2
b = 44 см (см.
п. 5.40).
Принимаем два хомута диаметром по 3 мм (Fх = 0,142 см2).
ЭЛЕМЕНТЫ, РАБОТАЮЩИЕ НА КРУЧЕНИЕ С ИЗГИБОМ
ЭЛЕМЕНТЫ ПРЯМОУГОЛЬНОГО СЕЧЕНИЯ
3.61 (3.42). При расчете элементов на кручение с изгибом должно соблюдаться условие Mк <= 0,1Rпрb2h, (136) где b и h - соответственно меньший и больший размеры граней элемента. При этом значение Rпр для бетонов проектных марок выше М400 принимается, как для бетона марки М400. |
3.62
(3.38). Для участков элемента, в которых
Mк > 0,5
Qb (где
b - размер грани, перпендикулярной плоскости действия изгибающего момента), следует производить расчет пространственных сечений согласно
пп. 3.63 -
3.67.
Для участков элемента, в которых Mк <= 0,5Qb, следует производить расчет сечений, наклонных к продольной оси элемента, на действие поперечной силы и крутящего момента из условия  (137) где Q и Mк - принимаются наибольшими на рассматриваемом участке элемента; |
При этом расчет наклонных и нормальных сечений на действие изгибающего момента производится без учета кручения.
Если удовлетворяется условие Mк <= 0,25Qb, (138) |
ОБЩИЙ СЛУЧАЙ РАСЧЕТА ПРОСТРАНСТВЕННОГО СЕЧЕНИЯ
3.63
(3.43). При расчете пространственного сечения
(рис. 31) проверяется прочность продольной и поперечной арматуры, установленной у грани элемента, противоположной сжатой зоне пространственного сечения. Рассматриваются три возможные расчетные схемы расположения сжатой зоны пространственного сечения:
1-я схема - у сжатой от изгиба грани элемента ( рис. 32, а); 2-я схема - у грани элемента, параллельной плоскости действия изгибающего момента ( рис. 32, б); 3-я схема - у растянутой от изгиба грани элемента ( рис. 32, в).Для любой из этих схем расчет пространственного сечения производится из условия  (139) |
Высота сжатой зоны x определяется по формуле

(140)
Рис. 31. Схема усилий в пространственном сечении
железобетонного элемента
АБВГ - сжатая зона
Рис. 32. Расчетные схемы расположения сжатой зоны
пространственного сечения
а - у сжатой от изгиба грани элемента; б - у грани элемента,
параллельной плоскости действия изгибающего момента;
в - у растянутой от изгиба грани элемента;
1 - плоскость действия изгибающего момента
Если  (где  - см. п. 3.6), должна быть проверена прочность нормального сечения согласно п. 3.9, б. Fн, Fа и F'н, F'а - площади сечения продольной напрягаемой и ненапрягаемой арматуры, расположенной при данной расчетной схеме соответственно в растянутой и сжатой зонах: b и h - размеры граней элемента, соответственно параллельных и перпендикулярных линий, ограничивающей рассматриваемую сжатую зону;  (141)  (142) здесь c - длина проекция линии, ограничивающей сжатую зону, на продольную ось элемента; невыгоднейшее значение c в общем случае определяется последовательными приближениями и принимается не более 2 h + b и не более длины участка элемента, на котором учитываемые в расчете усилия ( M, Mк и Q) не меняют знака; для некоторых частных случаев значение c определяется согласно пп. 3.66 и 3.67. В формуле (139), а также (144) и (145) величины  и k, характеризующие соотношения между действующими усилиями Mк, M и Q, принимаются: при расчете по 1-й схеме  и k = 1; при расчете по 2-й схеме  и  ; при расчете по 3-й схеме  и k = 1. Крутящий момент Mк, изгибающий момент M и поперечная сила Q принимаются в поперечном сечении, проходящем через центр тяжести сжатой зоны пространственного сечения (рис. 33). |

Рис. 33. Определение действующих в пространственном сечении
изгибающего и крутящего моментов, а также поперечной силы
при расчете на прочность железобетонного элемента,
работающего на кручение с изгибом
а - при 1-й и 3-й схемах; б - при 2-й схеме; 1 - сжатая зона
пространственного сечения
Значение коэффициента  , характеризующего соотношение между поперечной и продольной арматурой, определяется по формуле  (143) где fх - площадь сечения одного стержня хомута, расположенного у грани, являющейся для рассматриваемой расчетной схемы растянутой; u - расстояние между указанными выше хомутами. При этом значение  принимается не менее  (144) и не более  (145) Если значение  , подсчитанное по формуле (143), получается менее  , то в формуле (139) величина ( RаFн + RаFа) умножается на отношение  , а в числителе принимается  . |
Расчет по 3-й схеме не производится, если удовлетворяется условие

(146)
УПРОЩЕННЫЕ СПОСОБЫ РАСЧЕТА ПРОСТРАНСТВЕННЫХ СЕЧЕНИЙ
3.64. Необходимую из расчета по 2-й схеме интенсивность поперечной арматуры
fх/
u, расположенной у грани, параллельной плоскости изгиба (шириной
h, рис. 34), допускается определять по формуле

(147)
где значение

принимается равным:

(148)
но не менее

.
Рис. 34. Обозначения, принятые при упрощенном способе
расчета на кручение с изгибом элементов прямоугольного
1 - плоскость действия изгибающего момента
Здесь:
Mк и Q - максимальные значения крутящего момента и поперечной силы на рассматриваемом участке;
Fн2 и Fа2 - площадь сечения всех продольных напрягаемых и ненапрягаемых стержней, расположенных у грани элемента шириной h (параллельной плоскости изгиба);
При этом должно удовлетворяться условие

(149)
Если это условие не выполняется, то следует увеличить арматуру Fн2 и Fа2 или размер b.
Если усилия
Mк и
Q линейно уменьшаются от опоры к пролету, значение

в
формуле (147) рекомендуется определять с учетом разгружающего влияния внешней нагрузки по формуле

(150)
и принимать не менее
| | ИС МЕГАНОРМ: примечание. Формула дана в соответствии с официальным текстом документа. | |
где
mк и p - уменьшение усилий Mк и Q на единице длины элемента.

(151)
3.65. Для элементов, изгибающий момент которых уменьшается от опоры к пролету (опорные зоны неразрезных балок, консоли), проверку прочности по продольной и поперечной арматуре, расположенной у растянутой от изгиба грани элемента шириной
b (1-я расчетная схема), допускается производить из условий
M0 <=
k1(
RаFн +
RаFа)(
h0 - 0,5
x); (152)

(153)
| | ИС МЕГАНОРМ: примечание. В официальном тексте документа, видимо, допущена опечатка: формула (140) находится в пункте 3.63, а не в пункте 3.61. | |
где
Fн,
Fа,
fх,
b,
h0 и
x - значения, соответствующие 1-й расчетной схеме согласно
рис. 32,
а; значение
x определяется по
формуле (140), п. 3.61;
M0 и Mк - изгибающий и крутящий моменты в опорном сечении;
k1 и
k2 - коэффициенты, определяемые по
табл. 29 и
30 в зависимости от значений
здесь Q - поперечная сила в опорном сечении.
При этом интенсивность поперечного армирования
fх/
u по грани шириной
b должна быть не менее интенсивности поперечного армирования по грани шириной
h, подобранной в соответствии с
п. 3.64.
| Коэффициент k1 при значениях  |
0,9 - 0,7 | 0,5 | 0,4 | 0,3 |
9 | 1 | 0,95 | 0,93 | 0,9 |
7 | 0,98 | 0,94 | 0,91 | 0,88 |
5 | 0,97 | 0,92 | 0,89 | 0,84 |
4 | 0,97 | 0,91 | 0,87 | 0,82 |
3 | 0,96 | 0,88 | 0,84 | 0,77 |
b/h | Коэффициент k2 при значениях  , равных |
20 | 10 | 5 | 3 для значений  , равных |
0,9 | 0,7 | 0,5 |
0,3 | 1,35 | 1,26 | 1,2 | 1,4 | 1,3 | 1,2 |
0,5 | 1,7 | 1,6 | 1,5 | 1,65 | 1,54 | 1,44 |
0,7 | 1,94 | 1,85 | 1,72 | 1,82 | 1,72 | 1,64 |
3.66. Проверку прочности по 1-й расчетной схеме согласно
п. 3.63 рекомендуется производить в следующих случаях:
а) если в пролетном поперечном сечении с максимальным изгибающим моментом имеется крутящий момент; в этом случае рассчитывается пространственное сечение с серединой в этом поперечном сечении, а также ряд других пространственных сечений с большими крутящими моментами, если изгибающие моменты в середине этих сечений близки к максимальному;
б) если имеются участки с крутящими моментами, превышающими опорные крутящие моменты; в этом случае рассчитывается пространственное сечение с серединой его проекции в поперечном сечении с максимальным крутящим моментом.
В обоих случаях значение

принимается равным:

(154)
но не более

.
При этом пространственное сечение с длиной проекции

не должно выходить за пределы длины элемента и длины участка с однозначной эпюрой
Mк.
3.67. Проверку прочности по 3-й расчетной схеме рекомендуется производить следующим образом:
а) Для неразрезных балок рассматривается пространственное сечение с серединой его проекции в нулевой точке эпюры
M и проверяется армирование у наименее армированной грани, нормальной плоскости изгиба.
В этом случае прочность проверяется из условий:
если


(155)
если


(156)
где
Mк - принимается по сечению в нулевой точке эпюры
M. Длина проекции пространственного сечения, проверяемого из
условий (155) или
(156), равна:

(157)
где

принимается не менее 0,5.
Если расположение нулевой точки эпюры
M может изменяться при различных комбинациях нагрузок, то в расчете из
условий (155) и
(156) учитывают такое расположение нулевой точки, при котором расстояние ее от опоры
a равно или больше
c/2, а усилие
Mк имеет максимальное значение. Если нулевая точка не может отстоять от опоры дальше, чем на расстоянии
c/2, расчет по 3-й расчетной схеме ведется общим методом согласно
п. 3.63, при этом принимается
б) Для шарнирно-опертых балок рассматривается пространственное сечение, начинающееся у опоры.
В этом случае прочность проверяется из условия

(158)
где при

при

Усилия Q и Mк принимаются по опорному сечению. Значения fх принимаются по сжатой от изгиба грани.
ЭЛЕМЕНТЫ ТАВРОВОГО, ДВУТАВРОВОГО И ДРУГИХ СЕЧЕНИЙ,
ИМЕЮЩИХ ВХОДЯЩИЕ УГЛЫ
3.68. Поперечное сечение элемента следует разбивать на ряд прямоугольников
(рис. 35), при этом, если высота свесов полок или ширина ребра переменны, следует принимать среднюю высоту свесов или ширину ребра.
Размеры поперечного сечения должны удовлетворять условию

(159)
где hi и bi - соответственно больший и меньший размеры каждого из составляющих сечение прямоугольников.
Рис. 35. Разбиение на прямоугольники сечений, имеющих
входящие углы, при расчете на кручение с изгибом
Кроме того, должны соблюдаться требования
п. 3.20.
Если в пределах высоты сечения имеются полки (выступы), нижние и верхние грани которых не являются продолжением соответствующих граней элемента, то расчет ведется без учета этих полок, как для элемента прямоугольного сечения, согласно
пп. 3.62 -
3.67.
3.69. Расчет тавровых, двутавровых, Г-образных и т.п. сечений проводится для схем расположения сжатой зоны пространственного сечения, указанных на
рис. 36 -
38. При этом проверяется продольная и поперечная арматура, расположенная в растянутой зоне.
Для любой из этих схем расчет пространственного сечения производится из условия

(160)
где
Fн,
Fа,
h0,
b и
x - значения, соответствующие рассматриваемой расчетной схеме
рис. 36 -
38; значение
x определяется, как для плоского сечения изгибаемого элемента; при расчете по 2-й схеме (
рис. 36,
в;
37,
в;
38,
в и
г) не учитываются сжатые свесы полки, выступающие за грань полки, которая имеет меньшую ширину, либо за грань стенки (при отсутствии другой сжатой полки);
fх и u - площадь поперечных стержней, расположенных в одном поперечном сечении в растянутой зоне (при данной расчетной схеме) и шаг этих стержней;
c - длина проекции линии, ограничивающей сжатую зону пространственного сечения, на продольную ось элемента, принимаемая равной: для 1-й и 3-й схем (
рис. 36,
а и
б;
37,
а и
б;
38,
а и
б)
c = 2h + b + 2bр - 2b0, (161)
c = 2h + 2bсв + b; (162)
при этом длина
c не должна выходить за пределы элемента, а также участка его длины с однозначными эпюрами внешних усилий, учитываемых в
формуле (160);
h0х - расстояние от наиболее сжатой (при данной расчетной схеме) грани до равнодействующей усилий в поперечных стержнях растянутой зоны.
Рис. 36. Схемы расположения сжатой зоны в пространственном
сечении железобетонного элемента двутаврового сечения,
работающего на кручение с изгибом
а - 1-я схема; б - 3-я схема; в - 2-я схема; c - центр
тяжести продольной растянутой арматуры
Рис. 37. Схемы расположения сжатой зоны в пространственном
сечении железобетонного элемента таврового сечения,
работающего на кручение с изгибом
а - 1-я схема; б - 3-я схема; в - 2-я схема; c - центр
тяжести продольной растянутой арматуры
Рис. 38. Схемы расположения сжатой зоны в пространственном
сечении железобетонного элемента Г-образного сечения,
работающего на кручение с изгибом
а - 1-я схема; б - 3-я схема; в, г - 2-я схема; c - центр
тяжести продольной растянутой арматуры
Расчет по 3-й схеме не производится, если удовлетворяется условие

(163)
Следует учитывать также указание
п. 3.62.
Учитываемое в расчете значение (RаFн + RаFа) принимается не более величины
где значение

принимается равным:
при 1-й расчетной схеме
но не менее 0,02;
при 2-й расчетной схеме

;
при 3-й расчетной схеме

.
ЭЛЕМЕНТЫ КОЛЬЦЕВОГО СЕЧЕНИЯ С ПРОДОЛЬНОЙ АРМАТУРОЙ,
РАВНОМЕРНО РАСПРЕДЕЛЕННОЙ ПО ОКРУЖНОСТИ
3.70. Размеры поперечного кольцевого сечения элемента должны удовлетворять условию

(164)
где r1 и r2 - соответственно наружный и внутренний радиусы кольцевого сечения.
Расчет пространственного сечения
(рис. 39) производится из условия

(165)
где

;
b и
c - длина проекции линии, ограничивающей сжатую зону, соответственно на поперечное сечение элемента и на его продольную ось
(рис. 39); значение
b принимается равным:
значение
c определяется согласно
п. 3.71;

- принимается согласно
п. 3.63 как для 1-й расчетной схемы;

- относительная площадь сжатой зоны бетона, определяемая согласно
п. 3.49 при
N = 0;
Fн.к и Fа.к - площадь сечения всей продольной напрягаемой и ненапрягаемой арматуры;
A и B - коэффициенты, определяемые по формулам
коэффициент
B может определяться по графику
рис. 40;
Mпр - предельный изгибающий момент при чистом изгибе, принимаемый равным правой части
условия (106), п. 3.49, при
N = 0;
rн и rа - радиусы окружности, проведенные через центры тяжести продольных стержней соответственно напрягаемой и ненапрягаемой арматуры;
fх и u - площадь сечения поперечного стержня и шаг этих стержней.
Рис. 39. Пространственное сечение железобетонного элемента
кольцевого поперечного сечения, работающего на кручение
с изгибом
O-O - плоскость действия изгибающего момента; AB - линия,
ограничивающая сжатую зону
Рис. 40. График коэффициента B для расчета на кручение
с изгибом элементов кольцевого поперечного сечения
Значение

принимается не менее

и не более
Если

, в расчетных формулах следует величину (
RаFн.кrн +
RаFа.кrа) умножать на отношение

.
3.71. Проверка
условия (165) производится для пространственных сечений, в которых длина проекции

не выходит за пределы длины элемента, а также участка, на котором учитываемые в расчете усилия не меняют знака и, кроме того, значение
c принимается не более

.
Для элементов с постоянным сечением по длине рекомендуется проверять несколько пространственных сечений, начинающихся от нормального сечения с наибольшим значением Mк, а при постоянных значениях Mк - от сечения с максимальными значениями M.
Для элементов с переменным сечением по длине рекомендуется проверять несколько пространственных сечений, расположенных в разных местах по длине и при значениях

, равных:

(166)
при этом длина проекции

не должна выходить за пределы длины элемента, а размеры
r1,
r2,
rа и
rн принимаются для поперечного сечения, расположенного посередине пространственного сечения.
Элементы, работающие на кручение с изгибом. Пример 25. Дано: свободно опертая балка перекрытия пролетом
l = 11,22 м с поперечным сечением приопорного участка по
рис. 41; на балку действует равномерно распределенная нагрузка
p = 5,97 тс/м и равномерно распределенный крутящий момент
mк = 1,13 тс·м/м; бетон марки М400 (
Rпр = 150 кгс/см
2 при
mб1 = 0,85); верхняя продольная и поперечная арматура класса А-III (
Rа =
Rа.с = 3400 кгс/см
2,
Rа.х = 2700 кгс/см
2); нижняя продольная арматура класса А-IV (
Rа = 5000 кгс/см
2).
Требуется подобрать шаг и диаметр поперечных стержней и проверить прочность балки на совместное действие кручения и изгиба.
Расчет. Поперечная сила и крутящий момент на опоре равны:
Поскольку сечение имеет входящие углы, проверим
условие (159), п. 3.68, разбив сечение на четыре прямоугольника с размерами 63 x 40,5; 22 x 30,5 и 6 x 23 см.
Расчет прочности ведем как для прямоугольного сечения без учета выступающих полок, принимая

.
Так как 0,5
Qb = 0,5·33,5·0,34 = 5,7 тс·м <
Mк = 6,34 тс·м, согласно
п. 3.62 производим расчет пространственных сечений.
Интенсивность вертикальных хомутов
fх/
u определяем согласно
п. 3.64. Для этого определим коэффициенты

,
A и
.
Согласно
рис. 41 Fн2 = 16,09 см
2 
и
Fа2 = 8,043 см
2 
,
a2 = 7 см.
RаFн2 + RаFа2 = 5000·16,09 + 3400·8,043 = 107 800 кгс.
Так как усилия
Mк и
Q линейно уменьшаются от опоры к пролету, значение

определяем по
формуле (150), предварительно вычислив коэффициент
k,
Тогда
Принимаем

.
Определяем значение
Принимая шаг вертикальных хомутов u = 15 см, находим значение fх
fх = 0,116·15 = 1,74 см2.
Принимаем dх = 16 мм (fх = 2,01 см2).
Проверим прочность пространственного сечения, начинающегося с опоры, по 3-й расчетной схеме согласно
п. 3.67, б, принимая интенсивность хомутов по сжатой грани такой же, как для вертикальных хомутов, т.е.
fх = 2,01 см
2 и
u = 15 см.
Поскольку
значение k3 равно:
Из
рис. 41 имеем
h0 = 85 - 7 = 78 см,
a' = 5 см.
т.е. прочность сечения обеспечена.
Проверку пространственного сечения с серединой в поперечном сечении с максимальным изгибающим моментом не производим, поскольку в этом сечении крутящий момент равен нулю.
Пример 26. Дано: ригель перекрытия с поперечным сечением приопорного участка по
рис. 42,
а; эпюры изгибающих и крутящих моментов и эпюра поперечных сил по
рис. 42; бетон марки М400; поперечная и верхняя продольная арматура класса А-III (
Rа =
Rа.с = 3400 кгс/см
2,
Rа.х = 2700 кгс/см
2); нижняя продольная арматура напрягаемая класса А-IV (
Rа = 5000 кгс/см
2); предварительное напряжение с учетом всех потерь при

; вертикальные и горизонтальные хомуты диаметром 16 мм, шагом 10 см на приопорном участке и 20 см в пролете.
Требуется проверить прочность ригеля на совместное действие кручения и изгиба по 1-й и 3-й расчетным схемам.
Расчет. В соответствии с
п. 3.68 расчет ведем как для элемента прямоугольного сечения без учета выступающей полки, принимая
b = 30 см.
Производим проверку прочности приопорного участка по 1-й расчетной схеме согласно
п. 3.65, используя эпюры
M и
Q по
рис. 42,
в и
г.
Из
рис. 42,
а имеем
a = 8 + 0,5·4 = 10 см,

,
h0 = 80 - 10 = 70 см.
Fн = 0;
F'а = 0;

;
Rпр = 190 кгс/см
2 (т.е. при
mб1 = 1,1, поскольку учитывается ветровая нагрузка).
а - поперечное сечение в приопорном участке; б - расчетная
схема ригеля; в, г - эпюры M и Q при комбинации нагрузок
(включая ветровую), невыгоднейшей для опорного сечения;
д - эпюра M при комбинации нагрузок, невыгоднейшей
для пролетного сечения (ветровая нагрузка не учитывается);
е - эпюра Mк от вертикальной нагрузки

и

находим k1 = 0,99.
Из
табл. 30 по значениям

и
b/h = 30/80 = 0,375 находим
k2 = 1,36.
Поскольку оба условия выполнены, прочность приопорного участка по 1-й расчетной схеме обеспечена.
В соответствии с
п. 3.66, а проверим по 1-й расчетной схеме прочность пространственного сечения с серединой в поперечном сечении с максимальным изгибающим моментом в пролете из эпюры по
рис. 42,
д. В этом сечении
M = 56 тс·м:
В верхней арматуре учитываем два стержня

, поскольку два других оборваны. Следовательно,
F'а = 20,36 см
2 
и
a' = 8 см.
Fн = 18,47 см
2 
,
Fа = 0,
fх = 2,01 см,
u = 20 см.
Поскольку
в расчете учитываем

.
Высоту сжатой зоны
x определим по
формуле (140), принимая
Fа = 0,
F'н = 0 и
Rпр = 150 кгс/см
2 (т.е. при
mб1 = 0,85, поскольку ветровая нагрузка не учитывается).
Поскольку x = 5,14 см < 2a' = 2·8 = 16 см, принимаем x = 2a' = 16 см.
Проверяем
условие (139), принимая
k = 1
, a = 8,33 см,
h0 =
h -
a = 80 - 8,33 = 71,67 см
Из эпюры
M на
рис. 42,
д видно, что изгибающие моменты в пролете изменяются незначительно, а крутящие моменты
Mк - более заметно. Поэтому в соответствии с
п. 3.66 проверим аналогично пространственное сечение с серединой в поперечном сечении с

крутящим моментом и с изгибающим моментом, близким к максимальному. В поперечном сечении на расстоянии 3,5 м от правой опоры имеем:
т.е. прочность при 1-й расчетной схеме обеспечена.
Проверим прочность пространственного сечения по 3-й расчетной схеме согласно
п. 3.67, а, принимая середину пространственного сечения в нулевой точке эпюры
M.
Если не учитывать два верхних обрываемых стержня, наименее армированной гранью можно считать верхнюю, поскольку
RаFн = 3400·20,36 = 69 300 кгс < RаFн = 5000·18,47 =
= 92 300 кгс.
Тогда a = 8 см, h0 = 80 - 8 = 72 см, a' = 8,33 см.
Шаг и диаметр поперечных стержней принимаем как для приопорного участка, т.е. u = 10 см, fх = 2,01 см2.
Вычислим значения

,

и
c:
Из
рис. 40,
в и
д видно, что левая нулевая точка эпюры отстоит от опоры дальше, чем на
c/2 = 106,7/2 = 53,3 см. При других комбинациях нагрузок нулевая точка может быть существенно приближена к опоре и учитываемое в расчете значение
Mк может возрасти. Поэтому принимаем невыгоднейшее расположение нулевой точки на расстоянии
c/2 = 53,3 см от опоры. Значение
Mк на этом расстоянии равно:
т.е. прочность по 3-й расчетной схеме обеспечена.
РАСЧЕТ ЖЕЛЕЗОБЕТОННЫХ КОНСТРУКЦИЙ НА ВЫНОСЛИВОСТЬ
3.72. Расчет железобетонных конструкций на выносливость производится при воздействии многократно повторяющейся (подвижной или пульсирующей) нагрузки, вызывающей значительный перепад напряжений в бетоне или в растянутой арматуре, если число повторений нагрузки за период эксплуатации здания или сооружения достаточно велико (порядка 105 и более).
К такого рода конструкциям относятся подкрановые балки, эстакады, шпалы, перекрытия под неуравновешенные машины (вентиляторы, центрифуги) и т.п.
Подкрановые балки при легком режиме работы кранов на выносливость не рассчитываются. Также не рассчитываются на выносливость сжатые элементы с косвенной арматурой и участки элементов, работающие на местное сжатие.
3.73 (3.53). Расчет на выносливость сечений, нормальных к продольной оси элемента, производится из условий: а) для сжатого бетона  (167) где Rпр - расчетное сопротивление бетона сжатию, принимаемое по табл. 12 при mб1 = 1 и умноженное на коэффициент условий работы mб2, определяемый согласно п. 3.76;  - максимальное нормальное напряжение в сжатом бетоне; б) для растянутой арматуры  (168) |
где
Rа - расчетное сопротивление растянутой арматуры, умноженное на коэффициенты условий работы
mа1, а при наличии сварных соединений арматуры - также на коэффициенты
mа2, определяемые согласно
п. 3.77;

- максимальное напряжение в растянутой арматуре, определяемое по формуле

(169)
где

- напряжение в бетоне на уровне наиболее растянутого ряда арматуры;
n' - коэффициент приведения арматуры к бетону, принимаемый по табл. 31;

- предварительное напряжение в арматуре с учетом всех потерь и коэффициента
mт, меньшего единицы.
Значение коэффициента приведения п' при проектной марке бетона |
М200 | М250 | М300 | М350 | М400 | М450 | М500 и выше |
25 | 22,5 | 20 | 17,5 | 15 | 12,5 | 10 |
Напряжения

и

определяются от действия внешних нагрузок и от усилия предварительного обжатия
N0, как для упругого тела (см.
п. 1.28), по приведенному сечению, принятому согласно
п. 3.74.
В зоне, проверяемой по сжатому бетону, при действии многократно повторяющейся нагрузки следует избегать возникновения растягивающих напряжений. |
Сжатая арматура на выносливость не рассчитывается.
3.74. При расчете на выносливость приведенные сечения принимаются следующим образом.
Если в сечении не образуются нормальные трещины, т.е. если выполняется
условие (200), п. 4.11, при замене в нем значения
RрII на
Rр (при учете
mб2), приведенное сечение включает в себя полное сечение бетона, а также площадь сечения всей продольной арматуры, умноженной на коэффициент приведения
n', определяемый по
табл. 31.
Если в сечении образуются нормальные трещины, приведенное сечение включает в себя площадь сечения только сжатого бетона, а также площадь сечения всей продольной арматуры, умноженной на коэффициент n'.
В этом случае высота сжатой зоны x для изгибаемых элементов определяется из уравнения

(170)
где Iб - момент инерции сжатой зоны бетона относительно нейтральной линии;
Sб, Sа, sн, S'а, S'н - соответственно статические моменты сжатой зоны бетона и сечений напрягаемой н ненапрягаемой арматуры A и A' относительно нейтральной линии;
eл.н - расстояние от нейтральной линии до точки приложения усилия N02:
eл.н = y' + eо.н - x; (171)
y' - расстояние от центра тяжести полного приведенного сечения до наиболее сжатой грани;
yа, y'а, yн и y'н - расстояния от нейтральной линии соответственно до центра тяжести сечений ненапрягаемой и напрягаемой арматуры A и A' (рис. 43).
Рис. 43. Схема расположения усилий в поперечном сечении
с трещиной, рассчитываемом на выносливость
Для изгибаемых элементов, выполняемых без предварительного напряжения,
уравнение (170) принимает вид
Sб - n'Sа + n'S'а = 0. (172)
Для внецентренно сжатых или внецентренно растянутых элементов положение нейтральной линии также определяется из
уравнения (170), левая часть которого принимается равной
Mл/Nс, где
Mл - момент внешней силы
N и усилия обжатия
N02 относительно нейтральной линии,
Nс =
N02 +/-
N (знак плюс принимается при сжимающей силе
N, знак минус - при растягивающей силе
N).
Если точка приложения растягивающей силы Nс (определенная с учетом всех внешних воздействий) находится между центрами тяжести арматуры A и A', в сечении возникают только растягивающие напряжения и в приведенном сечении учитывается только площадь сечения арматуры.
Для элементов прямоугольного, таврового или двутаврового сечения при наличии нормальных трещин
уравнение (170) приобретает вид

(173)
где

- для изгибаемых элементов;

- для внецентренно нагруженных элементов;
Для предварительно-напряженных конструкций, у которых не образуются нормальные трещины, характеристики приведенного сечения допускается определять при коэффициенте приведения n = Eа/Eб.
3.75 (3.54). Расчет на выносливость сечений, наклонных к продольной оси элемента, должен производиться из условия, что равнодействующая главных растягивающих напряжений, действующих на уровне центра тяжести приведенного сечения, должна быть полностью воспринята поперечной арматурой при напряжениях в ней, равных расчетным сопротивлениям Rа, т.е. должно выполняться условие |

(174)
где

- главное растягивающее напряжение на уровне центра тяжести приведенного сечения, вычисляемое согласно
п. 4.12;

,

- соответственно сжимающее напряжение в направлении, перпендикулярном продольной оси, и касательное напряжение, определяемые на том же уровне, что и напряжение
, согласно
пп. 4.13 -
4.15;
Rа - расчетное сопротивление поперечной и отогнутой арматуры с учетом коэффициентов условий работы
mа1 и
mа2 (см.
п. 3.77);
- угол наклона отогнутой арматуры к продольной оси элемента в рассматриваемом сечении;
При вычислении
, 
и

приведенное сечение определяется согласно
п. 3.74.
Расчет производится для каждого участка с постоянной интенсивностью поперечного армирования.
Для элементов, в которых поперечная арматура не предусматривается (см. п. 5.43), должны быть выполнены требования п. 4.12 с введением в условия (202) и (203) вместо расчетных сопротивлений бетона RрII и RпрII соответственно расчетных сопротивлений Rр и Rпр, умноженных на коэффициент условий работы mб2 согласно п. 3.76. |
3.76. Коэффициенты условий работы бетона
mб2, применяемые при действии многократно повторяющейся нагрузки, определяются в зависимости от коэффициента асимметрии цикла


(175)
где

и

- соответственно наименьшее и наибольшее значения напряжений в бетоне в пределах цикла изменения нагрузки, определяемые согласно
пп. 3.73 и
3.74 [напряжения принимаются со своими алгебраическими знаками: при проверке
условия (167) за положительные принимаются напряжения сжатия, а при проверке
условий (200) -
(203) - напряжения растяжения].
При

коэффициент
mб2 принимается по табл. 32.
Состояние бетона по влажности | Коэффициенты условий работы бетона mб2 при коэффициенте асимметрии цикла  , равном |
0 - 0,1 | 0,2 | 0,3 | 0,4 | 0,5 | 0,6 | 0,7 |
Естественной влажности | 0,75 | 0,8 | 0,85 | 0,9 | 0,95 | 1 | 1 |
Водонасыщенный | 0,5 | 0,6 | 0,7 | 0,8 | 0,9 | 0,95 | 1 |
При определении расчетного сопротивления
Rр или
RрII, если напряжение растяжения сменяется напряжением сжатия, за величину

принимаются сжимающие напряжения. В этом случае коэффициент
mб2 для бетона естественной влажности при

