Главная // Актуальные документы // ГОСТ (Государственный стандарт)СПРАВКА
Источник публикации
М.: Издательство стандартов, 1988
Примечание к документу
С 1 июля 2003 года до вступления в силу технических регламентов акты федеральных органов исполнительной власти в сфере технического регулирования носят рекомендательный характер и подлежат обязательному исполнению только в части, соответствующей целям, указанным в
пункте 1 статьи 46 Федерального закона от 27.12.2002 N 184-ФЗ.
Ограничение срока действия снято по Протоколу N 4-93 Межгосударственного совета по стандартизации, метрологии и сертификации ("ИУС", N 4, 1994).
Утрачивает силу с 1 июля 1995 года.
Введен в действие с 1 января 1990 года.
Взамен ГОСТ 22536.7-77.
Название документа
"ГОСТ 22536.7-88. Сталь углеродистая и чугун нелегированный. Методы определения хрома"
(утв. Постановлением Госстандарта СССР от 25.08.1988 N 3018)
"ГОСТ 22536.7-88. Сталь углеродистая и чугун нелегированный. Методы определения хрома"
(утв. Постановлением Госстандарта СССР от 25.08.1988 N 3018)
Утвержден и введен в действие
Постановлением Госстандарта СССР
от 25 августа 1988 г. N 3018
ГОСУДАРСТВЕННЫЙ СТАНДАРТ СОЮЗА ССР
СТАЛЬ УГЛЕРОДИСТАЯ И ЧУГУН НЕЛЕГИРОВАННЫЙ
МЕТОДЫ ОПРЕДЕЛЕНИЯ ХРОМА
Carbon steel and unalloyed cast iron.
Methods for determination of chromium
ГОСТ 22536.7-88
Срок действия
с 1 января 1990 года
до 1 июля 1995 года
1. Разработан и внесен Министерством черной металлургии СССР.
Исполнители: Д.К. Нестеров, канд. техн. наук; С.И. Рудюк, канд. техн. наук; С.В. Спирина, канд. хим. наук (руководитель темы); В.Ф. Коваленко, канд. техн. наук; Н.Н. Гриценко, канд. хим. наук; Л.И. Березовая; О.М. Киржнер.
2. Утвержден и введен в действие Постановлением Государственного комитета СССР по стандартам от 25.08.1988 N 3018.
3. Взамен ГОСТ 22536.7-77.
4. Ссылочные нормативно-технические документы
Обозначение НТД, на который дана ссылка | Номер пункта, подпункта |
| |
| |
| |
| |
| |
| |
| |
| |
| |
| |
| |
| |
| |
| |
ГОСТ 5859-78 | |
| |
| |
ГОСТ 6652-80 | |
ГОСТ 6691-77 | |
| |
| |
| |
| |
| |
| |
| |
Настоящий стандарт устанавливает фотометрический (при массовой доле хрома от 0,01 до 0,50%), титриметрический (при массовой доле хрома от 0,10 до 0,50%) и атомно-абсорбционный (при массовой доле хрома от 0,01 до 0,50%) методы определения хрома.
1.2. Погрешность результата анализа (при доверительной вероятности 0,95) не превышает предела

, приведенного в таблице, при выполнении условий:
расхождение между результатами двух (трех) параллельных измерений не должно превышать (при доверительной вероятности Р = 0,95) значения

(

), приведенного в таблице;
воспроизведенное в стандартном образце значение массовой доли хрома не должно отличаться от аттестованного более чем на допускаемое (при доверительной вероятности Р = 0,85) значение

, приведенное в таблице.
|  , % | Допускаемые расхождения, % |  , % |
dk | d2 | d3 |
От 0,01 до 0,02 включ. | 0,0028 | 0,0036 | 0,0030 | 0,0036 | 0,0018 |
Св. 0,02 " 0,05 " | 0,004 | 0,006 | 0,005 | 0,006 | 0,003 |
" 0,05 " 0,10 " | 0,007 | 0,008 | 0,007 | 0,008 | 0,004 |
" 0,10 " 0,2 " | 0,011 | 0,014 | 0,011 | 0,014 | 0,007 |
" 0,2 " 0,5 " | 0,017 | 0,022 | 0,018 | 0,022 | 0,011 |
При невыполнении одного из вышеуказанных условий проводят повторные измерения массовой доли хрома. Если и при повторных измерениях требования к точности результатов не выполняются, результаты анализа признают неверными, измерения прекращают до выявления и устранения причин, вызвавших нарушение нормального хода анализа.
Расхождение двух средних результатов анализа, выполненных в различных условиях (например, при внутрилабораторном контроле воспроизводимости), не должно превышать (при доверительной вероятности 0,95) значения

