Главная // Актуальные документы // НормыСПРАВКА
Источник публикации
В данном виде документ опубликован не был.
Первоначальный текст документа опубликован в издании
М.: Стройиздат, 1978.
Информацию о публикации документов, создающих данную редакцию, см. в справке к этим документам.
Примечание к документу
Документ утратил силу с 1 января 1987 года в связи с изданием
Постановления Госстроя СССР от 20.12.1985 N 243. Взамен введены в действие
СНиП 2.02.03-85.
Название документа
"СНиП II-17-77. Строительные нормы и правила. Часть II. Нормы проектирования. Глава 17. Свайные фундаменты"
(утв. Постановлением Госстроя СССР от 09.12.1977 N 197)
(ред. от 06.12.1983)
"СНиП II-17-77. Строительные нормы и правила. Часть II. Нормы проектирования. Глава 17. Свайные фундаменты"
(утв. Постановлением Госстроя СССР от 09.12.1977 N 197)
(ред. от 06.12.1983)
Постановлением Государственного
комитета Совета Министров СССР
по делам строительства
от 9 декабря 1977 г. N 197
СТРОИТЕЛЬНЫЕ НОРМЫ И ПРАВИЛА
ЧАСТЬ II
НОРМЫ ПРОЕКТИРОВАНИЯ
ГЛАВА 17
СВАЙНЫЕ ФУНДАМЕНТЫ
СНиП II-17-77
| | Список изменяющих документов Госстроя СССР от 25.10.1982 N 264, Госстроя СССР от 06.12.1983 N 313) | |
СНиП I-Б.3-62
раздела 5 СН 475-75
Срок введения в действие
1 января 1979 года
Глава СНиП II-17-77 "Свайные фундаменты" разработана ордена Трудового Красного Знамени Научно-исследовательским институтом оснований и подземных сооружений (НИИОСП) им. Н.М. Герсеванова Госстроя СССР, институтом Фундаментпроект Минмонтажспецстроя СССР и Всесоюзным научно-исследовательским институтом транспортного строительства (ЦНИИС) Минтрансстроя с участием Донецкого Промстройниипроекта, НИИЖБ, НИИСК, ПНИИИС, Ростовского Промстройниипроекта, ЦНИИпромзданий и ЦНИИСК им. В.А. Кучеренко Госстроя СССР, МИСИ им. В.В. Куйбышева Минвуза СССР, НИИпромстроя Минпромстроя СССР, МИИТ и ЛИИЖТ МПС, ЦНИИЭПсельстроя Минсельстроя СССР, ВНИМИ Минуглепрома СССР, институтов Гидропроект им. С.Я. Жука и Энергосетьпроект Минэнерго СССР, КИСИ и ДИСИ Минвуза Украинской ССР и института Эстпромпроект Госстроя Эстонской ССР.
С введением в действие главы СНиП II-17-77 с 1 января 1979 г. утрачивают силу:
глава
СНиП II-Б.5-67 (издания 1968 г.) и II-Б.5-67* (издания 1971 г.) "Свайные фундаменты. Нормы проектирования";
изменение главы СНиП II-Б.5-67, утвержденное Постановлением Госстроя СССР от 20 августа 1970 г. N 112;
изменения главы СНиП II-Б.5-67*, утвержденные Постановлениями Госстроя СССР от 5 июля 1971 г. N
84, от 1 октября 1971 г. N
163, от 25 сентября 1972 г. N
181 и от 5 мая 1975 г. N
69;
глава СНиП I-Б.3-62 "Фундаменты и опоры из свай и цилиндрических оболочек. Сборные конструкции";
раздел 5 "Особенности проектирования свайных фундаментов на водонасыщенных заторфованных грунтах" "Инструкции по проектированию оснований и фундаментов зданий и сооружений, возводимых на заторфованных территориях" (СН 475-75).
Редакторы: инж. Л.Е. Темкин (Госстрой СССР), кандидаты техн. наук Б.В. Бахолдин, Н.Б. Экимян (НИИОСП им. Герсеванова Госстроя СССР), канд. техн. наук Ю.Г. Трофименков, инженеры А.А. Ободовский и Р.Е. Ханин (Фундаментпроект Минмонтажспецстроя СССР), д-р техн. наук А.А. Луга и кандидаты техн. наук Н.М. Глотов и К.С. Завриев (ЦНИИС Минтрансстроя).
Внесены НИИОСП им. И.М. Герсеванова Госстроя СССР.
Утверждены Постановлением Государственного комитета Совета Министров СССР по делам строительства от 9 декабря 1977 г. N 197.
1.1. Нормы настоящей главы должны соблюдаться при проектировании свайных фундаментов зданий и сооружений.
Примечания: 1. Свайные фундаменты зданий и сооружений, возводимых на вечномерзлых грунтах, а также свайные фундаменты машин с динамическими нагрузками следует проектировать в соответствии с требованиями глав СНиП по проектированию оснований и фундаментов на вечномерзлых грунтах и по проектированию фундаментов машин с динамическими нагрузками.
2. Свайные фундаменты зданий и сооружений, возводимых на геологически неустойчивых площадках (на которых имеются или могут возникнуть оползни, карсты) и в других особых условиях, следует проектировать с учетом дополнительных требований, предъявляемых к строительству и эксплуатации зданий и сооружений в указанных условиях.
1.2. Выбор конструкции фундамента (например, свайного или на естественном основании, на искусственно уплотненном, химически или термически упрочненном основании и т.п.), а также вида свай и типа свайного фундамента (например, свайных кустов, лент, полей) следует производить исходя из конкретных условий строительной площадки, характеризуемых материалами инженерных изысканий, на основе результатов технико-экономического сравнения возможных вариантов проектных решений фундаментов, выполненного с учетом требований технических правил по экономному расходованию основных строительных материалов.
1.3. Свайные фундаменты следует проектировать на основе результатов инженерно-геологических и гидрогеологических изысканий строительной площадки, выполненных в соответствии с требованиями
раздела 3 настоящей главы, данных о климатических условиях района строительства, а также особенностей проектируемых зданий и сооружений и местного опыта строительства.
Проектирование свайных фундаментов без соответствующего инженерно-геологического обоснования или при его недостаточности для выбора рациональной конструкции фундамента, вида свай и определения их параметров не допускается.
Для проектирования свайных фундаментов, кроме данных об инженерно-геологических условиях площадки строительства (включающих прогноз изменения уровня грунтовых вод), должны учитываться данные о размерах технологического оборудования, величинах и характере технологических нагрузок и воздействий, передаваемых на конструкции фундаментов, а также габаритах заглубленных помещений (тоннелей, подвалов, приямков и т.п.).
1.4. В рабочих чертежах свайных фундаментов должны быть указаны вид, количество и параметры свай (сечение и длина свай, а также несущая способность и соответствующая ей нагрузка, допускаемая на сваю), которые не требуют дополнительных уточнений путем испытания свай в грунте в процессе строительства.
Примечание. Испытания свай, свай-оболочек или свайных фундаментов (например, кустов), проводимые в процессе строительства или после его завершения в соответствии с требованиями глав III части СНиП по производству и приемке работ по устройству оснований и фундаментов и по приемке в эксплуатацию законченных строительством предприятий зданий и сооружений, являются, как правило, только контрольными для установления качества свайных фундаментов и соответствия их проекту, а также для установления соответствия грунтовых условий строительной площадки условиям, предусмотренным в проекте.
В чертежах свайных фундаментов должны также приводиться геологические разрезы с данными о напластованиях грунтов, их физико-механических характеристиках, используемых в расчетах по двум группам предельных состояний, с указанием положения установленного и прогнозируемого уровней грунтовых вод, а также проектные положения верха и низа свай, а в случае проведения статического зондирования при изысканиях - графики зондирования.
1.5. В проектах свайных фундаментов должно предусматриваться проведение натурных измерений деформаций оснований и фундаментов по специально устроенным маркам и реперам в следующих случаях: при применении новых конструкций зданий и сооружений или их свайных фундаментов, недостаточно изученных в массовом строительстве; при наличии в задании на проектирование специальных требований по измерению деформаций в целях изучения работы оснований, фундаментов, конструкций здания, сооружения или технологического оборудования. Выбор объекта для измерения деформаций должен быть согласован с заказчиком.
Программа и результаты наблюдений, проводившихся в период строительства, должны включаться в состав проектной документации, передаваемой при приемочном акте организации, эксплуатирующей здание или сооружение.
1.6. Свайные фундаменты, предназначенные для эксплуатации в условиях агрессивной среды, следует проектировать с учетом дополнительных требований, предъявляемых главой СНиП по защите строительных конструкций от коррозии, а деревянные конструкции свайных фундаментов - также с учетом требований по защите их от гниения, разрушения и поражения древоточцами.
2.1. В настоящей главе рассматриваются следующие виды свай:
а) сваи забивные железобетонные и деревянные, погружаемые в грунт с помощью молотов, вибропогружателей и вибровдавливающих агрегатов;
б) сваи-оболочки железобетонные;
в) сваи набивные бетонные и железобетонные, устраиваемые в грунте на месте;
г) сваи буроопускные железобетонные, устраиваемые из готовых железобетонных элементов, погружаемых в заранее пробуренные в грунте скважины;
д) сваи винтовые со стальным или железобетонным стволом.
Применение стальных свай (из стальных труб или металлопроката другого вида, в том числе из старогодных рельсов) не допускается, за исключением свай фундаментов морских стационарных платформ для добычи нефти и газа.
2.2. Сваи, в зависимости от свойств грунтов, залегающих под нижним концом, подразделяются на сваи-стойки и висячие сваи.
К сваям-стойкам относятся сваи всех видов и сваи-оболочки, которые передают нагрузку нижним концом на практически несжимаемые грунты. Силы трения грунта на боковой поверхности свай-стоек в расчетах их несущей способности по грунту основания на сжимающую нагрузку не учитываются.
К висячим сваям относятся сваи всех видов и сваи-оболочки, погруженные в сжимаемые грунты. Висячие сваи передают нагрузку на грунт боковой поверхностью и нижним концом.
Примечание. К практически несжимаемым грунтам относятся скальные, крупнообломочные (валунный, галечниковый, щебенистый, гравийный, дресвяный) с песчаным заполнителем и глинистые грунты твердой консистенции, за исключением покровных со степенью влажности G < 0,85, а также лессов, лессовидных, набухающих и засоленных грунтов.
2.3. Забивные железобетонные сваи и сваи-оболочки подразделяются:
а) по способу армирования - на сваи и сваи-оболочки с ненапрягаемой продольной арматурой с поперечным армированием и на предварительно напряженные со стержневой или проволочной продольной арматурой (из высокопрочной проволоки и арматурных канатов) с поперечным армированием и без него, причем без поперечного армирования изготавливаются только сваи квадратного поперечного сечения;
б) по форме поперечного сечения - на сваи квадратные, прямоугольные, квадратные с круглой полостью и полые круглые диаметром до 800 мм включительно и сваи-оболочки диаметром более 800 мм;
в) по форме продольного сечения - на призматические и с наклонными боковыми гранями (пирамидальные, трапецеидальные, ромбовидные);
г) по конструктивным особенностям ствола сваи - на цельные и составные (из отдельных секций);
д) по конструкции нижнего конца - на сваи с заостренным или плоским нижним концом, с уширением (булавовидные сваи) или без него, полые сваи - с закрытым или открытым нижним концом и с камуфлетной пятой.
Примечание. Сваи забивные с камуфлетной пятой изготавливаются путем забивки полых круглых свай, оборудованных в нижней части стальным полым наконечником с закрытым концом, с последующим заполнением полости сваи и наконечника бетонной смесью и устройством с помощью взрыва уширенной пяты (камуфлета) в пределах наконечника. В проектах свайных фундаментов с применением забивных свай с камуфлетной пятой следует предусматривать указания о строгом соблюдении требований правил производства буровзрывных работ, в том числе при определении допускаемых расстояний от существующих зданий и сооружений до места взрыва.
2.4. Разновидностью забивных железобетонных свай по конструкции и по способу погружения являются:
а) сваи-колонны, надземная часть которых служит колоннами зданий (сооружений).
Не допускается использование в качестве свай-колонн предварительно напряженных железобетонных свай с продольной проволочной арматурой, а также предварительно напряженных свай без поперечного армирования с любым видом продольной арматуры;
б) сваи, погружаемые в лидерные скважины, причем диаметр лидерной скважины должен быть не более меньшего размера поперечного сечения или диаметра сваи, а глубина - меньше требуемой по расчету глубины погружения сваи не менее чем на 1 м.
Лидерные скважины допускается предусматривать при необходимости вынужденной проходки глинистых грунтов твердой и полутвердой консистенции (например, просадочных или набухающих) в случаях, когда по результатам опытной забивки свай или по опыту строительства установлено, что погрузить сваи без лидерных скважин не представляется возможным;
в) сваи, погружаемые с использованием подмыва грунта, причем подмыв не должен производиться на последнем метре погружения сваи, а свая должна быть добита до проектного отказа.
Подмыв допускается предусматривать преимущественно при необходимости пробивки сваями больших толщ песчаных грунтов.
2.5. Забивные деревянные сваи подразделяются на:
а) цельные, изготовляемые из одного бревна;
б) срощенные по длине;
в) пакетные, сплоченные из нескольких цельных или срощенных по длине бревен или брусьев.
2.6. Набивные сваи по способу изготовления разделяются на:
а) набивные, устраиваемые путем предварительного погружения инвентарных труб, нижний конец которых закрыт оставляемым в грунте башмаком или бетонной пробкой, с последующим извлечением этих труб по мере заполнения скважины бетонной смесью;
б) набивные виброштампованные, устраиваемые в пробуренных или в пробитых скважинах путем заполнения скважин жесткой бетонной смесью, уплотняемой виброштампом, выполненным в виде трубы с заостренным нижним концом и закрепленным на ней вибропогружателем;
в) набивные в выштампованном ложе, устраиваемые путем выштамповки в грунте скважин пирамидальной или конусной формы с последующим заполнением их бетонной смесью;
г) буронабивные с уширениями и без них, устраиваемые в неводонасыщенных глинистых грунтах без крепления стенок скважин, а в обводненных грунтах и в песках с закреплением стенок скважин глинистым раствором или инвентарными извлекаемыми обсадными трубами;
д) буронабивные с камуфлетной пятой, устраиваемые путем бурения скважин с последующим образованием уширения взрывом и заполнением скважин бетонной смесью;
е) буроинъекционные диаметром 120 - 200 мм, устраиваемые путем инъекции мелкозернистого бетона в предварительно пробуренные скважины.
Примечания: 1. Применение буронабивных свай в обсадных трубах, оставляемых в грунте, допускается только в случаях, когда исключена возможность применения других решений конструкции фундаментов (при устройстве буронабивных свай в пластах грунтов со скоростями фильтрационного потока более 200 м/сут, при применении буронабивных свай для закрепления действующих оползневых склонов, при устройстве фундаментов морских стационарных платформ для добычи нефти и газа и в других обоснованных случаях).
2. При устройстве буронабивных свай в глинистых грунтах для крепления стенок скважин допускается использовать избыточное давление воды.
2.7. Буроопускные сваи по способу устройства подразделяются на:
а) сваи-столбы, устраиваемые в предварительно пробуренных скважинах путем установки в них готовых железобетонных цилиндрических или призматических элементов сплошного сечения со сторонами или диаметром 800 мм и более и последующего заполнения зазора между стенкой скважины и этими элементами (шириной 5 - 10 см) песчано-цементным раствором;
б) буроопускные сваи с камуфлетной пятой, отличающиеся от буронабивных свай с камуфлетной пятой
(подпункт "д" п. 2.6) тем, что после заполнения бетонной смесью камуфлетного уширения в скважину опускают готовую железобетонную сваю заводского изготовления.
2.8. Железобетонные и бетонные сваи, железобетонные сваи-оболочки и сваи-столбы следует проектировать из тяжелого бетона.
Марка бетона по прочности на сжатие для забивных свай и свай-оболочек должна приниматься не ниже проектной, установленной государственными стандартами на сваи и сваи-оболочки (ГОСТ 19804.0-78).
Для набивных свай, свай-столбов и различных видов забивных свай без предварительного напряжения, на которые отсутствуют государственные стандарты, должен предусматриваться бетон проектной марки не ниже М200, а для предварительно напряженных - не ниже М300.
Примечание. Для коротких набивных свай (длиной менее 3 м) допускается предусматривать применение тяжелого бетона проектной марки не ниже М100.
2.9. Железобетонные ростверки свайных фундаментов следует проектировать из тяжелого бетона проектной марки по прочности на сжатие не ниже:
а) для мостов, гидротехнических сооружений и опор больших переходов воздушных линий электропередачи:
сборные .......................................................... М300
монолитные ....................................................... М200
б) для зданий и сооружений, кроме указанных в подпункте "а":
сборные .......................................................... М200
монолитные ....................................................... М150
Бетон для замоноличивания железобетонных колонн в стаканах свайных ростверков, а также оголовков свай при сборных ленточных ростверках следует предусматривать в соответствии с требованиями главы СНиП по проектированию бетонных и железобетонных конструкций, предъявляемыми к бетону для заделки стыков сборных конструкций, но не ниже марки М150.
Примечание. При проектировании гидротехнических сооружений и мостов проектная марка бетона для замоноличивания сборных элементов свайных фундаментов должна быть выше на одну ступень по сравнению с проектной маркой бетона соединяемых сборных элементов.
2.10. Проектную марку бетона по морозостойкости и водонепроницаемости для железобетонных забивных свай квадратного сечения (в том числе с круглой полостью), а также для железобетонных полых круглых свай и свай-оболочек следует назначать в соответствии с требованиями государственных стандартов на указанные виды свай (ГОСТ 19804.0-78).
Для набивных свай, свай-столбов и различных видов забивных свай, на которые отсутствуют государственные стандарты, а также для свайных ростверков проектную марку бетона по морозостойкости и водонепроницаемости следует назначать в соответствии с требованиями нормативных документов по проектированию зданий и сооружений, в которых будут применены свайные фундаменты. При отсутствии в нормативных документах этих требований проектную марку бетона по морозостойкости и водонепроницаемости следует назначать исходя из температурно-климатических условий района строительства и грунтовых условий эксплуатации свайных фундаментов применительно к соответствующим требованиям, предъявляемым указанными выше государственными стандартами на сваи квадратного сечения (ГОСТ 19804.0-78), полые круглые и сваи-оболочки (ГОСТ 19804.0-78).
2.11. Стыки звеньев составных железобетонных свай и свай-оболочек должны обеспечивать: а) равнопрочность стыкового соединения и ствола сваи (сваи-оболочки) на осевые вдавливающие и горизонтальные нагрузки и изгибающие моменты, а для фундаментов со сваями, работающими на выдергивающие нагрузки, - также на растягивающие силы; б) соосность стыкуемых элементов.
2.12. Сборные железобетонные ростверки ленточные и для кустов свай допускается применять как цельные, так и составные с учетом грузоподъемности транспортных средств и монтажных механизмов.
2.13. Деревянные сваи должны изготавливаться из бревен хвойных пород (сосны, ели, лиственницы, пихты) диаметром 22 - 34 см и длиной 6,5 и 8,5 м, отвечающих требованиям ГОСТ 9463-72.
Бревна для изготовления свай должны быть очищены от коры, наростов и сучьев. Естественная коничность (сбег) бревен сохраняется. Размеры поперечного сечения и длины пакетных свай принимаются по результатам расчета и в соответствии с особенностями проектируемого объекта.
Примечание. Возможность применения для деревянных свай бревен длиной более 8,5 м допускается только по соглашению с предприятием - изготовителем свай.
2.14. Стыки бревен или брусьев в срощенных по длине деревянных сваях и в пакетных сваях осуществляются впритык с перекрытием металлическими накладками или патрубками. Стыки в пакетных сваях должны располагаться вразбежку на расстоянии друг от друга не менее 1,5 м.
3. ТРЕБОВАНИЯ К ИЗЫСКАНИЯМ
3.1. Объем и состав изыскательских работ для каждого объекта, проектируемого на свайных фундаментах, должны определяться программой, разработанной изыскательской организацией по техническому заданию на производство изысканий, выданному заказчиком (проектной организацией - генеральным проектировщиком) в соответствии с требованиями главы СНиП на инженерные изыскания для строительства и других действующих нормативных документов и государственных стандартов на изыскательские работы по исследованию грунтов оснований зданий и сооружений, а также требованиями
раздела 3 настоящей главы.
Техническое задание на производство изысканий должно составляться генеральным проектировщиком при участии организации, разрабатывающей проект фундаментов. Программа должна быть согласована с организацией, выдавшей техническое задание на производство изысканий.
3.2. Все виды инженерных изысканий, необходимых для разработки проектов свайных фундаментов, должны осуществляться в комплексе проектно-изыскательских работ, как правило, на стадии разработки технического (техно-рабочего) проекта в составе, обеспечивающем получение:
а) предварительных данных, позволяющих проектной организации определить возможность и целесообразность применения свайных фундаментов (по результатам бурения скважин, проходки шурфов, статического зондирования, лабораторных исследований грунтов и грунтовых вод);
б) полных данных, требуемых для составления чертежей свайного фундамента (выборе вида и определении размеров свай и свай-оболочек, свай-столбов, а также их несущей способности и соответствующей расчетной нагрузки, допускаемой на сваю) и полученных с учетом результатов бурения скважин, проходки шурфов, зондирования, а при сложных грунтовых условиях, кроме того - результатов испытания грунтов статической нагрузкой штампами или прессиометрами в пределах контуров проектируемых зданий (сооружений). При необходимости на строительной площадке проводятся также испытания свай или свай-оболочек в грунте динамической или статической нагрузками, а для площадок, сложенных набухающими грунтами, также и испытание свай-штампов статической нагрузкой в соответствии с дополнительным техническим заданием (программой), выданным проектной организацией - генеральным проектировщиком; техническое задание должно составляться с привлечением организации, разрабатывающей проект фундаментов.
В отдельных случаях, когда при выполнении проектно-изыскательских работ не представляется возможным из-за занятости строительной площадки осуществить в полном объеме изыскания, необходимые для разработки рабочих чертежей свайных фундаментов, допускается в виде исключения выполнять работы, связанные с испытанием свай, если они необходимы, после разработки и утверждения технического (техно-рабочего) проекта. При этом уточненные рабочие чертежи свайных фундаментов и скорректированная смета, составленная по этим чертежам, должны выдаваться заказчиком до начала производства работ.
Примечания: 1. Динамические и статические испытания свай, свай-оболочек и свай-столбов следует выполнять, соблюдая требования государственного стандарта на методы полевых испытаний свай (ГОСТ 5686-78), а испытания грунтов статическим и динамическим зондированием, прессиометрическим методом и штампами - требования соответствующих государственных стандартов на методы полевых испытаний грунтов статическим (
ГОСТ 20069-81) и динамическим (ГОСТ 19912-81) зондированием и на методы полевых определений модуля деформации грунта прессиометрами (ГОСТ 20276-74) и штампами (ГОСТ 12374-77).
2. Предусмотренные
подпунктом "а" п. 3.2 изыскательские работы могут не производиться или производиться в сокращенном объеме, если данные, требуемые для определения технического решения и вида свайных фундаментов, могут быть получены из фондовых материалов проектных, изыскательских и других организаций.
3. Статические испытания свай при инженерных изысканиях, как правило, не следует производить, если фундаменты проектируются со сваями-стойками, забиваемыми молотом, энергия удара которого удовлетворяет требованиям главы СНиП на производство и приемку работ по устройству оснований и фундаментов. Во всех остальных случаях вопрос о необходимости статических испытаний свай определяется проектной организацией, проектирующей свайные фундаменты, при выдаче задания на изыскания.
3.3. Если какой-либо из перечисленных в
п. 3.2 элементов изысканий предусмотрен программой, то количество их для каждого здания или сооружения должно быть не менее:
буровых скважин - 2;
шурфов - 2;
зондирований - 5;
динамических испытаний свай - 5;
статических испытаний свай, свай-штампов или свай-оболочек - 2;
испытаний грунтов статической нагрузкой штампами или прессиометрами - 2.
Количество и порядок отбора образцов грунтов для производства лабораторных исследований устанавливаются в программе на производство изысканий в соответствии с требованиями действующих нормативных документов на исследования грунтов оснований зданий и сооружений, в том числе обязателен отбор образцов из грунтов, которые будут залегать непосредственно под нижними концами свай (свай-оболочек, свай-столбов) и ниже их в пределах 5 м.
Примечания: 1. Если инженерно-геологические условия строительной площадки аналогичны условиям примыкающей к ней территории, для которой уже имеется достаточный опыт устройства свайных фундаментов, то по согласованию с проектной организацией - автором проекта фундаментов - допускается устанавливать сокращенный объем исследований.
2. Разработка рабочих чертежей свайных фундаментов не допускается, если в пределах контура проектируемого здания или сооружения либо вблизи него (до 5 м) отсутствуют скважины или шурфы, по которым имеются результаты лабораторных определений физико-механических свойств грунтов.
3.4. Глубину бурения скважин, предусматриваемую в программе изыскательских работ с учетом конкретных инженерно-геологических условий строительной площадки и характера проектируемых зданий (сооружений), следует назначать ниже проектируемой глубины погружения нижнего конца свай, свай-оболочек и свай-столбов в нескальных грунтах, как правило, не менее чем на 5 м.
Для каркасных зданий и сооружений с нагрузкой на куст висячих свай и свай-оболочек более 300 тс, а также при сплошном свайном поле под всем сооружением глубину бурения 50% количества скважин следует назначать ниже проектируемой глубины погружения нижнего конца свай или свай-оболочек, как правило, не менее чем на 10 м.
При необходимости опирания или заглубления свай, свай-оболочек и свай-столбов в скальные грунты глубина бурения скважин должна быть не менее чем на 1,5 м ниже конца свай, свай-оболочек и свай-столбов. При наличии в скальных грунтах карста, прослоек нескального грунта и других местных ослаблений грунтов количество и глубина скважин назначаются по программе изыскательских работ исходя из особенностей инженерно-геологических условий исследуемой строительной площадки.
Примечания: 1. В техническом задании на производство изысканий ориентировочную длину свай, свай-оболочек и свай-столбов для назначения глубины бурения скважин допускается определять по данным о грунтах, полученным из фондовых материалов ранее проведенных инженерно-геологических изысканий или по аналогичным фундаментам смежных зданий и сооружений.
2. Для свай, работающих только на выдергивание, глубину буровых скважин и зондирования при изысканиях допускается принимать на 1 м ниже конца свай.
3.5. Плотность песчаных грунтов должна определяться в условиях природного залегания по данным зондирования в соответствии с требованиями государственных стандартов на методы полевого испытания грунтов статическим (ГОСТ 20069-74) и динамическим
(ГОСТ 19912-74) зондированием или в случае, когда это возможно, - по результатам испытания образцов грунтов ненарушенной структуры, отобранных из шурфов или скважин в соответствии с требованиями нормативных документов на исследование грунтов оснований зданий и сооружений.
4. ОСНОВНЫЕ УКАЗАНИЯ ПО РАСЧЕТУ
4.1. Расчет свайных фундаментов и их оснований должен производиться по предельным состояниям двух групп:
а) по первой группе:
по прочности конструкций свай, свай-оболочек и свай-столбов (ниже в настоящем разделе именуемых для краткости общим названием "сваи"), а также свайных ростверков (
п. 4.2 настоящей главы);
по несущей способности грунта основания свайных фундаментов и свай (
п. 4.3 настоящей главы);
по устойчивости (несущей способности) оснований свайных фундаментов в целом, если на них передаются горизонтальные нагрузки (подпорные стены, фундаменты распорных конструкций и др.) или если основания ограничены откосами либо сложены крутопадающими слоями грунта (
п. 8.12 настоящей главы);
б) по второй группе:
по осадкам оснований свайных фундаментов от вертикальных нагрузок (
пп. 4.4,
7.1 и
7.2 настоящей главы);
по перемещениям свай (вертикальным, горизонтальным