определяется по формуле

(176)
| Класс арматуры | Коэффициенты условий работы mа1 при коэффициенте асимметрии цикла  , равном |
-1 | -0,2 | 0 | 0,2 | 0,4 | 0,7 | 0,8 | 0,9 | 1 |
| А-I | 0,45 | 0,7 | 0,8 | 0,85 | 1 | 1 | 1 | 1 | 1 |
| А-II | 0,45 | 0,55 | 0,6 | 0,65 | 0,75 | 1 | 1 | 1 | 1 |
| А-II, марки 10ГТ | - | - | 0,8 | 0,85 | 0,95 | 1 | 1 | 1 | 1 |
| А-III | 0,35 | 0,4 | 0,45 | 0,5 | 0,6 | 0,9 | 1 | 1 | 1 |
| А-IV | - | - | - | 0,25 | 0,4 | 0,75 | 0,95 | 1 | 1 |
| А-V | - | - | - | 0,2 | 0,3 | 0,6 | 0,75 | 0,95 | 1 |
| Атп-V | - | - | - | 0,2 | 0,36 | 0,62 | 0,7 | 0,81 | 1 |
| Вр-II | - | - | - | - | - | 0,7 | 0,85 | 0,95 | 1 |
| В-II | - | - | - | - | - | 0,8 | 1 | 1 | 1 |
| К-7 диаметром 4,5 - 9 мм | - | - | - | - | - | 0,8 | 0,95 | 1 | 1 |
| К-7 диаметром 12 - 15 мм | - | - | - | - | - | 0,65 | 0,8 | 1 | 1 |
| В-I и Вр-I | - | - | 0,6 | 0,75 | 0,9 | 1 | 1 | 1 | 1 |
| Примечание. При значениях  , для которых в табл. 33 не даны значения коэффициента mа1, применение соответствующей арматуры допускается лишь при специальном обосновании. |
При mб2 = 1 расчет на выносливость сжатого бетона можно не производить.
При проверке образования наклонных трещин коэффициенты условия работы mб2, вводимые на расчетные сопротивления Rр(RрII) и Rпр(RрII), определяются соответственно в зависимости от

(177)
где

,

,

и

- соответственно минимальные и максимальные главные сжимающие и главные растягивающие напряжения в бетоне в пределах цикла изменения нагрузки, определяемые согласно
п. 4.12 по полному приведенному сечению.
При определении напряжений бетона, входящих в
формулы (175) и
(177), используются такие же нагрузки, что и при расчете на выносливость.
Для изгибаемых элементов, выполняемых без предварительного напряжения,
формулы (175) и
(177) приобретают вид:

(175
')

(177
')
Если число циклов повторения нагрузок значительно превышает 2·106 (т.е. порядка 10k, где k >= 7), коэффициент условий работы mб2 следует уменьшить на 0,03 (k - 6).
3.77. Коэффициенты условий работы арматуры
mа1, принимаемые при расчете на выносливость, определяются по
табл. 33.
При наличии сварных соединений учитывается дополнительный коэффициент условий работы mа2, определяемый по табл. 34.
| Класс арматуры | Группа сварных соединений | Коэффициенты условий работы mа2 при коэффициенте асимметрии цикла  , равном |
-1 | -0,2 | 0 | 0,2 | 0,4 | 0,7 | 0,8 | 9 | 1 |
| А-I, А-II диаметром не более 20 мм | I | 0,85 | 0,85 | 0,9 | 0,95 | 1 | 1 | 1 | 1 | 1 |
| II | 0,5 | 0,6 | 0,65 | 0,7 | 0,75 | 0,9 | 1 | 1 | 1 |
| III | 0,2 | 0,25 | 0,25 | 0,3 | 0,35 | 0,5 | 0,65 | 0,85 | 1 |
| А-III диаметром не более 20 мм | I | 0,8 | 0,85 | 0,9 | 0,95 | 1 | 1 | 1 | 1 | 1 |
| II | 0,5 | 0,55 | 0,6 | 0,65 | 0,65 | 0,7 | 0,75 | 0,85 | 1 |
| III | 0,1 | 0,15 | 0,2 | 0,25 | 0,3 | 0,45 | 0,6 | 0,8 | 1 |
| Примечания: 1. Разделение сварных соединений (см. прил. 1) на группы принято следующим: I - соединения типа КС-М; II - соединения типа КТ-2 (с минимально допустимой относительной осадкой h/d), КС-О, ВО-Б, ВП-В; III - соединения типа КС-Р, ВП-I, ВМ-I, а также по поз. 4, 5, 7, 8 прил. 1. 2. Значения коэффициента mа2 должны быть снижены на 5% при диаметре стержней 22 - 32 мм и на 10% при диаметре более 32 мм. |
При расчете на выносливость сечений, нормальных к оси элемента, коэффициент асимметрии цикла

определяется по формуле

(178)
где

и

- соответственно наименьшие и наибольшие напряжения в растянутой арматуре в пределах цикла изменения нагрузки, определяемые согласно
пп. 3.73 и
3.74 (напряжения принимаются со своими знаками, при этом за положительные принимаются растягивающие напряжения).
При расчете на выносливость наклонных сечений значение

определяется по формуле

(179)
где

и

- соответственно наименьшие и наибольшие главные растягивающие напряжения в бетоне в пределах цикла изменения нагрузки, определяемые согласно
п. 3.75.
При определении напряжений, входящих в
формулы (178) и
(179), используются такие же нагрузки, что и при расчете на выносливость.
Для изгибаемых элементов, выполняемых без предварительного напряжения, при расчете на выносливость наклонных сечений
формула (179) приобретает вид

(179')
а при расчете на выносливость нормальных сечений коэффициент асимметрии цикла

допускается определять с учетом накопления неупругих деформаций бетона по формулам:
при
Mмин/
Mмакс <= 0,2

;
при 0,75 >=
Mмин/
Mмакс > 0,2

;
при
Mмин/
Mмакс >= 0,75

.
Пример 27. Дано: предварительно-напряженная подкрановая балка с поперечным сечением по
рис. 44,
а, бетон марки М400; геометрические характеристики приведенного поперечного сечения (определенные при коэффициенте приведения
n =
Eа/
Eб): площадь
Fп = 3391 см
2; расстояние от центра тяжести сечения до нижней грани
y = 72,8 см, момент инерции
Iп = 8 585 000 см
4; продольная арматура
A и
A' - предварительно напряженная класса А-IV площадью соответственно
Fн = 40,21 см
2 и
F'н = 9,42 см
2; поперечная арматура в виде сварных хомутов класса А-III диаметром 12 мм, шагом 10 см, по два в сечении; усилие предварительного обжатия с учетом всех потерь напряжений
N02 = 153 600 кгс, его эксцентриситет относительно центра тяжести сечения
e0.н = 35,7 см; предварительное напряжение с учетом всех потерь в арматуре
A 
; нагрузка: сосредоточенная от крана
P = 30,6 тс; равномерно распределенная от собственного веса балки и подкранового пути
q = 1,1 тс/м; случаи невыгоднейшего расположения кранов приведены на рис. 44,
б и
в; краны среднего режима работы; расчетный пролет балки 11,7 м.

а - поперечное сечение балки; б, в - схемы невыгоднейшего
расположения нагрузки; 1 - центр тяжести приведенного
сечения; 2 - точка приложения усилия обжатия N0
Требуется рассчитать подкрановую балку на выносливость по нормальным и наклонным сечениям.
Расчет на выносливость нормальных сечений. Определяем наибольший изгибающий момент в сечении
I-I при невыгоднейшем расположении крана (см.
рис. 44, б).
h0 = h - a = 140 - 6 = 134 см.
Наименьший изгибающий момент в сечении I-I (при отсутствии крана) равен:
Проверяем возможность образования трещин в растянутой зоне согласно
п. 4.11. Для этого определяем напряжения бетона по нижней грани

и

, учитывая полное приведенное сечение (при
n =
Eа/
Eб).
От действия усилия N02 сжимающее напряжение по нижней грани равно:
Тогда
т.е. при действии
Mмин сечение полностью сжато. Поскольку

, т.е. даже без учета коэффициента
mб2 условие (200) не выполняется, трещины в растянутой зоне образуются.
Согласно
п. 3.74 приведенное сечение определяется без учета растянутого бетона.
Относительную высоту сжатой зоны

определяем из
уравнения (173). Для этого находим величины

,
eа.н,
eа.с,

и

.
eа.н = y - e0н - a = 72,8 - 35,7 - 6 = 31,1 см;
определяем коэффициенты a, b и c:
Таким образом,
Решаем уравнение методом Ньютона. Первая производная выражения

имеет вид
Принимая

, получим в первом приближении
Во втором приближении, принимая

, получим
Поскольку

мало отличается от

, окончательно принимаем

, т.е.
Определяем характеристики приведенного сечения без учета растянутого бетона.
Площадь
Fп = 51·20 + 14(119 - 20) + 15·9,42 + 15·40,21 = 3150 см2.
Статический момент относительно растянутой арматуры
Расстояние от центра тяжести сечения до растянутой арматуры
yц = Sп/Fп = 234100/3150 = 74,2 см.
Момент инерции
Расстояние от усилия N02 до центра тяжести сечения
e0н = yц - eа.н = 74,2 - 31,1 = 43,1 см.
Проверяем выносливость сжатого бетона из
условия (167). Для этого определяем наибольшие и наименьшие напряжения

и

в верхнем краевом волокне бетона, т.е. на расстоянии
y' = 134 - 74,2 = 59,8 см от центра тяжести сечения:
Вследствие того, что при минимальной внешней нагрузке напряжения в бетоне по нижней грани сжимающие, напряжения в верхнем волокне бетона при этой нагрузке будем определять по полному приведенному сечению, т.е. при Fп = 3391 см2, Iп = 8585000 см4, e0н = 35,7 см и y' = 140 - 72,8 = 67,2 см.
т.е. растягивающие напряжения в верхней зоне не появляются.
т.е. выносливость сжатого бетона обеспечена.
Проверяем выносливость растянутой арматуры из
условия (168). Определяем наибольшие и наименьшие напряжения

и

на уровне растянутой арматуры по
формуле (169).
По
формуле (178) найдем характеристику цикла напряжений в арматуре
т.е. выносливость растянутой арматуры обеспечена.
Расчет на выносливость наклонных сечений. Определяем изгибающий момент и поперечную силу в сечении II-II:
а) при невыгоднейшем расположении крана
б) при отсутствии крана
Аналогично вышеуказанному проверяем возможность образования нормальных трещин в этом сечении:
т.е. при действии Mмакс все сечение сжато и трещины отсутствуют, поэтому расчет ведем по полному приведенному сечению.
Выносливость наклонных сечений проверяем на уровне центра тяжести приведенного сечения. Определяем статический момент верхней части сечения относительно этого уровня, принимая
Нормальные напряжения на уровне центра тяжести не зависят от внешней нагрузки и равны:
Поскольку сечение
II-II расположено от опоры на расстоянии 1,5 м > 0,7
h, напряжение

.
Определяем по
формуле (204) наибольшие и наименьшие главные растягивающие напряжения:
Коэффициент асимметрии цикла для поперечной арматуры равен:
По
табл. 33 при

и классе арматуры А-III находим
mа1 = 0,454.
Поскольку поперечные стержни приварены к продольным точечной сваркой (соединение типа КТ-2), по
табл. 34 при

, классе арматуры А-III и II группе сварных соединений находим
mа2 = 0,604.
Отсюда Rа = 0,454·0,604·3400 = 930 кгс/см2.
Коэффициент насыщения балки хомутами при
Fх = 2,26 см
2 
равен:

, т.е. выносливость наклонных сечений обеспечена.
4. РАСЧЕТ ЭЛЕМЕНТОВ ЖЕЛЕЗОБЕТОННЫХ КОНСТРУКЦИЙ ПО ПРЕДЕЛЬНЫМ
СОСТОЯНИЯМ ВТОРОЙ ГРУППЫ
РАСЧЕТ ЖЕЛЕЗОБЕТОННЫХ ЭЛЕМЕНТОВ ПО ОБРАЗОВАНИЮ ТРЕЩИН
4.1 (4.1). Железобетонные элементы рассчитываются по образованию трещин: нормальных к продольной оси элемента; наклонных к продольной оси элемента. |
Расчет по образованию трещин производится:
а) с целью избежать их появления:
в элементах, к трещиностойкости которых предъявляются требования 1-й категории;
в элементах, к трещиностойкости которых предъявляются требования 2-й категории, если по расчету не обеспечивается надежное закрытие этих трещин;
в пределах длины зоны передачи напряжений арматуры без анкеров;
б) для определения необходимости проверки по раскрытию трещин (2-я и 3-я категории требований трещиностойкости) и по закрытию (2-я категория трещиностойкости);
в) для выяснения случая расчета по деформациям.
Порядок учета нагрузок, коэффициента перегрузки
n и коэффициента точности натяжения
mт приведен в
табл. 2.
РАСЧЕТ ПО ОБРАЗОВАНИЮ ТРЕЩИН, НОРМАЛЬНЫХ К ПРОДОЛЬНОЙ
ОСИ ЭЛЕМЕНТА
4.2 (4.2). Для изгибаемых, растянутых и внецентренно сжатых железобетонных элементов усилия, воспринимаемые сечениями, нормальными к продольной оси, при образовании трещин определяются, исходя из следующих положений: сечения после деформаций остаются плоскими; наибольшее относительное удлинение крайнего растянутого волокна бетона равно  ; напряжения в бетоне сжатой зоны (если она имеется) определяются с учетом упругих, а для внецентренно сжатых элементов и изгибаемых предварительно-напряженных элементов - также с учетом неупругих деформаций бетона; напряжения в бетоне растянутой зоны распределены равномерно и равны по величине RрII; напряжения в ненапрягаемой арматуре равны алгебраической сумме напряжений, вызванных усадкой и ползучестью бетона, и напряжения, отвечающего приращению деформаций окружающего бетона; напряжения в напрягаемой арматуре равны алгебраической сумме ее предварительного напряжения (с учетом всех потерь) и напряжения, отвечающего приращению деформаций окружающего бетона. Указания данного пункта, а также пп. 4.4 - 4.10 не распространяются на элементы, рассчитываемые на воздействие многократно повторяющейся нагрузки (п. 4.11). 4.3 (4.3). При определении усилий, воспринимаемых сечениями элементов с предварительно-напряженной арматурой без анкеров, на длине зоны передачи напряжения lп.н (п. 2.26) при расчете по образованию трещин должно учитываться снижение предварительного напряжения в арматуре  и  путем умножения на коэффициент mа3 согласно поз. 3 табл. 22. 4.4 (4.4). Расчет предварительно-напряженных центрально обжатых железобетонных элементов при центральном растяжении силой N должен производиться из условия N <= Nт, (180) где Nт - усилие, воспринимаемое сечением, нормальным к продольной оси элемента, при образовании трещин и определяемое по формуле  (181) где  и  - соответственно площадь всей напрягаемой и ненапрягаемой арматуры. 4.5 (4.5). Расчет изгибаемых, внецентренно сжатых, а также внецентренно растянутых элементов по образованию трещин производится из условия  (182) где  - момент внешних сил, расположенных по одну сторону от рассматриваемого сечения, относительно оси, параллельной нулевой линии и проходящей через ядровую точку, наиболее удаленную от растянутой зоны, трещинообразование которой проверяется; Mт - момент, воспринимаемый сечением, нормальным к продольной оси элемента, при образовании трещин и определяемый по формуле  (183) здесь  - момент усилия N0 относительно той же оси, что и для определения  ; знак момента определяется направлением вращения ("плюс" - когда направления вращения моментов  и  противоположны; "минус" - когда направления совпадают); |

(184)
В формуле (184) знак "плюс" принимается, когда усилие
N0 сжимает растянутую зону
(рис. 45), знак "минус" - когда оно растягивает эту зону
(рис. 47).
Величина  определяется по формулам: для изгибаемых элементов ( рис. 45, а) -  ; для внецентренно сжатых элементов ( рис. 45, б) -  (185) для внецентренно растянутых элементов ( рис. 45, в)  (186) Здесь rУ - расстояние от центра тяжести приведенного сечения до ядровой точки (условной), наиболее удаленной от растянутой зоны, трещинообразование которой проверяется. Величина rУ определяется: для внецентренно сжатых и изгибаемых элементов по формуле  (187) для внецентренно растянутых элементов, если удовлетворяется условие  (188) по формуле  (189)  (190) Wт - момент сопротивления приведенного сечения для крайнего растянутого волокна с учетом неупругих деформаций растянутого бетона, определяемый в предположении отсутствия продольной силы N и усилия предварительного обжатия N0 согласно п. 4.6; |
W0 - то же, определяемый как для упругого материала по формуле
W0 = Iп/y,
где y - расстояние от центра тяжести приведенного сечения до растянутой грани.
Для стыковых сечений составных и блочных конструкций при расчете их по образованию трещин (началу раскрытия швов) значение RрII в формулах (181) и (183) принимается равным нулю. |
Рис. 45. Схема усилий и эпюра напряжений в поперечном
сечении элемента при расчете его по образованию трещин,
нормальных к продольной оси элемента, в зоне сечения, сжатой
от действия усилия предварительного обжатия
а - при изгибе; б - при внецентренном сжатии;
в - при внецентренном растяжении; 1 - ядровая точка;
2 - центр тяжести приведенного сечения
4.6 (4.7). Величина Wт определяется по формуле  (191) Положение нулевой линии сечения определяется из условия  (192) Здесь Iб0 - момент инерции площади сечения сжатой зоны бетона относительно нулевой линии; Iа0 и I'а0 - моменты инерции площадей сечения соответственно арматуры A и A' относительно нулевой линии; Sб0 и Sб.р - статические моменты площадей сечения соответственно сжатой и растянутой зоны бетона относительно нулевой линии; Sа0 и S'а0 - статические моменты площадей сечения соответственно арматуры A и A' относительно нулевой линии; Fб.р - площадь сечения растянутой зоны бетона. |
Для прямоугольных, тавровых и двутавровых сечений
условие (192) принимает вид

(193)
где

- статический момент площади приведенного сечения, вычисленный без учета площади бетона растянутых свесов, относительно растянутой грани;

- площадь приведенного сечения, вычисленная без учета половины площади бетона растянутых свесов.
Значение Wт допускается определять по формуле

(194)

- см. табл. 35.
Сечения | Коэффициент  | Форма поперечного сечения |
1. Прямоугольное | 1,75 | |
2. Тавровое с полкой, расположенной в сжатой зоне | 1,75 | |
3. Тавровое с полкой (уширением), расположенной в растянутой зоне: | | |
а) при bп/b <= 2 независимо от отношения hп/h | 1,75 | |
б) при bп/b > 2 и hп/h >= 0,2 | 1,75 |
в) при bп/b > 2 и hп/h < 0,2 | 1,5 |
4. Двутавровое симметричное (коробчатое): | | |
а) при b'п/b = bп/b <= 2 | 1,75 |
б) при 2 < b'п/b = bп/b <= 6 | 1,5 |
в) при b'п/b = bп/b > 6 и h'п/h = hп/h >= 0,2 | 1,5 |
г) при 6 < b'п/b = bп/b <= 15 и h'п/h = hп/h < 0,2 | 1,25 |
д) при b'п/b = bп/b > 15 и h'п/h = hп/h < 0,1 | 1,1 |
5. Двутавровое несимметричное, удовлетворяющее условию b'п/b <= 3: | | |
а) при bп/b <= 2 независимо от отношения hп/h | 1,75 | |
б) при 2 < bп/b <= 6 независимо от отношения hп/h | 1,5 |
в) при bп/b > 6 и hп/h > 0,1 | 1,5 |
6. Двутавровое несимметричное, удовлетворяющее условию 3 < b'п/b < 8: | | |
а) при bп/b <= 4 независимо от отношения hп/h | 1,5 | |
б) при bп/b > 4 и hп/h >= 0,2 | 1,5 |
в) при bп/b > 4 и hп/h < 0,2 | 1,25 |
7. Двутавровое несимметричное, удовлетворяющее условию b'п/b >= 8: | | |
а) при hп/h > 0,3 | 1,5 |
б) при hп/h <= 0,3 | 1,25 |
8. Кольцевое и круглое | | |
9. Крестовое: | | |
а) при b'п/b >= 2 и 0,9 >= h'п/h > 0,2 | 2 |
б) в остальных случаях | 1,75 |
Примечание. Обозначения
bп и
hп соответствуют размерам полки, которая при расчете по образованию трещин является растянутой, а
b'п и
h'п - размерам полки, которая для этого случая расчета является сжатой:

.
4.7. При расчете по образованию трещин в зоне сечения, растянутой от действия внешних сил в стадиях транспортирования, возведения и эксплуатации, значение
Mт определяется:
а) если сила
N02 сжимает растянутую зону, - по формуле

(195)
где
б) если сила
N02 растягивает эту зону (например, вблизи опор неразрезных балок), - по формуле

(196)
где
Здесь

и

- значения
Wт, определенные согласно
п. 4.6 для грани сечения, соответственно сжатой (нижней) и растянутой (верхней) от усилия
N02 (см.
рис. 46);
rу.в и
rу.н - расстояния от центра тяжести приведенного сечения до условных ядровых точек, наиболее удаленных соответственно от грани, сжатой усилием
N02, и от грани, растянутой этим усилием, определенные согласно
п. 4.5 (см. рис. 46).
Рис. 46. Определение величин rу.в и rу.н
а - при расчете по образованию трещин в зоне сечения, сжатой
от действия усилия предварительного обжатия; б - то же,
в зоне сечения, растянутой от действия усилия
предварительного обжатия; 1 - ядровая точка; 2 - центр
тяжести приведенного сечения; 3 - точка приложения усилия
предварительного обжатия
Порядок учета коэффициента
mт при определении
N02 указан в
табл. 2.
Если вычисленная по
формуле (196) величина
Mт имеет отрицательное значение, то это означает, что трещины образованы до приложения внешней нагрузки.
При расчете по
подпункту "а" на участках элемента с начальными трещинами в сжатой зоне (см.
п. 4.8) величину
Mт необходимо снижать согласно указаниям
п. 4.9.
Для вычисления

в
формулах (185) и
(186) принимаются значения
rу, равные
rу.в или
rу.н, т.е. такие же, как и при определении
Mт.
Рис. 47. Схема усилий и эпюра напряжений в поперечном
сечении элемента при расчете его по образованию трещин,
нормальных к продольной оси элемента, в зоне сечения,
растянутой от действия усилия предварительного обжатия
1 - центр тяжести приведенного сечения; 2 - ядровая точка
4.8. Расчет по образованию начальных трещин в зоне сечения, растянутой от действия усилия предварительного обжатия (рис. 47) в стадии изготовления, производится из условия

(197)
где

- момент внешних сил, действующих на элемент в стадии изготовления (например, от собственного веса), принимаемый согласно
п. 4.5; знак момента определяется направлением вращения ("плюс" - когда направления этого момента и момента усилия
N01 совпадают, "минус" - когда направления противоположны);

и
rу.н - то же, что и в
п. 4.7, б; их значения допускается определять при тех же значениях
n =
Eа/
Eб, что и в эксплуатационной стадии.
- значение
RрII при марке бетона, численно равной передаточной прочности
R0.
4.9 (4.6). При расчете по образованию трещин на участках элементов с начальными трещинами в сжатой зоне (см. п. 4.8) величину Mт для зоны, растянутой от действия внешней нагрузки, определенную по формулам (183) или (195), необходимо снижать путем умножения на коэффициент, равный  . Значение  определяется по формуле  (198) причем при отрицательных значениях коэффициента  он принимается равным нулю. |
но не менее 0,45 и не более 1,
где

,

,
rу.н, 
- то же, что и в
п. 4.8;

(199)
но не более 1,4;
yц - расстояние от центра тяжести приведенного сечения до грани, растянутой от действия внешней нагрузки.
Здесь N01 определяется при том же коэффициенте mт, что и усилие N02, вводимое в расчет по п. 4.7, а. Для конструкций, армированных проволочной арматурой и стержневой арматурой класса Ат-VI, величина cт, полученная по формуле (199), снижается на 15%. 4.10 (4.8). В конструкциях, армированных предварительно-напряженными элементами, например, брусками, при определении усилий, воспринимаемых сечениями при образовании трещин в предварительно-напряженных элементах, площадь сечения растянутой зоны бетона, не подвергаемая предварительному напряжению, в расчете не учитывается. 4.11 (4.10). Расчет по образованию трещин при действии многократно повторяющейся нагрузки производится из условия  (200) |
где

- максимальное нормальное растягивающее напряжение в бетоне, определяемое в соответствии с указаниями
пп. 1.28 и
3.74 для растянутой грани элемента.
Расчетное сопротивление бетона растяжению
RрII в
формуле (200) вводится с коэффициентом условий работы
mб2 по
табл. 32.
РАСЧЕТ ПО ОБРАЗОВАНИЮ ТРЕЩИН, НАКЛОННЫХ К ПРОДОЛЬНОЙ
ОСИ ЭЛЕМЕНТА
4.12
(4.11). Для изгибаемых элементов расчет по образованию трещин, наклонных к продольной оси, может не производиться, если соблюдается условие
Q <= k1RрIIbh0, (201)
где k1 - коэффициент, принимаемый равным: для линейных элементов (балок, ребер и т.п.) - 0,6; для сплошных плоских плит - 0,75. Расчет по образованию трещин, наклонных к продольной оси элемента, должен производиться из условий:  (202)  (203) где m1 и m2 - коэффициенты, определяемые по табл. 36. |
| Проектные марки | Коэффициент для расчета по образованию наклонных трещин |
| m1 | m2 |
| М400 и ниже | 0,5 | 2 |
| М500 | 0,375 | 1,6 |
| М600 | 0,25 | 1,33 |
| М700 | 0,125 | 1,4 |
| М800 | 0 | 1 |
Величины главных растягивающих и главных сжимающих напряжений в бетоне  и  определяются по формуле  (204) где  - нормальное напряжение в бетоне на площадке, перпендикулярной продольной оси элемента, от внешней нагрузки и усилия предварительного обжатия N0, определенное по п. 1.28; при этом  принимается равным напряжению в бетоне  ;  - нормальное напряжение в бетоне на площадке, параллельной продольной оси элемента, от местного действия опорных реакций, сосредоточенных сил и распределенной нагрузки (см. п. 4.13), а также усилия предварительного обжатия хомутов и отогнутых стержней (см. п. 4.14);  - касательные напряжения в бетоне от внешней нагрузки и усилия предварительного обжатия отогнутых стержней (см. п. 4.15). Напряжения  и  подставляются в формулу (204) со знаком "плюс", если они растягивающие, и со знаком "минус", если сжимающие. Напряжение  в условиях (202) и (203) принимается по абсолютной величине. Проверка условий (202) и (203) производится в центре тяжести приведенного сечения и в местах примыкания сжатых полок к стенке элемента таврового и двутаврового сечения. При расчете элементов с предварительно-напряженной арматурой без анкеров должно учитываться снижение предварительного напряжения  и  на длине зоны передачи напряжений lп.н (п. 2.26) путем умножения на коэффициент mа.3 согласно поз. 3 табл. 22. |
Примечания. 1. Допускается принимать в расчете значения коэффициентов
m1 и
m2 по
табл. 36 и значения сопротивления бетона
RрII и
RпрII, соответствующие проектным маркам, сниженным против принятой в проекте, если такое снижение приводит к повышению нагрузки, при которой образуются наклонные трещины (например, при марке бетона М800 допускается вводить в расчет значения перечисленных величин для проектной марки М700, что целесообразно при низких отношениях

).
2. В случае необходимости

и

от внешней нагрузки и предварительного обжатия алгебраически суммируются с напряжениями

и

от местного действия опорных реакций и сосредоточенных сил, равных:
где
kx и
kxy - определяются по
табл. 37.
4.13. Значение
, подставляемое в
формулу (204), принимается равным сумме напряжений от местного действия опорных реакций и сосредоточенных сил

и напряжения от усилия предварительного обжатия хомутов и отогнутых стержней

, определяемого по
п. 4.14.
Местные напряжения, возникающие вблизи места приложения опорных реакций и сосредоточенных сил, определяются как для упругого тела, по формуле

(205)
где P - величина сосредоточенной силы или опорной реакции;

и
- относительные координаты точки, для которой определяются величины местных напряжений; в месте приложения силы
P x = 0 и
y = 0
, при этом ось
x направлена параллельно продольной оси элемента, ось
y - нормально к ней.
Допускается

определять по формуле

(206)
Учет местных напряжений

(а также

и

) ограничен длиной участка
x = 0,7
h в обе стороны от точки приложения сосредоточенной силы.
| Обозначения | Коэффициенты для определения местных напряжений kx, ky, kxy при значениях  , равных |
0,05 | 0,1 | 0,2 | 0,3 | 0,4 | 0,5 | 0,6 | 0,7 |
0,2 | kx | 0,63 | 0,22 | -0,21 | -0,21 | -0,13 | -0,07 | -0,04 | -0,02 |
ky | -2,75 | - 1,97 | -0,74 | -0,25 | -0,08 | -0,02 | 0 | 0,01 |
kxy | 0,26 | 0,62 | 0,47 | 0,19 | 0,05 | -0,01 | -0,03 | -0,03 |
0,3 | kx | 0,59 | 0,4 | 0,04 | -0,12 | -0,14 | -0,12 | -0,1 | -0,07 |
ky | -1,87 | -1,59 | -0,89 | -0,42 | -0,17 | -0,06 | -0,01 | 0,01 |
kxy | -0,25 | 0,04 | 0,24 | 0,18 | 0,09 | 0,03 | 0 | -0,01 |
0,4 | kx | 0,44 | 0,36 | 0,15 | -0,01 | -0,09 | -0,11 | -0,1 | -0,09 |
ky | -1,28 | -1,19 | -0,81 | -0,46 | -0,23 | -0,1 | -0,03 | 0 |
kxy | -0,48 | -0,25 | -0,01 | 0,08 | 0,07 | 0,04 | 0,02 | 0,01 |
0,5 | kx | 0,3 | 0,27 | 0,16 | 0,04 | -0,03 | -0,06 | -0,07 | -0,07 |
ky | -0,92 | -0,87 | -0,65 | -0,42 | -0,24 | -0,12 | -0,04 | -0 |
kxy | -0,58 | -0,4 | -0,16 | -0,03 | 0,02 | 0,03 | 0,03 | 0,01 |
0,6 | kx | 0,14 | 0,15 | 0,12 | 0,06 | 0,01 | -0,02 | -0,04 | -0,04 |
ky | -0,62 | -0,59 | -0,48 | -0,33 | -0,2 | -0,11 | -0,04 | -0,01 |
kxy | -0,59 | -0,45 | -0,24 | -0,1 | -0,03 | -0,01 | 0,02 | 0,02 |
0,8 | kx | -0,18 | -0,11 | -0,02 | 0,03 | 0,04 | 0,04 | 0,04 | 0,03 |
ky | -0,22 | -0,21 | -0,18 | -0,13 | -0,09 | -0,05 | -0,02 | 0 |
kxy | -0,41 | -0,34 | -0,22 | -0,13 | -0,06 | -0,02 | 0 | 0,01 |
1 | kx | -0,5 | -0,36 | -0,14 | -0,04 | 0,02 | 0,06 | 0,08 | 0,09 |
ky | 0 | 0 | 0 | 0 | 0 | 0 | 0 | 0 |
kxy | 0 | 0 | 0 | 0 | 0 | 0 | 0 | 0 |
Примечания. 1. Отрицательные значения kx и ky соответствуют сжимающим напряжениям  и  , положительные - растягивающим напряжениям; при положительных значениях kxy напряжение  имеет то же направление, что и , определенное по п. 4.15, при отрицательных - противоположное. 2. x и y - координаты точки, для которой определяются значения местных напряжений; при этом принимается, что ось x направлена параллельно продольной оси элемента, ось y нормально к ней, за начало координат принята точка приложения опорной реакции или сосредоточенной силы. |
Напряжения

