Главная // Актуальные документы // НормыСПРАВКА
Источник публикации
В данном виде документ опубликован не был.
Первоначальный текст документа опубликован в издании
М.: Стройиздат, 1976.
Информацию о публикации документов, создающих данную редакцию, см. в справке к этим документам.
Примечание к документу
Документ утратил силу с 1 января 1987 года в связи с изданием
Постановления Госстроя СССР от 29.08.1985 N 135. Взамен введены в действие
СНиП 2.01.07-85.
Дополнения и изменения, утв. Постановлением Госстроя СССР от 31.12.1982 N 343, введены в действие с 1 июля 1983 года.
Взамен СНиП II-А.11-62; СН 318-65; СН 355-66.
Название документа
"СНиП II-6-74. Строительные нормы и правила. Часть II. Нормы проектирования. Глава 6. Нагрузки и воздействия"
(утв. Постановлением Госстроя СССР от 08.02.1974 N 16)
(ред. от 31.12.1982)
"СНиП II-6-74. Строительные нормы и правила. Часть II. Нормы проектирования. Глава 6. Нагрузки и воздействия"
(утв. Постановлением Госстроя СССР от 08.02.1974 N 16)
(ред. от 31.12.1982)
Постановлением Государственного
комитета Совета Министров СССР
по делам строительства
от 8 февраля 1974 г. N 16
СТРОИТЕЛЬНЫЕ НОРМЫ И ПРАВИЛА
ЧАСТЬ II
НОРМЫ ПРОЕКТИРОВАНИЯ
ГЛАВА 6
НАГРУЗКИ И ВОЗДЕЙСТВИЯ
СНиП II-6-74
| | Список изменяющих документов Постановлением Госстроя СССР от 25.12.1980 N 206, Постановлением Госстроя СССР от 14.09.1981 N 164, Постановлением Госстроя СССР от 31.12.1982 N 343) | |
Взамен СНиП II-А.11-62;
СН 318-65; СН 355-66
Срок введения
1 сентября 1974 года
Внесены ЦНИИСК им. Кучеренко Госстроя СССР.
Утверждены Постановлением Государственного комитета Совета Министров СССР по делам строительства от 8 февраля 1974 г. N 16.
Глава СНиП II-6-74 "Нагрузки и воздействия" разработана ЦНИИСК им. Кучеренко при участии ЦНИИпроектстальконструкции, ЦНИИпромзданий, НИИЖБ, НИИОСП им. Герсеванова, НИИСФ Госстроя СССР, Главной геофизической обсерватории им. В.А. Воейкова Главгидрометслужбы, ВНИИэлектроэнергетики Минэнерго СССР.
С введением в действие главы СНиП II-6-74 утрачивают силу глава СНиП II-А.11-62 "Нагрузки и воздействия. Нормы проектирования" с изменением N 1 и изменением приложения 1; "Указания по определению гололедных нагрузок" (СН 318-65); "Указания по определению нагрузок от подвесных кранов" (СН 355-66).
Редакционная коллегия - инженеры Б.Я. Говоровский, Ф.М. Шлемин, канд. техн. наук Ф.В. Бобров (Госстрой СССР), кандидаты техн. наук А.А. Бать, Л.В. Клепиков, В.А. Отставнов (ЦНИИСК им. Кучеренко).
1.1. Нормы настоящей главы должны соблюдаться при проектировании строительных конструкций и оснований зданий и сооружений.
Примечания: 1. Нагрузки и воздействия <1>, не регламентированные настоящей главой (от подвижного состава железнодорожного и автомобильного транспорта, волновые, ледовые, от судов, сейсмические, динамические от технологического оборудования и транспортных средств и др.), должны приниматься по соответствующим нормам и правилам, предусмотренным другими нормативными документами, утвержденными или согласованными Госстроем СССР.
--------------------------------
<1> Далее в первом и девятом разделах в целях более кратких формулировок термин "воздействие", где это возможно, опущен и заменен термином "нагрузка".
2. При проектировании должны учитываться нагрузки, возникающие в стадии эксплуатации, в стадии возведения зданий и сооружений, а также в стадиях изготовления, хранения и транспортировки строительных конструкций.
1.2. Основными характеристиками нагрузок являются их нормативные величины, установленные настоящей главой.
Расчетная нагрузка определяется как произведение нормативной нагрузки на коэффициент перегрузки

, учитывающий возможное отклонение нагрузок в неблагоприятную сторону от нормативных значений и устанавливаемый в зависимости от учитываемого предельного состояния.
1.3. Расчетные нагрузки в обоснованных случаях и при наличии соответствующих статистических данных допускается определять непосредственно по заранее заданной вероятности их превышения.
1.4. При одновременном действии двух или нескольких временных нагрузок расчет конструкций и оснований как по первой, так и по второй группам предельных состояний должен выполняться с учетом наиболее неблагоприятных сочетаний этих нагрузок или соответствующих им усилий.
Эти сочетания устанавливаются исходя из физически реальных вариантов одновременного действия различных нагрузок с учетом возможного отсутствия некоторых из нагрузок или возможного изменения их схемы приложения.
При учете сочетаний к величинам нагрузок или к вызываемым ими усилиям должен вводиться в виде множителя коэффициент сочетаний

.
1.5. В зависимости от продолжительности действия нагрузки подразделяются на постоянные и временные (длительные, кратковременные, особые). Постоянными являются нагрузки, которые в своих нормативных и более высоких значениях при строительстве и эксплуатации сооружения действуют постоянно. Временными являются нагрузки, которые в отдельные периоды строительства и эксплуатации могут отсутствовать.
Постоянные нагрузки
1.6. К постоянным нагрузкам относятся:
а) вес частей зданий и сооружений, в том числе вес несущих и ограждающих строительных конструкций;
б) вес и давление грунтов (насыпей, засыпок), горное давление.
Примечание. Создаваемые и сохраняющиеся в конструкции или основании усилия (в том числе усилия предварительного напряжения) следует учитывать в расчетах как усилия от постоянных нагрузок.
Временные нагрузки
1.7. К длительным нагрузкам относятся:
а) вес временных перегородок, подливок и подбетонок под оборудование;
б) вес стационарного технологического оборудования: станков, аппаратов, моторов, емкостей, трубопроводов с арматурой, опорными частями и изоляцией, ленточных транспортеров, конвейеров, постоянных подъемных машин с их канатами и направляющими и др., а также вес жидкостей и твердых тел, заполняющих оборудование в процессе его эксплуатации;
в) давление газов, жидкостей и сыпучих тел в емкостях и трубопроводах в процессе их эксплуатации, избыточное давление и разрежение воздуха, возникающие при вентиляции шахт и др.;
г) нагрузка на перекрытия от складируемых материалов и стеллажного оборудования в складских помещениях, холодильниках, зернохранилищах;
д) температурные технологические воздействия от стационарного оборудования;
е) вес слоя воды на водонаполненных плоских покрытиях;
ж) вес отложений производственной пыли <1>;
з) нагрузки от одного мостового или подвесного крана, умноженные на коэффициенты: 0,5 - для кранов среднего режима работы, 0,7 - для кранов тяжелого и весьма тяжелого режимов работы;
и) нагрузки на перекрытия жилых, общественных, производственных и сельскохозяйственных зданий, указанные в
третьей графе табл. 3;
к) вес снегового покрова, определяемый по
табл. 4, принимаемый с коэффициентами 0,3 - для III района, 0,5 - для IV района, 0,6 - для V и VI районов;
л) температурные климатические воздействия, определяемые в соответствии с указаниями
пп. 8.2 -
8.6 (без учета отклонений

,

и поправок

,

, указанных в тех же пунктах).
Примечания: 1. Нагрузки, значения которых указаны в подпунктах "з", "и", "к", "л", составляют только часть полного их значения и вводятся в расчет по указаниям соответствующих нормативных документов (например, норм проектирования железобетонных конструкций) при необходимости учета влияния длительности действия этих видов нагрузок на перемещения, деформации, образование трещин. Полные значения нагрузок этих видов относятся к кратковременным (
подпункты "г",
"д",
"е",
"и" п. 1.8).
2. Влияние деформаций основания, не сопровождающихся изменением структуры грунта, а также воздействия, обусловленные изменением влажности, усадкой и ползучестью материалов, следует учитывать в расчетах как длительные нагрузки.
1.8. К кратковременным нагрузкам относятся:
а) вес людей, ремонтных материалов, деталей, инструментов и приспособлений;
б) нагрузки, возникающие при изготовлении, перевозке и возведении строительных конструкций, при монтаже и перестановке оборудования, а также нагрузки от веса временно складируемых на строительстве изделий и материалов (за исключением нагрузок в местах, специально предназначенных для складирования и хранения материалов), непродолжительные нагрузки от веса насыпного грунта и др.;
в) нагрузки от оборудования, возникающие в пускоостановочном, переходном и испытательном режимах;
г) нагрузки от подвижного подъемно-транспортного оборудования (мостовых и подвесных кранов, тельферов, погрузчиков, кранов-штабелеров и т.п.), используемого при возведении и эксплуатации зданий и сооружений, погрузочно-разгрузочных работах, в том числе в складских помещениях и холодильниках;
д) нагрузки на перекрытия жилых, общественных, производственных и сельскохозяйственных зданий, указанные во второй графе
табл. 3;
ж) ветровые нагрузки;
з) гололедные нагрузки;
и) температурные климатические воздействия, принимаемые в соответствии с указаниями
п. 8.2.
1.9. К особым нагрузкам относятся:
а) сейсмические воздействия;
б) взрывные воздействия;
в) нагрузки, вызываемые резкими нарушениями технологического процесса, временной неисправностью или поломкой оборудования.
Примечание. Влияние деформаций основания, обусловленных коренным изменением структуры грунта (например, при замачивании просадочных грунтов и оттаивании вечномерзлых грунтов) или оседанием его поверхности в районах горных выработок и в карстовых районах, следует учитывать как особую нагрузку.
1.10. Коэффициенты перегрузки

должны приниматься при расчете конструкций и оснований:
б) равными единице (а для подкрановых балок - по указаниям
п. 4.16) - при расчете на выносливость;
в) равными единице (если в нормах проектирования конструкций и оснований не приводятся иные значения) - при расчете по деформациям и перемещениям;
г) на основании норм по проектированию конструкций - при расчете по другим видам предельных состояний, не указанных в
подпунктах "а", "б", "в".
Примечания: 1. При учете температурных климатических воздействий в расчетах на прочность и устойчивость должны приниматься расчетные значения воздействий, определяемые в соответствии с указаниями
пп. 8.3 -
8.5, в расчетах по деформациям и перемещениям - нормативные значения воздействий, определяемые в соответствии с указаниями тех же пунктов.
2. При расчете конструкций и оснований на нагрузки, возникающие в стадии возведения конструкций, расчетные значения кратковременных нагрузок следует снижать на 20%.
3. При расчете огнестойкости конструкций, при взрывных воздействиях коэффициенты перегрузки следует принимать для всех нагрузок равными единице.
1.11. В зависимости от состава учитываемых нагрузок должны различаться:
а) основные сочетания нагрузок, состоящие из постоянных, длительных и кратковременных нагрузок;
б) особые сочетания нагрузок, состоящие из постоянных, длительных, возможных кратковременных и одной из особых нагрузок.
Примечания: 1. Одновременный учет длительных частей нагрузок (от кранов, на перекрытия, снеговых, температурных климатических воздействий) по подпунктам
"з",
"и",
"к",
"л" в 1.7 с соответствующими кратковременными нагрузками подпунктов
"г",
"д",
"е",
"и" п. 1.8 не должен производиться.
2. Сочетания нагрузок, принимаемые для расчета огнестойкости конструкций, следует рассматривать как особые.
1.12. При расчете конструкций и оснований на основные сочетания, включающие одну кратковременную нагрузку, величина последней должна учитываться без снижения, а при расчете на основные сочетания, включающие две или более кратковременных нагрузок, расчетные величины этих нагрузок или соответствующих им усилий должны умножаться на коэффициент сочетаний