и углам поворота головы свай

) совместно с грунтом оснований от действия вертикальных, горизонтальных нагрузок и моментов (
Приложение к настоящей главе);
по образованию или раскрытию трещин в элементах железобетонных конструкций свайных фундаментов (п. 4.2 настоящей главы).
При расчете свайных фундаментов и их оснований следует учитывать коэффициент надежности по назначению

, принимаемый согласно
Правилам учета степени ответственности зданий и сооружений при проектировании конструкций, если указанный коэффициент не учтен в нагрузках, данных в задании на проектирование фундамента. При этом для мостов и гидротехнических сооружений коэффициент

следует принимать равным единице.
(абзац введен
Изменениями, утв. Постановлением Госстроя СССР от 25.10.1982 N 264)
4.2. Расчет по прочности конструкций свай и свайных ростверков должен производиться в зависимости от их материала (железобетон, бетон, древесина) соответственно по главе СНиП по проектированию бетонных и железобетонных или по главе СНиП по проектированию деревянных конструкций, а в необходимых случаях также по главам СНиП по проектированию мостов и труб и по проектированию бетонных и железобетонных конструкций гидротехнических сооружений с учетом дополнительных требований, изложенных в
пп. 4.6,
5.2 и
5.3 и в
Приложении к настоящей главе.
Расчет элементов железобетонных конструкций свайных фундаментов по образованию и раскрытию трещин должен производиться в соответствии с требованиями главы СНиП по проектированию бетонных и железобетонных конструкций, а в необходимых случаях также и в соответствии с требованиями главы СНиП по проектированию бетонных и железобетонных конструкций гидротехнических сооружений.
4.3. Свайные фундаменты и сваи по несущей способности грунтов основания должны рассчитываться по формуле

, (1)
где N - расчетная нагрузка, тс, передаваемая на сваю (продольное усилие, возникающее в ней от расчетных нагрузок, действующих на фундамент при наиболее невыгодном их сочетании), определяемая в соответствии с указаниями
раздела 8 настоящей главы;

- расчетная несущая способность грунта основания одиночной сваи, кН (тс), называемая в дальнейшем для краткости "несущей способностью сваи", определяемая в соответствии с указаниями
разделов 5,
6,
9,
11 -
14 настоящей главы;

- коэффициент надежности, принимаемый равным:
а) если несущая способность сваи определена расчетом, в том числе по результатам динамических испытаний свай, выполненных без учета упругих деформаций грунта, -

;
б) если несущая способность сваи определена по результатам полевых испытаний статической нагрузкой или расчета по результатам статического зондирования грунта, а также по результатам динамических испытаний свай, выполненных с учетом упругих деформаций грунта, -

;
в) для фундаментов мостов при высоком ростверке коэффициент надежности следует принимать в зависимости от общего числа свай в фундаменте под опору:
при 21 свае и более

от 11 до 20 свай

" 6 " 10 "

" 1 " 5 "

.
В скобках указаны значения

в случаях, когда несущая способность свай определена по результатам полевых испытаний их статической нагрузкой.
P - расчетная нагрузка, тс, допускаемая на сваю
<*>.
--------------------------------
<*> По ранее действовавшим нормам проектирования свайных фундаментов СНиП II-Б.5-67* P именовалось "несущей способностью сваи".
Примечания: 1. При расчете свай всех видов на выдергивание, а свай-оболочек и свай-столбов также и на вдавливание к расчетной нагрузке или к продольному усилию, возникающему в них от расчетной нагрузки, передаваемой на сваю N, тс, следует прибавлять собственный вес сваи, сваи-оболочки или сваи-столба.
2. Если расчет свайных фундаментов производится на сочетание воздействий с учетом ветровых и крановых нагрузок, то передаваемую на крайние сваи расчетную нагрузку разрешается повышать на 20% (кроме фундаментов опор линий электропередачи).
3. Для фундаментов из одиночной сваи под колонну при нагрузке на забивную сваю квадратного сечения более 600 кН (60 тс) и набивную сваю более 2500 кН (250 тс) значения коэффициентов надежности

следует принимать

, если несущая способность сваи определена по результатам испытаний статической нагрузкой, и

, если несущая способность сваи определена другими методами.
Если сваи фундамента опоры моста в направлении действия внешних нагрузок образуют один ряд или несколько рядов, то при учете (совместном или раздельном) нагрузок от торможения, давления ветра и льда, навала судов передаваемую на сваю расчетную нагрузку допускается повышать на 10% при четырех сваях в ряду и на 20% при восьми и более сваях. При промежуточном количестве свай процент повышения расчетной нагрузки определяется интерполяцией.
4.4. Свайные фундаменты в целом и сваи, рассчитываемые по предельным состояниям второй группы (по деформациям), должны удовлетворять условию

, (2)
где S - расчетная величина деформации (осадки, перемещения и т.п.) сваи и свайного фундамента в целом, определяемая расчетом по указаниям пп. 4.5 и
4.6,
раздела 7 и
Приложения к настоящей главе;

- предельно допускаемая величина деформации (осадки, перемещения и т.п.) свайного фундамента, устанавливаемая в задании на проектирование, а при отсутствии ее в задании - принимается по предельно допускаемым деформациям, установленным в главе СНиП по проектированию оснований зданий и сооружений.
4.5. Нагрузки и воздействия, учитываемые в расчетах свайных фундаментов, должны определяться по главам СНиП: нагрузки и воздействия; основные положения проектирования строительных конструкций и оснований. В необходимых случаях нагрузки и воздействия должны определяться также по главам СНиП: строительство в сейсмических районах; проектирование зданий и сооружений на подрабатываемых территориях; проектирование мостов и труб; нагрузки и воздействия на гидротехнические сооружения (волновые, ледовые и от судов).
При этом расчет свайных фундаментов и их оснований по несущей способности должен производиться на основные сочетания расчетных нагрузок с коэффициентами перегрузки, принимаемыми в соответствии с требованиями глав СНиП на нагрузки и воздействия, а расчет оснований свайных фундаментов по деформациям - на основные сочетания расчетных нагрузок с коэффициентами перегрузки, равными единице.
Расчет осадок опор мостов производится только на действие постоянных нагрузок, а горизонтальных смещений верха опор в направлениях как вдоль, так и поперек оси моста - на сочетание постоянных и временных нагрузок.
При проектировании свайных фундаментов, устраиваемых в особых природных условиях и при действии особых нагрузок (сейсмических, воздействий от деформаций земной поверхности при подработках территории и др.), кроме указанных выше расчетов свайных фундаментов и их оснований должен производиться также расчет по несущей способности на особые сочетания нагрузок, а в необходимых случаях (например, при подработке территории) - и по деформациям.
4.6. Определение несущей способности

и деформаций S свай, ростверков, свайных фундаментов в целом и их оснований должно выполняться расчетом согласно требованиям настоящей главы, используя расчетные значения характеристик материалов и грунтов. При наличии результатов полевых испытаний (в соответствии с требованиями, приведенными в
пп. 6.1 -
6.9 настоящей главы) несущая способность свай должна определяться с учетом результатов, полученных при статическом зондировании грунтов или по данным динамических испытаний свай, либо приниматься непосредственно по результатам испытаний свай статической нагрузкой.
Под термином "характеристики грунтов" следует понимать прочностные и деформационные характеристики грунтов (угол внутреннего трения

, удельное сцепление c, модуль деформации нескальных грунтов E), а также объемный вес грунта

. Кроме того, к расчетным характеристикам грунтов в настоящей главе отнесены также расчетные сопротивления грунтов R под нижним концом и f на боковой поверхности свай, а также расчетные величины коэффициента постели грунта C на их боковой поверхности.
Расчетные значения характеристик грунтов

, c, E и

следует определять в соответствии с требованиями главы СНиП по проектированию оснований зданий и сооружений и
ГОСТ 20522-75, ограничивая при этом коэффициенты безопасности по грунту

для определения угла внутреннего трения

и удельного сцепления

значениями соответственно 1,1 и 1,5. В расчетах по деформациям допускается принимать для определения всех расчетных характеристик грунтов

.
Расчетные сопротивления грунтов R и f, используемые в формулах для определения несущей способности свай, должны приниматься в соответствии с указаниями
пп. 5.4 -
5.11 настоящей главы. Расчетные значения коэффициента постели грунта C при расчете свай на горизонтальные нагрузки следует принимать по
формуле (3), приведенной в
Приложении к настоящей главе.
Расчетные характеристики материалов свай и ростверков должны приниматься по главам СНиП по проектированию бетонных и железобетонных или деревянных конструкций, а для мостов - главе СНиП по проектированию мостов и труб.
4.7. Расчеты конструкций свай всех видов следует производить на усилия, передаваемые на них от здания или сооружения, а забивных свай, кроме того, на усилия, возникающие в них от собственного веса при их изготовлении, складировании и транспортировании, а также при их подъеме на копер за одну точку, удаленную от головы свай на 0,3L (где L - длина сваи).
Усилие в свае (как балке) от воздействия собственного веса следует определять с учетом коэффициента динамичности, равного:
при расчете по прочности - 1,5;
при расчете по образованию и раскрытию трещин - 1,25.
В этих случаях коэффициент перегрузки к собственному весу сваи принимается равным единице.
4.8. Сваи-колонны следует рассчитывать как забивные железобетонные сваи с учетом дополнительных требований, содержащихся в
разделе 14 настоящей главы, а также по прочности и устойчивости как элементы каркаса здания.
5. РАСЧЕТ СВАЙ, СВАЙ-ОБОЛОЧЕК
И СВАЙ-СТОЛБОВ ПО НЕСУЩЕЙ СПОСОБНОСТИ
5.1. Несущую способность свай всех видов, свай-оболочек и свай-столбов следует определять как наименьшее из значений несущей способности, полученных по следующим двум условиям:
а) из условия сопротивления грунта основания свай, свай-оболочек и свай-столбов в соответствии с требованиями, приведенными в
пп. 5.4 -
5.12 настоящей главы;
б) из условия сопротивления материала свай, свай-оболочек и свай-столбов в соответствии с требованиями пп. 5.2 -
5.3 и глав СНиП по проектированию бетонных и железобетонных или деревянных конструкций, а в необходимых случаях - главы СНиП по проектированию мостов и труб.
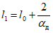
5.2. При расчете свай, свай-оболочек и свай-столбов по прочности материала сваю (сваю-оболочку и сваю-столб) следует рассматривать как стержень, жестко защемленный в грунте в сечении, расположенном от подошвы ростверка на расстоянии

, определяемом по формуле

, (3)
где

- длина участка сваи, сваи-оболочки и сваи-столба от подошвы ростверка до уровня поверхности грунта, м;

- коэффициент деформации, 1/м, определяемый по
формуле (6) Приложения к настоящей главе.
Если для набивных свай, свай-оболочек и свай-столбов, заделанных в скальный грунт, величина

(где l - глубина, м, погружения набивной сваи, сваи-оболочки или сваи-столба, отсчитываемая от их нижнего конца до планировочной поверхности грунта - при высоком свайном ростверке, до подошвы ростверка - при низком ростверке), то следует принимать

.
При расчете по прочности материала буроинъекционных свай, прорезающих слабые грунты с модулем деформации E = 5 МПа (50 кгс/см
2) и менее, расчетную длину свай

на продольный изгиб в зависимости от диаметра сваи d следует принимать равной:
при E = 0,5 - 2 МПа (5 - 20 кгс/см
2)

" E = 2 - 5 " (20 - 50 " )

.
5.3. При расчете несущей способности набивных свай по материалу расчетное сопротивление бетона следует определять с учетом понижающего коэффициента условий работы

, предусмотренного главой СНиП по проектированию бетонных и железобетонных конструкций для элементов, бетонируемых в вертикальном положении, а также дополнительного понижающего коэффициента условий работы, учитывающего влияние способа производства свайных работ:
а) в глинистых грунтах, консистенция которых позволяет бурить скважины и бетонировать их без крепления стенок, при положении горизонта грунтовых вод в период строительства ниже пяты свай

;
б) в грунтах, крепление скважин и бетонирование в которых осуществляется с применением извлекаемых обсадных труб при отсутствии воды в скважинах (т.е. при бетонировании сухим способом),

;
в) в грунтах, бурение скважин в которых производится с применением извлекаемых обсадных труб и бетонирование под водой,

;
г) в грунтах, бурение скважин в которых производится под глинистым раствором (без обсадных труб) и бетонирование под этим же раствором,

.
Примечание. Бетонирование под водой или под глинистым раствором должно вестись только методом ВПТ (вертикально перемещающейся трубы).
5.4. Несущую способность

, тс, сваи-стойки забивной квадратной, прямоугольной или полой круглой диаметром до 0,8 м и сваи-оболочки, набивной сваи и сваи-столба, опирающихся на практически несжимаемый грунт (
примечание к п. 2.2 настоящей главы), следует определять по формуле

, (4)
где m - коэффициент условий работы сваи в грунте, принимаемый m = 1;
F - площадь опирания на грунт сваи, сваи-оболочки и сваи-столба, м2, принимаемая для свай сплошного сечения равной площади поперечного сечения, а для полых круглых и свай-оболочек - равной площади поперечного сечения нетто при отсутствии заполнения их полости бетоном и площади поперечного сечения брутто - при заполнении этой полости бетоном на высоту не менее трех ее диаметров;
R - расчетное сопротивление грунта под нижним концом сваи-стойки, тс/м2, принимаемое:
а) для всех видов забивных свай, опирающихся нижним концом на скальные и крупнообломочные (валунные, галечниковые, щебенистые, гравийные и дресвяные) грунты с песчаным заполнителем, и в случае опирания на глинистые грунты твердой консистенции (кроме покровных со степенью влажности G < 0,85, а также лессов, лессовидных и набухающих) R = 2000 тс/м2;
б) для набивных свай, свай-оболочек, заполняемых бетоном, и свай-столбов, заделанных в невыветрелый скальный грунт (без слабых прослоек) не менее чем на 0,5 м, по формуле

, (5)
где

- нормативное (среднее арифметическое значение) временное сопротивление скального грунта одноосному сжатию в водонасыщенном состоянии, тс/м
2;

- коэффициент безопасности по грунту, принимаемый

;

- расчетная глубина заделки набивной сваи, сваи-оболочки и сваи-столба в скальный грунт, м;

- наружный диаметр заделанной в скальный грунт части набивной сваи, сваи-оболочки и сваи-столба, м;
в) для свай-оболочек, равномерно опираемых на поверхность невыветрелого скального грунта, прикрытого слоем нескальных неразмываемых грунтов толщиной не менее трех диаметров сваи-оболочки, по формуле

, (6)
Примечание. При наличии в основании набивных свай, свай-оболочек и свай-столбов сильновыветрелых и выветрелых, а также размягчаемых скальных грунтов вопрос о назначении величины нормативного сопротивления грунта

должен решаться после выполнения статических испытаний грунтов штампами или по результатам испытания свай, свай-оболочек и свай-столбов статической нагрузкой.
ВИСЯЧИЕ ЗАБИВНЫЕ СВАИ ВСЕХ ВИДОВ
5.5. Несущую способность

, тс, висячей забивной сваи (квадратной, квадратной с круглой полостью, прямоугольной и полой круглой диаметром до 0,8 м), работающей на сжимающую нагрузку, следует определять как сумму расчетных сопротивлений грунтов оснований под нижним концом сваи и на ее боковой поверхности по формуле

, (7)
где m - коэффициент условий работы сваи в грунте, принимаемый m = 1;
R - расчетное сопротивление грунта под нижним концом свай, тс/м
2, определяемое по
табл. 1;
F - площадь опирания на грунт сваи, м2, принимаемая по площади поперечного сечения сваи брутто или по площади поперечного сечения камуфлетного уширения по его наибольшему диаметру;
u - наружный периметр поперечного сечения сваи, м;

- расчетное сопротивление i-го слоя грунта основания на боковой поверхности сваи, тс/м
2, определяемое по
табл. 2;

- толщина i-го слоя грунта, соприкасающегося с боковой поверхностью, м;

