Обозначение НТД, на который дана ссылка | Номер пункта | Обозначение НТД, на который дана ссылка | Номер пункта | ||||
| |||||||
ГОСТ 9762-76 | |||||||
ГОСТ 18617-83 | |||||||
Класс пружин | Вид нагружения | Значения деформации | Выносливость в циклах N, не менее (гамма-процентный ресурс при ) | |
предварительной, не менее | рабочей, не более | |||
I | Циклическое | 0,2s3 | 0,6s3 | 2·106 |
II | Статическое и циклическое | 0,8s3 | 104 | |




Номер пружины | Сила F3, Н | Наружный диаметр пружины D1 | Внутренний диаметр пружины D2 | Толщина пружины t | Максимальная деформация s3 | Высота пружины l0 | Толщина пружины с опорной плоскостью t' | Сила F, Н, при деформации | Масса, кг | ||||
0,2s3 | 0,4s3 | 0,5s3 | 0,6s3 | 0,8s3 | |||||||||
001 | 132 | 8,0 | 3,55 | 0,30 | 0,25 | 0,55 | - | 0,8 | 39 | 70 | 94 | 114 | 0,00009 |
002 | 14,0 | 7,20 | 0,35 | 0,45 | 0,80 | - | 1,3 | 58 | 94 | 115 | 126 | 0,00031 | |
003 | 140 | 6,3 | 3,55 | 0,30 | 0,14 | 0,44 | - | 0,5 | 32 | 60 | 87 | 112 | 0,00005 |
004 | 8,0 | 4,10 | 0,30 | 0,25 | 0,55 | - | 0,8 | 42 | 75 | 101 | 122 | 0,00008 | |
005 | 160 | 10,0 | 4,00 | 0,40 | 0,20 | 0,60 | - | 0,5 | 36 | 69 | 99 | 127 | 0,00020 |
006 | 12,5 | 6,20 | 0,35 | 0,45 | 0,80 | - | 1,3 | 70 | 116 | 142 | 155 | 0,00025 | |
007 | 16,0 | 8,20 | 0,40 | 0,50 | 0,90 | - | 1,3 | 71 | 117 | 144 | 158 | 0,00047 | |
008 | 200 | 10,0 | 4,00 | 0,40 | 0,25 | 0,65 | - | 0,6 | 50 | 92 | 129 | 162 | 0,00020 |
009 | 250 | 9,0 | 5,60 | 0,40 | 0,20 | 0,60 | - | 0,5 | 59 | 111 | 160 | 205 | 0,00012 |
010 | 10,0 | 5,00 | 0,40 | 0,30 | 0,70 | - | 0,8 | 71 | 128 | 175 | 215 | 0,00018 | |
011 | 14,0 | 7,00 | 0,50 | 0,30 | 0,80 | - | 0,6 | 64 | 118 | 167 | 210 | 0,00045 | |
012 | 18,0 | 9,20 | 0,45 | 0,60 | 1,05 | - | 1,3 | 103 | 166 | 202 | 218 | 0,00066 | |
013 | 20,0 | 10,20 | 0,50 | 0,65 | 1,15 | - | 1,3 | 120 | 196 | 239 | 261 | 0,00091 | |
014 | 315 | 9,0 | 5,60 | 0,40 | 0,25 | 0,65 | - | 0,6 | 80 | 147 | 207 | 260 | 0,00012 |
015 | 20,0 | 8,00 | 0,55 | 0,65 | 1,20 | - | 1,2 | 131 | 218 | 272 | 305 | 0,00113 | |
016 | 355 | 9,0 | 5,60 | 0,50 | 0,15 | 0,65 | - | 0,3 | 77 | 152 | 224 | 294 | 0,00015 |
017 | 10,0 | 4,00 | 0,50 | 0,25 | 0,75 | - | 0,5 | 89 | 169 | 242 | 311 | 0,00026 | |
018 | 12,5 | 6,30 | 0,50 | 0,35 | 0,85 | - | 0,7 | 100 | 183 | 253 | 314 | 0,00036 | |
019 | 20,0 | 10,00 | 0,55 | 0,65 | 1,20 | - | 1,2 | 143 | 237 | 297 | 332 | 0,00101 | |
020 | 400 | 8,0 | 3,70 | 0,50 | 0,17 | 0,67 | - | 0,3 | 91 | 177 | 260 | 341 | 0,00015 |
021 | 10,0 | 5,00 | 0,50 | 0,25 | 0,75 | - | 0,5 | 97 | 184 | 264 | 338 | 0,00023 | |
022 | 450 | 16,0 | 8,00 | 0,60 | 0,40 | 1,00 | - | 0,7 | 117 | 215 | 299 | 374 | 0,00070 |
023 | 20,0 | 8,00 | 0,60 | 0,70 | 1,30 | - | 1,2 | 181 | 302 | 378 | 425 | 0,00124 | |
024 | 22,5 | 11,20 | 0,60 | 0,80 | 1,40 | - | 1,3 | 205 | 333 | 403 | 435 | 0,00141 | |
025 | 500 | 10,0 | 5,00 | 0,55 | 0,23 | 0,78 | - | 0,4 | 113 | 218 | 317 | 411 | 0,00025 |
026 | 12,5 | 7,50 | 0,50 | 0,40 | 0,90 | - | 0,8 | 141 | 253 | 342 | 417 | 0,00030 | |
027 | 18,0 | 9,00 | 0,60 | 0,55 | 1,15 | - | 0,9 | 155 | 270 | 357 | 424 | 0,00089 | |
028 | 630 | 10,0 | 4,20 | 0,60 | 0,25 | 0,85 | - | 0,4 | 148 | 286 | 415 | 539 | 0,00030 |
029 | 16,0 | 8,00 | 0,67 | 0,43 | 1,10 | - | 0,6 | 172 | 318 | 444 | 557 | 0,00080 | |
030 | 20,0 | 10,00 | 0,67 | 0,63 | 1,30 | - | 0,9 | 204 | 355 | 466 | 551 | 0,00120 | |
031 | 25,0 | 12,20 | 0,70 | 0,90 | 1,60 | - | 1,3 | 281 | 460 | 562 | 614 | 0,00205 | |
032 | 710 | 10,0 | 4,75 | 0,60 | 0,25 | 0,85 | - | 0,4 | 156 | 300 | 435 | 565 | 0,0003 |
033 | 14,0 | 5,60 | 0,70 | 0,34 | 1,04 | - | 0,5 | 168 | 320 | 460 | 591 | 0,0007 | |
034 | 20,0 | 10,00 | 0,70 | 0,65 | 1,35 | - | 0,9 | 238 | 414 | 546 | 647 | 0,0013 | |
035 | 22,4 | 9,00 | 0,75 | 0,70 | 1,45 | - | 0,9 | 232 | 404 | 530 | 629 | 0,0019 | |
036 | 31,5 | 16,30 | 0,80 | 1,05 | 1,85 | - | 1,3 | 326 | 532 | 647 | 703 | 0,0036 | |
037 | 800 | 22,4 | 9,00 | 0,80 | 0,65 | 1,45 | - | 0,8 | 236 | 421 | 569 | 691 | 0,0021 |
038 | 900 | 12,5 | 6,30 | 0,70 | 0,30 | 1,00 | - | 0,4 | 197 | 379 | 549 | 712 | 0,0005 |
039 | 22,4 | 12,50 | 0,80 | 0,60 | 1,40 | - | 0,8 | 244 | 441 | 603 | 741 | 0,0017 | |
040 | 35,5 | 18,30 | 0,90 | 1,15 | 2,05 | - | 1,3 | 387 | 635 | 778 | 851 | 0,0051 | |
041 | 1000 | 16,0 | 9,00 | 0,80 | 0,35 | 1,15 | - | 0,4 | 227 | 435 | 630 | 816 | 0,0009 |
042 | 20,0 | 10,00 | 0,80 | 0,65 | 1,45 | - | 0,8 | 322 | 576 | 777 | 944 | 0,0015 | |
043 | 25,0 | 10,50 | 0,90 | 0,70 | 1,60 | - | 0,8 | 287 | 515 | 700 | 856 | 0,0028 | |
044 | 1120 | 25,0 | 14,00 | 0,90 | 0,70 | 1,60 | - | 0,8 | 332 | 597 | 812 | 993 | 0,0024 |
045 | 40,0 | 20,40 | 1,00 | 1,30 | 2,30 | - | 1,3 | 479 | 783 | 955 | 1040 | 0,0073 | |
046 | 1250 | 28,0 | 12,00 | 1,00 | 0,80 | 1,80 | - | 0,8 | 367 | 656 | 888 | 1081 | 0,0039 |
047 | 1400 | 20,0 | 10,0 | 0,85 | 0,65 | 1,50 | - | 0,8 | 373 | 672 | 916 | 1123 | 0,0016 |