, приведенного в таблице.
2. ФОТОМЕТРИЧЕСКИЙ МЕТОД ОПРЕДЕЛЕНИЯ ХРОМА
2.1. Метод основан на окислении дифенилкарбазида хромом (VI) в сернокислой среде до окрашенного в красно-фиолетовый цвет соединения и измерении оптической плотности окрашенного раствора при длине волны 546 нм.
Влияние Fe (III) устраняют прибавлением фосфорной кислоты. При определении хрома в стали и чугуне с массовой долей марганца более 1% и при определении хрома менее 0,1% железо, марганец и другие элементы, мешающие анализу, отделяют осаждением углекислым натрием.
2.2. Аппаратура и реактивы
Фотоэлектроколориметр или спектрофотометр.
Смесь кислот: 150 см3 серной кислоты осторожно вливают в 700 см3 воды, после охлаждения приливают 150 см3 фосфорной кислоты.
Серебро азотнокислое по
ГОСТ 1277-75, раствор с массовой концентрацией 2 г/дм3; хранить в посуде из темного стекла.
Аммоний надсернокислый по
ГОСТ 20478-75, раствор с массовой концентрацией 200 г/дм3.
1,5-Дифенилкарбазид по ГОСТ 5859-78, раствор с массовой концентрацией 1 г/дм3: 0,1 г растворяют в 10 см3 уксусной кислоты, приливают 50 см3 этилового спирта и доливают до 100 см3 водой.
Натрий углекислый по
ГОСТ 83-79, раствор с массовой концентрацией 300 г/дм3.
Калий марганцовокислый по
ГОСТ 20490-75, раствор с массовой концентрацией 10 г/дм3.
Стандартные растворы хрома.
Раствор А: 0,2829 г высушенного при 140 °С до постоянной массы двухромовокислого калия растворяют в 250 см3 воды в мерной колбе вместимостью 1 дм3, доливают до метки водой и тщательно перемешивают.
1 см3 раствора А содержит 0,0001 г хрома. Срок хранения раствора 3 месяца.
Раствор Б: 50 см3 раствора А помещают в мерную колбу вместимостью 100 см3, доливают до метки водой и перемешивают.
1 см3 раствора Б содержит 0,00005 г хрома; (готовят непосредственно перед применением).
Раствор В: 10 см3 раствора Б помещают в мерную колбу вместимостью 100 см3, доливают до метки водой и перемешивают.
1 см3 раствора В содержит 0,000005 г хрома.
2.3. Проведение анализа
2.3.1. Без отделения углекислым натрием (при массовой доле хрома от 0,1 до 0,5%)
2.3.1.1. Навеску стали или чугуна массой 0,1 г помещают в коническую колбу вместимостью 100 см3, приливают 20 см3 смеси кислот, накрывают часовым стеклом и растворяют при умеренном нагревании. Затем обмывают стекло над колбой небольшим количеством воды, приливают по каплям азотную кислоту до прекращения вспенивания раствора, кипятят до удаления окислов азота и охлаждают.
Если есть осадок (графит, кремниевая кислота), раствор отфильтровывают через фильтр "белая лента" и промывают 5 - 6 раз горячей водой, собирая фильтрат и промывные воды. Фильтр с осадком отбрасывают, а фильтрат выпаривают до объема 50 - 60 см3. В охлажденный раствор приливают 5 см3 раствора азотнокислого серебра и 10 см3 раствора надсернокислого аммония, постепенно нагревают до появления розовой окраски и кипятят до полного разрушения надсернокислого аммония. Затем раствор охлаждают, переводят в мерную колбу вместимостью 100 см3 доливают до метки водой и перемешивают.
В мерную колбу вместимостью 100 см3 помещают аликвотную часть раствора 10 см3, приливают 2 см3 фосфорной кислоты (1:2), 15 см3 воды и 5 см3 раствора дифенилкарбазида, доливают до метки водой, перемешивают и немедленно измеряют оптическую плотность окрашенного раствора на спектрофотометре при длине волны 546 нм или фотоэлектроколориметре со светофильтром, имеющим максимум пропускания в интервале 530 - 550 нм. Если в пробе содержится ванадий, величину оптической плотности измеряют через 10 - 15 мин. Вследствие малой устойчивости комплекса одновременно приготавливают 4 - 5 проб. Для приготовления раствора сравнения в мерную колбу вместимостью 100 см3 помещают 20 см3 воды, 2 см3 смеси кислот, 5 см3 раствора дифенилкарбазида, доливают до метки водой и перемешивают. Из значений оптической плотности анализируемых растворов вычитают значения оптической плотности раствора контрольного опыта.
Результаты анализа вычисляют по градуировочному графику или методом сравнения со стандартным образцом, близким по составу к анализируемой пробе и проведенным через все стадии анализа.
2.3.1.2. Построение градуировочного графика
В шесть конических колб вместимостью 100 см3 помещают по 0,1 г карбонильного железа. В пять из них добавляют последовательно 1, 2, 5, 10, 12 см3 стандартного раствора Б, что соответствует 0,00005; 0,00010; 0,00025; 0,00050; 0,00060 г хрома. Шестая навеска служит для проведения контрольного опыта. Во все колбы приливают по 20 см3 смеси кислот и далее поступают, как приведено в
п. 2.3.1.1.
По найденным значениям оптической плотности и соответствующим им значениям массы хрома строят градуировочный график.
Допускается построение градуировочного графика в координатах; оптическая плотность - массовая доля хрома.
2.3.1.3. Обработка результатов
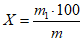
Массовую долю хрома (X) в процентах вычисляют по формуле