и

- коэффициенты условий работы грунта соответственно под нижним концом и на боковой поверхности сваи, учитывающие влияние способа погружения свай на расчетные сопротивления грунта, определяемые по
табл. 3 и принимаемые независимо друг от друга.
Глубина погружения нижнего конца сваи, м | Расчетные сопротивления под нижним концом забивных свай и свай-оболочек, не заполняемых бетоном, R, тс/м2 |
песчаных грунтов средней плотности |
гравелистых | крупных | - | средней крупности | мелких | пылеватых | - |
глинистых грунтов при показателе консистенции IL, равной |
0 | 0,1 | 0,2 | 0,3 | 0,4 | 0,5 | 0,6 |
3 | 750 | 660 ----- 400 | 300 | 310 ----- 200 | 200 ----- 120 | 110 | 60 |
4 | 830 | 680 ----- 510 | 380 | 320 ----- 250 | 210 ----- 160 | 125 | 70 |
5 | 880 | 700 ----- 620 | 400 | 340 ----- 280 | 220 ----- 200 | 130 | 80 |
7 | 970 | 730 ----- 690 | 430 | 370 ----- 330 | 240 ----- 220 | 140 | 85 |
10 | 1050 | 770 ----- 730 | 500 | 400 ----- 350 | 260 ----- 240 | 150 | 90 |
15 | 1170 | 820 ----- 750 | 560 | 440 ----- 400 | 290 | 165 | 100 |
20 | 1260 | 850 | 620 | 480 ----- 450 | 320 | 180 | 110 |
25 | 1340 | 900 | 680 | 520 | 350 | 195 | 120 |
30 | 1420 | 950 | 740 | 560 | 380 | 210 | 130 |
35 | 1500 | 1000 | 800 | 600 | 410 | 225 | 140 |
Примечания: 1. В случаях когда в табл. 1 значения R указаны дробью, числитель относится к пескам, а знаменатель - к глинам. 2. В табл. 1 и 2 глубину погружения нижнего конца сваи или сваи-оболочки и среднюю глубину расположения слоя грунта при планировке территории срезкой, подсыпкой, намывом до 3 м следует принимать от уровня природного рельефа, а при срезке, подсыпке, намыве от 3 до 10 м - от условной отметки, расположенной соответственно на 3 м выше уровня срезки или на 3 м ниже уровня подсыпки. Глубину погружения нижнего конца сваи или сваи-оболочки и среднюю глубину расположения слоя грунта в акватории следует принимать с учетом возможного общего размыва грунта дна водотока при расчетном паводке. При проектировании путепроводов через выемки для свай, забиваемых молотами без подмыва или устройства лидерных скважин, глубину погружения в грунт нижнего конца сваи или сваи-оболочки в табл. 1 следует принимать от уровня природного рельефа в месте сооружения фундамента. 3. Для промежуточных глубин погружения свай и свай-оболочек и промежуточных значений консистенции I L глинистых грунтов значения R и f определяются интерполяцией соответственно по табл. 1 и 2. 4. Для плотных песчаных грунтов, степень плотности которых определена по материалам статического зондирования, значения R по табл. 1 для свай, погруженных без использования подмыва или лидерных скважин, следует увеличить на 100%. При определении степени плотности грунтов по материалам других видов инженерных изысканий и отсутствии данных статического зондирования для плотных песков значения R по табл. 1 следует увеличить на 60%, но не более чем до 2000 тс/м 2. 5. Значениями расчетных сопротивлений R по табл. 1 допускается пользоваться при условии, если заглубление свай и свай-оболочек в неразмываемый и несрезаемый грунт составляет не менее: для мостов и гидротехнических сооружений - 4,0 м; для зданий и прочих сооружений - 3,0 м. 6. Значения расчетного сопротивления R грунта под нижним концом забивных свай сечением 15 x 15 см и менее, используемых в качестве фундаментов под внутренние перегородки одноэтажных производственных зданий, допускается повышать на 20%. |
|
Средняя глубина расположения слоя грунта, м | Расчетные сопротивления на боковой поверхности свай и свай-оболочек f, тс/м2 |
песчаных грунтов средней плотности |
крупных и средней крупности | мелких | пылеватых | - | - | - | - | - | - |
глинистых грунтов при показателе консистенции IL, равном |
0,2 | 0,3 | 0,4 | 0,5 | 0,6 | 0,7 | 0,8 | 0,9 | 1,0 |
1 | 3,5 | 2,3 | 1,5 | 1,2 | 0,8 | 0,4 | 0,4 | 0,3 | 0,2 |
2 | 4,2 | 3,0 | 2,1 | 1,7 | 1,2 | 0,7 | 0,5 | 0,4 | 0,4 |
3 | 4,8 | 3,5 | 2,5 | 2,0 | 1,4 | 0,8 | 0,7 | 0,6 | 0,5 |
4 | 5,3 | 3,8 | 2,7 | 2,2 | 1,6 | 0,9 | 0,8 | 0,7 | 0,5 |
5 | 5,6 | 4,0 | 2,9 | 2,4 | 1,7 | 1,0 | 0,8 | 0,7 | 0,6 |
6 | 5,8 | 4,2 | 3,1 | 2,5 | 1,8 | 1,0 | 0,8 | 0,7 | 0,6 |
8 | 6,2 | 4,4 | 3,3 | 2,6 | 1,9 | 1,0 | 0,8 | 0,7 | 0,6 |
10 | 6,5 | 4,6 | 3,4 | 2,7 | 1,9 | 1,0 | 0,8 | 0,7 | 0,6 |
15 | 7,2 | 5,1 | 3,8 | 2,8 | 2,0 | 1,1 | 0,8 | 0,7 | 0,6 |
20 | 7,9 | 5,6 | 4,1 | 3,0 | 2,0 | 1,2 | 0,8 | 0,7 | 0,6 |
25 | 8,6 | 6,1 | 4,4 | 3,2 | 2,0 | 1,2 | 0,8 | 0,7 | 0,6 |
30 | 9,3 | 6,6 | 4,7 | 3,4 | 2,1 | 1,2 | 0,9 | 0,8 | 0,7 |
35 | 10,0 | 7,0 | 5,0 | 3,6 | 2,2 | 1,3 | 0,9 | 0,8 | 0,7 |
Примечания: 1. При определении расчетного сопротивления грунта на боковой поверхности свай и свай-оболочек f по табл. 2 надлежит обязательно учитывать требования, изложенные в примечаниях 2 и 3 к табл. 1. 2. При определении по табл. 2 расчетных сопротивлений грунтов на боковой поверхности свай и свай-оболочек f пласты грунтов следует расчленять на однородные слои толщиной не более 2 м. 3. Величины расчетного сопротивления плотных песчаных грунтов на боковой поверхности свай и свай-оболочек f следует увеличивать на 30% против значений, приведенных в табл. 2. 4. Расчетные сопротивления супесей и суглинков с коэффициентом пористости  и глин с коэффициентом пористости  следует увеличить на 15% против значений, приведенных в таблице 2, при любых значениях показателя консистенции  . |
(примечание 4 введено Изменениями, утв. Постановлением Госстроя СССР от 25.10.1982 N 264) |
Способы погружения свай и виды грунтов | Коэффициенты условий работы грунта, учитываемые независимо друг от друга при расчете несущей способности забивных висячих свай |
под нижним концом сваи mR | на боковой поверхности сваи mf |
1. Погружение забивкой сплошных и полых с закрытым нижним концом свай механическими (подвесными), паровоздушными и дизельными молотами | 1,0 | 1,0 |
2. Погружение забивкой в предварительно пробуренные скважины (лидеры) с заглублением концов свай не менее 1 м ниже забоя скважины при ее диаметре: | | |
а) равном стороне квадратной сваи | 1,0 | 0,5 |
б) на 5 см меньшем стороны квадратной сваи | 1,0 | 0,6 |
в) на 15 см меньшем стороны квадратной или диаметра круглой сваи (для опор линий электропередачи) | 1,0 | 1,0 |
3. Погружение с подмывом в песчаные грунты при условии добивки свай на последнем метре погружения без применения подмыва | 1,0 | 0,9 |
4. Вибропогружение и вибровдавливание в грунты: | | |
а) песчаные средней плотности: | | |
пески крупные и средней крупности | 1,2 | 1,0 |
пески мелкие | 1,1 | 1,0 |
пески пылеватые | 1,0 | 1,0 |
б) глинистые с показателем консистенции IL = 0,5: | | |
супеси | 0,9 | 0,9 |
суглинки | 0,8 | 0,9 |
глины | 0,7 | 0,9 |
в) глинистые с показателем консистенции IL <= 0 | 1,0 | 1,0 |
5. Погружение молотами любой конструкции полых свай с открытым нижним концом: | | |
а) при диаметре полости сваи 40 см и менее | 1,0 | 1,0 |
б) при диаметре полости сваи более 40 см | 0,7 | 1,0 |
6. Погружение любым способом полых круглых свай с закрытым нижним концом на глубину 10 м и более с последующим устройством в нижнем конце сваи камуфлетного уширения в песчаных грунтах средней плотности и в глинистых грунтах консистенции IL <= 0,5 при диаметре уширения, равном: | | |
а) 1,0 м независимо от указанных видов грунта | 0,9 | 1,0 |
б) 1,5 м в песках и супесях | 0,8 | 1,0 |
в) 1,5 м в суглинках и глинах | 0,7 | 1,0 |
Примечание. Коэффициенты m R и m f по поз. 4 табл. 3 для глинистых грунтов с показателем консистенции 0,5 > I L > 0 определяются интерполяцией. |
В
формуле (7) суммирование расчетных сопротивлений грунта должно проводиться по всем слоям грунта, пройденным сваей, за исключением случаев, когда проектом предусматривается планировка территории срезкой или возможен размыв грунта. В этих случаях должно производиться суммирование расчетных сопротивлений всех слоев грунта, расположенных соответственно ниже планировочного уровня (срезки) и отметки местного размыва при расчетном паводке.
Примечания: 1. Несущая способность забивных свай с объемным или плоским двухсторонним уширением нижнего конца (булавовидных свай) определяется по
формуле (7), при этом за периметр u на участке ствола принимается периметр поперечного сечения ствола сваи, а на участке уширения - периметр поперечного сечения уширения. Расчетное сопротивление

грунта на боковой поверхности таких свай на участке уширения, а в песчаных грунтах и на участке ствола следует принимать такое же, как для свай без уширения; в глинистых грунтах сопротивление

на участке ствола, расположенного со стороны уширения, следует принимать равным нулю.
2. Расчетные сопротивления грунтов R и

в
формуле (7) для лессов и лессовидных суглинков при глубине погружения свай более 5 м принимаются по значениям, указанным в
табл. 1 и
2 для глубины 5 м. Кроме того, для этих грунтов, в случае возможности их замачивания, расчетные сопротивления R и f, указанные в табл. 1 и 2, следует принимать по показателю консистенции, соответствующему полному водонасыщению грунта, т.е. при степени влажности G = 1.
5.6. Для забивных свай, опирающихся нижним концом на рыхлые песчаные грунты или на глинистые грунты с показателем консистенции

, несущую способность следует определять по результатам статических испытаний свай.
5.7. Расчет несущей способности пирамидальной, трапецеидальной и ромбовидной сваи, прорезающей песчаные и глинистые грунты, следует производить с учетом дополнительного сопротивления грунта на боковой поверхности таких свай, определяемого в зависимости от величины модуля деформации грунта, получаемого по результатам компрессионных испытаний грунтов, прорезаемых сваей. Несущую способность пирамидальной, трапецеидальной и ромбовидной сваи

, тс, в этом случае следует определять по формуле

, (8)
где m, R, F,

и

- обозначения те же, что и в
формуле (7);

- наружный периметр i-го сечения сваи, м;

- сумма размеров сторон i-го поперечного сечения сваи, м, которые имеют наклон к оси сваи;

- уклон боковой поверхности сваи в долях единицы, определяемый как отношение полуразности сторон поперечного сечения в верхнем и нижнем ее концах к длине участка с наклоном граней; при

следует принимать

;

- модуль деформации i-го слоя грунта, окружающего боковую поверхность сваи, тс/м
2, определяемый по результатам компрессионных испытаний;

- коэффициент, определяемый по табл. 4;

- реологический коэффициент, принимаемый

.
Примечание. При ромбовидных сваях суммирование сопротивлений грунта на боковой поверхности участков с обратным наклоном в
формуле (8) не производится.
Таблица 4
Вид грунта | Коэффициент  |
Пески и супеси | 0,5 |
Суглинки | 0,6 |
Глины при Ip = 0,18 | 0,7 |
То же, при Ip = 0,25 | 0,9 |
Примечание. Для глин с числом пластичности 0,18 < I p < 0,25 значение коэффициента  определяется интерполяцией. |
5.8. Несущую способность

, тс, сваи (квадратной, квадратной с круглой полостью, прямоугольной и полой круглой), работающей на выдергивание, следует определять по формуле

, (9)
m - коэффициент условий работы, принимаемый для свай, погружаемых в грунт на глубину менее 4 м, m = 0,6, то же, на глубину 4 м и более m = 0,8 для всех зданий и сооружений, кроме опор воздушных линий электропередачи, для которых коэффициент m принимается согласно указаниям
раздела 13 настоящей главы.
ВИСЯЧИЕ НАБИВНЫЕ СВАИ, СВАИ-ОБОЛОЧКИ И СВАИ-СТОЛБЫ
5.9. Несущую способность

, тс, набивной сваи с уширенной пятой и без уширения, а также сваи-оболочки и сваи-столба, работающих на осевую сжимающую нагрузку, следует определять по формуле

, (10)
где m - коэффициент условий работы сваи, принимаемый в случае опирания ее на покровные глинистые грунты со степенью влажности G < 0,85 и на лессовые или лессовидные грунты - m = 0,8, а в остальных случаях m = 1;

- коэффициент условий работы грунта под нижним концом набивной сваи, сваи-оболочки и сваи-столба, принимаемый

во всех случаях, за исключением свай с камуфлетными уширениями, для которых этот коэффициент следует принимать

, и устройства свай с уширенной пятой, бетонируемой подводным способом, для которых

;
R - расчетное сопротивление грунта под нижним концом буронабивной сваи, сваи-оболочки и сваи-столба, тс/м
2, принимаемое согласно требованиям
пп. 5.10 и
5.11 настоящих норм, а для набивной, изготовляемой по технологии, указанной в
п. 2.6 "а" и
"б", по
табл. 1 настоящих норм;
F - площадь опирания набивной сваи, сваи-оболочки и сваи-столба, м2, принимаемая равной: для набивных свай без уширения и для свай-столбов - площади поперечного сечения сваи или сваи-столба; для набивных свай с уширением - площади поперечного сечения уширения в месте наибольшего его диаметра; для свай-оболочек, заполненных бетоном, - площади поперечного сечения оболочки брутто; для свай-оболочек с грунтовым ядром без заполнения полости бетоном - площади поперечного сечения нетто;
u - периметр ствола сваи, м, принимаемый по диаметру скважины, обсадной трубы или сваи-оболочки;

- коэффициент условий работы грунта на боковой поверхности набивной сваи, сваи-оболочки и сваи-столба, зависящий от способа образования скважины и их стволов, принимаемый по
табл. 5;

- расчетное сопротивление i-го слоя грунта на боковой поверхности ствола набивной сваи, сваи-оболочки и сваи-столба, тс/м
2, принимаемое по
табл. 2;
Примечание. Сопротивление песчаных грунтов на боковой поверхности сваи с уширенной пятой должно учитываться на участке от уровня планировки до уровня пересечения ствола сваи с поверхностью воображаемого конуса, имеющего в качестве образующей линию, касающуюся границы уширения под углом

к оси сваи, где

- осредненное (по слоям) расчетное значение угла внутреннего трения грунта, залегающего в пределах указанного конуса, определяемое в соответствии с требованиями
п. 4.6 настоящей главы. Сопротивление глинистых грунтов допускается учитывать по всей длине ствола.
Вид свай и способы их устройства | Коэффициент условий работы грунта  при |
песках | супесях | суглинках | глинах |
1. Набивные по п. 2.6 "а" при забивке инвентарной трубы с наконечником | 0,8 | 0,8 | 0,8 | 0,7 |
2. Набивные виброштампованные | 0,9 | 0,9 | 0,9 | 0,9 |
3. Буронабивные, в том числе с уширенной пятой, бетонируемые: | | | | |
а) при отсутствии воды в скважине (сухим способом) | 0,7 | 0,7 | 0,7 | 0,6 |
б) под водой или под глинистым раствором | 0,6 | 0,6 | 0,6 | 0,6 |
4. Сваи-оболочки, погружаемые вибрированием с выемкой грунта | 1,0 | 0,9 | 0,7 | 0,6 |
5. Сваи-столбы | 0,7 | 0,7 | 0,7 | 0,6 |
6. Буроиъекционные, изготавливаемые под защитой обсадных труб или бентонитового раствора с опрессовкой давлением 200 - 400 кПа (2 - 4 атм) | 0,9 | 0,8 | 0,8 | 0,8 |
|
5.10. Расчетное сопротивление R, тс/м
2, грунта под нижним концом набивной сваи, сваи-оболочки, погружаемой с выемкой грунта из полости с последующим заполнением ее бетоном, и сваи-столба допускается принимать:
а) для крупнообломочных грунтов с песчаным заполнителем и песчаных грунтов в случае устройства набивной сваи с уширенной пятой и без уширения, сваи-оболочки, погружаемой с полным удалением грунтового ядра, и сваи-столба - по формуле (11), а в случае сваи-оболочки, погружаемой с сохранением ненарушенного ядра из указанных грунтов на высоту 0,5 м и более, по формуле (12):

; (11)

, (12)
где

,

,

и

- безразмерные коэффициенты, принимаемые по
табл. 6 в зависимости от расчетного значения угла внутреннего трения

грунта основания, определенного в соответствии с указаниями
п. 4.6 настоящей главы;

- расчетное значение объемного веса грунта, тс/м
3, в основании набивной сваи, сваи-оболочки и сваи-столба (при водонасыщенных грунтах с учетом взвешивания в воде);

- осредненное (по слоям) расчетное значение удельного (объемного) веса грунтов, кН/м
3 (тс/м
3), расположенных ниже нижнего конца набивной сваи, сваи-оболочки и сваи-столба (при водонасыщенных грунтах с учетом взвешивания в воде);
d - диаметр, м, набивной сваи, уширения (для сваи с уширенной пятой), сваи-оболочки и сваи-столба;
h - глубина заложения, м, нижнего конца набивной сваи или ее уширенной пяты, сваи-оболочки и сваи-столба, отсчитываемая от природного рельефа или планировочной отметки (при планировке срезкой), а для опор мостов - от дна водоема с учетом его общего размыва при расчетном паводке;
б) для глинистых грунтов в случае устройства набивной сваи с уширением и без уширения, сваи-оболочки, погружаемой с выемкой грунтового ядра (частичной или полной) и заполнением полости бетоном, и сваи-столба в фундаментах зданий и сооружений - по
табл. 7.
Примечание. Положения, предусмотренные
п. 5.10, относятся к случаям, когда обеспечивается заглубление набивной сваи, сваи-оболочки и сваи-столба в грунт, принятый за основание их нижних концов, во всех случаях не менее чем на диаметр сваи (или уширения для сваи с уширенной пятой), сваи-оболочки и сваи-столба, но не менее 2 м.
Обозначение коэффициентов | Коэффициенты  ,  ,  и  при расчетных значениях угла внутреннего трения грунта  , град |
23 | 25 | 27 | 29 | 31 | 33 | 35 | 37 | 39 |
| 9,5 | 12,6 | 17,3 | 24,4 | 34,6 | 48,6 | 71,3 | 108,0 | 163 |
| 18,6 | 24,8 | 32,8 | 45,5 | 64,0 | 87,6 | 127,0 | 185,0 | 260 |
 при  | | 4,0 | 0,78 | 0,79 | 0,80 | 0,82 | 0,84 | 0,85 | 0,85 | 0,86 | 0,87 |
5,0 | 0,75 | 0,76 | 0,77 | 0,79 | 0,81 | 0,82 | 0,83 | 0,84 | 0,85 |
7,5 | 0,68 | 0,70 | 0,71 | 0,74 | 0,76 | 0,78 | 0,80 | 0,82 | 0,84 |
10,0 | 0,62 | 0,65 | 0,67 | 0,70 | 0,73 | 0,75 | 0,77 | 0,79 | 0,81 |
12,5 | 0,58 | 0,61 | 0,63 | 0,67 | 0,70 | 0,73 | 0,75 | 0,78 | 0,80 |
15,0 | 0,55 | 0,58 | 0,61 | 0,65 | 0,68 | 0,71 | 0,73 | 0,76 | 0,79 |
17,5 | 0,51 | 0,55 | 0,58 | 0,62 | 0,66 | 0,69 | 0,72 | 0,75 | 0,78 |
20,0 | 0,49 | 0,53 | 0,57 | 0,61 | 0,65 | 0,68 | 0,72 | 0,75 | 0,78 |
22,5 | 0,46 | 0,51 | 0,55 | 0,60 | 0,64 | 0,67 | 0,71 | 0,74 | 0,77 |
25,0 и более | 0,44 | 0,49 | 0,54 | 0,59 | 0,63 | 0,67 | 0,70 | 0,74 | 0,77 |
 при d = | | 0,8 м и менее | 0,34 | 0,31 | 0,29 | 0,27 | 0,26 | 0,25 | 0,24 | 0,23 | 0,22 |
4,0 м | 0,25 | 0,24 | 0,23 | 0,22 | 0,21 | 0,20 | 0,19 | 0,18 | 0,17 |
Примечание. Для промежуточных значений  ,  и d величины коэффициентов  ,  ,  и  определяются интерполяцией. |
Глубина заложения нижнего конца сваи h, м | Расчетное сопротивление R, тс/м2, под нижним концом набивных свай с уширением и без уширения, свай-столбов и свай-оболочек, погружаемых с выемкой грунта и заполнением полости бетоном, при глинистых грунтах с показателем консистенции IL, равным |
0 | 0,1 | 0,2 | 0,3 | 0,4 | 0,5 | 0,6 |
3 | 85 | 75 | 65 | 50 | 40 | 30 | 25 |
5 | 100 | 85 | 75 | 65 | 50 | 40 | 35 |
7 | 115 | 100 | 85 | 75 | 60 | 50 | 45 |
10 | 135 | 120 | 105 | 95 | 80 | 70 | 60 |
12 | 155 | 140 | 125 | 110 | 95 | 80 | 70 |
15 | 180 | 165 | 150 | 130 | 110 | 100 | 80 |
18 | 210 | 190 | 170 | 150 | 130 | 115 | 95 |
20 | 230 | 210 | 190 | 165 | 145 | 125 | 105 |
30 | 330 | 300 | 260 | 230 | 200 | - | - |
40 | 450 | 400 | 350 | 300 | 250 | - | - |
Примечания: 1. Для свайных фундаментов опор мостов значения R, приведенные в табл. 7, следует: а) повышать (при расположении опор в водоеме) на величину, равную  , где  - удельный вес воды - 1,0 тс/м 3;  - глубина слоя воды, м, считая от меженного уровня до уровня общего размыва при расчетном паводке; |
|
б) понижать при коэффициенте пористости грунта e > 0,6; при этом коэффициент понижения me следует определять интерполяцией между значениями me = 1,0 при e = 0,6 и me = 0,6 при e = 1,1. 2. Для лессовых грунтов в случае возможности их замачивания показатель консистенции грунта следует принимать применительно к полному водонасыщению грунта, т.е. при степени влажности грунта G = 1. |
|
5.11. Расчетное сопротивление R, тс/м
2, грунтов под нижним концом не заполняемых бетоном свай-оболочек с грунтовым ядром, оставляемым на последнем этапе погружения на высоту 0,5 м и более (при условии, что грунтовое ядро образовано из грунта, имеющего те же характеристики, что и грунт, принятый за основание концов сваи-оболочки), принимается по
табл. 1 настоящей главы с коэффициентом условий работы, учитывающим способ погружения свай-оболочек в соответствии с
поз. 4 табл. 3 настоящей главы, причем расчетное сопротивление в указанном случае относится к площади поперечного сечения сваи-оболочки нетто.
5.12. Несущую способность

