Главная // Актуальные документы // ГОСТ (Государственный стандарт)СПРАВКА
Источник публикации
М.: Издательство стандартов, 1990
Примечание к документу
Действие данного документа, утратившего силу с 01.01.2008 в связи в связи с изданием
Приказа Ростехрегулирования от 27.12.2006 N 364-ст, восстановлено на территории Российской Федерации с 01.09.2023 только в отношении продукции, поставляемой по Государственному оборонному заказу (
Приказ Росстандарта от 15.08.2023 N 646-ст).
Документ утратил силу на территории Российской Федерации с 1 января 2008 года в связи с изданием
Приказа Ростехрегулирования от 27.12.2006 N 364-ст. Взамен введен в действие
ГОСТ Р 52627-2006.
С 1 июля 2003 года до вступления в силу технических регламентов акты федеральных органов исполнительной власти в сфере технического регулирования носят рекомендательный характер и подлежат обязательному исполнению только в части, соответствующей целям, указанным в
пункте 1 статьи 46 Федерального закона от 27.12.2002 N 184-ФЗ.
Ограничение срока действия снято по Протоколу N 3-93 Межгосударственного совета по стандартизации, метрологии и сертификации ("ИУС", N 5 - 6, 1993).
Документ
введен в действие с 1 января 1989 года.
Взамен ГОСТ 1759-70 (в части механических свойств и методов испытаний болтов, винтов и шпилек).
Название документа
"ГОСТ 1759.4-87 (ИСО 898/1-78). Государственный стандарт Союза ССР. Болты, винты и шпильки. Механические свойства и методы испытаний"
(утв. Постановлением Госстандарта СССР от 30.12.1987 N 5112)
(ред. от 01.11.1989)
"ГОСТ 1759.4-87 (ИСО 898/1-78). Государственный стандарт Союза ССР. Болты, винты и шпильки. Механические свойства и методы испытаний"
(утв. Постановлением Госстандарта СССР от 30.12.1987 N 5112)
(ред. от 01.11.1989)
Утвержден и введен в действие
Постановлением Госстандарта СССР
от 30 декабря 1987 г. N 5112
ГОСУДАРСТВЕННЫЙ СТАНДАРТ СОЮЗА ССР
БОЛТЫ, ВИНТЫ И ШПИЛЬКИ
МЕХАНИЧЕСКИЕ СВОЙСТВА И МЕТОДЫ ИСПЫТАНИЙ
Bolts, screws and studs.
Mechanical properties and test methods
ГОСТ 1759.4-87
(ИСО 898/1-78)
| | Список изменяющих документов (в ред. Изменения N 1, утв. в ноябре 1989 г.) | |
ОКП 128200; 128400
Срок действия
с 1 января 1989 года
до 1 января 1994 года
1. Разработан и внесен Министерством черной металлургии СССР.
Разработчики: Б.М. Ригмант, Н.Г. Андреева, Т.Е. Юрченко.
2. Утвержден и введен в действие Постановлением Государственного комитета СССР по стандартам от 30.12.1987 N 5112.
3. Срок проверки - 1993 г.
4. Стандарт полностью соответствует международному стандарту ИСО 898/1-78.
5. Взамен ГОСТ 1759-70 (в части механических свойств и методов испытаний болтов, винтов и шпилек).
6. Ссылочные нормативно-технические документы
─────────────────────────────┬────────────────────────────────────
Обозначения НТД, на который │Номер пункта, подпункта, приложения
дана ссылка │
─────────────────────────────┼────────────────────────────────────
ГОСТ 24705-81 │Вводная часть
7. Переиздание (октябрь 1990 г.) с Изменениям N 1, утвержденным в ноябре 1989 г. (ИУС 2-90).
Настоящий стандарт распространяется на болты, винты и шпильки из углеродистых нелегированных или легированных сталей с метрической резьбой - по ГОСТ 24705-81 диаметром от 1 до 48 мм.
Стандарт не распространяется на установочные винты и аналогичные им резьбовые крепежные изделия, а также на болты, винты и шпильки, к которым предъявляются специальные требования, такие как свариваемость, коррозионная стойкость, работоспособность при температурах выше плюс 300 °C (для автоматной стали - плюс 250 °C) и ниже минус 50 °C.
Система обозначений классов прочности болтов, винтов и шпилек приведена в
табл. 1.
По оси абсцисс дано номинальное значение временного сопротивления

в Н/мм2;
по оси ординат - относительное удлинение

в %.
Обозначение класса прочности состоит из двух цифр:
первая соответствует

номинального значения временного сопротивления разрыву в Н/мм2;
вторая соответствует

отношения номинального значения предела текучести к временному сопротивлению в процентах. Произведение указанных двух цифр соответствует