,
где

- масса хрома, найденная по градуировочному графику, г;
m - масса навески пробы, г.
2.3.2. С отделением углекислым натрием (при массовой доле хрома от 0,01 до 0,50%).
2.3.2.1. Навеску стали или чугуна массой 0,2 г (при массовой доле хрома 0,01 - 0,10%) или 0,1 г (при массовой доле хрома выше 0,10%) помещают в стакан вместимостью 200 см3, приливают 20 см3 серной кислоты (1:4), растворяют при умеренном нагревании. Затем приливают по каплям азотную кислоту до прекращения вспенивания раствора и избыток 1 - 2 см3. Раствор кипятят до удаления окислов азота и выпаривают до появления паров серной кислоты. После охлаждения раствора приливают 25 - 30 см3 воды и нагревают до растворения солей. В горячий раствор приливают 2 см3 раствора марганцовокислого калия, кипятят до полного выпадения осадка двуоксида марганца и приливают 15 см3 воды. Затем осторожно, небольшими порциями, при перемешивании приливают 30 см3 раствора углекислого натрия и выдерживают на теплой плите 20 - 30 мин.
Раствор с осадком охлаждают, переносят в мерную колбу вместимостью 100 см3, доливают до метки водой и перемешивают. Часть раствора отфильтровывают через сухой фильтр "белая лента" в сухую колбу, отбрасывая первые порции фильтрата.
Аликвотную часть раствора 50 см3 (при массовой доле хрома 0,01 - 0,03%), 20 см3 (при массовой доле хрома 0,03 - 0,10%) и 10 см3 (при массовой доле хрома свыше 0,10%) помещают в мерную колбу вместимостью 100 см3, приливают 3 см3 серной кислоты (1:4), раствор охлаждают, приливают 5 см3 раствора дифенилкарбазида, перемешивают, доливают водой до метки и вновь перемешивают.
Через 5 мин измеряют величину оптической плотности раствора на спектрофотометре при длине волны 546 нм или на фотоэлектроколориметре со светофильтром, имеющим максимум пропускания в интервале длин волн 530 - 550 нм. Если в пробе содержится ванадий, величину оптической плотности измеряют через 10 - 15 мин одновременно по 3 - 4 пробы. В качестве раствора сравнения применяют воду.
Из значений оптической плотности анализируемых растворов вычитают значение оптической плотности раствора контрольного опыта.
Результаты анализа вычисляют по градуировочному графику или методом сравнения со стандартным образцом, близким по составу к анализируемой пробе и проведенным через все стадии анализа.
2.3.2.2. Построение градуировочного графика
В семь мерных колб вместимостью 100 см3 приливают последовательно 1, 2, 4, 6, 8, 10, 12 см3 стандартного раствора В, что соответствует 0,000005; 0,000010; 0,000020; 0,000030; 0,000040; 0,000050; 0,000060 г хрома. В каждую колбу приливают 3 см3 серной кислоты (1:4), 5 см3 раствора дифенилкарбазида, перемешивают, доливают до метки водой и вновь перемешивают. Через 5 мин измеряют оптическую плотность раствора на спектрофотометре при длине волны 546 нм или на фотоэлектроколориметре со светофильтром, имеющим максимум пропускания в интервале длин волн 530 - 550 нм.
Для приготовления раствора сравнения в мерную колбу вместимостью 100 см3 приливают 25 - 30 см3 воды, 3 см3 серной кислоты (1:4) и 5 см3 дифенилкарбазида, перемешивая раствор после прибавления каждого реактива. Раствор доливают водой до метки и перемешивают.
По найденным величинам оптической плотности и соответствующим им значениям массы хрома строят градуировочный график.
Допускается построение градуировочного графика в координатах: оптическая плотность - массовая доля хрома.
2.4. Обработка результатов
2.4.1. Массовую долю хрома (