, вычисленные по
формулам (205) и
(206) со знаком "минус", соответствуют сжимающим напряжениям, со знаком "плюс" - растягивающим.
4.14. Значения сжимающих напряжений (принятых со знаком "минус") от предварительного напряжения хомутов и отгибов

определяются по формуле

(207)
где Fнх - площадь сечения напрягаемых хомутов, расположенных в одной плоскости, нормальной к оси элемента;
Fн.о - площадь сечения напрягаемой отогнутой арматуры, заканчивающейся на участке uо длиной, равной h/2, расположенном симметрично относительно рассматриваемого сечения 0-0 (рис. 48);

,

- предварительное напряжение после проявления всех потерь соответственно в хомутах и в отогнутой арматуре;
uх - шаг хомутов.
Рис. 48. Криволинейная отогнутая напрягаемая арматура,
учитываемая при определении предварительных напряжений
в бетоне: нормальных к продольной оси элемента 
и скалывающих 
1 - арматура, учитываемая при определении напряжений

в сечении 0-0
2 - арматура, учитываемая при определении напряжений

на участке uо
4.15. Касательные напряжения в бетоне

определяют по формуле

(208)
где Sп - приведенный статический момент части сечения, расположенной выше рассматриваемого волокна, относительно оси, проходящей через центр тяжести приведенного сечения;
b - ширина элемента на уровне рассматриваемого волокна;
Q - поперечная сила от внешней нагрузки в рассматриваемом сечении; при этом, если нагрузка не является фиксированной, значение
Q принимается с учетом возможного отсутствия этой нагрузки на участке от опоры до рассматриваемого сечения (см.
п. 4.23).
В элементах с напрягаемой наклонной или криволинейного очертания арматурой величину поперечной силы
Q, подставляемую в
формулу (208), определяют как разность (или сумму) поперечных сил от внешней нагрузки
Qв и силы обжатия
Qоб по формуле
Q = Qв - Qоб, (209)
где

(210)
N02 - усилие в пучке или стержне, заканчивающемся на опоре или на участке между опорой и сечением, расположенным на расстоянии
h/4 от рассматриваемого сечения
0-0 (см.
рис. 48) и определяемое по формуле

(211)

- предварительное напряжение в отогнутой арматуре после проявления всех потерь;

- угол между осью арматуры и продольной осью элемента в рассматриваемом сечении;
fм - площадь сечения одного стержня или пучка напрягаемой отогнутой арматуры.
При переменной высоте балки значения поперечной силы для вычисления скалывающих напряжений определяются по формуле

(212)
где

- угол наклона грани балки к продольной оси;
Q1, M1 - поперечная сила и изгибающий момент (без учета предварительного напряжения) в рассматриваемом поперечном сечении.
В
формуле (212) знак "минус" принимается, если высота балки возрастает с увеличением абсолютной величины изгибающего момента, и знак "плюс", если высота убывает с увеличением абсолютной величины изгибающего момента.
Для элементов, подвергающихся совместному действию изгиба и кручения, величина
, подставляемая в
формулу (204), принимается равной сумме скалывающих напряжений от изгиба, определяемых по
формуле (208), и от кручения

.
Значения

определяют по формулам пластического кручения, т.е. принимая, что к моменту образования трещин эти напряжения имеют одинаковую величину по всему сечению элемента

(213)
где Wк - момент сопротивления сечения при пластическом кручении, определяемый по формуле
Wк = 2V,
где
V - объем тела, ограниченного поверхностью равного ската с углом наклона 45° к плоскости сечения, построенного на рассматриваемом сечении
(рис. 49).
Для элементов прямоугольного сечения (
рис. 49,
а) величина

равна:

(214)
где h и b - соответственно больший и меньший размеры сечения.
Рис. 49. Схема определения момента сопротивления сечения
при пластическом кручении
а - для прямоугольного сечения
б - для таврового сечения
4.16
(4.12). При действии многократно повторяющейся нагрузки расчет по образованию наклонных трещин производится согласно указаниям
пп. 4.12 -
4.15; при этом расчетные сопротивления бетона
RрII и
RпрII вводятся в расчет с коэффициентом условий работы
mб2 по
табл. 32.
ПРИМЕРЫ РАСЧЕТА
Пример 28. Дано: элемент нижнего пояса фермы с размерами поперечного сечения 25 x 28 см; бетон марки М500 (
RрII = 20 кгс/см
2,
Eб = 3,25·10
5 кгс/см
2); продольная арматура: напрягаемая класса К-7 (
Eа = 1,8·10
6 кгс/см
2) площадью сечения
Fн = 17,7 см
2 
, ненапрягаемая класса А-III (
Eа = 2·10
6 кгс/см
2) площадью сечения
Fа = 8,04 см
2 
; предварительное напряжение с учетом всех потерь

; суммарные потери напряжения от усадки и ползучести бетона

; усилие предварительного обжатия приложено центрально; способ натяжения арматуры механический; продольная осевая растягивающая сила от всех нагрузок (при
n > 1)
N = 120 тс; требования к трещиностойкости 2-й категории.
Требуется проверить сечение по образованию трещин.
Расчет. Расчет производим согласно указаниям
пп. 4.1 и
4.4.
Так как к элементам предъявляются требования 2-й категории трещиностойкости, определяем усилия N02 с учетом коэффициента точности натяжения mт < 1.
Nт = RрII[F + 2(nнFн + nаFа)] + N02 = 20[25·28 +
+ 2(5,54·17,7 + 6,15·8,04)] + 112 000 = 131 880 кгс >
> N = 120000 кгс,
т.е. трещиностойкость сечения обеспечена.
Пример 29. Дано: элемент нижнего пояса фермы с размером поперечного сечения 25 x 28 см; бетон марки М500 (
RрII = 20 кгс/см
2); предварительно-напряженная симметричная арматура класса А-IV площадью сечения
Fн =
F'н = 12,32 см
2 
; геометрические характеристики приведенного сечения: момент инерции
Iп = 54 750 см
4, расстояние от центра тяжести сечения до нижней грани
yц = 14 см; площадь сечения
Fп = 852 см
2; усилие предварительного обжатия с учетом всех потерь и коэффициента точности натяжения
mт = 1 (требования к трещиностойкости 3-й категории)
N02 = 80 тс; его эксцентриситет относительно центра тяжести приведенного сечения
e0н = 0; продольная осевая растягивающая сила (при
n = 1) от всех нагрузок
Nп = 103 тс; изгибающий момент от этих нагрузок
Mп = 4,5 тс·м.
Требуется проверить сечение по образованию трещин.
Расчет. Эксцентриситет внешней продольной силы относительно центра тяжести приведенного сечения равен:
Для проверки
условия (182) определяем момент сопротивления
Wт с помощью коэффициента

по
табл. 35. Для этого вычисляем момент сопротивления
W0:
Из
табл. 35 находим

(так как элемент прямоугольного сечения) и, следовательно,
Расстояние между точками приложения сил Nп и N02 равно:
момент усилия предварительного обжатия относительно условной ядровой точки определяем по
формуле (184)
Момент внешней продольной силы относительно условной ядровой точки согласно
формуле (186) равен:
т.е. от действия полной нагрузки трещины образуются и требуется проверка их ширины раскрытия.
Пример 30. Дано: плита покрытия по
рис. 50; бетон марки М300 (
RрII = 15 кгс/см
2;
Eб = 2,6·10
5 кгс/см
2), передаточная прочность
R0 = 250 кгс/см
3 
; предварительно-напряженная арматура класса А-IV площадью сечения
Fн = 4,91 см
2 
; ненапрягаемая арматура растянутая и сжатая класса А-III площадью сечения соответственно
Fа = 0,785 см
2 
и

; геометрические характеристики приведенного сечения: площадь
Fп = 555 см
2, расстояние от центра тяжести до растянутой (нижней) грани
yц = 22 см, момент инерции
Iп = 71 800 см
4; максимальный момент при
n = 1 для половины сечения плиты
Mп = 6,6 тс·м, в том числе момент от собственного веса
Mс.в = 0,53 тс·м; усилие предварительного обжатия с учетом первых потерь и
mт = 1;
N01 = 23 тс; его эксцентриситет относительно центра тяжести приведенного сечения
e0н = 16,7 см; усилие предварительного обжатия с учетом всех потерь и
mт = 1:
N02 = 15 тс, его эксцентриситет
e0н = 16,5 см; требования к трещиностойкости 3-й категории.
Требуется проверить плиту по образованию трещин в верхней и нижней зоне, а также определить величину Mт.
Рис. 50. Предварительно-напряженная плита перекрытия
а - приопорный участок; б - поперечное сечение
Расчет. Предварительно определяем моменты сопротивления и ядровые расстояния относительно растянутой грани соответственно от внешней нагрузки и от предварительного обжатия.
Находим моменты сопротивления

и
.
Определяем момент трещинообразования
Mт согласно
п. 4.7, а в предположении отсутствия начальных верхних трещин:
т.е. трещины в нижней зоне плиты образуются.
Образование верхних трещин проверяем согласно
п. 4.8.
т.е. верхние трещины образуются.
Уточним значение Mт в связи с наличием верхних трещин (уточненное значение Mт требуется, например, для определения прогибов с учетом участков без трещин).
Принимаем cт = 1,4.
Уточняем значение
Mт путем умножения его на коэффициент

:
Mт = 4,04·0,785 = 3,17 тс·м.
Пример 31. Дано: плита покрытия - по
рис. 50; бетон марки М300 (
RпрII = 170 кгс/см
2,
RрII = 15 кгс/см
2;
Eб = 2,6·10
5 кгс/см
2); передаточная прочность бетона
R0 = 250 кгс/см
2; геометрические характеристики приведенного сечения: площадь
Fп = 555 см
2, расстояние от центра тяжести сечения до растянутой грани
yц = 22 см, момент инерции
Iп = 71 800 см
4, расстояние от центра тяжести всей растянутой арматуры до растянутой грани
a = 5 см; предварительно-напряженная арматура класса А-IV без анкеров (
Eа = 2·10
6 кгс/см
2) диаметром 25 мм; площадь сечения сжатой арматуры

, усилие предварительного обжатия с учетом всех потерь и
mт = 1:
N02 = 15 тс, его эксцентриситет
e0н = 16,5 см; предварительное напряжение с учетом потерь по
поз. 1 -
5 табл. 4 
; поперечная сила от внешней нагрузки в опорном сечении (при
n = 1)
Qмакс = 5 тс; требования к трещиностойкости 3-й категории.
Требуется проверить, образуются ли наклонные трещины в пределах длины зоны передачи напряжений, и установить необходимость расчета по раскрытию наклонных трещин.
Расчет для проверки образования наклонных трещин в пределах длины зоны передачи напряжений рассмотрим сечения у грани опоры (сечение I) и на расстоянии lп.н от торца плиты (сечение II); в обоих случаях проверку производим в центре тяжести сечения (y = yц = 22 см).
Так как между местом приложения опорной реакции и рассматриваемыми сечениями поперечная нагрузка может отсутствовать, примем согласно
пп. 4.5 и
4.23, что в обоих случаях
Q =
Qмакс = 5 тс.
Определим значения
N02 в рассматриваемых сечениях. Для этого по
формуле (20) вычисляем длину зоны передачи напряжений
lп.н, имея в виду, что

,
Для сечения
I lx = 20 см; в этом сечении согласно
п. 1.27
Для сечения II lк = lп.н, следовательно,
Определяем нормальные напряжения

на уровне центра тяжести сечения по
формуле (11) при
y0 = 0 и
N0 = N02:
Так как

и

- сжимающие напряжения, при вычислении

и

подставляем их в
формулу (204) со знаком "минус".
Определяем касательные напряжения

по
формуле (208). Для этого вычисляем статический момент приведенной площади части сечения, расположенной выше центра тяжести сечения, относительно нулевой линии:
Sп = 47,5·5·10,5 + 8·9,5·4 + 7,7·0,503·10,5 = 2835 см3;
Поскольку отсутствует предварительно-напряженная поперечная арматура,

.
Определяем по
формуле (205) местные сжимающие напряжения вблизи места приложения опорных реакций.
Для сечения I:
Отрицательное значение

означает, что это напряжение сжимающее.
Для сечения
II:

, т.е. влияние местных сжимающих напряжений отсутствует,

.
По
формуле (204) определяем главные растягивающие и главные сжимающие напряжения.
Для сечения I:
Для сечения II:
Так как в обоих сечениях
RпрII = 0,5·170 = 85 кгс/см
2, то проверяем выполнение
условия (202).
В обоих сечениях

, следовательно, трещиностойкость концевого участка элемента по наклонному сечению в пределах длины зоны передачи напряжений обеспечена.
Для выяснения необходимости расчета по раскрытию наклонных трещин рассмотрим сечение III, расположенное на расстоянии h0 = 0,3 м от точки приложения опорной реакции на уровне центра тяжести сечения и в месте примыкания полки к стенке.
Поскольку
Q,
N02,

и геометрические размеры в сечении
III такие же, как в сечении
II, то в центре тяжести

,

и, следовательно, наклонные трещины на этом уровне не образуются.
Проверим условие образования наклонных трещин в месте примыкания сжатой полки к стенке.
Нормальные напряжения

на этом уровне равны:
(y0 = 8 см; xIII = h0 = 30 см; M = Qмаксx = 5·0,3 = 1,5 тс·м).
Определяем значение

:
Sп = 47,5·5·10,5 + 7,7·0,503·10,5 = 2531 см3;
Проверяем условие образования трещин
Так как

и

,
условие (202) выполняется, наклонные трещины на рассматриваемом уровне не образуются и проверка их ширины не требуется.
РАСЧЕТ ЖЕЛЕЗОБЕТОННЫХ ЭЛЕМЕНТОВ ПО РАСКРЫТИЮ ТРЕЩИН
4.17 (4.13). Железобетонные элементы рассчитываются по раскрытию трещин: нормальных к продольной оси элемента; наклонных к продольной оси элемента. |
Проверка ширины раскрытия трещин не требуется, если согласно расчету по
пп. 4.1 -
4.16 в рассматриваемом сечении они не образуются от действия нагрузок, указанных в
табл. 2.
Для элементов, к которым предъявляются требования 3-й категории трещиностойкости, расчет по раскрытию трещин в общем случае производится два раза: на кратковременное и на длительное раскрытие трещин
(п. 1.12). Для изгибаемых элементов при предельно допустимой ширине раскрытия трещин
aт.кр = 0,4 мм и
aт.дл = 0,3 мм расчет можно производить только один раз:
а) при проверке раскрытия трещин, нормальных к продольной оси элемента,
если

, проверяется длительное раскрытие трещин от действия момента
Mдл;
если Mдл/Mп <= 2/3, проверяется кратковременное раскрытие трещин от действия момента Mп;
б) при проверке раскрытия трещин, наклонных к продольной оси элемента,
если (tдл/tп)2 < 2/3, проверяется кратковременное раскрытие трещин от действия всех нагрузок,
если (tдл/tп)2 < 2/3, проверяется кратковременное раскрытие трещин от действия всех нагрузок,
где
tдл и
tп - значения коэффициента
t (см.
п. 4.23) соответственно при действии длительных и полных нагрузок;

- определяется по
формуле (184); при этом усилие предварительного обжатия вводится в
формулу (184) с учетом всех потерь (
N02); при наличии начальных трещин в сжатой зоне
N02 умножается на коэффициент

, где

- см.
п. 4.9.
РАСЧЕТ ПО РАСКРЫТИЮ ТРЕЩИН,
НОРМАЛЬНЫХ К ПРОДОЛЬНОЙ ОСИ ЭЛЕМЕНТА
4.18 (4.14). Ширина раскрытия трещин, нормальных к продольной оси элемента, aт, мм, должна определяться по формуле  (215) где k - коэффициент, принимаемый равным: для изгибаемых и внецентренно сжатых элементов - 1; для растянутых элементов - 1,2; cд - коэффициент, принимаемый равным при учете: кратковременных нагрузок и кратковременного действия постоянных и длительных нагрузок - 1; многократно повторяющейся нагрузки, а также длительного действия постоянных и длительных нагрузок для конструкций из бетонов: естественной влажности - 1,5; в водонасыщенном состоянии - 1,2;  - коэффициент, принимаемый равным: при стержневой арматуре: периодического профиля - 1; гладкой - 1,3; при проволочной арматуре: периодического профиля и канатах - 1,2; гладкой - 1,4;  - приращение напряжений в стержнях крайнего ряда арматуры A от действия внешней нагрузки, определяемое согласно указаниям п. 4.20.  - коэффициент армирования сечения, принимаемый равным отношению площади сечения арматуры A к площади сечения бетона при рабочей высоте h0 без учета сжатых свесов полок; при этом для прямоугольных, тавровых и двутавровых сечений |

(216)
значение

принимается не более 0,02;
если
hп <
a, то растянутые свесы при вычислении

не учитываются;
если во внецентренно растянутых элементах растягивающая сила
Nc =
N -
N0 расположена между центрами тяжести арматуры
A и
A', то при определении

рабочая высота
h0 принимается от точки приложения силы
Nс до менее растянутой грани, при этом для центрального растяжения
где

- площадь всей продольной арматуры в поперечном сечении;
d - диаметр растянутой арматуры, мм; при различных диаметрах стержней значение d принимается равным:

(217)
где d1 ..., dк - диаметр стержней растянутой арматуры,
n1 ..., nк - число стержней с диаметрами соответственно d1 ..., dк.
В случае применения попарно расположенных стержней при назначении диаметра
d следует учитывать указания
п. 5.23.
При пользовании
формулой (215) значения
aт и
d принимаются в мм. Кроме того, следует учитывать указания п. 4.19.
4.19
(4.14). Ширина раскрытия трещин, определяемая согласно
п. 4.18, корректируется в следующих случаях:
а) если центр тяжести сечений стержней крайнего ряда арматуры A изгибаемых, внецентренно сжатых, внецентренно растянутых при e0c >= 0,8 h0 элементов отстоит от наиболее растянутого волокна бетона на расстоянии c, большем 0,2 h, величина aт, определенная по формуле (215), должна умножаться на коэффициент kс, равный:  (218) и принимаемый не более 3. |
Для элементов, армированных стержневой арматурой периодического профиля, диаметр которой не менее 10 мм, при толщине бокового защитного слоя бетона 15 мм и менее величина
aт, определенная по
формуле (215), уменьшается на 20%;
б) при расчете изгибаемых элементов величину
aт, вычисленную по
формуле (215) для зоны, сжатой усилием
N02, допускается уменьшать путем умножения на коэффициент
kб, учитывающий работу растянутого бетона над трещинами, если момент от полной нагрузки (при
n = 1)
Mп меньше момента
M0, при котором растянутый бетон над трещинами практически выключается из работы.

(219)
но не менее
Mт и не более
,
здесь

;

- момент сопротивления, определяется так же, как и
Wт (см.
п. 4.6), но без учета площади бетона растянутых свесов.
Коэффициент kб определяется по формуле
но не более единицы. В формуле (220):
kн - коэффициент, учитывающий уровень нагружения, равный:

(221)
kд - коэффициент, учитывающий длительность действия нагрузки, равный:
при кратковременном действии нагрузки - 1;
при длительном действии нагрузки

(222)
но не менее единицы.
Здесь:

(223)
На участках с начальными трещинами в сжатой зоне величины
M0 и
M' снижаются путем умножения на коэффициент

, где

определяется согласно
п. 4.9;
в) для элементов статически неопределимых систем, а также для свободно опертых балок при
l/h <= 7 вблизи мест приложения сосредоточенных сил и опорных реакций при

ширину раскрытия трещин
aт, вычисленную по
формуле (215), допускается уменьшить путем умножения на коэффициент
kм, учитывающий местные особенности напряженного состояния в железобетонных изгибаемых конструкциях и определяемый по формуле

(224)
но не менее 0,8 и не более 1. В формуле (224):
a - расстояние от точки приложения сосредоточенной силы или опорной реакции до рассматриваемого сечения, принимаемое в соответствии с
рис. 51, но не более 0,3
h;
P - абсолютное значение сосредоточенной силы или реакции;
M - абсолютное значение изгибающего момента в нормальном сечении, проходящем через точку приложения сосредоточенной силы или опорной реакции
(рис. 51);
h - расстояние от грани элемента, к которой приложена сила P, до растянутой грани;
h0 - то же, до растянутой арматуры
(рис. 52).
Рис. 51. Положение опорных реакций в жестких узлах,
принимаемое для определения коэффициента Kм
а - г - стыки сборных элементов;
д - з - монолитные сопряжения
4.20
(4.15). Приращение напряжений в растянутой арматуре

для центрально растянутых элементов в стадиях транспортирования, возведения и эксплуатации определяется по формуле
 (225) |
где

- площадь сечения всей продольной арматуры в поперечном сечении элемента.
Рис. 52. Обозначения величин h0 и h
для определения коэффициента kм
а - при приложении силы к сжатой грани элемента;
б - при приложении силы к уширениям (полкам) элемента;
в - по длине статически неопределимой балки
Для изгибаемых, внецентренно сжатых и внецентренно растянутых элементов приращение напряжений в растянутой арматуре

определяется из условия равенства нулю суммы моментов внешних и внутренних усилий относительно оси, проходящей через точку приложения равнодействующей усилий в сжатой или менее растянутой зоне сечения. В стадиях транспортирования, возведения и эксплуатации

вычисляется по формулам:
для изгибаемых элементов (
рис. 53, а)
 (226) для внецентренно сжатых элементов ( рис. 53, б) (227) |
для внецентренно растянутых элементов (
рис. 53,
в) при

(228)
а также, если N < N02,

(229)
для внецентренно растянутых элементов при 0 <
e0с < 0,8
h0 (
рис. 53,
е)

(230)
где zа - расстояние между центрами тяжести арматуры A и A';
z1 - расстояние от центра тяжести площади сечения арматуры
A до точки приложения равнодействующей усилий в сжатой зоне сечения над трещиной, определяемое согласно указаниям
п. 4.34; при этом коэффициент

принимается, как при кратковременном действии нагрузки, т.е.

; допускается
z1 принимать таким же, как и при расчете по деформациям, если

менее 0,01.
В
формулах (229) и
(230) знак "минус" принимается при расположении растягивающей силы
N между центрами тяжести арматуры
A и
A', знак "плюс" - при расположении силы
N вне расстояния между арматурами
A и
A'.
Рис. 53. Схема усилий и эпюры напряжений в поперечном
сечении элемента при расчете его по ширине раскрытия
трещин, нормальных к продольной оси, в зоне сечения,
сжатой от действия усилия предварительного обжатия
а - при изгибе; б - при внецентренном сжатии;
в - при внецентренном растяжении и eос >= 0,8h0; г - то же,
при eос < 0,8h0; 1 - точка приложения равнодействующей
усилий в сжатой или менее растянутой зоне; 2 - центр
тяжести площади арматуры A; 3 - центр тяжести
площади приведенного сечения
В случае, когда

(здесь

определяется согласно
п. 4.5 от постоянных и длительных нагрузок), но при действии полной нагрузки трещины образуются, величина

при определении длительного раскрытия трещин находится по формуле

(231)
где

- приращение напряжений в арматуре при действии нагрузки, соответствующей моменту образования трещин, определяемое по
формулам (226) -
(230) и
(232) с заменой
M на
Mт и
N на

.
В случае, когда
, величину

для изгибаемых и внецентренно сжатых элементов допускается определять по формуле

(232)
где Mз = M + N02eа. н - для изгибаемых элементов;
Mз = Neа + N02eа. н - для внецентренно сжатых элементов;
При расположении растянутой арматуры в несколько рядов по высоте сечения в изгибаемых, внецентренно сжатых, а также внецентренно растянутых при e0с >= 0,8 h0 элементах напряжения  , подсчитанные по формулам настоящего пункта, должны умножаться на коэффициент  , равный  (233) где  ; величина  определяется по формуле (260); при этом коэффициент  принимается всегда, как при кратковременном действии нагрузки, |
т.е.

; для изгибаемых элементов допускается
x принимать равным 0,5
h0,
a и c - расстояния от центра тяжести площади сечения арматуры A соответственно всей и крайнего ряда стержней до наиболее растянутого волокна бетона.
Значения напряжений  для напрягаемой арматуры и  - для ненапрягаемой арматуры (  - см. п. 4.30), вычисленные с учетом коэффициента  , не должны превышать RаII для стержневой и 0,8 RаII для проволочной арматуры. На участках элементов, имеющих начальные трещины в сжатой зоне (см. п. 4.8), величину усилия предварительного обжатия N02 следует снижать путем умножения на коэффициент, равный  , где  - см. п. 4.9. |
4.21
(4.16). Ширину раскрытия начальных трещин в зоне сечения, растянутой от действия усилия предварительного обжатия в стадии изготовления, определяют по
формуле (215), принимая величины

и
d для арматуры, расположенной в указанной зоне (
рис. 54, а). При этом напряжение в данной арматуре или (при наличии предварительного напряжения) приращение напряжений

определяются по формуле

(234)
где
M - момент от внешних сил, действующих на элемент в стадии изготовления; в формуле (234) за положительный принимается момент, растягивающий верхнюю грань элемента (
рис. 54,
а).
| | Коэффициент kт при значениях , равных |
0,01 | 0,02 | 0,03 | 0,05 | 0,07 | 0,1 | 0,15 | 0,2 | 0,25 | 0,3 | 0,4 | 0,5 |
0 | <= 0,8 | 0,04 | 0,07 | 0,1 | 0,15 | 0,18 | 0,22 | 0,26 | 0,31 | 0,34 | 0,37 | 0,41 | 0,45 |
1 | 0,18 | 0,22 | 0,25 | 0,29 | 0,31 | 0,34 | 0,38 | 0,42 | 0,45 | 0,47 | 0,5 | 0,52 |
1,2 | 0,31 | 0,34 | 0,37 | 0,4 | 0,43 | 0,46 | 0,49 | 0,53 | 0,55 | 0,57 | 0,6 | 0,62 |
1,5 | 0,44 | 0,48 | 0,5 | 0,53 | 0,56 | 0,58 | 0,62 | 0,65 | 0,67 | 0,69 | 0,72 | 0,74 |
2 | 0,59 | 0,62 | 0,64 | 0,67 | 0,7 | 0,72 | 0,75 | 0,78 | 0,81 | 0,82 | 0,85 | 0,87 |
3 | 0,74 | 0,77 | 0,79 | 0,82 | 0,84 | 0,86 | 0,89 | 0,92 | 0,95 | 0,96 | 0,99 | 1,01 |
4 | 0,81 | 0,84 | 0,86 | 0,89 | 0,91 | 0,94 | 0,97 | 1 | 1,02 | 1,03 | 1,06 | 1,08 |
0,05 | <= 0,8 | 0,04 | 0,04 | 0,07 | 0,11 | 0,14 | 0,18 | 0,22 | 0,26 | 0,29 | 0,32 | 0,36 | 0,38 |
1,0 | 0,17 | 0,2 | 0,22 | 0,26 | 0,28 | 0,31 | 0,34 | 0,38 | 0,4 | 0,42 | 0,46 | 0,48 |
1,2 | 0,3 | 0,33 | 0,35 | 0,38 | 0,4 | 0,43 | 0,46 | 0,49 | 0,51 | 0,53 | 0,56 | 0,58 |
1,5 | 0,44 | 0,46 | 0,48 | 0,51 | 0,53 | 0,56 | 0,59 | 0,61 | 0,64 | 0,66 | 0,68 | 0,7 |
2 | 0,59 | 0,61 | 0,63 | 0,65 | 0,67 | 0,7 | 0,72 | 0,75 | 0,77 | 0,79 | 0,82 | 0,83 |
3 | 0,74 | 0,76 | 0,78 | 0,8 | 0,82 | 0,84 | 0,87 | 0,89 | 0,91 | 0,93 | 0,95 | 0,97 |
4 | 0,82 | 0,84 | 0,85 | 0,88 | 0,9 | 0,92 | 0,94 | 0,97 | 0,99 | 1 | 1,03 | 1,04 |
0,1 | <= 0,8 | 0,03 | 0,04 | 0,05 | 0,09 | 0,11 | 0,14 | 0,18 | 0,22 | 0,25 | 0,28 | 0,31 | 0,34 |
1 | 0,16 | 0,19 | 0,21 | 0,24 | 0,26 | 0,28 | 0,31 | 0,34 | 0,37 | 0,39 | 0,42 | 0,44 |
1,2 | 0,3 | 0,32 | 0,33 | 0,36 | 0,38 | 0,4 | 0,43 | 0,46 | 0,48 | 0,5 | 0,53 | 0,55 |
1,5 | 0,44 | 0,46 | 0,47 | 0,5 | 0,52 | 0,54 | 0,56 | 0,59 | 0,61 | 0,63 | 0,65 | 0,67 |
2 | 0,59 | 0,61 | 0,62 | 0,64 | 0,66 | 0,68 | 0,7 | 0,73 | 0,75 | 0,76 | 0,79 | 0,8 |
3 | 0,75 | 0,76 | 0,77 | 0,79 | 0,81 | 0,83 | 0,85 | 0,87 | 0,89 | 0,9 | 0,93 | 0,94 |
4 | 0,83 | 0,84 | 0,85 | 0,87 | 0,88 | 0,9 | 0,92 | 0,94 | 0,96 | 0,98 | 1 | 1,02 |
0,2 | <= 0,8 | 0,03 | 0,04 | 0,05 | 0,06 | 0,07 | 0,1 | 0,13 | 0,16 | 0,19 | 0,21 | 0,25 | 0,28 |
1 | 0,15 | 0,17 | 0,19 | 0,21 | 0,23 | 0,25 | 0,27 | 0,3 | 0,32 | 0,34 | 0,37 | 0,39 |
1,2 | 0,29 | 0,31 | 0,32 | 0,34 | 0,35 | 0,37 | 0,4 | 0,42 | 0,44 | 0,45 | 0,48 | 0,5 |
1,5 | 0,44 | 0,45 | 0,46 | 0,48 | 0,49 | 0,51 | 0,53 | 0,55 | 0,57 | 0,58 | 0,61 | 0,63 |
2 | 0,59 | 0,6 | 0,61 | 0,63 | 0,64 | 0,65 | 0,67 | 0,69 | 0,71 | 0,72 | 0,75 | 0,76 |
3 | 0,75 | 0,76 | 0,77 | 0,78 | 0,79 | 0,81 | 0,82 | 0,84 | 0,85 | 0,87 | 0,89 | 0,9 |
4 | 0,83 | 0,84 | 0,85 | 0,86 | 0,87 | 0,88 | 0,9 | 0,91 | 0,93 | 0,94 | 0,96 | 0,98 |
0,3 | <= 0,8 | 0,03 | 0,04 | 0,05 | 0,05 | 0,06 | 0,07 | 0,1 | 0,12 | 0,15 | 0,17 | 0,2 | 0,23 |
1,0 | 0,15 | 0,16 | 0,17 | 0,19 | 0,21 | 0,23 | 0,25 | 0,27 | 0,29 | 0,3 | 0,33 | 0,35 |
1,2 | 0,29 | 0,3 | 0,31 | 0,33 | 0,34 | 0,35 | 0,37 | 0,39 | 0,41 | 0,42 | 0,45 | 0,46 |
1,5 | 0,44 | 0,45 | 0,46 | 0,47 | 0,48 | 0,49 | 0,51 | 0,53 | 0,54 | 0,55 | 0,58 | 0,59 |
2 | 0,59 | 0,6 | 0,61 | 0,62 | 0,63 | 0,64 | 0,66 | 0,67 | 0,68 | 0,7 | 0,72 | 0,73 |
3 | 0,75 | 0,76 | 0,77 | 0,78 | 0,78 | 0,79 | 0,81 | 0,82 | 0,83 | 0,84 | 0,86 | 0,88 |
4 | 0,84 | 0,85 | 0,85 | 0,86 | 0,86 | 0,87 | 0,89 | 0,9 | 0,91 | 0,92 | 0,94 | 0,95 |
0,5 | <= 0,8 | 0,04 | 0,04 | 0,04 | 0,04 | 0,04 | 0,04 | 0,06 | 0,08 | 0,1 | 0,12 | 0,15 | 0,17 |
1 | 0,15 | 0,16 | 0,16 | 0,18 | 0,19 | 0,2 | 0,22 | 0,23 | 0,24 | 0,26 | 0,28 | 0,3 |
1,2 | 0,29 | 0,3 | 0,3 | 0,31 | 0,32 | 0,33 | 0,35 | 0,36 | 0,37 | 0,38 | 0,4 | 0,42 |
1,5 | 0,44 | 0,45 | 0,45 | 0,46 | 0,47 | 0,48 | 0,49 | 0,5 | 0,51 | 0,52 | 0,54 | 0,55 |
2 | 0,6 | 0,61 | 0,61 | 0,62 | 0,62 | 0,63 | 0,64 | 0,65 | 0,66 | 0,67 | 0,68 | 0,69 |
3 | 0,77 | 0,77 | 0,77 | 0,77 | 0,78 | 0,79 | 0,79 | 0,8 | 0,81 | 0,82 | 0,83 | 0,84 |
4 | 0,85 | 0,85 | 0,85 | 0,86 | 0,86 | 0,86 | 0,87 | 0,88 | 0,89 | 0,89 | 0,91 | 0,92 |
>= 0,7 | <= 0,8 | 0,04 | 0,04 | 0,04 | 0,04 | 0,04 | 0,04 | 0,05 | 0,06 | 0,07 | 0,08 | 0,11 | 0,13 |
1 | 0,15 | 0,15 | 0,16 | 0,17 | 0,18 | 0,19 | 0,2 | 0,21 | 0,22 | 0,23 | 0,25 | 0,27 |
1,2 | 0,29 | 0,3 | 0,3 | 0,31 | 0,32 | 0,32 | 0,34 | 0,34 | 0,35 | 0,36 | 0,38 | 0,39 |
1,5 | 0,45 | 0,45 | 0,45 | 0,46 | 0,46 | 0,47 | 0,48 | 0,49 | 0,49 | 0,5 | 0,52 | 0,53 |
2 | 0,61 | 0,61 | 0,61 | 0,61 | 0,62 | 0,62 | 0,63 | 0,64 | 0,64 | 0,65 | 0,66 | 0,67 |
3 | 0,77 | 0,77 | 0,77 | 0,77 | 0,78 | 0,78 | 0,79 | 0,79 | 0,8 | 0,8 | 0,81 | 0,82 |
4 | 0,85 | 0,85 | 0,85 | 0,86 | 0,86 | 0,86 | 0,87 | 0,87 | 0,88 | 0,88 | 0,89 | 0,9 |
При расчете ширины раскрытия начальных трещин рассматриваются сечения с наиболее неблагоприятным совместным действием усилия
N01 и момента внешних сил. Например, при действии момента от собственного веса рассматривается сечение в месте установки монтажной петли (
рис. 54,
б), если ее расстояние от торца элемента
a не менее длины зоны передачи напряжений
lп.н (в этом случае момент от собственного веса определяется при подъеме элемента с учетом коэффициента динамичности 1,5); если расстояние
a от петли (или от прокладки при складировании) до торца элемента существенно меньше
lп.н, то рассматривается сечение в конце зоны передачи напряжений (рис. 54,
в) при моменте от собственного веса без учета коэффициента динамичности.
Рис. 54. Определение ширины раскрытия трещин, нормальных
к продольной оси элемента, в стадии изготовления
а - схема усилий и эпюры напряжений;
б - в - расположение расчетных сечений (I-I и II-II)
по длине элемента; 1 - центр тяжести площади арматуры A;
2 - точка приложения равнодействующей усилий
в сжатой зоне; 3 - монтажная петля
В рассматриваемой стадии усилие N01 и момент M рассматриваются как действующие кратковременно.
Глубина начальных трещин в сжатой зоне, определяемая по формуле  (235) должна быть не более 0,5h. 4.22 (4.14). Для элементов, к трещиностойкости которых предъявляются требования 2-й категории, ширина кратковременного раскрытия трещин определяется от кратковременного действия постоянных и длительных нагрузок и от действия кратковременных нагрузок. При этом величина aт находится по формуле (215) при cд = 1. Для элементов, к трещиностойкости которых предъявляются требования 3-й категории, ширина кратковременного раскрытия трещин определяется как сумма ширины раскрытия от длительного действия постоянных и длительных нагрузок и приращения ширины раскрытия от действия кратковременных нагрузок по формуле |
aт =
aт1 -
aт2 +
aт3, (236)
где aт1 - ширина раскрытия трещин от кратковременного действия полной нагрузки;
aт2 - начальная ширина раскрытия трещин от постоянных и длительных нагрузок (при их кратковременном действии);
aт3 - ширина длительного раскрытия трещин от действия постоянных и длительных нагрузок.