номинального значения предела текучести в Н/мм2.
Минимальный (или условный) предел текучести и минимальное временное сопротивление равны или больше их номинальных значений.
───────────────────────┬───┬───┬───┬───┬───┬───┬───┬───┬───┬───┬───┬───┬───
Номинальное временное│ │ │ │ │ │ │ │ │ │ │ │ │
сопротивление сигма ,│ 300 400 500 600 700 800 900 1000 1200 1400
в │ │ │ │ │ │ │ │ │ │ │ │ │
Н/мм2 │ │ │ │ │ │ │ │ │ │ │ │ │
───────────────────────┼───┼───┼───┼───┼───┼───┼───┼───┼───┼───┼───┼───┼───
Минимальное 7│ │ │ │ │ │ │ │ │ │ │ │ │
относительное ├───┼───┼───┼───┼───┼───┼───┼───┼───┼───┼───┼───┼───
удлинение 8│ │ │ │ │ │ │ │ │ │ │ │ │
дельта в % ├───┼───┼───┼───┼───┴───┼───┼───┼───┼───┼───┴───┼───
5 9│ │ │ │ │ 6.8 │ │ │ │ │ 12.9 │
├───┼───┼───┼───┼───┬───┼───┼───┼───┴───┼───┬───┼───
10│ │ │ │ │ │ │ │ │ 10.9 │ │ │
├───┼───┼───┼───┴───┼───┼───┼───┴───┬───┼───┼───┼───
│ │ │ │ 5.8 │ │ │9.8
<*>│ │ │ │
├───┼───┼───┼───┬───┼───┼───┼───┬───┼───┼───┼───┼───
12│ │ │ │ │ │ │ │ │ │ │ │ │
├───┼───┼───┼───┼───┼───┼───┴───┼───┼───┼───┼───┼───
│ │ │ │ │ │ │ 8.8 │ │ │ │ │
├───┼───┼───┼───┼───┼───┼───┬───┼───┼───┼───┼───┼───
14│ │ │ │ │ │ │ │ │ │ │ │ │
├───┼───┼───┴───┼───┼───┼───┼───┼───┼───┼───┼───┼───
│ │ │ 4.8 │ │ │ │ │ │ │ │ │
├───┼───┼───┬───┼───┼───┼───┼───┼───┼───┼───┼───┼───
16│ │ │ │ │ │ │ │ │ │ │ │ │
├───┼───┼───┼───┼───┼───┼───┼───┼───┼───┼───┼───┼───
│ │ │ │ │ │ │ │ │ │ │ │ │
├───┼───┼───┼───┼───┴───┼───┼───┼───┼───┼───┼───┼───
18│ │ │ │ │ 6.6 │ │ │ │ │ │ │
├───┼───┼───┼───┼───┬───┼───┼───┼───┼───┼───┼───┼───
│ │ │ │ │ │ │ │ │ │ │ │ │
├───┼───┼───┼───┼───┼───┼───┼───┼───┼───┼───┼───┼───
20│ │ │ │ │ │ │ │ │ │ │ │ │
├───┼───┼───┼───┴───┼───┼───┼───┼───┼───┼───┼───┼───
22│ │ │ │ 5.6 │ │ │ │ │ │ │ │
├───┼───┼───┴───┬───┼───┼───┼───┼───┼───┼───┼───┼───
25│ │ │ 4.6 │ │ │ │ │ │ │ │ │
├───┼───┴───┬───┼───┼───┼───┼───┼───┼───┼───┼───┼───
30│ │ 3.6 │ │ │ │ │ │ │ │ │ │
├───┼───┬───┼───┼───┼───┼───┼───┼───┼───┼───┼───┼───
│ │ │ │ │ │ │ │ │ │ │ │ │
───────────────────────┴───┴───┴───┴───┴───┴───┴───┴───┴───┴───┴───┴───┴───
Отношение предела текучести к временному сопротивлению
───────────────────────────────────────────────────┬───────┬───────┬───────
Номинальный предел текучести сигма │ 60 │ 80 │ 90
т │ │ │
──────────────────────────────────────── x 100, % │ │ │
Номинальное временное сопротивление │ │ │
сигма │ │ │
в │ │ │
───────────────────────────────────────────────────┼───────┼───────┼───────
Вторая цифра символа │ .6 │ .8 │ .9
--------------------------------
<*> Применяется только для изделий с диаметром резьбы d <= 16 мм.
Примечание. Не все классы прочности, приведенные в
табл. 1, могут использоваться для всех крепежных изделий. Указание о применении определенных классов прочности для стандартизованных изделий приведены в соответствующих стандартах на эти изделия. Для нестандартизованных изделий рекомендуется делать выбор по аналогии.
(Измененная редакция, Изм. N 1).
В табл. 2 указаны стали для изготовления болтов, винтов и шпилек различных классов прочности и их термообработка.
────────────┬──────────────────────┬──────────────────────────┬────────────
Класс │ Материал и обработка │ Химический состав │Температура
прочности │ │ (контрольный анализ), % │отпуска, °C,
│ ├────────────┬───────┬─────┤ мин
│ │ углерода │фосфора│серы │
│ ├──────┬─────┼───────┼─────┤
│ │ Мин. │Макс.│ Макс. │Макс.│
────────────┼──────────────────────┼──────┼─────┼───────┼─────┼────────────
3.6
<*> │ Углеродистая сталь │ - │0,20 │ 0,05 │0,06 │ -
────────────┤ ├──────┼─────┼───────┼─────┤
4.6
<*> │ │ - │0,55 │ 0,05 │0,06 │
────────────┤ ├──────┼─────┼───────┼─────┤
5.6 │ │ 0,15 │0,55 │ 0,05 │0,06 │
────────────┤ ├──────┼─────┼───────┼─────┤
5.8
<*> │ │ - │0,55 │ 0,05 │0,06 │
6.6 │ │ │ │ │ │
────────────┼──────────────────────┼──────┼─────┼───────┼─────┼────────────
8.8
<**> │ Углеродистая сталь с │ 0,15 │0,40 │ 0,035 │0,035│ 425
│добавками (бор, марга-│
<***> │ │ │ │
│нец или хром) закален-│ │ │ │ │
│ная и отпущенная │ │ │ │ │
────────────┼──────────────────────┼──────┼─────┼───────┼─────┤
8.8
<**> │ Углеродистая сталь │ 0,25 │0,55 │ 0,035 │0,035│
│без добавок закаленная│ │ │ │ │
│и отпущенная │ │ │ │ │
────────────┼──────────────────────┼──────┼─────┼───────┼─────┤
9.8 │ Углеродистая сталь с │ 0,15 │0,35 │ 0,035 │0,035│
│добавками (бор, марга-│
<***> │ │ │ │
│нец или хром) закален-│ │ │ │ │
│ная и отпущенная │ │ │ │ │
├──────────────────────┼──────┼─────┼───────┼─────┤
│ Углеродистая сталь │ 0,25 │0,55 │ 0,035 │0,035│
│без добавок закаленная│ │ │ │ │
│и отпущенная │ │ │ │ │
────────────┼──────────────────────┼──────┼─────┼───────┼─────┼────────────
10.9
<*4> │ Углеродистая сталь с │ 0,15 │0,35 │ 0,035 │0,035│ 340
│добавками (бор, марга-│
<***> │ │ │ │
│нец или хром) закален-│ │ │ │ │
│ная и отпущенная │ │ │ │ │
────────────┼──────────────────────┼──────┼─────┼───────┼─────┼────────────
10.9
<*5> │ Углеродистая сталь │ 0,25 │0,55 │ 0,035 │0,035│ 425
│без добавок закаленная│ │ │ │ │
│и отпущенная │ │ │ │ │
├──────────────────────┼──────┼─────┼───────┼─────┤
│ Углеродистая сталь с │ 0,20 │0,55 │ 0,035 │0,035│
│добавками (бор, марга-│
<***> │ │ │ │
│нец или хром) закален-│ │ │ │ │
│ная и отпущенная │ │ │ │ │
├──────────────────────┼──────┼─────┼───────┼─────┤
│ Легированная сталь │ 0,20 │0,55 │ 0,035 │0,035│
│закаленная и │ │ │ │ │
│отпущенная
<*7> │ │ │ │ │
────────────┼──────────────────────┼──────┼─────┼───────┼─────┼────────────
12.9
<*5>, │ Легированная сталь │ 0,20 │0,50 │ 0,035 │0,035│ 380
<*6> │закаленная и │ │ │ │ │
│отпущенная
<*7> │ │ │ │ │
--------------------------------
<*> Для данных классов прочности допускается применение автоматных сталей с содержанием серы, фосфора и свинца не более 0,34; 0,11; 0,35% соответственно.
<**> Для размеров свыше М20 с целью достижения необходимой прокаливаемости могут применяться стали, рекомендуемые для изделий класса прочности 10.9.
<***> В случае обычной углеродистой стали с добавками бора, с содержанием углерода менее 0,25% (анализ пробы из ковша), минимальное содержание марганца должно быть 0,6% для класса прочности 8.8 и 0,7% для классов прочности 9.8 и 10.9.
<*4> Изделия должны дополнительно маркироваться путем подчеркивания символа класса прочности (см.
ГОСТ 1759.0-87).
<*5> Материалы, предназначенные для этих классов прочности, должны обладать прокаливаемостью, достаточной для получения структуры, содержащей приблизительно 90% мартенсита в сердцевине резьбового участка крепежного изделия в состоянии закалки перед отпуском.
<*6> На крепежных изделиях класса прочности 12.9, подвергаемых действию растягивающих напряжений, не допускается определяемый металлографическим исследованием белый фосфористый налет.
<*7> Легированная сталь должна содержать один или несколько легирующих элементов: хром, никель, молибден или ванадий.
Химический состав сталей обязателен только для тех крепежных изделий, которые не могут быть испытаны на растяжение.
Минимальная температура отпуска, указанная в
табл. 2, обязательна для классов прочности от 8.8 до 12.9.
Допускается применять другие материалы и виды термообработки по соглашению между изготовителем и потребителем, если изготовитель гарантирует выполнение всех механических свойств, предусмотренных настоящим стандартом.
(Измененная редакция, Изм. N 1).
При испытаниях по методам, описанным в
разд. 6, болты, винты и шпильки при комнатной температуре должны иметь механические свойства, указанные в табл. 3 (при повышенных температурах - по