) в процентах вычисляют по формуле

,
где

- масса хрома, найденная по градуировочному графику, г;
m - масса навески пробы, соответствующая аликвотной части раствора, г.
2.4.2. Нормы точности и нормативы контроля точности определения массовой доли хрома приведены в
таблице.
3. ТИТРИМЕТРИЧЕСКИЙ МЕТОД
3.1. Метод основан на окислении хрома (III) надсернокислым аммонием до хрома (VI) в сернокислой среде в присутствии азотнокислого серебра. Хромовую кислоту восстанавливают раствором соли железа (II) и устанавливают конечную точку титрования потенциометрически или визуально. В последнем случае избыток Fe (II) оттитровывают раствором марганцовокислого калия.
3.2. Аппаратура и реактивы
Установка для потенциометрического титрования: два электрода - индикаторный (платиновый) и электрод сравнения (каломельный, хлорсеребряный или вольфрамовый); магнитная или механическая мешалка; милливольтметр постоянного тока или рН-метр, позволяющие четко фиксировать скачок потенциала в конечной точке при титровании с выбранной парой электродов. При необходимости к прибору последовательно подключают переменное сопротивление, которое позволяет проводить измерения в пределах шкалы прибора.
Смесь кислот: 160 см3 серной кислоты вливают осторожно в 760 см3 воды, охлаждают и приливают 80 см3 ортофосфорной кислоты.
Серебро азотнокислое по
ГОСТ 1277-75, раствор с массовой концентрацией 2 г/дм3; хранят в посуде из темного стекла.
Аммоний надсернокислый по
ГОСТ 20478-75, раствор с массовой концентрацией 100 г/дм3, свежеприготовленный.
Натрий хлористый по
ГОСТ 4233-77, раствор с массовой концентрацией 50 г/дм3.
Марганец (II) сернокислый 5-водный по
ГОСТ 435-77, раствор с массовой концентрацией 5 г/дм3.
Мочевина по
ГОСТ 6691-77; свежеприготовленный раствор с массовой концентрацией 100 г/дм3.
Натрий азотнокислый по
ГОСТ 4197-74, раствор с массовой концентрацией 20 г/дм3.
Соль закиси железа и аммония двойная сернокислая (соль Мора) по
ГОСТ 4208-72, раствор с массовой концентрацией эквивалента 0,02 моль/дм3: 7,84 г соли Мора растворяют в 1 дм3 серной кислоты (5:95).
Массовую концентрацию раствора соли Мора (Т) устанавливают по стандартному раствору хрома (VI) или по навеске безводного двухромовокислого калия, высушенного при 150 °С до постоянной массы. Навеску двухромовокислого калия массой 0,1000 г растворяют в 150 дм3 воды в мерной колбе вместимостью 250 см3 и доливают до метки водой. Аликвотную часть 20 см3 помещают в стакан вместимостью 400 см3, приливают 20 см3 серной кислоты 1:1,5 см3 фосфорной кислоты и перемешивают. В стакан с раствором погружают электроды, включают мешалку и быстро приливают раствор соли Мора до получения слабо-желтой окраски. Затем раствор соли Мора прибавляют медленно по каплям, записывая объем раствора в бюретке и показания прибора после прибавления каждой капли раствора. Объем раствора в бюретке, соответствующий максимальному изменению показаний прибора, принимают за объем, израсходованный на титрование.
Массовую концентрацию раствора соли Мора (Т), выраженную в граммах хрома на 1 см3 раствора, вычисляют по формуле