048 | 25,0 | 10,0 | 1,00 | 0,70 | 1,70 | - | 0,7 | 366 | 668 | 923 | 1145 | 0,0032 | |
049 | 31,5 | 12,5 | 1,05 | 1,00 | 2,05 | - | 1,0 | 464 | 807 | 1057 | 1246 | 0,0054 | |
050 | 1600 | 16,0 | 8,0 | 1,00 | 0,30 | 1,30 | - | 0,3 | 328 | 643 | 947 | 1245 | 0,0012 |
051 | 20,0 | 9,0 | 1,00 | 0,50 | 1,50 | - | 0,5 | 370 | 701 | 1005 | 1290 | 0,0020 | |
052 | 25,0 | 12,5 | 1,05 | 0,65 | 1,70 | - | 0,6 | 404 | 749 | 1051 | 1324 | 0,0030 | |
053 | 50,0 | 25,4 | 1,25 | 1,60 | 2,85 | - | 1,3 | 722 | 1184 | 1450 | 1586 | 0,0143 | |
054 | 1800 | 20,0 | 11,2 | 1,00 | 0,50 | 1,50 | - | 0,5 | 419 | 795 | 1139 | 1462 | 0,0017 |
055 | 25,0 | 14,0 | 1,00 | 0,80 | 1,80 | - | 0,8 | 531 | 950 | 1285 | 1565 | 0,0026 | |
056 | 31,5 | 16,0 | 1,15 | 0,90 | 2,05 | - | 0,8 | 527 | 947 | 1285 | 1571 | 0,0052 | |
057 | 2000 | 20,0 | 10,2 | 1,10 | 0,45 | 1,55 | - | 0,4 | 446 | 860 | 1250 | 1630 | 0,0020 |
058 | 25,0 | 10,0 | 1,20 | 0,60 | 1,80 | - | 0,5 | 473 | 897 | 1286 | 1650 | 0,0038 | |
059 | 35,5 | 14,0 | 1,30 | 0,95 | 2,25 | - | 0,7 | 552 | 1000 | 1374 | 1695 | 0,0085 | |
060 | 45,0 | 22,4 | 1,25 | 1,60 | 2,85 | - | 1,3 | 883 | 1447 | 1773 | 1939 | 0,1174 | |
061 | 2240 | 25,0 | 10,0 | 1,30 | 0,50 | 1,80 | - | 0,4 | 470 | 909 | 1326 | 1728 | 0,0042 |
062 | 2500 | 35,5 | 20,0 | 1,30 | 1,00 | 2,30 | - | 0,8 | 709 | 1277 | 1739 | 2130 | 0,0069 |
063 | 60,0 | 30,0 | 1,50 | 2,00 | 3,50 | - | 1,3 | 1124 | 1827 | 2214 | 2392 | 0,0250 | |
064 | 2800 | 25,0 | 10,0 | 1,40 | 0,55 | 1,95 | - | 0,4 | 648 | 1253 | 1825 | 2375 | 0,0045 |
065 | 45,0 | 18,0 | 1,50 | 1,40 | 2,90 | - | 0,9 | 917 | 1598 | 2103 | 2489 | 0,0157 | |
066 | 50,0 | 25,0 | 1,50 | 1,50 | 3,00 | - | 1,0 | 915 | 1575 | 2044 | 2385 | 0,0173 | |
067 | 56,0 | 28,5 | 1,50 | 1,95 | 3,45 | - | 1,3 | 1237 | 2022 | 2470 | 2685 | 0,0215 | |
068 | 3150 | 28,0 | 14,0 | 1,40 | 0,70 | 2,10 | - | 0,5 | 760 | 1442 | 2067 | 2653 | 0,0051 |
069 | 35,0 | 15,0 | 1,50 | 1,00 | 2,50 | - | 0,7 | 895 | 1645 | 2287 | 2856 | 0,0092 | |
070 | 40,0 | 20,0 | 1,50 | 1,15 | 2,65 | - | 0,8 | 910 | 1635 | 2230 | 2730 | 0,0111 | |
071 | 45,0 | 22,4 | 1,50 | 1,45 | 2,95 | - | 1,0 | 1060 | 1835 | 2400 | 2820 | 0,0141 | |
072 | 3550 | 25,0 | 14,0 | 1,40 | 0,55 | 1,95 | - | 0,4 | 762 | 1470 | 2145 | 2795 | 0,0037 |
073 | 28,0 | 12,0 | 1,50 | 0,70 | 2,20 | - | 0,5 | 858 | 1640 | 2360 | 3043 | 0,0059 | |
074 | 35,5 | 16,0 | 1,80 | 0,65 | 2,45 | - | 0,4 | 824 | 1600 | 2342 | 3060 | 0,0111 | |
075 | 45,0 | 18,0 | 1,70 | 1,20 | 2,90 | - | 0,7 | 955 | 1740 | 2400 | 2980 | 0,0105 | |
076 | 45,0 | 25,0 | 1,50 | 1,50 | 3,00 | - | 1,0 | 1213 | 2087 | 2710 | 3160 | 0,0129 | |
077 | 4000 | 28,0 | 12,0 | 1,5 | 0,75 | 2,25 | - | 0,5 | 937 | 1780 | 2550 | 3273 | 0,0059 |
078 | 31,5 | 11,0 | 1,7 | 0,70 | 2,40 | - | 0,4 | 916 | 1765 | 2565 | 3330 | 0,0091 | |
079 | 35,5 | 16,0 | 1,6 | 1,05 | 2,65 | - | 0,7 | 1120 | 2063 | 2874 | 3596 | 0,0099 | |
080 | 45,0 | 25,0 | 1,6 | 1,40 | 3,00 | - | 0,9 | 1239 | 2190 | 2910 | 3490 | 0,0138 | |
081 | 50,0 | 20,0 | 1,8 | 1,40 | 3,20 | - | 0,8 | 1132 | 2035 | 2767 | 3383 | 0,0233 | |
082 | 4500 | 25,0 | 14,0 | 1,6 | 0,50 | 2,10 | - | 0,3 | 996 | 1947 | 2867 | 3760 | 0,0042 |
083 | 50,0 | 25,0 | 1,8 | 1,45 | 3,25 | - | 0,8 | 1304 | 2332 | 3150 | 3830 | 0,0208 | |
084 | 63,0 | 31,0 | 1,8 | 2,35 | 4,15 | - | 1,3 | 2007 | 3280 | 3990 | 4340 | 0,0334 | |
085 | 5000 | 31,5 | 16,0 | 1,8 | 0,65 | 2,45 | - | 0,4 | 1110 | 2150 | 3150 | 4115 | 0,0082 |
086 | 50,0 | 28,0 | 1,8 | 1,50 | 3,30 | - | 0,8 | 1490 | 2650 | 3560 | 4300 | 0,0190 | |
087 | 5600 | 50,0 | 20,0 | 2,0 | 1,50 | 3,50 | - | 0,8 | 1628 | 2940 | 4025 | 4949 | 0,0259 |
088 | 60,0 | 25,0 | 2,0 | 2,00 | 4,00 | - | 1,0 | 1866 | 3210 | 4165 | 4860 | 0,0367 | |
089 | 71,0 | 36,0 | 2,0 | 2,60 | 4,60 | - | 1,3 | 2425 | 3960 | 4835 | 5260 | 0,0462 | |
090 | 6300 | 31,5 | 16,0 | 2,00 | 0,63 | 2,63 | - | 0,3 | 1440 | 2820 | 4150 | 5450 | 0,0091 |
091 | 35,5 | 20,0 | 1,80 | 0,95 | 2,75 | - | 0,5 | 1505 | 2840 | 4050 | 5180 | 0,0095 | |
092 | 40,0 | 20,0 | 2,00 | 1,00 | 3,00 | - | 0,5 | 1550 | 2940 | 4220 | 5410 | 0,0148 | |
093 | 50,0 | 20,0 | 2,20 | 1,30 | 3,50 | - | 0,6 | 1670 | 3120 | 4400 | 5570 | 0,0285 | |
094 | 63,0 | 31,5 | 2,10 | 2,05 | 4,15 | - | 1,0 | 2120 | 3660 | 4780 | 5600 | 0,0385 | |
095 | 7100 | 40,0 | 22,4 | 2,00 | 1,00 | 3,00 | - | 0,5 | 1670 | 3180 | 4560 | 5850 | 0,0135 |
096 | 45,0 | 20,0 | 2,20 | 1,10 | 3,30 | - | 0,5 | 1700 | 3230 | 4630 | 5940 | 0,0220 | |
097 | 50,0 | 25,0 | 2,10 | 1,45 | 3,55 | - | 0,7 | 1900 | 3470 | 4800 | 5970 | 0,0243 | |
098 | 63,0 | 31,5 | 2,20 | 2,00 | 4,20 | - | 0,9 | 2250 | 3940 | 5210 | 6200 | 0,0404 | |
099 | 80,0 | 40,0 | 2,20 | 3,00 | 5,20 | - | 1,4 | 3070 | 4970 | 5980 | 6420 | 0,0650 | |
100 | 100,0 | 50,0 | 2,50 | 3,50 | 6,00 | - | 1,4 | 3470 | 5580 | 6680 | 7100 | 0,1155 | |
101 | 8000 | 35,5 | 20,0 | 2,20 | 0,70 | 2,90 | - | 0,3 | 1810 | 3540 | 5200 | 6830 | 0,0117 |
