Главная // Актуальные документы // ГОСТ (Государственный стандарт)СПРАВКА
Источник публикации
М.: Издательство стандартов, 1993
Примечание к документу
Документ и его отдельные положения включены в Перечень международных и региональных (межгосударственных) стандартов (
п. п. 643,
802,
1083), а в случае их отсутствия - национальных (государственных) стандартов, содержащих правила и методы исследований (испытаний) и измерений, в том числе правила отбора образцов, необходимые для применения и исполнения требований технического
регламента Таможенного союза "О безопасности железнодорожного подвижного состава" (ТР ТС 001/2011) и осуществления оценки соответствия объектов технического регулирования и в Перечень международных и региональных (межгосударственных) стандартов (
п. п. 113,
162), а в случае их отсутствия - национальных (государственных) стандартов, содержащих правила и методы исследований (испытаний) и измерений, в том числе правила отбора образцов, необходимые для применения и исполнения требований технического
регламента Таможенного союза "О безопасности высокоскоростного железнодорожного транспорта" (ТР ТС 002/2011) и осуществления оценки соответствия объектов технического регулирования (
Решение Коллегии Евразийской экономической комиссии от 29.03.2022 N 48).
Данный документ включен в
Перечень стандартов, содержащих правила и методы исследований (испытаний) измерений, в том числе правила отбора образцов, необходимые для применения и исполнения требований технического
регламента Таможенного союза "О безопасности железнодорожного подвижного состава" (ТР ТС 001/2011) и осуществления оценки соответствия объектов технического регулирования, в
Перечень стандартов, содержащих правила и методы исследований (испытаний) измерений, в том числе правила отбора образцов, необходимые для применения и исполнения требований технического
регламента Таможенного союза "О безопасности высокоскоростного железнодорожного транспорта" (ТР ТС 002/2011) и осуществления оценки соответствия объектов технического регулирования, в
Перечень стандартов, содержащих правила и методы исследований (испытаний) измерений, в том числе правила отбора образцов, необходимых для применения и исполнения требований технического
регламента Таможенного союза "О безопасности инфраструктуры железнодорожного транспорта" (ТР ТС 003/2011) и осуществления оценки соответствия объектов технического регулирования (
Решение Комиссии Таможенного союза от 15.07.2011 N 710).
С 1 июля 2003 года до вступления в силу технических регламентов акты федеральных органов исполнительной власти в сфере технического регулирования носят рекомендательный характер и подлежат обязательному исполнению только в части, соответствующей целям, указанным в
пункте 1 статьи 46 Федерального закона от 27.12.2002 N 184-ФЗ.
Текст документа приведен с учетом
поправки, опубликованной в "ИУС", N 4, 2001,
поправки, опубликованной в "ИУС", N 4, 2003.
Ограничение срока действия снято по Протоколу N 4-93 Межгосударственного Совета по стандартизации, метрологии и сертификации (ИУС, N 4, 1994).
Срок действия продлен до 1 июля 1995 года Постановлением Госстандарта СССР от 30.10.1989 N 3280.
Введен в действие с 1 января 1960 года.
Название документа
"ГОСТ 9012-59 (СТ СЭВ 468-88, ИСО 6506-81, ИСО 410-82). Государственный стандарт Союза ССР. Металлы. Метод измерения твердости по Бринеллю"
(утв. Госстандартом СССР 04.02.1959)
(ред. от 01.10.1989)
"ГОСТ 9012-59 (СТ СЭВ 468-88, ИСО 6506-81, ИСО 410-82). Государственный стандарт Союза ССР. Металлы. Метод измерения твердости по Бринеллю"
(утв. Госстандартом СССР 04.02.1959)
(ред. от 01.10.1989)
Утвержден и введен в действие
Госстандартом СССР
4 февраля 1959 года
ГОСУДАРСТВЕННЫЙ СТАНДАРТ СОЮЗА ССР
МЕТАЛЛЫ
МЕТОД ИЗМЕРЕНИЯ ТВЕРДОСТИ ПО БРИНЕЛЛЮ
Metals. Method of Brinell hardness measurement
ГОСТ 9012-59
(СТ СЭВ 468-88, ИСО 6506-81, ИСО 410-82)
| | Список изменяющих документов (в ред. Изменения N 2, утв. Постановлением от 16.05.1979 N 1716, Изменения N 3, утв. Постановлением от 12.10.1984 N 3573, Изменения N 4, утв. в марте 1986 г., Изменения N 5, утв. в октябре 1989 г.) | |
Срок действия
с 1 января 1960 года
до 1 июля 1995 года
1. Разработан и внесен Министерством черной металлургии СССР.
Разработчики: Б.М. Овсянников, М.В. Пирусский, Н.А. Бирун.
2. Утвержден и введен в действие Комитетом стандартов, мер и измерительных приборов при Совете Министров СССР 04.02.1959.
3. Стандарт полностью соответствует СТ СЭВ 468-88, ИСО 6506-81, ИСО 410-82.
4. Введен впервые.
5. Ссылочные нормативно-технические документы
──────────────────────────────────────────────┬───────────────────
Обозначение НТД, на который дана ссылка │ Номер пункта
──────────────────────────────────────────────┼───────────────────
6. Срок действия продлен до 01.07.1995 Постановлением Госстандарта СССР от 30.10.1989 N 3280.
7. Переиздание (январь 1993 г.) с Изменениями N 2, 3, 4, 5, утвержденными Пост. 1716 16.05.1979; Пост. 3573 12.10.1984; марте 1986 г., октябре 1989 г. (ИУС 7-79, 1-85, 6-86, 2-90).
Настоящий стандарт устанавливает метод измерения твердости по Бринеллю металлов с твердостью не более 650 единиц.
Сущность метода заключается во вдавливании шарика (стального или из твердого сплава) в образец (изделие) под действием усилия, приложенного перпендикулярно поверхности образца, в течение определенного времени, и измерении диаметра отпечатка после снятия усилия.
Стандарт полностью соответствует стандарту СЭВ 468-77.
(Измененная редакция, Изм. N 5).
1.1. Толщина образца S должна не менее чем в 8 раз превышать глубину отпечатка h и определяется по формуле

(F выражена в Н),

(F выражена в кгс).
Минимальную толщину образца определяют в соответствии с
Приложением 2.
1.2. Поверхность образца должна быть плоской и гладкой.
Шероховатость поверхности образца (или площадки на изделии) Ra должна быть не более 2,5 мкм по
ГОСТ 2789-73, если нет других указаний в нормативно-технической документации на металлопродукцию.
1.3. Образец должен быть подготовлен таким образом, чтобы не изменялись свойства металла в результате механической или другой обработки, например, от нагрева или наклепа.
Разд. 1. (Измененная редакция, Изм. N 5).
Разд. 2. (Исключен, Изм. N 5).
2. ПОДГОТОВКА К ИСПЫТАНИЮ
2.1. Поверхность образца или испытуемого изделия должна быть ровной, гладкой и свободной от окисной пленки. При подготовке поверхности образца необходимо принять меры, исключающие изменение свойств металла из-за нагрева или наклепа.
Обработку поверхности образца (изделия) можно проводить шлифовкой или мелким напильником.
При определении твердости шариком диаметром 1 мм поверхность образца должна быть отполирована.
2.2. Толщину образца (изделия), подвергаемого испытанию, выбирают таким образом, чтобы на противоположной стороне образца после испытания не было заметно следов деформации.
(Измененная редакция, Изм. N 4).
3.2. Шарик стальной диаметром 10,0; 5,0; 2,5; 2,0; 1,0 мм должен иметь твердость не менее 850 HV10;
шарик из твердого сплава диаметром 10,0; 5,0; 2,5; 2,0; 1,0 мм должен иметь твердость не менее 1500 HV10.
Предельные отклонения диаметра шарика от номинального приведены в табл. 1а.
Таблица 1а
──────────────────────────────────┬───────────────────────────────
Номинальный диаметр шарика, мм │ Предельные отклонения
──────────────────────────────────┼───────────────────────────────
10,0 │ +/- 0,005
5,0 │ +/- 0,004
2,5 │ +/- 0,003
2,0 │ +/- 0,003
1,0 │ +/- 0,003
Требования к разноразмерности по диаметру, непостоянству единичного диаметра, отклонению от сферичности и шероховатости поверхности должны соответствовать шарикам степени точности 20 по
ГОСТ 3722-81.
(Измененная редакция, Изм. N 5).
3.3. (Исключен, Изм. N 5).
4.1. Измерение твердости проводят при температуре

°C.
При разногласиях в оценке качества металлопродукции измерение твердости проводят при температуре (23 +/- 5) °C.
4.2. При измерении твердости прибор должен быть защищен от ударов и вибрации.
4.3. Опорные поверхности столика и подставки, а также опорные и рабочие поверхности образца должны быть очищены от посторонних веществ (окалины, смазки и др.).
4.4. Образец должен быть установлен на столике или подставке устойчиво во избежание его смещения и прогиба во время измерения твердости.
4.5. При твердости металлов менее 450 единиц для измерения твердости применяют стальные шарики или шарики из твердого сплава:
при твердости металлов более 450 единиц - шарики из твердого сплава.
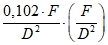
4.6 Значение K выбирают в зависимости от металла и его твердости в соответствии с табл. 2.
Таблица 2
───────────────────────────────────┬─────────────────────┬────────
Материал │Твердость по Бринеллю│ K
───────────────────────────────────┼─────────────────────┼────────
Сталь, чугун, высокопрочные сплавы│До 140 │ 10
(на основе никеля, кобальта и др.) │140 и более │ 30
Титан и сплавы на его основе │От 50 │ 15
Медь и сплавы на ее основе, легкие│Менее 35 │ 5
металлы и их сплавы │От 35 │ 10
Подшипниковые сплавы │От 8 до 50 │ 2,5
Свинец, олово и другие мягкие │До 20 │ 1
металлы │ │
Усилие F в зависимости от значения K и диаметра шарика D устанавливают в соответствии с табл. 3.
Таблица 3
─────────────────┬────────────────────────────────────────────────
Диаметр шарика D,│ Усилие F, Н (кгс), для K
мм ├───────┬────────┬───────┬───────┬───────┬───────
│ 30 │ 15 │ 10 │ 5 │ 2,5 │ 1
─────────────────┼───────┼────────┼───────┼───────┼───────┼───────
1,0 │ 294,2 │ - │ 98,07 │ 49,03 │ 24,52 │ 9,807
│ (30) │ │ (10) │ (5) │ (2,5) │ (1)
2,0 │ 1177 │ - │ 392,3 │ 196,1 │ 98,07 │ 39,23
│ (120) │ │ (40) │ (20) │ (10) │ (4)
2,5 │ 1839 │ - │ 612,9 │ 306,0 │ 153,0 │ 60,80
│(187,5)│ │(62,5) │(31,2) │(15,6) │ (6,2)
5,0 │ 7355 │ - │ 2452 │ 1226 │ 612,9 │ 245,2
│ (750) │ │ (250) │ (125) │(62,5) │ (25)
10,0 │ 29420 │ 14710 │ 9807 │ 4903 │ 2452 │ 980,7
│(3000) │ (1500) │(1000) │ (500) │ (250) │ (100)
4.7. Диаметр шарика D и соответствующее усилие F выбирают таким образом, чтобы диаметр отпечатки находился в пределах от 0,24 до 0,6D.
4.8. При измерении твердости наконечник плавно приводят в соприкосновение с поверхностью образца и плавно прикладывают заданное усилие F до тех пор, пока оно не достигнет необходимой величины.
Продолжительность выдержки наконечника под действием заданного усилия должна соответствовать табл. 4, если не имеется других указаний в нормативно-технической документации на металлопродукцию.
Таблица 4
─────────────────────────────────┬────────────────────────────────
Твердость по Бринеллю HB, HBW │ Продолжительность выдержки, с
─────────────────────────────────┼────────────────────────────────
До 10 │ 180
Св. 10 " 35 │ 120
" 35 " 100 │ 30
" 100 │ 10 - 15
Время от начала приложения усилия до достижения им заданной величины должно составлять 2 - 8 с.
4.9. Расстояние между центром отпечатка и краем образца должно быть не менее 2,5 диаметра отпечатка d; расстояние между центрами двух смежных отпечатков должно быть не менее четырех диаметров отпечатка; для металлов с твердостью до 35 HB (HBW) эти расстояния должны быть соответственно 3d и 6d.
При разногласиях в результатах измерения твердости на образцах с криволинейной поверхностью длина и ширина изготовленной плоской площадки должны быть не менее двух диаметров D шарика.
4.10. После измерения твердости на обратной стороне образца не должно наблюдаться пластической деформации от отпечатка.
4.11. Диаметр отпечатка d измеряют с помощью микроскопа или других средств измерения с предельной погрешностью:
+/- 0,5 (при применении шариков диаметром 1,0; 2,0 или 2,5 мм);
+/- 0,25% (при применении шариков диаметром 5,0 и 10,0 мм) от диаметра шарика.
4.12. Диаметры отпечатков

и

измеряются в двух взаимно перпендикулярных направлениях. За диаметр отпечатка d принимается среднее арифметическое значение результатов измерений. При этом разность измерений диаметров одного отпечатка не должна превышать 2% меньшего из них.
Для анизотропных металлов разность измерений диаметров отпечатка должна быть указана в нормативно-технической документации на металлопродукцию.
4.13. Количество отпечатков при измерении твердости и способ обработки результатов измерений указывают в нормативно-технической документации на металлопродукцию.
Разд. 4. (Измененная редакция, Изм. N 5).
В протоколе измерения твердости должно быть указано:
марка металла;
обозначение образца;
диаметр шарика;
значение усилия;
продолжительность выдержки;
число твердости для каждого отпечатка;
число твердости, полученное в результате обработки результатов измерений.
Разд. 5. (Измененная редакция, Изм. N 5).
Обязательное
ОПРЕДЕЛЕНИЯ И ОБОЗНАЧЕНИЯ
Обозначение | Наименование |
D | Диаметр шарика, мм |
F | Усилие, Н (кгс) |
d | Диаметр отпечатка, мм |
h | Глубина отпечатка, вычисляемая по формуле  , мм |
S | Толщина образца, мм |
A | Площадь поверхности сферического отпечатка, мм2 |
K | Отношение усилия к квадрату диаметра шарика  , Н/мм2 (кгс/мм2) |
HB | Твердость по Бринеллю при применении стального шарика |
HBW | Твердость по Бринеллю при применении шарика из твердого сплава |
Твердость по Бринеллю HB (HBW) численно равна отношению приложенного усилия F к площади сферического отпечатка A и рассчитывается по формулам

,
когда усилие F выражено в Н;

,
когда усилие F выражено в кгс.
Твердость по Бринеллю обозначают символом HB (HBW), которому предшествует числовое значение твердости из трех значащих цифр, и после символа указывают диаметр шарика, значение приложенного усилия (в кгс), продолжительность выдержки, если она отличается от 10 до 15 с.
Примеры обозначения:
250 HB 5/750 - твердость по Бринеллю 250, определенная при применении стального шарика диаметром 5 мм, при усилии 750 кгс (7355 Н) и продолжительности выдержки от 10 до 15 с;
575 HBW 2,5/187, 5/30 - твердость по Бринеллю 575, определенная при применении шарика из твердого сплава диаметром 2,5 мм, при усилии 187,5 кгс (1839 Н) и продолжительности выдержки 30 с.
При определении твердости стальным шариком или шариком из твердого сплава диаметром 10 мм при усилии 3000 кгс (29420 Н) и продолжительности выдержки от 10 до 15 с твердостью по Бринеллю обозначают только числовым значением твердости и символом HB или HBW: например, 185 HB, 600 HBW.
Обозначения параметров приведены на чертеже.
Рекомендуемое
МИНИМАЛЬНАЯ ТОЛЩИНА ОБРАЗЦА
Таблица 5
мм
──────────┬───────────────────────────────────────────────────────
Диаметр │ Минимальная толщина образца при диаметре шарика
отпечатка ├──────────┬───────────┬──────────┬──────────┬──────────
│ 1 │ 2 │ 2,5 │ 5 │ 10
──────────┼──────────┼───────────┼──────────┼──────────┼──────────
0,2 │ 0,08 │ │ │ │
0,3 │ 0,18 │ │ │ │
0,4 │ 0,33 │ │ │ │
0,5 │ 0,54 │ 0,25 │ │ │
0,6 │ 0,80 │ 0,37 │ 0,29 │ │
0,7 │ │ 0,51 │ 0,40 │ │
0,8 │ │ 0,67 │ 0,53 │ │
0,9 │ │ 0,86 │ 0,67 │ │
1,0 │ │ 1,07 │ 0,83 │ │
1,1 │ │ 1,32 │ 1,02 │ │
1,2 │ │ 1,60 │ 1,23 │ 0,58 │
1,3 │ │ │ 1,46 │ 0,69 │
1,4 │ │ │ 1,72 │ 0,80 │
1,5 │ │ │ 2,0 │ 0,92 │
1,6 │ │ │ │ 1,05 │
1,7 │ │ │ │ 1,19 │
1,8 │ │ │ │ 1,34 │
1,9 │ │ │ │ 1,50 │
2,0 │ │ │ │ 1,67 │
2,2 │ │ │ │ 2,04 │
2,4 │ │ │ │ 2,46 │ 1,17
2,6 │ │ │ │ 2,92 │ 1,38
2,8 │ │ │ │ 3,43 │ 1,60
3,0 │ │ │ │ 4,0 │ 1,84
3,2 │ │ │ │ │ 2,10
3,4 │ │ │ │ │ 2,38
3,6 │ │ │ │ │ 2,68
3,8 │ │ │ │ │ 3,00
4,0 │ │ │ │ │ 3,34
4,2 │ │ │ │ │ 3,70
4,4 │ │ │ │ │ 4,08
4,6 │ │ │ │ │ 4,48
4,8 │ │ │ │ │ 4,91
5,0 │ │ │ │ │ 5,36
5,2 │ │ │ │ │ 5,83
5,4 │ │ │ │ │ 6,33
5,6 │ │ │ │ │ 6,86
5,8 │ │ │ │ │ 7,42
6,0 │ │ │ │ │ 8,00
Приложения 1, 2. (Измененная редакция, Изм. N 5).