,
где m - масса навески двухромовокислого калия, соответствующая аликвотной части, г;
0,3535 - коэффициент пересчета двухромовокислого калия на хром;
V - объем раствора соли Мора, израсходованный на титрование, см3.
Калий марганцовокислый по
ГОСТ 20490-75, стандартный раствор с массовой концентрацией эквивалента 0,02 моль/дм3: 0,63 г марганцовокислого калия растворяют в 1 дм3 воды, раствор переносят в склянку из темного стекла, закрывают притертой пробкой, тщательно перемешивают и оставляют на 7 - 10 суток.
Раствор фильтруют через прокаленный асбест или воронку с пористой пластинкой или осторожно сливают сифоном в сосуд из темного стекла. Раствор хранят в этом сосуде, снабженном сифонной трубкой, которую непосредственно соединяют с бюреткой.
Массовую концентрацию раствора (T) устанавливают по безводному щавелевокислому натрию, высушенному до постоянной массы при 110 °С.
Навеску щавелевокислого натрия массой 0,1 г растворяют при нагревании в 50 см3 воды, прибавляют 15 см3 серной кислоты (1:1), нагревают до 70 - 80 °С и титруют раствором марганцовокислого калия до появления устойчивой розовой окраски.
Массовую концентрацию раствора марганцовокислого калия, выраженную в г хрома на 1 см3 раствора, вычисляют по формуле

,
где 0,259 - коэффициент пересчета щавелевокислого натрия на хром;
m - масса навески щавелевокислого натрия, г;
V - объем раствора марганцовокислого калия, израсходованный на титрование, см3.
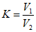
Устанавливают соотношение (K) объемов растворов соли Мора и марганцовокислого калия: в коническую колбу вместимостью 500 см3, приливают из бюретки 25 см3 раствора соли Мора, прибавляют 250 см3 воды, 60 см3 смеси кислот и титруют раствором марганцовокислого калия до устойчивой в течение 2 - 3 мин слабо-розовой окраски.
Соотношение вычисляют по формуле

,
где

- объем раствора марганцовокислого калия, израсходованный на титрование раствора соли Мора, см3;