, тс, набивной сваи, сваи-оболочки и сваи-столба, работающих на выдергивающие нагрузки, следует определять по формуле

, (13)
5.13. Несущую способность

, тс, винтовой сваи диаметром лопасти D <= 1,2 м и длиной L <= 10 м, работающей на сжимающую или выдергивающую нагрузку, следует определять по формуле (14), а при размерах лопасти D > 1,2 м и длине сваи L > 10 м - только по данным испытаний винтовой сваи статической нагрузкой

, (14)
где m - коэффициент условий работы, зависящий от вида нагрузки, действующей на сваю, и грунтовых условий, определяемый по
табл. 8;
A и B - безразмерные коэффициенты, принимаемые по
табл. 9 в зависимости от расчетного значения угла внутреннего трения грунта в рабочей зоне

(под рабочей зоной понимается прилегающий к лопасти слой грунта толщиной, равной D);

- расчетное удельное сцепление глинистого или параметр линейности песчаного грунта в рабочей зоне, тс/м
2;

- приведенный расчетный объемный вес грунтов (с учетом взвешивания водой), залегающих выше отметки лопасти сваи, тс/м
3;
h - глубина залегания лопасти сваи от природного рельефа, а при планировке территории срезкой - от планировочной отметки, м;
F - проекция площади лопасти, считая по наружному диаметру, м2, при работе винтовой сваи на сжимающую нагрузку, и проекция рабочей площади лопасти, т.е. за вычетом площади сечения ствола, м2, при работе винтовой сваи на выдергивающую нагрузку;
f - расчетное сопротивление грунта на боковой поверхности винтовой сваи, тс/м
2, принимаемое по
табл. 2 (приведенное значение для всех слоев в пределах глубины погружения сваи);
u - периметр ствола сваи, м;
L - длина ствола сваи, погруженной в грунт, м;
D - диаметр лопасти сваи, м.
Примечания: 1. При определении несущей способности винтовых свай на вдавливающие нагрузки характеристики грунтов в
табл. 9 относятся к грунтам, залегающим под лопастью, а при работе на выдергивающие нагрузки - над лопастью сваи.
2. Глубина заложения лопасти от планировочной отметки должна быть не менее 5D при глинистых грунтах и не менее 6D - при песчаных грунтах (где D - диаметр лопасти).
3. Расчетные значения угла внутреннего трения

и сцепления грунта

основания при расчетах по
формуле (14) должны определяться в соответствии с требованиями
п. 4.6 настоящей главы.
Наименование грунта | Коэффициенты условий работы винтовых свай m при нагрузках |
сжимающих | выдергивающих | знакопеременных |
1. Глины и суглинки | | | |
а) твердые, полутвердые и тугопластичные | 0,8 | 0,7 | 0,7 |
б) мягкопластичные | 0,8 | 0,7 | 0,6 |
в) текучепластичные | 0,7 | 0,6 | 0,4 |
2. Пески и супеси: | | | |
а) пески маловлажные и супеси твердые | 0,8 | 0,7 | 0,5 |
б) пески влажные и супеси пластичные | 0,7 | 0,6 | 0,4 |
в) пески водонасыщенные и супеси текучие | 0,6 | 0,5 | 0,3 |
Расчетный угол внутреннего трения грунта в рабочей зоне  , град | Коэффициенты |
A | B |
13 | 7,8 | 2,8 |
15 | 8,4 | 3,3 |
16 | 9,4 | 3,8 |
18 | 10,1 | 4,5 |
20 | 12,0 | 5,5 |
22 | 15,0 | 7,0 |
24 | 18,0 | 9,2 |
26 | 23,1 | 12,3 |
28 | 29,5 | 16,5 |
30 | 38,0 | 22,5 |
32 | 48,4 | 31,0 |
34 | 64,9 | 44,4 |
УЧЕТ НЕГАТИВНОГО (ОТРИЦАТЕЛЬНОГО) ТРЕНИЯ
ГРУНТА НА БОКОВОЙ ПОВЕРХНОСТИ ВИСЯЧИХ СВАЙ
5.14. Силами негативного (отрицательного) трения называются силы, возникающие на боковой поверхности сваи при осадке околосвайного грунта и направленные вертикально вниз.
5.15. Если в пределах длины погруженной части сваи залегают напластования торфа толщиной более 30 см и возможна планировка территории подсыпкой или иная ее загрузка, эквивалентная подсыпке, то расчетное сопротивление грунта f, расположенного выше подошвы наинизшего (в пределах длины погруженной части сваи) слоя торфа, принимается:
а) при подсыпках высотой менее 2 м - для грунтовой подсыпки и слоев торфа - равным нулю, а для минеральных ненасыпных грунтов природного сложения - положительным значениям по
табл. 2;
б) при подсыпках высотой от 2 до 5 м - для грунтов, включая подсыпку, - равным 0,4 от значений, указанных в
табл. 2, взятых со знаком минус, а для торфа - минус 0,5 тс/м
2 (негативное трение);
в) при подсыпках высотой более 5 м - для грунтов, включая подсыпку, - равным значениям, указанным в
табл. 2, взятым со знаком минус, а для торфа - минус 0,5 тс/м
2 (негативное трение).
В случае когда консолидация грунта от подсыпки или пригрузки территории к моменту возведения надземной части зданий или сооружений (включая свайный ростверк) завершилась или возможная величина осадки грунта, окружающего сваи, после указанного момента в результате остаточной консолидации не будет превышать половины предельно допускаемой величины осадки для проектируемого здания или сооружения, то сопротивление грунта на боковой поверхности сваи или сваи-оболочки допускается принимать положительным вне зависимости от наличия или отсутствия прослоек торфа. Для прослоек торфа величину f следует принимать равной 0,5 тс/м2.
Если известны коэффициенты консолидации и модули деформации торфов, залегающих в пределах длины погруженной части сваи, и возможно определение величины осадки основания от воздействия пригрузки территории для каждого слоя грунта, то при определении несущей способности сваи или сваи-оболочки допускается учитывать силы сопротивления грунта с отрицательным знаком (негативное трение) не от уровня подошвы нижнего слоя торфа, а начиная от верхнего уровня слоя грунта, величина дополнительной осадки которого от пригрузки территории (определенной начиная с момента времени передачи на сваю расчетной нагрузки) составляет половину предельно допускаемой величины осадки для проектируемого здания или сооружения.
6. ОПРЕДЕЛЕНИЕ НЕСУЩЕЙ СПОСОБНОСТИ СВАЙ
И СВАЙ-ОБОЛОЧЕК ПО РЕЗУЛЬТАТАМ ПОЛЕВЫХ ИССЛЕДОВАНИЙ
6.1. Несущая способность

, тс, сваи или сваи-оболочки после определения ее по результатам испытаний статической или динамической (ударной) нагрузкой, а также по данным статического зондирования грунта должна быть проверена расчетом на эксплуатационные нагрузки и воздействия по условию сопротивления материала сваи или сваи-оболочки в соответствии с требованиями
п. 4.2 настоящей главы.
Примечание. Требования настоящего раздела главы при определении несущей способности свай и свай-оболочек по результатам испытания их статической нагрузкой распространяются также на сваи-столбы.
6.2. Испытания свай и свай-оболочек статической и динамической нагрузкой должны проводиться в соответствии с требованиями ГОСТ 5686-78.
6.3. Несущая способность

, тс, сваи и сваи-оболочки по результатам их испытаний вдавливающей, выдергивающей и горизонтальной статической нагрузкой и по результатам их динамических испытаний определяется по формуле

, (15)
где m - коэффициент условий работы, принимаемый в случае вдавливающих или горизонтальных нагрузок m = 1, а в случае выдергивающих нагрузок при глубине погружения сваи или сваи-оболочки в грунт на 4 м и более - m = 0,8 и при глубине погружения менее 4 м - m = 0,6 для всех видов зданий и сооружений, кроме опор воздушных линий электропередачи, для которых коэффициент условий работы m принимается в соответствии с данными, приведенными в
разделе 13 настоящей главы;

- нормативное значение предельного сопротивления сваи или сваи-оболочки, тс, определяемое в соответствии с указаниями пп. 6.4 -
6.7 настоящей главы;

- коэффициент безопасности по грунту, принимаемый по указаниям п. 6.4 настоящей главы.
6.4. В случае если число свай или свай-оболочек, испытанных в одинаковых грунтовых условиях, составляет менее 6 шт., нормативное значение предельного сопротивления сваи или сваи-оболочки в
формуле (15) следует принимать равным наименьшему предельному сопротивлению, полученному из результатов испытаний, т.е.

, а коэффициент безопасности по грунту -

.
В случае если число свай или свай-оболочек, испытанных в одинаковых условиях, составляет 6 шт. и более, величины

и

следует определять на основании результатов статистической обработки частных значений предельных сопротивлений свай

, полученных по данным испытаний, руководствуясь требованиями
ГОСТ 20522-75, применительно к методике, приведенной в нем для определения временного сопротивления. При этом для определения величины частных значений предельных сопротивлений следует руководствоваться требованиями п. 6.5 настоящей главы при вдавливающих нагрузках,
п. 6.6 - при выдергивающих и горизонтальных нагрузках и
п. 6.7 - при динамических испытаниях.
6.5. Если нагрузка при статическом испытании свай или свай-оболочек на вдавливание доведена до нагрузки, вызывающей непрерывное возрастание их осадки

без увеличения нагрузки (при

), то эта нагрузка принимается за частное значение предельного сопротивления

испытываемой сваи или сваи-оболочки.
Во всех остальных случаях для фундаментов зданий и сооружений (кроме мостов) за частное значение предельного сопротивления сваи или сваи-оболочки

вдавливающей нагрузке следует принимать нагрузку, под воздействием которой испытываемая свая или свая-оболочка получит осадку, равную

, определяемую по формуле

, (16)
где

- предельно допускаемая величина средней осадки фундамента проектируемого здания или сооружения, установленная в задании на проектирование или принимаемая для соответствующих зданий и сооружений по главе СНиП по проектированию оснований зданий и сооружений;

- коэффициент перехода от предельно допускаемой величины средней осадки фундамента здания или сооружения

, заданной в проекте, к осадке сваи или сваи-оболочки, полученной при статических испытаниях с условной стабилизацией (затуханием) осадки. Величину коэффициента следует принимать

в случаях, когда испытание сваи или сваи-оболочки производится при условной стабилизации, равной 0,1 мм за 1 ч, если под их нижними концами залегают грунты песчаные или глинистые с консистенцией от твердой до тугопластичной, а также за 2 ч, если под их нижним концом залегают глинистые грунты от мягкопластичной до текучей консистенции. Величину коэффициента

допускается уточнять по результатам наблюдений за осадками зданий, построенных на свайных фундаментах в аналогичных грунтовых условиях.
Если осадка, определенная по
формуле (16), окажется

, то за частное значение предельного сопротивления сваи или сваи-оболочки

следует принимать нагрузку, соответствующую

.
Для мостов за предельное сопротивление сваи или сваи-оболочки

при вдавливающих нагрузках должна приниматься нагрузка на одну ступень меньше нагрузки, при которой вызывается:
а) приращение осадки за одну ступень загружения (при общей величине осадки более 40 мм), превышающее в 5 раз и более приращение осадки, полученное за предшествующую ступень загружения;
б) осадка, не затухающая в течение одних суток и более (при общей величине ее более 40 мм).
Если при максимальной достигнутой при испытаниях нагрузке, которая окажется равной или большей

[где

- несущая способность сваи или сваи-оболочки, подсчитанная по
формулам (4),
(7) -
(10),
(13) и
(14) настоящей главы], осадка сваи или сваи-оболочки

при испытаниях окажется менее величины, определенной по
формуле (16), а для мостов менее 40 мм, то в этом случае за частное значение предельного сопротивления сваи или сваи-оболочки

допускается принимать максимальную нагрузку, полученную при испытаниях.
Примечание. Ступени загружения при испытаниях свай или свай-оболочек статической вдавливающей нагрузкой должны назначаться равными в пределах 1/10 - 1/15 от предполагаемого предельного сопротивления сваи или сваи-оболочки

.
6.6. При испытании свай или свай-оболочек статической выдергивающей или горизонтальной нагрузкой за частное значение предельного сопротивления

(
п. 6.4 настоящей главы) по графикам (зависимости перемещений от нагрузок) принимается такая нагрузка, без увеличения которой перемещения сваи непрерывно возрастают.
Примечание. Результаты статических испытаний свай или свай-оболочек на горизонтальные нагрузки могут быть использованы для непосредственного определения расчетной нагрузки, которую можно допустить на сваю или сваю-оболочку из условия предельно допускаемых горизонтальных деформаций зданий и сооружений. В качестве такой нагрузки для зданий и сооружений (за исключением сооружений, особо чувствительных к горизонтальным деформациям) допускается принимать нагрузку, при которой величина горизонтального перемещения сваи или сваи-оболочки в уровне поверхности грунта при испытаниях, выполненных по ГОСТ 5686-78, оказывается равной предельно допускаемой величине, но не более 10 мм.
6.7. При динамических испытаниях забивных свай частное значение предельного сопротивления

, тс (
п. 6.4 настоящей главы), по данным их погружения, при фактических (измеренных) остаточных отказах

следует определять по формуле

. (17)
Если фактический (измеренный) остаточный отказ

, то в проекте свайного фундамента следует предусмотреть применение для погружения свай молота с

энергией удара, при которой остаточный отказ будет

, а в случае невозможности замены сваебойного оборудования и при наличии отказомеров частное значение предельного сопротивления сваи

, тс, следует определять по формуле

. (18)
n - коэффициент, принимаемый по
табл. 10 в зависимости от материала сваи, тс/м
2;
F - площадь, ограниченная наружным контуром сплошного или полого поперечного сечения ствола сваи (независимо от наличия или отсутствия у сваи острия), м2;
M - коэффициент, принимаемый при забивке свай молотами ударного действия равным M = 1, а при вибропогружении свай - по
табл. 11 в зависимости от вида грунта под их нижним концом;

- расчетная энергия удара молота, тс·м, принимаемая по
табл. 12, или расчетная энергия вибропогружателей - по
табл. 13;

- фактический остаточный отказ, равный величине погружения сваи от одного удара молота, а при применении вибропогружателей - от их работы в течение одной минуты, м;
c - упругий отказ сваи (упругие перемещения грунта и сваи), определяемый с помощью отказомера, м;

- полный вес молота или вибропогружателя, тс;
Q - вес ударной части молота, тс;

- коэффициент восстановления удара, принимаемый при забивке железобетонных свай и свай-оболочек молотами ударного действия с применением наголовника с деревянным вкладышем

, а при вибропогружении -

;
q - вес сваи и наголовника, тс;

- вес подбабка (при вибропогружении свай -

), тс;

- коэффициент, 1/тс, определяемый по формуле

; (19)

и

- коэффициенты перехода от динамического (включающего вязкое сопротивление грунта) к статическому сопротивлению грунта, принимаемые соответственно равными: для грунта под нижним концом сваи

и для грунта на боковой поверхности сваи

;
| | ИС МЕГАНОРМ: примечание. Обозначение площади дано в соответствии с официальным текстом документа. | |

- площадь боковой поверхности сваи, соприкасающейся с грунтом, м
2;
g - ускорение силы тяжести, принимаемое g = 9,81 м/с2;
H - фактическая высота падения ударной части молота, м;
h - высота первого отскока ударной части молота, принимаемая для дизель-молотов h = 0,5 м, а для других видов молотов h = 0.
Примечания: 1. Значения

, Q, q и

принимаются в расчетных формулах без коэффициента перегрузки. 2. В случае расхождения более чем в 1,4 раза величин несущей способности свай, определенных по
формулам (17) -
(19), с несущей способностью, определенной расчетом в соответствии с требованиями
раздела 5 настоящей главы (по результатам лабораторных определений физико-механических свойств грунтов), необходимо дополнительно проверить несущую способность свай по результатам статического зондирования.
Вид сваи | Коэффициент n, тс/м2 |
1. Железобетонная свая с наголовником | 150 |
2. Деревянная свая без подбабка | 100 |
3. Деревянная свая с подбабком | 80 |
Вид грунта под нижним концом сваи | Коэффициент M |
1. Гравийные с песчаным заполнителем | 1,3 |
2. Пески средней крупности и крупные средней плотности и супеси твердые | 1,2 |
3. Пески мелкие средней плотности | 1,1 |
4. Пески пылеватые средней плотности | 1,0 |
5. Супеси пластичные, суглинки и глины твердые | 0,9 |
6. Суглинки и глины полутвердые | 0,8 |
7. Суглинки и глины тугопластичные | 0,7 |
Примечание. При плотных песках значения коэффициента M в поз. 2 - 4 табл. 11 следует повышать на 60%, при наличии материалов статического зондирования - на 100%. |
Тип молота | Расчетная энергия удара молота Эp, тс·м |
1. Подвесной или одиночного действия | QH |
2. Трубчатый дизель-молот | 0,9QH |
3. Штанговый дизель-молот | 0,4QH |
4. Дизельный при контрольной добивке одиночными ударами без подачи топлива | Q (H - h) |
Примечание. В поз. 4 h - высота первого отскока ударной части дизель-молота от воздушной подушки, определяемая по мерной рейке, м. Для предварительных расчетов допускается принимать: для штанговых молотов h = 0,6 м, а для трубчатых молотов h = 0,4 м. |
Возмущающая сила вибропогружателей, тс | 10 | 20 | 30 | 40 | 50 | 60 | 70 | 80 |
Эквивалентная расчетная энергия удара вибропогружателя Эp, тс·м | 450 | 900 | 1300 | 1750 | 2200 | 2650 | 3100 | 3500 |
6.8. Несущую способность

, тс, забивной висячей сваи и винтовой сваи, работающей на сжимающую нагрузку, по результатам статического зондирования грунта следует определять по формуле

, (20)
где m - коэффициент условий работы, принимаемый m = 1 для забивных свай;
n - число точек зондирования;

- частное значение предельного сопротивления сваи, тс, в точке зондирования, определяемое в соответствии с требованиями
п. 6.9 настоящей главы;

- коэффициент безопасности по грунту, устанавливаемый в зависимости от изменчивости полученных частных значений предельного сопротивления сваи

в точках зондирования и числа этих точек при значении доверительной вероятности

в соответствии с требованиями
ГОСТ 20522-75.
6.9. Частное значение предельного сопротивления сваи в точке зондирования

, тс, должно определяться по формуле

, (21)
где

- сопротивление грунта под нижним концом забивной сваи или под лопастью винтовой сваи по данным зондирования в рассматриваемой точке, тс/м
2;
F - площадь поперечного сечения забивной сваи или проекция рабочей площади лопасти винтовой сваи, т.е. в случае ее работы на выдергивающую нагрузку за вычетом площади сечения ствола, м2;
f - сопротивление грунта на боковой поверхности сваи, по данным зондирования в рассматриваемой точке, тс/м2;
h - глубина погружения сваи от поверхности грунта около сваи, м <*>;
u - периметр поперечного сечения ствола сваи, м.
--------------------------------
<*> При винтовых сваях величина h в
формуле (21) принимается уменьшенной на величину диаметра лопасти.
Сопротивление грунта под нижним концом сваи

, тс/м
2, по данным результатов зондирования грунта в рассматриваемой точке, следует определять по формуле

, (22)
где

- коэффициент, принимаемый: при зондировании по методике
ГОСТ 20069-81 установками типа С-979, фиксирующими общее сопротивление грунта на боковой поверхности зонда, - по
табл. 14; при зондировании установками типа С-832, фиксирующими удельное сопротивление грунта на боковой поверхности зонда вблизи его наконечника равным 0,5;