Обязательное
ТАБЛИЦЫ ВЕЛИЧИН ТВЕРДОСТИ ПО БРИНЕЛЛЮ
Таблица 1
При диаметре шарика D = 10 мм, испытательной нагрузке
F = 29430 Н (3000 кгс) и K = 30
──────┬─────┬─────┬─────┬─────┬─────┬─────┬─────┬─────┬─────┬─────
d, мм │0,00 │0,01 │0,02 │0,03 │0,04 │0,05 │0,06 │0,07 │0,08 │0,09
──────┼─────┼─────┼─────┼─────┼─────┼─────┼─────┼─────┼─────┼─────
2,40 │ 653 │ 648 │ 643 │ 637 │ 632 │ 627 │ 621 │ 616 │ 611 │ 606
2,50 │ 601 │ 597 │ 592 │ 587 │ 582 │ 578 │ 573 │ 569 │ 564 │ 560
2,60 │ 555 │ 551 │ 547 │ 543 │ 538 │ 534 │ 530 │ 526 │ 522 │ 518
2,70 │ 514 │ 510 │ 507 │ 503 │ 499 │ 495 │ 492 │ 488 │ 485 │ 481
2,80 │ 477 │ 474 │ 471 │ 467 │ 464 │ 461 │ 457 │ 454 │ 451 │ 448
2,90 │ 444 │ 441 │ 438 │ 435 │ 432 │ 429 │ 426 │ 423 │ 420 │ 417
3,00 │ 415 │ 412 │ 409 │ 406 │ 404 │ 401 │ 398 │ 395 │ 393 │ 390
3,10 │ 388 │ 385 │ 383 │ 380 │ 378 │ 375 │ 373 │ 370 │ 368 │ 366
3,20 │ 363 │ 361 │ 359 │ 356 │ 354 │ 352 │ 350 │ 347 │ 345 │ 343
3,30 │ 341 │ 339 │ 337 │ 335 │ 333 │ 331 │ 329 │ 326 │ 325 │ 323
3,40 │ 321 │ 319 │ 317 │ 315 │ 313 │ 311 │ 309 │ 307 │ 306 │ 304
3,50 │ 302 │ 300 │ 298 │ 297 │ 295 │ 293 │ 292 │ 290 │ 288 │ 286
3,60 │ 285 │ 283 │ 282 │ 280 │ 278 │ 277 │ 275 │ 274 │ 272 │ 271
3,70 │ 269 │ 268 │ 266 │ 265 │ 263 │ 262 │ 260 │ 259 │ 257 │ 256
3,80 │ 255 │ 253 │ 252 │ 250 │ 249 │ 248 │ 246 │ 245 │ 244 │ 242
3,90 │ 241 │ 240 │ 239 │ 237 │ 236 │ 235 │ 234 │ 232 │ 231 │ 230
4,00 │ 229 │ 228 │ 226 │ 225 │ 224 │ 223 │ 222 │ 221 │ 219 │ 218
4,10 │ 217 │ 216 │ 215 │ 214 │ 213 │ 212 │ 211 │ 210 │ 209 │ 208
4,20 │ 207 │ 205 │ 204 │ 203 │ 202 │ 201 │ 200 │ 199 │ 198 │ 198
4,30 │ 197 │ 196 │ 195 │ 194 │ 193 │ 192 │ 191 │ 190 │ 189 │ 188
4,40 │ 187 │ 186 │ 185 │ 185 │ 184 │ 183 │ 182 │ 181 │ 180 │ 179
4,50 │ 179 │ 178 │ 177 │ 176 │ 175 │ 174 │ 174 │ 173 │ 172 │ 171
4,60 │ 170 │ 170 │ 169 │ 168 │ 167 │ 167 │ 166 │ 165 │ 164 │ 164
4,70 │ 163 │ 162 │ 161 │ 161 │ 160 │ 159 │ 158 │ 158 │ 157 │ 156
4,80 │ 156 │ 155 │ 154 │ 154 │ 153 │ 152 │ 152 │ 151 │ 150 │ 150
4,90 │ 149 │ 148 │ 148 │ 147 │ 146 │ 146 │ 145 │ 144 │ 144 │ 143
5,00 │ 143 │ 142 │ 141 │ 141 │ 140 │ 140 │ 139 │ 138 │ 138 │ 137
5,10 │ 137 │ 136 │ 135 │ 135 │ 134 │ 134 │ 133 │ 133 │ 132 │ 132
5,20 │ 131 │ 130 │ 130 │ 129 │ 129 │ 128 │ 128 │ 127 │ 127 │ 126
5,30 │ 126 │ 125 │ 125 │ 124 │ 124 │ 123 │ 123 │ 122 │ 122 │ 121
5,40 │ 121 │ 120 │ 120 │ 119 │ 119 │ 118 │ 118 │ 117 │ 117 │ 116
5,50 │ 116 │ 115 │ 115 │ 114 │ 114 │ 114 │ 113 │ 113 │ 112 │ 112
5,60 │ 111 │ 111 │ 110 │ 110 │ 110 │ 109 │ 109 │ 108 │ 108 │ 107
5,70 │ 107 │ 107 │ 106 │ 106 │ 105 │ 105 │ 105 │ 104 │ 101 │ 103
5,80 │ 103 │ 103 │ 102 │ 102 │ 101 │ 101 │ 101 │ 100 │99,9 │99,5
5,90 │99,2 │98,8 │98,4 │98,0 │97,7 │97,3 │96,9 │ 96,6│96,2 │95,9
6,00 │95,5 │ - │ - │ - │ - │ - │ - │ - │ - │ -
Таблица 1а
При диаметре шарика D = 10 мм, испытательной нагрузке
F = 14710 Н (1500 кгс) и K = 15
──────┬─────┬─────┬─────┬─────┬─────┬─────┬─────┬─────┬─────┬─────
d, мм │0,00 │0,01 │0,02 │0,03 │0,04 │0,05 │0,06 │0,07 │0,08 │0,09
──────┼─────┼─────┼─────┼─────┼─────┼─────┼─────┼─────┼─────┼─────
2,90 │ 222 │ 221 │ 219 │ 218 │ 216 │ 215 │ 213 │ 212 │ 210 │ 209
3,00 │ 207 │ 206 │ 205 │ 203 │ 202 │ 200 │ 199 │ 198 │ 196 │ 195
3,10 │ 194 │ 193 │ 191 │ 190 │ 189 │ 188 │ 186 │ 185 │ 184 │ 183
3,20 │ 182 │ 180 │ 179 │ 178 │ 177 │ 176 │ 175 │ 174 │ 173 │ 172
3,30 │ 170 │ 169 │ 168 │ 167 │ 166 │ 165 │ 164 │ 163 │ 162 │ 161
3,40 │ 160 │ 159 │ 158 │ 157 │ 156 │ 156 │ 155 │ 154 │ 153 │ 152
3,50 │ 151 │ 150 │ 149 │ 148 │ 147 │ 147 │ 146 │ 145 │ 144 │ 143
3,60 │ 142 │ 142 │ 141 │ 140 │ 139 │ 138 │ 138 │ 137 │ 136 │ 135
3,70 │ 135 │ 134 │ 133 │ 132 │ 132 │ 131 │ 130 │ 129 │ 129 │ 128
3,80 │ 127 │ 127 │ 126 │ 125 │ 125 │ 124 │ 123 │ 123 │ 122 │ 121
3,90 │ 121 │ 120 │ 119 │ 119 │ 118 │ 117 │ 117 │ 116 │ 116 │ 115
4,00 │ 114 │ 114 │ 113 │ 113 │ 112 │ 111 │ 111 │ 111 │ 110 │ 109
4,10 │ 109 │ 108 │ 108 │ 107 │ 106 │ 106 │ 105 │ 105 │ 104 │ 104
4,20 │ 103 │ 103 │ 102 │ 102 │ 101 │ 101 │ 100 │99,7 │99,2 │98,8
4,30 │98,3 │97,8 │97,3 │96,8 │96,4 │95,9 │95,4 │95,0 │94,5 │94,1
4,40 │93,6 │93,2 │92,7 │92,3 │91,8 │91,4 │91,8 │90,6 │90,1 │89,7
4,50 │89,3 │88,9 │88,4 │88,0 │87,6 │87,2 │86,8 │86,4 │86,0 │85,5
4,60 │85,2 │84,8 │81,8 │84,0 │84,6 │83,3 │82,9 │82,5 │82,1 │81,8
4,70 │81,4 │81,0 │80,7 │80,3 │79,9 │79,6 │79,2 │78,9 │78,5 │78,2
4,80 │77,8 │77,5 │77,1 │76,8 │76,4 │76,1 │75,8 │75,4 │75,1 │74,8
4,90 │74,4 │74,1 │73,8 │73,5 │73,2 │72,8 │72,5 │72,2 │71,9 │71,6
5,00 │71,3 │71,0 │70,7 │70,4 │70,1 │69,8 │69,5 │69,2 │68,9 │68,6
5,10 │68,3 │68,0 │67,7 │67,4 │67,1 │66,9 │66,6 │66,3 │66,0 │65,8
5,20 │65,5 │65,2 │64,9 │61,7 │64,4 │64,1 │63,9 │63,6 │63,3 │63,1
5,30 │62,8 │62,6 │62,3 │62,1 │61,8 │61,5 │61,3 │61,0 │60,8 │60,6
5,40 │60,3 │60,1 │59,8 │59,6 │59,3 │59,1 │58,9 │58,6 │58,4 │58,2
5,50 │57,9 │57,7 │57,5 │57,2 │57,0 │56,8 │56,6 │56,3 │56,1 │55,9
5,60 │55,7 │55,5 │55,2 │55,0 │54,8 │54,6 │54,4 │54,2 │54,0 │53,7
5,70 │53,5 │53,3 │53,1 │52,9 │52,7 │52,5 │52,3 │52,1 │51,9 │51,7
5,80 │51,5 │51,3 │51,1 │50,9 │50,7 │50,5 │50,3 │50,2 │50,0 │49,8
5,90 │49,6 │49,4 │49,2 │49,0 │48,8 │48,7 │48,5 │48,3 │48,1 │47,9
6,00 │47,7 │ - │ - │ - │ - │ - │ - │ - │ - │ -
Таблица 2
При диаметре шарика D = 10 мм, испытательной нагрузке
F = 9810 Н (1000 кгс) и K = 10
──────┬─────┬─────┬─────┬─────┬─────┬─────┬─────┬─────┬─────┬─────
d, мм │0,00 │0,01 │0,02 │0,03 │0,04 │0,05 │0,06 │0,07 │0,08 │0,09
──────┼─────┼─────┼─────┼─────┼─────┼─────┼─────┼─────┼─────┼─────
2,50 │ 200 │ 199 │ 197 │ 196 │ 194 │ 193 │ 191 │ 190 │ 188 │ 187
2,60 │ 185 │ 184 │ 182 │ 181 │ 179 │ 178 │ 177 │ 175 │ 174 │ 173
2,70 │ 171 │ 170 │ 169 │ 168 │ 166 │ 165 │ 164 │ 163 │ 162 │ 160
2,80 │ 159 │ 158 │ 157 │ 156 │ 155 │ 154 │ 152 │ 151 │ 150 │ 149
2,90 │ 148 │ 147 │ 146 │ 145 │ 144 │ 143 │ 142 │ 141 │ 140 │ 139
3,00 │ 138 │ 137 │ 136 │ 135 │ 135 │ 134 │ 133 │ 132 │ 131 │ 130
3,10 │ 129 │ 128 │ 128 │ 127 │ 126 │ 125 │ 124 │ 123 │ 123 │ 122
3,20 │ 121 │ 120 │ 120 │ 119 │ 118 │ 117 │ 117 │ 116 │ 115 │ 114
3,30 │ 114 │ 113 │ 112 │ 112 │ 111 │ 110 │ 110 │ 109 │ 108 │ 108
3,40 │ 107 │ 106 │ 106 │ 105 │ 104 │ 104 │ 103 │ 109 │ 102 │ 101
3,50 │ 101 │ 100 │99,5 │98,9 │98,3 │97,7 │97,2 │96,6 │96,1 │95,5
3,60 │95,0 │94,4 │93,9 │93,3 │92,8 │92,3 │91,8 │91,2 │90,7 │90,2
3,70 │89,7 │89,2 │88,7 │88,2 │87,7 │87,2 │86,8 │86,3 │85,8 │85,3
3,80 │84,9 │84,4 │83,9 │83,5 │83,0 │82,6 │82,1 │81,7 │81,3 │80,8
3,90 │80,4 │80,0 │79,5 │79,1 │78,7 │78,3 │77,9 │77,5 │77,1 │76,7
4,00 │76,3 │75,9 │75,5 │75,1 │74,7 │74,3 │73,9 │73,5 │73,2 │72,8
4,10 │72,4 │72,0 │71,7 │71,3 │71,0 │70,6 │70,2 │69,9 │69,5 │69,2
4,20 │68,8 │68,5 │68,2 │67,8 │67,5 │67,1 │66,8 │66,5 │66,2 │65,8
4,30 │65,5 │65,2 │64,9 │64,6 │64,2 │63,9 │63,6 │63,3 │63,0 │62,7
4,40 │62,4 │62,1 │61,8 │61,5 │61,2 │60,9 │60,6 │60,4 │60,1 │59,8
4,50 │59,5 │59,2 │59,0 │58,7 │58,4 │58,1 │57,8 │57,6 │57,3 │57,1
4,60 │56,8 │56,5 │56,3 │56,0 │55,8 │55,5 │55,3 │55,0 │54,8 │54,5
4,70 │54,3 │54,0 │53,8 │53,5 │53,3 │53,0 │52,8 │52,6 │52,3 │52,1
4,80 │51,9 │51,6 │51,4 │51,2 │51,0 │50,7 │50,5 │50,3 │50,1 │49,8
4,90 │49,6 │49,4 │49,2 │49,0 │48,8 │48,6 │48,3 │48,1 │47,9 │47,7
5,00 │47,5 │47,3 │47,1 │46,9 │46,7 │46,5 │46,3 │46,1 │45,9 │45,7
5,10 │45,5 │45,3 │45,1 │45,0 │44,8 │44,6 │44,4 │44,2 │44,0 │43,8
5,20 │43,7 │43,5 │43,3 │43,1 │42,9 │42,8 │42,6 │42,4 │42,2 │42,1
5,30 │41,9 │41,7 │41,5 │41,4 │41,2 │41,0 │40,9 │40,7 │40,5 │40,4
5,40 │40,2 │40,0 │39,9 │39,7 │39,6 │39,4 │39,2 │39,1 │38,9 │38,8
5,50 │38,6 │38,5 │38,3 │38,2 │38,0 │37,9 │37,7 │37,6 │37,4 │37,3
5,60 │37,1 │37,0 │36,8 │36,7 │36,5 │36,4 │36,3 │36,1 │36,0 │35,8
5,70 │35,7 │35,6 │35,4 │35,3 │35,1 │35,0 │34,9 │34,7 │34,6 │34,5
5,80 │34,3 │34,2 │34,1 │33,9 │33,8 │33,7 │33,6 │33,4 │33,3 │33,2
5,90 │33,1 │32,9 │32,8 │32,7 │32,6 │32,4 │32,3 │32,2 │32,1 │32,0
6,00 │31,8 │ - │ - │ - │ - │ - │ - │ - │ - │ -
Таблица 3
При диаметре шарика D = 10 мм, испытательной нагрузке
F = 4905 Н (500 кгс) и K = 5
──────┬─────┬─────┬─────┬─────┬─────┬─────┬─────┬─────┬─────┬─────
d, мм │0,00 │0,01 │0,02 │0,03 │0,04 │0,05 │0,06 │0,07 │0,08 │0,09
──────┼─────┼─────┼─────┼─────┼─────┼─────┼─────┼─────┼─────┼─────
2,50 │ 100 │99,4 │98,6 │97,8 │97,1 │96,3 │95,5 │94,8 │94,0 │93,3
2,60 │92,6 │91,8 │91,1 │90,4 │89,7 │89,0 │88,4 │87,7 │87,0 │86,4
2,70 │85,7 │85,1 │84,4 │83,8 │83,2 │82,6 │81,9 │81,3 │80,8 │80,2
2,80 │79,6 │79,0 │78,4 │77,9 │77,3 │76,8 │76,2 │75,7 │75,1 │74,6
2,90 │74,1 │73,6 │73,0 │72,5 │72,0 │71,5 │71,0 │70,5 │70,1 │69,6
3,00 │69,1 │68,6 │68,2 │67,7 │67,3 │66,8 │66,4 │65,9 │65,5 │65,0
3,10 │64,6 │64,2 │63,8 │63,3 │62,9 │62,5 │62,1 │61,7 │61,3 │60,9
3,20 │60,5 │60,1 │59,8 │59,4 │59,0 │58,6 │58,3 │57,9 │57,5 │57,2
3,30 │56,8 │56,5 │56,1 │55,8 │55,4 │55,1 │54,8 │54,4 │54,1 │53,8
3,40 │53,4 │53,1 │52,8 │52,5 │52,2 │51,8 │51,5 │51,2 │50,9 │50,6
3,50 │50,3 │50,0 │49,7 │49,4 │49,2 │48,9 │48,6 │48,3 │48,0 │47,7
3,60 │47,5 │47,2 │46,9 │46,7 │46,4 │46,1 │45,9 │45,6 │45,4 │45,1
3,70 │44,9 │44,6 │44,4 │44,1 │43,9 │43,6 │43,4 │43,1 │42,9 │42,7
3,80 │42,4 │42,2 │42,0 │41,7 │41,5 │41,3 │41,1 │40,9 │40,6 │40,4
3,90 │40,2 │40,0 │39,8 │39,6 │39,4 │39,1 │38,9 │38,7 │38,5 │38,3
4,00 │38,1 │37,9 │37,7 │37,5 │37,3 │37,1 │37,0 │36,8 │36,6 │36,4
4,10 │36,2 │36,0 │35,8 │35,7 │35,5 │35,3 │35,1 │34,9 │34,8 │34,6
4,20 │34,4 │34,2 │34,1 │33,9 │33,7 │33,6 │33,4 │33,2 │33,1 │32,9
4,30 │32,8 │32,6 │32,4 │32,3 │32,1 │32,0 │31,8 │31,7 │31,5 │31,4
4,40 │31,2 │31,1 │30,9 │30,8 │30,6 │30,5 │30,3 │30,2 │30,0 │29,9
4,50 │29,8 │29,6 │29,5 │29,3 │29,2 │29,1 │28,9 │28,8 │28,7 │28,5
4,60 │28,4 │28,3 │28,1 │28,0 │27,9 │27,8 │27,6 │27,5 │27,4 │27,3
4,70 │27,1 │27,0 │26,9 │26,8 │26,6 │26,5 │26,4 │26,3 │26,2 │26,1
4,80 │25,9 │25,8 │25,7 │25,6 │25,5 │25,4 │25,3 │25,1 │25,0 │24,9
4,90 │24,8 │24,7 │24,6 │24,5 │24,4 │24,3 │24,2 │24,1 │24,0 │23,9
5,00 │23,8 │23,7 │23,6 │23,5 │23,4 │23,3 │23,2 │23,1 │23,0 │22,9
5,10 │22,8 │22,7 │22,6 │22,5 │22,4 │22,3 │22,2 │22,1 │22,0 │21,9
5,20 │21,8 │21,7 │21,6 │21,6 │21,5 │21,4 │21,3 │21,2 │21,1 │21,0
5,30 │20,9 │20,9 │20,8 │20,7 │20,6 │20,5 │20,4 │20,3 │20,3 │20,2
5,40 │20,1 │20,0 │19,9 │19,9 │19,8 │19,7 │19,6 │19,5 │19,5 │19,4
5,50 │19,3 │19,2 │19,2 │19,1 │19,0 │18,9 │18,9 │18,8 │18,7 │18,6
5,60 │18,6 │18,5 │18,4 │18,3 │18,3 │18,2 │18,1 │18,1 │18,0 │17,9
5,70 │17,8 │17,8 │17,7 │17,6 │17,6 │17,5 │17,4 │17,4 │17,3 │17,2
5,80 │17,2 │17,1 │17,0 │17,0 │16,9 │16,8 │16,8 │16,7 │16,7 │16,6
5,90 │16,5 │16,5 │16,4 │16,3 │16,3 │16,2 │16,2 │16,1 │16,0 │16,0
6,00 │15,9 │ - │ - │ - │ - │ - │ - │ - │ - │ -
Таблица 3а
При диаметре шарика D = 10 мм, испытательной нагрузке
F = 2450 Н (250 кгс) и K = 2,5
──────┬─────┬─────┬─────┬─────┬─────┬─────┬─────┬─────┬─────┬─────
d, мм │0,00 │0,01 │0,02 │0,03 │0,04 │0,05 │0,06 │0,07 │0,08 │0,09
──────┼─────┼─────┼─────┼─────┼─────┼─────┼─────┼─────┼─────┼─────
2,50 │50,1 │49,7 │49,3 │48,9 │48,5 │48,1 │47,8 │47,4 │47,0 │46,6
2,60 │46,3 │45,9 │45,6 │45,2 │44,9 │44,5 │44,2 │43,8 │43,5 │43,2
2,70 │42,9 │42,5 │42,2 │41,9 │41,6 │41,3 │41,0 │40,7 │40,4 │40,1
2,80 │39,8 │39,5 │39,2 │38,9 │38,7 │38,4 │38,1 │37,8 │37,6 │37,3
2,90 │37,0 │36,8 │36,5 │36,3 │36,0 │35,8 │35,5 │35,3 │35,0 │34,8
3,00 │34,6 │34,3 │34,1 │33,9 │33,6 │33,4 │33,2 │33,0 │32,7 │32,5
3,10 │32,3 │32,1 │31,9 │31,7 │31,5 │31,3 │31,1 │30,9 │30,7 │30,5
3,20 │30,3 │30,1 │29,9 │29,7 │29,5 │29,3 │29,1 │28,9 │28,8 │28,6
3,30 │28,4 │28,2 │28,1 │27,9 │27,7 │27,5 │27,4 │27,2 │27,0 │26,9
3,40 │26,7 │26,6 │26,4 │26,2 │26,1 │25,9 │25,8 │25,6 │25,5 │25,3
3,50 │25,2 │25,0 │24,9 │24,7 │24,6 │24,4 │24,3 │24,2 │24,0 │23,9
3,60 │23,7 │23,6 │23,5 │23,8 │23,2 │23,1 │22,9 │22,8 │22,7 │22,6
3,70 │22,4 │22,3 │22,2 │22,1 │21,9 │22,8 │21,7 │21,6 │21,5 │21,3
3,80 │21,2 │21,1 │21,0 │20,9 │20,8 │20,6 │20,5 │20,4 │20,3 │20,2
3,90 │20,1 │20,0 │19,9 │19,8 │19,7 │19,6 │19,5 │19,4 │19,3 │19,2
4,00 │19,1 │19,0 │18,9 │18,8 │18,7 │18,6 │18,5 │18,4 │18,3 │18,2
4,10 │18,1 │18,0 │17,9 │17,8 │17,6 │17,6 │17,6 │17,5 │17,4 │17,3
4,20 │17,2 │17,1 │17,0 │16,9 │16,9 │16,8 │16,7 │16,6 │16,5 │16,5
4,30 │16,4 │16,3 │16,2 │16,1 │16,1 │16,0 │15,9 │15,8 │15,8 │15,7
4,40 │15,6 │15,5 │15,5 │15,4 │15,3 │15,2 │15,2 │15,1 │15,0 │14,9
4,50 │14,9 │14,8 │14,7 │14,7 │14,6 │14,5 │14,5 │14,4 │14,3 │14,3
4,60 │14,2 │14,1 │14,1 │14,0 │13,9 │13,9 │13,8 │13,8 │13,7 │13,6
4,70 │13,6 │13,5 │13,4 │13,4 │13,3 │13,3 │13,2 │13,1 │13,1 │13,0
4,80 │13,0 │12,9 │12,9 │12,8 │12,7 │12,7 │12,6 │12,6 │12,5 │12,5
4,90 │12,4 │12,4 │12,3 │12,2 │12,2 │12,1 │12,1 │12,0 │12,0 │11,9
5,00 │11,9 │11,8 │11,8 │11,7 │11,7 │11,6 │11,6 │11,5 │11,5 │11,4
5,10 │11,4 │11,3 │11,3 │11,2 │11,2 │11,1 │11,1 │11,1 │11,0 │11,0
5,20 │10,9 │10,9 │10,8 │10,8 │10,7 │10,7 │10,6 │10,6 │10,6 │10,5
5,30 │10,5 │10,4 │10,4 │10,3 │10,3 │10,3 │10,2 │10,2 │10,1 │10,1
5,40 │10,1 │10,0 │9,97 │9,93 │9,89 │9,85 │9,81 │9,77 │9,73 │9,69
5,50 │9,66 │9,62 │9,58 │9,54 │9,50 │9,46 │9,43 │9,39 │9,35 │9,32
5,60 │9,28 │9,24 │9,21 │9,17 │9,18 │9,10 │9,06 │9,03 │8,98 │8,96
5,70 │8,92 │8,89 │8,85 │8,82 │8,79 │8,75 │8,72 │8,68 │8,65 │8,62
5,80 │8,58 │8,55 │8,52 │8,49 │8,45 │8,42 │8,39 │8,36 │8,33 │8,29
5,90 │8,26 │8,23 │8,20 │8,17 │8,14 │8,11 │8,08 │8,05 │8,02 │7,99