102 | 40,0 | 22,4 | 2,20 | 0,85 | 3,05 | - | 0,4 | 1780 | 3440 | 5020 | 6540 | 0,0149 | |
103 | 63,0 | 31,5 | 2,40 | 1,75 | 4,15 | - | 0,7 | 2220 | 4020 | 5520 | 6820 | 0,0440 | |
104 | 90,0 | 46,0 | 2,50 | 3,20 | 5,70 | - | 1,3 | 3580 | 5870 | 7180 | 7860 | 0,0922 | |
105 | 9000 | 40,0 | 25,0 | 2,2 | 0,90 | 3,10 | - | 0,4 | 2130 | 4100 | 5970 | 7750 | 0,0132 |
106 | 45,0 | 18,0 | 2,5 | 0,95 | 3,45 | - | 0,4 | 1950 | 3790 | 5520 | 7200 | 0,0262 | |
107 | 50,0 | 20,0 | 2,5 | 1,20 | 3,70 | - | 0,5 | 2110 | 4020 | 5780 | 7440 | 0,0323 | |
108 | 71,0 | 28,0 | 2,6 | 2,15 | 4,75 | - | 0,8 | 2690 | 4790 | 6440 | 7800 | 0,0682 | |
109 | 90,0 | 40,0 | 2,5 | 3,50 | 6,00 | - | 1,4 | 4060 | 6530 | 7810 | 8310 | 0,1001 | |
110 | 100,0 | 51,0 | 2,7 | 3,50 | 6,20 | - | 1,3 | 4050 | 6620 | 8080 | 8810 | 0,1232 | |
111 | 10000 | 50,0 | 25,0 | 2,5 | 1,20 | 3,70 | - | 0,5 | 2300 | 4380 | 6300 | 8100 | 0,0289 |
112 | 71,0 | 40,0 | 2,6 | 2,00 | 4,60 | - | 0,8 | 2840 | 5110 | 6950 | 8520 | 0,0551 | |
113 | 80,0 | 31,5 | 2,8 | 2,45 | 5,25 | - | 0,9 | 3140 | 5530 | 7370 | 8830 | 0,0933 | |
114 | 11200 | 45,0 | 25,0 | 2,5 | 1,05 | 3,55 | - | 0,4 | 2580 | 4960 | 7190 | 9340 | 0,0216 |
115 | 56,0 | 22,4 | 2,8 | 1,30 | 4,10 | - | 0,5 | 2540 | 4850 | 6990 | 9020 | 0,0454 | |
116 | 71,0 | 28,0 | 3,0 | 1,80 | 4,80 | - | 0,6 | 2920 | 5440 | 7660 | 9680 | 0,0787 | |
117 | 110,0 | 50,0 | 3,0 | 4,00 | 7,00 | - | 1,3 | 5110 | 8310 | 10070 | 10880 | 0,1774 | |
118 | 12500 | 40,0 | 25,0 | 2,5 | 0,80 | 3,30 | - | 0,3 | 2660 | 5200 | 7650 | 10030 | 0,0150 |
119 | 45,0 | 28,0 | 2,4 | 1,10 | 3,50 | - | 0,5 | 2720 | 5200 | 7500 | 9680 | 0,0183 | |
120 | 50,0 | 25,0 | 2,8 | 1,10 | 3,90 | - | 0,4 | 2820 | 5450 | 7940 | 10340 | 0,0323 | |
121 | 56,0 | 28,0 | 2,8 | 1,35 | 4,15 | - | 0,5 | 2900 | 5520 | 7940 | 10210 | 0,0406 | |
122 | 80,0 | 45,0 | 3,0 | 2,10 | 5,10 | - | 0,7 | 3410 | 6230 | 8610 | 10700 | 0,0809 | |
123 | 14000 | 45,0 | 28,0 | 2,6 | 1,00 | 3,60 | - | 0,4 | 3020 | 5850 | 8530 | 11120 | 0,0199 |
124 | 50,0 | 28,0 | 2,8 | 1,10 | 3,90 | - | 0,4 | 3040 | 5890 | 8580 | 11170 | 0,0296 | |
125 | 56,0 | 31,5 | 2,8 | 1,40 | 4,20 | - | 0,5 | 3290 | 6250 | 8960 | 11500 | 0,0370 | |
126 | 63,0 | 31,5 | 3,0 | 1,50 | 4,50 | - | 0,5 | 3170 | 6010 | 8610 | 11050 | 0,0550 | |
127 | 70,0 | 30,0 | 3,0 | 2,00 | 5,00 | - | 0,7 | 3580 | 6580 | 9150 | 11430 | 0,0739 | |
128 | 80,0 | 35,0 | 3,0 | 2,50 | 5,50 | - | 0,8 | 3920 | 6970 | 9360 | 11320 | 0,0957 | |
129 | 90,0 | 45,0 | 3,2 | 2,60 | 5,80 | 3,1 | 0,8 | 4080 | 7280 | 9820 | 11940 | 0,1198 | |
130 | 130,0 | 60,0 | 3,5 | 4,50 | 8,00 | 3,4 | 1,3 | 6320 | 10340 | 12650 | 13820 | 0,2869 | |
131 | 16000 | 50,0 | 30,0 | 3,0 | 1,00 | 4,00 | - | 0,3 | 3530 | 6890 | 10120 | 13260 | 0,0296 |
132 | 56,0 | 28,0 | 3,2 | 1,20 | 4,40 | 3,1 | 0,4 | 3630 | 7040 | 10280 | 13400 | 0,0464 | |
133 | 90,0 | 50,0 | 3,2 | 2,80 | 6,00 | 3,1 | 0,9 | 4960 | 8730 | 11640 | 13960 | 0,1104 | |
134 | 125,0 | 64,0 | 3,5 | 4,50 | 8,00 | 3,4 | 1,3 | 7210 | 11810 | 14450 | 15790 | 0,2488 | |
135 | 18000 | 50,0 | 31,5 | 3,0 | 1,00 | 4,0 | - | 0,3 | 3720 | 7260 | 10670 | 13980 | 0,0279 |
136 | 56,0 | 22,4 | 3,5 | 1,10 | 4,6 | 3,4 | 0,3 | 3890 | 7610 | 11190 | 14700 | 0,0568 | |
137 | 63,0 | 25,0 | 3,5 | 1,40 | 4,9 | 3,4 | 0,4 | 4060 | 7840 | 11420 | 14850 | 0,0721 | |
138 | 71,0 | 28,0 | 3,5 | 1,80 | 5,3 | 3,4 | 0,5 | 4380 | 8300 | 11860 | 15200 | 0,0918 | |
139 | 140,0 | 72,0 | 3,8 | 4,90 | 8,7 | 3,7 | 1,3 | 8060 | 13200 | 16130 | 17600 | 0,3377 | |
140 | 20000 | 63,0 | 31,5 | 3,5 | 1,4 | 4,9 | 3,3 | 0,4 | 4430 | 8560 | 12460 | 16200 | 0,0642 |
141 | 80,0 | 36,0 | 3,7 | 2,0 | 5,7 | 3,5 | 0,5 | 4800 | 9040 | 12870 | 16400 | 0,1164 | |
142 | 90,0 | 32,0 | 4,0 | 2,3 | 6,3 | 3,7 | 0,6 | 5310 | 9940 | 14060 | 17840 | 0,1744 | |
143 | 100,0 | 56,0 | 3,5 | 3,3 | 6,8 | 3,3 | 0,9 | 6580 | 11440 | 15000 | 17750 | 0,1480 | |
144 | 150,0 | 70,0 | 4,0 | 5,5 | 9,5 | 3,9 | 1,4 | 9400 | 15180 | 18260 | 19530 | 0,4338 | |
145 | 22400 | 63,0 | 35,5 | 3,5 | 1,5 | 5,0 | 3,3 | 0,4 | 5250 | 10100 | 14620 | 18950 | 0,0584 |
146 | 71,0 | 28,0 | 4,0 | 1,5 | 5,5 | 3,8 | 0,4 | 5040 | 9780 | 14300 | 18630 | 0,1049 | |
147 | 80,0 | 31,5 | 4,0 | 1,9 | 5,9 | 3,8 | 0,5 | 5310 | 10130 | 14570 | 18800 | 0,1333 | |
148 | 100,0 | 40,0 | 4,0 | 3,0 | 7,0 | 3,8 | 0,8 | 6510 | 11770 | 16100 | 19800 | 0,2070 | |
149 | 112,0 | 56,0 | 4,0 | 3,4 | 7,4 | 3,8 | 0,8 | 6930 | 12300 | 16450 | 19800 | 0,2319 | |
150 | 25000 | 71,0 | 35,5 | 4,0 | 1,5 | 5,5 | 3,8 | 0,4 | 5520 | 10700 | 15600 | 20400 | 0,0932 |
151 | 80,0 | 40,0 | 4,0 | 2,0 | 6,0 | 3,8 | 0,5 | 6200 | 11770 | 16870 | 21660 | 0,1183 | |
152 | 100,0 | 40,0 | 4,2 | 2,8 | 7,0 | 4,0 | 0,7 | 6610 | 12160 | 16890 | 21100 | 0,2174 | |
153 | 112,0 | 63,0 | 4,0 | 3,5 | 7,5 | 3,8 | 0,9 | 7900 | 13910 | 18520 | 22210 | 0,2114 | |
154 | 160,0 | 82,0 | 4,3 | 5,6 | 9,9 | 4,1 | 1,3 | 10300 | 16830 | 20520 | 22400 | 0,5004 | |
155 | 28000 | 71 | 28,0 | 4,5 | 1,3 | 5,8 | 4,3 | 0,3 | 6000 | 11760 | 17400 | 22800 | 0,1180 |