(если в нормах проектирования конструкций и оснований не приводятся иные значения).
Примечание: При возможности разграничения удельного влияния кратковременных нагрузок на усилия (перемещения) в конструкциях и основаниях допускается учитывать их расчетные значения в основном сочетании следующим образом: для первой по степени влияния нагрузки - принимать без снижения, для второй - с коэффициентом 0,8, для остальных - с коэффициентом - 0,6.
1.13. При расчете конструкций и оснований на особые сочетания расчетные величины кратковременных нагрузок или соответствующих им усилий должны умножаться на коэффициент сочетаний

, кроме случаев, оговоренных в нормах проектирования зданий и сооружений в сейсмических районах и других нормах проектирования конструкций и оснований. При этом особая нагрузка должна приниматься без снижения.
Особые сочетания для расчета огнестойкости конструкций должны включать лишь постоянные и временные длительные нагрузки.
1.14. При расчете конструкций и оснований на прочность, устойчивость расчетные усилия для основных и особых сочетаний нагрузок при одновременном действии не менее двух временных нагрузок (длительных, кратковременных) допускается уточнять в соответствии с указаниями
Приложения I.
1.15. При учете сочетаний в соответствии с указаниями
пп. 1.12,
1.13 за одну кратковременную нагрузку принимается:
б) нагрузка от одного или нескольких мостовых и подвесных кранов (только вертикальная или вертикальная вместе с горизонтальной) с учетом коэффициентов сочетаний

, определяемых по
п. 4.15;
в) нагрузка от одного погрузчика, кара;
г) гололедно-ветровая нагрузка, определяемая по
п. 7.4.
В остальных случаях за одну кратковременную нагрузку принимается кратковременная нагрузка определенного рода: снеговая, ветровая, гололедная, температурные климатические воздействия, определяемые в соответствии с указаниями
п. 8.2, монтажная и т.п.
Примечание. При определении расчетных усилий по
Приложению I кратковременные нагрузки принимаются, как указано выше, а за одну длительную временную нагрузку принимается нагрузка определенного рода из числа указанных в
подпунктах "а" -
"к" п. 1.7. Вес заполнения стационарного оборудования допускается учитывать как отдельную длительную нагрузку.
1.16. Исключен с 1 июля 1983 года. -
Дополнения и изменения, утв. Постановлением Госстроя СССР от 31.12.1982 N 343.
2. ВЕС КОНСТРУКЦИЙ И ГРУНТОВ
Госстроя СССР от 31.12.1982 N 343)
2.1. Нормативные нагрузки от веса конструкций должны определяться по данным стандартов и заводов-изготовителей или по проектным размерам и объемным весам материалов с учетом их весовой влажности для предусмотренных условий возведения и эксплуатации зданий и сооружений.
2.2. Коэффициенты перегрузки

для нагрузок от веса строительных конструкций и грунтов приведены в табл. 1.
Постановлением Госстроя СССР от 25.12.1980 N 206)
Конструкции и грунты | Коэффициент перегрузки |
1. Металлические | 1,05 |
2. Бетонные (с объемным весом выше 1600 кгс/м2), железобетонные, каменные, армокаменные, деревянные | 1,1 |
3. Бетонные (с объемным весом 1600 кгс/м2 и менее), а также изоляционные, выравнивающие и отделочные слои (плиты, скорлупы, материалы в рулонах, засыпки, стяжки и т.п.), выполняемые: | |
в заводских условиях | 1,2 |
на строительной площадке | 1,3 |
4. Грунты в природном залегании | 1,1 |
5. Насыпные грунты | 1,15 |
|
Примечания: 1. При расчете конструкций на устойчивость положения против опрокидывания, а также в других случаях, когда уменьшение постоянной нагрузки может ухудшить условия работы конструкций, следует провести дополнительный расчет, принимая для всей рассматриваемой конструкции или ее части (например, неразрезной балки, рамы, призмы обрушения) коэффициент, равный 0,9.
2. Коэффициенты перегрузки, значения которых приведены в
пп. 3 и
4 табл. 1, относятся к объемному весу грунтов. Возможное изменение объемного веса грунта, связанное с существенным изменением его влажности, должно учитываться дополнительно.
3. При определении нагрузок от грунта должны учитываться в необходимых случаях нагрузки от складируемых материалов, оборудования, подвижного транспорта, передаваемые через грунт.
3. НАГРУЗКИ ОТ ОБОРУДОВАНИЯ, ЛЮДЕЙ, СКЛАДИРУЕМЫХ МАТЕРИАЛОВ
Госстроя СССР от 31.12.1982 N 343)
3.1. Нормы настоящего раздела распространяются на нагрузки от людей, животных, оборудования, изделий, материалов, временных перегородок, действующие на перекрытия жилых, общественных, производственных и сельскохозяйственных зданий.
Варианты загружения перекрытий этими нагрузками должны приниматься в соответствии с предусмотренными условиями возведения и эксплуатации зданий. Если на стадии проектирования данные об этих условиях недостаточны, при расчете конструкций и оснований следует рассмотреть следующие варианты загружения отдельных перекрытий:
отсутствие на перекрытии временной нагрузки;
сплошное загружение перекрытия принятой нагрузкой;
неблагоприятное частичное загружение площади перекрытия (например, чередование принятой нагрузки через пролет, через этаж и т.д.) при расчете конструкций и оснований, чувствительных к такой схеме загружения.
При этом суммарная нагрузка на перекрытия многоэтажного здания при неблагоприятном частичном их загружении не должна превышать нагрузку при сплошном загружении перекрытий, определенную с учетом коэффициента

, значения которого вычисляются по формулам
п. 3.9.
ОПРЕДЕЛЕНИЕ НАГРУЗОК ОТ ОБОРУДОВАНИЯ
И СКЛАДИРУЕМЫХ МАТЕРИАЛОВ
3.2. Нагрузки от оборудования, складируемых материалов, напольного транспорта и др. устанавливаются в строительном задании на основании технологических решений, в котором должны быть приведены (в необходимых случаях с учетом перспективного увеличения нагрузок):
а) возможные схемы расположения оборудования, места временного складирования и хранения материалов и изделий, количество и положение транспортных средств на каждом перекрытии; на схемах необходимо указывать габариты оборудования и транспортных средств, размеры участков складирования материалов, возможное сближение оборудования в процессе эксплуатации или перепланировки и другие условия приложения нагрузок (размеры опор, расстояния между ними и т.п.);
б) нормативные значения нагрузок и коэффициенты перегрузки, принимаемые в соответствии с указаниями настоящих норм, а для машин с динамическими нагрузками - нормативные значения инерционных сил и коэффициенты перегрузки для инерционных сил, а также другие необходимые характеристики, принимаемые с учетом требований нормативных документов по определению динамических нагрузок.
При замене фактических нагрузок на перекрытии эквивалентными равномерно распределенными нагрузками последние должны определяться расчетом и назначаться дифференцированно для элементов перекрытия (плит, второстепенных балок, ригелей). Принимаемые значения эквивалентных нагрузок должны обеспечивать несущую способность и жесткость элементов конструкций, требуемые по условиям их загружения фактическими нагрузками. Минимальные нормативные значения равномерно распределенных нагрузок для производственных зданий и складов должны быть для плит и второстепенных балок - 300 кгс/м2, для ригелей - 200 кгс/м2.
3.3. Вес оборудования (в том числе трубопроводов) определяется по стандартам или каталогам, а для нестандартизированного оборудования в соответствии с паспортными данными заводов-изготовителей или по рабочим чертежам.
В нагрузку от веса оборудования включаются собственный вес установки или машины (в том числе привода, постоянных приспособлений и опорных устройств), вес изоляции, вес заполнения оборудования, возможного при эксплуатации, вес наиболее тяжелой обрабатываемой детали, транспортируемый груз, соответствующий номинальной грузоподъемности, и т.п.
При расчете перекрытия нагрузка от веса оборудования распределяется с учетом схемы размещения оборудования, а также условий монтажа. Следует учитывать возможность перемещения оборудования при эксплуатации здания или сооружения.
Число учитываемых одновременно погрузчиков или каров и их размещение на перекрытии при расчете различных элементов принимается по строительному заданию на основании технологических решений.
Динамическое воздействие вертикальных нагрузок от погрузчиков и каров допускается учитывать путем умножения нормативных статических нагрузок на коэффициент динамичности 1,2.
Нагрузки от оборудования должны приниматься в зависимости от условий его размещения при эксплуатации. При этом следует предусматривать мероприятия, исключающие необходимость усиления несущих конструкций, связанную с перемещением оборудования во время монтажа. Учет перспективного увеличения нагрузок от оборудования и складируемых материалов допускается только при надлежащем технико-экономическом обосновании.
3.4. Коэффициенты перегрузки