(237)
где
cд - см.
п. 4.18 для случая длительного действия нагрузок; если величина
aт1 определена с учетом
формулы (220), коэффициент
cд в формуле (237) заменяется произведением
cдkд, где
kд - см.
п. 4.19.

,

- определяются по
п. 4.20 соответственно от постоянных и длительных нагрузок и от полной нагрузки.
Для элементов, к трещиностойкости которых предъявляются требования 3-й категории, ширина длительного раскрытия трещин определяется от длительного действия постоянных и длительных нагрузок. При этом величина
aт находится по
формуле (215) при значении
cд, соответствующем длительному действию нагрузки.
РАСЧЕТ ПО РАСКРЫТИЮ ТРЕЩИН, НАКЛОННЫХ
К ПРОДОЛЬНОЙ ОСИ ЭЛЕМЕНТА
4.23 (4.17). Ширина раскрытия трещин, наклонных к продольной оси элемента, aт, мм, для изгибаемых элементов, армированных поперечной арматурой, должна определяться по формуле  (238)  (239) но не менее 8·103, dмакс - наибольший из диаметров хомутов и отогнутых стержней; в сумму (h0 + 30dмакс) величины h0 и dмакс подставляются в мм;  - коэффициент насыщения балки поперечной арматурой, равный:  (240) здесь  - коэффициент насыщения балки хомутами:  (241)  - коэффициент насыщения балки отогнутыми стержнями:  (242) u0 - расстояние между плоскостями отогнутых стержней, измеренное по нормали к ним; при одном отгибе за u0 принимается расстояние между этим отгибом и гранью опоры (рис. 55).  (243) здесь Q - наибольшая поперечная сила на рассматриваемом участке элемента с постоянным насыщением поперечной арматурой. Вблизи свободных опор рассматриваются сечения, расположенные от этих опор на расстоянии не меньше h0. |
Для элементов, нагруженных равномерно распределенной нагрузкой, рассматривается сечение на расстоянии h0 от свободной опоры. При этом, если нагрузка p фактически является сплошной, равномерно распределенной (например, гидростатическое давление, давление грунта и т.д.), значение Q принимается равным:
Q = Qмакс - ph0;
если нагрузка фактически может отсутствовать на участке пролета (например, нагрузка на перекрытие), Q принимается равным Qмакс.
Рис. 55. Учет поперечной и отогнутой арматуры при расчете
железобетонной балки по раскрытию наклонных трещин
а - эпюра насыщения балки отгибами

;
б - эпюра насыщения балки поперечными стержнями

При определении ширины кратковременного и длительного раскрытия наклонных трещин должны учитываться указания
п. 4.22; при этом в
формуле (237) отношение

заменяется на (
tдл/
tп)
2, где
tдл,
tп - см.
п. 4.17.
Расчет производится для каждого участка с постоянным насыщением поперечными и наклонными стержнями (см.
рис. 55).
Допускается уменьшить величину
aт в 1,5 раза против определенной по
формуле (238), если балка армирована поперечными стержнями, нормальными к оси элемента, и продольными стержнями того же диаметра с расстояниями по высоте сечения, равными шагу поперечных стержней.
ПРИМЕРЫ РАСЧЕТА
Пример 32. Дано: элемент нижнего пояса фермы с размерами поперечного сечения:
h = 28 см,
b = 25 см,
a =
a' = 4 см; бетон марки М500 (
RпрII = 280 кгс/см
2;
Eб = 3,25·10
5 кгс/см
2); продольная растягивающая сила от полной нагрузки (при n = 1)
Nп = 103 тс, момент от этой нагрузки
Mп = 4,5 тс·м; продольная сила и момент от постоянных и длительных нагрузок равны:
Nдл = 98 тс и
Mдл = 3 тс·м; предварительное напряжение в арматуре с учетом всех потерь

; остальные данные - по
примеру 29.
Требуется рассчитать элемент по раскрытию нормальных трещин.
Расчет. Проверяем кратковременное и длительное раскрытие трещин.
h0 = 28 - 4 = 24 см.
Определяем эксцентриситеты внешней продольной силы N и равнодействующей Nс относительно центра тяжести приведенного сечения:
Так как
, приращение напряжения в арматуре

определяем по
формуле (230).
eа. н = y - a = 14 - 4 = 10 см;
zа = h0 - a' = 24 - 4 = 20 см;
Ширину раскрытия трещин
aт находим по
формуле (215), принимая
cд = 1,5 (как при длительном действии нагрузки),
k = 1,2 (как для растянутых элементов) и

(так как арматура периодического профиля).
(так как

, принимаем

), т.е. длительное раскрытие трещин меньше предельно допустимого
aт.дл = 0,3 мм.
Кратковременное раскрытие трещин определяем по
формуле (236), для чего находим величины
aт1, aт2, aт3.
Значение aт3 соответствует уже найденному значению aт = 0,15 мм;
Для определения величины
aт1 находим значение
z1 согласно указаниям
п. 4.34
Mз = N02eа. н - Nпeа = 80·103·10 - 103·103·5,63 =
= 2,2·105 кгс·см;
Так как

, значение

рассчитываем, принимая

;

;
T = 0.
Поскольку
появление неупругих деформаций в арматуре предотвращено.
aт = aт 1 - aт 2 + aт 3 = 0,15 - 0,11 + 0,16 = 0,2 мм,
что меньше предельно допустимого значения
aт.кр = 0,4 мм (см.
табл. 1)
.
Пример 33. Дано: плита покрытия - по
рис. 50; марка бетона М300 (
Eб = 2,6·10
5 кгс/см
2); передаточная прочность
R0 = 250 кгс/см
2 
; арматура в верхней зоне плиты класса А-III (
Eа = 2·10
6 кгс/см
2) площадью сечения
Fа = 0,503 кгс/см
2 
; в нижней зоне плиты арматура площадью

; усилие предварительного обжатия с учетом первых потерь
N01 = 23 тс; его эксцентриситет относительно центра тяжести приведенного сечения
e0н = 16,7 см; нагрузка от собственного веса плиты
qс.в = 130 кгс/м (для половины плиты).
Требуется определить ширину раскрытия и глубину нормальных трещин в стадии изготовления.
Расчет. Из расчета по
примеру 30 известно, что в рассматриваемой стадии образуются верхние (начальные) трещины.
Рассмотрим сечение в месте закрепления монтажных петель на расстоянии l1 = 1 м от торца плиты. Момент в этом сечении от собственного веса плиты найдем, как для консоли, с учетом коэффициента динамичности, равного при подъеме 1,5.
Находим напряжение в арматуре

, необходимое для вычисления ширины раскрытия трещин по
формуле (215). Для этой цели вычисляем плечо
z1 согласно указаниям
п. 4.34, в связи с чем определяем следующие величины:
h0 = 35 - 2,5 = 32,5 см;

lа.н = lон + (h - y - a) = 16,7 + (35 - 22 - 2,5) = 27,2 см;
Mз = N01eа. н + Mс. в = 23 000·27,2 + 0,1·105 =
= 6,35 тс·м;
так как z1 < 0,97 eа.с = 0,97·27,64 = 26,8 см, принимаем z1 = 26,7 см.
Для определения величины
aт находим коэффициент

что меньше предельно допустимого значения aт.кр = 0,4 мм.
В этом же сечении определим глубину верхних трещин согласно
п. 4.21:
т.е. меньше 0,5h = 0,5·35 = 17,5 см.
Пример 34. Дано: плита покрытия - по
рис. 50; марка бетона М300 (
Eб = 2,6·10
5 кгс/см
2;
RпрII = 170 кгс/см
2), предварительно-напряженная арматура класса А-IV (
Eа = 2·10
6 кгс/см
2) площадью сечения
Fн = 4,91 см
2 
; ненапряженная арматура растянутая и сжатая класса А-III площадью сечения соответственно
Fа = 0,785 см
2 
и

; усилие предварительного обжатия с учетом всех потерь и
mт = 1:
N02 = 15 тс, его эксцентриситет
e0 н = 16,5 см, предварительное напряжение

; сумма потерь от усадки и ползучести бетона

; максимальный момент от полной нагрузки при
n = 1:
Mп = 6,6 тс·м, в том числе момент от постоянных и длительных нагрузок
Mдл = 6 тс·м; требования к трещиностойкости 3-й категории.
Требуется рассчитать плиту по раскрытию нормальных трещин в стадии эксплуатации.
Расчет. Из расчета по
примеру 30 известно, что в стадии изготовления в верхней зоне плиты образуются начальные трещины; с учетом этих трещин
Mт = 3,17 тс·м <
Mп = 6,6 тс·м. Следовательно, расчет ширины раскрытия нормальных трещин в нижней зоне плиты необходим.
В связи с наличием трещин обжатия уточняем значение
N02. Согласно
п. 4.20 усилие
N02 снижается путем умножения на коэффициент, равный

.
N02 = 15(1 - 0,215) = 11,8 тс
Так как
то согласно
п. 4.17 проверяем длительное раскрытие трещин от действия момента
Mдл (значение
rу.в принято по
примеру 30).
Для определения коэффициента
kт по
табл. 38 находим величины

,

,

:
Mз = M + N02eа. н = 600 000 + 11 800·0,5 = 605 900 кгс·см,
где (eа. н = yц - e0 н - a = 22 - 16,5 - 5 = 0,5 см);
Для нахождения коэффициента
kт принимаем ближайшие значения

и

(

и

); интерполируя только по
eа. с/h0, получаем
kт = 0,545.
Определяем коэффициент

для нижнего ряда арматуры (ненапрягаемой). Принимая
x = 0,5,
h0 = 0,5·30 = 15 см,

вычисляем по
формуле (233):
Для напрягаемой арматуры

.
Определяем напряжение

на уровне центра тяжести всей растянутой арматуры:
Для нижнего ряда арматуры учитываем коэффициент

Находим полное напряжение в предварительно-напряженной арматуре
т.е. требование
п. 4.20 выполняется.
Ширину раскрытия трещин определяем для нижнего ряда арматуры по
формуле (215). Для этого вычисляем значения

и
d.
что меньше предельно допустимого значения aт.дл = 0,3 мм.
Пример 35. Дано: балка покрытия - по
рис. 56; бетон марки М400 (
RрII = 18 кгс/см
2;
Eб = 3·10
5 кгс/см
2;
RпрII = 225 кгс/см
2); продольная арматура из канатов класса К-7 (
Eа = 1,8·10
6 кгс/см
2) площадью сечения
Fн = 7,25 см
2 
и

; с учетом всех потерь и
mт = 1 усилие предварительного обжатия
N02 = 58 тс, его эксцентриситет относительно центра тяжести приведенного сечения
e0 н = 42 см; геометрические характеристики приведенного сечения: расстояние от центра тяжести до растянутой (нижней) грани
yц = 88 см, расстояние от верхней ядровой точки до центра тяжести
rя = 32,5 см, момент сопротивления
W0 = 69 000 см
3, то же, вычисленный без учета растянутых свесов

, момент от полной нагрузки (при
n = 1)
Mп = 65 тс·м, требование к трещиностойкости 2-й категории.
Рис. 56. Поперечное сечение балки покрытия
Требуется рассчитать балку по раскрытию нормальных трещин.
Расчет. Ширину кратковременного раскрытия трещин от действия момента
Mп определяем по
формуле (215). Для этого находим приращение напряжения в арматуре

.
Значение
z1 вычисляем согласно указаниям
п. 4.34.
h0 = h - a = 150 - 12 = 138 см,
Mз = Mп + N02eа. н = 65 + 58·0,34 = 84,7 тс·м
(eа. н = yц - a - e0 н = 88 - 12 - 42 = 34 см).
Поскольку арматура расположена в несколько рядов, определяем

для нижнего ряда; по
формуле (233) находим коэффициент

Для определения величины
aт находим коэффициент армирования

.
т.е. ширина раскрытия трещин больше предельно допустимого значения
aт.кр = 0,15 мм (см.
табл. 1).
Уточняем расчетное значение
aт путем учета работы растянутого бетона над трещинами согласно
п. 4.19, б:
(

, как для таврового элемента со сжатыми полками);
Поскольку расчет ведется на кратковременное действие нагрузки, kб = kн.
Уточненное значение aт = 0,164·0,845 = 0,139 мм, что не превышает предельно допустимое значение aт. кр = 0,15 мм.
Пример 36. Дано: балка покрытия с размерами сечения по
рис. 56; с учетом всех потерь и
mт = 1 усилие предварительного обжатия
N02 = 103 тс; поперечная арматура из стали класса А-III (
Eа = 2·10
6 кгс/см
2) диаметром
dх = 10 мм (
Fх = 0,785 см
2) с расстоянием между хомутами на приопорном участке
u = 40 см; поперечная сила в опорном сечении при
n = 1 от всех нагрузок

, в том числе от постоянных и длительных нагрузок

.
Требуется рассчитать балку по ширине раскрытия наклонных трещин.
Расчет. Рассматриваем сечение на расстоянии h0 от места приложения опорной реакции.
Так как в пределах приопорного участка поперечная нагрузка может отсутствовать, принимаем Q = Qмакс.
Площадь бетонного сечения
F = 150·8 + (36 - 8)24 + (15 - 8)25 = 2045 см2.
Так как отношение
проверяем кратковременное раскрытие трещин от действия всех нагрузок (указанным соотношением пользуемся согласно указаниям
п. 4.17, так как допустимая ширина раскрытия наклонных трещин при поперечной арматуре класса А-III
aт. кр = 0,4 мм и
aт. дл = 0,3 мм).
По
формуле (238) определяем ширину раскрытия трещин
aт1 от кратковременного действия полной нагрузки. Для этого находим величины:
h0 + 30dмакс = 1380 + 30·10 = 1680 мм;
Полную величину
aт определяем по
формуле (237), меняя отношение

на (
tп/
tдл)
2
что меньше предельно допустимого значения aт.кр = 0,4 мм.
РАСЧЕТ ЖЕЛЕЗОБЕТОННЫХ ЭЛЕМЕНТОВ ПО ЗАКРЫТИЮ ТРЕЩИН
4.24 (4.18). Железобетонные элементы должны рассчитываться по закрытию (зажатию) трещин: нормальных к продольной оси элемента; наклонных к продольной оси элемента. Расчет по закрытию трещин производится для зон элементов (см. п. 1.12), к трещиностойкости которых предъявляются требования 2-й категории, если в этих элементах от действия постоянных, длительных и кратковременных нагрузок при коэффициенте перегрузки n > 1 трещины образуются. |
РАСЧЕТ ПО ЗАКРЫТИЮ ТРЕЩИН,
НОРМАЛЬНЫХ К ПРОДОЛЬНОЙ ОСИ ЭЛЕМЕНТА
4.25 (4.19). Для обеспечения надежного закрытия трещин, нормальных к продольной оси элемента, при действии постоянных и длительных нагрузок должны соблюдаться следующие требования: а) сечение элемента с трещинами в растянутой зоне, образовавшимися от действия постоянных, длительных и кратковременных нагрузок, должно оставаться обжатым при действии постоянных и длительных нагрузок, вводимых в расчет с коэффициентом перегрузки n = 1 , с нормальными напряжениями сжатия на растягиваемой внешними нагрузками грани элемента не менее 10 кгс/см 2; при этом величина  определяется, как для упругого тела, от действия внешних нагрузок и усилия предварительного обжатия N02; данное требование соблюдается, если выполняется условие |
где Mз.т - момент, воспринимаемый сечением, нормальным к продольной оси элемента, при закрытии трещин и определяемый по формуле
Mз. т =
N02(
e0 н +
rя)
- 10
W0, (245)
Mя - момент внешних сил относительно оси, проходящей через ядровую точку, определенную, как для упругого материала, наиболее удаленную от растянутой грани; значение Mя определяется по формулам: для изгибаемых элементов Mя = M;
для внецентренно сжатых элементов
Mя = N(e0 - rя); (246)
для внецентренно растянутых элементов
Mя = N(e0 + rя); (247)
rя - расстояние от центра тяжести приведенного сечения до ядровой точки, наиболее удаленной от растягиваемой внешними нагрузками грани элемента, определяемое, как для упругого материала, по формуле
rя = W0/Fп;
10 - требуемое напряжение сжатия на растягиваемой внешними нагрузками грани элемента, кгс/см2;
N02 - определяется с учетом указаний
п. 4.26;
б) в напрягаемой арматуре A от действия постоянных, длительных и кратковременных нагрузок (при коэффициенте перегрузки n = 1) не должны возникать необратимые деформации, что обеспечивается соблюдением условия  (248) где k - коэффициент, принимаемый равным: для проволочной арматуры - 0,65, для стержневой арматуры - 0,8; |

- определяется с учетом указаний
п. 4.26.
В ненапрягаемой арматуре A не должны возникать необратимые деформации, что обеспечивается соблюдением условия

(249)
где

- начальное напряжение в ненапрягаемой арматуре, численно равное сумме потерь предварительного напряжения от усадки и ползучести бетона (
поз. 6,
8,
9 табл. 4), принимаемое таким же, как и при вычислении
; k1 - коэффициент, принимаемый равным:
для стержневой арматуры - 1,
для проволочной арматуры - 0,8.

- приращение напряжений в напрягаемой арматуре или напряжение в ненапрягаемой арматуре, определяемое по
п. 4.20 с учетом коэффициента

; при этом

находится по
формуле (233) при значении
c, равном расстоянию от наиболее растянутой грани элемента до крайнего ряда рассматриваемой арматуры (напрягаемой или ненапрягаемой).
4.26 (4.20). Для участков элементов, имеющих начальные трещины в сжатой зоне (см. п. 4.8), величина  в формуле (248) умножается на коэффициент, равный  , а величина N02 при определении момента Mз. т умножается на коэффициент, равный  , но не более 1, где значения  определяются согласно указаниям п. 4.9. |
РАСЧЕТ ПО ЗАКРЫТИЮ ТРЕЩИН,
НАКЛОННЫХ К ПРОДОЛЬНОЙ ОСИ ЭЛЕМЕНТА
4.27 (4.21). Для обеспечения надежного закрытия трещин, наклонных к продольной оси элемента, оба главных напряжения, определяемые согласно указаниям п. 4.12, должны быть сжимающими и по величине не менее 10 кгс/см 2; выполнение этого требования должно обеспечиваться на уровне центра тяжести приведенного сечения и в местах примыкания сжатых полок к стенке элемента таврового и двутаврового сечений. Указанное требование обеспечивается с помощью предварительно-напряженной поперечной арматуры (хомутов или отогнутых стержней). |
В этом случае требуемая величина сжимающего напряжения в бетоне, вызванная влиянием предварительного напряжения поперечной арматуры

, определяется по формуле

(250)
где

,

,

,

- принимаются в кгс/см
2 и определяются согласно
пп. 4.12 -
4.15; при этом напряжения
, 
подставляются в формулу (250) со знаком "плюс", если они сжимающие, и со знаком "минус", если растягивающие.
Использование
формулы (250) рекомендуется лишь в том случае, если при найденной по ней величине

наклонные трещины образуются, т.е. при действии постоянных, длительных и кратковременных нагрузок с
n > 1 не выполняются
условия (202) и
(203). В противном случае значение

может быть снижено таким образом, чтобы удовлетворить указанным условиям.
ПРИМЕРЫ РАСЧЕТА
Пример 37. Дано: балка покрытия - по
рис. 56; продольная арматура из канатов класса К-7

(
RаII = 17 000 кгс/см
2); предварительное напряжение в арматуре
A (при
mт = 1)

; с учетом всех потерь и
mт = 0,9 усилие предварительного обжатия
N02 = 52 тс, при
mт = 1 усилие
N02 = 58 тс; эксцентриситет усилия предварительного обжатия
e0 н = 42 см; момент от постоянных и длительных нагрузок (при
n = 1)
Mдл = 30 тс·м; конструкция эксплуатируется на открытом воздухе (требования к трещиностойкости 2-й категории); остальные данные - по
примеру 35.
Требуется рассчитать балку по закрытию нормальных трещин.
Mз. т = N02(e0 н + rя) - 10W0 = 52·103(42 + 32,5) -
- 10·69000 = 31,8·105 кгс·см,
т.е.
Mдл = 30 тс·м <
Mз. т = 31,8 тс·м и
условие (244) удовлетворяется.
Для проверки
условия (248) используем определение величины

в
примере 35 по вычислению кратковременного раскрытия нормальных трещин: с учетом коэффициента

.
т.е.
условие (248) удовлетворяется, что гарантирует от возникновения необратимых деформаций в арматуре. Таким образом, при постоянных и длительных нагрузках трещины, образовавшиеся при полной нагрузке, закрыты.
Пример 38. Дано: плита покрытия - по
рис. 50; с учетом всех потерь и
mт = 0,9 усилие предварительного обжатия
N02 = 13,5 тс; при
mт = 1 усилие
N02 = 15 тс, предварительное напряжение в арматуре с учетом всех потерь (при
mт = 1)

; эксцентриситет усилия
N02 относительно центра тяжести сечения
e0 н = 16,5 см; потери от усадки и ползучести бетона

; момент от постоянных, длительных и кратковременных нагрузок: при
n > 1
Mр = 3,3 тс·м, при
n = 1
Mп = 2,6 тс·м, момент от постоянных и длительных нагрузок при
n = 1
Mдл = 2,1 тс·м; плита эксплуатируется в условиях сильно агрессивной среды (2-я категория трещиностойкости); остальные данные - по
примеру 30.
Требуется рассчитать плиту по закрытию трещин.
Расчет. Из
примера 30 известно, что при
mт = 1 и с учетом верхних трещин
Mт = 3,17 тс·м. При коэффициенте
mт = 0,9 момент
Mт снизится. Следовательно,
Mт < Mр = 3,3 тс·м, трещины в растянутой зоне образуются и при действии постоянных и длительных нагрузок они должны быть закрыты (зажаты).
Проверяем
условие (244). Для этого уточняем значение
N02 в связи с наличием верхних трещин, умножая его на коэффициент

N02 = 1,1(1 - 0,215)13,5 = 11,6 тс
Определяем величину rя, как для упругого материала:
Mз. т = N02(e0 н + rя) - 10W0 =
= 11600(16,5 + 5,9) - 10·3260 = 227200 кгс·см =
= 2,27 тс·м > Mдл = 2,1 тс·м,
Из
примера 34 известно, что

;

. Уточняем значение
N02, умножая его на коэффициент

,
N02 = 15000 (1 - 0,215) = 11800 кгс,
Mз = M + N02eа. н = 260000 + 11800·0,5 = 265900 кгс·см,
Для нахождения коэффициента
kт примем по
табл. 38 ближайшие значения

и

(

и

).
Из
табл. 38 получаем
kт = 0,05. Напряжение

на уровне центра тяжести арматуры
A равно:
Напряжение

на уровне нижнего ряда арматуры определяем с учетом коэффициента

(

- см.
пример 34):
Приращение напряжений

в предварительно-напряженной арматуре при

, равно:

.
Полное напряжение в предварительно-напряженной арматуре с учетом верхних трещин
Таким образом, трещины при действии постоянных и длительных нагрузок закрыты.
РАСЧЕТ ЭЛЕМЕНТОВ ЖЕЛЕЗОБЕТОННЫХ КОНСТРУКЦИЙ ПО ДЕФОРМАЦИЯМ
4.28 (4.22). Деформации (прогибы, углы поворота) элементов железобетонных конструкций вычисляют по формулам строительной механики, определяя входящие в них величины кривизны в соответствии с указаниями пп. 4.30 - 4.38. Величина кривизны и деформаций железобетонных элементов отсчитывается от их начального состояния, т.е. от состояния до обжатия. 4.29 (4.23). Величина кривизны определяется: а) для участков элемента, где в растянутой зоне не образуются трещины, нормальные к продольной оси элемента, т.е. выполняется условие (182), либо они закрыты, т.е. выполняются условия (244), (248) и (249), - как для сплошного тела; б) для участков элемента, где в растянутой зоне имеются трещины, нормальные к продольной оси, т.е. не выполняются условия (182), (248), (249), - как отношение разности средних деформаций крайнего волокна сжатой зоны бетона и продольной растянутой арматуры к рабочей высоте сечения элемента. Элементы или участки элементов рассматриваются без трещин в растянутой зоне, если трещины не образуются при действии постоянных, длительных и кратковременных нагрузок или они закрыты при действии постоянных и длительных нагрузок; при этом нагрузки вводятся в расчет с коэффициентом перегрузки n = 1. |
ОПРЕДЕЛЕНИЕ КРИВИЗНЫ ЖЕЛЕЗОБЕТОННЫХ ЭЛЕМЕНТОВ
НА УЧАСТКАХ БЕЗ ТРЕЩИН В РАСТЯНУТОЙ ЗОНЕ
4.30 (4.24). На участках, где не образуются нормальные к продольной оси трещины, полная величина кривизны изгибаемых, внецентренно сжатых и внецентренно растянутых элементов должна определяться по формуле <1> -------------------------------- <1> При ограничении прогибов по эстетическим требованиям кривизна  в формуле (251) принимается равной нулю.  (251) где  и  - кривизны соответственно от кратковременных нагрузок (определяемых согласно указаниям п. 1.10) и от длительного действия постоянных и длительных нагрузок (без учета усилия N0) , определяемые по формуле  (252) здесь c - коэффициент, учитывающий влияние длительной ползучести бетона и принимаемый равным: при действии кратковременных нагрузок - c = 1; при действии постоянных и длительных, а также многократно повторяющихся нагрузок: а) в условиях эксплуатации конструкций при влажности воздуха окружающей среды выше 40% - c = 2; б) то же, 40% и ниже - c = 3;  - кривизна, обусловленная выгибом элемента от кратковременного действия усилия предварительного обжатия и определяемая по формуле  (253)  - кривизна, обусловленная выгибом элемента вследствие усадки и ползучести бетона от усилия предварительного обжатия и определяемая по формуле  (254) здесь  и  - относительные деформации бетона, вызванные его усадкой и ползучестью от усилия предварительного обжатия, определяемые соответственно на уровне центра тяжести растянутой продольной арматуры и крайнего сжатого волокна бетона по формулам  (255) Величина  (в кгс/см 2) принимается численно равной сумме потерь предварительного напряжения арматуры от усадки и ползучести бетона по поз. 6, 8, 9 табл. 4 для арматуры растянутой зоны, а  - то же, для напрягаемой арматуры, если бы она имелась на уровне крайнего сжатого волокна бетона (т.е.  определяется как при наличии, так и отсутствии арматуры в сжатой зоне). |
При определении