156 | 80 | 31,5 | 4,5 | 1,6 | 6,1 | 4,3 | 0,4 | 5980 | 11620 | 17020 | 22250 | 0,1500 | |
157 | 90 | 35,5 | 4,5 | 2,1 | 6,6 | 4,3 | 0,5 | 6570 | 12550 | 18100 | 23320 | 0,1897 | |
158 | 100 | 50,0 | 4,2 | 2,9 | 7,1 | 4,0 | 0,7 | 7600 | 13900 | 19200 | 23900 | 0,1941 | |
159 | 125 | 63,0 | 4,5 | 3,7 | 8,2 | 4,3 | 0,8 | 8480 | 15110 | 20350 | 24670 | 0,3232 | |
160 | 180 | 92,0 | 4,8 | 6,2 | 11,0 | 4,6 | 1,3 | 12390 | 20270 | 24770 | 27020 | 0,7084 | |
161 | 31500 | 80 | 40,0 | 4,5 | 1,7 | 6,2 | 4,3 | 0,4 | 7020 | 13600 | 19900 | 26000 | 0,1331 |
162 | 90 | 45,5 | 4,5 | 2,1 | 6,6 | 4,3 | 0,5 | 7230 | 13800 | 19880 | 25640 | 0,1685 | |
163 | 100 | 36,0 | 4,8 | 2,5 | 7,3 | 4,6 | 0,5 | 7820 | 14790 | 21070 | 27030 | 0,2574 | |
164 | 125 | 71,0 | 4,5 | 3,8 | 8,3 | 4,3 | 0,8 | 9640 | 17100 | 22930 | 27700 | 0,2935 | |
165 | 35500 | 90 | 50,0 | 4,5 | 2,2 | 6,7 | 4,3 | 0,5 | 8200 | 15600 | 22400 | 28730 | 0,1553 |
166 | 100 | 40,0 | 5,0 | 2,3 | 7,3 | 4,7 | 0,5 | 8000 | 15290 | 22060 | 28470 | 0,2588 | |
167 | 125 | 50,0 | 5,3 | 3,1 | 8,4 | 5,0 | 0,6 | 8890 | 16610 | 23450 | 29700 | 0,4287 | |
168 | 140 | 71,0 | 5,0 | 4,2 | 9,2 | 4,7 | 0,8 | 10710 | 19020 | 25520 | 30810 | 0,4485 | |
169 | 40000 | 80 | 40 | 5,0 | 1,6 | 6,6 | 4,7 | 0,3 | 8820 | 17240 | 25350 | 33260 | 0,148 |
170 | 90 | 45 | 5,0 | 2,0 | 7,0 | 4,7 | 0,4 | 9050 | 17500 | 25400 | 33070 | 0,187 | |
171 | 100 | 50 | 5,0 | 2,5 | 7,5 | 4,7 | 0,5 | 9690 | 18400 | 26370 | 33840 | 0,231 | |
172 | 125 | 63 | 5,3 | 3,2 | 8,5 | 5,0 | 0,6 | 10180 | 19000 | 26700 | 33650 | 0,381 | |
173 | 160 | 80 | 5,3 | 5,2 | 10,5 | 5,0 | 1,0 | 13460 | 23240 | 30300 | 35500 | 0,627 | |
174 | 200 | 100 | 5,5 | 7,5 | 13,0 | 5,3 | 1,4 | 19180 | 31040 | 37400 | 40100 | 1,017 | |
175 | 45000 | 80 | 45 | 5,0 | 1,6 | 6,6 | 4,7 | 0,3 | 9550 | 18700 | 27500 | 36030 | 0,135 |
176 | 90 | 50 | 5,0 | 2,1 | 7,1 | 4,7 | 0,4 | 10300 | 19830 | 28800 | 37340 | 0,173 | |
177 | 100 | 40 | 5,6 | 2,1 | 7,7 | 5,3 | 0,4 | 9810 | 19010 | 27770 | 36220 | 0,290 | |
178 | 112 | 45 | 5,6 | 2,7 | 8,3 | 5,3 | 0,5 | 10660 | 20290 | 29160 | 37500 | 0,363 | |
179 | 125 | 71 | 5,3 | 3,3 | 8,6 | 5,0 | 0,6 | 11560 | 21440 | 30060 | 37840 | 0,346 | |
180 | 140 | 56 | 6,0 | 3,4 | 9,4 | 5,7 | 0,6 | 11140 | 20880 | 29580 | 37580 | 0,609 | |
181 | 220 | 100 | 6,0 | 8,0 | 14,0 | 5,8 | 1,3 | 20450 | 33200 | 40290 | 43520 | 1,420 | |
182 | 50000 | 90 | 45 | 5,6 | 1,8 | 7,4 | 5,3 | 0,3 | 11000 | 21500 | 31700 | 41500 | 0,210 |
183 | 100 | 50 | 5,6 | 2,2 | 7,8 | 5,3 | 0,4 | 11300 | 21800 | 31800 | 41400 | 0,259 | |
184 | 112 | 56 | 5,6 | 2,7 | 8,3 | 5,3 | 0,5 | 11600 | 22100 | 31750 | 41000 | 0,325 | |
185 | 125 | 50 | 6,0 | 3,0 | 9,0 | 5,7 | 0,5 | 11820 | 22430 | 32150 | 41260 | 0,485 | |
186 | 140 | 71 | 6,0 | 3,4 | 9,4 | 5,7 | 0,6 | 12230 | 22930 | 32590 | 41270 | 0,538 | |
187 | 160 | 80 | 6,0 | 4,5 | 10,5 | 5,7 | 0,8 | 14020 | 25400 | 34700 | 42700 | 0,710 | |
188 | 180 | 90 | 6,0 | 5,7 | 11,7 | 5,7 | 1,0 | 16500 | 28600 | 37540 | 44300 | 0,899 | |
189 | 225 | 112 | 6,5 | 7,1 | 13,6 | 6,2 | 1,3 | 18770 | 31750 | 40400 | 46160 | 1,526 | |
190 | 56000 | 100 | 40 | 6,0 | 2,2 | 8,2 | 5,7 | 0,4 | 12580 | 24430 | 35720 | 46640 | 0,311 |
191 | 140 | 60 | 6,0 | 4,0 | 10,0 | 5,7 | 0,7 | 14320 | 26320 | 36600 | 45700 | 0,592 | |
192 | 250 | 127 | 7,0 | 7,8 | 14,8 | 6,7 | 1,1 | 21500 | 36230 | 45890 | 52170 | 2,001 | |
193 | 63000 | 112 | 56 | 6,3 | 2,4 | 8,7 | 6,0 | 0,4 | 13900 | 26900 | 39300 | 51200 | 0,365 |
194 | 125 | 63 | 6,3 | 3,0 | 9,3 | 6,0 | 0,5 | 14800 | 28200 | 40600 | 52200 | 0,453 | |
195 | 160 | 63 | 6,7 | 4,4 | 11,1 | 6,3 | 0,7 | 16300 | 30000 | 41800 | 52300 | 0,893 | |
196 | 180 | 100 | 6,7 | 4,8 | 11,5 | 6,3 | 0,7 | 17210 | 31330 | 43130 | 53370 | 0,925 | |
197 | 200 | 100 | 6,7 | 6,3 | 13,0 | 6,3 | 0,9 | 20380 | 35470 | 46600 | 55090 | 1,239 | |
198 | 250 | 100 | 7,0 | 9,0 | 16,0 | 6,8 | 1,3 | 26120 | 42780 | 52340 | 57170 | 2,265 | |
199 | 71000 | 100 | 50 | 6,3 | 2,2 | 8,5 | 6,0 | 0,3 | 15720 | 30600 | 44900 | 58700 | 0,291 |
200 | 112 | 45 | 7,0 | 2,2 | 9,2 | 6,7 | 0,3 | 15560 | 30430 | 44780 | 58790 | 0,454 | |
201 | 125 | 71 | 6,3 | 3,1 | 9,4 | 6,0 | 0,5 | 16750 | 31840 | 45680 | 58700 | 0,411 | |
202 | 140 | 56 | 7,0 | 3,4 | 10,4 | 6,7 | 0,5 | 16810 | 31990 | 45950 | 59100 | 0,710 | |
203 | 160 | 70 | 7,0 | 4,5 | 11,5 | 6,7 | 0,6 | 19380 | 35800 | 50000 | 62710 | 0,893 | |
204 | 180 | 71 | 7,5 | 4,5 | 12,0 | 7,0 | 0,6 | 17740 | 33050 | 46540 | 58800 | 1,264 | |
205 | 200 | 100 | 7,1 | 6,0 | 13,1 | 6,7 | 1,4 | 21370 | 38000 | 50800 | 61280 | 1,313 | |
206 | 80000 | 112 | 56 | 7,0 | 2,2 | 9,2 | 6,6 | 0,3 | 16940 | 33120 | 48750 | 64000 | 0,406 |
207 | 125 | 63 | 7,0 | 2,8 | 9,8 | 6,6 | 0,4 | 18120 | 35000 | 50930 | 66250 | 0,503 | |
208 | 140 | 71 | 7,0 | 3,5 | 10,5 | 6,6 | 0,5 | 19160 | 36380 | 52130 | 66910 | 0,628 | |