для нагрузок от веса оборудования приведены в табл. 2.
Таблица 2
Постановлением Госстроя СССР от 25.12.1980 N 206)
Нагрузки | Коэффициент перегрузки |
1. Вес стационарного оборудования | 1,05 |
2. Вес изоляции стационарного оборудования | 1,2 |
3. Вес заполнения оборудования, в том числе резервуаров и трубопроводов: | |
жидкостями | 1,0 |
суспензиями, шламами, сыпучими телами | 1,1 |
4. Нагрузки от погрузчиков и каров | 1,2 |
РАВНОМЕРНО РАСПРЕДЕЛЕННЫЕ НАГРУЗКИ
3.5. Нормативные равномерно распределенные нагрузки на плиты перекрытий и лестницы приведены в табл. 3.
Постановлением Госстроя СССР от 31.12.1982 N 343)
Здания и помещения | Нормативные значения нагрузок, кгс/м2 |
полные | длительные части |
1. Квартиры жилых зданий, спальные помещения детских дошкольных учреждений и школ-интернатов, жилые помещения домов отдыха и пансионатов, общежитий и гостиниц, палаты больниц и санаториев, террасы | 150 | 30 |
2. Служебные помещения административного, инженерно-технического, научного персонала организаций и учреждений; классные помещения учреждений просвещения; бытовые помещения (гардеробные, душевые, умывальные, уборные) промышленных предприятий и общественных зданий и сооружений | 200 | 70 |
3. Кабинеты и лаборатории учреждений здравоохранения, лаборатории учреждений просвещения, науки; помещения электронно-вычислительных машин; кухни общественных зданий; технические этажи; подвальные помещения | Не менее 200 | Не менее 100 |
| | |
а) читальные | 200 | 70 |
б) обеденные (в кафе, ресторанах, столовых) | 300 | 100 |
в) собраний и совещаний, ожидания, зрительные и концертные, спортивные | 400 | 140 |
г) торговые, выставочные и экспозиционные | Не менее 400 | Не менее 140 |
5. Книгохранилища, архивы, сцены зрелищных предприятий | Не менее 500 | Не менее 400 |
| | |
а) с закрепленными сиденьями | Не менее 400 | Не менее 140 |
б) для стоящих зрителей | Не менее 500 | Не менее 180 |
| 70 | - |
| | |
а) на участках, где возможно скопление людей, выходящих из производственных помещений, залов, аудиторий и т.п. | 400 | 140 |
б) на участках, используемых для отдыха | 150 | 50 |
в) на прочих участках | 50 | - |
| | |
а) полосовая равномерная нагрузка на участке шириной 0,8 м вдоль ограждения балкона (лоджии) | 400 | 140 |
б) сплошная равномерная нагрузка на площади балкона (лоджии), если ее воздействие более неблагоприятно, чем по подпункту "а" | 200 | 70 |
10. Участки обслуживания и ремонта оборудования производственных помещений | Не менее 150 | - |
11. Вестибюля, фойе, коридоры, лестницы (с относящимися к ним проходами), примыкающие к помещениям: | | |
| 300 | 100 |
| 400 | 140 |
| 500 | 180 |
12. Перроны вокзалов и станций метрополитена | 400 | 140 |
13. Помещения сельскохозяйственных зданий: | | |
а) для мелкого скота | Не менее 300 | Не менее 70 |
б) для крупного скота | Не менее 500 | Не менее 180 |
Примечания. 1. Нагрузки, указанные в п. 7 табл. 3, учитываются на площади, не занятой оборудованием и материалами. 2. Нагрузки, указанные в п. 8 табл. 3, не следует учитывать совместно со снеговой нагрузкой. 3. Нагрузки, указанные в п. 9 табл. 3, учитываются при расчете несущих конструкций балконов (лоджий) и участков стен в местах защемления этих конструкций. При расчете нижележащих участков стен, фундаментов и оснований нагрузка на балконы и лоджии принимается равной нагрузке примыкающих основных помещений зданий и снижается с учетом указаний п. 3.9. 4. Значения нагрузок для зданий и помещений, указанных в пп. 3, 4 г, 5, 6, 10 и 13 табл. 3, должны устанавливаться в технологической части проекта". |
3.6. Нагрузка от веса временных перегородок должна приниматься в зависимости от их конструкции, расположения и характера опирания на перекрытия и стены. При расчете различных элементов эту нагрузку можно учитывать:
а) по фактическому воздействию;
б) как равномерно распределенную добавочную нагрузку к прочей равномерно распределенной нагрузке (в этом случае интенсивность этой добавочной нагрузки устанавливается расчетом для предполагаемых схем размещения перегородок и должна приниматься не менее 50 кгс/м2).
3.7. Коэффициенты перегрузки для равномерно распределенных нагрузок на плиты перекрытий и лестницы должны приниматься:
1,3 - при нормативном значении менее 200 кгс/м2;
1,2 - при нормативном значении 200 кг/м2 и более.
Коэффициент перегрузки для нагрузки от веса временных перегородок должен приниматься по
п. 2.2.
3.8. При расчете балок и ригелей с грузовой площадью T (в м
2) нагрузку, указанную в
табл. 3, допускается снижать:
а) для помещений, упомянутых в
пп. 1,
2 и
11 а табл. 3, умножением на коэффициент (при T > 18 м
2);
б) для помещений, упомянутых в
пп. 4,
10 и
11 б табл. 3, умножением на коэффициент (при T > 36 м
2).
Примечание. В складах, гаражах и производственных зданиях допускается снижение нагрузок по указаниям соответствующих инструкций.
3.9. При расчете колонн, стен, фундаментов и оснований нагрузки, приведенные в
табл. 3, допускается снижать:
а) для помещений, упомянутых в
пп. 1,
2 и 11 а табл. 3, умножением на коэффициент;
б) для помещений, упомянутых в
пп. 4,
10 и
11 б табл. 3, умножением на коэффициент.
СОСРЕДОТОЧЕННЫЕ НАГРУЗКИ И НАГРУЗКИ НА ПЕРИЛА
3.10. Несущие элементы перекрытий, покрытий, лестниц и балконов (лоджий) должны быть проверены на восприятие условной сосредоточенной вертикальной нагрузки, приложенной к элементу в неблагоприятном положении на квадратной площадке со сторонами не более 10 см (при отсутствии других временных нагрузок). Если заданиями на проектирование не предусмотрены более высокие нормативные величины сосредоточенных нагрузок, они должны приниматься равными:
а) для перекрытий и лестниц - 150 кгс;
б) для чердачных перекрытий, покрытий, террас и балконов - 100 кгс;
в) для покрытий, по которым можно передвигаться только при помощи трапов и мостиков, - 50 кгс.
Элементы, рассчитанные на возможные при возведении и эксплуатации местные нагрузки от оборудования и транспортных средств, допускается не проверять на указанную сосредоточенную нагрузку.
3.11. Горизонтальные нормативные нагрузки на поручни перил лестниц и балконов должны приниматься равными:
а) для жилых зданий, дошкольных учреждений, домов отдыха, санаториев, больниц и других лечебных учреждений - 30 кгс/м;
б) для трибун и спортивных залов - 150 кгс/м;
в) для других зданий и помещений при отсутствии специальных требований - 80 кгс/м.
Для обслуживающих площадок, мостиков, ограждений крыш, предназначенных для пребывания отдельных лиц, горизонтальная сосредоточенная нормативная нагрузка на поручни перил должна приниматься равной 30 кгс (в любом месте по длине поручня), если по заданиям на проектирование не требуется более высокая нагрузка.
Коэффициент перегрузки

для нагрузок, указанных в
пп. 3.10 и
3.11, должен приниматься равным 1,2.
4. НАГРУЗКИ ОТ МОСТОВЫХ И ПОДВЕСНЫХ КРАНОВ
4.1. Нагрузки от мостовых и подвесных кранов должны определяться в зависимости от режима их работы, устанавливаемого Правилами Государственного комитета по надзору за безопасным ведением работ в промышленности и горному надзору
(Приложение II).
4.2. Нормативные вертикальные нагрузки, передаваемые колесами кранов на балки кранового пути, и другие необходимые для расчета данные должны приниматься в соответствии с требованиями ГОСТов на краны, а для нестандартных кранов - в соответствии с данными, указанными в паспортах заводов-изготовителей.
Примечание. Под крановым путем понимаются обе балки, несущие один мостовой кран, и все балки, несущие один подвесной кран (две балки - при однопролетном, три - при двухпролетном подвесном кране и т.п.).
4.3. Нормативная горизонтальная нагрузка, направленная вдоль кранового пути, вызываемая торможением моста электрического крана, должна приниматься равной 0,1 нормативной вертикальной нагрузки на тормозные колеса рассматриваемой стороны крана.
4.4. Нормативная горизонтальная нагрузка, направленная поперек кранового пути, вызываемая торможением электрической тележки, должна приниматься равной:
для кранов с гибким подвесом груза - 0,05 суммы номинальной грузоподъемности крана и веса тележки;
для кранов с жестким подвесом груза - 0,1 той же суммы.
Эта нагрузка учитывается при расчете поперечных рам зданий и балок крановых путей. При этом принимается, что она передается на одну балку кранового пути, распределяется поровну между всеми опирающимися на нее колесами крана и может быть направлена как внутрь рассматриваемого пролета, так и наружу.
4.5. Нормативная горизонтальная нагрузка, направленная поперек кранового пути, вызываемая перекосами мостовых электрических кранов и непараллельностью крановых путей (боковая сила), должна приниматься равной для каждого ходового колеса крана 0,1 нормативной вертикальной нагрузки на колесо.
Рассматриваемая нагрузка от всех колес одной стороны крана может быть направлена как внутрь рассчитываемого пролета здания, так и наружу. Эта нагрузка должна учитываться при расчете только балок крановых путей и их креплений к колоннам в зданиях с кранами весьма тяжелого режима работы, с литейными и другими кранами тяжелого режима работы металлургического производства; при этом нагрузка
п. 4.4 не должна учитываться.
4.6. Горизонтальные нагрузки от торможения моста и тележки и боковая сила считаются приложенными в месте контакта ходовых колес крана с рельсом.
4.7. Нормативную горизонтальную нагрузку, направленную вдоль кранового пути, вызываемую ударом крана о тупиковый упор, допускается определять в соответствии с
Приложением III. Эта нагрузка должна учитываться только при расчете упоров и их креплений к балкам кранового пути.
4.8. Коэффициент перегрузки

для крановых нагрузок должен приниматься равным 1,1.
4.9. При расчете прочности и устойчивости балок кранового пути и их креплений к несущим конструкциям расчетные значения вертикальных крановых нагрузок должны учитываться с коэффициентом динамичности, равным:
при шаге колонн не более 12 м - 1,2 для мостовых кранов весьма тяжелого режима работы и 1,1 - для мостовых кранов тяжелого режима работы, а также для подвесных кранов;
при шаге колонн более 12 м - 1,1 для мостовых кранов весьма тяжелого режима работы.
Расчетные значения горизонтальных крановых нагрузок должны учитываться с коэффициентами динамичности 1,1 для мостовых кранов весьма тяжелого режима работы.
В остальных случаях коэффициент динамичности принимается равным единице.
4.10. Вертикальные нагрузки при расчете прочности и устойчивости балок крановых путей должны учитываться от двух наиболее неблагоприятных по воздействию мостовых или подвесных кранов.
Примечание. Исключено с 1 июля 1983 года. -
Дополнения и изменения, утв. Постановлением Госстроя СССР от 31.12.1982 N 343.
4.11. Вертикальная нагрузка для расчета прочности и устойчивости рам, колонн, фундаментов и оснований в зданиях с мостовыми кранами в нескольких пролетах, расположенными в каждом пролете на одном ярусе, должна приниматься на каждом пути от двух наиболее неблагоприятных по воздействию кранов, а при учете совмещения в одном створе кранов разных пролетов - от четырех наиболее неблагоприятных по воздействию кранов.
4.12. Вертикальная нагрузка для расчета прочности и устойчивости рам, колонн, стропильных и подстропильных конструкций, фундаментов и оснований в зданиях с подвесными кранами на одном или нескольких путях должна приниматься на каждом пути от двух неблагоприятных по воздействию кранов. При учете совмещения в одном створе подвесных кранов, работающих на разных путях, вертикальная нагрузка должна приниматься:
от двух кранов - для колонн, подстропильных конструкций, фундаментов и оснований крайнего ряда при двух крановых путях в пролете;
не более чем от четырех кранов:
для колонн, подстропильных конструкций, фундаментов и оснований среднего ряда;
для колонн, подстропильных конструкций, фундаментов и оснований крайнего ряда при трех крановых путях в пролете;
для стропильных конструкций при двух или трех крановых путях в пролете.
4.13. Число кранов, учитываемое при определении вертикальных нагрузок при расположении мостовых кранов на двух или трех ярусах в пролете, при одновременном размещении в пролете как подвесных, так и мостовых кранов, а также при эксплуатации подвесных кранов, предназначенных для передачи груза с одного крана на другой с помощью перекидных мостиков, должно приниматься по строительному заданию на основании технологических решений.
4.14. Горизонтальная нагрузка при расчете прочности и устойчивости балок крановых путей, колонн, рам, стропильных и подстропильных конструкций, фундаментов и оснований должна учитываться не более чем от двух наиболее неблагоприятных по воздействию кранов, расположенных на одном крановом пути или на разных путях в одном створе; при этом для каждого крана необходимо учитывать только одну горизонтальную нагрузку (поперечную или продольную).
4.15. При учете одного крана вертикальные и горизонтальные нагрузки от него необходимо принимать без снижения. При учете двух кранов нагрузки от них необходимо умножать на коэффициент сочетаний:

- для кранов легкого и среднего режимов работы;

- для тяжелого и весьма тяжелого. При учете четырех кранов нагрузки от них необходимо умножать на коэффициент сочетаний:

- для кранов легкого и среднего режимов работы;

- для тяжелого и весьма тяжелого.
4.16. Расчетная вертикальная нагрузка при расчете на выносливость балок крановых путей под электрические мостовые краны и креплений этих балок к несущим конструкциям должна определяться умножением нормативной нагрузки от крана, наиболее неблагоприятного по воздействию на данный элемент, на следующие коэффициенты n:
для кранов среднего режима работы - 0,6;
для кранов тяжелого и весьма тяжелого режима работы - 0,8.
Примечания: 1. Исключено с 1 июля 1983 года. -
Дополнения и изменения, утв. Постановлением Госстроя СССР от 31.12.1982 N 343.
2. Режимы работы кранов, при которых следует проводить расчет на выносливость, устанавливаются нормами проектирования конструкций.
4.17. Коэффициент увеличения вертикальной сосредоточенной нагрузки на отдельное колесо мостового крана, учитывающий неравномерное распределение нагрузок между колесами и динамический характер нагрузки, при определении местного напряженного состояния балок крановых путей должен приниматься равным:
1,6 - для кранов весьма тяжелого режима работы с жестким подвесом груза;
1,4 - для кранов весьма тяжелого режима работы с гибким подвесом груза;
1,3 - для кранов тяжелого режима работы;
1,1 - для остальных мостовых кранов.
4.18. При наличии одного крана при условии, что второй кран не будет установлен в течение эксплуатации сооружения, нагрузки должны быть учтены от одного крана.
4.19. При определении вертикальных и горизонтальных прогибов балок крановых путей, а также горизонтальных смещений колонн нагрузку следует учитывать от одного наиболее неблагоприятного по воздействию крана.
5.1. Нормативная снеговая нагрузка на 1 м2 площади горизонтальной проекции покрытия должна определяться по формуле

, (5)
где

- вес снегового покрова на 1 м
2 горизонтальной поверхности земли, принимаемый по п. 5.2;
c - коэффициент перехода от веса снегового покрова земли к снеговой нагрузке на покрытие, принимаемый в соответствии с указаниями
пп. 5.3 -
5.6.
5.2. Вес снегового покрова

на 1 м
2 горизонтальной поверхности земли должен приниматься в зависимости от района СССР по данным табл. 4.
Районы СССР (принимаются по карте 1) | I | II | III | IV | V | VI |
Вес снегового покрова, кгс/м2 | 50 | 70 | 100 | 150 | 200 | 250 |
Примечание. Вес снегового покрова в горных и малоизученных районах, обозначенных на
карте 1, а также в пунктах с высотой над уровнем моря более 1500 м и в местах со сложным рельефом должен устанавливаться на основании данных Гидрометеорологической службы. При этом в качестве нормативного значения

должно приниматься среднее значение ежегодных максимумов запаса воды по результатам снегосъемок в защищенном от воздействия ветра участке за период не менее 10 лет.
5.3. Схемы распределения снеговой нагрузки и значения коэффициентов c должны приниматься в соответствии с указаниями табл. 5, при этом промежуточные значения коэффициентов допускается определять линейной интерполяцией между указанными в таблице значениями.
Профиль покрытия и схемы снеговой нагрузки | Указания по определению коэффициентов c |
| а) б) | c = 1 при  c = 0 при  Вариант 2 учитывается только для зданий с двускатными покрытиями (профиль "б") при  . |
| | Схемы применяются для сводчатых и близких к ним по очертанию покрытий (например, по сегментным фермам).  , но не более 1 и не менее 0,4. Вариант 2 следует учитывать при f/l >= 1/8: |
| f/l | 1/8 | 1/6 | >= 1/5 | |
c2 | 1,6 | 2 | 2,2 |
Для железобетонных плит покрытий значения коэффициентов c принимаются не более 1,4. |
| | Нагрузки у фонаря принимаются равными: но не более: 4 - для ферм и балок при нормативном весе покрытия 150 кгс/м2 и менее; 2,5 - для ферм и балок при нормативном весе покрытия более 150 кгс/м2; 2 - для железобетонных плит покрытий пролетом 6 м и менее и для стального профилированного настила; 2,5 - для железобетонных плит пролетом более 6 м, а также для прогонов независимо от пролета.  , но не более b. При определении нагрузки у торца фонаря для зоны "Б" значение коэффициента c в обоих вариантах принимается равным 1. |
Примечания: 1. Данные схемы распространяются на двухскатные и сводчатые покрытия двух- или трехпролетных зданий с фонарями в середине зданий. 2. Влияние ветроотбойных щитов на распределение снеговой нагрузки возле фонарей не учитывается. 3. Для плоских скатов при b > 48 м следует учитывать местную повышенную нагрузку у фонаря как у перепадов (см. п. 8). |
|
4 | | Схемы применяются для шедовых покрытий, в том числе с наклонным остеклением и сводчатым очертанием кровли. |
| | Приведенные схемы (для двухпролетных зданий) распространяются на покрытия многопролетных зданий с подобным профилем. Вариант 2 следует учитывать при  . |
| | Приведенные схемы (для двухпролетных зданий со сводчатыми и близкими к ним по очертанию покрытиями) распространяются на покрытия многопролетных зданий с подобным профилем. Вариант 2 следует учитывать при f/l > 0,1. Для железобетонных плит покрытий значения коэффициентов c принимаются не более 1,4. |
| | В двух- и многопролетных зданиях схемы снеговой нагрузки для пролетов с фонарем принимаются в соответствии с указаниями п. 3; для пролетов без фонаря - пп. 5 и 6. Для плоских двухскатных  и сводчатых (f/l < 0,1) покрытий при L > 48 м следует учитывать местную повышенную нагрузку у фонаря как у перепадов (см. п. 8). |
|
| а) б) | Снеговая нагрузка на верхнее покрытие принимается в соответствии с указаниями пп. 1 - 7, а на нижнее - как более неблагоприятная из схем пп. 1 - 7 и схем настоящего пункта. Коэффициент c принимается равным:  . При этом величина c не должна превышать: а)  (h в м,  в кгс/м 2); б) 4 - для зданий (профиль "а"), 6 - для навесов (профиль "б"). Значения  для верхнего (нижнего) покрытия в зависимости от его профиля принимаются равными: 0,5 - для плоских с уклонами  и сводчатых с f/l <= 1/8 покрытий; 0,3 - для плоских с уклонами  , сводчатых с f/l > 1/8 и покрытий с поперечными фонарями. Значения  для верхнего (нижнего) покрытия в зависимости от наличия фонарей принимаются равными: а) при продольных фонарях:  ;  ; б) при отсутствии фонарей и для покрытий с поперечными фонарями  ;  , при этом  и  . Длина зоны S: при  S = 2h, но не более 15 м; при  , но не более 5h и не более 15 м. |
|
| | Примечания: 1. При  значение c для участка перепада длиной  должно определяться без учета влияния фонарей на повышенном (пониженном) покрытии. 2. Если пролеты верхнего (нижнего) покрытия имеют разный профиль, то при определении c для каждого пролета принимается соответствующее значение  . 3. За пределами зоны S нагрузка на нижнее покрытие принимается в соответствии с указаниями пп. 1 - 7. 4. Местная нагрузка у перепада по указаниям данного пункта не учитывается, если высота перепада (в м) между двумя смежными покрытиями менее  . |
9 | | Снеговая нагрузка на верхнее и нижнее покрытие принимается по указанию п. 8. Значения  ,  ,  ,  определяются для каждого перепада независимо, при этом:  ;  . Если  ,  , не более  . |
| | Схема применяется для парапетов при  (h в м,  ),  , но не более 3. |
11 | | Схема относится к участкам возле возвышающихся над кровлей вентиляционных шахт, башен и других надстроек с диагональю их основания d не более 15 м. В зависимости от рассчитываемой конструкции (плиты покрытия, подстропильные и стропильные конструкции) учитывается самое неблагоприятное положение зоны повышенной нагрузки (при произвольном угле  ). Коэффициент c, постоянный в пределах указанной зоны, принимается равным: а) 1 при d <= 1,5 м б)  при d > 1,5 м, но не менее 1 и не более: 1,5 при 1,5 < d <= 5 м; 2 при 5 < d <= 10 м; 2,5 при 10 < d <= 15 м; S = 2h, но не более 2d. |
В тех случаях, когда более неблагоприятные условия работы элементов конструкций возникают при частичном загружении, следует рассматривать схемы со снеговой нагрузкой, действующей на половине или четверти пролета (для покрытий с фонарями - на участках b), принимая неблагоприятные значения коэффициентов c.
Примечание. В необходимых случаях снеговые нагрузки следует определять с учетом предусмотренного в будущем расширения здания.
5.4. Варианты загружения с повышенными местными снеговыми нагрузками, приведенные в
табл. 5, должны учитываться при расчете плит, настилов и прогонов покрытий, а также при расчете тех элементов несущих конструкций (ферм, балок, колонн и т.п.), для которых эти варианты определяют размеры сечений.
Примечание. При расчетах конструкций допускается применение упрощенных схем снеговых нагрузок, эквивалентных по воздействию схемам нагрузок, приведенным в
табл. 5. При расчете рам и колонн производственных зданий допускается учет только равномерно распределенной снеговой нагрузки, за исключением мест перепадов покрытий, где необходимо учитывать повышенную снеговую нагрузку.
5.5. Значения коэффициентов c, определенных в соответствии с указаниями
пп. 1,
2,
5,
6 табл. 5, для плоских с уклонами до 12% и криволинейных с f/l < 0,05 покрытий однопролетных и многопролетных зданий без фонарей, проектируемых в районах со средней скоростью ветра за три наиболее холодных месяца v > 2 м/с, допускается снижать умножением на коэффициент k = 1,2 - 0,1v.
Для покрытий с уклонами от 12% до 20% однопролетных и многопролетных зданий без фонарей, проектируемых в районах с v >= 4 м/с, значения коэффициентов c, определяемых в соответствии с указаниями
пп. 1 и
5 табл. 5, допускается снижать на 15%.
Величина средней скорости ветра v за три наиболее холодных месяца должна приниматься по
карте 2.
В вышеуказанных случаях для зданий шириной до 60 м или высотой более 20 м коэффициент k необходимо дополнительно снижать на 10%.
Снижение снеговой нагрузки, предусматриваемое настоящим пунктом, не распространяется:
а) на географические пункты, расположенные в районах со средней январской температурой воздуха выше минус 5 °C (см.
карту 5);
б) на покрытия зданий, защищенных от прямого воздействия ветра соседними более высокими зданиями, удаленными менее чем на 10H, где H - разность высот соседнего и проектируемого зданий;
в) на участки покрытий длиной S у перепадов и парапетов (
пп. 8 и
10 табл. 5).
5.6. Значения коэффициента c при определении снеговых нагрузок для неутепленных покрытий цехов с избыточными тепловыделениями при уклонах кровли более 3% и обеспечении надлежащего отвода талой воды допускается снижать на 20% независимо от снижения, предусмотренного в
п. 5.5.
Примечание. Для теплиц, оранжерей, горячих трубопроводов и др. величина снеговой нагрузки устанавливается в соответствии с указаниями других нормативных документов.
5.7. Коэффициент перегрузки