и

напряжения в бетоне

находятся по
формуле (11) соответственно на уровне центра тяжести арматуры
A и крайнего сжатого волокна бетона. Потери от усадки бетона при определении

принимаются равными нулю, если в стадии изготовления в зоне, растянутой от действия усилия
N01, образуются трещины; в этом случае

.
Сумму

при определении кривизны по
формуле (251) допускается принимать не менее (
N02e0 нcдл)/(0,85
EбIп), где
cдл - значение коэффициента
c при действии постоянных и длительных нагрузок.
В случае, когда моменты
M и

имеют одинаковые направления вращения (например, на защемленных опорах неразрезных балок), кривизны

и

в
формулу (251) вводятся со знаком "плюс".
4.31 (4.25). При определении кривизны участков элементов с начальными трещинами в сжатой зоне (см. п. 4.8) величины  ,  и  , определенные по формулам (252) и (253), должны быть увеличены на 15%, а величина  , определенная по формуле (254), - на 25%. 4.32 (4.26). На участках, где образуются нормальные трещины, но при действии рассматриваемой нагрузки обеспечено их закрытие, величины кривизн  ,  ,  , входящие в формулу (251), увеличиваются на 20%. |
ОПРЕДЕЛЕНИЕ КРИВИЗНЫ ЖЕЛЕЗОБЕТОННЫХ ЭЛЕМЕНТОВ
НА УЧАСТКАХ С ТРЕЩИНАМИ В РАСТЯНУТОЙ ЗОНЕ
4.33 (4.27). На участках, где образуются нормальные к продольной оси элемента трещины, кривизны изгибаемых, внецентренно сжатых, а также внецентренно растянутых при e0 с >= 0,8 h0 [ e0 с - см. условие (228)] элементов прямоугольного, таврового и двутаврового (коробчатого) сечений должны определяться по формуле  (256) где Mз - момент (заменяющий) относительно оси, нормальной к плоскости действия момента и проходящей через центр тяжести площади сечения арматуры A, от всех внешних сил, расположенных по одну сторону от рассматриваемого сечения, и от усилия предварительного обжатия N0, вычисляемый по формулам: Mз = +/- M +/- N0eа. н, (257) |
Рис. 57. Определение заменяющего момента Mз
и коэффициента m для изгибаемого элемента
сечение 1-1:
Mз =
M +
N0eа. н;

;
сечение 2-2:
Mз =
N0eа. н - M;

;
сечение 3-3:
Mз =
N0eа. н +
M;

;
1 - ядровая точка; 2 - центр тяжести площади
приведенного сечения; 3 - центр тяжести площади арматуры A
для внецентренно сжатых и внецентренно растянутых элементов
Mз = +/- Neа +/- N0eа. н, (258)
при этом знак определяется направлением вращения моментов; за положительные принимаются моменты, вызывающие растяжение в арматуре
A (рис. 57);
Nс - равнодействующая продольной силы N и усилия предварительного обжатия N0:
Nс = N0 +/- N, (259)
в формуле (259) растягивающее усилие
N принимается со знаком "минус"; при этом к внецентренно растянутым элементам относятся элементы, растянутые усилием
Nс; в
формулу (256) усилие
Nс подставляется со своим знаком;
z1 - расстояние от центра тяжести площади сечения арматуры A до точки приложения равнодействующей усилий в сжатой зоне сечения над трещиной, определяемое по указаниям п. 4.34;  - коэффициент, учитывающий работу растянутого бетона на участке с трещинами и определяемый по указаниям п. 4.35;  - коэффициент, учитывающий неравномерность распределения деформаций крайнего сжатого волокна бетона по длине участка с трещинами, принимаемый равным 0,9;  - определяется согласно указаниям п. 4.34;  - коэффициент, характеризующий упругопластическое состояние бетона сжатой зоны и принимаемый равным: при кратковременном действии нагрузки -  ; при длительном действии нагрузки: а) в условиях эксплуатации конструкций при влажности воздуха окружающей среды <1> выше 40% -  ; б) то же, 40% и ниже -  . -------------------------------- <1> Влажность воздуха окружающей среды принимается согласно п. 1.6. При определении кривизны элементов на участках с начальными трещинами в сжатой зоне (см. п. 4.8) значение . N0 снижается путем умножения на коэффициент, равный  , где  см. п. 4.9. |
При применении арматуры A, располагаемой в несколько рядов по высоте сечения, кривизны определяются в предположении, что все стержни сосредоточены на уровне центра тяжести этой арматуры.
4.34
(4.28). Величина

вычисляется по формуле
 (260) но принимается не более 1. Для второго слагаемого правой части формулы (260) верхние знаки принимаются при сжимающем, а нижние - при растягивающем усилии Nс (см. п. 4.33).  (261)  (262)  (263)  (264) eа. с - эксцентриситет силы Nс относительно центра тяжести площади сечения арматуры A; соответствует заменяющему моменту Mз (см. п. 4.33) и определяется по формуле |

(265)
В
формуле (260) величина
eа. с/
h0 для изгибаемых и внецентренно сжатых элементов принимается не менее 0,5.
Величина z1 вычисляется по формуле
 (266) Для внецентренно сжатых элементов величина z1 должна приниматься не более 0,97 eа. с. Для элементов прямоугольного сечения и таврового с полкой в растянутой зоне в формулы (262), (263) и (266) вместо величины  подставляются величины 2 a' или  соответственно при наличии или отсутствии арматуры A'. |
Определение

,
z1 и

для сечений, имеющих полку в сжатой зоне, при

производят как прямоугольных шириной

, принимая:
Расчетная ширина полки

определяется согласно указаниям
п. 3.16.
Если соблюдается условие

(267)
величины

,

,
z1 и

следует определять без учета арматуры
A'.
4.35 (4.29). Величина коэффициента  определяется по формуле  (268) но принимается не более 1; при этом следует принимать eа. с/h0 >= 1,2/s. В формуле (268): s - коэффициент, учитывающий влияние длительности действия нагрузки и принимаемый равным: при кратковременном действии нагрузки: а) для стержневой арматуры: гладкой - 1; периодического профиля - 1,1; б) для проволочной арматуры - 1; при длительном действии нагрузки - 0,8;  (269) но не более 1;  и  - см. п. 4.5; при этом за положительные принимаются моменты, вызывающие растяжение в арматуре A (см. рис. 57). |
4.36. Кривизны

внецентренно растянутых элементов (
N >
N0) с эксцентриситетом
e0 с < 0,8
h0 [
e0 с - см.
условие (228) п. 4.20] на участках с нормальными трещинами в растянутой зоне определяются по формуле <1>
--------------------------------
<1> При центральном растяжении арматура
A располагается у одной из граней элемента, арматура
A' - у противоположной; при этом

.

(270)
где Nс - равнодействующая продольной силы N и усилия предварительного обжатия N0, равная:
Nс = N - N0, (271)
eа. с - эксцентриситет силы N0 относительно центра тяжести площади сечения арматуры A, определяемый по формуле

(272)
zа - расстояние между центрами тяжести площадей арматура A и A';

и

- коэффициенты, учитывающие работу растянутого бетона между трещинами, соответственно для арматуры
A и
A'.
Если силы
Nс или
N приложены между центрами тяжести площадей арматуры
A и
A', то в
формулах (270) и
(272) соответствующие эксцентриситеты
eа. с или
eа принимаются со знаком "минус".
Значения коэффициентов

и

вычисляются по формулам:

(273)

(274)
Nс. т - усилие, приложенное в той же точке, что и сила Nс, соответствующее образованию трещин в более растянутой зоне сечения;

- то же, в менее растянутой зоне сечения;
s - коэффициент, учитывающий длительность действия нагрузки и принимаемый равным:
а) при кратковременном действии нагрузки s = 0,7;
б) при длительном действии нагрузки s = 0,35.
Отношение
Nс.т/Nс в
формулах (273) и
(274) принимается не более единицы. При эксцентриситете 0,8
h0 >
e0 с >
y -
a, (где
y - расстояние от более растянутой грани до центра тяжести приведенного сечения) коэффициент

определяется по
формуле (274) при отношении

, равном единице.
Значения
Nс.т и

определяются по формулам:

(275)
где

,
, rу.в, rу.н - см.
п. 4.7.
4.37 (4.30). Полная величина кривизны  для участка с трещинами в растянутой зоне должна определяться по формуле <1> -------------------------------- <1> При ограничении прогибов по эстетическим требованиям кривизны  и  в формуле (276) принимаются равными нулю. Формулой (276) нельзя пользоваться при определении полной кривизны элементов, рассчитываемых на выносливость (см. п. 4.38).  (276) где  - кривизна от кратковременного действия всей нагрузки, на которую производится расчет по деформациям согласно указаниям п. 1.17;  - кривизна от кратковременного действия постоянных и длительных нагрузок;  - кривизна от длительного действия постоянных и длительных нагрузок;  - кривизна, обусловленная выгибом элемента вследствие усадки и ползучести бетона от усилия предварительного обжатия и определяемая по формуле (254) с учетом указаний п. 4.31. Кривизны  ,  и  определяются по формулам (256) и (270); при этом  и  вычисляются при величинах  и  , отвечающих кратковременному действию нагрузки, а кривизна  - при  и  , отвечающих длительному действию нагрузки. Если величины  и  оказываются отрицательными, то они принимаются равными нулю. |
Если моменты от внешних нагрузок и от усилия
N0 относительно центра тяжести арматуры
A имеют одинаковое направление вращения (например, на защемленной опоре неразрезной балки), кривизна

в
формулу (276) вводится со знаком "плюс".
4.38. Полная величина кривизны

для участка с трещинами в растянутой зоне элементов, рассчитываемых на выносливость, при действии многократно повторяющейся нагрузки определяется по формуле

(277)
где

и

- то же, что в
формуле (276), с учетом многократно повторяющейся нагрузки;

- кривизна от длительного действия постоянных и длительных нагрузок без учета многократно повторяющейся нагрузки; определяют согласно
пп. 4.33 -
4.35, принимая коэффициенты

и

равными единице;

- кривизна от длительного действия многократно повторяющейся нагрузки; определяют согласно
пп. 4.33 -
4.35, принимая коэффициенты

и

равными единице и коэффициент

равным 0,3;
4.39 (4.31). Прогиб fм, обусловленный деформацией изгиба, определяется по формуле  (278) где  - изгибающий момент в сечении x от действия единичной силы, приложенной по направлению искомого перемещения элемента в сечении по длине пролета, для которого определяется прогиб;  - полная величина кривизны элемента в сечении x от нагрузки, при которой определяется прогиб. |
При определении прогиба в середине пролета балочных элементов
формула (278) может быть приведена к виду

(279)
где

и

- кривизны элемента в сечении
i, симметричном сечению
(рис. 58), и в середине пролета

;

и

- кривизны элемента соответственно на левой и правой опорах;
n - четное число равных участков, на которые разделяется пролет элемента, число n рекомендуется принимать не менее 6.
Рис. 58. Эпюра кривизн в железобетонном элементе
с переменным по длине сечением
При определении прогибов статически неопределимых конструкций рекомендуется учитывать перераспределение моментов, вызванное образованием трещин и неупругими деформациями бетона, согласно указаниям "
Руководства по расчету статически неопределимых железобетонных конструкций".
4.40 ( 4.32, 4.33). Для изгибаемых элементов при l/ h < 10 необходимо учитывать влияние поперечных сил на их прогиб. В этом случае полный прогиб f равен сумме прогибов, обусловленных соответственно деформацией изгиба fм и деформацией сдвига fQ. Прогиб fQ, обусловленный деформацией сдвига, определяется по формуле  (280) где  - поперечная сила в сечении x от действия по направлению искомого перемещения единичной силы, приложенной в сечении, где определяется прогиб;  - деформация сдвига, определяемая по формуле  (281) здесь Q(x) - поперечная сила в сечении x от действия внешней нагрузки; G - модуль сдвига бетона (см. п. 2.13);  - коэффициент, учитывающий влияние трещин на деформации сдвига и принимаемый равным: на участках по длине элемента, где отсутствуют нормальные и наклонные к продольной оси элемента трещины, - 1; на участках, где имеются только наклонные к продольной оси элемента трещины, - 4,8; на участках, где имеются только нормальные или нормальные и наклонные к продольной оси элемента трещины, - по формуле  (282) В формуле (282): M( x) и  - соответственно момент от внешней нагрузки и полная кривизна в сечении x от нагрузки, при которой определяется прогиб, при ее кратковременном действии; c - коэффициент, учитывающий влияние длительной ползучести бетона и принимаемый по п. 4.30. |
ОПРЕДЕЛЕНИЕ ПРОДОЛЬНЫХ ДЕФОРМАЦИЙ
4.41. Относительные деформации

(удлинение или укорочение) в направлении продольной оси элементов определяются следующим образом.
1. Для изгибаемых, внецентренно сжатых и внецентренно растянутых элементов с двухзначной эпюрой напряжений в сечении

определяют:
а) на участках без трещин в растянутой зоне по формуле

(283)
б) на участках с трещинами элементов, указанных в
п. 4.33, по формуле

(284)
где

и

- соответственно средние величины относительного удлинения арматуры и относительного укорочения крайнего сжатого волокна бетона на участке между трещинами, определяемые по формулам

(285)

(286)
в) на участках внецентренно растянутых элементов, указанных в
п. 4.36, по формуле

(287)
где

(288)

(289)
2. Для внецентренно сжатых и внецентренно растянутых элементов с однозначной эпюрой в сечении

определяют:
а) на участках внецентренно сжатых элементов без трещин в растянутой зоне по формуле

(290)
б) на участках внецентренно сжатых элементов, в которых от действия полной нагрузки образуются трещины в растянутой зоне,

находится по формуле (290) с последующим увеличением на 20%
;
в) на участках внецентренно растянутых элементов при отсутствии трещин

(291)
г) то же, при наличии трещин

(292)
где

,

- определяются по
формулам (288),
(289); при этом в выражении для

значение

принимается со знаком "минус".
В формулах настоящего пункта:
yб, 
- расстояние до рассматриваемого волокна соответственно от крайнего сжатого волокна и от центра тяжести арматуры
A';
y0 - то же, от центра тяжести приведенного сечения;
деформации

со знаком "плюс" отвечают укорочению и со знаком "минус" - удлинению.
При одновременном действии кратковременных и длительных нагрузок порядок вычисления

аналогичен определению полной кривизны согласно
п. 4.37.
4.42. Укорочение (удлинение) элементов на уровне рассматриваемого волокна определяется по формуле

(293)
где

- относительные продольные деформации в сечении, расположенном посередине участка длиной
li,
n - число участков, на которые разбивается длина элемента l.
Прогибы ферм определяются по формуле

(294)
где

- продольная сила в
i-м стержне фермы от действия единичной силы по направлению искомого перемещения фермы, приложенной в сечении по длине элемента, для которого определяется прогиб;

- укорочение (удлинение)
i-го стержня фермы, определяемое по
формуле (293) на уровне центра тяжести сечения.
4.43. Контрольный прогиб элемента, замеряемый при испытании, т.е. фактическое перемещение под действием только контрольной нагрузки от состояния, вызванного действием собственного веса и усилия предварительного обжатия, для железобетонных элементов с трещинами (в растянутой, сжатой или в той и другой зонах) определяется по формуле
где
f1 - полный прогиб элемента от действия всей внешней нагрузки (контрольной и собственного веса) и усилия предварительного обжатия; вычисляется согласно указаниям
пп. 4.39 -
4.40,
4.45 -
4.46;
f2 - выгиб (принимается со знаком "плюс",
рис. 59,
а) или прогиб (принимается со знаком "минус",
рис. 59,
б) от собственного веса и усилия предварительного обжатия; при этом, если от совместного действия усилия предварительного обжатия и собственного веса растянута верхняя зона балки и в этой зоне имеются начальные трещины, величина
f2 определяется, как для элементов с трещинами в растянутой зоне (т.е. рассматривается балка в перевернутом положении); величина
f2 вычисляется по значениям кривизн, определенным согласно
пп. 4.30 -
4.32 при отсутствии трещин в растянутой зоне и по
пп. 4.33 -
4.35 или
п. 4.45 - при их наличии.
Рис. 59. Определение контрольного прогиба f,
замеряемого при испытании
а - при наличии перед началом испытания выгиба f2;
б - при наличии перед началом испытания прогиба f3
При определении
f1 и
f2 рекомендуется не учитывать кривизну

[так как при расчете по
формуле (295) члены с

взаимно уничтожаются].
Если при действии всей внешней нагрузки трещины отсутствуют в растянутой зоне и, кроме того, отсутствуют начальные трещины в сжатой зоне, контрольный прогиб f определяется по формуле

(296)
где Mконт - момент от контрольной нагрузки (внешней нагрузки без учета собственного веса);
ПРИБЛИЖЕННЫЕ МЕТОДЫ РАСЧЕТА ДЕФОРМАЦИЙ
4.44. Прогибы железобетонных изгибаемых элементов постоянного сечения, эксплуатируемых при влажности воздуха окружающей среды выше 40%, заведомо меньше предельно допустимых, если выполняется условие

(297)
где

- граничное отношение пролета элемента к рабочей высоте сечения, определяемое по
табл. 39.
При l/h < 10 прогибы заведомо меньше предельно допустимых, если выполняется условие (298), учитывающее влияние поперечных сил на деформации элемента,

(298)
Табличные значения

отвечают длительному действию равномерно распределенной нагрузки на свободно опертую балку при предельно допустимом прогибе, равном
l/200
. Причем для элементов, армированных стержневой арматурой,

определено при электротермическом способе натяжения, армированных проволочной арматурой - при механическом способе натяжения арматуры на упоры; значения

без учета потерь соответствуют максимально допустимым величинам (см.
п. 1.21); значения

приняты с учетом допустимых отклонений
p и всех видов потерь, указанных в
табл. 4.
Если предельно допустимые прогибы (см.
п. 1.17) меньше
l/200
, табличные значения

должны быть уменьшены в (1/200:
f/
l) раз (например, при
f/
l = 1/300 в 1,5 раза, при
f/
l = 1/400 в 2 раза).
Примечание. Если нагрузка отличается от равномерно распределенной, значения коэффициента

могут быть увеличены путем умножения его табличных значений на отношение
, где
S - коэффициент, принимаемый по
табл. 42 в зависимости от схемы загружения.
Форма сечения | | | Значения  при значениях  , равных |
0,02 | 0,04 | 0,07 | 0,1 | 0,15 | 0,2 |
| 0 | 0 | 25 --- 16 | 18 --- 14 | 13 --- 15 | 11 --- 16 | 12 --- 17 | 13 --- 17 |
| 0,2 | 0 | 28 --- 18 | 19 --- 14 | 13 --- 10 | 11 --- 12 | 10 --- 12 | 10 --- 13 |
0,4 | 0 | 30 --- 20 | 21 --- 15 | 14 --- 8 | 9 --- 9 | 9 --- 9 | 9 --- 10 |
0,6 | 0 | 35 --- 25 | 25 --- 16 | 17 --- 8 | 10 --- 8 | 9 --- 8 | 8 --- 9 |
0,8 | 0 | 40 --- 27 | 30 --- 18 | 19 --- 9 | 12 --- 8 | 11 --- 10 | 9 --- 12 |
1 | 0 | 45 --- 30 | 35 --- 19 | 21 --- 9 | 12 --- 10 | 11 --- 14 | 11 --- 15 |
| 0 | 0,2 | 27 --- 18 | 21 --- 15 | 14 --- 17 | 12 --- 17 | 14 --- 18 | 16 --- 18 |
0 | 0,4 | 28 --- 19 | 22 --- 15 | 15 --- 18 | 13 --- 18 | 15 --- 19 | 17 --- 19 |
0 | 0,6 | 29 --- 20 | 25 --- 16 | 16 --- 19 | 14 --- 19 | 16 --- 20 | 18 --- 27 |
0 | 0,8 | 30 --- 21 | 27 --- 16 | 17 --- 20 | 15 --- 20 | 17 --- 21 | 19 --- 22 |
0 | 1 | 31 --- 22 | 29 --- 16 | 17 --- 21 | 15 --- 21 | 17 --- 22 | 19 --- 23 |
| 0,2 | 0,2 | 30 --- 16 | 22 --- 13 | 18 --- 14 | 13 --- 15 | 12 --- 16 | 13 --- 17 |
0,4 | 0,4 | 32 --- 20 | 28 --- 15 | 20 --- 13 | 15 --- 14 | 12 --- 15 | 12 --- 16 |
0,6 | 0,6 | 36 --- 25 | 29 --- 16 | 22 --- 13 | 17 --- 15 | 14 --- 16 | 12 --- 17 |
0,8 | 0,8 | 40 --- 30 | 34 --- 19 | 27 --- 14 | 20 --- 13 | 15 --- 14 | 13 --- 15 |
1 | 1 | 45 --- 30 | 37 --- 21 | 30 --- 15 | 23 --- 13 | 17 --- 14 | 15 --- 17 |
Примечание. Значения
, находящиеся над чертой, применяются при армировании стержневой арматурой, под чертой - проволочной.
ОПРЕДЕЛЕНИЕ КРИВИЗНЫ
4.45. Для изгибаемых и внецентренно сжатых элементов прямоугольного, таврового и двутаврового (коробчатого) сечений, эксплуатируемых при влажности воздуха окружающей среды выше 40%, кривизну на участках с трещинами

в растянутой зоне допускается определять по формуле
<1>

(299)
yA - расстояние от центра тяжести приведенного сечения до центра тяжести сечения арматуры A;
k1, k2, k3 - коэффициенты, определяемые по
табл. 40 и
41.
Полную кривизну для указанных выше элементов допускается определять по формуле
<2>

(300)
--------------------------------
<2> Определение полной кривизны по
формуле (300) соответствует расчету по
формуле (276). При ограничении прогибов по эстетическим требованиям момент
Mз.кр в
формуле (300) принимается равным нулю.
Здесь
Mз.кр и
Mз.дл - заменяющие моменты, определяемые, согласно указаниям
п. 4.33, соответственно от кратковременных нагрузок (см.
п. 1.10), от длительного действия постоянных и длительных нагрузок;
k1 кр, k1 дл, k2 дл, k3 дл - коэффициенты k1, k2 и k3, отвечающие соответственно кратковременному или длительному действию нагрузки;
При определении кривизны элементов на участках с начальными трещинами в сжатой зоне усилие
Nс определяется с учетом снижения величины
N0 согласно
п. 4.33.
ОПРЕДЕЛЕНИЕ ПРОГИБОВ
4.46. Для изгибаемых элементов при
l/
h >= 10 полный прогиб принимается равным прогибу
fм, обусловленному деформацией изгиба.
Прогиб fм изгибаемых элементов определяется следующим образом.
а) Для элементов постоянного сечения, работающих как свободно опертые или консольные балки, - по формуле