Приложению 2). Рекомендуемые технологические процессы изготовления болтов, винтов и шпилек - по
Приложению 1.
──────┬─────────────────────────┬───────────────────────────────────────────────────────────────────
Номер │ Механические свойства │ Класс прочности
пункта│ ├────┬────┬────┬────┬────┬────┬───┬──────────────┬─────┬─────┬──────
│ │3.6 │4.6 │4.8 │5.6 │5.8 │6.6 │6.8│ 8.8 │9.8 │10.9 │ 12.9
│ │ │ │ │ │ │ │ ├───────┬──────┤
<*> │ │
│ │ │ │ │ │ │ │ │d <= 16│d > 16│ │ │
│ │ │ │ │ │ │ │ │ мм │ мм │ │ │
──────┼────────────────┬────────┼────┼────┴────┼────┴────┼────┴───┼───────┼──────┼─────┼─────┼──────
3.1 │ Временное │Номин. │300 │ 400 │ 500 │ 600 │ 800 │ 800 │ 900 │1000 │ 1200
│сопротивление │ │ │ │ │ │ │ │ │ │
──────┤сигма ├────────┼────┼────┬────┼────┬────┼────────┼───────┼──────┼─────┼─────┼──────
3.2 │ в │Мин. │330 │400 │420 │500 │520 │ 600 │ 800 │ 830 │ 900 │1040 │ 1220
│Н/мм2 │ │ │ │ │ │ │ │ │ │ │ │
──────┼────────────────┼────────┼────┼────┼────┼────┼────┼────────┼───────┼──────┼─────┼─────┼──────
3.3 │ Твердость по │Мин. │ 95 │120 │130 │155 │160 │ 190 │ 250 │ 255 │ 290 │ 320 │ 385
│Виккерсу, HV ├────────┼────┴────┴────┴────┴────┴────────┼───────┼──────┼─────┼─────┼──────
│ │Макс. │ 250 │ 320 │ 335 │ 360 │ 380 │ 435
──────┼────────────────┼────────┼────┬────┬────┬────┬────┬────────┼───────┼──────┼─────┼─────┼──────
3.4 │ Твердость по │Мин. │ 90 │114 │124 │147 │152 │ 181 │ 238 │ 242 │ 276 │ 304 │ 366
│Бринеллю, HB ├────────┼────┴────┴────┴────┴────┴────────┼───────┼──────┼─────┼─────┼──────
│ │Макс. │ 238 │ 304 │ 318 │ 342 │ 361 │ 414
──────┼──────────┬─────┼────────┼────┬────┬────┬────┬────┬────────┼───────┼──────┼─────┼─────┼──────
3.5 │ Твердость│мин. │HRB │ 52 │ 67 │ 71 │ 79 │ 82 │ 89 │ - │ - │ - │ - │ -
│по │ ├────────┼────┼────┼────┼────┼────┼────────┼───────┼──────┼─────┼─────┼──────
│Роквеллу, │ │HRC │ - │ - │ - │ - │ - │ - │ 22 │ 23 │ 28 │ 32 │ 39
│HR │ │ э │ │ │ │ │ │ │ │ │ │ │
│ ├─────┼────────┼────┴────┴────┴────┴────┴────────┼───────┼──────┼─────┼─────┼──────
│ │макс.│HRB │ 99,5 │ - │ - │ - │ - │ -
│ │ ├────────┼─────────────────────────────────┼───────┼──────┼─────┼─────┼──────
│ │ │HRC │ - │ 32 │ 34 │ 37 │ 39 │ 44
│ │ │ э │ │ │ │ │ │
──────┼──────────┴─────┴────────┼─────────────────────────────────┼───────┴──────┴─────┴─────┴──────
3.6 │ Твердость поверхности HV│ - │
<*4>
│0,3 │ │
│ макс │ │
──────┼────────────────┬────────┼────┬────┬────┬────┬────┬────┬───┼───────┬──────┬─────┬─────┬──────
3.7 │ Предел текучес-│Номин. │180 │240 │320 │300 │400 │360 │480│ - │ - │ - │ - │ -
│ти сигма ├────────┼────┼────┼────┼────┼────┼────┼───┼───────┼──────┼─────┼─────┼──────
│ т, │Мин. │190 │240 │340 │300 │420 │360 │480│ - │ - │ - │ - │ -
│
<*5>, Н/мм2 │ │ │ │ │ │ │ │ │ │ │ │ │
──────┼────────────────┼────────┼────┴────┴────┴────┴────┴────┴───┼───────┼──────┼─────┼─────┼──────
3.8 │ Условный предел│Номин. │ - │ 640 │ 640 │ 720 │ 900 │ 1080
│текучести ├────────┼─────────────────────────────────┼───────┼──────┼─────┼─────┼──────
│сигма │Мин. │ - │ 640 │ 660 │ 720 │ 940 │ 1100
│ 0,2, │ │ │ │ │ │ │
│Н/мм2 │ │ │ │ │ │ │
──────┼────────────────┼────────┼────┬────┬────┬────┬────┬────────┼───────┼──────┼─────┼─────┼──────
3.9 │ Напряжение от │сигма /│0,94│0,94│0,91│0,93│0,90│ 0,92 │ 0,91 │ 0,91 │0,90 │0,88 │ 0,88
│пробной │ п │ │ │ │ │ │ │ │ │ │ │
│нагрузки сигма │сигма │ │ │ │ │ │ │ │ │ │ │
│ п │ т │ │ │ │ │ │ │ │ │ │ │
│ │или │ │ │ │ │ │ │ │ │ │ │
│ │сигма │ │ │ │ │ │ │ │ │ │ │
│ │ 0,2│ │ │ │ │ │ │ │ │ │ │
│ ├────────┼────┼────┼────┼────┼────┼────────┼───────┼──────┼─────┼─────┼──────
│ │Н/мм2 │180 │225 │310 │280 │380 │ 440 │ 580 │ 600 │ 650 │ 830 │ 970
──────┼────────────────┼────────┼────┼────┼────┼────┼────┼────┬───┼───────┼──────┼─────┼─────┼──────
3.10 │ Относительное │Мин. │ 25 │ 22 │ 14 │ 20 │ 10 │ 16 │ 8 │ 12 │ 12 │ 10 │ 9 │ 8
│удлинение после │ │ │ │ │ │ │ │ │ │ │ │ │
│разрыва │ │ │ │ │ │ │ │ │ │ │ │ │
│дельта , % │ │ │ │ │ │ │ │ │ │ │ │ │
│ 5 │ │ │ │ │ │ │ │ │ │ │ │ │
──────┼────────────────┴────────┼────┴────┴────┴────┴────┴────┴───┴───────┴──────┴─────┴─────┴──────
3.11 │ Прочность на разрыв на │Прочность на разрыв на косой шайбе целых болтов и винтов (кроме
│косой шайбе
<***> │шпилек) должна быть не меньше минимального значения временного
│ │сопротивления разрыву, указанному в
п. 3.2.
──────┼────────────────┬────────┼──────────────┬────┬────┬────┬───┬───────┬──────┬────┬──────┬──────
3.12 │ Работа удара, │Мин. │ - │ 25 │ - │ 20 │ - │ 30 │ 30 │ 25 │ 20 │ 15
│Дж (Ударная │ │ │(50)│ │(40)│ │ (60) │ (60) │(50)│ (40) │ (30)
│вязкость, │ │ │ │ │ │ │ │ │ │ │
│Дж/см2) │ │ │ │ │ │ │ │ │ │ │
──────┼────────────────┴────────┼──────────────┴────┴────┴────┴───┴───────┴──────┴────┴──────┴──────
3.13 │ Прочность соединения │ Отсутствие трещин под головкой
│головки со стержнем │
──────┼─────────────────────────┼─────────────────────────────────┬───────────────────┬──────┬──────
3.14 │ Минимальная высота не- │ - │ 1/2H │2/3H │3/4H
│обезуглероженной зоны E │ │ 1 │ 1 │ 1
├─────────────────────────┼─────────────────────────────────┼───────────────────┴──────┴──────
│ Максимальная глубина │ - │ 0,015
│полного │ │
│обезуглероживания G, мм │ │
--------------------------------
<*> Только для номинальных диаметров резьбы d <= 16 мм.
<**> Минимальные значения при растяжении относятся к изделиям с номинальной длиной l >= 2,5d. Минимальная твердость относится к изделиям с длиной l < 2,5d и другим изделиям, которые не могут быть подвергнуты испытанию на растяжение (например, из-за конфигурации головки).
<***> При испытании целых болтов, винтов и шпилек должны использоваться нагрузки, указанные в
табл. 6 -
9.
<*4> Твердость поверхности не должна быть более, чем на 30 единиц по Виккерсу выше измеренной твердости сердцевины изделия при проведении измерений при HB 0,3. Для класса прочности 10.9 любое повышение твердости поверхности, при котором твердость будет превышать 390 HB, недопустимо.
<*5> В случаях, когда предел текучести не может быть определен, допускается измерение условного предела текучести.
(Измененная редакция, Изм. N 1).
4. КОНТРОЛЬ МЕХАНИЧЕСКИХ СВОЙСТВ
В
табл. 5 приведены две программы испытаний А и В для контроля механических свойств болтов, винтов и шпилек с использованием методов испытаний, приведенных в
разд. 6.
Программа В является предпочтительной для всех изделий и обязательной для изделий с разрывной нагрузкой менее 500 кН.
Программа А применяется для испытания образцов, полученных механической обработкой, и изделий, площадь сечения стержня которых меньше номинальной площади сечения резьбового участка.
В табл. 4 приведен ключ к программам испытаний (см.
табл. 5).
Таблица 4
| | ИС МЕГАНОРМ: примечание. Символ " " в официальном тексте документа, в электронной версии выделен знаком "x", символ " " в официальном тексте документа, в электронной версии выделен знаком "о". | |
─────────────────────────┬──────────────────────┬──────────────────────────
Размеры │Болты, винты и шпильки│Болты, винты и шпильки с
│ с диаметром резьбы │диаметром резьбы d > 4 мм
│ d <= 4 мм или длиной │ и длиной l >= 2,5d
│ l < 2,5d <*> │
─────────────────────────┼──────────────────────┼──────────────────────────
Испытание, определяющее │ о │ x
приемку │ │
--------------------------------
<*> Также болты и винты со специальной конструкцией головки или стержня, менее прочной, чем резьбовой участок.