для снеговой нагрузки на покрытия должен приниматься в зависимости от отношения нормативного собственного веса покрытия q (включая и вес подвесного стационарного оборудования) к нормативному весу снегового покрова:
q/p0 | 1 и более | 0,8 | 0,6 | 0,4 и менее |
| 1,4 | 1,5 | 1,55 | 1,6 |
6.1. Ветровая нагрузка на здания и сооружения должна определяться как сумма статической и динамической составляющих.
Статическая составляющая, соответствующая установившемуся скоростному напору, должна учитываться во всех случаях. Динамическая составляющая, вызываемая пульсациями скоростного напора, должна учитываться при расчете: сооружений с периодом собственных колебаний более 0,25 с (мачт, башен, дымовых труб, опор линий электропередачи, аппаратов колонного типа, транспортерных галерей, открытых этажерок и т.п.); многоэтажных зданий высотой более 40 м; поперечных рам одноэтажных однопролетных производственных зданий высотой более 36 м при отношении высоты к пролету более 1,5.
6.2. Для высоких сооружений круговой цилиндрической формы (дымовых труб, мачт и т.п.) необходимо также производить поверочный расчет на резонанс, возникающий при таких скоростях ветра, когда частота срыва вихрей совпадает с собственной частотой колебаний сооружения поперек потока.
Примечание. В призматических конструкциях при определенных скоростях ветра могут возникнуть колебания поперек потока, связанные с явлением аэродинамической неустойчивости. Указания по расчету и мероприятия по уменьшению колебаний таких конструкций устанавливаются на основании данных аэродинамических испытаний.
6.3. Нормативное значение статической составляющей ветровой нагрузки

в кгс/м
2 должно определяться по формуле

, (6)
где

- скоростной напор, принимаемый в соответствии с указаниями
п. 6.4;
k - коэффициент, учитывающий изменение скоростного напора по высоте, принимаемый в соответствии с указаниями
п. 6.5;
c - аэродинамический коэффициент, принимаемый в соответствии с указаниями
пп. 6.7 -
6.10.
6.4. Скоростные напоры ветра

на высоте 10 м над поверхностью земли в зависимости от района СССР должны приниматься по данным табл. 6.
Постановлением Госстроя СССР от 31.12.1982 N 343)
Районы СССР (принимаются по карте 3) | Iа | I | II | III | IV | V | VI | VII |
Скоростной напор, кгс/м2 | 20 | 27 | 35 | 45 | 55 | 70 | 85 | 100 |
Примечание. Для обозначенных на карте горных и малоизученных районов скоростной напор ветра допускается уточнять по данным Справочника по климату СССР, данным Гидрометеорологической службы, а также по результатам обследования районов строительства с учетом опыта эксплуатации. При корректировке скоростной напор допускается определять по формуле

, (7)
где v - скорость ветра на высоте 10 м над поверхностью земли (при двухминутном интервале осреднения), превышаемая в среднем один раз в 5 лет, если техническими условиями, утвержденными в установленном порядке, не регламентированы другие периоды повторяемости скоростей ветра;

- коэффициент к скоростям ветра, полученным из обработки наблюдений по флюгеру, принимаемый не более единицы; при использовании малоинерционных анемометров коэффициент

принимается равным единице.
6.5. Значения коэффициента k, учитывающего изменение скоростного напора в зависимости от высоты и типа местности, должны определяться по данным табл. 7.
Постановлением Госстроя СССР от 25.12.1980 N 206)
Тип местности | Высота над поверхностью земли, м |
10 | 20 | 30 | 40 | 50 | 60 | 70 | 80 | 100 | 200 | 350 и выше |
А | 1 | 1,25 | 1,40 | 1,55 | 1,65 | 1,75 | 1,85 | 1,95 | 2,1 | 2,6 | 3,1 |
Б | 0,65 | 0,9 | 1,05 | 1,2 | 1,33 | 1,45 | 1,55 | 1,65 | 1,8 | 2,45 | 3,1 |
В | 0,3 | 0,5 | 0,63 | 0,75 | 0,87 | 1 | 1,1 | 1,2 | 1,4 | 2,2 | 3,1 |
К типу А относятся открытые местности (степи, лесостепи, пустыни, открытые побережья морей, озер, водохранилищ). К типу Б относятся территории малых и средних городов, территории больших, крупных и крупнейших городов, застроенные зданиями высотой до 20 м, леса. К типу В относятся территории больших, крупных и крупнейших городов, застроенные зданиями высотой свыше 20 м. Для зданий высотой до 40 м, расположенных в местности типа В и рассчитываемых только на статическую составляющую ветровой нагрузки, значения коэффициента K следует умножать на дополнительные коэффициенты 1,7 (при высоте зданий до 20 м) и 1,6 (при высоте свыше 20 м).
Примечание. Для промежуточных высот значения k допускается определять линейной интерполяцией данных
табл. 7. В пределах отдельных зон зданий и сооружений при высоте каждой зоны не более 10 м величину коэффициентов k допускается принимать постоянной.
6.6. Для зданий высотой до 5 м, расположение которых относится к местности типа А, скоростной напор, определяемый по данным
табл. 6, допускается снижать на 25%.
6.7. Схемы распределения ветровой нагрузки и значения аэродинамических коэффициентов c должны приниматься в соответствии с указаниями табл. 8; при этом промежуточные значения коэффициентов допускается определять линейной интерполяцией между указанными в таблице значениями.
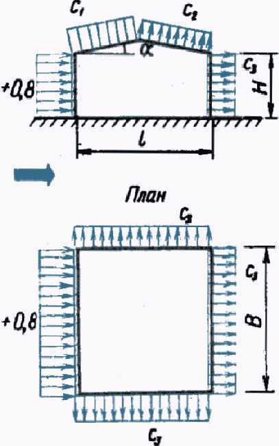
Профиль здания, сооружения, элемента и схемы ветровой нагрузки | Указания по определению аэродинамических коэффициентов |
| Вертикальные поверхности: | |
наветренные | +0,8 |
заветренные | -0,6 |
Вертикальные и отклоняющиеся от вертикальных не более чем на 15° поверхности в зданиях с многорядным расположением фонарей и др. сложным профилем (если в таблице нет соответствующих схем): | Положительным значениям коэффициента давления соответствует направление давления ветра к поверхности сооружения, а отрицательным - направление от поверхности сооружения. Стрелками  показано направление ветра. |
крайние и возвышающиеся промежуточные поверхности: | |
наветренные | +0,7 |
заветренные | -0,6 |
промежуточные поверхности: | |
наветренные | -0,5 |
заветренные | -0,5 |
| | Схемы применяются для двускатных покрытий. Значения  ,  Значения  |
3 | | Схема применяется для сводчатых и близких к ним по очертанию покрытий (например, по сегментным фермам) Значения  ,  Значение  принимается в соответствии со схемой п. 2. |
4 | | Схемы применяются для зданий с продольными фонарями. Значения  и  принимаются в соответствии со схемами п. 2. Значение коэффициента давления для торцов фонарей принимается равным минус 0,6. Значение коэффициента давления c = -0,8 для наветренного участка фонаря принимается при углах наклона до 20°. |
| | Примечание. При расчете поперечных рам зданий с фонарем в соответствии со схемой п. 4 и ветроотбойными щитами значение суммарного аэродинамического коэффициента на систему "фонарь - щиты" принимается равным 1,4. |
| |
| | Схемы применяются для зданий с шедовыми покрытиями (п. 7) и с зенитными фонарями (п. 8). Значения  ,  принимаются в соответствии со схемами п. 2. Сила трения  учитывается как при направлении ветра, указанном на схемах, так и при направлении, перпендикулярном плоскости чертежа. |
| |
9 | | Схемы применяются для зданий, постоянно открытых с какой-либо одной стороны: полностью (при отсутствии стены на этой стороне); частично (при наличии постоянно открытых проемов площадью не менее 30% от площади стены). Значения  ,  ,  принимаются по схемам п. 2. |
10 | | Схемы применяются для уступов зданий. Для горизонтальных и наклонных  участков покрытия значения коэффициентов давления на длине  и  принимаются такими же, как и на вертикальные участки. При  длина переходного участка к отрицательному давлению принимается равной  . Значения коэффициентов давления на стороне входящего угла здания (на длине a), параллельной ветровому потоку, принимаются такими же, как и на наветренную сторону. При b > a длина переходного участка принимается равной a/2. |
11 | | Схемы применяются для навесов. Значения коэффициентов  ,  ,  ,  относятся к сумме давлений на верхнюю и нижнюю поверхности навесов. Для отрицательных значений  ,  ,  ,  направление давления на схемах изменяется на противоположное. Для волнистых покрытий при направлении ветра вдоль навеса необходимо учесть силу трения  , где S - площадь горизонтальной проекции покрытия. |
| а) б) | Схемы применяются для сфер (а) и для сооружений с круговой цилиндрической боковой поверхностью (резервуары, градирни, башни, дымовые трубы) с покрытиями или без покрытий (б). Схемы используются при расчете оболочки сооружения, а также во всех случаях, когда существенное значение имеет учет местного воздействия ветра. Значения  Значения  Продолжение Данные для  ,  применимы при  . Значения  Коэффициент  учитывается при отсутствии покрытия или при опущенном покрытии ("плавающая кровля") |
| | Примечание.  , число Рейнольдса, где d - диаметр сооружения в м; n - коэффициент перегрузки, принимаемый по п. 6.18; q - учитываемый в расчете скоростной напор в кгс/м2;  - кинематическая вязкость воздуха (при t = +15 °C и атмосферном давлении 760 мм рт. ст.  ). |
| | Для сооружений, квадратных и многоугольных в плане, коэффициент лобового сопротивления  принимается по таблице: |
Примечание. Для сооружений, многоугольных в плане (при любом направлении ветра), а также квадратных в плане (при направлении ветра по диагонали) a - диагональ сечения. |
| | Схема применяется для сооружений с круговой цилиндрической боковой поверхностью (резервуары, градирни, башни, дымовые трубы), а также для круглых трубчатых и сплошных элементов в сквозных сооружениях, проводов, тросов. При умеренно шероховатой поверхности (бетон, металл, дерево и т.п.) значение коэффициента  определяется по приведенному графику. При большей шероховатости значения коэффициентов  при  определяются по таблице В линиях электропередачи значения коэффициентов  допускается принимать: 1,1 - для проводов и тросов d >= 20 мм, свободных от гололеда; 1,2 - для проводов и тросов d < 20 мм, свободных от гололеда, и для проводов и тросов любого диаметра, покрытых гололедом. |
| | Для различных профилей решетчатых конструкций при направлении ветра, перпендикулярном оси элемента,  . |
| | Коэффициент лобового сопротивления  для плоской фермы определяется по формуле  , где  - площадь проекции элемента фермы на ее плоскость;  - коэффициент лобового сопротивления элемента фермы, принимаемый в соответствии с данными пп. 14, 15; S - площадь фермы, вычисленная по ее наружному габариту. Если для всех элементов фермы  , то  , где  - коэффициент заполнения фермы. |
| | Для ряда плоских параллельно расположенных ферм коэффициент  для первой фермы принимается по данным п. 16, для второй и последующих ферм из труб при  , а также из профилей - по формуле  , где  - коэффициент, определяемый в зависимости от  и b/h. Коэффициент  Для ферм из труб при  . |
18 | а) б) | Для пространственной фермы (а) и решетчатых башен (б) коэффициент лобового сопротивления  определяется по формуле  , где  - коэффициент, определяемый по данным п. 16;  - коэффициент, определяемый по данным п. 17. Для трехгранной башни при  коэффициент  умножается на 0,9. При определении  значения  вычисляются во всех случаях в предположении, что направление ветра перпендикулярно плоскости наветренной грани фермы (башни). При направлении ветра по диагонали четырехгранной квадратной башни аэродинамический коэффициент определяется путем умножения величины  на коэффициент, равный: 1,1 - для стальных башен из одиночных элементов; 1,2 - для железобетонных башен; для стальных башен из составных элементов; 1,3 - для деревянных башен из составных элементов. |
| | Схема применяется для вант и наклонных трубчатых элементов, расположенных в плоскости ветрового потока  , где  определяется по данным п. 14. |
Аэродинамические коэффициенты принимаются:
а) для отдельных поверхностей или точек зданий и сооружений - как коэффициенты давления (
пп. 1 -
12 табл. 8), которые следует учитывать при определении ветровой нагрузки, нормальной к рассматриваемой поверхности и относящейся к единице площади этой поверхности;
б) для отдельных элементов и конструкций - как коэффициент лобового сопротивления