6,00 │7,96 │ - │ - │ - │ - │ - │ - │ - │ - │ -
Таблица 4
При диаметре шарика D = 10 мм, испытательной нагрузке
F = 981 Н (100 кгс) и K = 1
──────┬─────┬─────┬─────┬─────┬─────┬─────┬─────┬─────┬─────┬─────
d, мм │0,00 │0,01 │0,02 │0,03 │0,04 │0,05 │0,06 │0,07 │0,08 │0,09
──────┼─────┼─────┼─────┼─────┼─────┼─────┼─────┼─────┼─────┼─────
2,50 │20,0 │19,9 │19,7 │19,6 │19,4 │19,3 │19,1 │19,0 │18,8 │18,7
2,60 │18,5 │18,4 │18,2 │18,1 │17,9 │17,8 │17,7 │17,5 │17,4 │17,3
2,70 │17,1 │17,0 │16,9 │16,8 │16,6 │16,5 │16,4 │16,3 │16,2 │16,0
2,80 │15,9 │15,8 │15,7 │15,6 │15,5 │15,4 │15,2 │15,1 │15,0 │14,9
2,90 │14,8 │14,7 │14,6 │14,5 │14,4 │14,3 │14,2 │14,1 │14,0 │13,9
3,00 │13,8 │13,7 │13,6 │13,5 │13,5 │13,4 │13,3 │13,2 │13,1 │13,0
3,10 │12,9 │12,8 │12,8 │12,7 │12,6 │12,5 │12,4 │12,3 │12,3 │12,2
3,20 │12,1 │12,0 │11,9 │11,8 │11,7 │11,7 │11,6 │11,5 │11,5 │11,4
3,30 │11,4 │11,3 │11,2 │11,2 │11,1 │11,0 │11,0 │10,9 │10,8 │10,8
3,40 │10,7 │10,6 │10,6 │10,5 │10,4 │10,4 │10,3 │10,2 │10,2 │10,1
3,50 │10,1 │10,0 │9,95 │9,89 │9,83 │9,77 │9,72 │9,66 │9,61 │9,55
3,60 │9,50 │9,44 │9,39 │9,33 │9,28 │9,23 │9,18 │9,12 │9,07 │9,02
3,70 │8,97 │8,92 │8,87 │8,82 │8,77 │8,72 │8,68 │8,63 │8,58 │8,53
3,80 │8,49 │8,44 │8,39 │8,35 │8,30 │8,26 │8,21 │8,17 │8,13 │8,08
3,90 │8,04 │8,00 │7,95 │7,91 │7,87 │7,83 │7,79 │7,75 │7,71 │7,67
4,00 │7,63 │7,59 │7,55 │7,51 │7,47 │7,43 │7,39 │7,35 │7,32 │7,28
4,10 │7,24 │7,20 │7,17 │7,13 │7,10 │7,06 │7,02 │6,99 │6,95 │6,92
4,20 │6,88 │6,85 │6,82 │6,78 │6,75 │6,71 │6,68 │6,65 │6,62 │6,58
4,30 │6,55 │6,52 │6,49 │6,46 │6,42 │6,39 │6,36 │6,33 │6,30 │6,27
4,40 │6,24 │6,21 │6,18 │6,15 │6,12 │6,09 │6,06 │6,04 │6,01 │5,98
4,50 │5,95 │5,92 │5,90 │5,87 │5,84 │5,81 │5,79 │5,76 │5,73 │5,71
4,60 │5,68 │5,65 │5,63 │5,60 │5,58 │5,55 │5,53 │5,50 │5,48 │5,45
4,70 │5,43 │5,40 │5,38 │5,35 │5,33 │5,30 │5,28 │5,26 │5,23 │5,21
4,80 │5,19 │5,16 │5,14 │5,12 │5,10 │5,07 │5,05 │5,03 │5,01 │4,98
4,90 │4,96 │4,94 │4,92 │4,90 │4,88 │4,86 │4,83 │4,81 │4,79 │4,77
5,00 │4,75 │4,73 │4,71 │4,69 │4,67 │4,65 │4,63 │4,61 │4,59 │4,57
5,10 │4,55 │4,53 │4,51 │4,50 │4,48 │4,46 │4,44 │4,42 │4,40 │4,38
5,20 │4,37 │4,35 │4,33 │4,31 │4,29 │4,28 │4,26 │4,24 │4,22 │4,21
5,30 │4,19 │4,17 │4,15 │4,14 │4,12 │4,10 │4,09 │4,07 │4,05 │4,04
5,40 │4,02 │4,00 │3,99 │3,97 │3,96 │3,94 │3,92 │3,91 │3,89 │3,88
5,50 │3,86 │3,85 │3,83 │3,82 │3,80 │3,79 │3,77 │3,76 │3,74 │3,73
5,60 │3,71 │3,70 │3,68 │3,67 │3,65 │3,64 │3,63 │3,61 │3,60 │3,58
5,70 │3,57 │3,56 │3,54 │3,53 │3,51 │3,50 │3,49 │3,47 │3,46 │3,45
5,80 │3,43 │3,42 │3,41 │3,39 │3,38 │3,37 │3,36 │3,34 │3,33 │3,32
5,90 │3,31 │0,29 │3,28 │3,27 │3,26 │3,24 │3,23 │3,22 │3,21 │3,20
6,00 │3,18 │ - │ - │ - │ - │ - │ - │ - │ - │ -
Таблица 5
При диаметре шарика D = 5 мм, испытательной нагрузке
F = 7857 Н (750 кгс) и K = 30
──────┬─────┬─────┬─────┬─────┬─────┬─────┬─────┬─────┬─────┬─────
d, мм │0,00 │0,01 │0,02 │0,03 │0,04 │0,05 │0,06 │0,07 │0,08 │0,09
──────┼─────┼─────┼─────┼─────┼─────┼─────┼─────┼─────┼─────┼─────
1,50 │ 415 │ 409 │ 404 │ 398 │ 393 │ 388 │ 383 │ 378 │ 373 │ 368
1,60 │ 363 │ 359 │ 354 │ 350 │ 345 │ 341 │ 337 │ 333 │ 329 │ 325
1,70 │ 321 │ 317 │ 313 │ 309 │ 306 │ 302 │ 298 │ 295 │ 292 │ 288
1,80 │ 285 │ 282 │ 278 │ 275 │ 272 │ 269 │ 266 │ 263 │ 260 │ 257
1,90 │ 255 │ 252 │ 249 │ 246 │ 244 │ 241 │ 239 │ 236 │ 234 │ 231
2,00 │ 229 │ 226 │ 224 │ 222 │ 219 │ 217 │ 215 │ 213 │ 211 │ 209
2,10 │ 207 │ 204 │ 202 │ 200 │ 193 │ 197 │ 195 │ 193 │ 191 │ 189
2,20 │ 187 │ 185 │ 184 │ 182 │ 180 │ 179 │ 177 │ 175 │ 174 │ 172
2,30 │ 170 │ 169 │ 167 │ 166 │ 164 │ 163 │ 161 │ 160 │ 158 │ 157
2,40 │ 156 │ 154 │ 152 │ 152 │ 150 │ 149 │ 148 │ 146 │ 145 │ 144
2,50 │ 143 │ 141 │ 140 │ 139 │ 138 │ 137 │ 135 │ 134 │ 133 │ 132
2,60 │ 131 │ 130 │ 129 │ 128 │ 127 │ 126 │ 125 │ 124 │ 123 │ 122
2,70 │ 121 │ 120 │ 119 │ 118 │ 117 │ 116 │ 115 │ 114 │ 113 │ 112
2,80 │ 111 │ 110 │ 110 │ 109 │ 108 │ 107 │ 106 │ 105 │ 105 │ 104
2,90 │ 103 │ 102 │ 101 │ 101 │99,9 │99,2 │98,4 │97,7 │96,9 │96,2
3,00 │95,5 │ - │ - │ - │ - │ - │ - │ - │ - │ -
Таблица 6
При диаметре шарика D = 5 мм, испытательной нагрузке
F = 2452 Н (250 кгс) и K = 10
──────┬─────┬─────┬─────┬─────┬─────┬─────┬─────┬─────┬─────┬─────
d, мм │0,00 │0,01 │0,02 │0,03 │0,04 │0,05 │0,06 │0,07 │0,08 │0,09
──────┼─────┼─────┼─────┼─────┼─────┼─────┼─────┼─────┼─────┼─────
1,20 │ - │ - │ - │ - │ - │ 200 │ 197 │ 194 │ 191 │ 188
1,30 │ 185 │ 182 │ 179 │ 177 │ 174 │ 171 │ 169 │ 166 │ 164 │ 162
1,40 │ 15 │ 157 │ 155 │ 152 │ 150 │ 148 │ 146 │ 144 │ 142 │ 140
1,50 │ 138 │ 136 │ 135 │ 133 │ 131 │ 129 │ 128 │ 126 │ 124 │ 123
1,60 │ 121 │ 120 │ 118 │ 117 │ 115 │ 114 │ 112 │ 111 │ 110 │ 108
1,70 │ 107 │ 106 │ 104 │ 103 │ 102 │ 101 │99,5 │98,3 │97,2 │96,1
1,80 │95,0 │93,9 │92,8 │91,8 │90,7 │89,7 │88,7 │87,7 │86,8 │85,8
1,90 │84,9 │83,9 │83,0 │82,1 │81,3 │80,4 │79,5 │78,7 │77,9 │77,1
2,00 │76,3 │75,5 │74,7 │73,2 │73,2 │72,4 │71,7 │71,0 │70,2 │69,5
2,10 │68,8 │68,2 │67,5 │66,8 │66,2 │65,5 │64,9 │64,2 │63,6 │63,0
2,20 │62,4 │61,8 │61,2 │60,6 │60,1 │59,5 │59,0 │58,4 │57,9 │57,3
2,30 │56,8 │56,3 │55,8 │55,3 │54,8 │54,3 │52,8 │53,3 │52,8 │52,3
2,40 │51,9 │51,4 │51,0 │50,5 │50,1 │49,6 │49,2 │48,8 │48,3 │47,9
2,50 │47,5 │47,1 │46,7 │46,3 │45,9 │45,5 │45,1 │44,8 │44,4 │44,0
2,60 │43,7 │43,3 │42,9 │42,6 │42,2 │41,9 │41,5 │41,2 │40,9 │40,5
2,70 │40,2 │39,9 │39,6 │39,2 │38,9 │38,6 │38,3 │38,0 │37,7 │37,4
2,80 │37,1 │36,8 │36,5 │36,3 │36,0 │35,7 │35,4 │35,1 │34,9 │34,6
2,90 │34,3 │34,1 │33,8 │33,6 │33,3 │33,1 │32,8 │32,6 │32,3 │32,1
3,00 │31,8 │ - │ - │ - │ - │ - │ - │ - │ - │ -
Таблица 7
При диаметре шарика D = 5 мм, испытательной нагрузке
F = 1226 Н (125 кгс) и K = 5
──────┬─────┬─────┬─────┬─────┬─────┬─────┬─────┬─────┬─────┬─────
d, мм │0,00 │0,01 │0,02 │0,03 │0,04 │0,05 │0,06 │0,07 │0,08 │0,09
──────┼─────┼─────┼─────┼─────┼─────┼─────┼─────┼─────┼─────┼─────
1,20 │ - │ - │ - │ - │ - │ 100 │98,6 │97,1 │95,5 │94,0
1,30 │92,6 │91,1 │89,7 │88,4 │87,0 │85,7 │84,4 │83,2 │81,9 │80,8
1,40 │79,6 │78,4 │77,3 │76,2 │75,1 │74,1 │73,0 │72,0 │71,0 │70,1
1,50 │69,1 │68,2 │67,3 │66,4 │65,5 │64,6 │63,8 │62,9 │62,1 │61,3
1,60 │60,5 │59,8 │59,0 │58,3 │57,5 │56,8 │56,1 │55,4 │54,8 │54,1
1,70 │53,4 │52,8 │52,2 │51,5 │50,9 │50,3 │49,7 │49,2 │48,6 │48,0
1,80 │47,5 │46,9 │46,4 │45,9 │45,4 │44,9 │44,4 │43,9 │43,4 │42,9
1,90 │42,4 │42,0 │41,5 │41,1 │40,6 │40,2 │39,8 │39,4 │38,9 │38,5
2,00 │38,1 │37,7 │37,3 │37,0 │36,6 │36,2 │35,8 │35,5 │35,1 │34,8
2,10 │34,4 │34,1 │33,7 │33,4 │33,1 │32,8 │32,4 │32,1 │31,8 │31,5
2,20 │31,2 │30,9 │30,6 │30,3 │30,0 │29,8 │29,5 │29,2 │28,9 │28,7
2,30 │28,4 │28,1 │27,9 │27,6 │27,4 │27,1 │26,9 │26,6 │26,4 │26,2
2,40 │25,9 │25,7 │25,5 │25,3 │25,0 │24,8 │24,6 │24,4 │24,2 │24,0
2,50 │23,8 │23,6 │23,4 │23,2 │23,0 │22,8 │22,6 │22,4 │22,2 │22,0
2,60 │21,8 │21,6 │21,5 │21,3 │21,1 │20,9 │20,8 │20,6 │20,4 │20,3
2,70 │20,1 │19,9 │19,8 │18,6 │19,5 │19,3 │19,2 │19,0 │18,9 │18,7
2,80 │18,6 │18,4 │18,3 │18,1 │18,0 │17,8 │17,7 │17,6 │17,4 │17,3
2,90 │17,2 │17,0 │16,9 │16,8 │16,7 │16,5 │16,4 │16,3 │16,2 │16,0
3,00 │15,9 │ - │ - │ - │ - │ - │ - │ - │ - │ -
Таблица 7а
При диаметре шарика D = 5 мм, испытательной нагрузке
F = 613 Н (62,5 кгс) и K = 2,5
──────┬─────┬─────┬─────┬─────┬─────┬─────┬─────┬─────┬─────┬─────
d, мм │0,00 │0,01 │0,02 │0,03 │0,04 │0,05 │0,06 │0,07 │0,08 │0,09
──────┼─────┼─────┼─────┼─────┼─────┼─────┼─────┼─────┼─────┼─────
1,20 │ - │ - │ - │ - │ - │50,1 │49,3 │48,5 │47,8 │47,0
1,30 │46,3 │45,6 │44,9 │44,2 │43,5 │42,9 │42,2 │41,6 │41,0 │40,4
1,40 │39,8 │39,2 │38,7 │38,1 │37,6 │37,0 │36,5 │36,0 │35,5 │35,0
1,50 │34,6 │34,1 │33,6 │33,2 │32,7 │32,3 │31,9 │31,5 │31,1 │30,7
1,60 │30,3 │29,9 │29,5 │29,1 │28,8 │28,4 │28,1 │27,7 │27,4 │27,0
1,70 │26,7 │26,4 │26,1 │25,8 │25,5 │25,2 │24,9 │24,6 │24,3 │24,0
1,80 │23,7 │23,5 │23,2 │22,9 │22,7 │22,4 │22,2 │21,9 │21,7 │21,5
1,90 │21,2 │21,0 │20,8 │20,5 │20,3 │20,1 │19,9 │19,7 │19,5 │19,3
2,00 │19,1 │18,9 │18,7 │18,5 │18,3 │18,1 │17,9 │17,7 │17,6 │17,4
2,10 │17,2 │17,0 │16,9 │16,7 │16,5 │16,4 │16,2 │16,1 │15,9 │15,8
2,20 │15,9 │15,5 │15,3 │15,2 │15,0 │14,9 │14,7 │14,6 │14,5 │14,3
2,30 │14,2 │14,1 │13,9 │13,8 │13,7 │13,6 │13,4 │13,3 │13,2 │13,1
2,40 │13,0 │12,9 │12,7 │12,6 │12,5 │12,4 │12,3 │12,2 │12,1 │12,0
2,50 │11,9 │11,8 │11,7 │11,6 │11,5 │11,4 │11,3 │11,2 │11,1 │11,0
2,60 │10,9 │10,8 │10,7 │10,6 │10,6 │10,5 │10,4 │10,3 │10,2 │10,1
2,70 │10,1 │9,97 │9,89 │9,81 │9,73 │9,66 │9,58 │9,50 │9,43 │9,35
2,80 │9,28 │9,21 │9,13 │8,96 │8,99 │8,92 │8,85 │8,79 │8,72 │8,65
2,90 │8,58 │8,52 │8,45 │8,39 │8,33 │8,26 │8,20 │8,14 │8,08 │8,02
3,00 │7,96 │ - │ - │ - │ - │ - │ - │ - │ - │ -
Таблица 8
При диаметре шарика D = 5 мм, испытательной нагрузке
F = 245 Н (25 кгс) и K = 1
──────┬─────┬─────┬─────┬─────┬─────┬─────┬─────┬─────┬─────┬─────
d, мм │0,00 │0,01 │0,02 │0,03 │0,04 │0,05 │0,06 │0,07 │0,08 │0,09
──────┼─────┼─────┼─────┼─────┼─────┼─────┼─────┼─────┼─────┼─────
1,20 │ - │ - │ - │ - │ - │20,0 │19,7 │19,4 │19,1 │18,8
1,30 │18,5 │18,2 │17,9 │17,7 │17,4 │17,1 │16,9 │16,6 │16,4 │16,2
1,40 │15,9 │15,7 │15,5 │15,2 │15,0 │14,8 │14,6 │14,4 │14,2 │14,0
1,50 │13,8 │13,6 │13,5 │13,3 │13,1 │12,9 │12,8 │12,6 │12,4 │12,3
1,60 │12,1 │12,0 │11,8 │11,7 │11,5 │11,4 │11,2 │11,1 │11,0 │10,8
1,70 │10,7 │10,6 │10,4 │10,3 │10,2 │10,1 │9,95 │9,83 │9,72 │9,61
1,80 │9,50 │9,39 │9,28 │9,18 │9,07 │8,97 │8,87 │8,77 │8,68 │8,58
1,90 │8,49 │8,39 │8,30 │8,21 │8,13 │8,04 │7,95 │7,87 │7,79 │7,71
2,00 │7,63 │7,55 │7,47 │7,39 │7,32 │7,24 │7,17 │7,10 │7,02 │6,95
2,10 │6,88 │6,82 │6,75 │6,68 │6,62 │6,55 │6,49 │6,42 │6,36 │6,30
2,20 │6,24 │6,18 │6,12 │6,05 │6,01 │5,95 │5,90 │5,84 │5,79 │5,72
2,30 │5,68 │5,63 │5,58 │5,53 │5,48 │5,43 │5,38 │5,33 │5,28 │5,23
2,40 │5,19 │5,14 │5,10 │5,05 │5,01 │4,96 │4,92 │4,88 │4,83 │4,79
2,50 │4,75 │4,71 │4,67 │4,63 │4,59 │4,55 │4,51 │4,48 │4,44 │4,40
2,60 │4,37 │4,33 │4,29 │4,26 │4,22 │4,19 │4,15 │4,12 │4,09 │4,05
2,70 │4,02 │3,99 │3,96 │3,92 │3,89 │3,86 │3,83 │3,80 │3,77 │3,74
2,80 │3,71 │3,68 │3,65 │3,63 │3,60 │3,57 │3,54 │3,51 │3,49 │3,46
2,90 │3,43 │3,41 │3,38 │3,36 │3,33 │3,31 │3,28 │3,26 │3,23 │3,21
3,00 │3,18 │ - │ - │ - │ - │ - │ - │ - │ - │ -
Таблица 9
При диаметре шарика D = 2,5 мм, испытательной нагрузке
F = 1840 Н (187,5 кгс) и K = 30
──────┬─────┬─────┬─────┬─────┬─────┬─────┬─────┬─────┬─────┬─────
d, мм │0,000│0,001│0,002│0,003│0,004│0,005│0,006│0,007│0,008│0,009
──────┼─────┼─────┼─────┼─────┼─────┼─────┼─────┼─────┼─────┼─────
0,720 │ 451 │ 449 │ 448 │ 447 │ 446 │ 444 │ 443 │ 442 │ 441 │ 439
0,730 │ 438 │ 437 │ 436 │ 435 │ 433 │ 432 │ 431 │ 430 │ 429 │ 427
0,740 │ 426 │ 425 │ 424 │ 423 │ 422 │ 420 │ 419 │ 418 │ 417 │ 416
0,750 │ 415 │ 413 │ 412 │ 411 │ 410 │ 409 │ 408 │ 407 │ 406 │ 405
0,760 │ 404 │ 402 │ 401 │ 400 │ 399 │ 398 │ 397 │ 396 │ 395 │ 394
0,770 │ 393 │ 392 │ 391 │ 390 │ 389 │ 388 │ 387 │ 386 │ 385 │ 384
0,780 │ 383 │ 382 │ 381 │ 380 │ 379 │ 378 │ 377 │ 376 │ 375 │ 374
0,790 │ 373 │ 372 │ 371 │ 370 │ 369 │ 368 │ 367 │ 366 │ 365 │ 364
0,800 │ 363 │ 362 │ 361 │ 360 │ 359 │ 359 │ 358 │ 357 │ 356 │ 355
0,810 │ 354 │ 353 │ 352 │ 351 │ 350 │ 350 │ 349 │ 348 │ 347 │ 346
0,820 │ 345 │ 344 │ 344 │ 343 │ 342 │ 341 │ 340 │ 339 │ 338 │ 338
0,830 │ 337 │ 336 │ 335 │ 334 │ 333 │ 333 │ 332 │ 331 │ 330 │ 329
0,840 │ 328 │ 328 │ 327 │ 326 │ 325 │ 324 │ 324 │ 323 │ 322 │ 321
0,850 │ 321 │ 320 │ 319 │ 318 │ 317 │ 317 │ 316 │ 315 │ 314 │ 314
0,860 │ 313 │ 312 │ 311 │ 311 │ 310 │ 309 │ 308 │ 208 │ 307 │ 306
0,870 │ 306 │ 305 │ 304 │ 303 │ 303 │ 302 │ 301 │ 301 │ 300 │ 299
0,880 │ 298 │ 298 │ 297 │ 296 │ 296 │ 295 │ 294 │ 294 │ 293 │ 292
0,890 │ 291 │ 291 │ 290 │ 289 │ 289 │ 288 │ 287 │ 287 │ 286 │ 285
0,900 │ 285 │ 284 │ 284 │ 283 │ 282 │ 282 │ 281 │ 280 │ 280 │ 279
0,910 │ 278 │ 278 │ 277 │ 276 │ 276 │ 275 │ 275 │ 274 │ 273 │ 273
0,920 │ 272 │ 272 │ 271 │ 270 │ 270 │ 269 │ 269 │ 268 │ 267 │ 267
0,930 │ 266 │ 266 │ 265 │ 264 │ 264 │ 263 │ 263 │ 262 │ 261 │ 261
0,940 │ 260 │ 260 │ 259 │ 259 │ 258 │ 257 │ 257 │ 256 │ 256 │ 255
0,950 │ 255 │ 254 │ 253 │ 253 │ 252 │ 252 │ 251 │ 251 │ 250 │ 250
0,960 │ 249 │ 249 │ 248 │ 247 │ 247 │ 246 │ 246 │ 245 │ 245 │ 244
0,970 │ 244 │ 243 │ 243 │ 242 │ 242 │ 241 │ 241 │ 240 │ 240 │ 239
0,980 │ 239 │ 239 │ 238 │ 237 │ 237 │ 236 │ 236 │ 235 │ 235 │ 234
0,990 │ 234 │ 233 │ 233 │ 232 │ 232 │ 231 │ 231 │ 230 │ 230 │ 229
1,000 │ 229 │ 228 │ 228 │ 227 │ 227 │ 226 │ 226 │ 225 │ 225 │ 225
1,010 │ 224 │ 224 │ 223 │ 223 │ 222 │ 222 │ 221 │ 221 │ 220 │ 220
1,020 │ 219 │ 219 │ 219 │ 218 │ 218 │ 217 │ 217 │ 216 │ 216 │ 215
1,030 │ 215 │ 215 │ 214 │ 214 │ 213 │ 213 │ 212 │ 212 │ 212 │ 211
1,040 │ 211 │ - │ 210 │ 209 │ 209 │ 209 │ 208 │ 208 │ 207 │ 207
1,050 │ 207 │ - │ 206 │ 205 │ 205 │ 204 │ 204 │ 204 │ 203 │ 203
1,060 │ 202 │ - │ 202 │ 201 │ 201 │ 200 │ 200 │ 200 │ 199 │ 199
1,070 │ 198 │ 198 │ 198 │ 197 │ 197 │ 197 │ 196 │ 196 │ 195 │ 195
1,080 │ 195 │ 194 │ 194 │ 193 │ 193 │ 193 │ 192 │ 192 │ 192 │ 191
1,090 │ 191 │ 191 │ 190 │ 190 │ 189 │ 189 │ 189 │ 188 │ 188 │ 188
1,100 │ 187 │ 187 │ 187 │ 186 │ 186 │ 185 │ 185 │ 185 │ 184 │ 184
1,110 │ 184 │ 183 │ 183 │ 183 │ 182 │ 182 │ 182 │ 181 │ 181 │ 181