209 | 180 | 90 | 7,5 | 4,7 | 12,2 | 7,0 | 0,6 | 20630 | 38240 | 56560 | 67370 | 1,123 | |
210 | 200 | 112 | 7,5 | 5,4 | 12,9 | 7,0 | 0,7 | 22200 | 40380 | 55540 | 68690 | 1,269 | |
211 | 90000 | 125 | 71 | 7,0 | 2,9 | 9,9 | 6,6 | 0,4 | 20560 | 39610 | 57540 | 74710 | 0,457 |
212 | 140 | 56 | 8,0 | 2,9 | 10,9 | 7,5 | 0,4 | 20020 | 38890 | 56900 | 74320 | 0,812 | |
213 | 200 | 80 | 8,0 | 6,0 | 14,0 | 7,5 | 0,8 | 26060 | 47100 | 64400 | 79190 | 1,656 | |
214 | 224 | 112 | 8,0 | 6,7 | 14,7 | 7,5 | 0,8 | 27040 | 48040 | 64500 | 77930 | 1,855 | |
215 | 100000 | 125 | 63 | 8,0 | 2,3 | 10,3 | 7,5 | 0,3 | 21110 | 41430 | 61160 | 80490 | 0,575 |
216 | 140 | 71 | 8,0 | 2,9 | 10,9 | 7,5 | 0,4 | 21990 | 42710 | 62480 | 81610 | 0,718 | |
217 | 160 | 80 | 8,0 | 4,0 | 12,0 | 7,5 | 0,5 | 24810 | 47100 | 67500 | 86630 | 0,947 | |
218 | 180 | 80 | 8,0 | 5,0 | 13,0 | 7,5 | 0,6 | 25220 | 46750 | 65510 | 82420 | 1,282 | |
219 | 224 | 112 | 8,5 | 6,2 | 14,7 | 8,0 | 0,7 | 27590 | 50080 | 68750 | 84880 | 1,971 | |
220 | 112000 | 125 | 71 | 8,0 | 2,4 | 10,4 | 7,5 | 0,3 | 24070 | 47170 | 69530 | 91400 | 0,521 |
221 | 140 | 80 | 8,0 | 3,0 | 11,0 | 7,5 | 0,4 | 24930 | 48330 | 70580 | 92070 | 0,651 | |
222 | 160 | 63 | 9,0 | 3,3 | 12,3 | 8,5 | 0,4 | 24790 | 48120 | 70350 | 91860 | 1,200 | |
223 | 180 | 71 | 9,0 | 4,1 | 13,1 | 8,5 | 0,5 | 25500 | 48790 | 70430 | 90960 | 1,517 | |
224 | 220 | 90 | 9,0 | 6,5 | 15,5 | 8,5 | 0,7 | 32690 | 59430 | 81710 | 101020 | 2,235 | |
225 | 125000 | 160 | 80 | 9,0 | 3,3 | 12,3 | 8,5 | 0,4 | 27090 | 52590 | 76890 | 100390 | 1,065 |
226 | 180 | 90 | 9,0 | 4,2 | 13,2 | 8,5 | 0,5 | 28730 | 54870 | 79060 | 101950 | 1,348 | |
227 | 200 | 90 | 9,0 | 5,5 | 14,5 | 8,5 | 0,6 | 31860 | 59220 | 83200 | 104930 | 1,769 | |
228 | 250 | 140 | 9,0 | 7,5 | 16,5 | 8,5 | 0,8 | 37250 | 66220 | 88980 | 107600 | 2,379 | |
229 | 140000 | 140 | 71 | 9,0 | 2,8 | 11,8 | 8,5 | 0,3 | 29540 | 57790 | 85090 | 111740 | 0,807 |
230 | 160 | 63 | 10,0 | 3,0 | 13,0 | 9,4 | 0,3 | 30010 | 58800 | 86680 | 113950 | 1,333 | |
231 | 180 | 90 | 9,0 | 4,7 | 13,7 | 8,5 | 0,5 | 33250 | 62870 | 89750 | 114820 | 1,348 | |
232 | 200 | 80 | 10,0 | 4,6 | 14,6 | 9,4 | 0,5 | 32000 | 61180 | 88240 | 113890 | 2,071 | |
233 | 250 | 100 | 10,5 | 6,3 | 16,8 | 9,9 | 0,6 | 35480 | 66090 | 93050 | 117570 | 3,397 | |
234 | 280 | 140 | 10,0 | 8,3 | 18,3 | 9,4 | 0,8 | 41630 | 74060 | 99580 | 120500 | 3,623 | |
235 | 160000 | 160 | 90 | 9,0 | 3,9 | 12,9 | 8,5 | 0,4 | 35900 | 68950 | 99860 | 129340 | 0,970 |
236 | 180 | 90 | 10,0 | 3,9 | 13,9 | 9,4 | 0,4 | 35100 | 67900 | 98960 | 128900 | 1,497 | |
237 | 200 | 100 | 10,0 | 5,0 | 14,9 | 9,4 | 0,5 | 38870 | 73600 | 105500 | 135400 | 1,849 | |
238 | 250 | 125 | 10,0 | 7,6 | 17,6 | 9,9 | 0,8 | 45200 | 81600 | 111400 | 136700 | 2,889 | |
239 | 315 | 125 | 11,5 | 8,7 | 20,2 | 10,8 | 0,8 | 45350 | 81870 | 111780 | 137280 | 5,924 | |
240 | 180000 | 160 | 90 | 10,0 | 3,2 | 13,2 | 9,4 | 0,3 | 38220 | 74690 | 109840 | 144120 | 1,078 |
241 | 180 | 100 | 10,0 | 4,1 | 14,1 | 9,4 | 0,4 | 40020 | 77150 | 112130 | 145660 | 1,380 | |
242 | 224 | 90 | 11,0 | 5,6 | 16,6 | 10,4 | 0,5 | 42560 | 80660 | 115420 | 147940 | 2,852 | |
243 | 250 | 140 | 10,5 | 6,8 | 17,3 | 9,9 | 0,6 | 46470 | 85760 | 119660 | 149970 | 2,776 | |
244 | 315 | 160 | 11,0 | 10,0 | 21,0 | 10,4 | 0,9 | 56730 | 99350 | 131390 | 156380 | 4,990 | |
245 | 200000 | 180 | 99 | 11,0 | 3,7 | 14,7 | 10,4 | 0,3 | 43200 | 84240 | 123650 | 161980 | 1,647 |
246 | 200 | 100 | 11,0 | 4,5 | 15,5 | 10,4 | 0,4 | 44100 | 85040 | 123600 | 160600 | 2,034 | |
247 | 224 | 112 | 11,0 | 5,7 | 16,7 | 10,4 | 0,5 | 47400 | 90000 | 128200 | 164100 | 2,550 | |
248 | 250 | 100 | 12,0 | 6,0 | 18,0 | 11,5 | 0,5 | 47270 | 89730 | 128580 | 165030 | 3,882 | |
249 | 315 | 160 | 11,5 | 9,8 | 21,3 | 10,8 | 0,9 | 60650 | 107420 | 143780 | 173200 | 5,218 | |
250 | 224000 | 200 | 100 | 12,0 | 4,0 | 16,0 | 11,5 | 0,3 | 49050 | 95680 | 140500 | 184100 | 2,218 |
251 | 224 | 125 | 11,5 | 5,2 | 16,7 | 10,8 | 0,5 | 51250 | 98110 | 141680 | 183060 | 2,449 | |
252 | 250 | 100 | 13,0 | 5,3 | 18,3 | 12,3 | 0,4 | 50370 | 97150 | 141240 | 183530 | 4,205 | |
253 | 355 | 180 | 13,0 | 9,7 | 22,7 | 12,3 | 0,7 | 62810 | 113640 | 155480 | 191330 | 7,500 | |
254 | 250000 | 200 | 100 | 12,5 | 3,9 | 16,4 | 11,8 | 0,3 | 53500 | 104800 | 154300 | 202600 | 2,310 |
255 | 224 | 112 | 13,0 | 4,4 | 17,4 | 12,3 | 0,3 | 54800 | 106800 | 156800 | 205300 | 3,015 | |
256 | 250 | 125 | 13,0 | 5,4 | 18,4 | 12,3 | 0,4 | 56090 | 108050 | 156900 | 203700 | 3,755 | |
257 | 355 | 200 | 13,0 | 10,0 | 23,0 | 12,3 | 0,8 | 70960 | 127780 | 174000 | 213160 | 6,891 | |
258 | 280000 | 200 | 112 | 12,5 | 4,0 | 16,5 | 11,8 | 0,3 | 59730 | 116150 | 170820 | 224130 | 2,115 |
259 | 225 | 90 | 14,0 | 4,2 | 18,2 | 13,2 | 0,3 | 58530 | 114690 | 169060 | 222250 | 3,668 | |
260 | 280 | 122 | 14,0 | 6,5 | 20,5 | 13,2 | 0,5 | 64930 | 124050 | 178800 | 230650 | 5,480 | |