(
пп. 13 -
19 табл. 8), который должен учитываться при определении составляющей общего сопротивления тела, действующей по направлению ветрового потока и относящейся к площади проекции тела на плоскость, перпендикулярную потоку, и как коэффициент поперечной силы
(п. 6.22) при определении составляющей общего сопротивления, перпендикулярной ветровому потоку.
В случаях, не предусмотренных
табл. 8 (иные формы зданий и сооружений, учет при надлежащем обосновании других направлений ветрового потока или составляющих общего сопротивления тела по другим направлениям и т.п.), аэродинамические коэффициенты необходимо принимать по справочным и экспериментальным данным.
6.8. Для зданий, указанных в
пп. 2 -
8 табл. 8, с открывающимися проемами (окна, ворота, двери), равномерно распределенными по периметру здания, или проницаемыми стенами из асбестоцементных или других листов (независимо от наличия проемов) при расчете ограждений наружных стен, стоек и ригелей фахверка, импостов остекления значения аэродинамических коэффициентов для ограждения должны приниматься равными:
а) c = +1 - при расчете на положительное давление;
б) c = -0,8 - при расчете на отрицательное давление.
В таких зданиях расчетная ветровая нагрузка на внутренние стены должна приниматься равной

, а на легкие перегородки (весом не более 100 кгс/м
2) -

, но не менее 10 кгс/м
2.
6.9. При расчете поперечных рам зданий с продольными или с зенитными (при a > 4h) фонарями (
пп. 5,
6,
8 табл. 8) учитывается ветровая нагрузка на наветренные и заветренные стойки рамы и горизонтальная составляющая ветровой нагрузки, действующая на все фонари.
Для зданий с шедовыми покрытиями
(п. 7 табл. 8) или с зенитными фонарями при a <= 4h вместо горизонтальных составляющих, действующих на второй (от наветренной стороны здания) и последующие фонари, должна быть учтена сила трения

, определяемая по формуле

, (8)
где

- угол наклона наветренной грани фонаря к горизонту (в град);
k - коэффициент, принимаемый по
табл. 7;
S - площадь горизонтальной проекции покрытия здания (без площади первого фонаря);

- коэффициент перегрузки, принимаемый в соответствии с указаниями
п. 6.18.
6.10. При расчете креплений элементов ограждения к несущим конструкциям в углах зданий и по внешнему контуру покрытий должно учитываться местное отрицательное давление ветра, распределенное вдоль ребер на ширине, равной одной десятой от соответствующего линейного размера (длина, ширина, высота) зданий, но не более 1,5 м (заштрихованные участки на рис. 1). Значение коэффициента давления при этом принимается равным c = -2.
Рис. 1. Участки с повышенным отрицательным давлением ветра
для расчета креплений элементов
6.11. Нормативное значение динамической составляющей ветровой нагрузки должно определяться для каждой формы колебаний сооружения в виде системы инерционных сил, приложенных к середине участков, на которые условно разбивается сооружение (рис. 2).
Рис. 2. Расчетная схема сооружения
а - i-я форма колебаний
Инерционная сила (в кгс), приложенная в середине участка с номером j при колебаниях сооружения по i-й форме, должна определяться по формуле

, (9)
где

- масса j-го участка (в кг x с2/м), сосредоточенная в его середине;

- коэффициент динамичности, принимаемый в соответствии с указаниями
п. 6.12;

- приведенное ускорение (в м/с2) середины j-го участка, принимаемое в соответствии с указаниями
п. 6.13;

- коэффициент, учитывающий пространственную корреляцию пульсации скорости ветра по высоте и фронту здания или сооружения и принимаемый в соответствии с указаниями
п. 6.14.
6.12. Коэффициент динамичности

допускается определять по рис. 3 в зависимости от параметра

и от логарифмического декремента колебаний

(

- период i-й формы собственных колебаний в с;

- расчетная скорость ветра в м/с;

- коэффициент перегрузки, принимаемый по
п. 6.18.
Рис. 3. Коэффициенты динамичности
1 - для железобетонных и каменных сооружений, а также
для зданий со стальным каркасом при наличии ограждающих
конструкций

; 2 - для стальных башен, мачт,
футерованных дымовых труб, аппаратов колонного типа,
в том числе на железобетонных постаментах

;
3 - для стальных сооружений и конструкций при совместном
учете резонансных колебаний в соответствии с указаниями
ветровой нагрузки в плоскости потока

6.13. Приведенное ускорение

(в м/с2) допускается определять по формуле

, (10)
где

- масса k-го участка;

,

- относительные ординаты, соответствующие середине j-го и k-го участков, при колебаниях сооружения по i-й форме;

- равнодействующая нормативной ветровой нагрузки

на k-й участок, определяемая в соответствии с указаниями
п. 6.3;
r - число участков, на которые разбито сооружение;

- коэффициент пульсации скоростного набора для середины k-го участка, принимаемый по табл. 9.
Постановлением Госстроя СССР от 25.12.1980 N 206)
Тип местности | Высота над поверхностью земли, м |
10 | 20 | 30 | 40 | 50 | 60 | 70 | 80 | 100 | 200 | 350 и выше |
А | 0,6 | 0,55 | 0,51 | 0,48 | 0,47 | 0,46 | 0,45 | 0,44 | 0,42 | 0,38 | 0,35 |
Б | 0,88 | 0,75 | 0,68 | 0,65 | 0,62 | 0,60 | 0,58 | 0,56 | 0,54 | 0,46 | 0,40 |
В | 1,75 | 1,40 | 1,20 | 1,10 | 1,02 | 0,97 | 0,92 | 0,89 | 0,82 | 0,65 | 0,54 |
6.14. Коэффициент

допускается принимать: для сооружений - по данным
табл. 10, для протяженных в плане зданий - по данным
табл. 11. Для сооружений консольного типа коэффициент

учитывается только для первой формы собственных колебаний. При учете высших форм колебаний

.
Примечание. При расчете мачт сосредоточенные в их узлах горизонтальные реакции вант (при действии на них пульсации скоростного напора) допускается учитывать с коэффициентом пространственной корреляции пульсаций скорости ветра, принимаемом равным: при трех вантах в плане - 0,5, при четырех вантах в плане - 0,4; при шести и более вантах в плане - 0,35.
| Высота сооружений, м |
до 45 | 60 | 120 | 150 | 300 | 450 и выше |
0,05 | 0 | 0,65 | 0,6 | 0,55 | 0,45 | - |
0,1 | - | 0,75 | 0,65 | 0,6 | 0,5 | 0,4 |
0,2 | - | - | 0,75 | 0,7 | 0,6 | 0,5 |
Отношение длины здания к его высоте | | Высота здания, м |
30 | 40 | 50 | 90 | 120 |
0,5 | 0,01 | 0,57 | 0,54 | 0,52 | 0,46 | 0,42 |
0,05 | 0,53 | 0,48 | 0,46 | 0,38 | 0,35 |
0,1 | 0,59 | 0,53 | 0,5 | 0,39 | 0,35 |
1 | 0,01 | 0,53 | 0,49 | 0,47 | 0,4 | 0,36 |
0,05 и более | 0,47 | 0,42 | 0,4 | 0,33 | 0,3 |
2 | 0,01 | 0,47 | 0,43 | 0,41 | 0,33 | 0,3 |
0,05 и более | 0,4 | 0,36 | 0,34 | 0,27 | 0,24 |
3 | 0,01 | 0,43 | 0,39 | 0,37 | 0,29 | 0,26 |
0,05 и более | 0,36 | 0,32 | 0,3 | 0,24 | 0,21 |
6.15. При определении ветровой нагрузки на дымовые трубы, башни и высокие здания допускается учитывать только первую форму собственных колебаний. Необходимость учета высших форм колебаний для высоких сооружений консольного типа устанавливается в каждом случае в зависимости от принятой расчетной схемы и от распределения масс и жесткостей по высоте сооружения.
6.16. Нормативное значение динамической составляющей ветровой нагрузки