| | ИС МЕГАНОРМ: примечание. Символ " " в официальном тексте документа, в электронной версии выделен знаком "x", символ " " в официальном тексте документа, в электронной версии выделен знаком "о". | |
──────┬───────────────────────┬──────────────────────────────┬──────────────────────────────
Группа│ Свойства │ Программа испытаний А │ Программа испытаний В
испы- │ ├──────────────────┬───────────┼──────────────────┬───────────
таний │ │ Метод испытания │ Класс │ Метод испытания │ Класс
│ │ │ прочности │ │ прочности
│ │ ├─────┬─────┤ ├─────┬─────
│ │ │ 3.6 │ 8.8 │ │ 3.6 │ 8.8
│ │ │ 4.6 │ 9.8 │ │ 4.6 │ 9.8
│ │ │ 5.6 │10.9 │ │ 4.8 │10.9
│ │ │ 6.6 │12.9 │ │ 5.6 │12.9
│ │ │ │ │ │ 5.8 │
│ │ │ │ │ │ 6.6 │
│ │ │ │ │ │ 6.8 │
──────┼─────┬─────────────────┼──────────────────┼─────┼─────┼──────────────────┼─────┼─────
I │
3.1 │ Минимальное │
6.1. Испытание │ x │ x │
6.2. Испытание │ x │ x
│и
3.2│временное │на растяжение │ │ │на растяжение
<*> │ │
│ │сопротивление │ │ │ │ │ │
│ │сигма │ │ │ │ │ │
│ │ в │ │ │ │ │ │
├─────┼─────────────────┼──────────────────┼─────┼─────┼──────────────────┼─────┼─────
│
3.3 │ Минимальная │
6.3. Измерение │ о │ о │
6.3. Измерение │ о │ о
│ │твердость
<**> │твердости │ │ │твердости
<***> │ │
├─────┼─────────────────┤ ├─────┼─────┤ ├─────┼─────
│
3.4 │ Максимальная │ │ x │ x │ │ x │ x
│и
3.5│твердость │ │ о │ о │ │ о │ о
├─────┼─────────────────┤ ├─────┼─────┤ ├─────┼─────
│
3.6 │ Максимальная │ │ │ x │ │ │ x
│ │твердость │ │ │ о │ │ │ о
│ │поверхности │ │ │ │ │ │
──────┼─────┼─────────────────┼──────────────────┼─────┼─────┼──────────────────┼─────┼─────
II │
3.7 │ Минимальный │
6.1. Испытание │ x │ │ │ │
│ │предел текучести │на растяжение │ │ │ │ │
│ │сигма │ │ │ │ │ │
│ │ т │ │ │ │ │ │
├─────┼─────────────────┼──────────────────┼─────┼─────┼──────────────────┼─────┼─────
│
3.8 │ Условный предел │
6.1. Испытание │ │ x │ │ │
│ │текучести │на растяжение │ │ │ │ │
│ │сигма │ │ │ │ │ │
│ │ 0,2 │ │ │ │ │ │
├─────┼─────────────────┼──────────────────┼─────┼─────┼──────────────────┼─────┼─────
│
3.9 │ Напряжение от │ │ │ │
6.4. Испытание │ x │ x
│ │пробной нагрузки │ │ │ │пробной нагрузкой │ │
│ │сигма │ │ │ │ │ │
│ │ п │ │ │ │ │ │
──────┼─────┼─────────────────┼──────────────────┼─────┼─────┼──────────────────┼─────┼─────
III │
3.10 │ Минимальное │
6.1. Испытание │ x │ x │ │ │
│ │относительное │на растяжение │ │ │ │ │
│ │удлинение │ │ │ │ │ │
│ │сигма │ │ │ │ │ │
│ │ 5 │ │ │ │ │ │
├─────┼─────────────────┼──────────────────┼─────┼─────┼──────────────────┼─────┼─────
│
3.11 │ Прочность на │ │ │ │
6.5. Испытание │ x │ x
│ │разрыв на косой │ │ │ │на разрыв │ │
│ │шайбе
<*4> │ │ │ │на косой шайбе │ │
──────┼─────┼─────────────────┼──────────────────┼─────┼─────┼──────────────────┼─────┼─────
IV │
3.12 │ Минимальная │
6.6. Испытание на│ x │ x │ │ │
│ │ударная вязкость │ударную вязкость │
<*6> │ │ │ │
├─────┼─────────────────┤ ├─────┼─────┼──────────────────┼─────┼─────
│
3.13 │ Прочность │ │ │ │
6.7. Испытание │ о │ о
│ │соединения │ │ │ │на прочность │ │
│ │головки со │ │ │ │соединения головки│ │
│ │стержнем
<*7> │ │ │ │со стержнем │ │
──────┼─────┼─────────────────┼──────────────────┼─────┼─────┼──────────────────┼─────┼─────
ИС МЕГАНОРМ: примечание.
В официальном тексте документа, видимо, допущена опечатка: пункт 3.15
и пункт 3.16 отсутствуют.
V │
3.14 │ Максимальная │
6.8. Испытание на│ │ x │
6.8. Испытание на│ │ x
│ │зона │обезуглероживание │ │ о │обезуглероживание │ │ о
│ │обезуглероживания│ │ │ │ │ │
├─────┼─────────────────┤ ├─────┼─────┼──────────────────┼─────┼─────
│3.15 │ Минимальная │
6.8а. Испытание │ │ x │
6.8а. Испытание │ │ x
│ │температура │на повторный │ │ о │на повторный │ │ о
│ │отпуска │отпуск │ │ │отпуск │ │
├─────┼─────────────────┼──────────────────┼─────┼─────┼──────────────────┼─────┼─────
│3.16 │ Наличие дефектов│
6.9. Контроль │ x │ x │
6.9. Контроль │ x │ x
│ │поверхности │качества │ о │ о │качества │ о │ о
│ │ │поверхности │ │ │поверхности │ │
--------------------------------
<*> Если испытание на разрыв на косой шайбе дает удовлетворительные результаты, испытание на растяжение не проводят.
<**> Минимальная твердость относится только к изделиям с номинальной длиной l < 2,5d и другим изделиям, которые не могут быть подвергнуты испытанию на растяжение (например из-за конфигурации головки).
<***> Твердость может быть измерена по Виккерсу, Бринеллю или Роквеллу. При разногласиях решающее значение для приемки имеет измерение твердости по Виккерсу.
<*4> Болты и винты со специальной конструкцией головки, менее прочной, чем резьбовой участок, не подвергаются испытанию на разрыв на косой шайбе.
<*5> Только для болтов, винтов и шпилек с диаметром резьбы d >= 16 мм и только по требованию потребителя.
<*6> Только класс прочности 5.6.
<*7> Только для болтов и винтов с диаметром резьбы d <= 16 мм и при длинах, слишком малых для испытания на разрыв на косой шайбе.
(Измененная редакция, Изм. N 1).
5. МИНИМАЛЬНЫЕ РАЗРУШАЮЩИЕ НАГРУЗКИ И ПРОБНЫЕ НАГРУЗКИ
В
табл. 6 и
7 приведены минимальные разрушающие нагрузки и пробные нагрузки для болтов, винтов и шпилек с крупной резьбой.
В
табл. 8 и
9 - для болтов, винтов и шпилек с мелкой резьбой.
Таблица 6
Минимальные разрушающие нагрузки для болтов,
винтов и шпилек с крупной резьбой
──────┬──────┬───────┬─────────────────────────────────────────────────────────────────────────
Номи- │Шаг │Ними- │ Минимальная разрушающая нагрузка, Н, для класса прочности
наль- │резьбы│нальная├──────┬──────┬──────┬──────┬──────┬──────┬───────┬──────┬────────┬───────
ный │P, мм │площадь│ 3.6 │ 4.6 │ 4.8 │ 5.6 │ 5.8 │ 6.6; │ 8.8 │ 9.8 │ 10.9 │ 12.9
диа- │ │сечения│ │ │ │ │ │ 6.8 │ │ │ │
метр │ │A , мм2│ │ │ │ │ │ │ │ │ │
резьбы│ │ s │ │ │ │ │ │ │ │ │ │
d, мм │ │ │ │ │ │ │ │ │ │ │ │
──────┼──────┼───────┼──────┼──────┼──────┼──────┼──────┼──────┼───────┼──────┼────────┼───────
3 │ 0,5 │ 5,03 │ 1660│ 2010│ 2110│ 2510│ 2620│ 3020│ 4020 │ 4530│ 5230 │ 6140
3,5 │ 0,6 │ 6,78 │ 2240│ 2710│ 2850│ 3390│ 3530│ 4070│ 5420 │ 6100│ 7050 │ 8270
4 │ 0,7 │ 8,78 │ 2900│ 3510│ 3690│ 4390│ 4570│ 5270│ 7020 │ 7900│ 9130 │ 10700
5 │ 0,8 │ 14,2 │ 4690│ 5680│ 5960│ 7100│ 7380│ 8520│ 11350│ 12800│ 14800 │ 17300
6 │ 1 │ 20,1 │ 6630│ 8040│ 8440│ 10000│ 10400│ 12100│ 16100│ 18100│ 20900 │ 24500
7 │ 1 │ 28,9 │ 9540│ 11600│ 12100│ 14400│ 15000│ 17300│ 23100│ 26000│ 30100 │ 35300
8 │ 1,25 │ 36,6 │ 12100│ 14600│ 15400│ 18300│ 19000│ 22000│ 29200│ 32900│ 38100 │ 44600
10 │ 1,5 │ 58,0 │ 19100│ 23200│ 24400│ 29000│ 30200│ 34800│ 46400│ 52200│ 60300 │ 70800
12 │ 1,75 │ 84,3 │ 27800│ 33700│ 35400│ 42200│ 43800│ 50600│ 67400│ 75900│ 87700 │ 103000
14 │ 2 │ 115 │ 38000│ 46000│ 48300│ 57500│ 59800│ 69000│ 92000│104000│ 120000 │ 140000
16 │ 2 │ 157 │ 51800│ 62800│ 65900│ 78500│ 81600│ 94000│ 125000│141000│ 163000 │ 192000
18 │ 2,5 │ 192 │ 63400│ 76800│ 80600│ 96000│ 99800│115000│ 159000│ - │ 200000 │ 234000
20 │ 2,5 │ 245 │ 80800│ 98000│103000│122000│127000│147000│ 203000│ - │ 255000 │ 299000
22 │ 2,5 │ 303 │100000│121000│127000│152000│158000│182000│ 252000│ - │ 315000 │ 370000
24 │ 3 │ 353 │116000│141000│148000│176000│184000│212000│ 293000│ - │ 367000 │ 431000
27 │ 3 │ 459 │152000│184000│193000│230000│239000│275000│ 381000│ - │ 477000 │ 560000
30 │ 3,5 │ 561 │185000│224000│236000│280000│292000│337000│ 466000│ - │ 583000 │ 684000
33 │ 3,5 │ 694 │229000│278000│292000│347000│361000│416000│ 576000│ - │ 722000 │ 847000