- среднее значение сопротивления грунта, тс/м
2, под наконечником зонда, полученное из опыта, на участке, расположенном в пределах одного диаметра (d) выше и четырех диаметров ниже отметки острия проектируемой сваи (где d - диаметр круглого или сторона квадратного или большая сторона прямоугольного сечения сваи, м), а для винтовой сваи - среднее значение сопротивления прониканию наконечника в рабочей зоне, принимаемой равной диаметру лопасти.
qз, тс/м2 | Коэффициент  перехода от q з к R з при зондировании установкой С-979 | f з; fзi , тс/м2 | Коэффициент  перехода от f з к f | Коэффициент  перехода от f зi к f при глубине i-го слоя грунта, м |
для забивных свай | для винтовых свай при нагрузках |
1 | 2 | 3 | h |
сжимающих | выдергивающих |
<= 250 | 0,8 | 0,45 | 0,38 | <= 2 | 1,5 | 0,50 | 0,53 | 0,57 | 0,60 |
500 | 0,65 | 0,32 | 0,27 | 4 | 1,5 | 0,21 | 0,33 | 0,44 | 0,55 |
750 | 0,55 | 0,26 | 0,22 | 6 | 1,0 | 0,17 | 0,27 | 0,39 | 0,50 |
1000 | 0,45 | 0,23 | 0,19 | 8 | 0,75 | 0,15 | 0,24 | 0,37 | 0,50 |
1500 | 0,35 | - | - | 10 | 0,6 | 0,14 | 0,22 | 0,36 | 0,50 |
>= 2000 | 0,30 | - | - | >= 12 | 0,5 | 0,12 | 0,20 | 0,35 | 0,50 |
Примечания: 1. При глубине расположения слоя от 3 м до h значение коэффициента  определяется интерполяцией, где h - обозначение то же, что и в формуле (21). 2. Для винтовых свай в песчаных грунтах, насыщенных водой, значения коэффициентов перехода  должны быть уменьшены в два раза. |
Сопротивление грунта на боковой поверхности сваи f, тс/м2, по данным результатов зондирования грунта в рассматриваемой точке, следует определять:
а) при зондировании установками типа С-979 по формуле

; (23)
б) при зондировании установками типа С-832 по формуле

, (24)

- среднее значение удельного сопротивления грунта на боковой поверхности зонда, тс/м
2, определяемое как частное от деления измеренного общего сопротивления грунта на боковой поверхности зонда на площадь его боковой поверхности в пределах от поверхности грунта в точке зондирования до уровня расположения нижнего конца сваи в выбранном несущем слое;

- среднее удельное сопротивление i-го слоя грунта на боковой поверхности зонда, тс/м
2;

- толщина i-го слоя грунта, м;
7. РАСЧЕТ СВАЙНЫХ ФУНДАМЕНТОВ И ИХ ОСНОВАНИЙ ПО ДЕФОРМАЦИЯМ
7.1. Расчет фундамента из висячих свай, свай-оболочек и свай-столбов (ниже в настоящем разделе именуемых для краткости общим названием "сваи") и его основания по деформациям производится как для условного фундамента на естественном основании в соответствии с требованиями главы СНиП по проектированию оснований зданий и сооружений. Границы условного фундамента
(рис. 1) определяются следующим образом:
снизу - плоскостью АБ, проходящей через нижние концы свай;
с боков - вертикальными плоскостями АВ и БГ, отстоящими от наружных граней крайних рядов вертикальных свай на расстоянии

, а при наличии наклонных свай - проходящими через нижние концы этих свай;
сверху - поверхностью планировки грунта ВГ,
где

- средневзвешенное расчетное значение угла внутреннего трения грунта, определяемое по формуле:

, (25)

,

, ...,

- расчетное значение углов внутреннего трения для отдельных пройденных сваями слоев грунта толщиной соответственно

,

, ...,

;
l - глубина погружения свай в грунт, считая от подошвы ростверка, равная

.
Рис. 1. Схема определения границ условного
фундамента при расчете осадок свайных фундаментов
В собственный вес условного фундамента при определении его осадки включаются вес свай и ростверка, а также вес грунта в объеме условного фундамента.
Полученные по расчету величины деформаций (осадок) свайного фундамента и его основания не должны превышать предельно допускаемых значений, определенных по
формуле (2) настоящей главы.
7.2. Если при строительстве предусматривается планировка территории подсыпкой (намывом) высотой более 2 м или другая постоянная (долговременная) загрузка территории, эквивалентная такой подсыпке, а в пределах глубины погружения свай залегают слои торфа толщиной более 30 см или ила, то величину осадки свайного фундамента из висячих свай следует определять с учетом уменьшения габаритов условного фундамента, который в этом случае как при вертикальных, так и при наклонных сваях принимается ограниченным с боков вертикальными плоскостями, отстоящими от наружных граней крайних рядов вертикальных свай на расстоянии

,
где

- расстояние от нижнего конца сваи до подошвы слоя торфа толщиной более 30 см или слоя ила.
7.3. Свайные фундаменты из свай, работающих как сваи-стойки, висячие одиночные сваи, воспринимающие вне кустов вдавливающие или выдергивающие нагрузки, а также свайные кусты, работающие на действие выдергивающих нагрузок, рассчитывать по деформациям не требуется.
7.4.
Расчет свай по деформациям на совместное действие вертикальных и горизонтальных нагрузок и моментов следует выполнять в соответствии с требованиями, изложенными в Приложении к настоящей главе.
8. ПРОЕКТИРОВАНИЕ СВАЙНЫХ ФУНДАМЕНТОВ
8.1. Свайные фундаменты в зависимости от размещения в плане свай, свай-оболочек и свай-столбов (ниже в настоящем разделе именуемых для краткости общим названием "сваи") устраиваются в виде:
а) одиночных свай - под отдельно стоящие опоры;
б) лент - под стены зданий и сооружений при передаче на фундамент распределенных по длине нагрузок с расположением свай в один, два и более рядов;
в) кустов - под колонны с расположением свай в плане на участке квадратной, прямоугольной, трапецеидальной и другой формы;
г) сплошного свайного поля - под тяжелые сооружения со сравнительно небольшими габаритами в плане и распределенными по всей площади нагрузки со сваями, расположенными под всем зданием или сооружением (высотные здания, дымовые трубы, доменные печи, силосные корпуса и др.).
8.1а. Число свай в фундаменте должно назначаться из условия максимального использования прочностных свойств их материала при расчетной нагрузке, допускаемой на сваю, с учетом допускаемых перегрузок крайних свай в фундаменте в соответствии с требованиями, изложенными в
примечании 2 к пункту 4.3 настоящей главы.
Выбор конструкции и размеров свай должен осуществляться с учетом величин и направления действия нагрузок на фундаменты (в том числе технологических нагрузок), а также технологии строительства здания или сооружения.
8.2. Сопряжение свайного ростверка со сваями допускается предусматривать как свободно опирающимся, так и жестким.
8.3. Свободное опирание ростверка на сваи должно учитываться в расчетах условно как шарнирное сопряжение и при монолитных ростверках должно выполняться путем заделки головы сваи в ростверк на глубину 5 - 10 см. Заделка выпусков арматуры в ростверк в этом случае не обязательна.
8.4. Жесткое сопряжение свайного ростверка со сваями следует предусматривать в случаях, когда:
а) стволы свай располагаются в слабых грунтах (рыхлых песках, глинистых грунтах текучей консистенции, илах, торфах и т.п.);
б) в месте сопряжения сжимающая нагрузка, передаваемая на сваю, приложена к ней с эксцентриситетом, выходящим за пределы ее ядра сечения;
в) на сваи действуют горизонтальные нагрузки, величины перемещений от которых при свободном опирании (определенные расчетом в соответствии с требованиями
Приложения к настоящей главе) оказываются более предельно допускаемых для проектируемого здания или сооружения;
г) в фундаменте имеются наклонные или составные вертикальные сваи;
д) сваи работают на выдергивающие нагрузки.
8.5. Жесткое сопряжение железобетонных свай с монолитным железобетонным ростверком следует предусматривать с заделкой головы сваи в ростверк на глубину, соответствующую длине анкеровки арматуры, либо с заделкой в ростверк выпусков арматуры на длину их анкеровки в соответствии с требованиями главы СНиП по проектированию бетонных и железобетонных конструкций. В последнем случае в голове предварительно напряженных свай должен быть предусмотрен ненапрягаемый арматурный каркас, используемый в дальнейшем в качестве анкерной арматуры.
Примечание. Анкеровка в ростверк свай, работающих на выдергивающие нагрузки
(п. 8.4 "д"), должна предусматриваться с заделкой арматуры свай в ростверк на величину, определяемую расчетом ее на выдергивание.
При усилении оснований существующих фундаментов с помощью буроинъекционных свай величина заделки сваи в фундамент или ростверк должна быть не менее 5 диаметров сваи; при невозможности выполнения этого условия следует предусмотреть создание уширения ствола свай в месте ее примыкания к подошве фундамента или ростверку.
8.6. Жесткое соединение свай со сборным ростверком должно обеспечиваться колоколообразными оголовками. При сборном ростверке допускается также замоноличивание свай в специально предусмотренные в ростверке отверстия.
Примечание. При небольших вдавливающих нагрузках (порядка до 40 тс) допускается свободное опирание ростверка на выравненную цементным раствором поверхность головы сваи.
8.7. Сваи в кусте внецентренно нагруженного фундамента следует размещать таким образом, чтобы равнодействующая постоянных нагрузок, действующих на фундамент, проходила возможно ближе к центру тяжести плана свай.
8.8. Для восприятия вертикальных нагрузок и моментов, а также горизонтальных нагрузок (в зависимости от их величины и направления) допускается предусматривать вертикальные, наклонные и козловые сваи.
8.9. Расстояние между осями висячих свай без уширений в плоскости их нижних концов должно быть не менее 3d (где d - диаметр круглого или сторона квадратного, или

сторона прямоугольного поперечного сечения ствола сваи), а свай-стоек - не менее 1,5d.
Расстояние в свету между стволами свай-оболочек должно быть не менее 1 м, между уширениями буронабивных свай и свай-оболочек при устройстве их в сухих глинистых грунтах твердой и полутвердой консистенции - 0,5 м, а в остальных разновидностях нескальных грунтов - 1,0 м.
8.10. Расчетная нагрузка на сваю N, тс, для фундаментов с вертикальными сваями определяется по формуле

, (26)
где

,

и

- соответственно расчетная сжимающая сила, тс, и расчетные моменты, тс·м, относительно главных центральный осей x и y плана свай в плоскости подошвы свайного ростверка;
n - число свай в фундаменте;

и

- расстояния от главных осей до оси каждой сваи, м;
x и y - расстояния от главных осей до оси каждой сваи, для которой вычисляется расчетная нагрузка, м.
Распределение нагрузок между сваями фундаментов мостов следует определять расчетом их как рамной конструкции.
8.11. Горизонтальную нагрузку, действующую на фундамент с вертикальными сваями одинакового поперечного сечения, допускается принимать равномерно распределенной между всеми сваями.
8.12. Проверка устойчивости свайного фундамента и его основания должна производиться в соответствии с требованиями главы СНиП по проектированию оснований зданий и сооружений с учетом действия дополнительных горизонтальных реакций от свай, приложенных к сдвигаемой части грунта.
Свайные фундаменты устоев и промежуточных опор мостов на крутых косогорах следует проверять на устойчивость против глубокого сдвига (смещения фундамента совместно с грунтом) по круглоцилиндрической или другой более неблагоприятной поверхности скольжения.
8.13. Выбор длины свай должен производиться в зависимости от грунтовых условий строительной площадки. Нижний конец свай, как правило, следует заглублять в малосжимаемые грунты, прорезая более слабые напластования грунтов; при этом заглубление свай в грунты, принятые за основание под их нижние концы, должно быть не менее:
в крупнообломочные грунты, гравелистые, крупные и средней крупности песчаные грунты, а также глинистые грунты с показателем консистенции

........................................................ 0,5 м;
в прочие виды нескальных грунтов ............................... 1,0 м.
Примечание. Для фундаментов зданий и сооружений III класса (согласно
Правилам учета степени ответственности зданий и сооружений при проектировании конструкций) нижние концы свай допускается опирать в песчаных и глинистых грунтах со степенью заторфованности q <= 0,25. В этом случае несущая способность свай должна определяться по результатам их испытаний статической нагрузкой. При наличии слоя погребенного торфа нижний конец свай должен быть заглублен не менее чем на 2 м ниже подошвы этого слоя.
(в ред.
Изменений, утв. Постановлением Госстроя СССР от 25.10.1982 N 264)
8.14. Глубина заложения подошвы свайного ростверка должна назначаться в зависимости от конструктивных решений подземной части здания или сооружения (наличия подвала, технического подполья) и проекта планировки территории (срезкой или подсыпкой), а также высоты ростверка, определяемой расчетом. Для фундаментов мостов необходимо также учитывать глубину водотока и местного размыва дна русла у опоры.
При строительстве на пучинистых грунтах необходимо предусматривать меры, предотвращающие влияние сил морозного пучения грунта на свайный ростверк, руководствуясь в расчете соответствующими требованиями, изложенными в главе СНиП по проектированию оснований зданий и сооружений.
9. ОСОБЕННОСТИ ПРОЕКТИРОВАНИЯ СВАЙНЫХ
ФУНДАМЕНТОВ В ПРОСАДОЧНЫХ ГРУНТАХ
9.1. Применение свайных фундаментов в условиях просадочных грунтов должно быть обосновано тщательным технико-экономическим сравнением возможных вариантов проектных решений свайных фундаментов и фундаментов на естественном основании, выполненных согласно требованиям настоящего раздела и главы СНиП по проектированию оснований зданий и сооружений.
Проектирование свайных фундаментов в грунтовых условиях II типа по просадочности должно выполняться специализированными организациями.
(п. 9.1 в ред.
Изменений, утв. Постановлением Госстроя СССР от 25.10.1982 N 264)
9.2. Свайные фундаменты на территориях с просадочными грунтами при возможности замачивания грунтов следует применять в тех случаях, когда возможна прорезка сваями всех слоев просадочных и других видов грунтов, прочностные и деформационные характеристики которых снижаются при замачивании. Нижние концы свай должны быть заглублены или в практически несжимаемые грунты (
примечание к п. 2.2), или в песчаные грунты плотные и средней плотности, или в глинистые грунты с показателем консистенции в водонасыщенном состоянии

при грунтовых условиях I типа и

при грунтовых условиях II типа по просадочности. Величина заглубления в указанные грунты должна назначаться по расчету в зависимости от требуемой несущей способности свай.
(в ред.
Изменений, утв. Постановлением Госстроя СССР от 06.12.1983 N 313)
Примечания: 1. Если прорезка указанных грунтов в конкретных случаях экономически нецелесообразна, то в грунтовых условиях I типа по просадочности для зданий и сооружений III класса (согласно
Правилам учета степени ответственности зданий и сооружений при проектировании конструкций) допускается устройство свай (кроме свай-оболочек) с заглублением нижних концов не менее чем на 1 м в слой грунта с относительной просадочностью

(при давлении не менее 3 кгс/см
2 и не менее давления, соответствующего давлению от собственного веса грунта и нагрузки на его поверхности) при условии, что в этом случае обеспечивается несущая способность свай, а суммарные величины возможных просадок и осадок основания и их неравномерности не превышают предельно допускаемых значений для здания и сооружения при неравномерном замачивании грунтов.
(в ред.
Изменений, утв. Постановлением Госстроя СССР от 06.12.1983 N 313)
2. Сваи-колонны одноэтажных зданий III класса (согласно
Правилам учета степени ответственности зданий и сооружений при проектировании конструкций) в грунтовых условиях I типа по просадочности допускается опирать нижними концами на грунты с

, если несущая способность свай подтверждена испытаниями.
(п. 9.2 в ред.
Изменений, утв. Постановлением Госстроя СССР от 25.10.1982 N 264)
9.3. При инженерно-геологических изысканиях на строительных площадках, сложенных просадочными грунтами, следует определять тип грунтовых условий с указанием частных и максимальных возможных значений просадки грунтов от собственного веса (при подсыпках - с учетом веса подсыпки) и выделять слои грунта, в которые могут быть заглублены сваи в соответствии с требованиями
п. 9.2 настоящей главы.
Бурение скважин для исследования грунтов должно выполняться по сетке с шагом не более 50 x 50 м. При этом количество скважин в пределах площади застройки здания или сооружения должно быть не менее четырех.
На застраиваемой территории должен быть тщательно изучен гидрогеологический режим грунтовых вод и дан прогноз возможного его изменения при эксплуатации проектируемых и существующих зданий и сооружений.
Физико-механические, прочностные и деформационные характеристики просадочных и других видов грунтов, изменяющих свои свойства при замачивании, должны определяться для состояния природной влажности и при полном водонасыщении.
(п. 9.3 в ред.
Изменений, утв. Постановлением Госстроя СССР от 25.10.1982 N 264)
9.4. В просадочных грунтах помимо свай, указанных в разделе 2 настоящей главы, следует также применять набивные бетонные и железобетонные сваи, устраиваемые в пробуренных скважинах с забоем, уплотненным втрамбовыванием щебня на глубину не менее 3d (где d - диаметр скважины), и сваи в выштампованном ложе. В грунтовых условиях II типа по просадочности, кроме того, рекомендуется применять сваи с антифрикционными покрытиями, нанесенными на часть ствола, находящуюся в пределах проседающей толщи. Буронабивные сваи в грунтовых условиях II типа по просадочности следует заглублять в скальные грунты или в глинистые грунты, обладающие твердой консистенцией в водонасыщенном состоянии и не являющиеся лессовыми по своему происхождению.
(п. 9.4 в ред.
Изменений, утв. Постановлением Госстроя СССР от 25.10.1982 N 264, в ред.
Изменений, утв. Постановлением Госстроя СССР от 06.12.1983 N 313)
9.5. В случае если по результатам инженерных изысканий установлено, что погружение забивных свай в посадочные грунты затруднено, то в проекте должно быть предусмотрено устройство лидерных скважин, диаметр которых в грунтовых условиях I типа по просадочности следует назначать меньше размера сечения сваи до 50 мм, а в грунтовых условиях II типа по просадочности - равным ему или меньшим. В последнем случае лидерные скважины не должны выходить за пределы проседающей толщи.
(п. 9.5 в ред.
Изменений, утв. Постановлением Госстроя СССР от 25.10.1982 N 264)
9.6. Расчет свай и свай-оболочек, применяемых в грунтовых условиях I типа по просадочности, следует проводить в соответствии с указаниями
разделов 5 и
7 настоящей главы и приложения к ней с учетом того, что расчетные сопротивления грунтов под нижними концами R и на боковой поверхности f сваи (
табл. 1,
2 и
7), коэффициент пропорциональности K (
табл. 1 приложения к настоящей главе), модуль деформации E, угол внутреннего трения

и удельное сцепление C должны определяться при следующих условиях:
а) если возможно замачивание грунта - то при полном водонасыщении грунта, при этом расчетные табличные характеристики следует принимать при показателе консистенции, определяемом по формуле

, (27)
где e - коэффициент пористости грунта;

- удельный вес воды, принимаемый

;

- удельный вес грунта, тс/м
3;

и

- влажность грунта на границе раскатывания и на границе текучести в долях единицы;
для просадочных грунтов при

следует принимать

за исключением случаев, когда показатель консистенции используется для оценки сил негативного трения;
б) если замачивание грунта невозможно - то при влажности W и консистенции

грунта в природном состоянии (когда

, принимается

).
(п. 9.6 в ред.
Изменений, утв. Постановлением Госстроя СССР от 25.10.1982 N 264)
9.7. Несущая способность свай в выштампованном ложе, применяемых в грунтовых условиях I типа по просадочности, должна назначаться в соответствии с требованиями
п. 5.7 настоящей главы как для забивных свай с наклонными гранями при соблюдении дополнительных требований, изложенных в
п. 9.6 настоящей главы.
(п. 9.7 в ред.
Изменений, утв. Постановлением Госстроя СССР от 25.10.1982 N 264)
9.8. Несущую способность свай и свай-оболочек, применяемых в грунтовых условиях I типа по просадочности, по результатам статических испытаний свай, проведенных с локальным замачиванием грунта в пределах всей длины сваи в соответствии с методикой ГОСТ 5686-78*, следует определять в соответствии с требованиями раздела 6 настоящей главы.
При наличии опыта строительства на застраиваемой территории и результатов ранее выполненных статических испытаний свай в аналогичных условиях испытания свай в грунтовых условиях I типа по просадочности допускается не назначать.
Не допускается определять несущую способность свай и свай-оболочек, устраиваемых в просадочных грунтах, по данным результатов их динамических испытаний, а также определять расчетные сопротивления просадочных грунтов под нижним концом R и на боковой поверхности сваи и сваи-оболочки f по данным результатов полевых испытаний этих грунтов зондированием.
(п. 9.8 в ред.
Изменений, утв. Постановлением Госстроя СССР от 25.10.1982 N 264)
9.9. При проектировании свайных фундаментов, устраиваемых в грунтовых условиях II типа по просадочности, помимо обязательного выполнения всех требований к проектированию в грунтовых условиях I типа по просадочности необходимо предусматривать также мероприятия, направленные на устранение или снижение неблагоприятного влияния просадок грунта от собственного веса.
К числу таких мероприятий относятся:
а) ликвидация просадочных свойств грунтов или перевод грунтовых условий II типа в грунтовые условия I типа по просадочности путем выполнения соответствующей срезки грунта или путем уплотнения грунта предварительным замачиванием, замачиванием со взрывом, грунтовыми сваями и т.п. Указанные способы должны обеспечивать полное устранение просадки грунтовой толщи от ее собственного веса в пределах площади, занимаемой зданием или сооружением, и на расстоянии половины толщины просадочной толщи вокруг него;
б) исключен с 1 января 1984 года. -
Изменение, утв. Постановлением Госстроя СССР от 06.12.1983 N 313;
б) применение свай с опиранием их нижних концов на практически несжимаемые и малосжимаемые грунты (скальные, крупнообломочные с песчаным заполнителем, пески плотные и средней плотности, глинистые, обладающие твердой консистенцией в замоченном состоянии) с определением несущей способности таких свай по результатам их статических испытаний, выполняемых с замачиванием грунта вокруг сваи (в котловане) до полного проявления просадки грунта от собственного веса при прогнозируемых режимах замачивания (замачивание сверху или снизу, в том числе при образовании куполов воды и их растекании);
в) проектирование свайных фундаментов с учетом сил негативного трения по боковой поверхности свай в соответствии с требованиями
п. 9.10. Конструктивные мероприятия в этом случае назначаются из условия обеспечения прочности и устойчивости зданий или сооружений при возможности развития их дополнительной осадки, равной 2/3 осадки грунта от его собственного веса. Водозащитные мероприятия при этом предусматриваются для уменьшения неравномерности просадок и осадок.
Примечания: 1. При применении свайных фундаментов планировочные подсыпки грунтов более 1 м на территориях, сложенных просадочными грунтами, допускаются только при специальном обосновании.
2. В грунтовых условиях II типа по просадочности проверка прочности свай по материалу должна производиться на нагрузки, определенные с учетом действия сил негативного трения.
3. При проектировании свайных фундаментов, устраиваемых в грунтовых условиях II типа по просадочности, коэффициент надежности по назначению