(301)
где

- полная кривизна в сечении с наибольшим изгибающим моментом от нагрузки, при которой определяется прогиб; вычисляется согласно
п. 4.30 при отсутствии трещин в растянутой зоне и по
пп. 4.37,
4.38,
4.45 - при их наличии.
| | | Коэффициент k1 при значениях , равных | Коэффициент k2 при значениях , равных |
0,02 | 0,03 | 0,04 | 0,05 | 0,06 | 0,07 | 0,08 | 0,1 | 0,13 | 0,15 | 0,17 | 0,2 | 0,25 | 0,3 | 0,35 | 0,4 | 0,45 | 0,5 | 0,04 | 0,04 - 0,08 | 0,08 - 0,15 | 0,15 - 0,3 | 0,3 - 0,5 |
Длительное действие нагрузки | 0 | 0 | 0,43 | 0,39 | 0,36 | 0,34 | 0,32 | 0,3 | 0,28 | 0,26 | 0,23 | 0,22 | 0,21 | 0,19 | 0,16 | 0,14 | 0,13 | 0,12 | 0,11 | 0,1 | 0,1 | 0,07 | 0,04 | 0 | 0 |
0 | 0,2 | 0,49 | 0,46 | 0,44 | 0,42 | 0,41 | 0,39 | 0,37 | 0,35 | 0,31 | 0,29 | 0,27 | 0,25 | 0,21 | 0,19 | 0,17 | 0,16 | 0,14 | 0,13 | 0,12 | 0,09 | 0,05 | 0 | 0 |
0 | 0,4 | 0,52 | 0,49 | 0,47 | 0,46 | 0,45 | 0,44 | 0,42 | 0,4 | 0,38 | 0,35 | 0,33 | 0,31 | 0,26 | 0,24 | 0,22 | 0,2 | 0,18 | 0,17 | 0,13 | 0,1 | 0,06 | 0,02 | 0 |
0 | 0,6 | 0,54 | 0,51 | 0,49 | 0,48 | 0,47 | 0,46 | 0,44 | 0,43 | 0,42 | 0,39 | 0,37 | 0,35 | 0,31 | 0,28 | 0,25 | 0,23 | 0,22 | 0,2 | 0,13 | 0,11 | 0,08 | 0,02 | 0 |
0 | 0,8 | 0,56 | 0,53 | 0,51 | 0,49 | 0,48 | 0,47 | 0,46 | 0,45 | 0,44 | 0,42 | 0,4 | 0,38 | 0,35 | 0,32 | 0,29 | 0,27 | 0,25 | 0,23 | 0,14 | 0,12 | 0,09 | 0,04 | 0 |
0 | 1,0 | 0,57 | 0,54 | 0,52 | 0,51 | 0,5 | 0,49 | 0,48 | 0,47 | 0,46 | 0,44 | 0,42 | 0,41 | 0,38 | 0,35 | 0,32 | 0,3 | 0,28 | 0,26 | 0,15 | 0,13 | 0,1 | 0,06 | 0 |
0,2 | 0 | 0,47 | 0,40 | 0,36 | 0,33 | 0,31 | 0,3 | 0,28 | 0,26 | 0,23 | 0,22 | 0,21 | 0,19 | 0,16 | 0,14 | 0,13 | 0,11 | 0,11 | 0,1 | 0,15 | 0,12 | 0,08 | 0,03 | 0 |
0,4 | 0 | - | 0,42 | 0,36 | 0,33 | 0,31 | 0,3 | 0,28 | 0,26 | 0,22 | 0,21 | 0,2 | 0,19 | 0,16 | 0,14 | 0,13 | 0,11 | 0,1 | 0,1 | 0,18 | 0,16 | 0,13 | 0,06 | 0,02 |
0,6 | 0 | - | 0,43 | 0,37 | 0,33 | 0,31 | 0,3 | 0,27 | 0,25 | 0,22 | 0,21 | 0,2 | 0,18 | 0,15 | 0,14 | 0,12 | 0,11 | 0,1 | 0,1 | 0,2 | 0,19 | 0,17 | 0,09 | 0,03 |
0,8 | 0 | - | - | 0,38 | 0,33 | 0,3 | 0,29 | 0,27 | 0,24 | 0,22 | 0,21 | 0,2 | 0,17 | 0,15 | 0,14 | 0,12 | 0,11 | 0,1 | 0,1 | 0,23 | 0,22 | 0,2 | 0,12 | 0,05 |
1,0 | 0 | - | - | 0,4 | 0,33 | 0,3 | 0,29 | 0,27 | 0,24 | 0,22 | 0,2 | 0,19 | 0,17 | 0,15 | 0,14 | 0,12 | 0,11 | 0,1 | 0,1 | 0,25 | 0,24 | 0,23 | 0,14 | 0,06 |
0,2 | 0,2 | 0,51 | 0,45 | 0,43 | 0,40 | 0,38 | 0,37 | 0,36 | 0,34 | 0,3 | 0,28 | 0,26 | 0,24 | 0,21 | 0,19 | 0,17 | 0,16 | 0,14 | 0,13 | 0,16 | 0,13 | 0,08 | 0,04 | 0 |
0,4 | 0,4 | - | 0,53 | 0,49 | 0,47 | 0,45 | 0,43 | 0,42 | 0,39 | 0,37 | 0,35 | 0,33 | 0,3 | 0,26 | 0,23 | 0,21 | 0,2 | 0,18 | 0,17 | 0,2 | 0,19 | 0,14 | 0,07 | 0,03 |
0,6 | 0,6 | - | - | 0,53 | 0,50 | 0,48 | 0,46 | 0,44 | 0,41 | 0,39 | 0,38 | 0,36 | 0,34 | 0,31 | 0,28 | 0,25 | 0,23 | 0,21 | 0,2 | 0,24 | 0,22 | 0,2 | 0,12 | 0,04 |
0,8 | 0,8 | - | - | - | 0,53 | 0,5 | 0,48 | 0,46 | 0,44 | 0,41 | 0,39 | 0,38 | 0,37 | 0,34 | 0,31 | 0,29 | 0,26 | 0,25 | 0,23 | - | 0,25 | 0,24 | 0,19 | 0,08 |
1,0 | 1,0 | - | - | - | 0,61 | 0,53 | 0,5 | 0,48 | 0,45 | 0,43 | 0,4 | 0,39 | 0,38 | 0,36 | 0,34 | 0,32 | 0,29 | 0,27 | 0,26 | - | 0,26 | 0,25 | 0,2 | 0,12 |
Кратковременное действие нагрузки | 0 | 0 | 0,64 | 0,59 | 0,56 | 0,53 | 0,51 | 0,5 | 0,49 | 0,46 | 0,43 | 0,41 | 0,4 | 0,37 | 0,34 | 0,32 | 0,3 | 0,28 | 0,26 | 0,25 | 0,17 | 0,14 | 0,09 | 0,02 | 0 |
0 | 0,2 | 0,72 | 0,66 | 0,63 | 0,61 | 0,59 | 0,58 | 0,57 | 0,56 | 0,53 | 0,51 | 0,49 | 0,46 | 0,43 | 0,4 | 0,37 | 0,35 | 0,33 | 0,31 | 0,21 | 0,18 | 0,11 | 0,03 | 0 |
0 | 0,4 | 0,76 | 0,69 | 0,66 | 0,65 | 0,63 | 0,62 | 0,61 | 0,6 | 0,59 | 0,57 | 0,56 | 0,53 | 0,49 | 0,46 | 0,44 | 0,41 | 0,39 | 0,37 | 0,23 | 0,2 | 0,14 | 0,04 | 0 |
0 | 0,6 | 0,79 | 0,71 | 0,69 | 0,67 | 0,65 | 0,64 | 0,63 | 0,63 | 0,62 | 0,61 | 0,6 | 0,58 | 0,55 | 0,52 | 0,49 | 0,46 | 0,44 | 0,42 | 0,25 | 0,21 | 0,16 | 0,05 | 0 |
0 | 0,8 | 0,82 | 0,73 | 0,7 | 0,68 | 0,67 | 0,66 | 0,65 | 0,65 | 0,64 | 0,63 | 0,63 | 0,61 | 0,58 | 0,56 | 0,53 | 0,5 | 0,48 | 0,46 | 0,26 | 0,23 | 0,17 | 0,06 | 0 |
0 | 1,0 | 0,84 | 0,74 | 0,71 | 0,69 | 0,68 | 0,67 | 0,66 | 0,66 | 0,66 | 0,65 | 0,65 | 0,63 | 0,61 | 0,59 | 0,56 | 0,54 | 0,52 | 0,5 | 0,27 | 0,24 | 0,18 | 0,07 | 0 |
0 | 0 | 0,74 | 0,6 | 0,56 | 0,53 | 0,51 | 0,49 | 0,47 | 0,44 | 0,42 | 0,4 | 0,39 | 0,37 | 0,34 | 0,32 | 0,3 | 0,28 | 0,26 | 0,25 | 0,27 | 0,23 | 0,16 | 0,07 | 0 |
0,4 | 0 | - | 0,63 | 0,57 | 0,54 | 0,51 | 0,49 | 0,47 | 0,44 | 0,42 | 0,4 | 0,39 | 0,37 | 0,34 | 0,32 | 0,3 | 0,28 | 0,26 | 0,25 | 0,35 | 0,31 | 0,25 | 0,14 | 0,03 |
0,6 | 0 | - | 0,81 | 0,59 | 0,54 | 0,51 | 0,49 | 0,47 | 0,44 | 0,42 | 0,4 | 0,39 | 0,37 | 0,34 | 0,32 | 0,3 | 0,28 | 0,26 | 0,25 | 0,36 | 0,39 | 0,32 | 0,2 | 0,08 |
0,8 | 0 | - | - | 0,63 | 0,55 | 0,51 | 0,49 | 0,47 | 0,44 | 0,42 | 0,4 | 0,39 | 0,37 | 0,34 | 0,32 | 0,3 | 0,28 | 0,26 | 0,25 | 0,45 | 0,4 | 0,38 | 0,25 | 0,12 |
1,0 | 0 | - | - | 0,84 | 0,57 | 0,52 | 0,49 | 0,47 | 0,44 | 0,42 | 0,4 | 0,39 | 0,37 | 0,34 | 0,32 | 0,3 | 0,28 | 0,27 | 0,25 | 0,5 | 0,46 | 0,44 | 0,29 | 0,15 |
0,2 | 0,2 | 0,79 | 0,67 | 0,63 | 0,61 | 0,59 | 0,58 | 0,56 | 0,55 | 0,52 | 0,5 | 0,48 | 0,46 | 0,42 | 0,39 | 0,37 | 0,35 | 0,33 | 0,31 | 0,27 | 0,24 | 0,17 | 0,08 | 0 |
0,4 | 0,4 | - | 0,77 | 0,69 | 0,66 | 0,64 | 0,62 | 0,61 | 0,58 | 0,56 | 0,55 | 0,54 | 0,52 | 0,48 | 0,45 | 0,43 | 0,4 | 0,38 | 0,37 | 0,39 | 0,37 | 0,3 | 0,16 | 0,04 |
0,6 | 0,6 | - | - | 0,76 | 0,7 | 0,67 | 0,65 | 0,64 | 0,61 | 0,58 | 0,57 | 0,56 | 0,55 | 0,53 | 0,5 | 0,47 | 0,45 | 0,43 | 0,41 | 0,5 | 0,46 | 0,44 | 0,28 | 0,11 |
0,8 | 0,8 | - | - | - | 0,76 | 0,71 | 0,68 | 0,66 | 0,64 | 0,61 | 0,59 | 0,58 | 0,57 | 0,56 | 0,53 | 0,51 | 0,49 | 0,47 | 0,45 | - | 0,6 | 0,57 | 0,41 | 0,21 |
1,0 | 1,0 | - | - | - | 0,92 | 0,76 | 0,71 | 0,69 | 0,66 | 0,63 | 0,61 | 0,6 | 0,58 | 0,57 | 0,56 | 0,54 | 0,52 | 0,5 | 0,48 | - | 0,72 | 0,7 | 0,55 | 0,31 |
| | | Коэффициент k3 при значениях , равных |
0,02 | 0,03 | 0,04 | 0,05 | 0,06 | 0,07 | 0,08 | 0,1 | 0,13 | 0,15 | 0,17 | 0,2 | 0,25 | 0,3 | 0,35 | 0,4 | 0,45 | 0,5 |
Длительное действие нагрузки | 0 | 0 | 1,12 | 1,08 | 0,99 | 0,91 | 0,87 | 0,83 | 0,79 | 0,75 | 0,7 | 0,66 | 0,63 | 0,59 | 0,54 | 0,5 | 0,47 | 0,45 | 0,42 | 0,41 |
0 | 0,2 | 1,19 | 1,14 | 1,07 | 0,99 | 0,95 | 0,88 | 0,84 | 0,79 | 0,74 | 0,69 | 0,66 | 0,62 | 0,57 | 0,53 | 0,5 | 0,47 | 0,44 | 0,42 |
0 | 0,4 | 1,25 | 1,19 | 1,15 | 1,07 | 0,99 | 0,93 | 0,89 | 0,84 | 0,79 | 0,73 | 0,69 | 0,65 | 0,61 | 0,57 | 0,54 | 0,49 | 0,46 | 0,43 |
0 | 0,6 | 1,29 | 1,24 | 1,2 | 1,12 | 1,05 | 0,97 | 0,93 | 0,89 | 0,83 | 0,77 | 0,73 | 0,69 | 0,65 | 0,6 | 0,57 | 0,52 | 0,47 | 0,44 |
0 | 0,8 | 1,32 | 1,27 | 1,23 | 1,15 | 1,09 | 1,02 | 0,97 | 0,92 | 0,87 | 0,82 | 0,77 | 0,72 | 0,68 | 0,63 | 0,59 | 0,54 | 0,49 | 0,45 |
0 | 1,0 | 1,34 | 1,3 | 1,25 | 1,19 | 1,13 | 1,06 | 1 | 0,95 | 0,9 | 0,86 | 0,8 | 0,74 | 0,7 | 0,65 | 0,61 | 0,56 | 0,51 | 0,46 |
0,2 | 0 | 1,2 | 1,1 | 1 | 0,92 | 0,88 | 0,84 | 0,8 | 0,77 | 0,73 | 0,7 | 0,66 | 0,62 | 0,56 | 0,52 | 0,49 | 0,46 | 0,44 | 0,42 |
0,4 | 0 | - | 1,14 | 1,02 | 0,95 | 0,91 | 0,87 | 0,83 | 0,8 | 0,76 | 0,72 | 0,69 | 0,64 | 0,58 | 0,54 | 0,5 | 0,47 | 0,45 | 0,43 |
0,6 | 0 | - | 1,18 | 1,06 | 0,98 | 0,94 | 0,9 | 0,87 | 0,83 | 0,79 | 0,75 | 0,71 | 0,66 | 0,59 | 0,55 | 0,51 | 0,48 | 0,46 | 0,44 |
0,8 | 0 | - | - | 1,08 | 1,02 | 0,97 | 0,93 | 0,9 | 0,86 | 0,82 | 0,77 | 0,73 | 0,68 | 0,61 | 0,56 | 0,52 | 0,49 | 0,47 | 0,45 |
1,0 | 0 | - | - | 1,13 | 1,05 | 0,99 | 0,95 | 0,92 | 0,88 | 0,84 | 0,79 | 0,75 | 0,7 | 0,63 | 0,58 | 0,54 | 0,5 | 0,48 | 0,46 |
0,2 | 0,2 | 1,38 | 1,21 | 1,08 | 0,97 | 0,92 | 0,88 | 0,84 | 0,8 | 0,75 | 0,71 | 0,66 | 0,62 | 0,57 | 0,52 | 0,49 | 0,46 | 0,43 | 0,41 |
0,4 | 0,4 | - | 1,4 | 1,26 | 1,17 | 1,08 | 0,99 | 0,9 | 0,84 | 0,78 | 0,73 | 0,68 | 0,64 | 0,59 | 0,55 | 0,51 | 0,48 | 0,45 | 0,43 |
0,6 | 0,6 | - | - | 1,39 | 1,28 | 1,19 | 1,1 | 0,99 | 0,91 | 0,82 | 0,76 | 0,71 | 0,67 | 0,61 | 0,57 | 0,53 | 0,5 | 0,48 | 0,45 |
0,8 | 0,8 | - | - | - | 1,39 | 1,29 | 1,19 | 1,08 | 0,98 | 0,87 | 0,81 | 0,76 | 0,71 | 0,65 | 0,59 | 0,55 | 0,52 | 0,5 | 0,47 |
1,0 | 1,0 | - | - | - | 1,51 | 1,41 | 1,3 | 1,19 | 1,06 | 0,94 | 0,87 | 0,82 | 0,76 | 0,68 | 0,63 | 0,58 | 0,55 | 0,52 | 0,49 |
Кратковременное действие нагрузки | 0 | 0 | 1,15 | 1,11 | 1,07 | 1,04 | 1,01 | 0,99 | 0,97 | 0,94 | 0,9 | 0,88 | 0,86 | 0,84 | 0,81 | 0,78 | 0,75 | 0,73 | 0,7 | 0,68 |
0 | 0,2 | 1,17 | 1,14 | 1,09 | 1,06 | 1,03 | 1,01 | 0,99 | 0,96 | 0,93 | 0,91 | 0,89 | 0,87 | 0,84 | 0,82 | 0,79 | 0,77 | 0,74 | 0,72 |
0 | 0,4 | 1,19 | 1,16 | 1,11 | 1,08 | 1,05 | 1,03 | 1,02 | 0,98 | 0,95 | 0,94 | 0,92 | 0,9 | 0,87 | 0,85 | 0,83 | 0,8 | 0,78 | 0,76 |
0 | 0,6 | 1,2 | 1,17 | 1,12 | 1,09 | 1,07 | 1,05 | 1,03 | 1 | 0,97 | 0,96 | 0,94 | 0,92 | 0,89 | 0,87 | 0,85 | 0,83 | 0,81 | 0,79 |
0 | 0,8 | 1,21 | 1,18 | 1,13 | 1,1 | 1,08 | 1,06 | 1,04 | 1,02 | 0,99 | 0,97 | 0,96 | 0,94 | 0,91 | 0,89 | 0,87 | 0,85 | 0,83 | 0,81 |
0 | 1,0 | 1,23 | 1,19 | 1,14 | 1,11 | 1,09 | 1,07 | 1,05 | 1,03 | 1 | 0,98 | 0,97 | 0,95 | 0,92 | 0,9 | 0,88 | 0,86 | 0,84 | 0,83 |
0,2 | 0 | 1,19 | 1,16 | 1,12 | 1,09 | 1,06 | 1,03 | 1,01 | 0,97 | 0,93 | 0,91 | 0,88 | 0,86 | 0,82 | 0,78 | 0,75 | 0,73 | 0,7 | 0,68 |
0,4 | 0 | - | 1,22 | 1,19 | 1,15 | 1,11 | 1,07 | 1,04 | 0,99 | 0,95 | 0,92 | 0,9 | 0,87 | 0,83 | 0,79 | 0,76 | 0,73 | 0,71 | 0,69 |
0,6 | 0 | - | 1,27 | 1,24 | 1,2 | 1,16 | 1,12 | 1,08 | 1,03 | 0,98 | 0,94 | 0,92 | 0,88 | 0,84 | 0,8 | 0,77 | 0,74 | 0,71 | 0,69 |
0,8 | 0 | - | - | 1,31 | 1,26 | 1,22 | 1,16 | 1,12 | 1,06 | 1 | 0,97 | 0,94 | 0,9 | 0,85 | 0,81 | 0,77 | 0,74 | 0,72 | 0,7 |
1,0 | 0 | - | - | 1,35 | 1,31 | 1,27 | 1,21 | 1,17 | 1,1 | 1,02 | 0,99 | 0,96 | 0,92 | 0,86 | 0,82 | 0,78 | 0,75 | 0,72 | 0,7 |
0,2 | 0,2 | 1,28 | 1,21 | 1,14 | 1,1 | 1,07 | 1,04 | 1,02 | 0,99 | 0,95 | 0,93 | 0,92 | 0,89 | 0,86 | 0,83 | 0,81 | 0,78 | 0,76 | 0,74 |
0,4 | 0,4 | - | 1,29 | 1,22 | 1,16 | 1,12 | 1,09 | 1,07 | 1,03 | 0,99 | 0,97 | 0,95 | 0,93 | 0,9 | 0,87 | 0,85 | 0,82 | 0,8 | 0,79 |
0,6 | 0,6 | - | - | 1,3 | 1,23 | 1,18 | 1,14 | 1,11 | 1,07 | 1,03 | 1,01 | 0,99 | 0,96 | 0,93 | 0,9 | 0,88 | 0,86 | 0,84 | 0,82 |
0,8 | 0,8 | - | - | - | 1,28 | 1,23 | 1,19 | 1,15 | 1,1 | 1,06 | 1,03 | 1,01 | 0,99 | 0,95 | 0,93 | 0,9 | 0,88 | 0,86 | 0,85 |
1,0 | 1,0 | - | - | - | 1,34 | 1,29 | 1,23 | 1,19 | 1,14 | 1,08 | 1,06 | 1,04 | 1,01 | 0,98 | 0,95 | 0,92 | 0,9 | 0,88 | 0,87 |
Для свободно опертых балок прогиб также может быть определен по формуле

(302)
где

и

- см.
п. 4.30; при этом допускается вычислять

и

при значении
N0, соответствующем сечению с наибольшим изгибающим моментом.
б) Для элементов с защемленными опорами - по формуле

(303)
где

,

,

- кривизна элемента соответственно в середине пролета, на левой и на правой опорах;
S - коэффициент, определяемый по
табл. 42, как для элементов с шарнирными опорами.
в) Если прогиб, определенный по
подпункту "а", превышает допустимый, то его значение рекомендуется уточнить за счет учета переменной по длине элемента жесткости; при этом наличие участков без трещин по длине свободно опертых балок
(рис. 60) учитывается формулой

(304)
где
m1,
m2 - коэффициенты, определяемые по
табл. 43 в зависимости от вида нагрузки и величины отношения
Mт/Mп;
Mп - изгибающий момент в середине пролета от действия постоянных, длительных и кратковременных нагрузок;

- кривизна элемента в середине пролета, определенная, как для сплошного упругого тела, от нагрузки, при которой определяется прогиб.
Рис. 60. Эпюры изгибающих моментов и кривизны
в предварительно-напряженном железобетонном элементе
постоянного сечения, имеющем трещины
а - расчетная схема; б - эпюра изгибающих моментов M;
в - эпюра кривизны

;
l1 - участки без трещин;
l2 - участок с трещинами
Схема загружения консольной балки | Коэффициент S | Схема загружения свободно опертой балки | Коэффициент S |
| 1/4 | | 5/48 |
| 1/3 | | 1/12 |
| | | |
Примечание. При загружении элемента одновременно по нескольким схемам из представленных в
табл. 42 коэффициент
S равен
где
S1 и
M1,
S2 и
M2 и т.д. - соответственно коэффициент
S и наибольший изгибающий момент для каждой схемы загружения. В этом случае в формуле прогиба
fм величина

определяется при значении
M, равном сумме наибольших изгибающих моментов, определенных для каждой схемы загружения.
Схема загружения | Значения коэффициентов m1/m2 для определения прогибов при отношении Mт/Mп, равном |
1 | 0,98 | 0,96 | 0,94 | 0,92 | 0,9 | 0,85 | 0,8 | 0,75 | 0,7 | 0,6 | 0,5 | 0,3 | 0 |
| 0 ------ 0,125 | 0,033 ------ 0,107 | 0,044 ------ 0,1 | 0,053 ------ 0,094 | 0,059 ------ 0,09 | 0,064 ------ 0,085 | 0,075 ------ 0,077 | 0,082 ------ 0,069 | 0,087 ------ 0,062 | 0,091 ------ 0,056 | 0,097 ------ 0,046 | 0,1 ------ 0,037 | 0,103 ------ 0,02 | 0,104 ------ 0 |
| 0 ------ 0,125 | 0,005 ------ 0,12 | 0,01 ------ 0,115 | 0,014 ------ 0,11 | 0,018 ------ 0,106 | 0,023 ------ 0,101 | 0,032 ------ 0,09 | 0,041 ------ 0,08 | 0,048 ------ 0,07 | 0,055 ------ 0,061 | 0,065 ------ 0,045 | 0,073 ------ 0,031 | 0,081 ------ 0,011 | 0,083 ------ 0 |
Более точно величина
fм может быть найдена по
формуле (305) за счет учета как участков без трещин, так и переменной жесткости на участке с трещинами.
г) Для элементов переменного сечения, а также в тех случаях, когда требуется более точное, чем по
формулам (301) -
(304), определение прогибов, а сами элементы и нагрузка симметричны относительно середины пролета, прогиб
fм определяется по формуле

(305)
где

,

,

,

- кривизны соответственно на опоре, на расстоянии
1/
6l от опоры, на расстоянии
1/
3l от опоры и в середине пролета; значения кривизны подсчитываются со своими знаками согласно эпюре кривизн.
4.47. Для коротких элементов (l/h < 10) постоянного сечения, работающих, как свободно опертые балки, полный прогиб определяется по формуле

(306)
В формуле (306):
fм - прогиб, обусловленный деформацией изгиба, вычисленный согласно
п. 4.46;
k - коэффициент, учитывающий влияние на прогиб элемента поперечных сил и принимаемый равным:
k = 0,5/S; (307)
при наличии нормальных или наклонных трещин, а также одновременно тех и других
k = 1,5/S, (308)
где
S - коэффициент, определяемый по
табл. 42.
Пример 39. Дано: плита покрытия - по
рис. 50; расчетный пролет плиты
l = 5,7 м, нагрузка равномерно распределенная; от постоянной и длительной нагрузки для половины сечения плиты
qдл = 1,47 тс/м, потери напряжения от усадки и ползучести бетона на уровне предварительно-напряженной арматуры (
поз. 6,
8 и
9 табл. 4)

; влажность воздуха ниже 40%; прогиб ограничивается эстетическими требованиями; остальные данные - по
примеру 30.
Требуется рассчитать плиту по деформациям.
Расчет. Из
примера 30 известно, что в стадии изготовления в верхней зоне плиты образуются трещины. Момент трещинообразования в нижней зоне с учетом верхних трещин
Mт = 3,17 тс·м <
Mп = 6,6 тс·м, т.е. плита работает с трещинами в растянутой зоне.
Так как прогиб ограничивается эстетическими требованиями, расчет ведем на действие постоянных и длительных нагрузок
Уточняем значение
N02 в связи с наличием верхних трещин, умножая его на величину

. (

- из
примера 30).
N02 = 15(1 - 0,215) = 11,8 тс.
Кривизну элемента в середине пролета определяем по
формуле (256), так как приближенные способы не распространяются на случаи расчета при влажности воздуха ниже 40% (сухой влажностный режим):
Mз = M + N02eа. н = 600 000 + 11 800·0,5 = 605 900 кгс·см
(eа. н = yц - e0 н - a = 22 - 16,5 - 5 = 0,5 см);
Nс = N02 = 11,8 тс.
Вычисляем относительную высоту сжатой зоны

и плечо
z1 согласно
п. 4.34. Для этого находим величины
(

, так как влажность воздуха ниже 40% и длительное действие нагрузки);
Так как
расчет продолжаем, как для таврового сечения.
Плечо внутренней пары сил z1 равно:
(s = 0,8 как для длительного действия нагрузки);
Определяем кривизну

согласно
п. 4.30.

, так как в верхней зоне элемента имеются трещины от обжатия.
В связи с наличием верхних трещин

увеличиваем на 25%.
Окончательно
.
Полная кривизна в середине пролета равна:
Так как
l/h = 570/35 = 16,3 > 10, полный прогиб определяем по
формуле (301)
Поскольку вычисленный прогиб больше предельно допустимого, определяем его более точно по
формуле (304). Для этого находим величины

и

.
(c = 3, так как влажность воздуха ниже 40%).
(в данном случае
N02 из-за наличия верхних трещин не снижается, так как их влияние учитывается путем увеличения

на 15%).
С учетом верхних трещин
Mт/Mп = 3,17/6,6 = 0,48.
Пример 40. Дано: плита покрытия - по
рис. 50; расчетный пролет плиты
l = 5,7 м; нагрузка равномерно распределенная, в середине пролета момент от полной нагрузки
Mп = 6,6 тс·м, от постоянной и длительной нагрузки
Mдл = 6 тс·м, усилие предварительного обжатия с учетом всех потерь и влияния верхних трещин
N02 = 11,8 тс; потери напряжения от усадки и ползучести бетона на уровне предварительно-напряженной арматуры (
поз. 6,
8,
9 табл. 4)

; влажность воздуха выше 40%, прогиб ограничивается эстетическими требованиями; остальные данные - по
примеру 30.
Требуется рассчитать плиту по деформациям.
Расчет. Определяем необходимость вычисления прогиба плиты. Для этого находим величины
l/h0,

и

:
(

, так как влажность воздуха выше 40% и расчет ведется на длительное действие нагрузки).
При

и

, т.е. расчет по деформациям необходим. Кривизну элемента

в середине пролета определяем по упрощенной
формуле (299), для чего используем уже найденные значения

и
. По данным значениям

и

из
табл. 40 и
41 находим значения коэффициентов:
k1 = 0,4;
k2 = 0,03,
k3 = 0,78.
Mз = M + N02eа. н = 600 000 + 11 800·0,5 = 605 900 кгс·см
(eа. н = yц - e0 н - a = 22 - 16,5 - 5 = 0,5 см),
yА = yц - a = 22 - 5 = 17 см;

, так как в верхней зоне элемента имеются трещины обжатия.
(коэффициент 1,25 учитывает увеличение

в связи с наличием верхних трещин). Полная кривизна в середине пролета равна:
(
fдоп = 2,5 см принят согласно
табл. 3), т.е. прогиб плиты меньше предельно допустимого.
Пример 41. Дано: элемент нижнего пояса фермы с размерами поперечного сечения:
h = 28 см,
b = 25 см,
a =
a' = 4 см; продольная растягивающая сила от постоянных и длительных нагрузок
Nдл = 98 тс, момент от этих нагрузок
Mдл = 3 тс·м, предварительное напряжение с учетом всех потерь
N02 = 80 тс; остальные данные - по
примеру 29.
Требуется определить кривизну элемента и продольное осевое относительное удлинение.
Расчет. h0 = 28 - 4 = 24 см.
Определяем эксцентриситеты внешней продольной силы Nдл, усилия предварительного обжатия N02 и равнодействующей Nс относительно центра тяжести приведенного сечения и центра тяжести площади сечения арматуры A.
Nс = Nдл - N02 = 98 - 80 = 18 тс;
eа = yц - a - e0 = 14 - 4 - 3,06 = 6,94 см;
eа. н = yц - a = 14 - 4 = 10 см;
(при вычислении eа.с знак "минус" принят потому, что усилие N приложено между центрами тяжести арматуры A и A').
Так как
N > N02 и
e0с = 16,7 см < 0,8
h0 = 0,8·24 = 19,2 см, расчет производим согласно указаниям
п. 4.36.
Определяем коэффициенты

и

.
Так как
e0с >
yц -
a = 10 см, то коэффициент

определяется по
формуле (274) при
N'с. т/
Nс = 1
.
Для определения коэффициента

находим значение
Nс. т.:
zа = h0 - a = 24 - 4 = 20 см.
Так как сечение симметричное и усилие
N02 приложено центрально,

, и полная кривизна

.
Осевое относительное удлинение

определяем согласно указаниям
п. 4.41.
Так как усилие Nс приложено за пределами расстояния между центрами тяжести арматуры A и A', то арматура A' сжата, т.е. эпюра напряжений в сечении двузначная.
Знак "минус" означает, что в данном случае

- деформация удлинения.
5. КОНСТРУКТИВНЫЕ ТРЕБОВАНИЯ
5.1. Конструирование предварительно-напряженных железобетонных элементов и изделий следует производить с учетом способов натяжения арматуры, ее захвата и закрепления, условий передачи предварительных напряжений на бетон и снятия изделия с формы.
5.2. Для сборных железобетонных элементов рекомендуется производить натяжение арматуры на упоры до бетонирования изделия. Натяжение арматуры на затвердевший бетон производится в монолитных конструкциях в крупных балках, трубах и т.п., а также в целях создания неразрезных статически неопределимых конструкций. При этом, как правило, в целях обеспечения совместной работы арматуры и бетона, а также защиты арматуры от коррозии каналы для пропуска арматуры должны заполняться (инъецироваться) цементным раствором или мелкозернистым бетоном.
5.3 (5.54). Выбор схемы и способа возведения статически неопределимых предварительно-напряженных конструкций рекомендуется производить так, чтобы при создании предварительного напряжения исключалась возможность возникновения в конструкции дополнительных усилий, ухудшающих их работу. Допускается устройство временных швов или шарниров, замоноличиваемых после натяжения арматуры. |
5.4. Способ натяжения арматуры принимается в соответствии с указаниями "Руководства по технологии изготовления предварительно-напряженных железобетонных конструкций" (М., Стройиздат, 1975).
5.5. Конструкции должны приниматься простого очертания. Следует использовать по возможности арматуру, закладные детали и строповочные петли, выпускаемые в виде товарной продукции по нормалям и ГОСТ. Ненапрягаемую арматуру следует проектировать в виде укрупненных блоков и пространственных каркасов для сокращения времени укладки в форму (опалубку).
5.6. Распалубочную (передаточную) и отпускную прочность бетона следует назначать минимально допустимыми с целью снижения расхода цемента, ускорения оборота форм (опалубки) и интенсивного использования производственных площадей.
5.7. Необходимо стремиться к унификации арматуры и закладных деталей в отдельных конструкциях и их сериях, к небольшому числу разных марок и диаметров стали, типов арматурных элементов - сеток и каркасов, шагов продольных и поперечных стержней.
ГАБАРИТЫ И ОЧЕРТАНИЯ ЭЛЕМЕНТОВ КОНСТРУКЦИЙ
5.8 ( 5.2, 5.3). Минимальные размеры сечений железобетонных элементов, определяемые из расчета по действующим усилиям и соответствующим предельным состояниям, должны назначаться с учетом экономических требований и условий технологии изготовления конструкций. Размеры сечений железобетонных конструкций должны приниматься такими, чтобы соблюдались требования к анкеровке арматуры и ее расположению в бетоне: толщины защитных слоев бетона, расстояния между стержнями и т.п. (см. пп. 5.13 - 5.32). Размеры сечений внецентренно сжатых элементов должны приниматься такими, чтобы их гибкость l0/r в любом направлении, как правило, не превышала 200 (для прямоугольных сечений l0/h <= 60), а для колонн, являющихся элементами зданий - 120 (l0/h <= 35). |
При назначении размеров следует учитывать также условия перевозки: транспортные средства и допустимые габариты.
5.9. При проектировании железобетонных конструкций их очертание следует принимать с учетом устройства и способа использования форм (опалубки).
При применении форм с откидными бортами очертание изделия не должно препятствовать повороту борта (
рис. 61,
а) перед распалубкой.
При передаче предварительных напряжений на бетон последний должен иметь возможность свободно деформироваться. Это обеспечивается освобождением его к этому моменту от сдерживающих элементов формы, применением резиновых компенсаторов или наличием плавных скосов, позволяющих изделию самораспалубливаться при обжатии. Примеры скосов приведены на
рис. 61,
б.
При применении неразъемных форм для возможности извлечения изделия из формы должны предусматриваться уклоны 1:10 (
рис. 61,
в). При неразъемных формах, если при обжатии в результате выгиба создается сила, выталкивающая затвердевший бетон из формы, или если используется выпрессовывание, уклоны должны быть не менее 1:15 (
рис. 61,
г).
При немедленной распалубке путем вертикального смещения формующего элемента оснастки (
рис. 61 д,
е) уклон должен быть не менее 1:50.
При использовании форм с одним неподвижным и одним откидным бортом для обеспечения вертикального подъема конструкции при распалубке следует принимать переход от большей ширины изделия к меньшей, например от нижней полки к стенке (рис. 61, ж), под углом не менее 40°. Эти требования можно не предъявлять, если форма снабжена выпрессовывающим устройством (рис. 61, з).
Рис. 61. Технологические уклоны
а - в форме с откидными бортами; б - позволяющие изделию
самораспалубливаться при передаче предварительных напряжений
на бетон; в - в неразъемной форме; г - то же, с применением
выпрессовщика или при самораспалубливании;
д, е - при немедленной распалубке; ж - в форме с глухим
бортом; з - то же, с выпрессовщиком; 1 - изделие;
2 - форма; 3 - откидной борт; 4 - выпрессовщик;
5 - вкладыш; 6 - формующая рамка
Рис. 62. Закругления и фаски
а - ребристая плита, закругление; б - тавровая балка, фаска
между полкой и стенкой; в - узел фермы, сочетание фаски
и закруглений; г - отверстие в железобетонном элементе
для пропуска коммуникаций, закругления;
д - смягчение острого угля в ригеле
5.10. Сборные железобетонные изделия рекомендуется проектировать с учетом изготовления их по возможности в полностью неразборных формах. Если невозможно изготовление изделия в полностью неразборной форме, рекомендуется предусматривать неразборной наибольшую поверхность формы.
5.11. Очертания сборных железобетонных изделий следует принимать наиболее простыми. Ребра в стенках балок целесообразно предусматривать лишь при больших сосредоточенных нагрузках или при необходимости обеспечения устойчивости стенки.
5.12. Во избежание повреждений от местных концентраций напряжений при резком изменении направления граней изделия, например во внутренних углах, рекомендуется предусматривать смягчение очертания в виде фасок или закруглений небольшой величины (до 50 мм), чтобы избежать местного армирования (
рис. 62,
а -
г)
. Во внешних острых углах во избежание откалывания бетона следует устраивать скосы или закругления (
рис. 62,
д).
5.13 (5.4). Защитный слой бетона для рабочей арматуры должен обеспечивать совместную работу арматуры с бетоном на всех стадиях работы конструкции, а также защиту арматуры от внешних атмосферных, температурных и подобных воздействий. 5.14 (5.5). Для продольной рабочей арматуры (ненапрягаемой и напрягаемой, натягиваемой на упоры) толщина защитного слоя должна составлять, как правило, не менее диаметра стержня или каната и не менее: в плитах и стенках толщиной до 100 мм включительно - 10 мм; в плитах и стенках толщиной более 100 мм, а также в балках и ребрах высотой менее 250 мм - 15 мм; в балках и ребрах высотой 250 мм и более, а также в колоннах - 20 мм. |
Для сборных элементов из бетона проектной марки М250 и выше толщину защитного слоя для продольной арматуры допускается принимать на 5 мм меньше диаметра стержня, но не менее величин, указанных выше.
Для железобетонных плит из бетона марки М250 и выше, изготовляемых на заводах в металлических формах и защищаемых от коррозии сверху бетонной подготовкой, стяжкой или другими материалами, толщину защитного слоя для верхней арматуры допускается принимать на 5 мм меньше диаметра стержня, но не менее 5 мм.
5.15 (5.6). Толщина защитного слоя бетона для поперечной, распределительной и конструктивной арматуры должна приниматься не менее диаметра указанной арматуры и не менее: при h < 250 мм - 10 мм; при h >= 250 мм - 15 мм. 5.16 (5.7). Толщина защитного слоя бетона у концов предварительно-напряженных элементов на участке зоны передачи усилий от арматуры на бетон (см. п. 2.26) должна составлять не менее: для стержневой арматуры классов А-IV (Ат-IV) и ниже, а также для арматурных канатов - 2d; для стержневой арматуры классов А-V (Ат-V, Атп-V), Ат-VI - 3d. Кроме того, толщина защитного слоя бетона на указанном участке длины элемента должна быть не менее 40 мм для стержневой арматуры всех классов и не менее 20 мм для арматурных канатов. Допускается защитный слой бетона для сечений у опоры принимать таким же, как для сечений в пролете, в следующих случаях: а) для предварительно-напряженных элементов с сосредоточенной передачей опорных усилий при наличии стальной опорной детали и косвенной арматуры (сварных поперечных сеток или охватывающих продольную арматуру хомутов); б) в плитах, панелях, настилах и опорах ЛЭП при условии постановки у концов дополнительной поперечной арматуры (корытообразных сварных сеток или замкнутых хомутов), предусмотренной п. 5.47, при этом диаметр поперечной арматуры должен быть не менее 0,25 диаметра продольной напрягаемой арматуры и не менее: для проволоки класса Вр-I - 4 мм; то же, класса В-I - 5 мм. 5.17 (5.8). В элементах с продольной арматурой, натягиваемой на бетон и располагаемой в каналах, расстояние от поверхности элемента до поверхности канала должно приниматься не менее 40 мм и не менее ширины канала; указанное расстояние до боковых граней элемента должно быть, кроме того, не менее половины высоты канала. При расположении напрягаемой арматуры в пазах или снаружи сечения элемента толщина защитного слоя бетона, образуемого последующим торкретированием или иным способом, должна приниматься не менее 20 мм. 5.18 (5.10). В полых элементах кольцевого или коробчатого сечения расстояния от стержней продольной арматуры до внутренней поверхности бетона должно удовлетворять требованиям пп. 5.14 и 5.15. 5.19 (5.9). Концы напрягаемой арматуры, а также анкеры должны быть защищены слоем раствора не менее 5 мм или бетона не менее 10 мм. |
Анкеры, защищенные антикоррозионным покрытием, могут располагаться на поверхности бетона.
5.20. Для конструкций, работающих в агрессивных средах, толщина защитного слоя бетона должна назначаться с учетом требований главы
СНиП II-28-73 "Защита строительных конструкций от коррозии".
При назначении толщины защитного слоя бетона должны также учитываться требования главы
СНиП II-А.5-70 "Противопожарные нормы проектирования зданий и сооружений".
МИНИМАЛЬНЫЕ РАССТОЯНИЯ МЕЖДУ СТЕРЖНЯМИ АРМАТУРЫ
5.21 (5.11). Расстояния в свету между стержнями арматуры (или оболочками каналов) по высоте и ширине сечения должны обеспечивать совместную работу арматуры с бетоном и назначаться с учетом удобства укладки и уплотнения бетонной смеси, а также с учетом степени местного обжатия бетона, габаритов натяжного оборудования (домкратов, зажимов и т.п.) и концевых технологических анкеров на стержнях (см. п. 5.27). 5.22 (5.12). Расстояния в свету между отдельными стержнями продольной ненапрягаемой арматуры либо напрягаемой арматуры, натягиваемой на упоры, а также между продольными стержнями соседних плоских сварных каркасов должны приниматься не менее наибольшего диаметра стержней, а также: а) если стержни при бетонировании занимают горизонтальное или наклонное положение - не менее: для нижней арматуры - 25 мм и для верхней арматуры - 30 мм; при расположении нижней арматуры более чем в два ряда по высоте расстояния между стержнями в горизонтальном направлении (кроме стержней двух нижних рядов) - не менее 50 мм; б) если стержни при бетонировании занимают вертикальное положение - не менее 50 мм; при систематическом контроле фракционного состава заполнителей бетона это расстояние может быть уменьшено до 35 мм, но при этом должно быть не менее полуторакратного наибольшего размера крупного заполнителя. |
В элементах или узлах с большим насыщением арматурой или закладными деталями, изготовляемых без применения виброплощадок или вибраторов, укрепленных на опалубке, должны предусматриваться зоны, где свободные расстояния в свету между арматурными стержнями составляют не менее 60 мм для прохождения между арматурными стержнями наконечников глубинных вибраторов, уплотняющих бетонную смесь; расстояние между такими зонами, а также их удаление от граней элемента или узла должны быть не более 500 мм.
Примечание. Расстояние в свету между стержнями периодического профиля принимается по номинальному диаметру без учета выступов и ребер. |
Рис. 63. Примеры расположения одного из рядов стержней
нижней арматуры (располагаемой в один или два ряда
по высоте) в случае изготовления изделия на виброплощадке
а, б - варианты расположения стержней диаметром 32 мм;
в, г - то же, 16 мм; а, в - одиночное расположение стержней;
б, г - расположение пар стержней вплотную
Рис. 64. Сечение канала с арматурным пучком из 24 проволок
диаметром 5 мм при инъецировании канала раствором
через отверстие в анкере
1 - арматурные коротыши в анкерах
5.23
(5.12). При стесненных условиях допускается располагать стержни арматуры попарно (без зазора между ними). Такая пара стержней при назначении расстояний между ними по
п. 5.22 при определении длины передачи напряжения или длины анкеровки (по
пп. 2.26,
5.33) и при определении ширины раскрытия трещин должна рассматриваться как условный стержень диаметром