36 │ 4 │ 817 │270000│327000│343000│408000│425000│490000│ 678000│ - │ 850000 │ 997000
39 │ 4 │ 976 │322000│390000│410000│488000│508000│586000│ 810000│ - │1020000 │1200000
42 │ 4,5 │ 1120 │370000│448000│470000│560000│582000│672000│ 930000│ - │1165000 │1366000
45 │ 4,5 │ 1306 │431000│542000│550000│653000│679000│784000│1084000│ - │1360000 │1590000
48 │ 5,0 │ 1472 │486000│586000│618000│736000│765000│883000│1222000│ - │1531000 │1790000
Таблица 7
Пробные нагрузки для болтов, винтов и шпилек
с крупной резьбой
───────┬──────┬───────┬────────────────────────────────────────────────────────────────────────
Номи- │ Шаг │Номи- │ Пробная нагрузка, Н, для класса прочности
нальный│резьбы│нальная├───────┬──────┬──────┬──────┬──────┬──────┬──────┬──────┬───────┬───────
диаметр│P, мм │площадь│ 3.6 │ 4.6 │ 4.8 │ 5.6 │ 5.8 │ 6.6; │ 8.8 │ 9.8 │ 10.9 │ 12.9
резьбы │ │сечения│ │ │ │ │ │ 6.8 │ │ │ │
d, мм │ │A , мм2│ │ │ │ │ │ │ │ │ │
│ │ s │ │ │ │ │ │ │ │ │ │
───────┼──────┼───────┼───────┼──────┼──────┼──────┼──────┼──────┼──────┼──────┼───────┼───────
3 │ 0,5 │ 5,03 │ 910 │ 1130│ 1560│ 1410│ 1910│ 2210│ 2920│ 3270│ 4180│ 4880
3,5 │ 0,6 │ 6,78 │ 1220 │ 1530│ 2100│ 1900│ 2580│ 2980│ 3940│ 4410│ 5630│ 6580
4 │ 0,7 │ 8,78 │ 1580 │ 1980│ 2720│ 2460│ 3340│ 3860│ 5100│ 5710│ 7290│ 8520
5 │ 0,8 │ 14,2 │ 2560 │ 3200│ 4400│ 3980│ 5400│ 6250│ 8230│ 9230│ 11800│ 13800
6 │ 1 │ 20,1 │ 3620 │ 4520│ 6230│ 5630│ 7640│ 8840│ 11600│ 13100│ 16700│ 19500
7 │ 1 │ 28,9 │ 5200 │ 6500│ 8960│ 8090│ 11000│ 12700│ 16800│ 18800│ 24000│ 28000
8 │ 1,25 │ 36,6 │ 6590 │ 8240│ 11400│ 10200│ 13900│ 16100│ 21200│ 23800│ 30400│ 35500
10 │ 1,5 │ 58,0 │ 10400 │ 13000│ 18000│ 16200│ 22000│ 25500│ 33700│ 37700│ 48100│ 56300
12 │ 1,75 │ 84,3 │ 15200 │ 19000│ 26100│ 23600│ 32000│ 37100│ 48900│ 54800│ 70000│ 81800
14 │ 2 │ 115 │ 20700 │ 25900│ 35600│ 32200│ 43700│ 50600│ 66700│ 74800│ 95500│ 112000
16 │ 2 │ 157 │ 28300 │ 35300│ 48700│ 44000│ 59700│ 69100│ 91000│102000│ 130000│ 152000
18 │ 2,5 │ 192 │ 34600 │ 43200│ 59500│ 53800│ 73000│ 84500│115000│ - │ 159000│ 186000
20 │ 2,5 │ 245 │ 44100 │ 55100│ 76000│ 68600│ 93100│108000│147000│ - │ 203000│ 238000
22 │ 2,5 │ 303 │ 54500 │ 68200│ 93900│ 84800│115000│133000│182000│ - │ 252000│ 294000
24 │ 3 │ 353 │ 63500 │ 79400│109000│ 98800│134000│155000│212000│ - │ 293000│ 342000
27 │ 3 │ 459 │ 82600 │103000│142000│128000│174000│202000│275000│ - │ 381000│ 445000
30 │ 3,5 │ 561 │101000 │126000│174000│157000│213000│247000│337000│ - │ 466000│ 544000
33 │ 3,5 │ 694 │125000 │156000│215000│194000│264000│305000│416000│ - │ 570000│ 673000
36 │ 4 │ 817 │147000 │184000│253000│229000│310000│359000│490000│ - │ 678000│ 792000
39 │ 4 │ 976 │176000 │220000│303000│273000│371000│429000│586000│ - │ 810000│ 947000
42 │ 4,5 │ 1120 │202000 │252000│347000│314000│426000│493000│672000│ - │ 930000│1086000
45 │ 4,5 │ 1306 │235000 │294000│405000│366000│496300│574500│784000│ - │1084000│1267000
48 │ 5,0 │ 1472 │265000 │331000│456000│412000│559000│648000│883000│ - │1222000│1428000
Таблица 8
Минимальные разрушающие нагрузки для болтов,
винтов и шпилек с мелкой резьбой
───────┬──────┬───────┬────────────────────────────────────────────────────────────────────────
Номи- │ Шаг │Номи- │ Минимальная разрушающая нагрузка, Н, для класса прочности
нальный│резьбы│нальная├──────┬──────┬──────┬──────┬──────┬──────┬───────┬──────┬───────┬───────
диаметр│P, мм │площадь│ 3.6 │ 4.6 │ 4.8 │ 5.6 │ 5.8 │ 6.6; │ 8.8 │ 9.8 │ 10.9 │ 12.9
резьбы │ │сечения│ │ │ │ │ │ 6.8 │ │ │ │
d, мм │ │A , мм2│ │ │ │ │ │ │ │ │ │
│ │ s │ │ │ │ │ │ │ │ │ │
───────┼──────┼───────┼──────┼──────┼──────┼──────┼──────┼──────┼───────┼──────┼───────┼───────
8 │ 1 │ 39,2 │ 12900│ 15700│ 16500│ 19600│ 20400│ 23500│ 31360│ 35300│ 40800│ 47800
10 │ 1,25 │ 61,2 │ 20200│ 24500│ 25700│ 30600│ 31800│ 36700│ 49000│ 55100│ 63600│ 74700
12 │ 1,25 │ 92,1 │ 30400│ 36800│ 38700│ 46000│ 47900│ 55300│ 73700│ 82900│ 95800│ 112000
14 │ 1,5 │ 125 │ 41200│ 50000│ 52500│ 62500│ 65000│ 75000│ 100000│112000│ 130000│ 152000
16 │ 1,5 │ 167 │ 55100│ 66800│ 70100│ 83500│ 86800│100000│ 134000│150000│ 174000│ 204000
18 │ 1,5 │ 216 │ 71300│ 86400│ 90700│108000│112000│130000│ 179000│ - │ 225000│ 264000
20 │ 1,5 │ 272 │ 89800│109000│114000│136000│141000│163000│ 226000│ - │ 283000│ 332000
22 │ 1,5 │ 333 │110000│133000│140000│166000│173000│200000│ 276000│ - │ 346000│ 406000
24 │ 2 │ 384 │127000│154000│161000│192000│200000│230000│ 319000│ - │ 399000│ 469000
27 │ 2 │ 496 │164000│194000│208000│248000│258000│298000│ 412000│ - │ 516000│ 605000
30 │ 2 │ 621 │205000│248000│261000│310000│323000│373000│ 515000│ - │ 646000│ 758000
33 │ 2 │ 761 │251000│304000│320000│380000│396000│457000│ 632000│ - │ 791000│ 928000
36 │ 3 │ 865 │285000│346000│363000│432000│450000│519000│ 718000│ - │ 900000│1050000
39 │ 3 │ 1030 │340000│412000│433000│515000│536000│618000│ 855000│ - │1070000│1260000
42 │ 3 │ 1205 │398000│482000│506000│603500│627000│723000│1000000│ - │1253000│1470000
45 │ 3 │ 1400 │462000│560000│588000│700000│728000│840000│1120000│ - │1456000│1708000
48 │ 3 │ 1603 │529000│641000│673000│802000│834000│962000│1330000│ - │1667000│1956000
Таблица 9
Пробные нагрузки для болтов,
винтов и шпилек с мелкой резьбой
────────┬──────┬───────┬───────────────────────────────────────────────────────────────────────
Номи- │ Шаг │Номи- │ Пробная нагрузка, Н, для класса прочности
нальный │резьбы│нальная├──────┬──────┬──────┬──────┬──────┬──────┬──────┬──────┬───────┬───────
диаметр │P, мм │площадь│ 3.6 │ 4.6 │ 4.8 │ 5.6 │ 5.8 │ 6.6; │ 8.8 │ 9.8 │ 10.9 │ 12.9
резьбы │ │сечения│ │ │ │ │ │ 6.8 │ │ │ │
d, мм │ │A , мм2│ │ │ │ │ │ │ │ │ │
│ │ s │ │ │ │ │ │ │ │ │ │
────────┼──────┼───────┼──────┼──────┼──────┼──────┼──────┼──────┼──────┼──────┼───────┼───────
8 │ 1 │ 39,2 │ 7060│ 8820│ 12200│ 11000│ 14900│ 17200│ 22700│ 25500│ 32500│ 38000
10 │ 1,25 │ 61,2 │ 11000│ 13800│ 19000│ 17100│ 23300│ 26900│ 35500│ 39800│ 50800│ 59400
12 │ 1,25 │ 92,1 │ 16600│ 20700│ 28600│ 25800│ 35000│ 40500│ 53400│ 59900│ 76400│ 89300
14 │ 1,5 │ 125 │ 22500│ 28100│ 38800│ 35000│ 47500│ 55000│ 72500│ 81200│ 104000│ 121000
16 │ 1,5 │ 167 │ 30100│ 37600│ 51800│ 46800│ 63500│ 73500│ 96900│109000│ 139000│ 162000
18 │ 1,5 │ 216 │ 38900│ 48600│ 67000│ 60500│ 82100│ 95000│130000│ - │ 179000│ 210000
20 │ 1,5 │ 272 │ 49000│ 61200│ 84300│ 76200│103000│120000│163000│ - │ 226000│ 264000
22 │ 1,5 │ 333 │ 59900│ 74900│103000│ 93200│126000│146000│200000│ - │ 276000│ 323000
24 │ 2 │ 384 │ 69100│ 86400│119000│108000│146000│169000│230000│ - │ 319000│ 372000
27 │ 2 │ 496 │ 89300│112000│154000│139000│188000│218000│298000│ - │ 412000│ 481000
30 │ 2 │ 621 │112000│140000│192000│174000│236000│273000│373000│ - │ 515000│ 602000
33 │ 2 │ 761 │137000│171000│236000│213000│289000│335000│457000│ - │ 632000│ 738000
36 │ 3 │ 865 │156000│195000│268000│242000│329000│381000│519000│ - │ 718000│ 838000
39 │ 3 │ 1030 │185000│232000│319000│288000│391000│453000│618000│ - │ 855000│ 999000
42 │ 3 │ 1205 │217000│271000│374000│337000│458000│530000│723000│ - │1000000│1170000
45 │ 3 │ 1400 │252000│315000│434000│392000│532000│616000│840000│ - │1160000│1360000
48 │ 3 │ 1603 │289000│361000│497000│449000│609000│705000│962000│ - │1330000│1550000
6.1. Испытание на растяжение образцов, выточенных из крепежных изделий
При проведении испытания на растяжение на выточенных образцах определяют следующие механические свойства:
а) временное сопротивление