1,120 │ 180 │ 180 │ 180 │ 179 │ 179 │ 179 │ 178 │ 178 │ 178 │ 177
1,130 │ 177 │ 177 │ 176 │ 176 │ 176 │ 175 │ 175 │ 175 │ 174 │ 174
1,140 │ 174 │ 173 │ 173 │ 173 │ 172 │ 172 │ 172 │ 171 │ 171 │ 171
1,150 │ 170 │ 170 │ 170 │ 169 │ 169 │ 169 │ 169 │ 168 │ 168 │ 168
1,160 │ 167 │ 167 │ 167 │ 166 │ 166 │ 166 │ 165 │ 165 │ 165 │ 165
1,170 │ 164 │ 164 │ 164 │ 163 │ 163 │ 163 │ 162 │ 162 │ 162 │ 162
1,180 │ 161 │ 161 │ 161 │ 161 │ 160 │ 160 │ 160 │ 159 │ 159 │ 159
1,190 │ 158 │ 158 │ 158 │ 158 │ 157 │ 157 │ 157 │ 156 │ 156 │ 156
1,200 │ 156 │ 155 │ 155 │ 155 │ 155 │ 154 │ 154 │ 154 │ 153 │ 153
1,210 │ 153 │ 153 │ 152 │ 152 │ 152 │ 152 │ 151 │ 151 │ 151 │ 150
1,220 │ 150 │ 150 │ 150 │ 149 │ 149 │ 149 │ 149 │ 148 │ 148 │ 148
1,230 │ 148 │ 147 │ 147 │ 147 │ 147 │ 146 │ 146 │ 146 │ 146 │ 145
1,240 │ 145 │ 145 │ 145 │ 144 │ 144 │ 144 │ 144 │ 143 │ 143 │ 143
1,250 │ 143 │ 142 │ 142 │ 142 │ 142 │ 141 │ 141 │ 141 │ 141 │ 140
1,260 │ 140 │ 140 │ 140 │ 139 │ 139 │ 139 │ 139 │ 138 │ 138 │ 138
1,270 │ 138 │ 138 │ 137 │ 137 │ 137 │ 137 │ 136 │ 136 │ 136 │ 136
1,280 │ 135 │ 135 │ 135 │ 135 │ 135 │ 134 │ 134 │ 134 │ 134 │ 133
1,290 │ 133 │ 133 │ 133 │ 133 │ 132 │ 132 │ 132 │ 132 │ 131 │ 131
1,300 │ 131 │ 131 │ 131 │ 131 │ 130 │ 130 │ 130 │ 129 │ 129 │ 129
1,310 │ 129 │ 129 │ 128 │ 128 │ 128 │ 128 │ 128 │ 127 │ 127 │ 127
1,320 │ 127 │ 126 │ 126 │ 126 │ 126 │ 126 │ 125 │ 125 │ 125 │ 125
1,330 │ 125 │ 124 │ 124 │ 124 │ 124 │ 124 │ 123 │ 123 │ 123 │ 123
1,340 │ 123 │ 122 │ 122 │ 122 │ 122 │ 122 │ 121 │ 121 │ 121 │ 121
1,350 │ 121 │ 120 │ 120 │ 120 │ 120 │ 120 │ 119 │ 119 │ 119 │ 119
1,360 │ 119 │ 118 │ 118 │ 118 │ 118 │ 118 │ 118 │ 117 │ 117 │ 117
1,370 │ 117 │ 117 │ 116 │ 116 │ 116 │ 116 │ 116 │ 115 │ 115 │ 115
1,380 │ 115 │ 115 │ 115 │ 114 │ 114 │ 114 │ 114 │ 114 │ 113 │ 113
1,390 │ 113 │ 113 │ 113 │ 113 │ 112 │ 112 │ 112 │ 112 │ 112 │ 112
1,400 │ 111 │ 111 │ 111 │ 111 │ 111 │ 110 │ 110 │ 110 │ 110 │ 110
1,410 │ 110 │ 109 │ 109 │ 109 │ 109 │ 109 │ 109 │ 108 │ 108 │ 108
1,420 │ 108 │ 108 │ 108 │ 107 │ 107 │ 107 │ 107 │ 107 │ 107 │ 106
1,430 │ 106 │ 106 │ 106 │ 106 │ 106 │ 105 │ 105 │ 105 │ 105 │ 105
1,440 │ 105 │ 104 │ 104 │ 104 │ 104 │ 104 │ 104 │ 103 │ 103 │ 103
1,450 │ 103 │ 103 │ 103 │ 103 │ 102 │ 102 │ 102 │ 102 │ 102 │ 102
1,460 │ 101 │ 101 │ 101 │ 101 │ 101 │ 101 │ 101 │ 100 │ 100 │ 100
1,470 │99,9 │99,8 │99,6 │99,5 │99,3 │99,2 │99,0 │98,9 │98,7 │98,6
1,480 │98,4 │98,3 │98,1 │98,0 │97,8 │97,7 │97,5 │97,4 │97,2 │97,1
1,490 │96,9 │96,8 │96,6 │96,5 │96,4 │96,2 │96,1 │95,9 │95,8 │95,6
1,500 │95,5 │ - │ - │ - │ - │ - │ - │ - │ - │ -
Таблица 10
При диаметре шарика D = 2,5 мм, испытательной нагрузке
F = 613 Н (62,5 кгс) и K = 10 (табл. 10)
──────┬─────┬─────┬─────┬─────┬─────┬─────┬─────┬─────┬─────┬─────
d, мм │0,000│0,001│0,002│0,003│0,004│0,005│0,006│0,007│0,008│0,009
──────┼─────┼─────┼─────┼─────┼─────┼─────┼─────┼─────┼─────┼─────
0,620 │ - │ - │ - │ - │ - │ 200 │ 200 │ 199 │ 199 │ 198
0,630 │ 197 │ 197 │ 196 │ 195 │ 195 │ 194 │ 194 │ 193 │ 192 │ 192
0,640 │ 191 │ 190 │ 190 │ 189 │ 189 │ 188 │ 187 │ 187 │ 186 │ 186
0,650 │ 185 │ 185 │ 184 │ 183 │ 183 │ 182 │ 182 │ 181 │ 181 │ 180
0,660 │ 179 │ 179 │ 178 │ 178 │ 177 │ 177 │ 176 │ 176 │ 175 │ 175
0,670 │ 174 │ 174 │ 173 │ 172 │ 172 │ 171 │ 171 │ 170 │ 170 │ 169
0,680 │ 169 │ 168 │ 168 │ 167 │ 167 │ 166 │ 166 │ 165 │ 165 │ 164
0,690 │ 164 │ 163 │ 163 │ 162 │ 162 │ 161 │ 161 │ 161 │ 160 │ 160
0,700 │ 159 │ 159 │ 158 │ 158 │ 157 │ 157 │ 156 │ 156 │ 156 │ 155
0,710 │ 155 │ 154 │ 154 │ 153 │ 153 │ 152 │ 152 │ 152 │ 151 │ 151
0,720 │ 150 │ 150 │ 149 │ 149 │ 149 │ 148 │ 148 │ 147 │ 147 │ 146
0,730 │ 146 │ 146 │ 145 │ 145 │ 144 │ 144 │ 144 │ 143 │ 143 │ 142
0,740 │ 142 │ 142 │ 141 │ 141 │ 141 │ 140 │ 140 │ 139 │ 139 │ 139
0,750 │ 138 │ 138 │ 137 │ 137 │ 137 │ 136 │ 136 │ 136 │ 135 │ 135
0,760 │ 135 │ 134 │ 134 │ 133 │ 133 │ 133 │ 132 │ 132 │ 132 │ 131
0,770 │ 131 │ 131 │ 130 │ 130 │ 130 │ 129 │ 129 │ 129 │ 128 │ 128
0,780 │ 128 │ 127 │ 127 │ 127 │ 126 │ 126 │ 126 │ 125 │ 125 │ 125
0,790 │ 124 │ 124 │ 124 │ 123 │ 123 │ 123 │ 122 │ 122 │ 122 │ 121
0,800 │ 121 │ 121 │ 120 │ 120 │ 120 │ 120 │ 119 │ 119 │ 119 │ 119
0,810 │ 118 │ 118 │ 117 │ 117 │ 117 │ 117 │ 116 │ 116 │ 116 │ 116
0,820 │ 115 │ 115 │ 115 │ 114 │ 114 │ 114 │ 113 │ 113 │ 113 │ 113
0,830 │ 112 │ 112 │ 112 │ 111 │ 111 │ 111 │ 111 │ 110 │ 110 │ 110
0,840 │ 109 │ 109 │ 109 │ 109 │ 108 │ 108 │ 108 │ 108 │ 107 │ 107
0,850 │ 107 │ 107 │ 106 │ 106 │ 106 │ 106 │ 105 │ 105 │ 105 │ 105
0,860 │ 104 │ 104 │ 104 │ 104 │ 103 │ 103 │ 103 │ 103 │ 102 │ 102
0,870 │ 102 │ 102 │ 101 │ 101 │ 101 │ 101 │ 100 │ 100 │99,9 │99,7
0,880 │99,5 │99,2 │99,0 │98,8 │98,5 │98,3 │98,1 │97,9 │97,6 │97,4
0,890 │97,2 │96,9 │96,7 │96,5 │96,3 │96,1 │95,8 │95,6 │95,4 │95,2
0,900 │94,9 │94,7 │94,5 │94,3 │94,1 │93,9 │93,6 │93,4 │93,2 │93,0
0,910 │92,8 │92,6 │92,4 │92,2 │92,0 │91,7 │91,5 │91,3 │91,1 │90,9
0,920 │90,7 │90,5 │90,3 │90,1 │89,9 │89,7 │89,5 │89,3 │89,1 │88,9
0,930 │88,7 │88,5 │88,3 │88,1 │87,9 │87,7 │87,5 │87,3 │87,1 │86,9
0,940 │86,8 │86,6 │86,4 │86,2 │86,0 │85,8 │85,6 │85,4 │85,2 │85,1
0,950 │84,9 │84,7 │84,5 │84,3 │84,1 │83,9 │83,8 │83,6 │83,4 │83,2
0,960 │83,0 │82,9 │82,7 │82,5 │82,3 │82,1 │82,0 │81,8 │81,6 │81,4
0,970 │81,3 │81,1 │80,9 │80,7 │80,6 │80,4 │80,2 │80,0 │79,9 │79,7
0,980 │79,5 │79,4 │79,2 │79,0 │78,9 │78,7 │78,5 │78,4 │78,2 │78,0
0,990 │77,9 │77,7 │77,5 │77,4 │77,2 │77,1 │76,9 │76,7 │76,6 │76,4
1,000 │76,3 │76,1 │75,9 │75,8 │75,6 │75,5 │75,3 │75,2 │75,0 │74,8
1,010 │74,7 │74,5 │74,4 │74,2 │74,1 │73,9 │73,8 │73,6 │73,5 │73,3
1,020 │73,2 │73,0 │72,9 │72,7 │72,6 │72,4 │72,3 │72,1 │72,0 │71,8
1,030 │71,7 │71,5 │71,4 │71,2 │71,1 │71,0 │70,8 │70,7 │70,5 │70,4
1,040 │70,2 │70,1 │70,0 │69,8 │69,7 │69,5 │69,4 │69,3 │69,1 │69,0
1,050 │68,8 │68,7 │68,6 │68,4 │68,3 │68,2 │68,0 │67,9 │67,8 │67,6
1,060 │67,5 │67,3 │67,2 │67,1 │66,9 │66,8 │66,7 │66,6 │66,4 │66,3
1,070 │66,2 │66,0 │65,9 │65,8 │65,6 │65,5 │65,4 │65,3 │65,1 │65,0
1,080 │64,9 │64,7 │64,6 │64,5 │64,4 │64,2 │64,1 │64,0 │63,9 │63,8
1,090 │63,6 │63,5 │63,4 │63,3 │63,1 │63,0 │62,9 │62,8 │62,7 │62,5
1,100 │62,4 │62,3 │62,2 │62,1 │61,9 │61,8 │61,7 │61,6 │61,5 │61,3
1,110 │61,2 │61,1 │61,0 │60,9 │60,8 │60,6 │60,5 │60,4 │60,3 │60,2
1,120 │60,1 │60,0 │59,8 │59,7 │59,6 │59,5 │59,4 │59,3 │59,2 │59,1
1,130 │59,0 │58,8 │58,7 │58,6 │58,5 │58,4 │58,3 │58,2 │58,1 │58,0
1,140 │57,9 │57,8 │57,6 │57,5 │57,4 │57,3 │57,2 │57,1 │57,0 │56,9
1,150 │56,8 │56,7 │56,6 │56,5 │56,4 │56,3 │56,2 │56,1 │56,0 │55,9
1,160 │55,8 │55,7 │55,6 │55,5 │55,4 │55,3 │55,2 │55,1 │55,0 │54,9
1,170 │54,8 │54,7 │54,6 │54,5 │54,4 │54,3 │54,2 │54,1 │54,0 │53,9
1,180 │53,8 │53,7 │53,6 │53,5 │53,4 │53,3 │53,2 │53,1 │53,0 │52,9
1,190 │52,8 │52,7 │52,6 │52,5 │52,4 │52,3 │52,2 │52,1 │52,1 │52,0
1,200 │51,9 │51,8 │51,7 │51,6 │51,5 │51,4 │51,3 │51,2 │51,1 │51,0
1,210 │51,0 │50,9 │50,8 │50,7 │50,6 │50,5 │50,4 │50,3 │50,2 │50,0
1,220 │50,1 │50,0 │49,9 │49,8 │49,7 │49,6 │49,5 │49,5 │49,4 │49,3
1,230 │49,2 │49,1 │49,0 │48,9 │48,9 │48,8 │48,7 │48,6 │48,5 │48,4
1,240 │48,3 │48,3 │48,2 │48,1 │48,0 │47,9 │47,8 │47,8 │47,7 │47,6
1,250 │47,5 │47,4 │47,4 │47,3 │47,2 │47,1 │47,0 │46,9 │46,9 │46,8
1,260 │46,7 │46,6 │46,5 │46,5 │46,4 │46,3 │46,2 │46,2 │46,1 │46,0
1,270 │45,9 │45,8 │45,8 │45,7 │45,6 │45,5 │45,5 │45,4 │45,3 │45,2
1,280 │45,1 │45,1 │45,0 │44,9 │44,8 │44,8 │44,7 │44,6 │44,5 │44,5
1,290 │44,4 │44,3 │44,2 │44,2 │44,1 │44,0 │43,9 │43,9 │43,8 │43,7
1,300 │43,7 │43,6 │43,5 │43,4 │43,4 │43,3 │43,2 │43,1 │43,1 │43,0
1,310 │42,9 │42,9 │42,8 │42,7 │42,6 │42,6 │42,5 │42,4 │42,4 │42,3
1,320 │42,2 │42,2 │42,1 │42,0 │41,9 │41,8 │41,7 │41,7 │41,7 │41,6
1,330 │41,5 │41,5 │41,4 │41,3 │41,3 │41,2 │41,1 │41,1 │41,0 │40,9
1,340 │40,9 │40,8 │40,7 │40,7 │40,6 │40,5 │40,5 │40,4 │40,3 │40,3
1,350 │40,2 │40,1 │40,1 │40,0 │39,9 │39,9 │39,8 │39,8 │39,7 │39,6
1,360 │39,6 │39,5 │39,4 │39,4 │39,3 │39,2 │39,2 │39,1 │39,1 │39,0
1,370 │38,9 │38,9 │38,8 │38,7 │38,7 │38,6 │38,6 │38,5 │38,4 │38,4
1,380 │38,3 │38,3 │38,2 │38,1 │38,1 │38,0 │38,0 │37,9 │37,8 │37,8
1,390 │37,7 │37,6 │37,6 │37,5 │37,5 │37,4 │37,4 │37,3 │37,2 │37,2
1,400 │37,1 │37,1 │37,0 │36,9 │36,9 │36,8 │36,8 │36,7 │36,7 │36,6
1,410 │36,5 │36,5 │36,4 │36,4 │36,3 │36,3 │36,2 │36,1 │36,1 │36,0
1,420 │36,0 │35,9 │35,9 │35,9 │35,7 │35,7 │35,6 │35,6 │35,5 │35,5
1,430 │35,4 │35,4 │35,3 │35,3 │35,2 │35,1 │35,1 │35,0 │35,0 │34,9
1,440 │34,9 │34,8 │34,8 │34,7 │34,7 │34,6 │34,6 │34,5 │34,4 │34,4
1,450 │34,3 │34,3 │34,2 │34,2 │34,1 │34,1 │34,0 │34,0 │33,9 │33,9
1,460 │33,8 │33,8 │33,7 │33,6 │33,6 │33,5 │33,5 │33,5 │33,4 │33,4
1,470 │33,3 │33,3 │33,2 │33,2 │33,1 │33,1 │33,0 │33,0 │32,9 │32,9
1,480 │32,8 │32,8 │32,7 │32,7 │32,6 │32,6 │32,5 │32,5 │32,4 │32,4
1,490 │32,3 │32,3 │32,2 │32,2 │32,1 │32,1 │32,0 │32,0 │31,9 │31,9
1,500 │31,8 │ - │ - │ - │ - │ - │ - │ - │ - │ -
Таблица 11
При диаметре шарика D = 2,5 мм, испытательной нагрузке
F = 306,5 Н (31,25 кгс) и K = 5
──────┬─────┬─────┬─────┬─────┬─────┬─────┬─────┬─────┬─────┬─────
d, мм │0,000│0,001│0,002│0,003│0,004│0,005│0,006│0,007│0,008│0,009
──────┼─────┼─────┼─────┼─────┼─────┼─────┼─────┼─────┼─────┼─────
0,620 │ - │ - │ - │ - │ - │ 100 │99,8 │99,6 │99,3 │98,9
0,630 │98,6 │98,3 │98,0 │97,7 │97,4 │97,0 │96,8 │96,4 │96,1 │95,8
0,640 │95,5 │95,2 │94,9 │94,6 │94,3 │94,0 │93,7 │93,4 │93,1 │92,8
0,650 │92,5 │92,3 │92,0 │91,7 │91,4 │91,1 │90,8 │90,6 │90,3 │90,0
0,660 │89,7 │89,4 │89,2 │88,9 │88,6 │88,3 │88,1 │87,8 │87,5 │87,3
0,670 │87,0 │86,8 │86,5 │86,2 │86,0 │85,7 │85,5 │85,2 │84,9 │84,7
0,680 │84,4 │84,2 │83,9 │83,7 │83,4 │83,2 │82,9 │82,7 │82,4 │82,2
0,690 │82,0 │81,7 │81,5 │81,2 │81,0 │80,7 │80,5 │80,3 │80,0 │79,8
0,700 │79,6 │79,3 │79,4 │78,9 │78,7 │78,4 │78,2 │78,0 │77,8 │77,5
0,710 │77,3 │77,1 │76,8 │76,6 │76,4 │76,2 │76,0 │75,8 │75,6 │75,3
0,720 │75,1 │74,9 │74,7 │74,5 │74,3 │74,1 │73,9 │73,6 │73,4 │73,2
0,730 │73,0 │72,8 │72,6 │72,4 │72,2 │72,0 │71,8 │71,6 │71,4 │71,2
0,740 │71,0 │70,8 │70,6 │70,4 │70,3 │70,1 │69,9 │69,7 │69,5 │69,3
0,750 │69,1 │68,9 │68,7 │68,5 │68,4 │68,2 │68,0 │67,8 │67,5 │67,4
0,760 │67,3 │67,1 │66,9 │66,7 │66,5 │66,4 │66,2 │66,0 │65,8 │65,6
0,770 │65,5 │65,3 │65,1 │64,9 │64,8 │64,6 │64,4 │64,3 │64,1 │63,9
0,780 │63,8 │63,6 │63,4 │63,3 │63,1 │62,9 │62,8 │62,6 │62,4 │62,3
0,790 │62,1 │62,0 │61,8 │61,1 │61,5 │61,3 │61,2 │61,0 │60,9 │60,7
0,800 │60,5 │60,4 │60,2 │60,1 │59,9 │59,8 │59,6 │59,5 │59,3 │59,2
0,810 │59,0 │58,9 │58,7 │58,6 │58,4 │58,3 │58,1 │58,0 │57,8 │57,7
0,820 │57,5 │57,4 │57,3 │57,1 │57,0 │56,8 │56,7 │56,5 │56,4 │56,3
0,830 │56,1 │56,0 │55,8 │55,7 │55,6 │55,4 │55,3 │55,1 │55,0 │54,9
0,840 │54,7 │54,6 │54,5 │54,3 │54,2 │54,1 │54,0 │53,8 │53,7 │53,6
0,850 │53,4 │53,3 │53,2 │53,0 │52,9 │52,8 │52,7 │52,5 │52,4 │52,3
0,860 │52,2 │52,0 │51,9 │51,8 │51,7 │51,5 │51,4 │51,3 │51,2 │51,0
0,870 │50,9 │50,8 │50,7 │50,6 │50,4 │50,3 │50,2 │50,1 │50,0 │49,9
0,880 │49,7 │49,6 │49,5 │49,4 │49,3 │49,2 │49,0 │48,9 │48,8 │48,7
0,890 │48,6 │48,5 │48,4 │48,2 │48,1 │48,0 │47,9 │47,8 │47,7 │47,6
0,900 │47,5 │47,4 │47,3 │47,2 │47,0 │46,9 │46,8 │46,7 │46,6 │46,5
0,910 │46,4 │46,3 │46,2 │46,1 │46,0 │45,9 │45,8 │45,7 │45,6 │45,5
0,920 │45,4 │45,3 │45,2 │45,1 │45,0 │44,9 │44,8 │44,7 │44,6 │44,5
0,930 │44,4 │44,3 │44,2 │44,1 │44,0 │43,9 │43,8 │43,7 │43,6 │43,5
0,940 │43,4 │43,3 │43,2 │43,1 │43,0 │42,9 │42,8 │42,7 │42,6 │42,5
0,950 │42,4 │42,3 │42,2 │42,2 │42,1 │42,0 │41,9 │41,8 │41,7 │41,6
0,960 │41,5 │41,4 │41,3 │41,2 │41,2 │41,1 │41,0 │40,9 │40,8 │40,7
0,970 │40,6 │40,5 │40,5 │40,4 │40,3 │40,2 │40,1 │40,0 │39,9 │39,9
0,980 │39,8 │39,7 │39,6 │39,5 │39,4 │39,4 │39,3 │39,2 │39,1 │39,0
0,990 │38,9 │38,9 │38,8 │38,7 │38,6 │38,5 │38,4 │38,4 │38,3 │38,2
1,000 │38,1 │38,0 │38,0 │37,9 │37,8 │37,7 │37,7 │37,6 │37,5 │37,4
1,010 │37,3 │37,3 │37,2 │37,1 │37,0 │37,0 │36,9 │36,8 │36,7 │36,7
1,020 │36,6 │36,5 │36,4 │36,4 │36,3 │36,2 │36,1 │36,1 │36,0 │35,9
1,030 │35,8 │35,8 │35,7 │35,6 │35,5 │35,5 │35,4 │35,4 │35,3 │35,2
1,040 │35,1 │35,0 │35,0 │34,9 │34,8 │34,8 │34,7 │34,6 │34,6 │34,5
1,050 │34,4 │34,4 │34,3 │34,2 │34,1 │34,1 │34,0 │33,9 │33,9 │33,8
1,060 │33,7 │33,7 │33,6 │33,5 │33,5 │33,4 │33,3 │33,3 │33,2 │33,1
1,070 │33,1 │33,0 │33,0 │32,9 │32,8 │32,8 │32,7 │32,6 │32,6 │32,5
1,080 │32,4 │32,4 │32,3 │32,2 │32,2 │32,1 │32,1 │32,0 │31,9 │31,9
1,090 │31,8 │31,8 │31,7 │31,6 │31,5 │31,5 │31,4 │31,4 │31,3 │31,3
1,100 │31,2 │31,1 │31,1 │31,0 │31,0 │30,9 │30,8 │30,8 │30,7 │30,7
1,110 │30,6 │30,6 │30,5 │30,4 │30,4 │30,3 │30,3 │30,2 │30,2 │30,1
1,120 │30,0 │30,0 │29,9 │29,9 │29,8 │29,8 │29,7 │29,6 │29,6 │29,5
1,130 │29,5 │29,4 │29,4 │29,3 │29,3 │29,2 │29,1 │29,1 │29,0 │29,0
1,140 │28,9 │28,9 │28,8 │28,8 │28,7 │28,7 │28,6 │28,6 │28,5 │28,5
1,150 │28,4 │28,3 │28,3 │28,2 │28,2 │28,1 │28,1 │28,0 │28,0 │27,9
1,160 │27,9 │27,8 │27,8 │27,7 │27,7 │27,6 │27,6 │27,5 │27,5 │27,4
1,170 │27,4 │27,3 │27,3 │27,2 │27,2 │27,1 │27,1 │27,0 │27,0 │26,9
1,180 │26,9 │26,8 │26,8 │26,7 │26,7 │26,6 │26,6 │26,5 │26,5 │26,5
1,190 │26,4 │26,4 │26,3 │26,3 │26,2 │26,2 │26,1 │26,1 │26,0 │26,0
1,200 │25,9 │25,9 │25,8 │25,8 │25,8 │25,7 │25,7 │25,6 │25,6 │25,5
1,210 │25,5 │25,4 │25,4 │25,3 │25,3 │25,2 │25,2 │25,2 │25,1 │25,1