261 | 315000 | 224 | 112 | 14,0 | 4,4 | 18,4 | 13,2 | 0,3 | 67740 | 132500 | 194990 | 255990 | 3,246 |
262 | 250 | 125 | 14,0 | 5,5 | 19,5 | 13,2 | 0,4 | 70500 | 136300 | 199000 | 259000 | 4,044 | |
263 | 280 | 140 | 14,0 | 6,8 | 20,8 | 13,2 | 0,5 | 73200 | 139300 | 200000 | 257300 | 5,073 | |
264 | 355000 | 250 | 140 | 14,0 | 5,7 | 19,7 | 13,2 | 0,4 | 79390 | 153130 | 222650 | 289340 | 3,701 |
265 | 280 | 140 | 15,0 | 6,2 | 21,2 | 14,1 | 0,4 | 78800 | 151800 | 220500 | 286400 | 5,435 | |
266 | 400000 | 280 | 140 | 16,0 | 5,8 | 21,8 | 15,0 | 0,4 | 87200 | 169300 | 248000 | 323600 | 5,797 |
267 | 450000 | 250 | 140 | 16,0 | 4,8 | 20,8 | 15,0 | 0,3 | 94930 | 186010 | 274200 | 360460 | 4,230 |
268 | 315 | 125 | 18,0 | 6,4 | 24,4 | 17,0 | 0,4 | 98830 | 192170 | 281390 | 367850 | 9,273 | |
269 | 500000 | 280 | 140 | 18,0 | 5,1 | 23,1 | 17,0 | 0,3 | 105500 | 207100 | 305800 | 402700 | 6,522 |
270 | 315 | 160 | 18,0 | 6,4 | 24,4 | 17,0 | 0,4 | 108800 | 211600 | 309800 | 405000 | 8,166 | |
271 | 630000 | 315 | 160 | 20,0 | 5,9 | 25,9 | 18,8 | 0,3 | 134000 | 262800 | 387600 | 509800 | 9,074 |
272 | 400 | 200 | 20,0 | 9,6 | 29,6 | 18,8 | 0,5 | 147100 | 280200 | 402900 | 518600 | 14,789 | |
273 | 710000 | 315 | 180 | 20,0 | 6,1 | 26,1 | 18,8 | 0,3 | 151600 | 296800 | 437300 | 574600 | 8,236 |
274 | 400 | 224 | 20,0 | 10,0 | 30,0 | 18,8 | 0,5 | 167200 | 317400 | 454900 | 583800 | 13,535 | |
Номер пружины | Сила F3, Н | Наружный диаметр пружины D1 | Внутренний диаметр пружины D2 | Толщина пружины t | Максимальная деформация s3 | Высота пружины l0 | Ширина опорной плоскости bном | Сила F, Н, при деформации | Масса, кг | ||||
0,2s3 | 0,4s3 | 0,6s3 | 0,8s3 | ||||||||||
301 | 1200 | 40,0 | 20,4 | 1,00 | 1,30 | 2,30 | 0,5 | 1,3 | 530 | 867 | 1057 | 1151 | 0,0073 |
302 | 1400 | 28,0 | 12,0 | 1,00 | 0,80 | 1,80 | 0,3 | 0,8 | 393 | 704 | 952 | 1159 | 0,0039 |
303 | 25,0 | 10,0 | 1,00 | 0,70 | 1,70 | 0,3 | 0,7 | 393 | 718 | 991 | 1230 | 0,0032 | |
304 | 1600 | 31,5 | 12,5 | 1,05 | 1,00 | 2,05 | 0,5 | 1,0 | 512 | 889 | 1165 | 1373 | 0,0054 |
305 | 1800 | 16,0 | 8,0 | 1,00 | 0,30 | 1,30 | 0,3 | 0,3 | 382 | 748 | 1103 | 1450 | 0,0012 |
306 | 20,0 | 9,0 | 1,00 | 0,50 | 1,50 | 0,3 | 0,5 | 410 | 778 | 1114 | 1430 | 0,0020 | |
307 | 25,0 | 12,5 | 1,05 | 0,65 | 1,70 | 0,3 | 0,6 | 444 | 824 | 1156 | 1455 | 0,0030 | |
308 | 50,0 | 25,4 | 1,25 | 1,60 | 2,85 | 0,5 | 1,3 | 781 | 1280 | 1568 | 1715 | 0,0143 | |
309 | 2000 | 20,0 | 11,2 | 1,00 | 0,50 | 1,50 | 0,3 | 0,5 | 483 | 917 | 1313 | 1686 | 0,0017 |
310 | 25,0 | 14,0 | 1,00 | 0,80 | 1,80 | 0,3 | 0,8 | 593 | 1062 | 1437 | 1750 | 0,0026 | |
311 | 31,5 | 16,0 | 1,15 | 0,90 | 2,05 | 0,5 | 0,8 | 601 | 1079 | 1466 | 1791 | 0,0052 | |
312 | 2240 | 20,0 | 10,2 | 1,10 | 0,45 | 1,55 | 0,3 | 0,4 | 503 | 970 | 1410 | 1830 | 0,0020 |
313 | 25,0 | 10,0 | 1,20 | 0,60 | 1,80 | 0,3 | 0,5 | 508 | 964 | 1381 | 1773 | 0,0038 | |
314 | 35,5 | 14,0 | 1,30 | 0,95 | 2,25 | 0,5 | 0,7 | 600 | 1089 | 1494 | 1844 | 0,0085 | |
315 | 45,0 | 22,4 | 1,25 | 1,60 | 2,85 | 0,5 | 1,3 | 961 | 1575 | 1930 | 2110 | 0,1174 | |
316 | 2360 | 25,0 | 10,0 | 1,30 | 0,50 | 1,80 | 0,3 | 0,4 | 504 | 976 | 1424 | 1856 | 0,0042 |
317 | 2800 | 35,5 | 20,0 | 1,30 | 1,00 | 2,30 | 0,5 | 0,8 | 811 | 1460 | 1988 | 2435 | 0,0069 |
318 | 60,0 | 30,0 | 1,50 | 2,00 | 3,50 | 0,7 | 1,3 | 1230 | 1999 | 2424 | 2618 | 0,0250 | |
319 | 3150 | 25,0 | 10,0 | 1,40 | 0,55 | 1,95 | 0,3 | 0,4 | 696 | 1345 | 1960 | 2552 | 0,0045 |
320 | 45,0 | 18,0 | 1,50 | 1,40 | 2,90 | 0,5 | 0,9 | 979 | 1706 | 2244 | 2657 | 0,0157 | |
321 | 50,0 | 25,0 | 1,50 | 1,50 | 3,00 | 0,5 | 1,0 | 991 | 1705 | 2212 | 2580 | 0,0173 | |
322 | 56,0 | 28,5 | 1,50 | 1,95 | 3,45 | 0,7 | 1,3 | 1363 | 2228 | 2718 | 2959 | 0,0215 | |
323 | 3550 | 28,0 | 14,0 | 1,40 | 0,70 | 2,10 | 0,3 | 0,5 | 825 | 1565 | 2243 | 2879 | 0,0051 |
324 | 35,0 | 15,0 | 1,50 | 1,00 | 2,50 | 0,5 | 0,7 | 983 | 1807 | 2512 | 3138 | 0,0092 | |
325 | 40,0 | 20,0 | 1,50 | 1,15 | 2,65 | 0,5 | 0,8 | 1000 | 1801 | 2454 | 3007 | 0,0111 | |
326 | 45,0 | 22,4 | 1,50 | 1,45 | 2,95 | 0,5 | 1,0 | 1155 | 2000 | 2613 | 3072 | 0,0141 | |
327 | 4000 | 25,0 | 14,0 | 1,40 | 0,55 | 1,95 | 0,3 | 0,4 | 852 | 1646 | 2399 | 3122 | 0,0037 |
328 | 28,0 | 12,0 | 1,50 | 0,70 | 2,20 | 0,3 | 0,5 | 919 | 1756 | 2530 | 3262 | 0,0059 | |
329 | 35,5 | 16,0 | 1,80 | 0,65 | 2,45 | 0,5 | 0,4 | 909 | 1766 | 2584 | 3376 | 0,0111 | |
330 | 45,0 | 18,0 | 1,70 | 1,20 | 2,90 | 0,5 | 0,7 | 1020 | 1860 | 2565 | 3180 | 0,0105 | |
331 | 45,0 | 25,0 | 1,50 | 1,50 | 3,00 | 0,5 | 1,0 | 1342 | 2309 | 2996 | 3495 | 0,0129 | |
332 | 4500 | 28,0 | 12,0 | 1,5 | 0,75 | 2,25 | 0,3 | 0,5 | 1005 | 1908 | 2734 | 3509 | 0,0059 |
333 | 31,5 | 11,0 | 1,7 | 0,70 | 2,40 | 0,5 | 0,4 | 998 | 1923 | 2794 | 3629 | 0,0091 | |
334 | 35,5 | 16,0 | 1,6 | 1,05 | 2,65 | 0,5 | 0,7 | 1235 | 2276 | 3170 | 3967 | 0,0099 | |
335 | 45,0 | 25,0 | 1,6 | 1,40 | 3,00 | 0,5 | 0,9 | 1371 | 2417 | 3219 | 3860 | 0,0138 | |