не учитывается.
(п. 9.9 в ред.
Изменений, утв. Постановлением Госстроя СССР от 25.10.1982 N 264)
9.10. Несущую способность

, тс, свай и свай-оболочек, работающих на сжимающую нагрузку, в грунтовых условиях II типа по просадочности с учетом возможности развития негативного трения грунта следует определять по формуле

, (28)
где

- несущая способность, тс, сваи и сваи-оболочки в просадочном грунте, определенная на основании статических испытаний с локальным замачиванием, а при их отсутствии - в соответствии с требованиями
пп. 9.6 -
9.8 настоящей главы без учета возможности развития негативного трения грунта;
a - коэффициент, учитывающий влияние негативного трения, принимаемый для зданий и сооружений a = 1,4;
m - коэффициент условий работы, принимаемый m = 1;
u - периметр, м, участка ствола сваи и сваи-оболочки, расположенного в пределах слоев грунта, проседающих под действием собственного веса при замачивании;

- расчетное сопротивление i-го слоя просадочного грунта основания на боковой поверхности сваи и сваи-оболочки, тс/м
2, определяемое в соответствии с указаниями
п. 9.6 настоящей главы;

- толщина, м, i-го слоя просадочного грунта, оседающего при замачивании и соприкасающегося с боковой поверхностью сваи;

- расчетная глубина, м, до которой производится суммирование сил бокового трения проседающих слоев грунта, принимаемая равной глубине, где величина просадки грунта от действия собственного веса равна предельно допускаемой осадке для проектируемого здания или сооружения, указанной в задании на проектирование, или по соответствующим данным, приведенным в главе СНиП по проектированию оснований зданий и сооружений.
Примечание: 1. Величина просадки грунтов основания должна определяться в соответствии с требованиями, изложенными в главе СНиП по проектированию оснований зданий и сооружений.
2. В случае использования при расчетах по
формуле (28) несущей способности Ф, определенной по результатам статических испытаний свай с замачиванием грунта, величина

также должна определяться по результатам статических испытаний с замачиванием, как величина несущей способности на выдергивающую нагрузку сваи, имеющей размеры поперечного сечения такие же, как и у проектируемой сваи, а длину, равную

.
9.11. Проведение статических испытаний свай в грунтах II типа по просадочности является обязательным.
9.12.
Примечание 2 к пункту 4.3 не распространяется на проектирование свайных фундаментов, устраиваемых в грунтовых условиях II типа по просадочности.
(п. 9.12 введен
Изменениями, утв. Постановлением Госстроя СССР от 25.10.1982 N 264)
9.13. Если на боковой поверхности свай возможно появление сил негативного трения, то осадку свайного фундамента из висячих свай следует определять для условного фундамента, который принимается ограниченным с боков вертикальными плоскостями, отстоящими от наружных граней крайних рядов вертикальных свай на расстоянии

, где

- расстояние от нижнего конца сваи до нижней границы просадочной толщи;

то же, что в
формуле (25).
(п. 9.13 введен
Изменениями, утв. Постановлением Госстроя СССР от 06.12.1983 N 313)
9.14. Определение неравномерности осадок свайных фундаментов в просадочных грунтах для расчета конструкций зданий и сооружений должно производиться с учетом прогнозируемых изменений гидрогеологических условий площади застройки и возможного наиболее неблагоприятного вида и расположения источника замачивания по отношению к рассчитываемому фундаменту или сооружению в целом.
(п. 9.14 введен
Изменениями, утв. Постановлением Госстроя СССР от 06.12.1983 N 313)
9.15. В грунтовых условиях II типа по просадочности в случае, когда возможна просадка грунта от собственного веса, применение свайных фундаментов не исключает необходимости выполнения водозащитных мероприятий. При этом должна быть также предусмотрена разрезка зданий осадочными швами на блоки простой конфигурации, а в производственных зданиях промышленных предприятий, оборудованных кранами, кроме того, должны быть предусмотрены конструктивные мероприятия, обеспечивающие возможность рихтовки подкрановых путей на удвоенное значение расчетной осадки свайных фундаментов, но не менее половины просадки грунта от собственного веса.
(п. 9.15 введен
Изменениями, утв. Постановлением Госстроя СССР от 06.12.1983 N 313)
9.16. При просадках грунта от собственного веса более 30 см следует учитывать возможность горизонтальных перемещений свайных фундаментов, попадающих в пределы криволинейной части просадочной воронки.
(п. 9.16 введен
Изменениями, утв. Постановлением Госстроя СССР от 06.12.1983 N 313)
9.17. За расчетную просадку грунта от собственного веса и пригрузки на его поверхности следует брать максимальную ее величину, установленную по данным инженерно-геологических изысканий на участке территории, границы которого на полуторную величину просадочной толщи выходят за пределы площади застройки здания или сооружения. Все остальные исходные для проектирования инженерно-геологические данные должны также приниматься по наиболее неблагоприятным их значениям, зафиксированным в пределах указанного участка территории.
(п. 9.17 введен
Изменениями, утв. Постановлением Госстроя СССР от 06.12.1983 N 313)
9.18. В грунтовых условиях II типа по просадочности при определении нагрузок, действующих на свайный фундамент, следует учитывать силы негативного трения, которые могут появляться на расположенных выше подошвы свайного ростверка боковых поверхностях заглубленных в грунт частей здания или сооружения.
(п. 9.18 введен
Изменениями, утв. Постановлением Госстроя СССР от 06.12.1983 N 313)
10. ОСОБЕННОСТИ ПРОЕКТИРОВАНИЯ СВАЙНЫХ
ФУНДАМЕНТОВ В НАБУХАЮЩИХ ГРУНТАХ
10.1. При проектировании свайных фундаментов в набухающих грунтах допускается предусматривать как полную прорезку сваями и сваями-оболочками всей толщи набухающих грунтов (с опиранием их нижнего конца на ненабухающие грунты), так и частичную их прорезку (с опиранием нижних концов сваи и свай-оболочек непосредственно в толще набухающих грунтов).
10.2. Для площадок, сложенных набухающими грунтами, кроме требований, предъявляемых к инженерным изысканиям для проектирования свайных фундаментов, изложенных в
разделе 3 настоящей главы, должны также выполняться следующие дополнительные указания:
а) на вновь застраиваемых площадках должны быть обязательно проведены статические испытания свай, свай-штампов или свай-оболочек с замачиванием и определение величины полного подъема поверхности грунта при набухании

;
б) статические испытания необходимо начинать с загружения сваи, сваи-штампа или сваи-оболочки, погруженных в грунт природной влажности, до нагрузки, равной предполагаемой расчетной нагрузке на сваю, сваю-штамп или сваю-оболочку. После нагружения должны быть проведены замачивание грунта и наблюдения за перемещением сваи, сваи-штампа или сваи-оболочки;
в) с завершением процесса набухания грунта испытания свай, свай-штампов или свай-оболочек должны быть проведены по методике, принятой для обычных ненабухающих грунтов.
Примечание. Процесс набухания при испытаниях должен считаться завершенным, когда фактическая величина подъема поверхности грунта составляет не менее 0,9 от полной величины подъема набухания

.
10.3. Расчет свайных фундаментов в набухающих грунтах следует производить по предельным состояниям двух групп в соответствии с требованиями, приведенными в
разделах 4 -
7 настоящей главы. При расчете свайных фундаментов в набухающих грунтах по предельным состояниям второй группы должен также выполняться дополнительный расчет по определению подъема свай при набухании грунта в соответствии с требованиями
пп. 10.5 и
10.7 настоящей главы.
10.4. При расчете свайных фундаментов в набухающих грунтах по предельным состояниям первой группы - по несущей способности - величина расчетных сопротивлений набухающих грунтов под нижним концом R и на боковой поверхности f сваи или сваи-оболочки должна приниматься на основании результатов статических испытаний свай, свай-штампов или свай-оболочек в набухающих грунтах с замачиванием на строительной площадке или прилегающих к ней территориях, имеющих аналогичные грунты. При отсутствии ко времени проектирования свайных фундаментов результатов указанных статических испытаний свай, свай-штампов или свай-оболочек расчетное сопротивление набухающих грунтов под нижними концами R и на боковой поверхности f свай и свай-оболочек диаметром менее 1 м допускается принимать по
табл. 1,
2 и
7 настоящей главы как для ненабухающих грунтов с введением дополнительного коэффициента условий работы грунта m = 0,5, учитываемого независимо от других коэффициентов условий работы, приведенных в
табл. 3 и
5 настоящей главы.
10.5. Величину подъема

забивных свай, погруженных в предварительно пробуренные скважины (лидеры), набивных свай без уширения, а также свай-оболочек, не прорезающих набухающую зону грунтов, следует определять по формуле

, (29)
где

- подъем поверхности набухающего грунта, м;

- подъем слоя грунта в уровне заложения нижнего конца свай (в случае прорезки набухающего грунта

), м;

и

- коэффициенты, определяемые по
табл. 15; при этом

зависит от показателя

, который характеризует уменьшение деформации по глубине массива при набухании грунта и принимается для набухающих глин сарматских -

; аральских -

и хвалынских -

;
u - периметр сваи, м;
N - расчетная нагрузка на сваю, определенная с учетом коэффициента перегрузки n = 1, тс.
Примечание. Допускаемые величины подъема сооружений, а также величину подъема поверхности набухающего грунта

и подъема слоя грунта в уровне расположения нижних концов свай

следует определять в соответствии с требованиями главы СНиП по проектированию оснований зданий и сооружений.
Глубина погружения сваи, м | Коэффициент  при значениях  , м -1 | Коэффициент  , м 2/тс |
0,2 | 0,3 | 0,4 | 0,5 | 0,6 |
3 | 0,72 | 0,62 | 0,53 | 0,46 | 0,40 | - |
4 | 0,64 | 0,53 | 0,44 | 0,36 | 0,31 | 15,0 |
5 | 0,59 | 0,46 | 0,36 | 0,29 | 0,24 | 11,0 |
6 | 0,53 | 0,40 | 0,31 | 0,24 | 0,19 | 7,0 |
7 | 0,48 | 0,35 | 0,26 | 0,20 | 0,15 | 5,0 |
8 | 0,44 | 0,31 | 0,22 | 0,17 | 0,13 | 4,0 |
9 | 0,40 | 0,27 | 0,19 | 0,14 | 0,11 | 3,0 |
10 | 0,37 | 0,24 | 0,17 | 0,12 | 0,09 | 2,5 |
11 | 0,34 | 0,21 | 0,15 | 0,10 | 0,08 | 2,0 |
12 | 0,31 | 0,19 | 0,13 | 0,09 | 0,07 | 1,5 |
10.6. При прорезке сваями набухающих слоев грунта и заглублении их в ненабухающие грунты подъем свайного фундамента будет практически исключен при соблюдении условия

, (30)
где N - расчетная нагрузка на сваю, тс, определенная с коэффициентом перегрузки n = 1, включая собственный вес сваи или сваи-оболочки;
T - равнодействующая расчетных сил подъема, тс, действующих на боковой поверхности сваи или сваи-оболочки, определяемая по результатам их полевых испытаний в набухающих грунтах или определяемая с использованием данных
табл. 2 настоящей главы с учетом коэффициента перегрузки для сил набухания грунта n = 1,2;

- несущая способность, тс, участка сваи, расположенного в ненабухающем грунте, при действии выдергивающих нагрузок;
10.7. Величина подъема свай диаметром более 1 м, не прорезающих набухающие слои грунта, должна определяться как для обычного фундамента на естественном основании в соответствии с требованиями главы СНиП по проектированию оснований зданий и сооружений. При этом подъем сваи с уширением должен определяться при действии нагрузки

, равной:

, (31)

- расчетное значение объемного веса грунта, тс/м
3;

- объем грунта, препятствующий подъему сваи, м
3, принимаемый равным объему грунта в пределах расширяющегося усеченного конуса высотой H с нижним (меньшим) диаметром, равным диаметру уширения D, а верхним

(здесь H - расстояние от природной поверхности грунта до середины уширения сваи).
10.8. При проектировании свайных фундаментов в набухающих грунтах между поверхностью грунта и нижней плоскостью ростверка должен быть предусмотрен зазор размером, равным или более максимальной величины подъема грунта при его набухании.
Примечание. При толщине слоя набухающего грунта менее 12 м допускается устраивать ростверк, опирающийся непосредственно на грунт, при соблюдении расчетного
условия (30).
11. ОСОБЕННОСТИ ПРОЕКТИРОВАНИЯ СВАЙНЫХ
ФУНДАМЕНТОВ НА ПОДРАБАТЫВАЕМЫХ ТЕРРИТОРИЯХ
11.1. При проектировании свайных фундаментов на подрабатываемых территориях кроме требований настоящей главы должны соблюдаться также требования главы СНиП по проектированию зданий и сооружений на подрабатываемых территориях; при этом наряду с данными по инженерным изысканиям для проектирования свайных фундаментов, предусмотренными в
разделе 3 настоящей главы, должны также использоваться данные горно-геологических изысканий и сведения об ожидаемых деформациях земной поверхности.
11.2. В задании на проектирование свайных фундаментов на подрабатываемых территориях должны содержаться полученные по результатам маркшейдерского расчета данные об ожидаемых максимальных деформациях земной поверхности на участке строительства, в том числе:

- оседание, мм;
i - наклоны, мм/м;

- относительные горизонтальные деформации растяжения или сжатия, мм/м;

- радиус кривизны земной поверхности, подработки территории, км;

- горизонтальное сдвижение, мм.
11.3. Расчет свайных фундаментов зданий и сооружений, возводимых на подрабатываемых территориях, должен производиться по предельным состояниям на особое сочетание нагрузок, назначаемых с учетом воздействий со стороны деформируемого при подработке основания.
11.4. В зависимости от характера сопряжения голов свай и свай-оболочек с ростверком и взаимодействия фундаментов с грунтом основания в процессе развития в нем горизонтальных деформаций от подработки территории различаются следующие схемы свайных фундаментов:
а) жесткие - при жесткой заделке голов свай и свай-оболочек в ростверк путем заанкеривания в нем выпусков арматуры свай и свай-оболочек либо непосредственной заделки в нем головы сваи и сваи-оболочки в соответствии с требованиями, изложенными в
п. 8.5 настоящей главы;
б) податливые - при условно-шарнирном сопряжении сваи и сваи-оболочки с ростверком, выполненным путем заделки ее головы в ростверк на 5 - 10 см или сопряжений через шов скольжения.
Примечание. Шов скольжения должен предусматриваться в виде прокладки материалов с малыми коэффициентами трения (графита, слюды, полиэтиленовой пленки и т.п.) между ростверком и железобетонным башмаком колонны или опорной плоскостью стены здания. Конструкция швов скольжения должна предусматриваться в соответствии с требованиями главы СНиП по проектированию зданий и сооружений на подрабатываемых территориях.
11.5. Расчет свайных фундаментов и их оснований на подрабатываемых территориях должен производиться с учетом:
а) изменений физико-механических свойств грунтов, вызванных подработкой территории, в соответствии с требованиями п. 11.6 настоящей главы;
б) перераспределения вертикальных нагрузок на отдельные сваи, вызванного искривлением и наклоном земной поверхности в соответствии с требованиями
п. 11.7 настоящей главы;
в) дополнительных нагрузок в горизонтальной плоскости, вызванных развитием деформаций грунтов основания при подработке территории в соответствии с требованиями
пп. 11.8 и
11.9 настоящей главы.
11.6. Несущая способность по грунту основания

, тс, свай всех видов и свай-оболочек, работающих на сжимающую нагрузку, при подработке территории определяется по формуле

, (32)
где

- коэффициент условий работы, учитывающий изменение структуры грунта и перераспределение вертикальных нагрузок при подработке территории, принимаемый по табл. 16;

- несущая способность сваи, тс, определенная расчетом в соответствии с требованиями
раздела 5 настоящей главы или определенная по результатам полевых исследований (динамических и статических испытаний свай и свай-оболочек, зондирования грунта) в соответствии с требованиями
раздела 6 настоящей главы.
Таблица 16
Виды свай, зданий и сооружений | Коэффициент условий работы mподр в случае, если изыскания проведены |
до подработки | во время подработки |
1. Сваи-стойки в фундаментах любых зданий и сооружений | 0,9 | 1 |
2. Висячие сваи в фундаментах: | | |
а) податливых зданий и сооружений (например, одноэтажных каркасных с шарнирными опорами) | 0,9 | 1 |
б) жестких зданий и сооружений (например, бескаркасных многоэтажных зданий с жесткими узлами; силосных корпусов) | 1,1 | 1,2 |
11.7. Дополнительные вертикальные нагрузки

на сваи или сваи-оболочки зданий и сооружений с жесткой конструктивной схемой, вызванные искривлением земной поверхности при подработке территории, следует определять в зависимости от ожидаемого радиуса кривизны поверхности

и ее наклона при следующих допущениях:
а) свайные фундаменты из висячих свай и свай-оболочек и их основания заменяются в соответствии с
п. 7.1 настоящей главы условным фундаментом на естественном основании;
б) основание условного фундамента принимается линейно-деформируемым с постоянным модулем деформации грунта по длине здания (сооружения) или выделенного в нем отсека.
Определение дополнительных вертикальных нагрузок

производится относительно продольной и поперечной осей здания.
11.8. В расчетах свайных фундаментов, возводимых на подрабатываемых территориях, должны учитываться дополнительные усилия, возникающие в сваях или сваях-оболочках вследствие их работы на изгиб под влиянием горизонтальных перемещений грунта основания при подработке территории по отношению к проектному положению свай или свай-оболочек.
Величину этих усилий следует определять, используя методику расчета свай и свай-оболочек на горизонтальные перемещения, по величине расчетного горизонтального перемещения грунта

.
11.9. Расчетное горизонтальное перемещение

, мм, грунта при подработке территории следует определять по формуле

, (33)
где

и

- соответственно коэффициенты перегрузки и условий работы для относительных горизонтальных деформаций, принимаемые в соответствии с главой СНиП по проектированию зданий и сооружений на подрабатываемых территориях;

- ожидаемая величина относительной горизонтальной деформации, указанная в задании на проектирование и определяемая по результатам маркшейдерского расчета, мм/м;
x - расстояние от оси рассматриваемой сваи до центральной оси здания (сооружения) с ростверком, устраиваемым на всю длину здания (отсека) или до блока жесткости каркасного здания (отсека) с ростверком, устраиваемым под отдельные колонны, м.
11.10. Свайные фундаменты зданий и сооружений, возводимых на подрабатываемых территориях, следует проектировать исходя из условий необходимости передачи на ростверк минимальных усилий от свай, возникающих в результате деформации земной поверхности.
Для выполнения этого требования необходимо в проектах предусматривать:
а) разрезку здания или сооружения на отсеки - для уменьшения влияния горизонтальных перемещений грунта основания;
б) преимущественно висячие сваи для зданий и сооружений с жесткой конструктивной схемой для снижения дополнительно возникающих усилий в вертикальной плоскости от искривления основания;
в) сваи возможно меньшей жесткости, например, призматические, сваи квадратного или прямоугольного поперечного сечения, причем сваи прямоугольного сечения следует располагать меньшей стороной в продольном направлении отсека здания;
г) преимущественно податливые конструкции сопряжения свай с ростверком, указанные в
п. 11.4 настоящей главы.
Примечание. При разрезке зданий и сооружений на отсеки в ростверке между ними следует предусматривать зазоры (деформационные швы), размеры которых определяют как для нижних конструкций здания и сооружения в соответствии с требованиями главы СНиП по проектированию зданий и сооружений на подрабатываемых территориях.
11.11. Свайные фундаменты на подрабатываемых территориях в зависимости от величины ожидаемых деформаций земной поверхности допускается применять, как правило, только в случае пологого (менее 30°) залегания подрабатываемых пластов:
а) с висячими сваями - на территориях II - IV групп для любых видов и конструкций зданий и сооружений;
б) со сваями-стойками - на территориях III - IV групп для зданий и сооружений, проектируемых с податливой конструктивной схемой здания при искривлении основания, а для IV группы - также и для зданий и сооружений, проектируемых с жесткой конструктивной схемой.
Применение висячих свай или свай-оболочек на территориях I группы и свай-стоек на территориях I и II групп допускается только на основании специального технико-экономического обоснования.
Примечания: 1. Деление подрабатываемых территорий на группы принято по главе СНиП по проектированию зданий и сооружений на подрабатываемых территориях.
2. Сваи-оболочки, буронабивные сваи диаметром более 600 мм и другие виды жестких свай допускается применять, как правило, только в свайных фундаментах с податливой схемой при сопряжении их с ростверком через шов скольжения (
п. 11.4 настоящей главы).
3. Величина заглубления в грунт свай и свай-оболочек на подрабатываемых территориях должна быть не менее 4 м, за исключением случаев опирания свай или свай-оболочек на скальные грунты.
11.12. В случае крутопадающих (более 45°) пластов, когда возможно образование уступов, а также на площадках с геологическими нарушениями применение свайных фундаментов допускается только при наличии специального обоснования.
11.13. Конструкция сопряжения свай или свай-оболочек с ростверком должна назначаться в зависимости от величины ожидаемого горизонтального перемещения грунта основания