- объем раствора соли Мора, взятый для титрования, см3.
Соотношение устанавливают три раза и берут среднее значение.
3.3. Проведение анализа
3.3.1. Навеску стали или чугуна массой 2 г (при массовой доле хрома от 0,1 до 0,3%) и 1 г (при массовой доле хрома от 0,3 до 0,5%) помещают в коническую колбу или стакан вместимостью 500 - 600 см3 и растворяют в 60 см3 смеси кислот. После полного растворения прибавляют по каплям азотную кислоту до прекращения вспенивания и кипятят до полного разрушения карбидов и удаления окислов азота. При анализе чугуна графит и частично выпавшую кремниевую кислоту отфильтровывают и промывают фильтр с осадком 5 - 6 раз горячей водой, собирая фильтрат и промывные воды в колбу или стакан вместимостью 500 - 600 см3.
При анализе стали или чугуна с массовой долей марганца менее 0,1% к раствору прибавляют 1 см3 раствора сернокислого марганца.
Раствор разбавляют горячей водой до объема 200 - 250 см3, приливают 10 см3 раствора азотнокислого серебра, 20 см3 раствора надсернокислого аммония и нагревают до кипения. Появление малиновой окраски образующейся марганцовой кислоты свидетельствует о полном окислении хрома до шестивалентного. Раствор кипятят до разрушения надсернокислого аммония, приливают 5 см3 раствора хлористого натрия и продолжают кипячение до исчезновения малиновой и появления желтой окраски. Если раствор с осадком приобретает бурый цвет, необходимо добавить 1 - 2 см3 раствора хлористого натрия и продолжать кипячение до получения чистой желтой окраски. Раствор охлаждают в проточной воде до комнатной температуры, перемешивают и титруют (см. пп. 3.3.2 и 3.3.3).
3.3.2. Визуальное титрование
К раствору прибавляют из бюретки при непрерывном перемешивании раствор соли Мора до перехода окраски из желтой в зеленую и избыток 7 - 10 см3. Избыток раствора соли Мора сразу же оттитровывают раствором марганцовокислого калия до появления устойчивой (в течение 2 - 3 мин) розовой окраски.
3.3.3. Потенциометрическое титрование
В стакан с испытуемым раствором погружают электроды, включают мешалку и приливают раствор соли Мора вначале быстро до получения слабо-желтой окраски, затем медленно по каплям до получения скачка потенциала.
В присутствии ванадия вначале оттитровывают сумму хрома и ванадия, затем прибавляют по каплям раствор марганцовокислого калия с массовой концентрацией 20 г/дм3 до появления розовой окраски, устойчивой в течение 2 мин. Избыток марганцовокислого калия восстанавливают 1 - 2 каплями раствора азотистокислого натрия до исчезновения розовой окраски, прибавляют 20 см3 раствора мочевины, 25 см3 серной кислоты (1:1) (при этом стрелка милливольтметра возвращается в исходное положение) и титруют раствором соли Мора, прибавляя по каплям, как приведено выше. Разность в объемах раствора в бюретке между первым и вторым титрованием принимают за объем, израсходованный на титрование хрома.
3.4. Обработка результатов
3.4.1. При визуальном титровании массовую долю хрома (

) в процентах вычисляют по формуле

,
где Т - массовая концентрация марганцовокислого калия, выраженная в г хрома на 1 см3 раствора;
V - объем раствора соли Мора, взятый для титрования, см3;
K - соотношение между растворами соли Мора и марганцовокислого калия;

- объем раствора марганцовокислого калия, израсходованный на титрование, см3;
m - масса навески пробы, г.
3.4.2. При потенциометрическом титровании массовую долю хрома (

) в процентах вычисляют по формуле:

,
где Т - массовая концентрация раствора соли Мора, выраженная в г хрома на 1 см3 раствора;
V - объем раствора соли Мора, израсходованный на титрование, см3;
m - масса навески пробы, г.
Массовую долю хрома (

) в процентах в стали и чугуне, содержащих ванадий, вычисляют по формуле

,
где V - объем раствора соли Мора, израсходованный на титрование хрома и ванадия, см3;