336 | 50,0 | 20,0 | 1,8 | 1,40 | 3,20 | 0,5 | 0,8 | 1201 | 2159 | 2935 | 3590 | 0,0233 | |
337 | 5000 | 25,0 | 14,0 | 1,6 | 0,50 | 2,10 | 0,3 | 0,3 | 1113 | 2178 | 3205 | 4209 | 0,0042 |
338 | 50,0 | 25,0 | 1,8 | 1,45 | 3,25 | 0,5 | 0,8 | 1412 | 2523 | 3411 | 4148 | 0,0208 | |
339 | 63,0 | 31,0 | 1,8 | 2,35 | 4,15 | 0,7 | 1,3 | 2181 | 3561 | 4340 | 4718 | 0,0334 | |
340 | 5600 | 31,5 | 16,0 | 1,8 | 0,65 | 2,45 | 0,5 | 0,4 | 1263 | 2454 | 3591 | 4692 | 0,0082 |
341 | 50,0 | 28,0 | 1,8 | 1,50 | 3,30 | 0,5 | 0,8 | 1631 | 2899 | 3895 | 4710 | 0,0190 | |
342 | 6300 | 50,0 | 20,0 | 2,0 | 1,50 | 3,50 | 0,5 | 0,8 | 1728 | 3124 | 4270 | 5251 | 0,0259 |
343 | 60,0 | 25,0 | 2,0 | 2,00 | 4,00 | 0,7 | 1,0 | 2007 | 3455 | 4482 | 5229 | 0,0367 | |
344 | 71,0 | 36,0 | 2,0 | 2,60 | 4,60 | 0,7 | 1,3 | 2620 | 4281 | 5223 | 5686 | 0,0462 | |
345 | 7100 | 31,5 | 16,0 | 2,00 | 0,63 | 2,63 | 0,5 | 0,3 | 1645 | 3217 | 4734 | 6215 | 0,0091 |
346 | 35,5 | 20,0 | 1,80 | 0,95 | 2,75 | 0,5 | 0,5 | 1721 | 3251 | 4636 | 5926 | 0,0095 | |
347 | 40,0 | 20,0 | 2,00 | 1,00 | 3,00 | 0,5 | 0,5 | 1708 | 3243 | 4647 | 5964 | 0,0148 | |
348 | 50,0 | 20,0 | 2,20 | 1,30 | 3,50 | 0,5 | 0,6 | 1775 | 3313 | 4672 | 5912 | 0,0285 | |
349 | 63,0 | 31,5 | 2,10 | 2,05 | 4,15 | 0,7 | 1,0 | 2315 | 4002 | 5217 | 6119 | 0,0385 | |
350 | 8000 | 40,0 | 22,4 | 2,00 | 1,00 | 3,00 | 0,5 | 0,5 | 1876 | 3562 | 5105 | 6552 | 0,0135 |
351 | 45,0 | 20,0 | 2,20 | 1,10 | 3,30 | 0,5 | 0,5 | 1831 | 3476 | 4982 | 6394 | 0,0220 | |
352 | 50,0 | 25,0 | 2,10 | 1,45 | 3,55 | 0,5 | 0,7 | 2052 | 3755 | 5195 | 6460 | 0,0243 | |
353 | 63,0 | 31,5 | 2,20 | 2,00 | 4,20 | 0,7 | 0,9 | 2456 | 4302 | 5689 | 6771 | 0,0404 | |
354 | 80,0 | 40,0 | 2,20 | 3,00 | 5,20 | 0,7 | 1,4 | 3279 | 5306 | 6395 | 6858 | 0,0650 | |
355 | 100,0 | 50,0 | 2,50 | 3,50 | 6,00 | 0,8 | 1,4 | 3681 | 5926 | 7093 | 7543 | 0,1155 | |
356 | 9000 | 35,5 | 20,0 | 2,2 | 0,70 | 2,90 | 0,5 | 0,3 | 2069 | 4045 | 5950 | 7809 | 0,0117 |
357 | 40,0 | 22,4 | 2,2 | 0,85 | 3,05 | 0,5 | 0,4 | 1992 | 3856 | 5623 | 7325 | 0,0149 | |
358 | 63,0 | 31,5 | 2,4 | 1,75 | 4,15 | 0,7 | 0,7 | 2419 | 4392 | 6029 | 7444 | 0,0440 | |
359 | 90,0 | 46,0 | 2,5 | 3,20 | 5,70 | 0,8 | 1,3 | 3838 | 6292 | 7707 | 8429 | 0,0922 | |
360 | 10000 | 40,0 | 25,0 | 2,2 | 0,90 | 3,10 | 0,5 | 0,4 | 2445 | 4714 | 6852 | 8902 | 0,0132 |
361 | 45,0 | 18,0 | 2,5 | 0,95 | 3,45 | 0,5 | 0,4 | 2086 | 4040 | 5897 | 7688 | 0,0262 | |
362 | 50,0 | 20,0 | 2,5 | 1,20 | 3,70 | 0,5 | 0,5 | 2240 | 4268 | 6136 | 7899 | 0,0323 | |
363 | 71,0 | 28,0 | 2,6 | 2,15 | 4,75 | 0,7 | 0,8 | 2849 | 5072 | 6824 | 8263 | 0,0682 | |
364 | 90,0 | 40,0 | 2,5 | 3,50 | 6,00 | 0,8 | 1,4 | 4304 | 6929 | 8294 | 8819 | 0,1001 | |
365 | 100,0 | 51,0 | 2,7 | 3,50 | 6,20 | 0,8 | 1,3 | 4314 | 7054 | 8613 | 9384 | 0,1232 | |
366 | 11200 | 50,0 | 25,0 | 2,5 | 1,20 | 3,70 | 0,5 | 0,5 | 2487 | 4738 | 6812 | 8768 | 0,0289 |
367 | 71,0 | 40,0 | 2,6 | 2,00 | 4,60 | 0,7 | 0,8 | 3108 | 5597 | 7621 | 9336 | 0,0551 | |
368 | 80,0 | 31,5 | 2,8 | 2,45 | 5,25 | 0,7 | 0,9 | 3300 | 5819 | 7751 | 9292 | 0,0933 | |
369 | 12500 | 45,0 | 25,0 | 2,5 | 1,05 | 3,55 | 0,5 | 0,4 | 2849 | 5485 | 7960 | 10330 | 0,0216 |
370 | 56,0 | 22,4 | 2,8 | 1,30 | 4,10 | 0,7 | 0,5 | 2740 | 5234 | 7544 | 9732 | 0,0454 | |
371 | 71,0 | 28,0 | 3,0 | 1,80 | 4,80 | 0,7 | 0,9 | 3092 | 5759 | 8108 | 10250 | 0,0787 | |
372 | 110,0 | 50,0 | 3,0 | 4,0 | 7,00 | 0,8 | 1,3 | 5375 | 8739 | 10600 | 11440 | 0,1774 | |
373 | 14000 | 40,0 | 25,0 | 2,5 | 0,80 | 3,30 | 0,5 | 0,3 | 3056 | 5971 | 8782 | 11520 | 0,0150 |
374 | 45,0 | 28,0 | 2,4 | 1,10 | 3,50 | 0,5 | 0,5 | 3067 | 5865 | 8461 | 10920 | 0,0183 | |
375 | 50,0 | 25,0 | 2,8 | 1,10 | 3,90 | 0,5 | 0,4 | 3052 | 5901 | 8597 | 11190 | 0,0323 | |
376 | 56,0 | 28,0 | 2,8 | 1,35 | 4,15 | 0,7 | 0,5 | 3194 | 6083 | 8742 | 11250 | 0,0406 | |
377 | 80,0 | 45,0 | 3,0 | 2,10 | 5,10 | 0,7 | 0,7 | 3704 | 6764 | 9342 | 11600 | 0,0809 | |
378 | 16000 | 45,0 | 28,0 | 2,6 | 1,00 | 3,60 | 0,5 | 0,4 | 3407 | 6595 | 9619 | 12530 | 0,0199 |
379 | 50,0 | 28,0 | 2,8 | 1,10 | 3,90 | 0,5 | 0,4 | 3334 | 6446 | 9391 | 12220 | 0,0296 | |
380 | 56,0 | 31,5 | 2,8 | 1,40 | 4,20 | 0,7 | 0,5 | 3696 | 7017 | 10060 | 12910 | 0,0370 | |
381 | 63,0 | 31,5 | 3,0 | 1,50 | 4,50 | 0,7 | 0,5 | 3456 | 6560 | 9401 | 12070 | 0,0550 | |
382 | 70,0 | 30,5 | 3,0 | 2,00 | 5,00 | 0,7 | 0,7 | 3820 | 7023 | 9763 | 12190 | 0,0739 | |
383 | 80,0 | 35,0 | 3,0 | 2,50 | 5,50 | 0,7 | 0,8 | 4151 | 7380 | 9916 | 11990 | 0,0957 | |
384 | 90,0 | 45,0 | 3,2 | 2,60 | 5,80 | 0,8 | 0,8 | 4361 | 7785 | 10510 | 12760 | 0,1198 | |
385 | 130,0 | 60,0 | 3,5 | 4,50 | 8,00 | 1,0 | 1,3 | 6673 | 10930 | 13370 | 14600 | 0,2869 | |
386 | 18000 | 50,0 | 30,0 | 3,0 | 1,00 | 4,00 | 0,5 | 0,3 | 3907 | 7620 | 11190 | 14660 | 0,0296 |
387 | 56,0 | 28,0 | 3,2 | 1,20 | 4,40 | 0,7 | 0,4 | 3998 | 7751 | 11320 | 14770 | 0,0464 | |
388 | 90,0 | 50,0 | 3,2 | 2,80 | 6,00 | 0,8 | 0,9 | 5372 | 9471 | 12620 | 15125 | 0,1104 | |