, где
d1 и
d2 - диаметры сближенных стержней
(рис. 63).
5.24 ( 5.12, 5.59). В элементах с арматурой, размещаемой в каналах и натягиваемой на бетон, расстояние в свету между каналами для арматуры должно быть, как правило, не менее диаметра канала и во всяком случае не менее 50 мм. При проволочной арматуре, расположенной в виде пучка, должны предусматриваться зазоры между отдельными проволоками или группами проволок (путем установки спиралей внутри пучка, коротышей в анкерах и т.п.) с размерами, достаточными для прохождения между проволоками пучка цементного раствора или мелкозернистого бетона при заполнении каналов. |
При инъецировании канала через отверстия в анкере проволоки или группы проволок пучка должны располагаться по окружности
(рис. 64), при этом внутренний диаметр канала должен превышать диаметр пучка не менее чем на 5 мм. В других случаях внутренний диаметр канала должен превышать диаметр пучка не менее чем на 15 мм.
АНКЕРОВКА НАПРЯГАЕМОЙ АРМАТУРЫ
5.25 (5.63). При применении в качестве напрягаемой рабочей арматуры высокопрочной арматурной проволоки периодического профиля, арматурных канатов однократной свивки, стержневой арматуры периодического профиля, натягиваемой на упоры, установка постоянных анкеров у концов элемента не требуется. 5.26 (5.62). Установка анкеров у концов арматуры обязательна для арматуры, натягиваемой на бетон, а также для арматуры, натягиваемой на упоры, при недостаточном ее сцеплении с бетоном (гладкой проволоки, многопрядных канатов), а также если не обеспечено отсутствие трещин на длине зоны передачи напряжений (см. п. 2.26); при этом анкерные устройства должны обеспечивать надежную заделку арматуры в бетоне на всех стадиях ее работы. |
Тип анкера выбирается исходя из производственных возможностей и вида арматуры.
5.27. Для стержневой арматуры рекомендуется применять следующие типы временных технологических или постоянных анкеров:
в виде высаженных головок (
рис. 65,
а) - для арматуры классов А-V и А-IV (марки 20ХГ2Ц);
в виде обжатых шайб (см.
табл. 44 и
рис. 65,
б) - для арматуры классов А-IV, А-V, Ат-V и Ат-VI;
в виде приваренных коротышей (
рис. 65,
в) - для арматуры классов А-V и А-IV (марки 20ХГ2Ц).
Для арматурных канатов рекомендуется использовать временные анкеры в виде инвентарных цанговых зажимов на один канат каждый (см.
табл. 45). Габариты анкерных устройств должны учитываться при назначении расстояний между осями натягиваемых стержней.
Таблица 44
Размеры временных технологических анкеров типа обжатой
шайбы на напрягаемой стержневой арматуре, мм
Диаметр арматуры d, мм | Диаметр шайбы до опрессовки, мм | Высота шайбы до опрессовки, мм, для арматуры класса | Больший размер шайбы после опрессовки D, мм |
внутренний, d0 | наружный, D0 | А-IV | Ат-V, А-V | Ат-VI |
10 | 13 | 30 | 8 | 10 | 11 | 35 |
12 | 15 | 32 | 8 | 11 | 14 | 37 |
14 | 17 | 32 | 10 | 13 | 17 | 37 |
16 | 20 | 36 | 11 | 15 | 19 | 42 |
18 | 22 | 36 | 13 | 17 | 21 | 42 |
20 | 24 | 40 | 14 | 19 | 23 | 47 |
22 | 26 | 42 | 16 | 21 | 25 | 49 |
Показатели | Характеристики цанговых зажимов МРТУ 7 - 17 - 67 марок |
4,5 - 6 - 2 | 6 - 9 - 2 | 12 - 15 - 2 |
Диаметр натягиваемой арматуры, мм | 4,5 - 6 | 6 - 9 | 12 - 15 |
Наружный диаметр зажима, мм | 26 | 40 | 56 |
5.28. Для арматурной проволоки класса Вр-II, натягиваемой на упоры в виде пакетов, используются унифицированные напрягаемые арматурные элементы (УНАЭ), основные параметры которых приведены на
рис. 66. Эти элементы обозначаются следующим образом.

, где
n - число проволок в элементе,
F - площадь поперечного сечения, мм
2;
N - суммарное разрывное усилие, кгс, определенное по нормативному сопротивлению.
Элементы УНАЭ могут группироваться по нескольку штук и с помощью общего захватного устройства натягиваться групповым способом.
5.29. Для стержневой арматуры, натягиваемой на бетон, применяются анкеры в виде гаек на нарезных наконечниках, привариваемых к концам стержней.
Для арматурных пучков, натягиваемых на бетон, могут применяться анкеры в виде металлических колодок и конусных пробок, анкеры с высаженными на проволоках головками и др.
5.30. В конструкциях с арматурой криволинейного очертания анкерные устройства целесообразно размещать на торцах элемента без увеличения толщины нижнего защитного слоя бетона. В этом случае пучки или стержни арматуры должны располагаться по высоте поперечного сечения элемента с учетом размещения анкерных и натяжных устройств на торцах элемента.
5.31. Если при проектировании предусматривается обрыв арматуры в пределах длины элемента, ее анкеры рекомендуется располагать в зоне сечения, сжатой от действия внешней нагрузки.
В случае расположения анкеров в зоне, работающей от внешней нагрузки на растяжение, должна быть предусмотрена постановка арматуры, воспринимающей местные усилия в сечениях, примыкающих к месту обрыва напрягаемой арматуры.
Рис. 65. Временные технологические анкеры на напрягаемой
стержневой арматуре
а - высаженная головка; б - обжатая шайба
(размеры см.
табл. 44);
в - приваренные коротыши
Рис. 66. Основные параметры унифицированных
напрягаемых арматурных элементов
а - на 3 проволоки;
б - на n проволок, где n = 4, 6, 8, ..., 14
5.32. При размещении анкеров на арматуре следует учитывать их перемещение при удлинении арматуры в процессе ее натяжения на упоры или на бетон; после натяжения арматуры анкер должен занимать проектное положение.
АНКЕРОВКА НЕНАПРЯГАЕМОЙ АРМАТУРЫ
5.33 (5.14). Продольные стержни растянутой и сжатой ненапрягаемой арматуры должны быть заведены за нормальное к продольной оси элемента сечение, в котором они учитываются с полным расчетным сопротивлением, на длину не менее lан, определяемую по формуле  (309) но не менее  , где значения mан,  ,  , а также допускаемые минимальные величины lан определяются по табл. 46. При этом гладкие арматурные стержни должны оканчиваться крюками или иметь приваренную поперечную арматуру по длине заделки. Если вдоль анкеруемых стержней образуются трещины от растяжения бетона, то стержни должны быть заделаны в сжатую зону бетона на длину lан, определяемую по формуле (309). |
| Условия работы ненапрягаемой арматуры | Параметры для определения анкеровки ненапрягаемой арматуры |
периодического профиля | гладкой |
mан | | | lан, мм | mан | | | lан, мм |
не менее | не менее |
| 1. Заделка растянутой арматуры в растянутом бетоне | 0,7 | 11 | 20 | 250 | 1,2 | 11 | 20 | 250 |
| 2. Заделка сжатой или растянутой арматуры в сжатом бетоне | 0,5 | 8 | 12 | 200 | 0,8 | 8 | 15 | 200 |
Если анкеруемые стержни поставлены с запасом по площади сечения против требуемой расчетом по прочности, то при определении lан по формуле (309) значения Rа должны умножаться на величину, равную отношению необходимой по расчету и фактической площади сечения арматуры. При невозможности выполнения этих требований должны быть приняты меры по анкеровке продольных стержней для обеспечения их работы с полным расчетным сопротивлением в рассматриваемом сечении (постановка косвенной арматуры, приварка к концам стержней анкерующих пластин или закладных деталей, отгиб анкерующих стержней). При этом величина lан должна быть не менее 10d. |
УКАЗАНИЯ ПО АРМИРОВАНИЮ ЖЕЛЕЗОБЕТОННЫХ ЭЛЕМЕНТОВ
ПРОДОЛЬНОЕ АРМИРОВАНИЕ ЭЛЕМЕНТОВ
5.34 (5.16). Площадь сечения продольной арматуры в железобетонных элементах (в процентах от площади сечения бетона) должна приниматься не менее указанной в табл. 47. |
| Характеристика положения арматуры и характер работы элемента | Минимальная площадь сечения продольной арматуры в железобетонных элементах (% площади сечения бетона) |
| 1. Арматура A во всех изгибаемых, а также во внецентренно растянутых элементах при расположении продольной силы за пределами рабочей высоты сечения | 0,05 |
| 2. Арматура A и A' во внецентренно растянутых элементах при расположении продольной силы между арматурой A и A' |
| 3. Арматура A и A' во внецентренно сжатых элементах при: | |
| а) l0/r < 17 (для прямоугольных сечений l0/h < 5) | 0,05 |
| б) 17 <= l0/r <= 35 (5 <= l0/h <= 10) | 0,1 |
| в) 35 <= l0/r <= 83 (10 < l0/h <= 24) | 0,2 |
| г) l0/r > 83 (l0/h > 24) | 0,25 |
| Примечание. Минимальная площадь сечения арматуры, приведенная в табл. 47, относится к площади сечения бетона, равной произведению ширины прямоугольного сечения либо ширины ребра таврового (двутаврового) сечения b на рабочую высоту сечения h0. В элементах с продольной арматурой, расположенной равномерно по контуру сечения, а также в центрально растянутых элементах величина минимального армирования относится к полной площади сечения бетона и принимается вдвое больше величин, указанных в табл. 47. |
Требования табл. 47 не распространяются на армирование, определяемое расчетом элемента для стадии транспортирования и возведения. Требования настоящего пункта не учитываются при назначении площади сечения арматуры, устанавливаемой по контуру плит или панелей из расчета на изгиб в плоскости плиты (панели). 5.35 (5.56). Часть продольной стержневой арматуры элемента допускается применять без предварительного напряжения, если при этом удовлетворяются требования расчета по трещиностойкости и по деформациям. 5.36 (5.18). В линейных внецентренно сжатых элементах расстояние между осями стержней продольной арматуры должно приниматься не более 400 мм. 5.37 (5.20). В балках шириной более 150 мм число продольных рабочих стержней, доводимых до опоры, должно быть не менее двух. В ребрах сборных панелей, настилов, часторебристых перекрытий и т.п. шириной 150 мм и менее допускается доведение до опоры одного продольного рабочего стержня. |
Напрягаемая арматура в виде стержней или канатов в пустотных и ребристых элементах должна располагаться, как правило, по оси каждого ребра элемента или вблизи этой оси.
5.38 (5.21). В изгибаемых элементах при высоте сечения более 700 мм у боковых граней должны ставиться конструктивные продольные стержни с расстояниями между ними по высоте не более 400 мм и площадью сечения не менее 0,1% площади сечения бетона с размерами: по высоте элемента - равными расстоянию между этими стержнями, по ширине элемента - равными половине ширины ребра элемента, но не более 200 мм. 5.39 (5.61). Продольную ненапрягаемую арматуру, если таковая имеется, рекомендуется располагать ближе к наружным поверхностям элемента так, чтобы поперечная арматура (хомуты) охватывала напрягаемую арматуру. |
ПОПЕРЕЧНОЕ АРМИРОВАНИЕ ЭЛЕМЕНТОВ
5.40 (5.22). У всех поверхностей железобетонных элементов, вблизи которых ставится продольная арматура, должна предусматриваться также поперечная арматура, охватывающая крайние продольные стержни. При этом расстояния между поперечными стержнями у каждой поверхности элемента должны быть не более 500 мм и не более удвоенной ширины грани элемента. Во внецентренно сжатых элементах, армированных центрально расположенной напрягаемой продольной арматурой (например, в сваях), постановка поперечной арматуры не требуется, если сопротивление действию поперечных сил обеспечивается одним бетоном (т.е. выполняется требование п. 4.12 при замене RрII и RпрII соответственно на Rр и Rпр). Поперечную арматуру допускается не ставить у граней тонких ребер изгибаемых элементов (шириной 150 мм и менее), по ширине которых располагается лишь один продольный стержень или сварной каркас. 5.41 (5.22). Во внецентренно сжатых линейных элементах, а также в сжатой зоне изгибаемых элементов при наличии учитываемой в расчете сжатой ненапрягаемой продольной арматуры хомуты должны ставиться на расстояниях: при Rа.с <= 4000 кгс/см 2 - не более 500 мм и при вязаных каркасах - не более 15 d, а при сварных - не более 20 d; при Rа.с >= 4500 кгс/см 2 - не более 400 мм и не более 12 d при вязаных и 15 d при сварных каркасах, где d - наименьший диаметр сжатых продольных стержней. При этом конструкция поперечной арматуры должна обеспечивать закрепление сжатых продольных стержней от их бокового выпучивания в любом направлении. |
Вышеуказанные требования распространяются и на расположенные в сжатой зоне напрягаемые стержни с напряжениями

(см.
п. 3.8); при этом взамен значения
Rа.с принимается значение

.
Если общее насыщение элемента продольной арматурой составляет более 3%, хомуты должны устанавливаться на расстояниях не более 10d и не более 300 мм. При проверке соблюдения требований настоящего пункта продольные сжатые стержни, не учитываемые расчетом, не должны приниматься во внимание, если диаметр этих стержней не превышает 12 мм и не более половины толщины защитного слоя бетона. 5.42 (5.25). Диаметр хомутов в вязаных каркасах внецентренно сжатых линейных элементов должен приниматься не менее 0,25 d и не менее 5 мм, где d - наибольший диаметр продольных стержней. Диаметр хомутов в вязаных каркасах изгибаемых элементов должен приниматься не менее: при h <= 800 мм - 6 мм; при h >= 800 мм - 8 мм. |
Вышеуказанные требования можно не распространять на спиральную или кольцевую арматуру центрифугированных трубчатых элементов.
Соотношение диаметров поперечных и продольных стержней в сварных каркасах и в сварных сетках устанавливается из условия сварки (см. приложение 1, поз. 1 и 2). 5.43 (5.26). В балках и ребрах высотой более 150 мм, а также в многопустотных сборных плитах (или аналогичных часторебристых конструкциях) высотой более 300 мм должна всегда устанавливаться вертикальная поперечная арматура. В сплошных плитах, а также в балках и ребрах высотой 150 мм и менее и в многопустотных сборных плитах (или аналогичных часторебристых конструкциях) высотой 300 мм и менее допускается поперечную арматуру не устанавливать. При этом должны быть обеспечены требования расчета согласно п. 3.34. 5.44 (5.27). Расстояние между вертикальными поперечными стержнями в элементах, не имеющих отогнутой арматуры, в случаях, когда поперечная арматура требуется по расчету либо по конструктивным соображениям, указанным в п. 5.43, должно приниматься: а) на приопорных участках (равных при равномерной нагрузке 1/4 пролета, а при сосредоточенных нагрузках - расстоянию от опоры до ближайшего груза, но не менее 1/4 пролета): при высоте сечения h <= 450 мм - не более h/2 и не более 150 мм; при высоте сечения h > 450 мм - не более h/3 и не более 500 мм; б) на остальной части пролета при высоте сечения h > 300 мм - не более 3/ 4h и не более 500 мм. |
5.45. Отгибание стержневой или проволочной арматуры, натягиваемой на упоры, может выполняться по дуге окружности диаметром от
d до 30
d. При этом следует учитывать снижение прочности арматуры в зоне перегиба (см.
табл. 22, поз. 6). Угол отгиба рекомендуется принимать не более 45°.
Отогнутую арматуру, натягиваемую на бетон, рекомендуется выполнять с криволинейным очертанием при угле наклона к продольной оси элемента не более 30° и при радиусе закругления:
а) для пучковой арматуры и канатов: при диаметре проволок в пучках 5 мм и менее и при диаметре канатов от 4,5 до 9 мм - не менее 4 м; при диаметре проволок в пучках 6 - 8 мм и диаметре канатов 12 - 15 мм - не менее 6 м;
б) для стержневой арматуры: диаметром до 25 мм - не менее 15 м, диаметром от 28 до 40 мм - не менее 20 м.
При осуществлении мероприятий, способствующих уменьшению трения напрягаемой арматуры о стенки каналов (тефлоновые прокладки, оболочки из синтетических материалов и др.), могут приниматься меньшие радиусы закругления с соответствующим экспериментальным обоснованием.
5.46 (5.31). В элементах, работающих на изгиб с кручением, вязаные хомуты должны быть замкнутыми с перепуском их концов на 30 d, где d - диаметр хомута, а при сварных каркасах все поперечные стержни обоих направлений должны быть приварены к угловым продольным стержням с образованием замкнутого контура. |
АРМИРОВАНИЕ КОНЦОВ ПРЕДВАРИТЕЛЬНО-НАПРЯЖЕННЫХ ЭЛЕМЕНТОВ
5.47 (5.62). У концов предварительно-напряженных элементов должна быть установлена дополнительная поперечная или косвенная арматура (сварные сетки, охватывающие все продольные стержни арматуры, хомуты и т.п. с шагом 5 - 10 см) на длине участка не менее 0,6 lп.н (см. п. 2.26) и не менее 20 см для элементов с арматурой, не имеющей анкеров, а при наличии анкерных устройств - на участке, равном двум длинам этих устройств (рис. 67 и 68). |
Рис. 67. Армирование конца предварительно-напряженной балки
1 - сварные сетки в виде гребенок (для удобства укладки
напрягаемых стержней), согласно
п. 5.47;
2 - поперечные стержни, согласно
п. 5.48 и привариваемые
к закладной детали; 3 - продольные стержни, требуемые
согласно
п. 5.49;
4 - напрягаемая арматура (основная
поперечная арматура балок и арматура, установленная
по контуру опорного уширения, не показана)
Рис. 68. Армирование конца многопустотного настила
1 - сварная сетка, требуемая согласно
п. 5.47;
2 - напрягаемые стержни
Концы узких ребер рекомендуется усиливать путем постановки закладных деталей - обойм с анкерными стержнями (рис. 69). Эти анкерные стержни можно учитывать при выполнении требований
п. 5.48.
Рис. 69. Армирование конца ребра плиты перекрытия
1 - сварная сетка согласно
п. 5.47;
2 - плоский арматурный
каркас ребра; 3 - анкерные стержни закладной детали-обоймы
(арматура полки плиты и поперечного ребра, а также арматура
в углах между поперечным и продольным ребром не показана)
Указанные меры имеют целью препятствовать развитию возможных трещин вдоль напрягаемой арматуры и обеспечить надежность анкеровки этой арматуры.
Примечание. Дополнительная косвенная арматура, поставленная у концов элемента, может быть учтена в расчете на местное сжатие (смятие) бетона под анкерными устройствами напрягаемой арматуры.
5.48
(5.58). Для предотвращения образования продольных трещин у торцов предварительно-напряженных изгибаемых элементов вследствие передачи усилий с напрягаемой арматуры на бетон рекомендуется отгибание части продольной напрягаемой арматуры у опор элемента и распределение ее на торце равномерно по высоте; при этом часть отогнутой арматуры допускается выводить на верхнюю грань элемента.
Если напрягаемая продольная арматура располагается сосредоточенно у нижней грани или у нижней и верхней грани элемента, у торцов необходимо предусматривать дополнительную напрягаемую или ненапрягаемую поперечную арматуру, располагая ее на участке длиной не более 1/4 высоты элемента. Напрягаемая поперечная арматура должна напрягаться ранее натяжения продольной арматуры усилием не менее 15% усилия натяжения всей продольной арматуры растянутой зоны опорного сечения. Ненапрягаемая поперечная арматура должна быть надежно заанкерена по концам приваркой к закладным деталям (см. рис. 67). Сечение этой арматуры в конструкциях, не рассчитываемых на выносливость, должно быть в состоянии воспринимать не менее 20%, а в конструкциях, рассчитываемых на выносливость, - не менее 30% усилия в продольной напрягаемой арматуре нижней зоны опорного сечения, определяемого расчетом по прочности (т.е. равного RаFн). |
Допускается также применять приопорную поперечную арматуру в виде корытообразных сеток, охватывающих и нижнюю продольную арматуру.
5.49 (5.63). При напрягаемой арматуре без анкеров в элементах, для которых допускается образование трещин на концевых участках в стадии предварительного обжатия (см. п. 1.13), должна быть установлена дополнительная ненапрягаемая продольная арматура, располагаемая в стенке элемента между растянутой при обжатии гранью и центром тяжести сечения на длине не менее 2 h0 (где h0 - рабочая высота сечения элемента по грани опоры) от начала зоны передачи напряжений на бетон; площадь сечения этой арматуры должна составлять не менее 0,2% площади опорного сечения элемента (без учета приопорного уширения, см. рис. 67). Если в стадии предварительного обжатия трещины не образуются, указанную арматуру можно не устанавливать. 5.50 (5.57). Местное усиление участков предварительно-напряженных элементов под анкерами напрягаемой арматуры, а также в местах опирания натяжных устройств рекомендуется выполнять установкой закладных деталей или дополнительной поперечной арматуры, а также увеличением размеров сечения элемента на этих участках. |
СВАРНЫЕ СОЕДИНЕНИЯ АРМАТУРЫ
5.51 (5.32). Арматура железобетонных конструкций из горячекатаной стали периодического профиля, горячекатаной гладкой стали и обыкновенной арматурной проволоки должна, как правило, изготовляться с применением для соединения стержней контактной сварки - точечной и стыковой, а также в указанных ниже случаях дуговой (ванной и протяженными швами) сварки. Сварные соединения стержневой термически упрочненной арматуры, высокопрочной арматурной проволоки и арматурных канатов, как правило, не допускаются. Типы сварных соединений арматуры должны назначаться и выполняться в соответствии с указаниями государственных стандартов и нормативных документов на сварную арматуру и закладные детали для железобетонных конструкций (см. приложение 1). 5.52 (5.33). Контактная точечная сварка применяется при изготовлении сварных каркасов, сеток и закладных деталей с нахлесточными соединениями стержней. |
Конструирование сварных каркасов, сеток и закладных деталей рекомендуется производить в соответствии с указаниями "
Руководства по проектированию бетонных и железобетонных конструкций из тяжелого бетона (без предварительного напряжения)".
5.53 (5.34). Контактная стыковая сварка применяется для соединения по длине заготовок арматурных стержней. Диаметр соединяемых стержней при этом должен быть не менее 10 мм. Контактную сварку стержней диаметром менее 10 мм допускается применять только в заводских условиях при наличии специального оборудования. 5.54 (5.35). Дуговая сварка должна применяться: а) для соединения стержней ненапрягаемой арматуры из горячекатаных сталей диаметром 8 мм и более между собой и с сортовым прокатом (закладными деталями) в условиях монтажа, а также с анкерными и закрепляющими устройствами; б) при изготовлении стальных закладных деталей и для соединения их на монтаже между собой в стыках сборных железобетонных конструкций; в) для соединения стержней напрягаемой арматуры с анкерными коротышами или петлями, используемыми для натяжения, а после спуска натяжения - с анкерными шайбами или анкерными плитами. 5.55 (5.36). При отсутствии оборудования для контактной сварки допускается применять дуговую сварку в следующих случаях: а) для соединения по длине заготовок арматурных стержней из горячекатаных сталей диаметром 8 мм и более; б) при выполнении сварных соединений, рассчитываемых по прочности, в сетках и каркасах с обязательными дополнительными конструктивными элементами в местах соединения стержней продольной и поперечной арматуры (косынки, лапки, крюки и т.п.). |
ОТДЕЛЬНЫЕ УКАЗАНИЯ ПО КОНСТРУИРОВАНИЮ
5.56 (5.52). В элементах сборных конструкций должны предусматриваться приспособления для захвата их при подъеме: инвентарные монтажные вывинчивающиеся петли, строповочные отверстия со стальными трубками, стационарные монтажные петли из арматурных стержней и т.п. Петли для подъема должны выполняться из горячекатаной стали согласно требованиям п. 2.21. |
5.57. При проектировании предварительно-напряженных элементов рекомендуется предусматривать мероприятия, снижающие отрицательные воздействия, которые возникают в ряде случаев при предварительном напряжении (в частности, образование допущенных по расчету трещин обжатия в верхней зоне балок, плит и тому подобных элементов), а именно:
а) назначать положение строповочных устройств максимально приближенным к концам элемента с учетом возможностей подъемных механизмов и применяемых траверс;
б) предусматривать места опирания элемента при хранении на расстоянии не более 20 - 30 см от его концов;
в) назначать места опирания при перевозке максимально приближенными к концам с учетом возможностей транспортных средств.
Рис. 70. Усиление бетона дополнительным армированием
в местах перегиба напрягаемой арматуры
5.58 (5.50). Отверстия значительных размеров в железобетонных плитах, панелях и т.п. должны окаймляться дополнительной арматурой сечением не менее сечения рабочей арматуры (того же направления), которая требуется по расчету плиты как сплошной. |
Небольшие отверстия в железобетонных элементах для коммуникаций, строповки и др. следует располагать в пределах ячеек арматурных сеток и каркасов так, чтобы не перерезать арматуру и не вводить дополнительное местное армирование. Углы отверстий желательно делать плавными (см.
рис. 62,
г).
Обрамление отверстий стальными закладными деталями замкнутой формы, особенно с острыми углами, не рекомендуется во избежание образования трещин в бетоне вследствие его усадки.
5.59. При натяжении арматуры на бетон в местах резкого изменения кривизны каналов для пропуска арматуры следует устанавливать отрезки жестких стальных труб. Канал для нескольких пучков или стержней должен иметь на концах уширения для анкерных и натяжных устройств. В местах перегиба арматуры или уширения канала необходимо усиливать бетон стальными обоймами, хомутами или сетками
(рис. 70), а также, при необходимости, увеличивать сечение элемента.
ОСНОВНЫЕ ТИПЫ СВАРНЫХ СОЕДИНЕНИЙ СТЕРЖНЕВОЙ АРМАТУРЫ
| Тип соединения | Условное обозначение типов соединений по государственным стандартам | Схема конструкции соединения | Положение стержней при сварке | Способ сварки | Класс арматуры | Диаметр стержней, мм | Примечание |
| | ИС МЕГАНОРМ: примечание. Постановлением Госстроя СССР от 28.11.1991 N 19 с 1 июля 1992 года введен в действие ГОСТ 14098-91. | |
|
| 1. Крестообразное, ГОСТ 14098-68 | КТ-2 | | Горизонтальное | Контактная точечная | А-I | 6 - 40 | В соединениях типа КТ-2 и КТ-3 отношение меньшего диаметра стержня к большему составляет 0,25 - 1 В соединениях типа КТ-3 отношение меньшего диаметра среднего стержня к одному из одинаковых крайних стержней большего диаметра должно быть не менее 0,5. Возможно вертикальное положение стержней, как правило, при сварке подвесными клещами |
| А-II | |
| А-III | 6 - 40 |
| В-I | 3 - 5 |
| Вр-I | 3 - 5 |
| | КТ-3 | | То же | То же | А-I | 6 - 40 |
| А-II | |
| А-III | 6 - 40 |
| 2. Стыковое, ГОСТ 14098-68, ГОСТ 19293-73 | КС-0 | | Горизонтальное | Контактная стыковая | А-I | 10 - 40 | Применяется при статических и сейсмических нагрузках d2/d1 >= 0,85 |
| А-II | |
| КС-Р | | То же | То же | А-III | 10 - 40 | |
| А-IV | 10 - 22 |
| А-V | 10 - 22 |
| КС-М | | " | " | А-II | | Рекомендуется для конструкций, работающих на вибрационные нагрузки, при этом d2/d1 = 1. В остальных случаях d2/d1 >= 0,85 |
| А-III | 10 - 40 |
| А-IV | 10 - 22 |
| А-V | 10 - 22 |
| 3. Стыковое, ГОСТ 14098-68 | ВО-Б | | " | Ванная одноэлектродная | А-I А-II А-III | 20 - 40 | Сварка выполняется в инвентарных формах d1/d2 >= 0,8 |
| ВП-Г | | " | Ванная полуавтоматическая под флюсом | А-I А-II А-III | 20 - 40 | Для труднодоступных сверху соединений горизонтальных стержней рекомендуется применение специальных медных форм с наклонной стенкой, допускающей наклон электродов до 30°, при этом d2/d1 = 1 |
| ВМ-1 | " | Ванная многоэлектродная | А-I | 20 - 40 | Сварка выполняется в инвентарных формах d2/d1 >= 0,8 |
| А-II | |
| А-III | 20 - 40 |
| ВП-В | | Вертикальное | Ванная полуавтоматическая под флюсом | А-I А-II А-III | 20 - 40 | - |
| ВМ-2 | | Горизонтальное | Ванная многоэлектродная | А-I | 20 - 40 | Рекомендуется также применение одноэлектродной ванной сварки. Сварка выполняется в инвентарных формах |
| А-II | |
| А-III | 20 - 40 |
| | - | | То же | Ванная одноэлектродная с желобчатой подкладкой | А-I А-II А-III | 20 - 32 | - |
| | - | | " | Ванношовная с желобчатой накладкой | А-I | 20 - 40 | Сварка открытой дугой голой проволокой допускается для стержней диаметром 25 - 70 мм |
| А-II | |
| А-III | 20 - 40 |
| | - | Горизонтальное и вертикальное | Полуавтоматическая многослойными швами с желобчатой накладкой | | | |
| 6. Стыковое | - | | Вертикальное | Многослойными швами с желобчатой подкладкой или без нее | А-I | 20 - 40 | - |
| А-II | |
| А-III | 20 - 40 |
| 7. Стыковое, ГОСТ 19293-73 | - | | Горизонтальное и вертикальное | Дуговая фланговыми швами hш = 0,25d, но не менее 4 мм; bш = 0,5d, но не менее 10 мм | А-I | 10 - 40 | - |
| А-II | |
| А-III | 10 - 40 |
| А-IV | 10 - 22 |
| А-V | 10 - 22 |
| - | | Горизонтальное | Дуговая фланговыми швами: hш = 0,25d, но не менее 4 мм, bш = 0,5d, но не менее 10 мм | А-I | 10 - 40 | - |
| А-II | |
| А-III | 10 - 40 |
| | | | Горизонтальное и вертикальное | То же | А-I | 10 - 40 | Допускаются двухсторонние фланговые швы длиной 4d для соединений стержней из стали классов А-I и А-II марки 10ГТ |
| А-II | 10 - 25 |
| А-III | 10 - 25 |
| | - | | То же | " | А-I | 10 - 40 | - |
| А-II | 10 - 40 |
| А-III | 10 - 40 |
| А-IV | 10 - 22 |
| А-V | 10 - 22 |
| 10. Нахлесточное, ГОСТ 19292-73 | Н-1 | | Горизонтальное | Контактная рельефная | А-I | 6 - 14 | - |
| А-II | 10 - 14 |
| А-III | 6 - 14 |
| Н-2 | | То же | То же | А-I | 6 - 16 | - |
| А-II | 10 - 16 |
| А-III | 6 - 16 |
| 11. Тавровое из плоскости пластины, ГОСТ 19292-73 | Т-1 | | Вертикальное | Под флюсом без присадочного электродного материала | А-I | 8 - 40 | - |
| А-II | 10 - 40 |
| А-III | 8 - 40 |
| -------------------------------- <*> При диаметре стержней более 40 мм требуется согласие завода-изготовителя. Примечание. На чертежах поз. 7, 8 и 9 настоящей таблицы указана соответствующая длина фланговых швов: 6d и 3d - для арматуры классов А-I и А-II, марки 10ГТ; 8d и 4d - для арматуры классов А-III и А-II, марки Ст.2. |
КОМПЛЕКСНЫЙ ПРИМЕР РАСЧЕТА БАЛКИ ПОКРЫТИЯ
ИСХОДНЫЕ ДАННЫЕ
Предварительно-напряженная балка с параллельными поясами сечением по рис. 1; длина балки 12 м, расчетный пролет l = 11,7 м, монтажные петли на расстоянии a = 1,5 м от торцов балки; прокладки при складировании ставятся у концов элемента.
Рис. 1. Поперечное сечение балки
Балка из бетона М500 (
Rпр = 215 кгс/см
2 и
Rр = 13,5 кгс/см
2 при
mб1 = 1;
RпрII = 280 кгс/см
2,
RрII = 20 кгс/см
2;
Eб = 3,25 x 10
5 кгс/см
2); передаточная прочность бетона
R0 = 350 кгс/см
2 (