в кгс для сооружений с массой и ветровой нагрузкой, приведенными к его вершине (водонапорные башни, транспортерные галереи и т.д.), допускается определять по формуле

, (11)
где

- приведенная к вершине статическая составляющая ветровой нагрузки;
m - коэффициент пульсаций скоростного напора для верха сооружения, принимаемый по данным
табл. 9.
6.17. Нормативное значение динамической составляющей ветровой нагрузки

в кгс/м
2 для зданий и сооружений с равномерно распределенной массой и постоянной по высоте жесткостью при учете только первой формы собственных колебаний допускается определять по формуле

,
где

- нормативное значение статической составляющей ветровой нагрузки на уровне верха сооружения, определяемой в соответствии с указаниями
п. 6.3;

- коэффициент, учитывающий форму собственных колебаний сооружения (здания) и характер изменения коэффициента пульсации по высоте и принимаемый по табл. 12;

,

, m - то же, что и в
пп. 6.12 -
6.14 (m принимается для верха сооружения).
Таблица 12
z/H | 0,1 | 0,2 | 0,3 | 0,4 | 0,5 | 0,6 | 0,7 | 0,8 | 0,9 | 1 |
Для сооружений | 0,04 | 0,12 | 0,23 | 0,36 | 0,52 | 0,69 | 0,88 | 1,09 | 1,32 | 1,56 |
Для зданий | 0,34 | 0,52 | 0,66 | 0,79 | 0,9 | 1 | 1,1 | 1,19 | 1,28 | 1,36 |
Примечание. H - высота здания (сооружения); z - расстояние от поверхности земли до рассматриваемого сечения.
6.18. Коэффициент перегрузки для ветровой нагрузки на здания должен приниматься равным

; на высокие сооружения, где ветровая нагрузка имеет решающее значение,

, если в нормах проектирования этих сооружений не приводится другое значение этого коэффициента.
6.19. Усилия и перемещения зданий или сооружений при действии ветровой нагрузки должны определяться раздельно от статической составляющей и от динамической составляющей, соответствующей каждой i-й форме колебаний.
Суммарные усилия и перемещения допускается определять по формуле
| | ИС МЕГАНОРМ: примечание. Нумерация формул дана в соответствии с официальным текстом документа. | |

, (13)
где X - изгибающий (крутящий) момент, поперечная или продольная сила, перемещение;

- то же, от статической составляющей ветровой нагрузки;

- то же, от динамической составляющей ветровой нагрузки при колебаниях по i-й форме;
s - число учитываемых в расчете форм колебаний.
6.20. Проверка на резонанс сооружений круговой цилиндрической формы должна производиться в тех случаях, когда критическая скорость ветра

находится в пределах

.
6.21. Критическую скорость ветра, вызывающую резонансные колебания сооружения в направлении, перпендикулярном ветровому потоку, допускается определять по формуле

, (14)
где

- период собственных колебаний сооружения по i-й форме в с;
Sh - число Струхаля поперечного сечения (для круга Sh = 0,2);
d - диаметр сооружения в м; для сооружения с малой коничностью (с уклоном не более 0,01) - диаметр его сечения на уровне 2/3 высоты.
6.22. При проверке на резонанс амплитуду интенсивности аэродинамической силы

(в кгс/м) на уровне z при колебаниях сооружения по i-й форме допускается определять по формуле

, (15)
где

- относительная ордината i-й формы собственных колебаний;

- амплитуда интенсивности на уровне свободного конца сооружения консольного типа или в середине пролета трубчатой мачты на вантах.
Для сооружения консольного типа допускается учитывать только первую форму собственных колебаний;

- скоростной напор, соответствующий критической скорости

;

- коэффициент поперечной силы, принимаемый равным 0,25.
6.23. Резонансные усилия и перемещения сооружения на уровне z допускается определять по формуле

, (16)
где

- прогиб, изгибающий момент или поперечная сила от статически приложенной нагрузки

; для мачт на вантах в качестве расчетного значения

принимается наибольшее из значений, вычисленных для критических скоростей

, при этом число учитываемых форм колебаний принимается не более четырех;

- логарифмический декремент колебаний, принимаемый равным:
а) 0,3 - для железобетонных и каменных сооружений;
б) 0,15 - для стальных аппаратов на железобетонных постаментах;
в) 0,1 - для мачт и стальных футерованных дымовых труб;
г) 0,05 - для стальных сооружений и конструкций.
6.24. Расчетную статическую составляющую ветровой нагрузки по направлению действия ветра

(в кгс/м
2), соответствующую критическому скоростному напору

, допускается принимать постоянной по высоте сооружения и равной

, (17)
где

- коэффициент лобового сопротивления, принимаемый по
п. 14 табл. 8.
Динамическая составляющая ветровой нагрузки

, соответствующая

, определяется в соответствии с указаниями
пп. 6.11 -
6.17; при этом коэффициент динамичности

для сооружений, указанных в
подпунктах "б" и
"в" п. 6.23, принимается по графику 2
рис. 3.
6.25. При расчете на резонанс другие кратковременные нагрузки допускается не учитывать.
6.26. Расчетные усилия и перемещения сооружения при резонансе допускается определять по формуле

, (18)
где

- перемещение, изгибающий момент или поперечная сила, определяемая по
формуле (16);

;

- то же, от нагрузок

и

, определяемых по
п. 6.24.
7.1. Гололедные нагрузки необходимо учитывать при проектировании воздушных линий электропередачи и связи, контактных сетей электрифицированного транспорта, антенно-мачтовых устройств и подобных сооружений.
7.2. Нормативная гололедная нагрузка

в кгс на 1 м длины для проводов, тросов и канатов должна определяться по формуле

. (19)
Для остальных элементов сооружений

в кгс на 1 м
2 поверхности должна определяться по формуле

, (20)
где b - толщина стенки гололеда, превышаемая 1 раз в 5 лет (в мм), определяемая для высоты 10 м по
табл. 13, для высот до 100 м - с учетом коэффициентов
табл. 14, для высот 200 м и выше - по
табл. 15; для других периодов повторяемости толщину стенки гололеда следует принимать по специальным техническим условиям, утвержденным в установленном порядке;
d - диаметр провода, троса или каната, мм;
k - коэффициент, определяемый по данным
табл. 16 (для высоты до 100 м);
0,6 - коэффициент, учитывающий отношение площади поверхности элемента сооружения, подверженной обледенению, к полной площади поверхности элемента;

- объемный вес гололеда, принимаемый равным 0,9 гс/см
3.
Районы СССР (принимаются по карте 4) | I | II | III | IV | V |
b, мм | Не менее 3 | 5 | 10 | 15 | Не менее 20 |
Высота над поверхностью земли, м | 5 | 10 | 20 | 30 | 50 | 70 | 100 |
Коэффициент | 0,8 | 1 | 1,2 | 1,4 | 1,6 | 1,8 | 2 |
Высота над поверхностью земли, м | Для I района гололедности азиатской части территории СССР | Для V района и горных местностей | Для остальной территории СССР |
200 | 15 | На основании | 35 |
300 | 20 | специальных | 45 |
400 | 25 | обследований | 60 |
Диаметр провода, троса или каната, мм | 5 | 10 | 20 | 30 | 50 | 70 |
k | 1,1 | 1 | 0,9 | 0,8 | 0,7 | 0,6 |
Примечания: 1. В V, горных и малоизученных районах, обозначенных на
карте 4, а также в сильно пересеченных местностях (на вершинах гор и холмов, на перевалах, на высоких насыпях, в закрытых горных долинах, котловинах, глубоких выемках и т.п.) толщину стенки гололеда допускается определять на основании данных специальных обследований и наблюдений.
2. Промежуточные значения величин, приведенных в
табл. 14 -
16, допускается определять линейной интерполяцией между указанными в таблицах значениями.
3. Для проводов, тросов и канатов допускается принимать толщину стенки гололеда для высоты расположения их приведенного центра тяжести. Для проводов и тросов линий электропередач при высоте расположения приведенного центра тяжести проводов до 25 м значения коэффициентов, приведенных в
табл. 14 и
16, допускается принимать равными единице. Отложения гололеда на конструкциях опор при такой высоте расположения проводов допускается не учитывать.
4. Для определения гололедной нагрузки на горизонтальные элементы круговой цилиндрической формы толщину стенки гололеда, указанную в
табл. 15, допускается снижать на 10%.
7.3. Коэффициент перегрузки для гололедной нагрузки должен приниматься равным 1,3, за исключением случаев, оговоренных в других нормативных документах.
7.4. Скоростной напор ветра для покрытых гололедом элементов сооружений должен приниматься равным

, (21)
где

- определяется по указаниям
п. 6.4.
Примечания: 1. В отдельных районах СССР, где наблюдаются сочетания значительных скоростей ветра с большими размерами гололедно-изморозевых отложений, толщина стенки гололеда, его объемный вес и величина скоростного напора ветра должны приниматься в соответствии с фактическими данными.
2. При определении ветровых нагрузок для элементов сооружений, расположенных на высоте более 100 м над поверхностью земли, величину диаметра обледенелых проводов и тросов, установленную с учетом толщины стенки гололеда, указанной в
табл. 15, необходимо умножить на коэффициент 1,5.
7.5. Температура воздуха при гололеде должна приниматься равной:
а) в горных районах с отметкой выше 2000 м - минус 15 °C;
б) в горных районах с отметкой от 1000 до 2000 м и на территории к востоку от Енисея, за исключением береговой полосы океанов и морей <1>, - минус 10 °C;
в) для всей остальной территории СССР для сооружений высотой до 100 м - минус 5 °C, выше 100 м - минус 10 °C.
--------------------------------
<1> Ширина береговой полосы принимается равной 100 км, но не более чем до ближайшего горного хребта.
8. ТЕМПЕРАТУРНЫЕ КЛИМАТИЧЕСКИЕ ВОЗДЕЙСТВИЯ
8.1. Температурные климатические воздействия должны учитываться при расчете зданий и сооружений в случаях, предусмотренных нормами проектирования конструкций.
При расчете конструкций необходимо учесть:

- изменения во времени средней по сечению температуры по отношению к начальной температуре

;

- перепад температуры по сечению.
8.2. Изменения средних температур

,

и перепады

,

в теплое (индекс "т") и холодное (индекс "х") время года для однослойных конструкций должны определяться на основе теплотехнических расчетов или по формулам табл. 17. При этом распределение температуры по толщине допускается принимать линейным.
Таблица 17
При вычислении нормативных и расчетных значений

и

используются соответствующие нормативные и расчетные значения входящих в формулы величин (см.
пп. 8.3 -
8.5), а начальная температура определяется по
п. 8.6.
Примечание. Для многослойных конструкций при определении

и

следует использовать специальные указания. Конструкции, изготовленные из нескольких материалов, близких по теплофизическим параметрам, допускается рассматривать как однослойные.
8.3. Нормативные значения температуры наружного воздуха в теплое

и холодное

время года должны определяться по формулам:

; (22)

, (23)
где

,

- многолетние среднемесячные июльская и январская температуры воздуха, принимаемые по
картам 5 и
6 или по данным главы СНиП "Строительная климатология и геофизика";