1,220 │25,0 │25,0 │24,9 │24,9 │24,9 │24,8 │24,8 │24,7 │24,7 │24,6
1,230 │24,6 │24,6 │24,5 │24,5 │24,4 │24,4 │24,3 │24,3 │24,3 │24,2
1,240 │24,2 │24,1 │24,1 │24,0 │24,0 │24,0 │23,9 │23,9 │23,8 │23,8
1,250 │23,8 │23,7 │23,7 │23,6 │23,6 │23,6 │23,5 │23,5 │23,4 │23,4
1,260 │23,4 │23,3 │23,3 │23,2 │23,2 │23,2 │23,2 │23,1 │23,0 │23,0
1,270 │23,0 │22,9 │22,9 │22,8 │22,8 │22,8 │22,7 │22,7 │22,6 │22,6
1,280 │22,6 │22,5 │22,5 │22,5 │22,4 │22,4 │22,3 │22,3 │22,3 │22,2
1,290 │22,2 │22,2 │22,1 │22,1 │22,0 │22,0 │21,9 │21,9 │21,9 │21,9
1,300 │21,8 │21,8 │21,8 │21,7 │21,7 │21,6 │21,6 │21,6 │21,5 │21,5
1,310 │21,5 │21,4 │21,4 │21,4 │21,3 │21,3 │21,3 │21,2 │21,2 │21,1
1,320 │21,1 │21,1 │21,0 │21,0 │21,0 │20,9 │20,9 │20,9 │20,8 │20,8
1,330 │20,8 │20,7 │20,7 │20,7 │20,6 │20,6 │20,6 │20,5 │20,5 │20,5
1,340 │20,4 │20,4 │20,4 │20,3 │20,3 │20,3 │20,2 │20,2 │20,2 │20,1
1,350 │20,1 │20,1 │20,0 │20,0 │20,0 │19,9 │19,9 │19,9 │19,8 │19,8
1,360 │19,8 │19,7 │19,7 │19,7 │19,7 │19,6 │19,6 │19,6 │19,5 │19,5
1,370 │19,5 │19,4 │19,4 │19,4 │19,3 │19,3 │19,3 │19,2 │19,2 │19,2
1,380 │19,2 │19,1 │19,1 │19,1 │19,0 │19,0 │19,0 │18,9 │18,9 │18,9
1,390 │18,9 │18,8 │18,8 │18,8 │18,7 │18,7 │18,7 │18,6 │18,6 │18,6
1,400 │18,6 │18,5 │18,5 │18,5 │18,4 │18,4 │18,4 │18,4 │18,3 │18,3
1,410 │18,3 │18,2 │18,2 │18,2 │18,2 │18,1 │18,1 │18,1 │18,0 │18,0
1,420 │18,0 │18,0 │17,9 │17,9 │17,9 │17,8 │17,8 │17,8 │17,8 │17,7
1,430 │17,7 │17,7 │17,7 │17,6 │17,6 │17,6 │17,5 │17,5 │17,5 │17,5
1,440 │17,4 │17,4 │17,4 │17,4 │17,3 │17,3 │17,3 │17,2 │17,2 │17,2
1,450 │17,2 │17,1 │17,1 │17,1 │17,1 │17,0 │17,0 │17,0 │17,0 │16,9
1,460 │16,9 │16,9 │16,9 │16,8 │16,8 │16,8 │16,8 │16,7 │16,7 │16,7
1,470 │16,7 │16,6 │16,6 │16,6 │16,6 │16,5 │16,5 │16,5 │16,5 │16,4
1,480 │16,4 │16,4 │16,4 │16,3 │16,3 │16,3 │16,3 │16,2 │16,2 │16,2
1,490 │16,2 │16,1 │16,1 │16,1 │16,1 │16,0 │16,0 │16,0 │16,0 │15,9
1,500 │15,9 │ - │ - │ - │ - │ - │ - │ - │ - │ -
Таблица 11а
При диаметре шарика D = 2,5 мм, испытательной нагрузке
F = 153,2 Н (15,6 кгс) и K = 2,5
──────┬─────┬─────┬─────┬─────┬─────┬─────┬─────┬─────┬─────┬─────
d, мм │0,000│0,001│0,002│0,003│0,004│0,005│0,006│0,007│0,008│0,009
──────┼─────┼─────┼─────┼─────┼─────┼─────┼─────┼─────┼─────┼─────
0,620 │ - │ - │ - │ - │ - │50,1 │50,0 │49,8 │49,6 │49,5
0,630 │49,3 │49,2 │49,0 │48,8 │48,7 │48,5 │48,4 │48,2 │48,1 │47,9
0,640 │47,8 │47,6 │47,5 │47,3 │47,2 │47,0 │46,9 │46,7 │46,6 │46,4
0,650 │46,3 │46,1 │46,0 │45,8 │45,7 │45,6 │45,4 │45,3 │45,1 │45,0
0,660 │44,9 │44,7 │44,6 │44,4 │44,3 │44,2 │44,0 │43,9 │43,8 │43,6
0,670 │43,5 │43,4 │43,2 │43,1 │43,0 │42,9 │42,7 │42,6 │42,5 │42,3
0,680 │42,2 │42,1 │42,0 │41,8 │41,7 │41,6 │41,5 │41,3 │41,2 │41,1
0,690 │41,0 │40,9 │40,7 │40,6 │40,5 │40,4 │40,3 │40,1 │40,0 │39,9
0,700 │39,8 │39,7 │39,6 │39,4 │39,3 │39,2 │39,1 │39,0 │38,9 │38,8
0,710 │38,7 │33,5 │38,4 │38,3 │38,2 │38,1 │38,0 │37,9 │37,8 │37,7
0,720 │37,6 │37,5 │37,4 │37,2 │37,1 │37,0 │36,9 │36,8 │36,7 │36,6
0,730 │36,5 │36,4 │36,3 │36,2 │36,1 │36,0 │35,9 │35,8 │35,7 │35,6
0,740 │35,5 │35,4 │35,3 │35,2 │35,1 │35,0 │34,9 │34,8 │34,7 │34,6
0,750 │34,6 │34,5 │34,4 │34,3 │34,2 │34,1 │34,0 │33,9 │33,8 │33,7
0,760 │33,6 │33,5 │33,4 │33,4 │33,3 │33,2 │33,1 │33,0 │32,9 │32,8
0,770 │32,7 │32,7 │32,6 │32,5 │32,4 │32,3 │32,2 │32,1 │32,1 │32,0
0,780 │31,9 │31,8 │31,8 │31,6 │31,5 │31,5 │31,4 │31,3 │31,1 │31,1
0,790 │31,1 │31,0 │30,9 │30,8 │30,7 │30,7 │30,6 │30,5 │30,4 │30,3
0,800 │30,3 │30,2 │30,1 │30,0 │30,0 │29,9 │29,8 │29,7 │29,7 │29,6
0,810 │29,5 │29,4 │29,4 │29,3 │29,2 │29,1 │29,1 │29,0 │28,9 │28,8
0,820 │28,8 │28,7 │28,6 │28,6 │28,5 │28,4 │28,3 │28,3 │28,2 │28,1
0,830 │28,1 │28,0 │27,9 │27,9 │27,8 │27,7 │27,6 │27,6 │27,5 │27,4
0,840 │27,4 │27,3 │27,2 │27,2 │27,1 │27,0 │27,0 │26,9 │26,9 │26,8
0,850 │26,7 │26,7 │26,6 │26,5 │26,5 │26,4 │26,3 │26,3 │26,2 │26,1
0,860 │26,1 │26,0 │26,0 │25,9 │25,8 │25,8 │25,7 │25,6 │25,6 │25,5
0,870 │25,5 │25,4 │25,3 │25,3 │25,2 │25,2 │25,1 │25,0 │25,0 │24,9
0,880 │24,9 │24,8 │24,8 │24,7 │24,6 │24,6 │24,5 │24,5 │24,4 │24,3
0,890 │24,3 │24,2 │24,2 │24,1 │24,1 │24,0 │24,0 │23,9 │23,8 │23,8
0,900 │23,7 │23,7 │23,6 │23,6 │23,5 │23,5 │23,4 │23,4 │23,3 │23,3
0,910 │23,2 │23,1 │23,1 │23,0 │23,0 │22,9 │22,9 │22,8 │22,8 │22,7
0,920 │22,7 │22,6 │22,6 │22,5 │22,5 │22,4 │22,4 │22,4 │22,3 │22,3
0,930 │22,2 │22,1 │22,1 │22,0 │22,0 │21,9 │21,9 │21,8 │21,8 │21,7
0,940 │21,7 │21,6 │21,6 │21,5 │21,5 │21,4 │21,4 │21,4 │21,3 │21,3
0,950 │21,2 │21,2 │21,1 │21,1 │21,0 │21,0 │20,9 │20,9 │20,8 │20,8
0,960 │20,8 │20,7 │20,7 │20,6 │20,6 │20,5 │20,5 │20,4 │20,4 │20,4
0,970 │20,3 │20,3 │20,2 │20,2 │20,1 │20,1 │20,1 │20,0 │20,0 │19,9
0,980 │19,9 │19,8 │19,8 │19,8 │19,7 │19,7 │19,6 │19,6 │19,6 │19,5
0,990 │19,5 │19,4 │19,4 │19,3 │19,3 │19,3 │19,2 │19,2 │19,1 │19,1
1,000 │19,1 │19,0 │19,0 │18,9 │18,9 │18,9 │18,8 │18,8 │18,7 │18,7
1,010 │18,7 │18,6 │18,6 │18,6 │18,5 │18,5 │18,4 │18,4 │18,4 │18,3
1,020 │18,3 │18,3 │18,2 │18,2 │18,1 │18,1 │18,1 │18,0 │18,0 │18,0
1,030 │17,9 │17,9 │17,8 │17,8 │17,8 │17,7 │17,7 │17,7 │17,6 │17,6
1,040 │17,6 │17,5 │17,5 │17,5 │17,4 │17,4 │17,3 │17,3 │17,3 │17,2
1,050 │17,2 │17,2 │17,1 │17,1 │17,1 │17,0 │17,0 │17,0 │16,9 │16,9
1,060 │16,9 │16,8 │16,8 │16,8 │16,7 │16,7 │16,7 │16,6 │16,6 │16,6
1,070 │16,5 │16,5 │16,5 │16,4 │16,4 │16,4 │16,3 │16,3 │16,3 │16,3
1,080 │16,2 │16,2 │16,2 │16,1 │16,1 │16,1 │16,0 │16,0 │16,0 │15,9
1,090 │15,9 │15,9 │15,8 │15,8 │15,8 │15,8 │15,7 │15,7 │15,7 │15,6
1,100 │15,6 │15,6 │15,5 │15,5 │15,5 │15,5 │15,4 │15,4 │15,4 │15,3
1,110 │15,3 │15,3 │15,2 │15,2 │15,2 │15,2 │15,1 │15,1 │15,1 │15,0
1,120 │15,0 │15,0 │15,0 │14,9 │14,9 │14,9 │14,9 │14,8 │14,8 │14,8
1,130 │14,7 │14,7 │14,7 │14,7 │14,6 │14,6 │14,6 │14,5 │14,5 │14,5
1,140 │14,5 │14,4 │14,4 │14,4 │14,4 │14,3 │14,3 │14,3 │14,3 │14,2
1,150 │14,2 │14,2 │14,1 │14,1 │14,1 │14,1 │14,0 │14,0 │14,0 │14,0
1,160 │13,9 │13,9 │13,9 │13,9 │13,8 │13,8 │13,8 │13,8 │13,7 │13,7
1,170 │13,7 │13,7 │13,6 │13,6 │13,6 │13,6 │13,5 │13,5 │13,5 │13,5
1,180 │13,4 │13,4 │13,4 │13,4 │13,4 │13,3 │13,3 │13,3 │13,2 │13,2
1,190 │13,2 │13,2 │13,2 │13,1 │13,1 │13,1 │13,1 │13,0 │13,0 │13,0
1,200 │13,0 │12,9 │12,9 │12,9 │12,9 │12,9 │12,8 │12,8 │12,8 │12,8
1,210 │12,7 │12,7 │12,7 │12,7 │12,6 │12,6 │12,6 │12,6 │12,6 │12,5
1,220 │12,5 │12,5 │12,5 │12,5 │12,4 │12,4 │12,4 │12,4 │12,3 │12,3
1,230 │12,3 │12,3 │12,3 │12,2 │12,2 │12,2 │12,2 │12,1 │12,1 │12,1
1,240 │12,1 │12,1 │12,0 │12,0 │12,0 │12,0 │12,0 │11,9 │11,9 │11,9
1,250 │11,9 │11,9 │11,8 │11,8 │11,8 │11,8 │11,8 │11,7 │11,7 │11,7
1,260 │11,7 │11,7 │11,6 │11,6 │11,6 │11,6 │11,6 │11,5 │11,5 │11,5
1,270 │11,5 │11,5 │11,4 │11,4 │11,4 │11,4 │11,4 │11,3 │11,3 │11,3
1,280 │11,3 │11,3 │11,2 │11,2 │11,2 │11,2 │11,2 │11,2 │11,1 │11,1
1,290 │11,1 │11,1 │11,1 │11,0 │11,0 │11,0 │11,0 │11,0 │11,0 │10,9
1,300 │10,9 │10,9 │10,9 │10,9 │10,8 │10,8 │10,8 │10,8 │10,8 │10,8
1,310 │10,7 │10,7 │10,7 │10,7 │10,7 │10,6 │10,6 │10,6 │10,6 │10,6
1,320 │10,6 │10,5 │10,5 │10,5 │10,5 │10,5 │10,5 │10,4 │10,4 │10,4
1,330 │10,4 │10,4 │10,4 │10,3 │10,3 │10,3 │10,3 │10,3 │10,3 │10,2
1,340 │10,2 │10,2 │10,2 │10,2 │10,2 │10,1 │10,1 │10,1 │10,1 │10,1
1,350 │10,1 │10,0 │10,0 │10,0 │10,0 │10,0 │10,0 │9,94 │9,92 │9,91
1,360 │9,89 │9,87 │9,86 │9,84 │9,83 │9,81 │9,80 │9,78 │9,76 │9,75
1,370 │9,73 │9,72 │9,70 │9,69 │9,67 │9,66 │9,64 │9,62 │9,61 │9,59
1,380 │9,58 │9,56 │9,55 │9,53 │9,52 │9,50 │9,49 │9,47 │9,46 │9,44
1,390 │9,43 │9,41 │9,40 │9,38 │9,37 │9,35 │9,34 │9,32 │9,31 │9,29
1,400 │9,28 │9,27 │9,25 │9,24 │9,22 │9,21 │9,19 │9,18 │9,16 │9,15
1,410 │9,14 │9,12 │9,11 │9,09 │9,08 │9,06 │9,05 │9,04 │9,02 │9,01
1,420 │8,99 │8,98 │8,97 │8,95 │8,94 │8,92 │8,91 │8,90 │8,88 │8,87
1,430 │8,85 │8,84 │8,83 │8,81 │8,80 │8,79 │8,77 │8,76 │8,75 │8,73
1,440 │8,72 │8,71 │8,69 │8,68 │8,67 │8,65 │8,64 │8,63 │8,61 │8,60
1,450 │8,59 │8,57 │8,56 │8,55 │8,53 │8,52 │8,51 │8,49 │8,48 │8,47
1,460 │8,45 │8,44 │8,43 │8,42 │8,40 │8,39 │8,38 │8,37 │8,35 │8,34
1,470 │8,33 │8,31 │8,30 │8,29 │8,28 │8,26 │8,25 │8,24 │8,23 │8,21
1,480 │8,20 │8,19 │8,18 │8,16 │8,15 │8,14 │8,13 │8,12 │8,10 │8,09
1,490 │8,08 │8,07 │8,05 │8,04 │8,03 │8,02 │8,01 │7,99 │7,98 │7,97
1,500 │7,96 │ - │ - │ - │ - │ - │ - │ - │ - │ -
Таблица 12
При диаметре шарика D = 2,5 мм, испытательной нагрузке
F = 61,5 Н (6,25 кгс) и K = 1
──────┬─────┬─────┬─────┬─────┬─────┬─────┬─────┬─────┬─────┬─────
d, мм │0,000│0,001│0,002│0,003│0,004│0,005│0,006│0,007│0,008│0,009
──────┼─────┼─────┼─────┼─────┼─────┼─────┼─────┼─────┼─────┼─────
0,620 │ - │ - │ - │ - │ - │20,0 │20,0 │19,9 │19,9 │19,8
0,630 │19,7 │19,7 │19,6 │19,5 │19,5 │19,4 │19,4 │19,3 │19,2 │19,2
0,640 │19,1 │19,0 │19,0 │18,9 │18,9 │18,8 │18,7 │18,7 │18,6 │18,6
0,650 │18,5 │18,5 │18,4 │18,3 │18,3 │18,2 │18,2 │18,1 │18,1 │18,0
0,660 │17,9 │17,9 │17,8 │17,8 │17,7 │17,7 │17,6 │17,6 │17,5 │17,5
0,670 │17,4 │17,4 │17,3 │17,3 │17,2 │17,1 │17,1 │17,0 │17,0 │16,9
0,680 │16,9 │16,8 │16,8 │16,7 │16,7 │16,6 │16,6 │16,5 │16,5 │16,4
0,690 │16,4 │16,3 │16,3 │16,2 │16,2 │16,1 │16,1 │16,1 │16,0 │16,0
0,700 │15,9 │15,9 │15,8 │15,8 │15,7 │15,6 │15,6 │15,6 │15,6 │15,5
0,710 │15,5 │15,4 │15,4 │15,3 │15,3 │15,2 │15,2 │15,2 │15,1 │15,1
0,720 │15,0 │15,0 │14,9 │14,9 │14,9 │14,8 │14,8 │14,7 │14,7 │14,6
0,730 │14,6 │14,6 │14,5 │14,5 │14,4 │14,4 │14,4 │14,3 │14,3 │14,2
0,740 │14,2 │14,2 │14,1 │14,1 │14,1 │14,0 │14,0 │13,9 │13,9 │13,9
0,750 │13,8 │13,8 │13,7 │13,7 │13,6 │13,6 │13,6 │13,6 │13,5 │13,5
0,760 │13,5 │13,4 │13,4 │13,3 │13,3 │13,3 │13,2 │13,2 │13,2 │13,1
0,770 │13,1 │13,1 │13,0 │13,0 │13,0 │12,9 │12,9 │12,9 │12,8 │12,8
0,780 │12,8 │12,7 │12,7 │12,7 │12,6 │12,6 │12,6 │12,5 │12,5 │12,5
0,790 │12,4 │12,4 │12,4 │12,3 │12,3 │12,3 │12,2 │12,2 │12,2 │12,1
0,800 │12,1 │12,1 │12,0 │12,0 │12,0 │12,0 │11,9 │11,9 │11,9 │11,8
0,810 │11,8 │11,8 │11,7 │11,7 │11,7 │11,7 │11,6 │11,6 │11,6 │11,5
0,820 │11,5 │11,5 │11,5 │11,4 │11,4 │11,4 │11,3 │11,3 │11,3 │11,3
0,830 │11,2 │11,2 │11,2 │11,1 │11,1 │11,1 │11,1 │11,0 │11,0 │11,0
0,840 │10,9 │10,9 │10,9 │10,9 │10,8 │10,8 │10,8 │10,8 │10,7 │10,7
0,850 │10,7 │10,7 │10,6 │10,6 │10,6 │10,6 │10,5 │10,5 │10,5 │10,5
0,860 │10,4 │10,4 │10,4 │10,4 │10,3 │10,3 │10,3 │10,3 │10,2 │10,2
0,870 │10,2 │10,2 │10,1 │10,1 │10,1 │10,1 │10,0,│10,0 │9,99 │9,97
0,880 │9,95 │9,92 │9,90 │9,88 │9,85 │9,83 │9,81 │9,79 │9,76 │9,74
0,890 │9,72 │9,69 │9,67 │9,65 │9,63 │9,61 │9,58 │9,56 │9,54 │9,52
0,900 │9,49 │9,47 │9,45 │9,43 │9,41 │9,39 │9,36 │9,34 │9,32 │9,30
0,910 │9,28 │9,26 │9,24 │9,22 │9,20 │9,17 │9,15 │9,13 │9,11 │9,09
0,920 │9,07 │9,05 │9,03 │9,01 │8,99 │8,97 │8,95 │8,93 │8,91 │8,89
0,930 │8,87 │8,85 │8,83 │8,81 │8,79 │8,77 │8,75 │8,73 │8,71 │8,69
0,940 │8,68 │8,65 │8,64 │8,62 │8,60 │8,58 │8,56 │8,54 │8,52 │8,51
0,950 │8,49 │8,47 │8,45 │8,43 │8,41 │8,39 │8,38 │8,36 │8,34 │8,32
0,960 │8,35 │8,29 │8,27 │8,25 │8,23 │8,21 │8,20 │8,18 │8,16 │8,14
0,970 │8,13 │8,11 │8,09 │8,07 │8,06 │8,04 │8,02 │8,00 │7,99 │7,97
0,980 │7,95 │7,94 │7,92 │7,90 │7,89 │7,87 │7,85 │7,84 │7,82 │7,80
0,990 │7,79 │7,77 │7,75 │7,74 │7,72 │7,71 │7,69 │7,67 │7,66 │7,64
1,000 │7,63 │7,61 │7,59 │7,58 │7,56 │7,55 │7,53 │7,52 │7,50 │7,48
1,010 │7,47 │7,45 │7,44 │7,42 │7,41 │7,39 │7,38 │7,36 │7,35 │7,33
1,020 │7,32 │7,30 │7,29 │7,27 │7,26 │7,24 │7,23 │7,21 │7,20 │7,18
1,030 │7,17 │7,15 │7,14 │7,12 │7,11 │7,10 │7,08 │7,07 │7,05 │7,04
1,040 │7,02 │7,01 │7,00 │6,98 │6,97 │6,95 │6,94 │6,93 │6,91 │6,90
1,050 │6,88 │6,87 │6,86 │6,84 │6,83 │6,82 │6,80 │6,79 │6,78 │6,76
1,060 │6,75 │6,73 │6,72 │6,71 │6,69 │6,68 │6,67 │6,66 │6,64 │6,63
1,070 │6,62 │6,60 │6,59 │6,58 │6,56 │6,55 │6,54 │6,53 │6,51 │6,50
1,080 │6,49 │6,47 │6,46 │6,45 │6,44 │6,42 │6,41 │6,40 │6,39 │6,38
1,090 │6,36 │6,35 │6,34 │6,33 │6,31 │6,30 │6,29 │6,28 │6,27 │6,25
1,100 │6,24 │6,23 │6,22 │6,21 │6,19 │6,18 │6,17 │6,16 │6,15 │6,13
1,110 │6,12 │6,11 │6,10 │6,09 │6,08 │6,06 │6,05 │6,04 │6,03 │6,02
1,120 │6,01 │6,00 │5,98 │5,97 │5,96 │5,95 │5,94 │5,93 │5,92 │5,91
1,130 │5,90 │5,88 │5,87 │5,86 │5,85 │5,84 │5,83 │5,82 │5,81 │5,80
1,140 │5,79 │5,78 │5,76 │5,75 │5,74 │5,73 │5,72 │5,71 │5,70 │5,69
1,150 │5,68 │5,67 │5,66 │5,65 │5,64 │5,63 │5,62 │5,61 │5,60 │5,59
1,160 │5,58 │5,57 │5,56 │5,55 │5,54 │5,53 │5,52 │5,51 │5,50 │5,49
1,170 │5,48 │5,47 │5,46 │5,45 │5,44 │5,43 │5,42 │5,41 │5,40 │5,39
1,180 │5,38 │5,37 │5,36 │5,35 │5,34 │5,33 │5,32 │5,31 │5,30 │5,29
1,190 │5,28 │5,27 │5,26 │5,25 │5,24 │5,23 │5,22 │5,21 │5,21 │5,20
1,200 │5,19 │5,18 │5,17 │5,16 │5,15 │5,14 │5,13 │5,12 │5,11 │5,10
1,210 │5,10 │5,09 │5,08 │5,07 │5,06 │5,05 │5,04 │5,03 │5,02 │5,02
1,220 │5,01 │5,00 │4,99 │4,98 │4,97 │4,96 │4,95 │4,95 │4,94 │4,93
1,230 │4,92 │4,91 │4,90 │4,89 │4,89 │4,88 │4,87 │4,86 │4,85 │4,84
1,240 │4,84 │4,83 │4,82 │4,81 │4,80 │4,79 │4,78 │4,78 │4,77 │4,76
1,250 │4,75 │4,74 │4,74 │4,73 │4,72 │4,71 │4,70 │4,69 │4,69 │4,68
1,260 │4,67 │4,66 │4,65 │4,65 │4,64 │4,63 │4,62 │4,62 │4,61 │4,60
1,270 │4,59 │4,58 │4,58 │4,57 │4,56 │4,55 │4,55 │4,54 │4,53 │4,52
1,280 │4,51 │4,51 │4,50 │4,49 │4,48 │4,48 │4,47 │4,46 │4,45 │4,45
1,290 │4,44 │4,43 │4,42 │4,42 │4,41 │4,40 │4,39 │4,39 │4,38 │4,37
1,300 │4,37 │4,36 │4,35 │4,34 │4,34 │4,33 │4,32 │4,31 │4,31 │4,30