;

;

;
Eб = 2,8·10
5 кгс/см
2) бетон подвергается тепловой обработке при атмосферном давлении (пропариванию).
Продольная арматура в растянутой от внешних нагрузок зоне класса К-7 диаметром 15 мм (
Rа = 10 600 кгс/см
2,
RаII = 16 500 кгс/см
2,
Eа = 1,8·10
6 кгс/см
2); ее площадь
Fн = 11,32 см
2 
; натяжение арматуры производится механическим способом на упоры с применением инвентарных зажимов. В сжатой (верхней) зоне продольная арматура диаметром 16 мм класса А-III (
Rа =
Rа.с = 3400 кгс/см
2,
RаII = 4000 кгс/см
2,
Eа = 2·10
6 кгс/см
2); ее площадь
F'а = 4,02 см
2 
. Поперечная арматура класса А-III (
Rа.х = 2700 кгс/см
2) площадью
Fx = 0,503 см
2 
.
Нагрузка от собственного веса балки при коэффициенте перегрузки n = 1: qс.в = 380 кгс/м. Момент в середине пролета от всех нагрузок при n > 1: MII = 74 тс·м, то же, от всех нагрузок, кроме крановой нагрузки, MI = 59,3 тс·м. Момент в середине пролета от всех нагрузок при n = 1: Mп = 59 тс·м, то же, от постоянных и длительных нагрузок Mдл = 50 тс·м. Наибольшая поперечная сила на опоре от всех нагрузок при n > 1: QII = 22,3 тс, то же, без учета крановой нагрузки QI = 18 тс, то же, от всех нагрузок при n = 1: Qп = 17,8 тс. Балка эксплуатируется на открытом воздухе. Требуется рассчитать балку по всем предельным состояниям.
РАСЧЕТ
§ 1. ОПРЕДЕЛЕНИЕ ГЕОМЕТРИЧЕСКИХ ХАРАКТЕРИСТИК
ПРИВЕДЕННОГО СЕЧЕНИЯ
Геометрические характеристики определяем согласно указаниям
п. 1.28.
Fп = F + nнFн + nаF'а = 12·28 + 15·28 + 4·0,5·10·10 +
+ (89 - 12 - 15) 8 + 5,55·11,32 + 6,15·4,02 = 1540 см2;
§ 2. ОПРЕДЕЛЕНИЕ УСИЛИЯ ПРЕДВАРИТЕЛЬНОГО ОБЖАТИЯ N0
И ЭКСЦЕНТРИСИТЕТА e0н
Величину предварительного напряжения арматуры

без учета потерь принимаем максимально допустимой:
Усилие N0 определяем в трех характерных сечениях по длине балки: в середине пролета, на конце длины зоны передачи напряжений lп.н и в месте установки монтажных петель.
I. Сечение в середине пролета. Определяем потери предварительного напряжения в арматуре:
а) первые потери
(

принято равным 65 °C, так как отсутствуют точные данные о величине температурного перепада);

(трение арматуры при ее натяжении отсутствует);

(натяжение производится на упоры стенда).
Определяем предварительное напряжение

и усилие
N0I, вычисленные с учетом потерь

:
Для определения потерь от быстронатекающей ползучести находим напряжение в бетоне

на уровне центра тяжести арматуры
A.
где
e0I = yц - aн = 42 - 7,25 = 34,75 см;
y0 = e0I = 34,75 см.
Так как

, потери от быстронатекающей ползучести равны:
Определяем потери от быстронатекающей ползучести на уровне центра тяжести арматуры A'.
где
y0 = h - yц - a'а = 89 - 42 - 4,5 = 42,5 см.
Так как на уровне арматуры
A' напряжение в бетоне растягивающее, величину

согласно
п. 1.25 принимаем равной нулю. В соответствии с этим:
e01 = e0I = 34,75 см;
б) Вторые потери:
Предварительное напряжение

, усилие
N02 и эксцентриситет
e02 равны:
e02 = e01 = 34,75 см.
II. Сечение в конце длины зоны передачи напряжений
lп.н. Поскольку потери предварительного напряжения

не зависят от места расположения сечения по длине элемента, то

,
N0I и
e0I в рассматриваемом сечении такие же, как и в сечении посередине пролета, т.е.
N0I = 113·10
3 кгс;
e0I = 34,75 см.
Длину зоны передачи напряжений определяем в двух вариантах: при

и

:

(значения
mп.н = 1,25 и

приняты по
табл. 23, как для арматуры класса К-7 при
d = 15 мм).
Так как в обоих случаях lп.н имеет близкие значения, последующие вычисления производим для lп.н = 95 см.
где x = 0,95 - 0,13 = 0,82 м,
Так как
Поскольку напряжение

- растягивающее, величину

принимаем равной нулю,
Определяем

,
N02 и
e02.
e02 = e01 = e0I = 34,75 см.
III. Сечение в месте установки монтажной петли. Расчет производим аналогично сечению I и II, вводя момент от собственного веса Mс.в, равный:
где x = 1,5 - 0,13 = 1,37 м.
После вычислений получаем
N01 = 111·10
3 кгс;
e01 =
e02 = 34,75 см;

N02 = 97,7·103 кгс.
Как видно, значения N0 в рассматриваемых сечениях мало отличаются, поэтому для балок усилие N0 можно принять постоянным по всей длине элемента; для плит и других элементов с большим относительным собственным весом (большим отношением Mс.в/Mп) влияние собственного веса на значения N0 следует учитывать.
IV. Проверка сжимающих напряжений

. Наибольшие сжимающие напряжения

имеют место в сечении, проходящем через конец длины
lп.н, поскольку здесь наименьшее разгружающее влияние момента от собственного веса.
Напряжение

определяем на уровне крайнего сжатого нижнего волокна в стадии обжатия.
где yц = 42 см.

, что меньше предельно допустимого значения

(см.
табл. 7).
§ 3. РАСЧЕТ ПРОЧНОСТИ В СТАДИИ ИЗГОТОВЛЕНИЯ
От воздействия усилия N01 верхняя зона балки растянута, нижняя сжата. В соответствии с этим в данном расчете Fа = 4,02 см2, F'н = 11,32 см2, a = 4,5 см, b'н = 28 см, h'п = 20 см, a'н = 7,25 см. h0 = h - a = 89 - 4,5 = 84,5 см.
Расчет производим согласно
пп. 3.50 -
3.54 для сечения, расположенного в месте установки монтажной петли (в этом сечении момент усилия обжатия и момент от собственного веса при подъеме балки растягивают верхнюю зону, т.е. эти моменты суммируются).
где 1,1 - значение коэффициента mт при механическом способе натяжения.
Так как
то граница сжатой зоны проходит в ребре (

, где 1,1 - значение
mб4 для проволочной арматуры, см.
табл. 13).
Кроме того,
где
Здесь Mс.в - момент от собственного веса при подъеме балки с учетом коэффициента динамичности 1,5 и коэффициента перегрузки n = 1.
т.е. прочность сечения обеспечена.
§ 4. РАСЧЕТ ПО ПРОЧНОСТИ НОРМАЛЬНЫХ СЕЧЕНИЙ
Расчет производим для сечения в середине пролета. Так как
MI = 59,3 тс·м > 0,77
MII = 0,77·74 = 57 тс·м, согласно
п. 3.1 расчет выполняем на действие момента
MII при
Тогда Rпр = 215·1,06 = 228 кгс/см2, где 215 - значение Rпр для марки бетона М500 при mб1 = 1.
h0 = h - a = 89 - 7,25 = 81,75 см.
Определяем коэффициент
mа4. Для этого находим величину

при
mа4 = 1.
RаFн = 10 600·11,32 = 120·103 кгс < Rпрb'пh'п + Rа.сF'а =
= 228·28·17 + 3400·4,02 = 122,2·103 кгс,
т.е. граница сжатой зоны проходит в полке.
Вычисляем значение x с учетом коэффициента mа4, предполагая, что граница сжатой зоны проходит в ребре
Rпрbx(h0 - 0,5x) + Rпр(b'п - b)h'п(h0 - 0,5h'п) +
+ Rа.сF'а(h0 - a') = 228·8·20,4(81,75 - 0,5·20,4) +
+ 228(28 - 8)17(81,75 - 0,5·17) + 3400·4,02(81,75 - 4,5) =
= 94·105 кгс·см > 74·105 кгс·см,
т.е. прочность сечения обеспечена.
§ 5. РАСЧЕТ ПО ПРОЧНОСТИ НАКЛОННЫХ СЕЧЕНИЙ
а) Расчет на действие поперечной силы ведем для приопорного участка балки. Поскольку в пределах наклонного сечения нагрузка может отсутствовать, принимаем Q = QII = 22,3 тс.
С учетом
Rр = 13,5·1,05 = 14,2 кгс/см2.
Q = 22,3·103 кгс < 0,35Rпрbh0 = 0,35·184·8·81,75 =
= 42,1·103 кгс,
где 184 - значение Rпр при марке бетона М400 (так как при проверке данного условия марка бетона принимается не выше М400 и mб1 = 1, mб.д = 1,05, Rпр = 175·1,05 = 184 кгс/см2).
Q = 22,3·103 кгс > 0,6Rпрbh0 = 0,6·14,2·8·81,75 =
= 5,6·103 кгс.
Кроме того,
u = 15 см < h/3 = 89/3 = 29,8 см.
Проверку прочности сечения производим согласно
п. 3.25.
т.е. прочность сечения на действие поперечной силы обеспечена.
б) Расчет на действие изгибающего момента. Определяем необходимость проверки прочности по изгибающему моменту согласно
п. 3.38. Для этого производим расчет по образованию нормальных трещин в сечении, проходящем через конец зоны передачи напряжений (
lп.н = 95 см, см.
§ 2).
Величину
Mт находим согласно
пп. 4.7 и
4.8 при прочности на растяжение
Rр = 13,5·1,05 = 14,2 кгс/см
2 и
mт = 0,9.
Изгибающий момент в рассматриваемом сечении от действия всех нагрузок при n > 1 определяем в предположении фактического отсутствия поперечной нагрузки в пределах длины зоны передачи напряжений
M = QIIx = 22,3·0,82 = 18,3 тс·м,
где x = 0,95 - 0,13 = 0,82 м;
0,13 м - расстояние от торца балки до точки приложения опорной реакции (рис. 2).
Рис. 2. Приопорная часть балки
1 - опорная реакция; 2 - места проверки по образованию
наклонных трещин
(

согласно
табл. 35 при
b'
п/
b = 28/8 = 3,5).
Находим Mт в предположении отсутствия начальных (верхних) трещин.
где
N02 = 97,6·103·0,9 = 87,8·103 кгс,
e0н = e02 = 34,75 см.
Предположим, что верхние трещины приводят к наибольшему снижению Mт, тогда m = 0,45, cт = 1,4;
Mт = (1 - 0,47)54,8·105 = 29·105 > 20,5·105 кгс·см.
Таким образом, отсутствие нормальных трещин в пределах длины зоны передачи напряжений гарантировано, в связи с чем прочность наклонного сечения по изгибающему моменту обеспечена.
§ 6. РАСЧЕТ ПО ОБРАЗОВАНИЮ ТРЕЩИН В СТАДИИ ИЗГОТОВЛЕНИЯ
Рассмотрим два сечения по длине балки:
а) в месте установки монтажной петли [это сечение наиболее опасно по раскрытию верхних (начальных) трещин в момент подъема балки];
б) в середине пролета (для выяснения необходимости учета начальных трещин в сжатой зоне при расчете ширины раскрытия и зажатия нижних трещин, а также деформаций).
Рассматриваем вначале сечение в месте установки монтажной петли.
Согласно
§ 3 в рассматриваемой стадии
Mс.в = 0,64 тс·м,
N01 = 111·10
3 кгс,
e0н =
e01 = 34,75 см.
Расчет производим согласно
п. 4.8:
b'п/b = 28/8 = 3,5);
Поскольку трещины при обжатии образуются, требуется проверить ширину их раскрытия.
Рассмотрим сечение в середине пролета.
Момент от собственного веса при подъеме балки в этом сечении равен:
где l1 = l - a = 12 - 1,5·2 = 9 м.
Таким образом, в сечении в середине пролета имеются начальные трещины в зоне, сжатой от действия внешней нагрузки.
§ 7. РАСЧЕТ ШИРИНЫ РАСКРЫТИЯ И ГЛУБИНЫ
ТРЕЩИН В СТАДИИ ИЗГОТОВЛЕНИЯ
Рассматриваем сечение в месте установки монтажной петли на кратковременное действие усилия N01 = 111·103 кгс и момента от собственного веса Mс.в = 0,64·105 кгс·см.
Расчет производим согласно
п. 4.21.
Для определения

по
формуле (234) необходимо предварительно вычислить плечо внутренней пары сил
z1.
Имея в виду, что в данном расчете
определяем величины
eа.н = e01 + (h0 - yц) = 34,75 + (84,5 - 42) = 77,3 см;
M3 = N01eа.н + Mс.в = 111 000·77,3 + 0,64·105 = 86,4·105 кгс·см;
Напряжение в растянутой арматуре равно:
т.е. неупругие деформации в верхней арматуре не возникнут.
Ширину кратковременного раскрытия трещин определяем по
формуле (215)
что меньше предельно допустимого значения

.
Проверку глубины трещин производим согласно указанию
п. 4.21
где значения 8,0·10
5 и 20,6·10
5 определены в
§ 6.
т.е. глубина трещин в стадии обжатия не превышает допустимую.
§ 8. РАСЧЕТ ПО ОБРАЗОВАНИЮ НОРМАЛЬНЫХ ТРЕЩИН
В СТАДИИ ЭКСПЛУАТАЦИИ
Рассматриваем сечение в середине пролета. Так как нижняя (растянутая) зона балки армирована канатами класса К-7 при диаметре проволоки 15/3 = 5 мм, а балка эксплуатируется на открытом воздухе, то согласно
табл. 1 эта зона балки относится ко 2-й категории трещиностойкости. Поэтому согласно
табл. 2 расчет производим на действие всех нагрузок при коэффициенте перегрузки
n > 1; при этом усилие обжатия вводится с коэффициентом точности натяжения
mт = 0,9.
Используя данные расчета
§ 2 и
5, имеем:
N02 = 98,4·103·0,9 = 88,6·103 кгс;
rу.в = 18,8 см.
Определяем момент трещинообразования в предположении отсутствия верхних трещин
Так как наличие верхних трещин приводит только к снижению Mт, а найденное значение Mт меньше момента от всех нагрузок при n > 1 (Mр = MII = 74 тс·м), то трещины в нижней зоне образуются, и поэтому при действии постоянных и длительных нагрузок требуется их зажатие (закрытие).
§ 9. РАСЧЕТ ШИРИНЫ РАСКРЫТИЯ
НОРМАЛЬНЫХ ТРЕЩИН В СТАДИИ ЭКСПЛУАТАЦИИ
Поскольку нижняя зона балки относится ко 2-й категории трещиностойкости, нормальные трещины определяются от кратковременного действия постоянных, длительных и кратковременных нагрузок при коэффициенте перегрузки n = 1. Момент от этих нагрузок в середине пролета Mп = 59 тс·м.
В данном расчете:
h'п = 12 + 5 = 17 см; hп = 15 + 5 = 20 см; h0 = 89 - 7,25 = 81,75 см.
Уточняем значение N02 в сечении в середине пролета в связи с наличием начальных трещин в сжатой зоне.
где значения 8,0·10
5 и 16,5·10
5 определены в
§ 6.
Уточненное значение N02 равно:
N02 = 98,4(1 - 0,071) = 91,4 тс.
Приращение напряжений в предварительно-напряженной арматуре

в центре тяжести площади ее сечения определяем по приближенной
формуле (232). Для этого вычисляем величины

,

и
eа.с/
h0:
где eа.н = 0, так как усилие N02 приложено в центре тяжести площади растянутой арматуры.
eа.c/h0 = 64,6/81,75 = 0,79.
Принимая ближайшие значения

и

:

и

, из
табл. 38 находим коэффициент
kт = 0,04.
Для определения величины

на уровне крайнего ряда растянутой арматуры находим коэффициент

, принимая
x = 0,5
h0 = 0,5·81,75 = 41 см,
c = 5 см.
Для определения ширины кратковременного раскрытия трещин вычисляем коэффициент

:
что не превышает допустимого значения

(см.
табл. 1).
§ 10. РАСЧЕТ ПО ЗАКРЫТИЮ НОРМАЛЬНЫХ ТРЕЩИН
Расчет ведем на действие постоянных и длительных нагрузок при коэффициенте перегрузки n = 1; момент от этих нагрузок в середине пролета Mдл = 50 тс·м.
Проверяем
условие (244). Для этого в связи с наличием верхних трещин уточняем значение
N02, умножая его на коэффициент

.
Так как данный коэффициент принимается не более единицы, то
N02 = 98,4 тс,

- см.
§ 9.
т.е.
условие (244) удовлетворяется (это означает, что на нижней грани напряжения сжатия превышают 10 кгс/см
2).
где

определено с учетом коэффициента

;

определено с учетом коэффициента

(см.
§ 9). Выполнение
условия (248) означает, что в напрягаемой арматуре не возникают необратимые деформации.
Таким образом, закрытие нормальных трещин при действии момента Mдл = 50 тс·м обеспечено.
§ 11. РАСЧЕТ ПО ОБРАЗОВАНИЮ НАКЛОННЫХ ТРЕЩИН
Для проверки отсутствия трещин в пределах зоны передачи напряжений рассмотрим образование наклонных трещин на границе опорного уширения (
рис. 2, сечение I) и в конце длины зоны передачи напряжения (сечение II). Так как
lп.н = 95 см < 2
h0 = 2·81,75 = 163 см, то требуется проверка отсутствия трещин только для зоны сечения, расположенной ниже центра тяжести приведенного сечения (см.
п. 1.13). В связи с этим расчет производим на уровне центра тяжести сечения, как наиболее опасном.
Для выяснения необходимости расчета по раскрытию наклонных трещин проверим образование этих трещин на расстоянии h0 от точки приложения опорной реакции (сечение III). В этом сечении расчет выполним в центре тяжести приведенного сечения и в месте примыкания сжатых (верхних) полок к стенке.
Расчет ведем на действие всех нагрузок при n = 1.
Сечение I.
Определяем напряжения
где 98,4·103 кгс - значение N02 в конце длины зоны передачи напряжений;
lx = 45 см - расстояние от торца балки до рассматриваемого сечения (см.
рис. 2);
[в центре тяжести сечения (
y = 0)

];
где P = Qп - опорная реакция от постоянных, длительных и кратковременных нагрузок при n = 1;
где Q = Qоп (так как на приопорном участке поперечная нагрузка фактически может отсутствовать);
Определяем главные растягивающие и главные сжимающие напряжения, подставляя в
формулу (204) сжимающие напряжения

и

со знаком "минус".
Так как
то
условие (202) удовлетворяется, т.е. наклонные трещины не образуются.
Сечение II.

, так как
x = 95 - 13 = 82 см > 0,7
h = 0,7·89 = 62,3 см, где 95 см - значение
lп.н; 13 см - расстояние от торца балки до точки приложения опорной реакции (см.
рис. 2).
Поскольку на приопорном участке нагрузка фактически может отсутствовать, примем в рассматриваемом сечении
Q =
Qп = 17,8 тс, учитывая, кроме того, что геометрические характеристики сечений I и II одинаковы, примем

таким же, как и в сечении I, т.е.

.
Так как
то наклонные трещины не образуются.
Таким образом, в пределах зоны передачи напряжений трещины не образуются, что обеспечивает надежную анкеровку напрягаемой арматуры.
Сечение III.
а) центр тяжести приведенного сечения x = h0 = 81,75 см; поскольку сечение III расположено в непосредственной близости от сечения II, то дополнительной проверки образования наклонных трещин на уровне центра тяжести этого сечения не требуется.
б) место примыкания сжатых свесов к стенке
где M = Qx = 17,8·103·81,75 = 14,6·105 кгс·см
(момент определен в предположении отсутствия поперечной нагрузки на приопорном участке);
Q = 17,8 тс (опорная реакция от всех нагрузок при n = 1);
y0 = h - y - h'п = 89 - 42 - (12 + 10) = 25 см;

, так как
x = 81,75 см > 0,7h = 0,7·89 = 62 см;
где Sп.ц = 22 900 - 25·8·12,5 = 20 400 см3
(22 900 - определенный ранее приведенный статический момент площади части сечения, расположенной выше центра тяжести);
Так как
и

то
условие (202) удовлетворяется, т.е. наклонные трещины не образуются.
Таким образом, проверка ширины раскрытия наклонных трещин не требуется.
§ 12. РАСЧЕТ ПО ДЕФОРМАЦИЯМ
Расчет производим на действие постоянных и длительных нагрузок при коэффициенте перегрузки
n = 1 (
Mдл = 50 тс·м). Поскольку при действии указанных нагрузок трещины в растянутой зоне зажаты, кривизны определяем согласно указаниям
пп. 4.30 -
4.32.
Вычисляем кривизны

,

,

, рассматривая сечение в середине пролета:
где

, так как в стадии изготовления в верхней зоне балки образовались трещины.
Определяем полную величину кривизны с учетом наличия в сжатой зоне начальных трещин (см.
п. 4.31) и с учетом ранее образованных трещин от действия полной нагрузки (см.
п. 4.32)
Поскольку l/h = 11,7/0,89 = 13,1 > 10, полный прогиб f равен прогибу от действия изгибающего момента fм. Принимая, что вся нагрузка равномерно распределенная (S = 5/48), прогиб находим по формуле
что меньше предельно допустимого значения l/250 = 1170/250 = 4,68 см.
СОРТАМЕНТ И УСЛОВНЫЕ ОБОЗНАЧЕНИЯ АРМАТУРЫ
Таблица 1
Сортамент стержневой арматуры и проволоки
Номинальный диаметр стержней, мм | Расчетная площадь поперечного сечения, см2, при числе стержней | Теоретическая масса 1 м, кг |
1 | 2 | 3 | 4 | 5 | 6 | 7 | 8 | 9 |
3 | 0,071 | 0,141 | 0,212 | 0,283 | 0,353 | 0,424 | 0,495 | 0,565 | 0,636 | 0,055 |
4 | 0,126 | 0,251 | 0,377 | 0,502 | 0,628 | 0,754 | 0,879 | 1,005 | 1,13 | 0,099 |
5 | 0,196 | 0,393 | 0,589 | 0,785 | 0,982 | 1,178 | 1,375 | 1,571 | 1,767 | 0,154 |
6 | 0,283 | 0,57 | 0,85 | 1,13 | 1,41 | 1,7 | 1,98 | 2,26 | 2,54 | 0,222 |
7 | 0,385 | 0,77 | 1,15 | 1,54 | 1,92 | 2,31 | 2,69 | 3,08 | 3,46 | 0,302 |
8 | 0,503 | 1,01 | 1,51 | 2,01 | 2,51 | 3,02 | 3,52 | 4,02 | 4,52 | 0,395 |
9 | 0,636 | 1,27 | 1,91 | 2,54 | 3,18 | 3,82 | 4,45 | 5,09 | 5,72 | 0,499 |
10 | 0,785 | 1,57 | 2,36 | 3,14 | 3,93 | 4,71 | 5,5 | 6,28 | 7,07 | 0,617 |
12 | 1,131 | 2,26 | 3,39 | 4,52 | 5,65 | 6,79 | 7,92 | 9,05 | 10,18 | 0,888 |
14 | 1,539 | 3,08 | 4,62 | 6,16 | 7,69 | 9,23 | 10,77 | 12,31 | 13,85 | 1,208 |
16 | 2,011 | 4,02 | 6,03 | 8,04 | 10,05 | 12,06 | 14,07 | 16,08 | 18,1 | 1,578 |
18 | 2,545 | 5,09 | 7,63 | 10,18 | 12,72 | 15,27 | 17,81 | 20,36 | 22,9 | 1,998 |
20 | 3,142 | 6,28 | 9,42 | 12,56 | 15,71 | 18,85 | 21,99 | 25,14 | 28,28 | 2,466 |
22 | 3,801 | 7,6 | 11,4 | 15,2 | 19 | 22,81 | 26,61 | 30,41 | 34,21 | 2,984 |
25 | 4,909 | 9,82 | 14,73 | 19,64 | 24,54 | 29,45 | 34,36 | 39,27 | 44,18 | 3,84 |
28 | 6,158 | 12,32 | 18,47 | 24,63 | 30,79 | 36,95 | 43,1 | 49,26 | 55,42 | 4,83 |
32 | 8,043 | 16,09 | 24,13 | 32,17 | 40,21 | 48,26 | 56,3 | 64,34 | 72,38 | 6,31 |
Примечание. Номинальный диаметр стержней для арматуры периодического профиля соответствует номинальному диаметру равновеликих по площади поперечного сечения гладких стержней.
Таблица 2
Сортамент арматурных канатов класса К-7
Номинальный диаметр, мм | Расчетная площадь поперечного сечения, см2 | Теоретическая масса 1 м, кг | Номинальный диаметр, мм | Расчетная площадь поперечного сечения, см2 | Теоретическая масса 1 м, кг |
4,5 | 0,127 | 0,1 | 9 | 0,51 | 0,402 |
6 | 0,227 | 0,173 | 12 | 0,906 | 0,714 |
7,5 | 0,354 | 0,279 | 15 | 1,416 | 1,116 |
Примечание. Номинальный диаметр арматурного каната соответствует диаметру окружности, описанной вокруг его сечения.
Таблица 3
Условные обозначения арматурных сталей на чертежах
N п.п. | Наименование и класс арматуры | Пример условного обозначения |
1 | 2 | 3 |
1 | Горячекатаная арматурная сталь гладкая класса А-I | |
2 | Горячекатаная арматурная сталь периодического профиля класса: | |
А-II | |
А-III | |
А-IV | |
А-V | |
3 | Арматура, упрочненная вытяжкой, класса А-IIIв | |
4 | Термически упрочненная арматура периодического профиля класса: | |
Ат-IV | |
Ат-V | |
Ат-VI | |
Атп-V | |
5 | Обыкновенная арматурная проволока: | |
гладкая класса В-I | |
периодического профиля класса Вр-I | |
6 | Высокопрочная арматурная проволока: | |
гладкая класса В-II | |
периодического профиля класса Вр-II | |
7 | Арматурные семипроволочные канаты класса К-7 | |