, причем предельно допускаемые значения горизонтального перемещения для свай или свай-оболочек не должны превышать при сопряжении свай или свай-оболочек с ростверком (
п. 11.4 настоящей главы):
а) жестком - 2 см;
б) податливом условно шарнирном - 5 см;
в) то же, через шов скольжения - 8 см.
Примечание. Для снижения величин усилий, возникающих в сваях или сваях-оболочках и в ростверке от воздействия горизонтальных перемещений грунта оснований, а также для обеспечения пространственной устойчивости свайных фундаментов и здания (сооружения) в целом, сваи и сваи-оболочки свайного поля в зоне действия небольших перемещений грунта (до 2 см) следует предусматривать с жестким сопряжением, а остальные - с податливым (шарнирным или сопряжением через шов скольжения).
11.14. Свайные ростверки должны рассчитываться на внецентренное растяжение и сжатие, а также на кручение при воздействии на них горизонтальных опорных реакций от свай или свай-оболочек (поперечной силы и изгибающего момента), вызванных боковым давлением деформируемого при подработке грунта основания.
11.15. При применении свайных фундаментов с высоким ростверком в бетонных полах или других жестких конструкциях, устраиваемых на поверхности грунта, следует предусматривать зазор по всему периметру свай шириной не менее 8 см на всю толщину жесткой конструкции. Зазор следует заполнять пластичными или упругими материалами, не образующими жесткой опоры для свай при воздействии горизонтальных перемещений грунта основания.
12. ОСОБЕННОСТИ ПРОЕКТИРОВАНИЯ СВАЙНЫХ
ФУНДАМЕНТОВ В СЕЙСМИЧЕСКИХ РАЙОНАХ
12.1. При проектировании свайных фундаментов из свай, свай-оболочек и свай-столбов (ниже в настоящем разделе именуемых для краткости общим названием "сваи") в сейсмических районах кроме требований настоящей главы должны соблюдаться также требования главы СНиП по строительству в сейсмических районах, при этом в дополнение к требованиям к инженерным изысканиям для проектирования свайных фундаментов, изложенным в
разделе 3 настоящей главы, должны быть использованы данные о микросейсморайонировании территории (или участка) строительства.
12.2. Свайные фундаменты зданий и сооружений с учетом сейсмических воздействий должны рассчитываться на особое сочетание нагрузок по предельным состояниям первой группы. При этом предусматривается:
а) определение несущей способности свай на сжимающую и выдергивающую нагрузку в соответствии с требованиями
раздела 5 настоящей главы;
б) проверка сечений свай по сопротивлению материала на совместное действие расчетных усилий (сжимающей силы, изгибающего момента и перерезывающей силы), величины которых определяются по формулам
п. 7 Приложения к настоящей главе в зависимости от расчетных значений сейсмических сил;
в) проверка устойчивости грунта по условию ограничения давления, передаваемого на грунт боковыми поверхностями свай в соответствии с требованиями
п. 6 Приложения к настоящей главе.
При указанных в
подпунктах "а" - "в" расчетах должны выполняться также дополнительные требования, приведенные в
пп. 12.3 -
12.8 настоящей главы.
Примечание. Для фундаментов с высоким свайным ростверком расчетные значения сейсмических сил следует определять как для зданий или сооружений с гибкой нижней частью, увеличивая коэффициент динамичности

в 1,5 раза, если период колебаний основного тона составляет 0,4 с и более. При этом значение коэффициента динамичности

должно быть не более 3 и не менее 1,2.
12.3. Влияние сейсмических воздействий на величины R и f при расчете несущей способности свай на сжимающую или выдергивающую нагрузку должно учитываться путем умножения их на понижающий коэффициент условий работы грунта основания

, приведенный в табл. 17.
Таблица 17
Расчетная сейсмичность зданий и сооружений | Коэффициент условий работы mc для корректировки значений R и f при грунтах |
песчаных, плотных и средней плотности | глинистых консистенции |
маловлажных и средней влажности | водонасыщенных* | твердой, полутвердой и тугопластичной | мягкопластичной* | текучепластичной* |
7 | 0,95 | 0,90 | 0,95 | 0,85 | 0,75 |
8 | 0,85 | 0,80 | 0,90 | 0,80 | 0,70 |
9 | 0,75 | 0,70 | 0,85 | 0,70 | 0,60 |
Примечания: 1. Графы, отмеченные звездочкой, относятся только к сопротивлению грунта на боковой поверхности. 2. Определение несущей способности свай-стоек, опирающихся на скальные и крупнообломочные грунты, производится без введения дополнительных коэффициентов условий работы mc. |
12.4. При определении несущей способности свай

, работающих на сжимающие и выдергивающие нагрузки с учетом сейсмических воздействий (
п. 12.2 настоящей главы), сопротивление грунта f на боковой поверхности сваи до расчетной глубины

(п. 12.5 настоящей главы) принимается равным нулю.
12.5. Расчетная глубина

, в пределах которой не учитывается сопротивление грунта на боковой поверхности забивных свай, набивных свай и свай-оболочек, должна определяться по формуле

, (34)
где

- коэффициент, принимаемый: для забивных свай и для набивных свай диаметром менее 0,8 м

; для свай-оболочек и набивных свай диаметром 0,8 м и более

при шарнирном сопряжении ростверка со сваями и

при жесткой заделке свай в ростверк;

- коэффициент деформации, определяемый по
формуле (6) приложения к настоящей главе.
12.6. Расчет свай по условию ограничения давления, оказываемого на грунт боковой поверхностью сваи, выполняемый по
формуле (14) Приложения к настоящей главе, при воздействии сейсмических нагрузок следует производить, принимая значения расчетного угла внутреннего трения

уменьшенными на следующие величины: для расчетной сейсмичности 7 баллов - на 2 град; для 8 баллов - на 4 град; для 9 баллов - на 7 град.
12.7. При расчете свайных фундаментов мостов влияние сейсмического воздействия на условия заделки свай в водонасыщенных пылеватых песках, текучепластичных и мягкопластичных глинах и суглинках и в текучих супесях следует учитывать путем понижения на 30% значений коэффициентов пропорциональности K, приведенных для этих грунтов в
табл. 1 Приложения к настоящей главе.
При проверке давлений на грунт допускается учитывать кратковременный характер воздействия сейсмической нагрузки путем повышения коэффициента

в
формуле (14) Приложения к настоящей главе. При расчетах однорядных фундаментов на нагрузки, действующие в плоскости, перпендикулярной ряду, значение коэффициента

увеличивается на 10%, в остальных случаях - на 30%.
12.8. Несущая способность сваи

, тс, работающей на сжимающую нагрузку, по результатам полевых испытаний должна определяться с учетом сейсмических воздействий по формуле

, (35)
где

- несущая способность сваи, тс, определенная по результатам статических или динамических испытаний, либо по данным статического зондирования грунта в соответствии с указаниями
раздела 6 настоящей главы (без учета сейсмических воздействий);

- коэффициент, равный отношению значений несущей способности сваи

, полученных расчетом в соответствии с указаниями
пп. 12.3 и
12.4 настоящего раздела с учетом сейсмических воздействий и
раздела 5 без учета сейсмических воздействий.
12.9. Расчеты свайных фундаментов с учетом сейсмических воздействий в соответствии с указаниями
пп. 12.2 -
12.8 в просадочных грунтах в случае возможности подъема уровня грунтовых вод в процессе эксплуатации зданий и сооружений, а также в случае неизбежного по технологическим или другим условиям замачивания основания должны производиться применительно к полностью замоченному просадочному грунту в пределах прогнозируемого уровня подъема, а в случае возможности только местного аварийного замачивания части грунта просадочной толщи - применительно к состоянию просадочных грунтов природной влажности (без учета возможности их аварийного замачивания). При этом одновременно должны быть выполнены все необходимые расчеты этих же свайных фундаментов применительно к случаю эксплуатации в просадочных грунтах при отсутствии сейсмических сил в соответствии с требованиями
раздела 9 настоящей главы.
12.10. При проектировании свайных фундаментов в сейсмических районах опирание нижнего конца свай следует предусматривать на скальные грунты, крупнообломочные грунты, плотные и средней плотности песчаные грунты, твердые, полутвердые и тугопластичные глинистые грунты.
Опирание нижних концов свай в сейсмических районах на рыхлые водонасыщенные пески, глинистые грунты мягкопластичной, текучепластичной и текучей консистенции не допускается.
12.11. Величина заглубления в грунт сваи в сейсмических районах должна быть не менее 4 м, за исключением случаев опирания на скальные грунты.
12.12. В сейсмических районах при соответствующем технико-экономическом обосновании допускается применять свайные фундаменты с промежуточной подушкой из сыпучих материалов (щебня, гравия, песка крупного и средней крупности). Такие фундаменты не следует применять в набухающих и заторфованных грунтах, просадочных грунтах, а также на подрабатываемых территориях и на геологически неустойчивых площадках (на которых имеются или могут возникнуть оползни, сели, карсты и т.п.).
12.13. Для свайных фундаментов следует применять железобетонные призматические и полые круглые сваи и сваи-оболочки с ненапрягаемой стержневой арматурой и поперечным армированием ствола.
Применение буронабивных свай допускается только в устойчивых грунтах, не требующих закрепления стенок скважин, при этом диаметр свай должен быть не менее 40 см, а отношение диаметра к длине сваи - не более 1:25.
12.14. Ростверк свайного фундамента под несущими стенами здания в пределах отсека должен быть непрерывным и расположенным в одном уровне.
Верхние концы свай должны быть жестко заделаны в ростверк на глубину, определяемую расчетом, учитывающим сейсмические нагрузки.
Устройство безростверковых свайных фундаментов не допускается.
13. ОСОБЕННОСТИ ПРОЕКТИРОВАНИЯ СВАЙНЫХ
ФУНДАМЕНТОВ ОПОР ВОЗДУШНЫХ ЛИНИЙ ЭЛЕКТРОПЕРЕДАЧИ
13.1. При изысканиях на трассах воздушных линий электропередачи исследование грунтов, предусмотренное
разделом 3 настоящей главы, в полном объеме следует выполнять для опор больших переходов. В остальных случаях допускается ограничиваться одним из видов исследования грунтов на площадке установки каждой опоры при условии выполнения не менее трех исследований на каждый километр линии.
Примечание. Классификация опор воздушных линий электропередачи и переходов приведена в
Правилах устройства электроустановок.
13.2. Глубину бурения скважин при изысканиях для свайных фундаментов нормальных промежуточных опор следует назначать на 2 м ниже наибольшей глубины погружения нижнего конца свай, а для свайных фундаментов под нормальные угловые опоры - не менее чем на 4 м ниже погружения нижнего конца свай.
13.3. Для свайных фундаментов опор воздушных линий электропередачи не допускается применение булавовидных, пирамидальных и ромбовидных свай.
13.4. Глубина погружения свай в грунт, воспринимающих выдергивающие или горизонтальные нагрузки, должна быть не менее 4,0 м, а для фундаментов деревянных опор - не менее 3,0 м.
13.5. Деревянные сваи для фундаментов деревянных опор воздушных линий электропередачи допускается применять независимо от наличия и положения уровня грунтовых вод. При этом в зоне переменной влажности необходимо предусматривать усиленную защиту древесины от гниения.
13.6. Несущую способность забивных висячих свай, работающих на сжимающую нагрузку, следует определять по
формуле (7) с учетом дополнительных указаний, приведенных в
пп. 13.8 -
13.10 настоящей главы; при этом коэффициент условий работы m в
формуле (7) следует принимать:
для нормальных промежуточных опор ............................. m = 1,2
для анкерных и угловых опор, а также для больших переходов .... m = 1,0
13.7. Несущую способность забивных свай, работающих на выдергивание, следует определять по
формуле (9) с учетом дополнительных указаний, приведенных в
пп. 13.8 -
13.10 настоящей главы; при этом коэффициент условий работы m в
формуле (9) следует принимать:
для нормальных промежуточных опор ............................. m = 1,2
для анкерных и угловых опор ................................... m = 1,0
для опор больших переходов, если удерживающая сила веса свай и ростверка составляет 65% или более от расчетной выдергивающей нагрузки - m = 0,8 и если указанная удерживающая сила меньше 65% от расчетной нагрузки - m = 0,6.
13.8. Несущая способность забивных свай, вычисленная по
формуле (7), должна быть уменьшена на величину

, а по
формуле (9) увеличена на

(где

- вес сваи, тс, при расчетах выдергиваемых свайных фундаментов в обводненных грунтах принимается с учетом взвешивающего действия воды).
13.9. Расчетные сопротивления грунта под нижним концом забивных свай R и расчетные сопротивления на боковой поверхности забивных свай f в фундаментах опор воздушных линий электропередачи принимаются по
табл. 1 и
2, причем в фундаментах нормальных опор расчетные значения f для глинистых грунтов при их консистенции

следует повышать на 25%.
13.10. Расчетные сопротивления грунта на боковой поверхности забивных свай f, вычисленные в соответствии с требованиями п. 13.9, должны быть умножены на дополнительные коэффициенты условий работы

, приведенные в табл. 18.
Вид фундамента, характеристики грунта и нагрузки | Дополнительные коэффициенты условий работы mg при длине сваи |
l >= 25d | l < 25d и отношении |
| | |
1. Фундамент под нормальную промежуточную опору при расчете: | | | |
а) одиночных свай на выдергивающие нагрузки: | | | |
в песчаных грунтах | 0,9 | 0,8 | 0,55 |
в глинистых грунтах при IL <= 0,6 | 1,15 | 1,05 | 0,7 |
то же, при IL > 0,6 | 1,5 | 1,35 | 0,9 |
б) одиночных свай на сжимающие нагрузки и свай в составе куста на выдергивающие нагрузки: | | | |
в песчаных грунтах | 0,9 | 0,9 | 0,9 |
в глинистых грунтах при IL <= 0,6 | 1,15 | 1,15 | 1,15 |
то же, при IL > 0,6 | 1,5 | 1,5 | 1,5 |
2. Фундамент под анкерную, угловую, концевую опору при расчете: | | | |
а) одиночных свай на выдергивающие нагрузки: | | | |
в песчаных грунтах | 0,8 | 0,7 | 0,5 |
в глинистых грунтах | 1,0 | 0,9 | 0,6 |
б) свай в составе куста на выдергивающие нагрузки: | | | |
в песчаных грунтах | 0,8 | 0,8 | 0,8 |
в глинистых грунтах | 1,0 | 1,0 | 1,0 |
в) на сжимающие нагрузки во всех грунтах | 1,0 | 1,0 | 1,0 |
Примечания: 1. В табл. 18 приняты обозначения: d - диаметр круглого, сторона квадратного или  сторона прямоугольного сечения сваи; Q - горизонтальная составляющая расчетной нагрузки; N - вертикальная составляющая расчетной нагрузки. 2. При погружении одиночной сваи с наклоном в сторону действия горизонтальной составляющей нагрузки при угле наклона к вертикали более 10°, дополнительный коэффициент условий работы m g следует принимать как для вертикальной сваи, работающей в составе куста (по поз. 1б или 2б). |
13.11. При расчете на выдергивающие нагрузки сваи, работающей в свайном кусте из четырех и менее свай, расчетную несущую способность сваи следует уменьшить на 20%.
13.12. Для свай, воспринимающих выдергивающие нагрузки, допускается предусматривать погружение их в лидерные скважины только при диаметре скважины, меньшем, чем диаметр или сторона сечения сваи, на 15 см и более.
14. ОСОБЕННОСТИ ПРОЕКТИРОВАНИЯ СВАЙНЫХ ФУНДАМЕНТОВ
МАЛОЭТАЖНЫХ СЕЛЬСКОХОЗЯЙСТВЕННЫХ ЗДАНИЙ
14.1. Особенности проектирования свайных фундаментов, изложенные в настоящем разделе, распространяются на следующие виды одноэтажных сельскохозяйственных зданий: животноводческие и птицеводческие, склады сельскохозяйственных продуктов и сельскохозяйственной техники, открытые навесы различного назначения и т.п. при условии, что расчетная нагрузка в уровне цоколя стены зданий составляет не более 15 тс/м, а на колонну - не более 40 тс.
14.2. При выполнении изыскательских работ для проектирования одноэтажных сельскохозяйственных зданий глубину зондирования грунта, а также глубины проходки скважин при изысканиях допускается принимать на 2 м ниже наибольшей глубины погружения свай.
14.3. При проектировании свайных фундаментов одноэтажных сельскохозяйственных зданий следует применять преимущественно короткие забивные сваи, сваи-колонны, а при отсутствии грунтовых вод также набивные сваи в вытрамбованном в грунте ложе, буронабивные сваи длиной до 3 м с уплотненным трамбованием забоем и набивные сваи, устраиваемые в пробитых скважинах, предусмотренных в
п. 2.6 "б" настоящей главы.
Примечания: 1. Применение свай-колонн для одноэтажных сельскохозяйственных зданий, возводимых в сейсмических районах, допускается при глубине погружения нижних концов свай-колонн в грунт от 2 м и более.
2. Уплотнение забоя скважин при устройстве буронабивных свай длиной до 3 м должно осуществляться путем втрамбовывания в грунт слоя щебня толщиной не менее 10 см.
Для фундаментов сельскохозяйственных зданий распорной конструкции допускается применять сваи таврового сечения с развитыми полками.
14.4. Расчетные сопротивления грунта R, тс/м
2, под нижним концом забивных свай при глубине погружения 2 м допускается принимать такими же, как и при глубине погружения 3 м по
табл. 1 настоящей главы.
14.5. Расчетные сопротивления грунта R, тс/м
2, под нижним концом буронабивных свай с уплотненным забоем при глубине погружения свай 2 - 3 м следует принимать для глинистых грунтов по табл. 19 и для песчаных грунтов средней плотности - по
табл. 20, а для плотных песчаных грунтов табличные значения следует увеличить в 1,3 раза.
Таблица 19
Виды глинистых грунтов | Коэффициент пористости e | Расчетные сопротивления глинистых грунтов R, тс/м2, под нижним концом буронабивных свай при глубине их погружения 2 - 3 м при показателе консистенции IL, равном |
<= 0 | 0,2 | 0,4 | 0,6 |
Супеси, суглинки | 0,5 | 80 | 65 | 55 | 45 |
0,7 | 65 | 55 | 45 | 35 |
1,0 | 55 | 45 | 35 | 25 |
Глины | 0,5 | 140 | 110 | 90 | 70 |
0,6 | 110 | 90 | 75 | 60 |
0,8 | 70 | 60 | 50 | 40 |
Виды песчаных грунтов средней плотности | Расчетные сопротивления песчаных грунтов R, тс/м2, под нижним концом буронабивных свай при глубине их погружения 2 - 3 м |
Крупный | 200 |
Средней крупности | 150 |
Мелкий маловлажный | 90 |
Мелкий влажный | 70 |
Пылеватый маловлажный | 70 |
Пылеватый влажный | 50 |
14.6. Несущую способность сваи-колонны с погружаемыми в грунт железобетонными консолями, работающей на сжимающую нагрузку, следует определять как сумму сопротивлений грунта под нижним ее концом, под консолями и на боковой поверхности по формуле

, (36)
где m, R, F, u,

и

- обозначения те же, что и в
формуле (7) настоящей главы;

- расчетное сопротивление грунта под консолями, тс/м
2, при погружении их в грунт на глубину 0,5 - 1,0 м, принимаемое по табл. 21;

- площадь проекции консолей на горизонтальную плоскость, м
2.
Таблица 21
Виды грунтов | Состояние грунтов | Расчетное сопротивление грунта под консолями свай-колонн Rк, тс/м2 |
показатель консистенции IL и степень влажности G | коэффициент пористости e |
Супеси | IL = 0,2 | 0,5 0,7 | 55 40 |
Суглинки | IL = 0,5 | 0,5 0,7 | 40 30 |
Глины | IL = 0,2 | 0,5 1,0 | 80 50 |
IL = 0,5 | 0,5 1,0 | 60 35 |
Пески | крупные | 0 < G <= 1 | 0,55 | 90 |
0,55 - 0,7 | 75 |
средней крупности | 0 < G <= 1 | 0,55 | 75 |
0,55 - 0,7 | 65 |
мелкие | 0 < G <= 0,5 | 0,6 | 65 |
0,6 - 0,75 | 55 |
0 < G <= 0,8 | 0,6 | 55 |
0,6 - 0,75 | 40 |
пылеватые | 0 < G <= 0,5 | 0,6 | 50 |
0,6 - 0,8 | 30 |
Лесс и лессовидные суглинки в состоянии полного водонасыщения | G = 0,8 | 0,75 | 35 |
1,0 | 20 |
Супеси и суглинки, послойно уплотненные при оптимальной влажности | G = 0,5 | 0,65 | 30 |
G = 0,8 | 0,65 | 20 |
Несущую способность свай таврового сечения на вертикальную составляющую нагрузки следует определять по
формуле (7), принимая в ней значения расчетного сопротивления i-го слоя грунта

на боковой поверхности полки и стенки сваи в соответствии с табл. 22.
Таблица 22
Постановлением Госстроя СССР от 17.07.1981 N 122)
Средняя глубина расположения слоя грунта hср, м | Средний коэффициент пористости грунта в слое e | Расчет сопротивления грунта на боковой поверхности свай таврового сечения f, кПа (тс/м2) |
песчаного | глинистого при показателе консистенции IL |
крупного и средней крупности | мелкого | пылеватого | <= 0 | 0,2 | 0,4 | 0,6 | 0,8 | 1 |
1 | <= 0,55 | 80 (8,0) | 55 (5,5) | 45 (4,5) | 46 (4,6) | 39 (3,9) | 32 (3,2) | 25 (2,5) | 18 (1,8) | 11 (1,1) |
0,7 | 60 (6,0) | 40 (4,0) | 30 (3,0) | 45 (4,5) | 37 (3,7) | 30 (3,0) | 23 (2,3) | 16 (1,6) | 9 (0,9) |
1,0 | - | - | - | 42 (4,2) | 33 (3,3) | 25 (2,5) | 20 (2,0) | 12 (1,2) | 6 (0,6) |
2 - 3 | <= 0,55 | 85 (8,5) | 60 (6,0) | 50 (5,0) | 68 (6,8) | 53 (5,3) | 40 (4,0) | 29 (2,9) | 20 (2,0) | 13 (1,3) |
0,7 | 65 (6,5) | 45 (4,5) | 35 (3,5) | 65 (6,5) | 50 (5,0) | 37 (3,7) | 26 (2,6) | 18 (1,8) | 1 (1,1) |
1,0 | - | - | - | 60 (6,0) | 45 (4,5) | 32 (3,2) | 21 (2,1) | 13 (1,3) | 7 (0,7) |
4 - 5 | <= 0,55 | 87 (8,7) | 62 (6,2) | 52 (5,2) | 70 (7,0) | 55 (5,5) | 43 (4,3) | 31 (3,1) | 21 (2,1) | 14 (1,4) |
0,7 | 68 (6,8) | 47 (4,7) | 37 (3,7) | 67 (6,7) | 52 (5,2) | 40 (4,0) | 28 (2,8) | 19 (1,9) | 12 (1,2) |
1,0 | - | - | - | 62 (6,2) | 47 (4,7) | 34 (3,4) | 22 (2,2) | 14 (1,4) | 8 (0,8) |
Примечание. При промежуточных значениях