- объем раствора соли Мора, израсходованный на титрование ванадия, см3;
Т - массовая концентрация соли Мора, выраженная в г хрома;
m - масса навески пробы, г.
3.4.3. Нормы точности и нормативы контроля точности определения массовой доли хрома приведены в
таблице.
Метод применяют при разногласиях в оценке качества углеродистой стали и нелегированного чугуна.
4. АТОМНО-АБСОРБЦИОННЫЙ МЕТОД ОПРЕДЕЛЕНИЯ ХРОМА
4.1. Сущность метода
Метод основан на измерении степени поглощения резонансного излучения свободными атомами хрома, образующимися в результате распыления анализируемого раствора в пламени воздух - ацетилен или закись азота - ацетилен.
4.2. Аппаратура и реактивы
Атомно-абсорбционный пламенный спектрофотометр.
Лампа с полым катодом для определения хрома.
Закись азота.
Компрессор, обеспечивающий подачу сжатого воздуха, или баллон со сжатым воздухом.
Хром металлический марки Х99А, Х99Б, Х98,5, Х99А(Ч), Х99Б(Ч), Х98,5(Ч) по
ГОСТ 5905-79.
Стандартные растворы хрома.
Раствор А: 2,8290 г высушенного при 140 °С до постоянной массы двухромовокислого калия растворяют в 250 см3 раствора соляной кислоты (50 г/дм3) в мерной колбе вместимостью 1 дм3, доливают до метки раствором соляной кислоты и перемешивают. Раствор А можно приготовить из металлического хрома. 1 г металлического хрома растворяют при нагревании в 20 см3 соляной кислоты, осторожно по каплям прибавляют 1 - 2 см3 азотной кислоты и кипятят до удаления окислов азота. Раствор охлаждают, переносят в мерную колбу вместимостью 1 дм3, доливают до метки водой и перемешивают. 1 см3 раствора А содержит 0,001 г хрома.
Раствор Б: 50 см3 раствора А помещают в мерную колбу вместимостью 1 дм3, доливают до метки водой и перемешивают. 1 см3 раствора Б содержит 0,00005 г хрома.
Аммоний хлористый по
ГОСТ 3773-72, раствор с массовой концентрацией 50 г/дм3.
Железо карбонильное радиотехническое по
ГОСТ 13610-79 и раствор с массовой концентрацией 50 г/дм3: 50 г карбонильного железа растворяют в 400 см3 соляной кислоты (1:1), затем прибавляют по каплям азотную кислоту до окончания вспенивания, упаривают до влажных солей, прибавляют 40 - 50 см3 соляной кислоты и снова упаривают до влажных солей. Эту операцию повторяют еще раз. Соли растворяют в 100 см3 соляной кислоты (1:1), охлаждают, переводят в мерную колбу вместимостью 1 дм3, доводят до метки водой, перемешивают и фильтруют раствор через фильтр средней плотности.
4.3. Подготовка прибора
Подготовку прибора к анализу проводят в соответствии с прилагаемой к нему инструкцией. Настраивают спектрофотометр на резонансную линию 357,9 нм. После включения подачи газа и зажигания горелки распыляют воду в пламени и устанавливают нулевое показание прибора.
4.4. Проведение анализа
4.4.1. Навеску стали или чугуна массой 1 г (при массовой доле хрома от 0,01 до 0,10%) или 0,5 г (при массовой доле хрома от 0,1 до 0,2%), или 0,2 г (при массовой доле хрома от 0,2 до 0,5%) помещают в стакан вместимостью 100 см3 и растворяют при нагревании в 15 см3 соляной кислоты и 5 см3 азотной кислоты. Раствор выпаривают досуха, охлаждают, приливают 5 см3 соляной кислоты, 30 см3 воды и нагревают до растворения солей. Охлажденный раствор переводят в мерную колбу вместимостью 100 см3, приливают 10 см3 раствора хлористого аммония, доливают до метки водой и перемешивают. Раствор фильтруют через сухой фильтр "белая лента", отбрасывая первые две порции фильтрата.
Для приготовления раствора контрольного опыта в мерную колбу вместимостью 100 см3 приливают все реактивы, используемые в анализе. Распыляют в пламени раствор контрольного опыта, а затем анализируемые растворы в порядке увеличения массовой доли хрома до получения стабильных показаний для каждого раствора.
Перед введением в пламя каждого анализируемого раствора распыляют воду для промывания системы и проверки нулевой точки.
Из среднего значения абсорбции каждого из анализируемых растворов вычитают среднее значение абсорбции контрольного опыта.
Массу хрома находят по градуировочному графику.
4.4.2. Построение градуировочного графика
В семь мерных колб вместимостью 100 см3 помещают по 20, или 10 или 4 см3 раствора карбонильного железа (в зависимости от навески стали или чугуна), приливают в шесть из них последовательно 1,0; 3,0; 5,0; 10,0; 15,0; 25,0 см3 стандартного раствора Б, что соответствует 0,00005, 0,00015; 0,00025; 0,00050; 0,00075; 0,00125 г хрома, приливают 10 см3 раствора хлористого аммония, доливают водой до метки и перемешивают. Дальнейший ход анализа проводят, как приведено в
п. 4.4.1. Седьмая колба служит для проведения контрольного опыта.
По найденным значениям абсорбции растворов и соответствующим им значениям массы хрома строят градуировочный график.
4.5. Обработка результатов
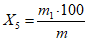
4.5.1. Массовую долю хрома (

) в процентах вычисляют по формуле

,
где

- масса хрома, найденная по градуировочному графику, г;
m - масса навески пробы, г.
4.5.2. Нормы точности и нормативы контроля точности определения массовой доли хрома приведены в
таблице.