;
б) предел текучести

или условный предел текучести

;
в) относительное удлинение

.
Образец для испытаний
Для проведения испытания на растяжение применяют образец, показанный на черт. 1.
Черт. 1
d - номинальный диаметр резьбы;

- диаметр образца для испытаний (

менее внутреннего диаметра резьбы);
b - длина резьбы (b >= d);

или

;

- длина цилиндрической части образца

;

- общая длина образца

;

- длина после разрушения;

- площадь поперечного сечения;
R - радиус галтели (R >= 4 мм).
При вытачивании образца из термообработанного болта или винта с диаметром резьбы более 16 мм, допускается уменьшение диаметра стержня не более чем на 25% первоначального диаметра (около 44% площади поперечного сечения).
6.2. Испытание на растяжение целых болтов, винтов и шпилек
Испытание на растяжение целых болтов, винтов и шпилек проводят аналогично испытанию на растяжение выточенных образцов (см.
п. 6.1). Это испытание проводят для определения временного сопротивления. Расчет временного сопротивления выполняют по площади поперечного сечения.

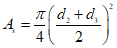
,
где

- средний диаметр резьбы;

- внутренний диаметр резьбы.
При проведении испытания длина нагруженной резьбовой части должна быть равна одному диаметру резьбы. Изделие считают выдержавшим испытание, если разрушение происходит по стержню или резьбе, но не в месте соединения головки со стержнем. Гайка, применяемая при испытании, должна быть высотой не менее 0,8 диаметра резьбы.
Скорость нагружения, определяемая свободно движущимся ползуном, не должна превышать 25 мм/мин. Зажимы разрывной машины должны быть самоцентрирующимися во избежание бокового нагружения образца.
При обычной проверке твердость болтов, винтов и шпилек может определяться на головке, торце или стержне после удаления покрытия и соответствующей подготовки образца.
Для классов прочности 4.8, 5.8 и 6.8 твердость должна определяться только на торце болта, винта и шпильки.
Если твердость превышает максимально допустимое значение, должен быть проведен вторичный замер на поперечном сечении на расстоянии одного диаметра от торца стержня в точке, удаленной от поверхности на величину половины радиуса. В этой точке максимально допустимая твердость не должна быть выше нормы. В сомнительных случаях решающим для приемки является испытание твердости по Виккерсу.
Твердость поверхности измеряют на торцах или гранях шестигранника, которые должны быть слегка отшлифованы или отполированы, чтобы обеспечить необходимую точность результатов измерения.
Решающим испытанием при контроле твердости поверхности является измерение по Виккерсу с нагрузкой 300 г.
Значения твердости поверхности при HB 0,3 должны сравниваться со значениями твердости сердцевины материала при HB 0,3 для реальной оценки и определения относительного превышения до 30 единиц по Виккерсу. Превышение более чем на 30 единиц по Виккерсу указывает на науглероживание.
Для классов прочности 8.8 - 12.9 разность между твердостью сердцевины и твердостью поверхности является решающей для оценки состояния науглероживания в поверхностном слое болта, винта или шпильки. При этом имеется ввиду, что прямой зависимости между твердостью и теоретическим временным сопротивлением может и не быть. Максимальные значения твердости выбирают по другим, не связанным с теоретическими максимальными напряжениями, соображениям (например с целью избежания хрупкости).
Примечание. Следует четко разграничивать повышение твердости, вызванное науглероживанием и повышение твердости в результате термообработки или холодного деформирования поверхности.
6.2, 6.3. (Измененная редакция, Изм. N 1).
6.4. Испытание пробной нагрузкой
Испытание пробной нагрузкой состоит из следующих основных операций:
а) приложение заданной пробной нагрузки (черт. 2);
б) измерение остаточного удлинения (если оно имеется), возникающего под действием пробной нагрузки.
A - требуемый вид контакта между сферической поверхностью
измерительного штифа и конической поверхностью
отверстия в торце болта
Черт. 2
Пробная нагрузка должна быть приложена по оси болта (винта, шпильки) на обычной разрывной машине. Полная пробная нагрузка должна выдерживаться в течение 15 с. Длина свободной части резьбы, находящейся под нагрузкой, должна быть равной 6 шагам резьбы (6P).
Для болтов и винтов, имеющих резьбу до головки, длина свободной резьбовой части, находящейся под нагрузкой, должна быть как можно ближе к 6 шагам резьбы.
Для измерения остаточного удлинения на торцах болта (винта, шпильки) сверлят центровые отверстия с конусом 60°. До и после приложения нагрузки изделие устанавливают на призму измерительного прибора между двумя измерительными штифами со сферическими концами. При измерениях следует применять перчатки или щипцы, чтобы погрешность измерения свести до минимума.
По условиям испытаний пробной нагрузкой длина болта, винта или шпильки после нагружения должна быть такой же, как и до приложения нагрузки, в пределах допуска +/- 12,5 мкм на погрешность измерения.
Скорость нагружения, определяемая свободно движущимся ползуном, не должна превышать 3 мм/мин. Захваты машины должны быть самоцентрирующимися, чтобы исключить боковое нагружение образца.
Из-за влияния некоторых непостоянных величин, таких как отклонение от соосности и прямолинейности (плюс погрешность измерения), при первоначальном нагружении пробной нагрузкой удлинение может оказаться больше допускаемого. В таких случаях изделия могут быть повторно испытаны нагрузкой, превышающей первоначальную на 3%.
Результат испытания можно считать удовлетворительным, если после повторного нагружения длина изделия будет такой же, как после первого (с допуском на погрешность измерения 12,5 мм).
(Измененная редакция, Изм. N 1).
6.5. Испытание на разрыв на косой шайбе
Испытание болтов и винтов на разрыв на косой шайбе должно проводиться в соответствии с черт. 3.
--------------------------------
<*> Допускается фаска под углом 45°.
Черт. 3
Твердость косой шайбы - не менее 45