,

- отклонения средней температуры наиболее теплых и наиболее холодных суток от значений

и

соответственно:

,

- принимается по
карте 7.
Расчетные значения

и

определяются по формулам:

; (24)

. (25)
Примечания: 1. Расчетные значения

,

допускается принимать равными температуре наиболее теплых и наиболее холодных суток по данным главы СНиП "Строительная климатология и геофизика".
2. В отапливаемых производственных зданиях на стадии эксплуатации для конструкций, защищенных от воздействия солнечной радиации,

допускается не учитывать.
3. В обозначенных на
картах 5 -
7 горных и малоизученных районах

определяется по формуле

,
где

- средний из абсолютных январских минимумов температуры;

- средний суточный размах температуры в январе при ясном небе;

и

- принимаются по данным Справочника по климату СССР.
8.4. Нормативные значения температуры внутреннего воздуха помещений в теплое

и холодное

время года принимаются по нормам проектирования зданий или по заданию на проектирование.
Расчетные значения

и

должны определяться по формулам:

; (26)

, (27)
где

,

- отклонения температуры внутреннего воздуха от нормативных значений, принимаемые по нормам проектирования зданий или по заданию на проектирование; знаки (+, -) принимаются такими, чтобы получились неблагоприятные значения

,

,

,

.
8.5. Нормативные значения

и

, учитывающие суточные амплитуды температуры наружного воздуха и солнечную радиацию, должны приниматься по табл. 18.
Таблица 18
Конструкции | Нормативное значение |
| |
Металлические | 20 °C | 0 |
Железобетонные, бетонные, армокаменные и каменные при толщине, см: | | |
менее 15 | 15 °C | 15 °C |
от 15 до 39 | 10 °C | 15 °C |
более 40 | 5 °C | 15 °C |
Примечание. Расчетные значения

и

принимаются равными нормативным.
8.6. Начальная температура, соответствующая замыканию конструкции или ее части в законченную систему, в теплое

и холодное

время года должна приниматься равной:

; (28)

. (29)
Примечание. В необходимых случаях при наличии данных о календарном сроке замыкания конструкции, порядке производства работ и др. начальная температура может уточняться в соответствии с этими данными.
8.7. Усилия в конструкциях от температурных климатических воздействий необходимо определять с учетом неупругих деформаций конструкций и соединений (пластических деформаций, ползучести, релаксации и т.п.).
9.1. В необходимых случаях, предусматриваемых нормативными документами или устанавливаемых в зависимости от условий возведения и эксплуатации зданий и сооружений, следует учитывать прочие нагрузки, не включенные в настоящие нормы (специальные технологические нагрузки, влажностные и усадочные воздействия и т.п.).
УТОЧНЕННЫЙ СПОСОБ ОПРЕДЕЛЕНИЯ РАСЧЕТНЫХ УСИЛИЙ
В ОСНОВНЫХ И ОСОБЫХ СОЧЕТАНИЯХ НАГРУЗОК
1. При одновременном учете в основном сочетании не менее двух нагрузок суммарное расчетное значение усилия от них (изгибающий или крутящий момент, продольную или поперечную силу) следует определять по формуле

, (I.1)
где

- усилие, определяемое по нормативному значению каждой отдельной нагрузки с учетом коэффициентов сочетаний, принимаемых согласно требованиям
п. 1.12;

- коэффициент перегрузки каждой отдельной нагрузки;
m - число одновременно действующих нагрузок.
Примечания: 1. При определении расчетных значений усилий по настоящему приложению за одну нагрузку принимается: для постоянных и временных длительных нагрузок - одна из нагрузок, указанных в
пп. 1.6 и
1.7; для кратковременных нагрузок - по указаниям
п. 1.15. Каждую из составляющих веса частей зданий и сооружений, а также вес заполнения стационарного технологического оборудования допускается учитывать как отдельную нагрузку.
2. При учете температурных климатических воздействий коэффициент перегрузки устанавливается как отношение расчетного значения изменения средней температуры

(или перепада температуры

) к соответствующим нормативным значениям (см.
пп. 8.2 -
8.5).
3. При определении расчетных значений усилий в особом сочетании к усилию X, вычисленному по
формуле (I.1) с учетом коэффициентов сочетаний по п. 1.13, следует добавить усилие от особой нагрузки.
2. Если нагрузки вызывают два или три различных усилия (X, Y и Z), учитываемые в расчете совместно (например, нормальную силу и изгибающие моменты в одном или двух направлениях), то в каждой комбинации нагрузок в общем случае необходимо при трех усилиях рассмотреть три варианта расчетных усилий: (X,

,

), (Y,

,

) и (Z,

,

), а при двух - два (X,

) и (Y,

).
Для варианта (X,

,

) эти усилия определяются по формулам:

; (I.2)

; (I.3)

, (I.4)
где X,

,

- суммарные расчетные усилия, возникающие при действии нескольких временных нагрузок и учитываемые в расчете совместно;

,

,

- усилия, определяемые по нормативному значению каждой отдельной нагрузки с учетом коэффициентов сочетаний, принимаемых для кратковременных нагрузок по
пп. 1.12 и
1.13, а в случае учета динамической составляющей ветровой нагрузки - с учетом требований
п. 6.19;
Для вариантов (Y,

,

) и (Z,

,

) усилия определяются по
формулам (I.2),
(I.3) и
(I.4) с круговой перестановкой в них обозначений X, Y, Z.
В
формулах (I.2),
(I.3) и
(I.4) знак минус принимается в случаях, когда опасным является уменьшение абсолютной величины усилия, определяемого по
формуле (I.2). При этом во всех трех формулах знаки должны быть одинаковыми.
В тех случаях, когда при составлении расчетных комбинаций учитываются такие временные нагрузки, которые обеспечивают возникновение в сечении экстремального значения одного из усилий, а другие усилия получают как следствие этой операции, экстремальное расчетное усилие следует определять по
формуле (I.2), а соответствующие ему другие усилия - по
формулам (I.3) и
(I.4). Например, при составлении комбинации (

,

)

следует определять по
формуле (I.2), а

- по
формуле (I.3).
Примечание. В зависимости от вида комбинации добавляются усилия от постоянных нагрузок с коэффициентами перегрузки больше или меньше единицы (см.
п. 2.2).
КРАНОВ РАЗНЫХ РЕЖИМОВ РАБОТЫ
Режим работы крана | Примерные наименования мостовых электрических кранов | Типичные цехи, в которых обычно используются краны указанного режима |
Легкий | Крюковые | Ремонтные цехи, машинные залы теплоэлектростанций. |
Средний | Крюковые, в том числе краны с использованием электротали | Механические и сборочные цехи заводов со среднесерийным производством; ремонтно-механические цехи; погрузочно-разгрузочные площадки со штучными грузами. |
Тяжелый | Крюковые, литейные, ковочные, закалочные | Цехи заводов с крупносерийным производством; погрузочно-разгрузочные площадки с сыпучими грузами, некоторые цехи металлургических заводов. |
Весьма тяжелый | Грейферные, магнитные, магнитно-грейферные, магнитные с траверсой, мульдо-магнитные, для раздевания слитков, колодцевые, с лапами, копровые, завалочные | Цехи металлургических заводов. |
Примечание. Подвесные электрические краны относятся к среднему, а мостовые ручные и подвесные ручные - к легкому режиму работы.
НАГРУЗКА ОТ УДАРА КРАНА О ТУПИКОВЫЙ УПОР
Нормативная горизонтальная нагрузка

(в тс), направленная вдоль кранового пути, вызываемая ударом крана о тупиковый упор, определяется по формуле

, (III.1)
где v - скорость передвижения крана в момент удара, принимаемая равной половине номинальной, м/с;
f - возможная наибольшая осадка буфера, принимаемая равной 0,1 м для кранов с гибким подвесом груза грузоподъемностью не более 50 т легкого, среднего и тяжелого режимов работы и 0,2 м - в остальных случаях;
m - приведенная масса крана, в т x с2/м, определяемая по формуле:

, (III.2)
где g - ускорение силы тяжести, равное 9,81 м/с2;

- вес моста крана, тс;

- вес тележки, тс;
Q - грузоподъемность крана, тс;
k - коэффициент, принимаемый равным нулю в кранах с гибким подвесом груза и единице - в кранах с жестким подвесом;

- пролет крана, м;
l - приближение тележки, м.
Расчетная величина установленной нагрузки с учетом коэффициента перегрузки по
п. 4.8 принимается не более значений, указанных в таблице.
| Характеристика кранов | Предельная нагрузка, тс |
1. | Подвесные краны (ручные и электрические) и мостовые ручные краны | 1 |
2. | Мостовые электрические краны общего назначения легкого режима работы | 5 |
3. | Мостовые электрические краны общего назначения среднего и тяжелого режима работы, а также литейные краны | 15 |
4. | Мостовые электрические краны весьма тяжелого режима работы (металлургические и специальные): | |
с гибким подвесом груза | 25 |
с жестким подвесом груза | 50 |
КАРТЫ РАЙОНИРОВАНИЯ ТЕРРИТОРИИ СССР
| | Дополнениями и изменениями, утв. Постановлением Госстроя СССР от 31.12.1982 N 343, в карту 1 (лист 4, о. Сахалин и Курильские острова) Приложения IV были внесены изменения. | |
| | В карте 1 допущены неточности, см. Уточнения к картам-схемам главы СНиП II-6-74 (БСТ, N 6, 1976). | |
Карта 1. Районирование территории
СССР по весу снегового покрова
Карта 2. Районирование территории СССР по средним скоростям
ветра за зимний период, м/с
| | Дополнениями и изменениями, утв. Постановлением Госстроя СССР от 31.12.1982 N 343, в карту 3 Приложения IV были внесены изменения. | |
| | В карте 3 допущены неточности, см. Уточнения к картам-схемам главы СНиП II-6-74 (БСТ, N 6, 1976). | |
Карта 3. Районирование территории
СССР по скоростным напорам ветра
| | В карте 4 допущены неточности, см. Уточнения к картам-схемам главы СНиП II-6-74 (БСТ, N 6, 1976). | |
Карта 4. Районирование территории
СССР по толщине стенки гололеда
Карта 4а
| | В карте 4б допущены неточности, см. Уточнения к картам-схемам главы СНиП II-6-74 (БСТ, N 6, 1976). | |
Карта 4б
Карта
| | В карте 5 допущены неточности, см. Уточнения к картам-схемам главы СНиП II-6-74 (БСТ, N 6, 1976). | |
Карта 5. Районирование территории СССР
по средним январским температурам воздуха, °C
| | В карте 6 допущены неточности, см. Уточнения к картам-схемам главы СНиП II-6-74 (БСТ, N 6, 1976). | |
Карта 6. Районирование территории СССР
по средним июльским температурам воздуха, °C
| | В карте 7 допущены неточности, см. Уточнения к картам-схемам главы СНиП II-6-74 (БСТ, N 6, 1976). | |
Карта 7. Районирование территории СССР по отклонениям
средней температуры наиболее холодных суток от средней
январской температуры воздуха, °C