1,310 │4,29 │4,29 │4,28 │4,27 │4,26 │4,26 │4,25 │4,24 │4,24 │4,23
1,320 │4,22 │4,22 │4,21 │4,20 │4,20 │4,19 │4,18 │4,17 │4,17 │4,16
1,330 │4,15 │4,15 │4,14 │4,13 │4,13 │4,12 │4,11 │4,11 │4,10 │4,09
1,340 │4,09 │4,08 │4,07 │4,07 │4,06 │4,05 │4,05 │4,04 │4,03 │4,03
1,350 │4,02 │4,01 │4,01 │4,00 │3,99 │3,99 │3,98 │3,98 │3,97 │3,96
1,360 │3,96 │3,95 │3,94 │3,94 │3,93 │3,92 │3,92 │3,91 │3,91 │3,90
1,370 │3,89 │3,89 │3,88 │3,87 │3,87 │3,86 │3,86 │3,85 │3,84 │3,84
1,380 │3,83 │3,83 │3,82 │4,81 │3,81 │3,80 │3,80 │3,79 │3,78 │3,78
1,390 │3,77 │3,76 │3,76 │3,75 │3,75 │3,74 │3,74 │3,73 │3,72 │3,72
1,400 │3,71 │3,71 │3,70 │3,69 │3,68 │3,68 │3,68 │3,67 │3,67 │3,66
1,410 │3,65 │3,65 │3,64 │3,64 │3,63 │3,63 │3,62 │3,61 │3,61 │3,60
1,420 │3,60 │3,59 │3,58 │3,58 │3,57 │3,57 │3,56 │3,56 │3,55 │3,55
1,430 │3,54 │3,54 │3,53 │3,53 │3,52 │3,51 │3,51 │3,50 │3,50 │3,49
1,440 │3,49 │3,48 │3,48 │3,47 │3,47 │3,46 │3,46 │3,45 │3,44 │3,44
1,450 │3,43 │3,43 │3,42 │3,42 │3,41 │3,41 │3,40 │3,40 │3,39 │3,39
1,460 │3,38 │3,38 │3,37 │3,37 │3,36 │3,36 │3,35 │3,35 │3,34 │3,34
1,470 │3,33 │3,33 │3,32 │3,32 │3,31 │3,31 │3,30 │3,30 │3,29 │3,29
1,480 │3,28 │3,28 │3,27 │3,27 │3,26 │3,26 │3,25 │3,25 │3,24 │3,24
1,490 │3,23 │3,23 │3,22 │3,22 │3,21 │3,21 │3,20 │3,20 │3,19 │3,19
1,500 │3,18 │ - │ - │ - │ - │ - │ - │ - │ - │ -
Таблица 13
При диаметре шарика D = 2 мм, испытательной нагрузке
F = 1176 Н (120 кгс) и K = 30
──────┬─────┬─────┬─────┬─────┬─────┬─────┬─────┬─────┬─────┬─────
d, мм │0,000│0,001│0,002│0,003│0,004│0,005│0,006│0,007│0,008│0,009
──────┼─────┼─────┼─────┼─────┼─────┼─────┼─────┼─────┼─────┼─────
0,580 │ 444 │ 443 │ 441 │ 440 │ 438 │ 437 │ 435 │ 434 │ 432 │ 431
0,590 │ 429 │ 428 │ 426 │ 425 │ 423 │ 422 │ 420 │ 419 │ 417 │ 416
0,600 │ 415 │ 413 │ 412 │ 410 │ 409 │ 408 │ 406 │ 405 │ 404 │ 402
0,610 │ 401 │ 399 │ 398 │ 397 │ 395 │ 394 │ 393 │ 392 │ 390 │ 389
0,620 │ 388 │ 386 │ 385 │ 384 │ 383 │ 381 │ 380 │ 379 │ 378 │ 376
0,630 │ 375 │ 374 │ 373 │ 372 │ 370 │ 369 │ 368 │ 367 │ 366 │ 364
0,640 │ 363 │ 362 │ 361 │ 360 │ 359 │ 357 │ 356 │ 355 │ 354 │ 353
0,650 │ 352 │ 351 │ 350 │ 348 │ 347 │ 346 │ 345 │ 344 │ 343 │ 342
0,660 │ 341 │ 340 │ 339 │ 338 │ 337 │ 336 │ 335 │ 334 │ 333 │ 332
0,670 │ 331 │ 330 │ 329 │ 327 │ 326 │ 326 │ 325 │ 324 │ 323 │ 322
0,680 │ 321 │ 320 │ 319 │ 318 │ 317 │ 316 │ 315 │ 314 │ 313 │ 312
0,690 │ 311 │ 310 │ 309 │ 308 │ 307 │ 306 │ 306 │ 305 │ 304 │ 303
0,700 │ 302 │ 301 │ 300 │ 299 │ 298 │ 298 │ 297 │ 296 │ 295 │ 294
0,710 │ 293 │ 292 │ 292 │ 291 │ 290 │ 289 │ 288 │ 287 │ 286 │ 286
0,720 │ 285 │ 284 │ 283 │ 282 │ 282 │ 281 │ 280 │ 279 │ 278 │ 278
0,730 │ 277 │ 276 │ 275 │ 274 │ 274 │ 273 │ 272 │ 271 │ 271 │ 270
0,740 │ 269 │ 268 │ 268 │ 267 │ 266 │ 265 │ 265 │ 264 │ 263 │ 262
0,750 │ 262 │ 261 │ 260 │ 260 │ 259 │ 258 │ 257 │ 257 │ 256 │ 255
0,760 │ 255 │ 254 │ 253 │ 253 │ 252 │ 251 │ 250 │ 250 │ 249 │ 248
0,770 │ 248 │ 247 │ 246 │ 246 │ 245 │ 244 │ 244 │ 243 │ 242 │ 242
0,780 │ 241 │ 241 │ 240 │ 239 │ 239 │ 238 │ 237 │ 237 │ 236 │ 235
0,790 │ 235 │ 234 │ 234 │ 233 │ 232 │ 232 │ 231 │ 231 │ 230 │ 229
0,800 │ 229 │ 228 │ 228 │ 227 │ 226 │ 226 │ 225 │ 225 │ 224 │ 223
0,810 │ 223 │ 222 │ 222 │ 221 │ 221 │ 220 │ 219 │ 219 │ 218 │ 218
0,820 │ 217 │ 217 │ 216 │ 216 │ 215 │ 214 │ 214 │ 213 │ 213 │ 212
0,830 │ 212 │ 211 │ 211 │ 210 │ 210 │ 209 │ 209 │ 208 │ 208 │ 207
0,840 │ 207 │ 206 │ 205 │ 205 │ 204 │ 204 │ 203 │ 203 │ 202 │ 202
0,850 │ 201 │ 201 │ 200 │ 200 │ 199 │ 199 │ 199 │ 198 │ 198 │ 197
0,860 │ 197 │ 196 │ 196 │ 195 │ 195 │ 194 │ 194 │ 193 │ 193 │ 192
0,870 │ 192 │ 191 │ 191 │ 190 │ 190 │ 190 │ 189 │ 189 │ 188 │ 188
0,880 │ 187 │ 187 │ 186 │ 186 │ 185 │ 185 │ 185 │ 184 │ 184 │ 183
0,890 │ 183 │ 182 │ 182 │ 182 │ 181 │ 181 │ 180 │ 180 │ 179 │ 179
0,900 │ 179 │ 178 │ 178 │ 177 │ 177 │ 176 │ 176 │ 176 │ 175 │ 175
0,910 │ 174 │ 174 │ 174 │ 173 │ 173 │ 172 │ 172 │ 172 │ 171 │ 171
0,920 │ 170 │ 170 │ 170 │ 169 │ 169 │ 168 │ 168 │ 168 │ 167 │ 167
0,930 │ 167 │ 166 │ 166 │ 165 │ 165 │ 165 │ 164 │ 164 │ 164 │ 163
0,940 │ 163 │ 162 │ 162 │ 162 │ 161 │ 161 │ 161 │ 160 │ 160 │ 159
0,950 │ 159 │ 159 │ 158 │ 158 │ 158 │ 157 │ 157 │ 157 │ 156 │ 156
0,960 │ 156 │ 155 │ 155 │ 155 │ 154 │ 154 │ 154 │ 153 │ 153 │ 153
0,970 │ 152 │ 152 │ 152 │ 151 │ 151 │ 151 │ 150 │ 150 │ 150 │ 149
0,980 │ 149 │ 149 │ 148 │ 148 │ 148 │ 147 │ 147 │ 147 │ 146 │ 146
0,990 │ 146 │ 145 │ 145 │ 145 │ 144 │ 144 │ 144 │ 143 │ 143 │ 143
1,000 │ 143 │ 142 │ 142 │ 142 │ 141 │ 141 │ 141 │ 140 │ 140 │ 140
1,010 │ 140 │ 139 │ 139 │ 139 │ 138 │ 138 │ 138 │ 137 │ 137 │ 137
1,020 │ 137 │ 136 │ 136 │ 136 │ 135 │ 135 │ 135 │ 135 │ 134 │ 134
1,030 │ 134 │ 133 │ 133 │ 133 │ 133 │ 132 │ 132 │ 132 │ 132 │ 131
1,040 │ 131 │ 131 │ 130 │ 130 │ 130 │ 130 │ 129 │ 129 │ 129 │ 129
1,050 │ 128 │ 128 │ 128 │ 127 │ 127 │ 127 │ 127 │ 126 │ 126 │ 126
1,060 │ 126 │ 125 │ 125 │ 125 │ 125 │ 124 │ 124 │ 124 │ 124 │ 123
1,070 │ 123 │ 123 │ 123 │ 122 │ 122 │ 122 │ 122 │ 121 │ 121 │ 121
1,080 │ 121 │ 120 │ 120 │ 120 │ 120 │ 119 │ 119 │ 119 │ 119 │ 118
1,090 │ 118 │ 118 │ 118 │ 118 │ 117 │ 117 │ 117 │ 117 │ 116 │ 116
1,100 │ 116 │ 116 │ 115 │ 115 │ 115 │ 115 │ 114 │ 114 │ 114 │ 114
1,110 │ 114 │ 113 │ 113 │ 113 │ 113 │ 112 │ 112 │ 112 │ 112 │ 112
1,120 │ 111 │ 111 │ 111 │ 111 │ 110 │ 110 │ 110 │ 110 │ 110 │ 109
1,130 │ 109 │ 109 │ 109 │ 109 │ 108 │ 108 │ 108 │ 108 │ 107 │ 107
1,140 │ 107 │ 107 │ 107 │ 106 │ 106 │ 106 │ 106 │ 106 │ 105 │ 105
1,150 │ 105 │ 105 │ 105 │ 104 │ 104 │ 104 │ 104 │ 104 │ 103 │ 103
1,160 │ 103 │ 103 │ 103 │ 102 │ 102 │ 102 │ 102 │ 102 │ 101 │ 101
1,170 │ 101 │ 101 │ 101 │ 100 │ 100 │ 100 │99,9 │99,7 │99,5 │99,4
1,180 │99,2 │99,0 │98,8 │98,6 │98,4 │98,2 │98,0 │97,9 │97,7 │97,5
1,190 │97,3 │97,1 │96,9 │96,8 │96,6 │96,4 │96,2 │96,0 │95,9 │95,7
1,200 │95,5 │ - │ - │ - │ - │ - │ - │ - │ - │ -
Таблица 14
При диаметре шарика D = 2 мм, испытательной нагрузке
F = 392 Н (40 кгс) и K = 10
──────┬─────┬─────┬─────┬─────┬─────┬─────┬─────┬─────┬─────┬─────
d, мм │0,000│0,001│0,002│0,003│0,004│0,005│0,006│0,007│0,008│0,009
──────┼─────┼─────┼─────┼─────┼─────┼─────┼─────┼─────┼─────┼─────
0,500 │ 200 │ 200 │ 199 │ 198 │ 197 │ 196 │ 195 │ 195 │ 194 │ 193
0,510 │ 193 │ 192 │ 191 │ 190 │ 190 │ 189 │ 188 │ 187 │ 187 │ 186
0,520 │ 185 │ 184 │ 184 │ 183 │ 182 │ 182 │ 181 │ 180 │ 179 │ 179
0,530 │ 178 │ 177 │ 177 │ 176 │ 175 │ 175 │ 174 │ 173 │ 173 │ 172
0,540 │ 171 │ 171 │ 170 │ 169 │ 169 │ 168 │ 168 │ 167 │ 166 │ 166
0,550 │ 165 │ 165 │ 164 │ 163 │ 163 │ 162 │ 162 │ 161 │ 160 │ 160
0,560 │ 159 │ 159 │ 158 │ 157 │ 157 │ 156 │ 156 │ 155 │ 155 │ 154
0,570 │ 154 │ 153 │ 152 │ 152 │ 151 │ 151 │ 150 │ 150 │ 149 │ 149
0,580 │ 148 │ 148 │ 147 │ 147 │ 146 │ 146 │ 145 │ 145 │ 144 │ 144
0,590 │ 143 │ 143 │ 142 │ 142 │ 141 │ 141 │ 140 │ 140 │ 139 │ 139
0,600 │ 138 │ 138 │ 137 │ 137 │ 136 │ 136 │ 135 │ 135 │ 135 │ 134
0,610 │ 134 │ 133 │ 133 │ 132 │ 132 │ 131 │ 131 │ 131 │ 130 │ 130
0,620 │ 129 │ 129 │ 128 │ 128 │ 128 │ 127 │ 127 │ 126 │ 126 │ 125
0,630 │ 125 │ 125 │ 124 │ 124 │ 123 │ 123 │ 123 │ 122 │ 122 │ 121
0,640 │ 121 │ 121 │ 120 │ 120 │ 120 │ 119 │ 119 │ 118 │ 118 │ 118
0,650 │ 117 │ 117 │ 117 │ 116 │ 116 │ 115 │ 115 │ 115 │ 114 │ 114
0,660 │ 114 │ 113 │ 113 │ 113 │ 112 │ 112 │ 112 │ 111 │ 111 │ 111
0,670 │ 110 │ 110 │ 110 │ 109 │ 109 │ 109 │ 108 │ 108 │ 108 │ 107
0,680 │ 107 │ 107 │ 106 │ 106 │ 105 │ 105 │ 105 │ 105 │ 104 │ 104
0,690 │ 104 │ 103 │ 103 │ 103 │ 102 │ 102 │ 102 │ 102 │ 101 │ 101
0,700 │ 101 │ 100 │ 100 │99,8 │99,5 │99,2 │98,9 │98,6 │98,3 │98,0
0,710 │97,7 │97,5 │97,2 │96,9 │96,6 │96,3 │96,1 │95,8 │95,5 │95,2
0,720 │95,0 │94,7 │94,4 │94,1 │93,9 │93,6 │93,3 │93,1 │92,8 │92,5
0,730 │92,3 │92,0 │91,8 │91,5 │91,2 │91,0 │90,7 │90,5 │90,2 │90,0
0,740 │89,7 │89,5 │89,2 │89,0 │88,7 │88,5 │88,2 │88,0 │87,7 │87,5
0,750 │87,2 │87,0 │86,8 │86,5 │86,3 │86,0 │85,8 │85,6 │85,3 │85,1
0,760 │84,9 │84,6 │84,4 │84,2 │83,9 │83,7 │83,5 │83,3 │83,0 │82,8
0,770 │82,6 │82,4 │82,1 │81,9 │81,7 │81,5 │81,3 │81,0 │80,8 │80,6
0,780 │80,4 │80,2 │80,0 │79,8 │79,5 │79,3 │79,1 │78,9 │78,7 │78,5
0,790 │78,3 │78,1 │77,9 │77,7 │77,5 │77,3 │77,1 │76,9 │76,7 │76,5
0,800 │76,3 │76,1 │75,9 │75,7 │75,5 │75,3 │75,1 │74,9 │74,7 │74,5
0,810 │74,3 │74,1 │73,9 │73,7 │73,5 │73,3 │73,2 │73,0 │72,8 │72,6
0,820 │72,4 │72,2 │72,0 │71,9 │71,7 │71,5 │71,3 │71,1 │71,0 │70,8
0,830 │70,6 │70,4 │70,2 │70,1 │69,9 │69,7 │69,5 │69,2 │69,2 │69,0
0,840 │68,8 │68,7 │68,5 │68,3 │68,2 │68,0 │67,8 │67,7 │67,5 │67,3
0,850 │67,1 │67,0 │66,8 │66,7 │66,5 │66,3 │66,2 │66,0 │65,8 │65,7
0,860 │65,5 │65,4 │65,2 │65,0 │64,9 │64,7 │64,6 │64,4 │64,2 │64,1
0,870 │63,9 │63,8 │63,6 │63,5 │63,3 │63,2 │63,0 │62,9 │62,7 │62,6
0,880 │62,4 │62,3 │62,1 │62,0 │61,8 │61,7 │61,5 │61,4 │61,2 │61,1
0,890 │60,9 │60,8 │60,6 │60,5 │60,4 │60,2 │60,1 │59,9 │59,8 │59,7
0,900 │59,5 │59,4 │59,2 │59,1 │59,0 │58,8 │58,7 │58,5 │58,4 │58,3
0,910 │58,1 │58,0 │57,9 │57,7 │57,6 │57,5 │57,3 │57,2 │57,1 │56,9
0,920 │56,8 │56,7 │56,5 │56,4 │56,3 │56,1 │56,0 │55,9 │55,8 │55,6
0,930 │55,5 │55,4 │55,3 │55,1 │55,0 │54,9 │54,8 │54,6 │54,5 │54,4
0,940 │54,3 │54,1 │54,0 │53,9 │53,8 │53,6 │53,5 │53,4 │53,3 │53,2
0,950 │53,0 │52,9 │52,8 │52,7 │52,6 │52,5 │52,3 │52,2 │52,1 │52,0
0,960 │51,9 │51,8 │51,6 │51,5 │51,4 │51,3 │51,2 │51,1 │51,0 │50,8
0,970 │50,7 │50,6 │50,5 │50,4 │50,3 │50,2 │50,1 │50,0 │49,8 │49,7
0,980 │49,6 │49,5 │49,4 │49,3 │49,2 │49,1 │49,0 │48,9 │48,8 │48,7
0,990 │48,6 │48,5 │48,3 │48,2 │48,1 │48,0 │47,9 │47,8 │47,7 │47,6
1,000 │47,5 │47,4 │47,3 │47,2 │47,1 │47,0 │46,9 │46,8 │46,7 │46,6
1,010 │46,5 │46,4 │46,3 │46,2 │46,1 │46,0 │45,9 │45,8 │45,7 │45,6
1,020 │45,5 │45,4 │45,3 │45,2 │45,1 │45,1 │45,0 │44,9 │44,8 │44,7
1,030 │44,6 │44,5 │44,4 │44,3 │44,2 │44,1 │44,0 │43,9 │43,8 │43,7
1,040 │43,7 │43,6 │43,5 │43,4 │43,3 │43,2 │43,1 │43,0 │42,9 │42,8
1,050 │42,8 │42,7 │42,6 │42,5 │42,4 │42,3 │42,2 │42,1 │42,1 │42,0
1,060 │41,9 │41,8 │41,7 │41,6 │41,6 │41,5 │41,5 │41,4 │41,3 │41,1
1,070 │41,0 │40,9 │40,9 │40,8 │40,7 │40,6 │40,5 │40,5 │40,4 │40,3
1,080 │40,2 │40,1 │40,0 │40,0 │39,9 │39,8 │39,7 │39,6 │39,6 │39,5
1,090 │39,4 │39,3 │39,2 │39,2 │39,2 │39,1 │39,0 │38,9 │38,8 │38,7
1,100 │38,6 │38,5 │38,5 │38,4 │38,3 │38,2 │38,2 │38,1 │38,0 │37,9
1,110 │37,9 │37,8 │37,6 │37,6 │37,5 │37,4 │37,3 │37,3 │37,3 │37,2
1,120 │37,1 │37,0 │37,0 │36,9 │36,8 │36,8 │36,7 │36,6 │36,5 │36,5
1,130 │36,4 │36,3 │36,3 │36,2 │36,1 │36,0 │36,0 │35,9 │35,8 │35,8
1,140 │35,7 │35,6 │35,6 │35,5 │35,4 │35,3 │35,3 │35,2 │35,1 │35,1
1,150 │35,0 │34,9 │34,9 │34,8 │34,7 │34,7 │34,6 │34,5 │34,5 │34,4
1,160 │34,3 │34,3 │34,2 │34,1 │34,1 │34,0 │33,9 │33,9 │33,8 │33,8
1,170 │33,7 │33,6 │33,6 │33,5 │33,4 │33,4 │33,3 │33,2 │33,2 │33,1
1,180 │33,1 │33,0 │32,9 │32,9 │32,8 │32,7 │32,7 │32,6 │32,6 │32,5
1,190 │32,4 │32,4 │32,3 │32,3 │32,2 │32,1 │32,1 │32,0 │32,0 │31,9
1,200 │31,8 │ - │ - │ - │ - │ - │ - │ - │ - │ -
Таблица 15
При диаметре шарика D = 2 мм, испытательной нагрузке
F = 196 Н (20 кгс) и K = 5
──────┬─────┬─────┬─────┬─────┬─────┬─────┬─────┬─────┬─────┬─────
d, мм │0,000│0,001│0,002│0,003│0,004│0,005│0,006│0,007│0,008│0,009
──────┼─────┼─────┼─────┼─────┼─────┼─────┼─────┼─────┼─────┼─────
0,500 │ 100 │99,8 │99,4 │99,0 │98,6 │98,2 │97,8 │97,4 │97,1 │96,7
0,510 │96,3 │95,9 │95,5 │95,1 │94,8 │94,4 │94,0 │93,7 │93,3 │92,9
0,520 │92,6 │92,2 │91,8 │91,5 │91,1 │90,8 │90,4 │90,1 │89,7 │89,4
0,530 │89,0 │88,7 │88,4 │88,0 │87,7 │87,3 │87,0 │86,7 │86,4 │86,0
0,540 │85,7 │85,4 │85,1 │84,7 │84,4 │84,1 │83,8 │83,5 │83,2 │82,9
0,550 │82,6 │82,3 │81,9 │81,6 │81,3 │81,0 │80,8 │80,5 │80,2 │79,9
0,560 │79,6 │79,3 │79,0 │78,7 │78,4 │78,1 │77,9 │77,6 │77,3 │77,0
0,570 │76,8 │76,5 │76,2 │75,9 │75,7 │75,4 │75,1 │74,9 │74,6 │74,3
0,580 │74,1 │73,8 │73,6 │73,3 │73,0 │72,8 │72,5 │72,3 │72,0 │71,8
0,590 │71,5 │71,3 │71,0 │70,8 │70,5 │70,3 │70,1 │69,8 │69,6 │69,3
0,600 │69,1 │68,9 │68,6 │68,4 │68,2 │67,9 │67,7 │67,5 │67,3 │67,0
0,610 │66,8 │66,6 │66,4 │66,1 │65,9 │65,7 │65,5 │65,3 │65,0 │64,8
0,620 │64,6 │64,4 │64,2 │64,0 │63,8 │63,6 │63,3 │63,1 │62,9 │62,7
0,630 │62,5 │62,3 │62,1 │61,9 │61,7 │61,5 │61,3 │61,1 │60,9 │60,7
0,640 │60,5 │60,3 │60,1 │60,0 │59,8 │59,6 │59,4 │59,2 │59,0 │58,8
0,650 │58,6 │58,5 │58,3 │58,1 │57,9 │57,7 │57,5 │57,4 │57,2 │57,0
0,660 │56,8 │56,6 │56,5 │56,3 │56,1 │55,9 │55,8 │55,6 │55,4 │55,3
0,670 │55,1 │54,9 │54,8 │54,6 │54,4 │54,3 │54,1 │53,9 │53,8 │53,6
0,680 │53,4 │53,3 │53,1 │52,9 │52,8 │52,6 │52,5 │52,3 │52,2 │52,0
0,690 │51,8 │51,7 │51,5 │51,4 │51,2 │51,1 │50,9 │50,8 │50,6 │50,5
0,700 │50,3 │50,2 │50,0 │49,9 │49,7 │49,6 │49,4 │49,3 │49,2 │49,0
0,710 │48,9 │48,7 │48,6 │48,4 │48,3 │48,2 │48,0 │47,9 │47,7 │47,6
0,720 │47,5 │47,3 │47,2 │47,1 │46,9 │46,8 │46,7 │46,5 │46,4 │46,3
0,730 │46,1 │46,0 │45,9 │45,7 │45,6 │45,5 │45,4 │45,2 │45,1 │45,0
0,740 │44,9 │44,7 │44,6 │44,5 │44,4 │44,2 │44,1 │44,0 │43,9 │43,7
0,750 │43,6 │43,5 │43,4 │43,3 │43,1 │43,0 │42,9 │42,8 │42,7 │42,6
0,760 │42,4 │42,3 │42,2 │42,1 │42,0 │41,9 │41,7 │41,6 │41,5 │41,4
0,770 │41,3 │41,2 │41,1 │41,0 │40,9 │40,7 │40,6 │40,5 │40,4 │40,3
0,780 │40,2 │40,1 │40,0 │39,9 │39,8 │39,7 │39,6 │39,5 │39,4 │39,2