.
Размеры косой шайбы приведены в табл. 9а, 10.
Таблица 9а
мм
────────────┬────┬─────┬────┬────┬────┬────┬────┬─────┬────┬────┬────┬─────
Номинальный │ 3 │ 3,5 │ 4 │ 5 │ 6 │ 7 │ 8 │ 10 │ 12 │ 14 │ 16 │ 18
диаметр │ │ │ │ │ │ │ │ │ │ │ │
резьбы d │ │ │ │ │ │ │ │ │ │ │ │
────────────┼────┼─────┼────┼────┼────┼────┼────┼─────┼────┼────┼────┼─────
d │3,4 │ 3,9 │4,5 │5,5 │6,6 │7,6 │9,0 │11,0 │13,5│15,5│17,5│20,0
h │ │ │ │ │ │ │ │ │ │ │ │
────────────┼────┼─────┼────┼────┼────┼────┼────┼─────┼────┼────┼────┼─────
R │0,7 │ 0,7 │0,7 │0,7 │0,7 │0,8 │0,8 │ 0,8 │0,8 │1,3 │1,3 │1,3
Продолжение табл. 9а
мм
────────────┬─────┬─────┬────┬─────┬────┬─────┬─────┬────┬─────┬─────┬─────
Номинальный │ 20 │ 22 │ 24 │ 27 │ 30 │ 33 │ 36 │ 39 │ 42 │ 45 │ 48
диаметр │ │ │ │ │ │ │ │ │ │ │
резьбы d │ │ │ │ │ │ │ │ │ │ │
────────────┼─────┼─────┼────┼─────┼────┼─────┼─────┼────┼─────┼─────┼─────
d │22,0 │24,0 │26,0│30,0 │33,0│36,0 │39,0 │42,0│45,0 │48,0 │52,0
h │ │ │ │ │ │ │ │ │ │ │
────────────┼─────┼─────┼────┼─────┼────┼─────┼─────┼────┼─────┼─────┼─────
R │ 1,3 │ 1,6 │1,6 │ 1,6 │1,6 │ 1,6 │ 1,6 │1,6 │ 1,6 │ 1,6 │1,6
────────────────┬──────────────────────────────────────────────────────────
Номинальный │ Класс прочности для
диаметр резьбы ├───────────────────────────┬──────────────────────────────
болта и винта │ болтов и винтов с длиной │для болтов и винтов с резьбой
d, мм │гладкой части стержня >= 2d│ до головки или с длиной
│ │ гладкой части стержня < 2d
├─────────────┬─────────────┼──────────────┬───────────────
│ 3.6, 4.6, │ 6.8, 12.9 │ 3.6, 4.6, │ 6.8, 12.9
│ 4.8, 5.6, │ │ 4.8, 5.6, │
│ 5.8, 8.8, │ │ 5.8, 8.8, │
│ 6.6, 9.8, │ │ 6.6, 9.8, │
│ 10.9 │ │ 10.9 │
├─────────────┴─────────────┴──────────────┴───────────────
│ Угол клина альфа +/- 30'
────────────────┼─────────────┬─────────────┬──────────────┬───────────────
d <= 20 │ 10° │ 6° │ 6° │ 4°
────────────────┼─────────────┼─────────────┼──────────────┼───────────────
20 < d <= 48 │ 6° │ 4° │ 4° │ 4°
Расстояние от сбега резьбы болта до контактной поверхности гайки зажимного устройства должно быть равно диаметру резьбы d. Косая шайба устанавливается под головкой болта. Испытание на растяжение проводится до наступления разрушения болта.
Результаты испытания считаются удовлетворительными, если разрыв болта произошел в стержне или резьбе болта, но не в месте перехода от головки к стержню. При этом должно выполняться требование по минимальному временному сопротивлению (либо при испытании на косой шайбе, либо в дополнительном испытании на растяжение без косой шайбы) в соответствии со значениями, предусмотренными для соответствующих классов прочности.
Винты с резьбой до головки считаются выдержавшими испытания, если трещина, вызывающая разрушение, начинается на свободном участке резьбы (даже если она распространяется в момент разрушения на скругление под головкой или на головку).
Для изделий класса точности C радиус R для шайбы рассчитывается по формуле

,
где

- наибольший диаметр окружности сопряжения скругления под головкой с опорной плоскостью;

- наименьший диаметр стержня болта.
Для изделий с диаметром опорной поверхности головки более 1,7d, которые не прошли испытание, головка может быть подвергнута механической обработке до 1,7d и испытание проводится повторно, используя угол клина в соответствии с
табл. 10.
Для изделий с диаметром опорной поверхности головки более 1,9d угол клина 10° может быть уменьшен до 6°.
(Измененная редакция, Изм. N 1).
6.6. Определение ударной вязкости
Определение ударной вязкости должно проводиться по
ГОСТ 9454-78 на образцах типа 8 с U-образным надрезом. Образец для испытания вырезается из болтов, винтов и шпилек в продольном направлении, возможно ближе к поверхности.
Ненадрезанная сторона образца должна располагаться как можно ближе к поверхности болта. Испытанию подлежат изделия с диаметром резьбы d >= M16.
6.7. Испытание на прочность соединения головки со стержнем
Испытание на прочность соединения головки со стержнем должно проводиться в соответствии с черт. 4.
Черт. 4
Значения

и R - по табл. 9а. Толщина матрицы - более 2d. Значения угла

- по табл. 11.
Таблица 11
────────────────┬──────────────┬───────────────────────────────────────────
Класс прочности │3.6; 4.6; 5.6 │ 4.8; 5.8; 6.6; 6.8; 8.8; 9.8; 10.9; 12.9
────────────────┼──────────────┼───────────────────────────────────────────
Угол бета │ 60° │ 80°
После нескольких ударов молотком головка должна согнуться на угол 90° -

без следов трещин в скруглении под головкой при контроле с увеличением не менее

и не более

. Винты с резьбой до головки считаются выдержавшими испытания, даже если в первом витке резьбы появятся трещины, но головка не отрывается.
Испытанию подлежат болты и винты с диаметром резьбы d <= M16, имеющие недостаточную длину, чтобы провести испытание на разрыв на косой шайбе.
Данное испытание может проводиться и для более длинных болтов и винтов, однако решающим для них является испытание на косой шайбе.
(Измененная редакция, Изм. N 1).
6.8. Проверка обезуглероживания
Используя подходящий метод измерения (
пп. 6.8.2.1 и
6.8.2.2) на продольном сечении резьбового участка проверяют соответствие установленным нормам высоты зоны основного металла (E) и глубины зоны полного обезуглероживания (G), (черт. 5).
1 - частичное обезуглероживание; 2 - полное
обезуглероживание; 3 - основной металл;