, e и

значение f определяются интерполяцией.
14.7. Для свай всех видов, размеры которых определены в проекте по конструктивным соображениям и несущая способность которых полностью не используется, статические испытания допускается прекращать при величине осадки менее 30 мм, если при этом максимальная достигнутая нагрузка составляет менее 1,5 расчетной нагрузки, допускаемой на сваю и принятой в проекте.
14.8. Расчет свайных фундаментов и свай-колонн одноэтажных сельскохозяйственных зданий на устойчивость фундаментов при действии сил морозного пучения грунтов оснований в соответствии с методикой, установленной главой СНиП по проектированию оснований зданий и сооружений, является во всех случаях обязательным.
РАСЧЕТ СВАЙ, СВАЙ-ОБОЛОЧЕК И СВАЙ-СТОЛБОВ НА СОВМЕСТНОЕ
ДЕЙСТВИЕ ВЕРТИКАЛЬНЫХ И ГОРИЗОНТАЛЬНЫХ НАГРУЗОК И МОМЕНТОВ
1. Расчет свай, свай-оболочек и свай-столбов (именуемых ниже для краткости общим названием "сваи") на совместное действие вертикальных и горизонтальных нагрузок и моментов в соответствии со схемой, приведенной на
рис. 1, должен включать:
а) расчет свай по деформациям, который сводится к проверке соблюдения условий допустимости расчетных величин горизонтального перемещения головы свай

и угла их поворота:

; (1)

, (2)
где

и

- расчетные величины соответственно горизонтального перемещения головы сваи, м, и угла ее поворота, рад, определяемые в соответствии с указаниями
п. 4 настоящего приложения;

и

- предельно допускаемые величины соответственно горизонтального перемещения головы сваи, м, и угла ее поворота, рад, устанавливаемые в задании на проектирование здания или сооружения;
б) расчет устойчивости грунта основания, окружающего сваю, выполняемый в соответствии с требованиями
п. 6 настоящего приложения;
в) проверку сечений свай по сопротивлению материала по предельным состояниям первой и второй групп (по прочности, по образованию и раскрытию трещин) на совместное действие расчетных усилий: сжимающей силы, изгибающего момента и перерезывающей силы. Указанный расчет сваи должен выполняться в зависимости от материала свай - в соответствии с требованиями
п. 4.2 настоящей главы.
Рис. 1. Схема нагрузок на сваю
Расчетные величины изгибающих моментов, поперечных сил и продольных сил, действующих в различных сечениях сваи, должны определяться согласно требованиям
п. 7 настоящего приложения.
В случае жесткой заделки сваи в ростверк, если исключается возможность поворота ее головы (например, в жесткий ростверк с двумя или более рядами свай, установленных в направлении действия горизонтальной силы), в расчетах необходимо учитывать момент заделки

, действующий в месте сопряжения сваи с ростверком и определяемый в соответствии с указаниями
п. 8 настоящего приложения.
Примечание. Расчет устойчивости грунта основания, окружающего сваю, не требуется для свай размером поперечного сечения d <= 0,6 м, погруженных в грунт на глубину более 10d, за исключением случаев погружения свай в илы или глинистые грунты текучепластичной и текучей консистенции (здесь d - наружный диаметр круглого или сторона квадратного, или большая сторона прямоугольного сечения сваи).
2. При расчете свай на горизонтальную нагрузку грунт, окружающий сваю, допускается рассматривать как упругую линейно-деформируемую среду, характеризующуюся коэффициентом постели

, тс/м
3.
Расчетную величину коэффициента постели

, тс/м
3, грунта на боковой поверхности сваи при отсутствии опытных данных допускается определять по формуле

, (3)
где K - коэффициент пропорциональности, тс/м4, принимаемый в зависимости от вида грунта, окружающего сваю, по табл. 1;
Z - глубина расположения сечения сваи в грунте, м, для которой определяется коэффициент постели, по отношению к поверхности грунта при высоком ростверке или к подошве ростверка при низком ростверке.
Вид грунта, окружающего сваю, и его характеристика | Коэффициент пропорциональности K, тс/м4, для свай |
забивных | набивных, свай-оболочек и свай-столбов |
Глины и суглинки текучепластичные (0,75 < IL <= 1) | 65 - 250 | 50 - 200 |
Глины и суглинки мягкопластичные (0,5 < IL <= 0,75); супеси пластичные (0 <= IL <= 1); пески пылеватые (0,6 <= e <= 0,8) | 250 - 500 | 200 - 400 |
Глины и суглинки тугопластичные и полутвердые (0 <= IL <= 0,5); супеси твердые (IL < 0); пески мелкие (0,6 <= e <= 0,75); то же, средней крупности (0,55 <= e <= 0,7) | 500 - 800 | 400 - 600 |
Глины и суглинки твердые (IL < 0); пески крупные (0,55 <= e <= 0,7) | 800 - 1300 | 600 - 1000 |
Пески гравелистые (0,55 <= e <= 0,7); гравий и галька с песчаным заполнителем | - | 1000 - 2000 |
Примечания: 1. Меньшие значения коэффициента K в табл. 1 соответствуют более высоким значениям консистенции I L глинистых и коэффициентов пористости e песчаных грунтов, указанным в скобках, а  значения коэффициента K - соответственно более низким значениям K L и e. Для грунтов с промежуточными значениями характеристик I L и e величины коэффициента K определяются интерполяцией. 2. Коэффициент K для плотных песков должен приниматься на 30% выше, чем наибольшие значения указанных в табл. 1 коэффициентов K для заданного вида грунта. |
3. Все расчеты свай следует выполнять применительно к приведенной глубине расположения сечения сваи в грунте

и приведенной глубине погружения сваи в грунт

, определяемых по формулам:

; (4)

, (5)
где z и l - действительная глубина расположения сечения сваи в грунте и действительная глубина погружения сваи (ее нижнего конца) в грунт, соответственно отсчитываемые от поверхности грунта - при высоком ростверке или от подошвы ростверка - при низком ростверке, м, в случае заделки конца набивной сваи, сваи-оболочки или сваи-столба в скалу под глубиной их погружения следует понимать расстояние от поверхности грунта или подошвы ростверка до кровли слабовыветрелой породы, увеличенное при заделке сваи во все породы, кроме магматических (гранит, диорит, базальт и др.), на половину диаметра сваи;

- коэффициент деформации, 1/м, определяемый по формуле

. (6)

- начальный модуль упругости бетона сваи при сжатии и растяжении, тс/м
2, принимаемый в соответствии с главой СНиП по проектированию бетонных и железобетонных конструкций; для деревянных свай - модуль упругости древесины, принимаемый по нормам проектирования деревянных конструкций;
J - момент инерции поперечного сечения сваи, м4;

- условная ширина сваи, м, принимаемая равной: для свай-оболочек, а также свай-столбов и набивных свай с диаметром стволов от 0,8 и более

, а для остальных видов и размеров сечений свай

;
d - наружный диаметр круглого или сторона квадратного, или сторона прямоугольного сечения сваи в плоскости, перпендикулярной действию нагрузки, м.
4. Расчетные величины горизонтального перемещения сваи в уровне подошвы ростверка

, м, и угол ее поворота

, рад, следует определять по формулам

; (7)

, (8)
где H и M - расчетные значения поперечной силы, тс, и изгибающего момента, тс·м, действующие со стороны ростверка на голову сваи (см.
рис. 1);

- длина участка сваи, м, равная расстоянию от подошвы ростверка до поверхности грунта;

и

- горизонтальное перемещение, м, и угол поворота поперечного сечения сваи, рад, в уровне поверхности грунта при высоком ростверке, а при низком ростверке - в уровне его подошвы; определяются в соответствии с требованиями
п. 5 настоящего приложения.
Примечание. В настоящем приложении считаются положительными: момент и горизонтальная сила, приложенные к голове сваи, если момент и сила направлены соответственно по часовой стрелке и вправо;
изгибающий момент и поперечная сила в сечении сваи, если момент и сила, передающиеся от верхней условно отсеченной части сваи на нижнюю, направлены соответственно по часовой стрелке и вправо;
горизонтальное смещение сечения сваи и его поворот, если они направлены соответственно вправо и по часовой стрелке.
5. Горизонтальное перемещение

, м, и угол поворота

, рад, следует определять по формулам:

; (9)

, (10)
где

и

- расчетные значения соответственно поперечной силы, тс, и изгибающего момента, тс·м, в рассматриваемом сечении сваи, принимаемые равными

и

[здесь H и M - значения те же, что и в
формулах (7) и
(8)];

- горизонтальное перемещение сечения, м/тс, от силы

(
рис. 2 а);

- горизонтальное перемещение сечения, 1/тс, от момента

(
рис. 2 б);

- угол поворота сечения, 1/тс, от силы

(
рис. 2 а);

- угол поворота сечения, 1/тс·м, от момента

(
рис. 2 б).
Рис. 2. Схема перемещений сваи в грунте
а - от действия силы

, приложенной в уровне
поверхности грунта; б - от действия момента

Перемещения

,

и

вычисляются по формулам:

; (11)

; (12)

, (13)

,

,

- безразмерные коэффициенты, принимаемые по табл. 2 в зависимости от приведенной глубины заложения свай в грунте

, определяемой по
формуле (5). При величине

, соответствующей промежуточному значению, указанному в табл. 2, ее следует округлить до ближайшего табличного значения.
Таблица 2
| При опирании сваи на нескальный грунт | При опирании сваи на скалу | При заделке сваи в скалу |
A0 | B0 | C0 | A0 | B0 | C0 | A0 | B0 | C0 |
0,5 | 72,004 | 192,026 | 576,243 | 48,006 | 96,037 | 192,291 | 0,042 | 0,125 | 0,500 |
0,6 | 50,007 | 111,149 | 278,069 | 33,344 | 55,609 | 92,942 | 0,072 | 0,180 | 0,600 |
0,7 | 36,745 | 70,023 | 150,278 | 24,507 | 35,059 | 50,387 | 0,114 | 0,244 | 0,699 |
0,8 | 28,140 | 46,943 | 88,279 | 18,775 | 23,533 | 29,763 | 0,170 | 0,319 | 0,798 |
0,9 | 22,244 | 33,008 | 55,307 | 14,851 | 16,582 | 18,814 | 0,241 | 0,402 | 0,896 |
1,0 | 18,030 | 24,106 | 36,486 | 12,049 | 12,149 | 12,582 | 0,329 | 0,494 | 0,992 |
1,1 | 14,916 | 18,160 | 25,123 | 9,983 | 9,196 | 8,836 | 0,434 | 0,593 | 1,086 |
1,2 | 12,552 | 14,041 | 17,944 | 8,418 | 7,159 | 6,485 | 0,556 | 0,698 | 1,176 |
1,3 | 10,717 | 11,103 | 13,235 | 7,208 | 5,713 | 4,957 | 0,695 | 0,807 | 1,262 |
1,4 | 9,266 | 8,954 | 10,050 | 6,257 | 4,664 | 3,937 | 0,849 | 0,918 | 1,342 |
1,5 | 8,101 | 7,349 | 7,838 | 5,498 | 3,889 | 3,240 | 1,014 | 1,028 | 1,415 |
1,6 | 7,154 | 6,129 | 6,268 | 4,887 | 3,308 | 2,758 | 1,186 | 1,134 | 1,480 |
1,7 | 6,375 | 5,189 | 5,133 | 4,391 | 2,868 | 2,419 | 1,361 | 1,232 | 1,535 |
1,8 | 5,730 | 4,456 | 4,299 | 3,985 | 2,533 | 2,181 | 1,532 | 1,321 | 1,581 |
1,9 | 5,190 | 3,878 | 3,679 | 3,653 | 2,277 | 2,012 | 1,693 | 1,397 | 1,617 |
2,0 | 4,737 | 3,418 | 3,213 | 3,381 | 2,081 | 1,894 | 1,841 | 1,460 | 1,644 |
2,2 | 4,032 | 2,756 | 2,591 | 2,977 | 1,819 | 1,758 | 2,080 | 1,545 | 1,675 |
2,4 | 3,526 | 2,327 | 2,227 | 2,713 | 1,673 | 1,701 | 2,240 | 1,586 | 1,685 |
2,6 | 3,163 | 2,048 | 2,013 | 2,548 | 1,600 | 1,687 | 2,330 | 1,596 | 1,687 |
2,8 | 2,905 | 1,869 | 1,889 | 2,453 | 1,572 | 1,693 | 2,371 | 1,593 | 1,687 |
3,0 | 2,727 | 1,758 | 1,818 | 2,406 | 1,568 | 1,707 | 2,385 | 1,586 | 1,691 |
3,5 | 2,502 | 1,641 | 1,757 | 2,394 | 1,597 | 1,739 | 2,389 | 1,584 | 1,711 |
>= 4,0 | 2,441 | 1,621 | 1,751 | 2,419 | 1,618 | 1,750 | 2,401 | 1,600 | 1,732 |
6. Расчет устойчивости основания, окружающего сваи, должен производиться по условию (14) ограничения расчетного давления

, оказываемого на грунт боковыми поверхностями свай

, (14)
где

- расчетное давление на грунт, тс/м
2, боковой поверхности сваи, определяемое по
формуле (16), на следующих глубинах z, м, отсчитываемых при высоком ростверке от поверхности грунта, а при низком ростверке - от его подошвы:
а) при

- на двух глубинах, соответствующих

и z = l;

- расчетный объемный вес грунта ненарушенной структуры, тс/м
3, определяемый в водонасыщенных грунтах с учетом взвешивания в воде;

и

- расчетные значения соответственно угла внутреннего трения грунта, град, и удельного сцепления грунта, тс/м
2, принимаемые в соответствии с указаниями
п. 4.6 настоящей главы;

- коэффициент, принимаемый при забивных сваях и сваях-оболочках

, а при всех остальных видах свай

;

- коэффициент, равный 1, кроме случаев расчета фундаментов распорных сооружений (например, распорных пролетных строений), в которых следует принимать

;

- коэффициент, учитывающий долю постоянной нагрузки в суммарной нагрузке, определяемый по формуле

; (15)

- момент от внешних постоянных расчетных нагрузок в сечении фундамента на уровне нижнего конца свай, тс·м;

- то же, от внешних временных расчетных нагрузок, тс·м;

- коэффициент, принимаемый

, за исключением случаев расчета:
а) особо ответственных сооружений, для которых при

принимается

и при

принимается

; при промежуточных значениях

значение

определяется интерполяцией;
б) фундаментов с однорядным расположением свай на внецентренно приложенную вертикальную сжимающую нагрузку, для которых следует принимать

независимо от величины

.
Примечание. Если расчетные горизонтальные давления на грунт

не удовлетворяют
условию (14), но при этом несущая способность свай по материалу недоиспользована и перемещения сваи меньше предельно допускаемых величин, то при приведенной глубине свай

расчет следует повторить, приняв уменьшенное значение коэффициента пропорциональности K (
п. 2 настоящего приложения). При новом значении K необходимо проверить прочность сваи по материалу, ее перемещения, а также соблюдение
условия (14).
7. Расчетное давление

, тс/м
2, на грунт по контакту с боковой поверхностью сваи, возникающее на глубине z, а также расчетный изгибающий момент

, тс·м, поперечную силу

, тс, и продольную силу

, тс, действующие на глубине z в сечении сваи, следует определять по формулам:

; (16)

; (17)

; (18)

, (19)
где K - коэффициент пропорциональности, определяемый по
табл. 1 настоящего приложения;

- приведенная глубина, определяемая по
формуле (4) в зависимости от значения действительной глубины z, для которой определяются величины давления

, момента

и поперечной силы

;

,

,

,

и

- обозначения те же, что и в
пп. 4 и
5 настоящего приложения;

коэффициенты, значения которых принимаются по табл. 3;
N - расчетная осевая нагрузка, тс, передаваемая на голову сваи.
Таблица 3
Приведенная глубина расположения сечения сваи в грунте  | Коэффициенты |
A1 | B1 | C1 | D1 | A3 | B3 | C3 | D3 | A4 | B4 | C4 | D4 |
0 | 1,000 | 0,000 | 0,000 | 0,000 | 0,000 | 0,000 | 1,000 | 0,000 | 0,000 | 0,000 | 0,000 | 1,000 |
0,1 | 1,000 | 0,100 | 0,005 | 0,000 | 0,000 | 0,000 | 1,000 | 0,100 | -0,005 | 0,000 | 0,000 | 1,000 |
0,2 | 1,000 | 0,200 | 0,020 | 0,001 | -0,001 | 0,000 | 1,000 | 0,200 | -0,020 | -0,003 | 0,000 | 1,000 |
0,3 | 1,000 | 0,300 | 0,045 | 0,005 | -0,005 | -0,001 | 1,000 | 0,300 | -0,045 | -0,009 | -0,001 | 1,000 |
0,4 | 1,000 | 0,400 | 0,080 | 0,011 | -0,011 | -0,002 | 1,000 | 0,400 | -0,080 | -0,021 | -0,003 | 1,000 |
0,5 | 1,000 | 0,500 | 0,125 | 0,021 | -0,021 | -0,005 | 0,999 | 0,500 | -0,125 | -0,042 | -0,008 | 0,999 |
0,6 | 0,999 | 0,600 | 0,180 | 0,036 | -0,036 | -0,011 | 0,998 | 0,600 | -0,180 | -0,072 | -0,016 | 0,997 |
0,7 | 0,999 | 0,700 | 0,245 | 0,057 | -0,057 | -0,020 | 0,996 | 0,699 | -0,245 | -0,114 | -0,030 | 0,994 |
0,8 | 0,997 | 0,799 | 0,320 | 0,085 | -0,085 | -0,034 | 0,992 | 0,799 | -0,320 | -0,171 | -0,051 | 0,989 |
0,9 | 0,995 | 0,899 | 0,405 | 0,121 | -0,121 | -0,055 | 0,985 | 0,897 | -0,404 | -0,243 | -0,082 | 0,980 |
1,0 | 0,992 | 0,997 | 0,499 | 0,167 | -0,167 | -0,083 | 0,975 | 0,994 | -0,499 | -0,333 | -0,125 | 0,967 |
1,1 | 0,987 | 1,095 | 0,604 | 0,222 | -0,222 | -0,122 | 0,960 | 1,090 | -0,603 | -0,443 | -0,183 | 0,946 |
1,2 | 0,979 | 1,192 | 0,718 | 0,288 | -0,287 | -0,173 | 0,938 | 1,183 | -0,716 | -0,575 | -0,259 | 0,917 |
1,3 | 0,969 | 1,287 | 0,841 | 0,365 | -0,365 | -0,238 | 0,907 | 1,273 | -0,838 | -0,730 | -0,356 | -0,876 |
1,4 | 0,955 | 1,379 | 0,974 | 0,456 | -0,455 | -0,319 | 0,866 | 1,358 | -0,967 | -0,910 | -0,479 | -0,821 |
1,5 | 0,937 | 1,468 | 1,115 | 0,560 | -0,559 | -0,420 | 0,811 | 1,437 | -1,105 | -1,116 | -0,630 | -0,747 |
1,6 | 0,913 | 1,553 | 1,264 | 0,678 | -0,676 | -0,543 | 0,739 | 1,507 | -1,248 | -1,350 | -0,815 | -0,652 |
1,7 | 0,882 | 1,633 | 1,421 | 0,812 | -0,808 | -0,691 | 0,646 | 1,566 | -1,396 | -1,613 | -1,036 | -0,529 |
1,8 | 0,843 | 1,706 | 1,584 | 0,961 | -0,956 | -0,867 | 0,530 | 1,612 | -1,547 | -1,906 | -1,299 | -0,374 |
1,9 | 0,795 | 1,770 | 1,752 | 1,126 | -1,118 | -1,074 | 0,385 | 1,640 | -1,699 | -2,227 | -1,608 | -0,181 |
2,0 | 0,735 | 1,823 | 1,924 | 1,308 | -1,295 | -1,314 | 0,207 | 1,646 | -1,848 | -2,578 | -1,906 | -0,057 |
2,2 | 0,575 | 1,887 | 2,272 | 1,720 | -1,693 | -1,906 | -0,271 | 1,575 | -2,125 | -3,360 | -2,849 | -0,692 |
2,4 | 0,347 | 1,874 | 2,609 | 2,195 | -2,141 | -2,663 | -0,949 | 1,352 | -2,339 | -4,228 | -3,973 | -1,592 |
2,6 | 0,033 | 1,755 | 2,907 | 2,724 | -2,621 | -3,600 | -1,877 | 0,917 | -2,437 | -5,140 | -5,355 | -2,821 |
2,8 | -0,385 | 1,490 | 3,128 | 3,288 | -3,103 | -4,718 | -3,108 | 0,197 | -2,346 | -6,023 | -6,990 | -4,445 |
3,0 | -0,928 | 1,037 | 3,225 | 3,858 | -3,540 | -6,000 | -4,688 | -0,891 | -1,969 | -6,765 | -8,840 | -6,520 |
3,5 | -2,928 | -1,272 | 2,463 | 4,980 | -3,919 | -9,544 | -10,340 | -5,854 | 1,074 | -6,789 | -13,692 | -13,826 |
4,0 | -5,853 | -5,941 | -0,927 | 4,548 | -1,614 | -11,731 | -17,919 | -15,076 | 9,244 | -0,358 | -15,611 | -23,140 |
8. Расчетный момент заделки

, тс·м, учитываемый при расчете свай, имеющих жесткую заделку в ростверк, которой обеспечивается невозможность поворота головы сваи, следует определять по формуле

, (20)
где все буквенные обозначения те же, что и в предыдущих формулах.
При этом знак "минус" означает, что при горизонтальной силе H, направленной слева направо, на голову сваи со стороны заделки передается момент, направленный против часовой стрелки.