0,790 │39,1 │39,0 │38,9 │38,8 │38,7 │38,6 │38,5 │38,4 │38,3 │38,2
0,800 │38,1 │38,0 │37,9 │37,8 │37,7 │37,6 │37,5 │37,4 │37,3 │37,2
0,810 │37,1 │37,1 │37,0 │39,9 │36,8 │36,7 │36,6 │36,5 │36,4 │36,3
0,820 │36,2 │36,1 │36,0 │35,9 │35,8 │35,7 │35,7 │35,6 │35,5 │35,4
0,830 │35,3 │35,2 │35,1 │35,0 │34,9 │34,9 │34,8 │34,7 │34,6 │34,5
0,840 │34,4 │34,3 │34,2 │34,2 │34,1 │34,0 │33,9 │33,8 │33,7 │33,7
0,850 │33,6 │33,5 │33,4 │33,3 │33,2 │33,2 │33,1 │33,0 │32,9 │32,8
0,860 │32,8 │32,7 │32,6 │32,5 │32,4 │32,4 │32,3 │32,2 │32,1 │32,0
0,870 │32,0 │31,9 │31,8 │31,7 │31,7 │31,6 │31,5 │31,4 │31,4 │31,3
0,880 │31,2 │31,1 │31,1 │31,0 │30,9 │30,8 │30,8 │30,7 │30,6 │30,5
0,890 │30,5 │30,4 │30,3 │30,3 │30,2 │30,1 │30,0 │30,0 │29,9 │29,8
0,900 │29,8 │19,7 │29,6 │29,5 │29,5 │29,4 │29,3 │29,3 │29,2 │29,1
0,910 │29,1 │29,0 │28,9 │28,9 │28,8 │28,7 │28,7 │28,6 │28,5 │28,5
0,920 │28,4 │28,3 │28,3 │28,2 │28,1 │28,1 │28,0 │27,9 │27,9 │27,8
0,930 │27,8 │27,7 │27,6 │27,6 │27,5 │27,4 │27,4 │27,3 │27,3 │27,2
0,940 │27,1 │27,1 │27,0 │26,9 │26,9 │26,8 │26,8 │26,7 │26,6 │26,6
0,950 │26,5 │26,5 │26,4 │26,3 │26,3 │26,2 │26,2 │26,1 │26,1 │26,0
0,960 │25,9 │25,9 │25,8 │25,8 │25,7 │25,6 │25,6 │25,5 │25,5 │25,4
0,970 │25,4 │25,3 │25,3 │25,2 │25,1 │25,1 │25,0 │25,0 │24,9 │24,9
0,980 │24,8 │24,8 │24,7 │24,7 │24,6 │24,5 │24,5 │24,4 │24,4 │24,3
0,990 │24,3 │24,2 │24,2 │24,1 │24,1 │24,0 │24,0 │23,9 │23,9 │23,8
1,000 │23,8 │23,7 │23,7 │23,6 │23,6 │23,5 │23,5 │23,4 │23,4 │23,3
1,010 │23,3 │23,2 │23,2 │23,1 │23,1 │23,0 │23,0 │22,9 │22,9 │22,8
1,020 │22,8 │22,7 │22,7 │22,6 │22,6 │22,5 │22,5 │22,4 │22,4 │22,3
1,030 │22,3 │22,2 │22,2 │22,1 │22,1 │22,1 │22,0 │22,0 │21,9 │21,9
1,040 │21,8 │21,8 │21,7 │21,7 │21,6 │21,6 │21,6 │21,5 │21,5 │21,4
1,050 │21,4 │21,3 │21,3 │21,2 │21,2 │21,2 │21,1 │21,1 │21,0 │21,0
1,060 │20,9 │20,9 │20,9 │20,8 │20,8 │20,8 │20,7 │20,7 │20,6 │20,6
1,070 │20,5 │20,5 │20,4 │20,4 │20,3 │20,3 │20,3 │20,2 │20,2 │20,1
1,080 │20,1 │20,1 │20,0 │20,0 │19,9 │19,9 │19,9 │19,8 │19,8 │19,7
1,090 │19,7 │19,7 │19,6 │19,6 │19,5 │19,5 │19,5 │19,4 │19,4 │19,3
1,100 │19,3 │19,3 │19,2 │19,2 │19,2 │19,1 │19,1 │19,0 │19,0 │19,0
1,110 │18,9 │18,9 │18,9 │18,8 │18,8 │18,7 │18,7 │18,7 │18,6 │18,6
1,120 │18,6 │18,5 │18,5 │18,5 │18,4 │18,4 │18,3 │18,3 │18,3 │18,2
1,130 │18,2 │18,2 │18,1 │18,1 │18,1 │18,0 │18,0 │18,0 │17,9 │17,9
1,140 │17,8 │17,8 │17,8 │17,7 │17,7 │17,7 │17,6 │17,6 │17,6 │17,5
1,150 │17,5 │17,5 │17,4 │17,4 │17,4 │17,3 │17,3 │17,3 │17,2 │17,2
1,160 │17,2 │17,1 │17,1 │17,1 │17,0 │17,0 │17,0 │16,9 │16,9 │16,9
1,170 │16,8 │16,8 │16,8 │16,7 │16,7 │16,7 │16,7 │16,6 │16,6 │16,6
1,180 │16,5 │16,5 │16,5 │16,4 │16,4 │16,4 │16,3 │16,3 │16,3 │16,2
1,190 │16,2 │16,2 │16,2 │16,1 │16,1 │16,0 │16,0 │16,0 │16,0 │15,9
1,200 │15,9 │ - │ - │ - │ - │ - │ - │ - │ - │ -
Таблица 15а
При диаметре шарика D = 2 мм, испытательной нагрузке
F = 98 Н (10 кгс) и K = 2,5
──────┬─────┬─────┬─────┬─────┬─────┬─────┬─────┬─────┬─────┬─────
d, мм │0,000│0,001│0,002│0,003│0,004│0,005│0,006│0,007│0,008│0,009
──────┼─────┼─────┼─────┼─────┼─────┼─────┼─────┼─────┼─────┼─────
0,500 │50,1 │49,9 │49,7 │49,5 │49,3 │49,1 │48,9 │48,7 │48,5 │48,8
0,510 │48,1 │47,9 │47,8 │47,6 │47,4 │47,2 │47,0 │46,8 │46,6 │46,5
0,520 │46,3 │46,1 │45,9 │45,7 │45,6 │45,4 │45,2 │45,0 │44,9 │44,7
0,530 │44,5 │44,3 │44,2 │44,0 │43,8 │43,7 │43,5 │43,3 │43,2 │43,0
0,540 │42,9 │42,7 │42,5 │42,4 │42,2 │42,1 │41,9 │41,7 │41,6 │41,4
0,550 │41,3 │41,1 │41,0 │40,8 │40,7 │40,5 │40,4 │40,2 │40,1 │39,9
0,560 │39,8 │39,6 │39,5 │39,4 │39,2 │39,1 │38,9 │38,8 │38,7 │38,5
0,570 │38,4 │38,2 │38,1 │38,0 │37,8 │37,7 │37,6 │37,4 │37,3 │37,2
0,580 │37,0 │36,9 │36,8 │36,6 │36,5 │36,4 │36,3 │36,1 │36,0 │35,9
0,590 │35,8 │35,6 │35,5 │35,4 │35,3 │35,1 │35,0 │34,9 │34,8 │34,7
0,600 │34,6 │34,4 │34,3 │34,2 │34,1 │34,0 │33,9 │33,7 │33,6 │33,5
0,610 │33,4 │33,3 │33,2 │33,1 │33,0 │32,8 │32,7 │32,6 │32,5 │32,4
0,620 │32,3 │32,2 │32,1 │32,0 │31,9 │31,8 │31,7 │31,6 │31,5 │31,4
0,630 │31,3 │31,2 │31,1 │31,0 │30,9 │30,8 │30,7 │30,6 │30,5 │30,4
О,640 │30,3 │30,2 │30,1 │30,0 │29,9 │29,8 │29,7 │29,6 │29,5 │29,4
0,650 │29,3 │29,2 │29,1 │29,0 │28,9 │28,9 │28,8 │28,7 │28,6 │28,5
0,660 │28,4 │28,3 │28,2 │28,1 │28,1 │28,0 │27,9 │27,8 │27,7 │27,6
0,670 │27,5 │27,5 │27,4 │27,3 │27,2 │27,1 │27,0 │27,0 │26,9 │26,8
0,680 │26,7 │26,6 │26,6 │26,5 │26,4 │26,3 │26,2 │26,2 │26,1 │26,0
0,690 │25,9 │25,8 │25,8 │25,7 │25,6 │25,5 │25,5 │25,4 │25,3 │25,2
0,700 │25,2 │25,1 │25,0 │24,9 │24,9 │24,8 │24,7 │24,6 │24,6 │24,5
0,710 │24,4 │24,4 │24,3 │24,2 │24,2 │24,1 │24,0 │23,9 │23,9 │23,8
0,720 │23,7 │23,7 │23,6 │23,5 │23,5 │23,4 │23,3 │23,3 │23,2 │23,1
0,730 │23,1 │23,0 │22,9 │22,9 │22,8 │22,7 │22,7 │22,6 │22,6 │22,5
0,740 │22,4 │22,4 │22,3 │22,2 │22,2 │22,1 │22,1 │22,0 │21,9 │21,9
0,750 │21,8 │21,7 │21,7 │21,6 │21,6 │21,5 │21,5 │21,4 │21,3 │21,3
0,760 │21,2 │21,2 │21,1 │21,0 │21,0 │20,9 │20,9 │20,8 │20,8 │20,7
0,770 │20,6 │20,6 │20,5 │20,5 │20,4 │20,4 │20,3 │20,3 │20,2 │20,2
0,780 │20,1 │20,0 │20,0 │19,9 │19,9 │19,8 │19,8 │19,7 │19,7 │19,6
0,790 │19,6 │19,5 │19,5 │19,4 │19,4 │19,3 │19,3 │19,2 │19,2 │19,1
0,800 │19,1 │19,0 │19,0 │18,9 │18,9 │18,8 │18,8 │18,7 │18,7 │18,6
0,810 │18,6 │18,5 │18,5 │18,4 │18,4 │18,3 │18,3 │18,2 │18,2 │18,1
0,820 │18,1 │18,1 │18,0 │18,0 │17,9 │17,9 │17,8 │17,8 │17,7 │17,7
0,830 │17,6 │17,6 │17,6 │17,5 │17,5 │17,4 │17,4 │17,3 │17,3 │17,2
0,840 │17,2 │17,1 │17,1 │17,0 │17,0 │17,0 │16,9 │16,9 │16,9 │16,8
0,850 │16,8 │16,7 │16,7 │16,6 │16,6 │16,5 │16,5 │16,5 │16,5 │16,4
0,860 │16,4 │16,3 │16,3 │16,3 │16,2 │16,2 │16,1 │16,1 │16,1 │16,0
0,870 │16,0 │15,9 │15,9 │15,9 │15,8 │15,8 │15,8 │15,7 │15,7 │15,6
0,880 │15,6 │15,6 │15,5 │15,5 │15,5 │15,4 │15,4 │15,3 │15,3 │15,3
0,890 │15,2 │15,2 │15,2 │15,1 │15,1 │15,1 │15,0 │15,0 │14,9 │14,9
0,900 │14,9 │14,8 │14,8 │14,8 │14,7 │14,7 │14,7 │14,6 │14,6 │14,6
0,910 │14,5 │14,5 │14,5 │14,4 │14,4 │14,4 │14,3 │14,3 │14,3 │14,2
0,920 │14,2 │14,2 │14,1 │14,1 │14,1 │14,0 │14,0 │14,0 │13,9 │13,9
0,930 │13,9 │13,8 │13,8 │13,8 │13,8 │13,7 │13,7 │13,7 │13,6 │13,6
0,940 │13,6 │13,5 │13,5 │13,5 │13,4 │13,4 │13,4 │13,9 │13,3 │13,3
0,950 │13,3 │13,2 │13,2 │13,2 │13,1 │13,1 │13,1 │13,1 │13,0 │13,0
0,960 │13,0 │12,9 │12,9 │12,9 │12,9 │12,8 │12,8 │12,8 │12,7 │12,7
0,970 │12,7 │12,7 │12,6 │12,6 │12,6 │12,5 │12,5 │12,5 │12,5 │12,4
0,980 │12,4 │12,4 │12,4 │12,3 │12,3 │12,3 │12,2 │12,2 │12,2 │12,2
0,990 │12,1 │12,1 │12,1 │12,1 │12,0 │12 0 │12,0 │12,0 │11,9 │11,9
1,000 │11,9 │11,9 │11,8 │11,8 │11,8 │11,8 │11,7 │11,7 │11,7 │11,7
1,010 │11,6 │11,6 │11,6 │11,6 │11,5 │11,5 │11,5 │11,5 │11,4 │11,4
1,020 │11,4 │11,4 │11,3 │11,3 │11,3 │11,3 │11,2 │11,2 │11,2 │11,2
1,030 │11,1 │11,1 │11,1 │11,1 │11,1 │11,0 │11,0 │11,0 │11,0 │10,9
1,040 │10,9 │10,9 │10,9 │10,8 │10,8 │10,8 │10,8 │10,8 │10,7 │10,7
1,050 │10,7 │10,7 │10,6 │10,6 │10,6 │10,6 │10,6 │10,5 │10,5 │10,5
1,060 │10,5 │10,4 │10,4 │10,4 │10,4 │10,4 │10,3 │10,3 │10,3 │10,3
1,070 │10,3 │10,2 │10,2 │10,2 │10,2 │10,2 │10,1 │10,1 │10,1 │10,1
1,080 │10,1 │10,0 │10,0 │9,99 │9,97 │9,95 │9,93 │9,90 │9,89 │9,87
1,090 │9,85 │9,83 │9,81 │9,79 │9,77 │9,75 │9,73 │9,71 │9,69 │8,67
1,100 │9,66 │9,64 │9,62 │9,60 │9,58 │9,56 │9,54 │9,52 │9,50 │9,48
1,110 │9,46 │9,45 │9,43 │9,41 │9,39 │9,37 │9,35 │9,33 │9,32 │9,30
1,120 │9,28 │9,26 │9,24 │9,22 │9,21 │9,19 │9,17 │9,15 │9,13 │9,12
1,130 │9,10 │9,08 │9,06 │9,05 │9,03 │9,01 │8,99 │8,98 │8,96 │8,94
1,140 │8,92 │8,91 │8,89 │8,87 │8,85 │8,84 │8,82 │8,80 │8,79 │8,77
1,150 │8,74 │8,73 │8,72 │8,70 │8,68 │8,67 │8,65 │8,63 │8,62 │8,60
1,160 │8,58 │8,57 │8,55 │8,54 │8,52 │8,50 │8,49 │8,47 │8,45 │8,44
1,170 │8,42 │8,41 │8,39 │8,37 │8,36 │8,34 │8,33 │8,31 │8,29 │8,28
1,180 │8,26 │8,25 │8,23 │8,22 │8,20 │8,19 │8,17 │8,15 │8,14 │8,12
1,190 │8,11 │8,09 │8,08 │8,06 │8,05 │8,03 │8,02 │8,00 │7,99 │7,97
1,200 │7,96 │ - │ - │ - │ - │ - │ - │ - │ - │ -
Таблица 16
При диаметре шарика D = 2 мм, испытательной нагрузке
F = 39,2 Н (4 кгс) и K = 1
──────┬─────┬─────┬─────┬─────┬─────┬─────┬─────┬─────┬─────┬─────
d, мм │0,000│0,001│0,002│0,003│0,004│0,005│0,006│0,007│0,008│0,009
──────┼─────┼─────┼─────┼─────┼─────┼─────┼─────┼─────┼─────┼─────
0,500 │20,0 │20,0 │19,9 │19,8 │19,7 │19,6 │19,6 │19,5 │19,4 │19,3
0,510 │19,3 │19,2 │19,1 │19,0 │19,0 │18,9 │18,8 │18,7 │18,7 │18,6
0,520 │18,5 │18,4 │18,4 │18,3 │18,2 │18,2 │18,1 │18,0 │17,9 │17,9
0,530 │17,8 │17,7 │17,7 │17,6 │17,5 │17,5 │17,4 │17,3 │17,3 │17,2
0,540 │17,1 │17,1 │17,0 │16,9 │16,9 │16,8 │16,8 │16,7 │16,6 │16,6
0,550 │16,5 │16,5 │16,4 │16,3 │16,2 │16,2 │16,2 │16,1 │16,0 │16,0
0,560 │15,9 │15,9 │15,8 │15,7 │15,7 │15,6 │15,6 │15,5 │15,5 │15,4
0,570 │15,4 │15,3 │15,2 │15,2 │15,1 │15,1 │15,0 │15,0 │14,9 │14,9
0,580 │14,8 │14,8 │14,7 │14,7 │14,6 │14,6 │14,5 │14,5 │14,4 │14,4
0,590 │14,3 │14,3 │14,2 │14,2 │14,1 │14,1 │14,0 │14,0 │13,9 │13,9
0,600 │13,8 │13,8 │13,7 │13,7 │13,6 │13,6 │13,5 │13,5 │13,5 │13,4
0,610 │13,4 │13,3 │13,3 │13,2 │13,2 │13,1 │13,1 │13,1 │13,0 │13,0
0,620 │12,9 │12,9 │12,8 │12,8 │12,8 │12,7 │12,7 │12,6 │12,6 │12,5
0,630 │12,5 │12,5 │12,4 │12,4 │12,3 │12,3 │12,3 │12,2 │12,2 │12,1
0,640 │12,1 │12,1 │12,0 │12,0 │12,0 │11,9 │11,9 │11,8 │11,8 │11,8
0,650 │11,7 │11,7 │11,7 │11,6 │11,6 │11,5 │11,5 │11,5 │11,4 │11,4
0,660 │11,4 │11,3 │11,3 │11,3 │11,2 │11,2 │11,2 │11,1 │11,1 │11,1
0,670 │11,0 │11,0 │11,0 │10,9 │10,9 │10,9 │10,8 │10,8 │10,8 │10,7
0,680 │10,7 │10,7 │10,6 │10,6 │10,6 │10,5 │10,5 │10,5 │10,4 │10,4
0,690 │10,4 │10,3 │10,3 │10,3 │10,2 │10,2 │10,2 │10,2 │10,1 │10,1
0,700 │10,1 │10,0 │10,0 │9,98 │9,95 │9,92 │9,89 │9,86 │9,83 │9,80
0,710 │9,77 │9,75 │9,72 │9,69 │9,66 │9,63 │9,61 │9,58 │9,55 │9,52
0,720 │9,50 │9,47 │9,44 │9,41 │9,39 │9,33 │9,33 │9,31 │9,28 │9,25
0,730 │9,23 │9,20 │9,18 │9,15 │9,12 │9,10 │9,07 │9,05 │9,02 │9,00
0,740 │8,97 │8,95 │8,92 │8,90 │8,87 │8,85 │8,82 │8,80 │8,77 │8,75
0,750 │8,72 │8,70 │8,68 │8,65 │8,63 │8,60 │8,58 │8,56 │8,53 │8,51
0,760 │8,49 │8,46 │8,44 │8,42 │8,39 │8,37 │8,35 │8,33 │8,30 │8,28
0,770 │8,26 │8,24 │8,21 │8,19 │8,17 │8,15 │8,13 │8,10 │8,08 │8,06
0,780 │8,04 │8,02 │8,00 │7,98 │7,95 │7,93 │7,91 │7,89 │7,87 │7,85
0,790 │7,83 │7,81 │7,79 │7,77 │7,75 │7,73 │7,71 │7,69 │7,67 │7,65
0,800 │7,63 │7,61 │7,59 │7,57 │7,55 │7,53 │7,51 │7,49 │7,47 │7,45
0,810 │7,43 │7,41 │7,39 │7,37 │7,35 │7,33 │7,32 │7,30 │7,28 │7,26
0,820 │7,24 │7,22 │7,20 │7,19 │7,17 │7,15 │7,13 │7,11 │7,10 │7,08
0,830 │7,06 │7,04 │7,02 │7,01 │6,99 │6,97 │6,95 │6,94 │6,92 │6,90
0,840 │6,88 │6,87 │6,85 │6,83 │6,82 │6,80 │6,78 │6,77 │6,75 │6,73
0,850 │6,71 │6,70 │6,88 │6,67 │6,65 │6,63 │6,62 │6,60 │6,58 │6,57
0,860 │6,55 │6,54 │6,52 │6,50 │6,49 │6,47 │6,46 │6,44 │6,42 │6,41
0,870 │6,39 │6,38 │6,36 │6,35 │6,33 │6,32 │6,30 │6,29 │6,27 │6,26
0,880 │6,24 │6,23 │6,21 │6,20 │6,18 │6,17 │6,15 │6,14 │6,12 │6,11
0,890 │6,09 │6,08 │6,06 │6,05 │6,04 │6,02 │6,01 │5,99 │5,98 │5,97
0,900 │5,95 │5,94 │5,92 │5,91 │5,80 │5,88 │5,87 │5,85 │5,84 │5,83
0,910 │5,81 │5,80 │5,79 │5,77 │5,76 │5,75 │5,73 │5,72 │5,71 │5,69
0,920 │5,68 │5,67 │5,65 │5,64 │5,63 │5,61 │5,60 │5,59 │5,58 │5,56
0,930 │5,55 │5,54 │5,53 │5,51 │5,50 │5,49 │5,48 │5,46 │5,45 │5,44
0,940 │5,43 │5,41 │5,40 │5,39 │5,38 │5,36 │5,35 │5,34 │5,33 │5,32
0,950 │5,30 │5,29 │5,29 │5,27 │5,26 │5,25 │5,23 │5,22 │5,21 │5,20
0,960 │5,19 │5,18 │5,16 │5,15 │5,14 │5,13 │5,12 │5,11 │5,10 │5,08
0,970 │5,07 │5,06 │5,05 │5,04 │5,03 │5,02 │5,01 │5,00 │4,98 │4,97
0,980 │4,96 │4,95 │4,94 │4,93 │4,92 │4,91 │4,90 │4,89 │4,88 │4,87
0,990 │4,86 │4,85 │4,83 │4,82 │4,81 │4,80 │4,79 │4,78 │4,77 │4,76
1,000 │4,75 │4,74 │4,73 │4,72 │4,71 │4,70 │4,69 │4,68 │4,67 │4,66
1,010 │4,65 │4,64 │4,63 │4,62 │4,61 │4,60 │4,59 │4,58 │4,57 │4,56
1,020 │4,55 │4,54 │4,53 │4,52 │4,51 │4,51 │4,50 │4,49 │4,48 │4,47
1,030 │4,46 │4,45 │4,44 │4,43 │4,42 │4,41 │4,40 │4,39 │4,38 │4,37
1,040 │4,37 │4,36 │4,35 │4,34 │4,33 │4,32 │4,31 │4,30 │4,29 │4,28
1,050 │4,28 │4,27 │4,26 │4,25 │4,24 │4,23 │4,22 │4,21 │4,21 │4,20
1,060 │4,19 │4,18 │4,17 │4,16 │4,15 │4,15 │4,14 │4,13 │4,12 │4,11
1,070 │4,10 │4,09 │4,09 │4,08 │4,07 │4,06 │4,05 │4,05 │4,04 │4,03
1,080 │4,02 │4,01 │4,00 │4,00 │3,99 │3,98 │3,97 │3,96 │3,96 │3,95
1,090 │3,94 │3,93 │3,92 │3,92 │3,91 │3,90 │3,89 │3,89 │3,88 │3,87
1,100 │3,86 │3,85 │3,85 │3,84 │3,83 │3,82 │3,82 │3,81 │3,80 │3,79
1,110 │3,79 │3,78 │3,77 │3,76 │3,76 │3,75 │3,74 │3,73 │3,73 │3,72
1,120 │3,71 │3,70 │3,70 │3,69 │3,68 │3,68 │3,67 │3,66 │3,65 │3,65
1,130 │3,64 │3,63 │3,63 │3,62 │3,61 │3,60 │3,60 │3,59 │3,58 │3,58
1,140 │3,57 │3,56 │3,56 │3,55 │3,54 │3,53 │3,53 │3,52 │3,51 │3,51
1,150 │3,50 │3,49 │3,49 │3,48 │3,47 │3,47 │3,46 │3,45 │3,45 │3,44
1,160 │3,43 │3,43 │3,42 │3,41 │3,41 │3,40 │3,39 │3,39 │3,38 │3,38
1,170 │3,37 │3,36 │3,36 │3,35 │3,34 │3,34 │3,33 │3,32 │3,32 │3,31
1,180 │3,31 │3,30 │3,29 │3,29 │3,28 │3,27 │3,27 │3,26 │3,26 │3,25
1,190 │3,24 │3,24 │3,23 │3,23 │3,22 │3,21 │3,20 │3,20 │3,20 │3,19
1,200 │3,18 │ - │ - │ - │ - │ - │ - │ - │ - │ -
Таблица 17
При диаметре шарика D = 1 мм, испытательной нагрузке
F = 294 Н (30 кгс) и K = 30
──────┬─────┬─────┬─────┬─────┬─────┬─────┬─────┬─────┬─────┬─────
d, мм │0,000│0,001│0,002│0,003│0,004│0,005│0,006│0,007│0,008│0,009