- высота
профиля наружной резьбы.
Значения

приведены в табл. 12.
Черт. 5
──────────────┬──────┬─────┬─────┬─────┬─────┬─────┬─────┬─────┬─────┬─────┬─────┬─────┬─────
Шаг резьбы, P │ 0,5 │ 0,6 │ 0,7 │ 0,8 │ 1 │1,25 │ 1,5 │1,75 │ 2 │ 2,5 │ 3 │ 3,5 │ 4
<*>, мм │ │ │ │ │ │ │ │ │ │ │ │ │
──────────────┼──────┼─────┼─────┼─────┼─────┼─────┼─────┼─────┼─────┼─────┼─────┼─────┼─────
H , мм │0,307 │0,368│0,429│0,491│0,613│0,767│0,920│1,074│1,227│1,534│1,840│2,147│2,454
1 │ │ │ │ │ │ │ │ │ │ │ │ │
─────────┬────┼──────┼─────┼─────┼─────┼─────┼─────┼─────┼─────┼─────┼─────┼─────┼─────┼─────
E, мм, не│8.8 │0,154 │0,184│0,215│0,245│0,307│0,384│0,460│0,537│0,614│0,767│0,920│1,074│1,227
менее для│9.8 │ │ │ │ │ │ │ │ │ │ │ │ │
классов ├────┼──────┼─────┼─────┼─────┼─────┼─────┼─────┼─────┼─────┼─────┼─────┼─────┼─────
прочности│10.9│0,205 │0,245│0,286│0,327│0,409│0,511│0,613│0,716│0,818│1,023│1,227│1,431│1,636
├────┼──────┼─────┼─────┼─────┼─────┼─────┼─────┼─────┼─────┼─────┼─────┼─────┼─────
│12.9│0,230 │0,276│0,322│0,368│0,460│0,575│0,690│0,806│0,920│1,151│1,380│1,610│1,841
--------------------------------
<*> P <= 1 мм - только для микроскопического метода.
Минимальное значение E и максимальное значение G указаны в
табл. 3.
6.8.1. Определения
6.8.1.1. Твердость основного металла - твердость в точке, расположенной максимально близко к поверхности (от оси к наружному диаметру), непосредственно перед зоной с увеличением или уменьшением твердости, вызываемым науглероживанием или обезуглероживанием.
6.8.1.2. Обезуглероживание - снижение содержания углерода на поверхности изделий из стали.
6.8.1.3. Частичное обезуглероживание - обезуглероживание, вызывающее незначительное отличие в структуре отпущенного мартенсита и значительное снижение твердости по сравнению с твердостью примыкающей зоны основного металла.
6.8.1.4. Полное обезуглероживание - обезуглероживание с потерей такого количества углерода, которая при металлографическом анализе даст картину четко выраженных зерен феррита.
6.8.1.5. Восстановление углерода - процесс восстановления в поверхностном слое углерода, потерянного при термообработке, путем выдерживания в печи с контролируемым потенциалом.
6.8.1.6. Науглероживание - процесс насыщения поверхности углеродом в количестве, превышающем его содержание в основном металле.
6.8.2. Методы измерения
6.8.2.1. Микроскопический метод
Метод позволяет определять параметры - E и G. Образец, предназначенный для исследования, вырезают по оси резьбы на расстоянии одного диаметра от конца болта, винта или шпильки, после всех операций термообработки, которым должно быть подвергнуто изделие. Для шлифовки и полировки образец устанавливают в зажимы или заливают пластиком (последнее является предпочтительным).
После заливки образец шлифуют и полируют в соответствии с требованиями металлографического анализа.
Для выявления изменений в микроструктуре, вызванных обезуглероживанием, образец подвергают травлению в 3%-м растворе азотной кислоты в этиловом спирте.
Микроскопическое исследование проводят при увеличении

, если другой договоренности нет.
Если при исследовании применяют микроскоп с матовым экраном, то значение обезуглероживания измеряют непосредственно по шкале. Если для измерения используют окуляр, то он должен иметь сетку или шкалу.
6.8.2.2. Метод измерения по твердости
Решающий метод для частичного обезуглероживания
Этот метод применяется для резьбы с шагом 1,25 мм и более. Твердость измеряют в трех точках в соответствии с черт. 6. Значения параметра E приведены в
табл. 3. Нагрузка при измерении твердости должна быть 300 г.
Черт. 6
Определение твердости в точке 3 следует проводить на линии среднего диаметра резьбы на витке, примыкающем к витку, на котором производятся измерения в точке 1 и 2.
Значение твердости по Виккерсу в точке 2 должно быть равно или больше чем в точке 1 минус 30 единиц по Виккерсу. В этом случае высота необезуглероженной зоны E должна быть равна, как минимум, значению, указанному в
табл. 12.
Значение твердости по Виккерсу в точке 3 должно быть равно или меньше чем в точке 1 плюс 30 единиц по Виккерсу. Увеличение твердости более чем на 30 единиц по Виккерсу означает, что имеет место науглероживание.
Полное обезуглероживание до максимального значения, указанного в
табл. 3, не может быть определено измерением твердости.
6.8.2.1, 6.8.2.2. (Измененная редакция, Изм. N 1).
6.8а. Испытание на повторный отпуск
Повторный отпуск проводят при температуре на 10 °C ниже, чем установленная для данного изделия минимальная температура отпуска, в течение 30 мин. Среднеарифметическое трех значений твердости болта, винта или шпильки, измеренной до повторного отпуска и после него, не должно отличаться более чем на 20 единиц по Виккерсу.
(Введен дополнительно, Изм. N 1).
6.9. Контроль качества поверхности
Контроль качества поверхности болтов, винтов и шпилек - по
ГОСТ 1759.2-82.
При испытаниях по программе А контроль болтов, винтов и шпилек проводят перед механической обработкой.
(Измененная редакция, Изм. N 1).
Рекомендуемое
РЕКОМЕНДУЕМЫЕ ТЕХНОЛОГИЧЕСКИЕ ПРОЦЕССЫ
ИЗГОТОВЛЕНИЯ БОЛТОВ, ВИНТОВ И ШПИЛЕК
ИЗ НЕЛЕГИРОВАННЫХ И ЛЕГИРОВАННЫХ
СТАЛЕЙ И МАРКИ СТАЛЕЙ
───────────┬────────────────────────────────┬──────────────┬───────────────
Класс │ Технологические процессы │ Марка стали │ Обозначение
прочности │ │ │ стандарта
───────────┼────────────────────────────────┼──────────────┼───────────────
│Холодная штамповка с последующей│ │
│смягчающей термообработкой │ │
───────────┼────────────────────────────────┼──────────────┼───────────────
│Холодная штамповка с последующей│ │
│смягчающей термообработкой │ │
───────────┼────────────────────────────────┼──────────────┼───────────────
───────────┼────────────────────────────────┼──────────────┼───────────────
───────────┼────────────────────────────────┼──────────────┤
5.8 │Холодная штамповка │10, 10 кп, 20,│
│ │20 кп │
───────────┼────────────────────────────────┼──────────────┼───────────────
├────────────────────────────────┼──────────────┤
│Горячая штамповка │45, 40 Г │
───────────┼────────────────────────────────┼──────────────┼───────────────
───────────┼────────────────────────────────┼──────────────┼───────────────
8.8 - 12.9 │Горячая штамповка с последующими│35, 35Х, │
ГОСТ 4543-71,
│Холодная штамповка с последующей│40Г2, 40Х, │
│закалкой и отпуском │30ХГСА, 35ХГСА│
│Резание с последующей закалкой и│16ХСН │
│отпуском │20Г2Р <*> │
│Холодная штамповка из │ │
│термоупрочненного металла │ │
--------------------------------
<*> По ТУ 14-1-4486-88.
(Измененная редакция, Изм. N 1).
Справочное
СВОЙСТВА КРЕПЕЖНЫХ ИЗДЕЛИЙ ПРИ ПОВЫШЕННЫХ ТЕМПЕРАТУРАХ
──────────┬────────────────────────────────────────────────────────────────
Класс │ Температура, °C
прочности ├────────────┬────────────┬────────────┬───────────┬─────────────
│ +20 │ +100 │ +200 │ +250 │ +300
├────────────┴────────────┴────────────┴───────────┴─────────────
│ Минимальный предел текучести сигма или условный предел
│ т
│ текучести сигма , Н/мм2
│ 0,2
──────────┼────────────┬────────────┬────────────┬───────────┬─────────────
5.6 │ 300 │ 270 │ 230 │ 215 │ 195
8.8 │ 640 │ 590 │ 540 │ 510 │ 480
10.9 │ 940 │ 875 │ 790 │ 745 │ 705
12.9 │ 1100 │ 1020 │ 925 │ 875 │ 825
Приведенные в таблице справочные данные указывают на примерное снижение механических свойств крепежных изделий при растяжении в условиях повышенных температур. Эти данные не должны использоваться в качестве требований к болтам, винтам и шпилькам при испытаниях.
(Введено дополнительно, Изм. N 1).