──────┼─────┼─────┼─────┼─────┼─────┼─────┼─────┼─────┼─────┼─────
0,280 │ │ │ │ │ │ │ │ 453 │ 450 │ 447
0,290 │ 444 │ 441 │ 438 │ 435 │ 432 │ 429 │ 426 │ 423 │ 420 │ 417
0,300 │ 414 │ 411 │ 408 │ 405 │ 405 │ 402 │ 399 │ 396 │ 393 │ 390
0,310 │ 387 │ 384 │ 384 │ 381 │ 378 │ 375 │ 372 │ 369 │ 369 │ 366
0,320 │ 363 │ 360 │ 360 │ 357 │ 354 │ 351 │ 351 │ 348 │ 345 │ 342
0,330 │ 342 │ 339 │ 336 │ 336 │ 333 │ 330 │ 330 │ 327 │ 324 │ 324
0,340 │ 321 │ 318 │ 318 │ 315 │ 312 │ 312 │ 309 │ 306 │ 306 │ 303
0,350 │ 303 │ 300 │ 298 │ 297 │ 295 │ 293 │ 292 │ 290 │ 288 │ 286
0,360 │ 285 │ 283 │ 282 │ 280 │ 278 │ 277 │ 276 │ 274 │ 272 │ 271
0,370 │ 269 │ 268 │ 266 │ 265 │ 263 │ 262 │ 260 │ 259 │ 257 │ 256
0,380 │ 255 │ 253 │ 252 │ 250 │ 249 │ 248 │ 246 │ 245 │ 244 │ 242
0,390 │ 241 │ 240 │ 238 │ 237 │ 236 │ 235 │ 234 │ 233 │ 231 │ 230
0,400 │ 229 │ 228 │ 226 │ 225 │ 224 │ 223 │ 222 │ 220 │ 219 │ 218
0,410 │ 217 │ 216 │ 215 │ 214 │ 213 │ 212 │ 211 │ 210 │ 208 │ 207
0,420 │ 206 │ 205 │ 204 │ 203 │ 202 │ 201 │ 200 │ 199 │ 198 │ 197
0,430 │ 196 │ 196 │ 195 │ 194 │ 193 │ 192 │ 191 │ 190 │ 189 │ 188
0,440 │ 187 │ 186 │ 185 │ 184 │ 184 │ 183 │ 182 │ 181 │ 180 │ 179
0,450 │ 178 │ 178 │ 177 │ 176 │ 175 │ 174 │ 173 │ 172 │ 172 │ 171
0,460 │ 170 │ 169 │ 169 │ 168 │ 167 │ 166 │ 165 │ 165 │ 164 │ 163
0,470 │ 163 │ 162 │ 161 │ 160 │ 160 │ 159 │ 158 │ 158 │ 157 │ 156
0,480 │ 156 │ 155 │ 154 │ 153 │ 153 │ 152 │ 151 │ 151 │ 150 │ 149
0,490 │ 149 │ 148 │ 147 │ 147 │ 146 │ 146 │ 145 │ 144 │ 144 │ 143
0,500 │ 142 │ 142 │ 141 │ 141 │ 140 │ 140 │ 139 │ 138 │ 138 │ 137
0,510 │ 136 │ 136 │ 135 │ 135 │ 134 │ 134 │ 133 │ 133 │ 132 │ 131
0,520 │ 131 │ 130 │ 130 │ 129 │ 129 │ 128 │ 128 │ 127 │ 127 │ 126
0,530 │ 126 │ 125 │ 125 │ 124 │ 124 │ 123 │ 123 │ 122 │ 122 │ 121
0,540 │ 120 │ 120 │ 120 │ 119 │ 119 │ 118 │ 118 │ 117 │ 117 │ 116
0,550 │ 116 │ 116 │ 115 │ 115 │ 114 │ 114 │ 113 │ 113 │ 112 │ 112
0,560 │ 111 │ 111 │ 110 │ 110 │ 110 │ 110 │ 109 │ 108 │ 108 │ 107
0,570 │ 107 │ 107 │ 106 │ 106 │ 105 │ 105 │ 105 │ 104 │ 104 │ 103
0,580 │ 103 │ 103 │ 102 │ 102 │ 101 │ 101 │ 101 │ 100 │99,9 │99,6
0,590 │99,3 │98,7 │98,4 │98,1 │97,8 │97,2 │96,9 │96,6 │96,3 │96,0
0,600 │95,4 │ - │ - │ - │ - │ - │ - │ - │ - │ -
Таблица 18
При диаметре шарика D = 1 мм, испытательной нагрузке
F = 98 Н (10 кгс) и K = 10
──────┬─────┬─────┬─────┬─────┬─────┬─────┬─────┬─────┬─────┬─────
d, мм │0,000│0,001│0,002│0,003│0,004│0,005│0,006│0,007│0,008│0,009
──────┼─────┼─────┼─────┼─────┼─────┼─────┼─────┼─────┼─────┼─────
0,250 │ 200 │ 199 │ 197 │ 196 │ 194 │ 193 │ 191 │ 190 │ 188 │ 187
0,260 │ 185 │ 184 │ 182 │ 181 │ 179 │ 178 │ 177 │ 175 │ 174 │ 173
0,270 │ 171 │ 170 │ 169 │ 168 │ 166 │ 165 │ 164 │ 163 │ 162 │ 160
0,280 │ 159 │ 158 │ 157 │ 156 │ 155 │ 154 │ 152 │ 151 │ 150 │ 149
0,290 │ 148 │ 147 │ 146 │ 145 │ 144 │ 142 │ 142 │ 141 │ 140 │ 139
0,300 │ 138 │ 137 │ 136 │ 135 │ 135 │ 134 │ 133 │ 132 │ 131 │ 130
0,310 │ 129 │ 128 │ 128 │ 127 │ 126 │ 125 │ 124 │ 123 │ 123 │ 122
0,320 │ 121 │ 120 │ 120 │ 119 │ 118 │ 117 │ 117 │ 116 │ 115 │ 114
0,330 │ 114 │ 113 │ 112 │ 112 │ 111 │ 110 │ 110 │ 109 │ 108 │ 108
0,340 │ 107 │ 106 │ 106 │ 105 │ 104 │ 104 │ 103 │ 102 │ 102 │ 101
0,350 │ 101 │ 100 │99,5 │98,9 │98,3 │97,7 │97,2 │96,6 │96,1 │95,5
0,360 │95,0 │94,4 │93,9 │93,3 │92,8 │92,3 │91,8 │91,0 │90,7 │90,2
0,370 │89,7 │89,2 │88,7 │88,2 │87,7 │87,2 │86,8 │86,3 │85,8 │85,3
0,380 │84,9 │84,4 │83,9 │83,5 │83,0 │82,6 │82,1 │81,7 │81,3 │80,8
0,390 │80,4 │80,0 │79,5 │79,1 │78,7 │78,3 │77,9 │77,5 │77,1 │76,7
0,400 │76,3 │75,9 │75,5 │75,1 │74,7 │74,3 │73,9 │73,5 │73,2 │72,8
0,410 │72,4 │72,0 │71,7 │71,3 │71,0 │70,6 │70,2 │69,9 │69,5 │69,2
0,420 │68,8 │68,5 │68,2 │67,8 │67,5 │67,1 │66,8 │66,5 │66,2 │65,8
0,430 │65,5 │65,2 │64,9 │64,6 │64,2 │63,9 │63,6 │63,3 │63,0 │62,7
0,440 │62,4 │62,1 │61,8 │61,5 │61,2 │60,9 │60,6 │60,4 │60,1 │59,8
0,450 │59,5 │59,2 │59,0 │58,7 │58,4 │53,1 │57,9 │57,6 │57,3 │57,1
0,460 │56,8 │56,5 │56,3 │56,0 │55,8 │55,5 │55,3 │55,0 │54,8 │54,5
0,470 │54,3 │54,0 │53,8 │53,5 │53,3 │53,0 │52,8 │52,6 │52,3 │52,1
0,480 │51,9 │51,6 │51,4 │51,2 │51,0 │50,7 │50,5 │50,3 │50,1 │49,8
0,490 │49,6 │49,4 │49,2 │49,0 │48,8 │48,6 │48,3 │48,1 │47,9 │47,7
0,500 │47,5 │47,3 │47,1 │46,9 │46,7 │46,5 │46,3 │46,1 │45,9 │45,7
0,510 │45,5 │45,3 │45,1 │45,0 │44,8 │44,6 │44,4 │44,2 │44,0 │43,8
0,520 │43,7 │43,5 │43,3 │43,1 │42,9 │42,8 │42,6 │42,4 │42,2 │42,1
0,530 │41,9 │41,7 │41,5 │41,4 │41,2 │41,0 │40,9 │40,7 │40,5 │40,4
0,540 │40,2 │40,0 │39,9 │39,7 │39,6 │39,4 │39,2 │39,1 │38,9 │38,8
0,550 │38,6 │38,5 │38,3 │38,2 │38,0 │37,9 │37,7 │37,6 │37,4 │37,3
0,560 │37,1 │37,0 │36,8 │36,7 │36,5 │36,4 │36,3 │36,1 │36,0 │35,8
0,570 │35,7 │35,6 │35,4 │35,3 │35,1 │35,0 │34,9 │34,7 │34,6 │34,5
0,580 │34,3 │34,2 │34,1 │33,9 │33,8 │33,7 │33,6 │33,4 │33,3 │33,2
0,590 │33,1 │32,9 │32,8 │32,7 │32,6 │32,4 │32,3 │32,2 │32,1 │32,0
0,600 │31,8 │ - │ - │ - │ - │ - │ - │ - │ - │ -
Таблица 19
При диаметре шарика D = 1 мм, испытательной нагрузке
F = 49 Н (5 кгс) и K = 5
──────┬─────┬─────┬─────┬─────┬─────┬─────┬─────┬─────┬─────┬─────
d, мм │0,000│0,001│0,002│0,003│0,004│0,005│0,006│0,007│0,008│0,009
──────┼─────┼─────┼─────┼─────┼─────┼─────┼─────┼─────┼─────┼─────
0,250 │ 100 │99,4 │98,6 │97,8 │97,1 │96,3 │95,5 │94,8 │94,0 │93,3
0,260 │92,6 │91,8 │91,1 │90,4 │89,7 │89,0 │88,4 │87,7 │87,0 │86,4
0,270 │85,7 │85,4 │84,4 │83,8 │82,2 │82,6 │81,9 │81,3 │80,0 │80,2
0,280 │79,6 │79,0 │78,4 │77,9 │77,3 │76,8 │76,2 │75,7 │75,1 │74,6
0,290 │74,1 │73,6 │73,0 │72,5 │72,0 │71,5 │71,0 │70,5 │70,1 │69,6
0,300 │69,1 │68,6 │68,2 │67,7 │67,3 │66,8 │66,4 │65,9 │65,5 │65,0
0,310 │64,6 │64,2 │63,8 │63,3 │62,9 │62,5 │62,1 │61,7 │61,3 │60,9
0,320 │60,5 │60,1 │59,8 │59,4 │59,0 │58,6 │58,3 │57,9 │57,5 │57,2
0,330 │56,8 │56,5 │56,1 │55,8 │55,4 │55,1 │54,8 │54,4 │54,1 │53,8
0,340 │53,4 │53,1 │52,8 │52,5 │52,2 │51,8 │51,5 │51,2 │50,9 │50,6
0,350 │50,3 │50,0 │49,7 │49,4 │49,2 │48,9 │48,6 │48,3 │48,0 │47,7
0,360 │47,5 │47,2 │46,9 │46,7 │46,4 │46,1 │45,9 │45,6 │45,4 │45,1
0,370 │44,9 │44,6 │44,4 │44,1 │43,9 │43,6 │43,4 │43,1 │42,9 │42,7
0,380 │42,4 │42,2 │42,0 │41,7 │41,5 │41,3 │41,1 │40,9 │40,6 │40,4
0,390 │40,2 │40,0 │39,8 │39,6 │39,4 │39,1 │38,9 │38,7 │38,5 │38,3
0,400 │38,1 │37,9 │37,7 │37,5 │37,3 │37,1 │37,0 │36,8 │36,6 │36,4
0,410 │36,2 │36,0 │35,8 │35,7 │35,5 │35,3 │35,1 │34,9 │34,8 │34,6
0,420 │34,4 │34,2 │34,1 │33,9 │33,7 │33,6 │33,4 │33,2 │33,1 │32,9
0,430 │32,8 │32,6 │32,4 │32,3 │32,1 │32,0 │31,8 │31,7 │31,5 │31,4
0,440 │31,2 │31,1 │30,9 │30,8 │30,6 │30,5 │30,3 │30,2 │30,0 │29,9
0,450 │29,8 │29,6 │29,5 │29,3 │29,2 │29,1 │28,9 │28,8 │28,7 │28,5
0,460 │28,4 │28,3 │28,1 │28,0 │27,9 │27,8 │27,6 │27,5 │27,4 │27,3
0,470 │27,1 │27,0 │26,9 │26,8 │26,6 │26,5 │26,4 │26,3 │26,2 │26,1
0,480 │25,9 │25,8 │25,7 │25,6 │25,5 │25,4 │25,3 │25,1 │25,0 │24,9
0,490 │24,8 │24,7 │24,6 │24,5 │24,4 │24,3 │24,2 │24,1 │24,0 │23,9
0,500 │23,8 │23,7 │23,6 │23,5 │23,4 │23,3 │23,2 │22,1 │23,0 │22,9
0,510 │22,8 │22,7 │22,6 │22,5 │22,4 │22,3 │22,2 │22,1 │22,0 │21,9
0,520 │21,8 │21,7 │21,6 │21,6 │21,5 │21,4 │21,3 │21,2 │21,1 │21,0
0,530 │20,9 │20,9 │20,8 │20,7 │20,6 │20,5 │20,4 │20,3 │20,3 │20,2
0,540 │20,1 │20,0 │19,9 │19,9 │19,8 │19,7 │19,6 │19,5 │19,5 │19,4
0,550 │19,3 │19,2 │19,2 │19,1 │19,0 │18,9 │18,9 │18,8 │18,7 │18,6
0,560 │18,6 │18,5 │18,4 │18,3 │18,3 │18,2 │18,1 │18,1 │18,0 │17,9
0,570 │17,8 │17,8 │17,7 │17,6 │17,6 │17,5 │17,4 │17,4 │17,3 │17,2
0,580 │17,2 │17,1 │17,0 │17,0 │16,9 │16,8 │16,8 │16,7 │16,7 │16,6
0,590 │16,5 │16,5 │16,4 │16,3 │16,3 │16,2 │16,2 │16,1 │16,0 │16,0
0,600 │15,9 │ - │ - │ - │ - │ - │ - │ - │ - │ -
Таблица 19а
При диаметре шарика D = 1 мм, испытательной нагрузке
F = 24,5 Н (2,5 кгс) и K = 2,5
──────┬─────┬─────┬─────┬─────┬─────┬─────┬─────┬─────┬─────┬─────
d, мм │0,000│0,001│0,002│0,003│0,004│0,005│0,006│0,007│0,008│0,009
──────┼─────┼─────┼─────┼─────┼─────┼─────┼─────┼─────┼─────┼─────
0,250 │50,1 │49,7 │49,3 │48,9 │48,5 │48,1 │47,8 │47,4 │47,0 │46,6
0,260 │46,3 │45,9 │45,6 │45,2 │44,9 │44,5 │44,2 │43,8 │43,5 │43,2
0,270 │42,9 │42,5 │42,2 │41,9 │41,6 │41,3 │41,0 │40,7 │40,4 │40,1
0,280 │39,8 │39,5 │39,2 │38,9 │38,7 │38,4 │38,1 │37,8 │37,6 │37,3
0,290 │37,0 │36,8 │36,5 │36,3 │36,0 │35,8 │35,5 │35,3 │35,0 │34,8
0,300 │34,6 │34,3 │34,1 │33,9 │33,6 │33,4 │33,2 │33,0 │32,7 │32,5
0,310 │32,3 │32,1 │31,9 │31,7 │31,5 │31,3 │31,1 │30,9 │30,7 │30,5
0,320 │30,3 │30,1 │29,9 │29,7 │29,5 │29,3 │29,1 │28,9 │28,8 │28,6
0,330 │28,4 │28,2 │28,1 │27,9 │27,7 │27,5 │27,4 │27,2 │22,0 │26,9
0,340 │26,7 │26,6 │26,4 │26,2 │26,1 │25,9 │25,8 │25,6 │25,5 │25,3
0,350 │25,2 │25,0 │24,9 │24,7 │24,6 │24,4 │24,3 │24,2 │24,0 │23,9
0,360 │23,7 │23,6 │23,5 │23,3 │22,2 │23,1 │22,9 │22,8 │22,7 │22,6
0,370 │22,4 │22,3 │22,2 │22,1 │21,9 │21,8 │21,7 │21,6 │21,5 │21,3
0,380 │21,2 │21,1 │21,0 │20,9 │20,8 │20,6 │20,5 │20,4 │20,3 │20,2
0,390 │20,1 │20,0 │19,9 │19,8 │19,7 │19,6 │19,5 │19,4 │19,3 │19,2
0,400 │19,1 │19,0 │18,9 │18,8 │18,7 │18,6 │18,5 │18,4 │18,3 │18,2
0,410 │18,1 │18,0 │17,9 │17,8 │17,7 │17,6 │17,5 │17,5 │17,4 │17,3
0,420 │17,2 │17,1 │17,0 │16,9 │16,9 │16,8 │16,7 │16,6 │16,5 │16,5
0,430 │16,4 │16,3 │16,2 │16,1 │16,1 │16,0 │15,9 │15,8 │15,8 │15,7
0,440 │15,6 │15,5 │15,5 │15,4 │15,3 │15,2 │15,2 │15,1 │15,0 │14,9
0,450 │14,9 │14,8 │14,7 │14,7 │14,6 │14,5 │14,5 │14,4 │14,3 │14,3
0,460 │14,2 │14,1 │14,1 │14,0 │13,9 │13,9 │13,8 │13,8 │13,7 │13,6
0,470 │13,6 │13,5 │13,4 │13,4 │13,3 │13,3 │13,2 │13,1 │13,1 │13,0
0,480 │13,0 │12,9 │12,9 │12,8 │12,7 │12,7 │12,6 │12,6 │12,5 │12,5
0,490 │12,4 │12,4 │12,3 │12,2 │12,2 │12,1 │12,1 │12,0 │12,0 │11,9
0,500 │11,9 │11,8 │11,8 │11,7 │11,7 │11,6 │11,6 │11,5 │11,5 │11,4
0,510 │11,4 │11,3 │11,3 │11,2 │11,2 │11,1 │11,1 │11,1 │11,0 │11,0
0,520 │10,9 │10,9 │10,8 │10,8 │10,7 │10,7 │10,6 │10,6 │10,6 │10,5
0,530 │10,5 │10,4 │10,4 │10,3 │10,3 │10,3 │10,2 │10,2 │10,1 │10,1
0,540 │10,1 │10,0 │9,97 │9,93 │9,89 │9,85 │9,81 │9,77 │9,73 │9,69
0,550 │9,66 │9,62 │9,58 │9,54 │9,50 │9,46 │9,43 │9,39 │9,35 │9,32
0,560 │9,28 │9,24 │9,21 │9,17 │9,13 │9,10 │9,03 │9,03 │8,99 │8,96
0,570 │8,92 │8,89 │8,85 │8,82 │8,79 │8,75 │8,72 │8,68 │8,65 │8,62
0,580 │8,58 │8,55 │8,52 │8,49 │8,45 │8,42 │8,39 │8,36 │8,33 │8,29
0,590 │8,26 │8,23 │8,20 │8,17 │8,14 │8,11 │8,08 │8,05 │8,02 │7,99
0,600 │7,96 │ - │ - │ - │ - │ - │ - │ - │ - │ -
Таблица 20
При диаметре шарика D = 1 мм, испытательной нагрузке
F = 9,8 Н (1 кгс) и K = 1
──────┬─────┬─────┬─────┬─────┬─────┬─────┬─────┬─────┬─────┬─────
d, мм │0,000│0,001│0,002│0,003│0,004│0,005│0,006│0,007│0,008│0,009
──────┼─────┼─────┼─────┼─────┼─────┼─────┼─────┼─────┼─────┼─────
0,250 │20,0 │19,9 │19,7 │19,6 │19,4 │19,3 │19,1 │19,0 │18,8 │18,7
0,260 │18,5 │18,4 │18,2 │18,1 │17,9 │17,8 │17,7 │17,5 │17,4 │17,3
0,270 │17,1 │17,0 │16,9 │16,8 │16,6 │16,5 │16,4 │16,3 │16,2 │16,0
0,280 │15,9 │15,8 │15,7 │15,6 │15,5 │15,4 │15,2 │15,1 │15,0 │14,9
0,290 │14,8 │14,7 │14,6 │14,5 │14,4 │14,3 │14,2 │14,1 │14,0 │13,9
0,300 │13,8 │13,7 │13,6 │13,5 │13,5 │13,4 │13,3 │13,2 │13,1 │13,0
0,310 │12,9 │12,8 │12,8 │12,7 │12,6 │12,5 │12,4 │12,3 │12,3 │12,2
0,320 │12,1 │12,0 │12,0 │11,9 │11,8 │11,7 │11,7 │11,6 │11,5 │11,4
0,330 │11,4 │11,3 │11,2 │11,2 │11,1 │11,0 │11,0 │10,9 │10,8 │10,8
0,340 │10,7 │10,6 │10,6 │10,5 │10,4 │10,4 │10,3 │10,2 │10,2 │10,1
0,350 │10,1 │10,0 │9,95 │9,89 │9,83 │9,77 │9,72 │9,66 │9,61 │9,55
0,360 │9,50 │9,44 │9,39 │9,33 │9,28 │9,23 │9,18 │9,12 │9,07 │9,02
0,370 │8,97 │8,92 │9,87 │8,82 │8,77 │8,72 │8,68 │8,63 │8,58 │8,53
0,380 │9,49 │8,44 │8,39 │8,35 │8,30 │8,26 │8,21 │8,17 │8,13 │8,08
0,390 │8,04 │8,00 │7,95 │7,91 │7,87 │7,83 │7,79 │7,75 │7,71 │7,67
0,400 │7,63 │7,59 │7,55 │7,51 │7,47 │7,43 │7,39 │7,35 │7,32 │7,28
0,410 │7,24 │7,20 │7,17 │7,13 │7,10 │7,06 │7,02 │6,99 │6,95 │6,92
0,420 │6,88 │6,85 │6,82 │6,78 │6,75 │6,71 │6,68 │6,65 │6,62 │6,58
0,430 │6,55 │6,52 │6,49 │6,46 │6,42 │6,39 │6,36 │6,33 │6,30 │6,27
0,440 │6,24 │6,21 │6,18 │6,15 │6,12 │6,09 │6,06 │6,04 │6,01 │5,98
0,450 │5,95 │5,92 │5,90 │5,87 │5,84 │5,81 │5,79 │5,76 │5,73 │5,71
0,460 │5,68 │5,65 │5,63 │5,60 │5,58 │5,55 │5,53 │5,50 │5,48 │5,45
0,470 │5,43 │5,40 │5,38 │5,35 │5,33 │5,30 │5,28 │5,26 │5,23 │5,21
0,480 │5,19 │5,16 │5,14 │5,12 │5,10 │5,07 │5,05 │5,03 │5,01 │4,98
0,490 │4,96 │4,94 │4,92 │4,90 │4,88 │4,86 │4,83 │4,81 │4,79 │4,77
0,500 │4,75 │4,73 │4,71 │4,69 │4,67 │4,65 │4,63 │4,61 │4,59 │4,57
0,510 │4,55 │4,53 │4,51 │4,50 │4,48 │4,46 │4,44 │4,42 │4,40 │4,38
0,520 │4,37 │4,35 │4,33 │4,31 │4,29 │4,28 │4,26 │4,24 │4,22 │4,21
0,530 │4,19 │4,17 │4,15 │4,14 │4,12 │4,10 │4,09 │4,07 │4,05 │4,04
0,540 │4,02 │4,00 │3,99 │3,97 │3,96 │3,94 │3,92 │3,91 │3,89 │3,88
0,550 │3,86 │3,85 │3,83 │3,82 │3,80 │3,79 │3,77 │3,76 │3,74 │3,73
0,560 │3,71 │3,70 │3,68 │3,67 │3,65 │3,64 │3,63 │3,61 │3,60 │3,58
0,570 │3,57 │3,56 │3,54 │3,53 │3,51 │3,50 │3,49 │3,47 │3,46 │3,45
0,580 │3,43 │3,42 │3,41 │3,39 │3,38 │3,37 │3,36 │3,34 │3,33 │3,32
0,590 │3,31 │3,29 │3,28 │3,27 │3,26 │3,24 │3,23 │3,22 │3,21 │3,20
0,600 │3,18 │ - │ - │ - │ - │ - │ - │ - │ - │ -
Примечание. Величины твердости по Бринеллю не имеют точного метода перевода их в другие величины твердости или прочности при растяжении.