389 | 125,0 | 64,0 | 3,5 | 4,50 | 8,00 | 0,8 | 1,3 | 7580 | 12410 | 15190 | 16590 | 0,2488 | |
390 | 20000 | 50,0 | 31,5 | 3,0 | 1,0 | 4,0 | 0,5 | 0,3 | 4158 | 8110 | 11910 | 15600 | 0,0279 |
391 | 56,0 | 22,4 | 3,5 | 1,1 | 4,6 | 0,7 | 0,3 | 4198 | 8210 | 12080 | 15860 | 0,0568 | |
392 | 63,0 | 25,0 | 3,5 | 1,4 | 4,9 | 0,7 | 0,4 | 4341 | 8383 | 12200 | 15870 | 0,0721 | |
393 | 71,0 | 28,0 | 3,5 | 1,8 | 5,3 | 0,7 | 0,5 | 4641 | 8788 | 12560 | 16090 | 0,0918 | |
394 | 140,0 | 72,0 | 3,8 | 4,9 | 8,7 | 1,0 | 1,3 | 8538 | 13970 | 17080 | 18640 | 0,3377 | |
395 | 22400 | 63,0 | 31,5 | 3,5 | 1,4 | 4,9 | 0,7 | 0,4 | 4841 | 9348 | 13600 | 17700 | 0,0642 |
396 | 80,0 | 36,0 | 3,7 | 2,0 | 5,7 | 0,7 | 0,5 | 5091 | 9592 | 13650 | 17420 | 0,1164 | |
397 | 90,0 | 32,0 | 4,0 | 2,3 | 6,3 | 0,8 | 0,6 | 5564 | 10420 | 14730 | 18690 | 0,1744 | |
398 | 100,0 | 56,0 | 3,5 | 3,3 | 6,8 | 0,8 | 0,9 | 7069 | 12300 | 16150 | 19080 | 0,1480 | |
399 | 150,0 | 70,0 | 4,0 | 5,5 | 9,5 | 1,0 | 1,4 | 9817 | 15860 | 19080 | 20400 | 0,4338 | |
400 | 25000 | 63,0 | 35,5 | 3,5 | 1,50 | 5,00 | 0,7 | 0,4 | 5800 | 11150 | 16160 | 20950 | 0,0584 |
401 | 71,0 | 28,0 | 4,0 | 1,50 | 5,50 | 0,7 | 0,4 | 5341 | 10360 | 15120 | 19730 | 0,1049 | |
402 | 80,0 | 31,5 | 4,0 | 1,90 | 5,90 | 0,7 | 0,5 | 5592 | 10660 | 15340 | 19760 | 0,1333 | |
403 | 100,0 | 40,0 | 4,0 | 3,00 | 7,00 | 0,8 | 0,8 | 6818 | 12330 | 16850 | 20720 | 0,2070 | |
404 | 112,0 | 56,0 | 4,0 | 3,40 | 7,40 | 0,8 | 0,8 | 7314 | 12960 | 17350 | 20910 | 0,2319 | |
405 | 28000 | 71,0 | 35,5 | 4,0 | 1,5 | 5,5 | 0,7 | 0,4 | 5943 | 11520 | 16830 | 21950 | 0,0932 |
406 | 80,0 | 40,0 | 4,0 | 2,0 | 6,0 | 0,7 | 0,5 | 6628 | 12580 | 18030 | 23140 | 0,1183 | |
407 | 100,0 | 40,0 | 4,2 | 2,8 | 7,0 | 0,8 | 0,7 | 6921 | 12720 | 17690 | 22090 | 0,2174 | |
408 | 112,0 | 63,0 | 4,0 | 3,5 | 7,5 | 0,8 | 0,9 | 8409 | 14830 | 19750 | 23680 | 0,2114 | |
409 | 160,0 | 82,0 | 4,3 | 5,6 | 9,9 | 1,0 | 1,3 | 10820 | 17680 | 21560 | 23450 | 0,5004 | |
410 | 30000 | 71 | 28,0 | 4,5 | 1,3 | 5,8 | 0,7 | 0,3 | 6344 | 12450 | 18370 | 24180 | 0,1180 |
411 | 80 | 31,5 | 4,5 | 1,6 | 6,1 | 0,7 | 0,4 | 6293 | 12240 | 17920 | 23420 | 0,1500 | |
412 | 90 | 35,5 | 4,5 | 2,1 | 6,6 | 0,8 | 0,5 | 6923 | 13220 | 19050 | 24560 | 0,1897 | |
413 | 100 | 50,0 | 4,2 | 2,9 | 7,1 | 0,8 | 0,7 | 8057 | 14740 | 20400 | 25360 | 0,1941 | |
414 | 125 | 63,0 | 4,5 | 3,7 | 8,2 | 0,8 | 0,8 | 8898 | 15850 | 21350 | 25880 | 0,3232 | |
415 | 180 | 92,0 | 4,8 | 6,2 | 11,0 | 1,0 | 1,3 | 12970 | 21230 | 25940 | 28290 | 0,7084 | |
416 | 35500 | 80 | 40,0 | 4,5 | 1,7 | 6,2 | 0,7 | 0,4 | 7497 | 14530 | 21210 | 27660 | 0,1331 |
417 | 90 | 45,0 | 4,5 | 2,1 | 6,6 | 0,8 | 0,5 | 7680 | 14670 | 21130 | 27250 | 0,1685 | |
418 | 100 | 36,0 | 4,8 | 2,5 | 7,3 | 0,8 | 0,5 | 8155 | 15420 | 22020 | 28120 | 0,2574 | |
419 | 125 | 71,0 | 4,5 | 3,8 | 8,3 | 0,8 | 0,8 | 10220 | 18120 | 24300 | 29320 | 0,2935 | |
420 | 37500 | 90 | 50,0 | 4,5 | 2,2 | 6,7 | 0,8 | 0,5 | 8869 | 16870 | 24220 | 31130 | 0,1553 |
421 | 100 | 40,0 | 5,0 | 2,3 | 7,3 | 0,8 | 0,5 | 8374 | 16010 | 23090 | 29800 | 0,2588 | |
422 | 125 | 50,0 | 5,3 | 3,1 | 8,4 | 0,8 | 0,6 | 9232 | 17250 | 24350 | 30850 | 0,4287 | |
423 | 140 | 71,0 | 5,0 | 4,2 | 9,2 | 1,0 | 0,8 | 11320 | 20100 | 26970 | 32570 | 0,4485 | |
424 | 45000 | 80 | 40 | 5,0 | 1,6 | 6,6 | 0,7 | 0,3 | 9424 | 18420 | 27080 | 35540 | 0,148 |
425 | 90 | 45 | 5,0 | 2,0 | 7,0 | 0,8 | 0,4 | 9672 | 18680 | 27180 | 35360 | 0,187 | |
426 | 100 | 50 | 5,0 | 2,5 | 7,5 | 0,8 | 0,5 | 10290 | 19540 | 28000 | 35940 | 0,231 | |
427 | 125 | 63 | 5,3 | 3,2 | 8,5 | 0,8 | 0,6 | 10680 | 19870 | 27960 | 35310 | 0,381 | |
428 | 160 | 80 | 5,3 | 5,2 | 10,5 | 1,0 | 1,0 | 14110 | 24370 | 31730 | 37180 | 0,627 | |
429 | 200 | 100 | 5,5 | 7,5 | 13,0 | 1,2 | 1,4 | 20080 | 32500 | 39170 | 42010 | 1,017 | |
430 | 50000 | 80 | 45 | 5,0 | 1,6 | 6,6 | 0,7 | 0,3 | 10370 | 20270 | 29810 | 39110 | 0,135 |
431 | 90 | 50 | 5,0 | 2,1 | 7,1 | 0,8 | 0,4 | 11170 | 21490 | 31190 | 40470 | 0,173 | |
432 | 100 | 40 | 5,6 | 2,1 | 7,7 | 0,8 | 0,4 | 10270 | 19900 | 29070 | 37910 | 0,290 | |
433 | 112 | 45 | 5,6 | 2,7 | 8,3 | 0,8 | 0,5 | 11110 | 21170 | 30420 | 39150 | 0,363 | |
434 | 125 | 71 | 5,3 | 3,3 | 8,6 | 0,8 | 0,6 | 12250 | 22720 | 31850 | 40100 | 0,346 | |
435 | 140 | 56 | 6,0 | 3,4 | 9,4 | 1,0 | 0,6 | 11600 | 21750 | 30820 | 39150 | 0,609 | |
436 | 220 | 100 | 6,0 | 8,0 | 14,0 | 1,2 | 1,3 | 21220 | 34500 | 41830 | 45180 | 1,420 | |
437 | 53000 | 90 | 45 | 5,6 | 1,8 | 7,4 | 0,8 | 0,3 | 11780 | 23020 | 33850 | 44410 | 0,210 |
438 | 100 | 50 | 5,6 | 2,2 | 7,8 | 0,8 | 0,4 | 11980 | 23170 | 33750 | 43940 | 0,259 | |
439 | 112 | 56 | 5,6 | 2,7 | 8,3 | 0,8 | 0,5 | 12240 | 23310 | 33500 | 43110 | 0,325 | |
440 | 125 | 50 | 6,0 | 3,0 | 9,0 | 0,8 | 0,5 | 12270 | 23300 | 33380 | 42850 | 0,485 | |
441 | 140 | 71 | 6,0 | 3,4 | 9,4 | 1,0 | 0,6 | 12930 | 24240 | 34340 | 43630 | 0,538 | |
442 | 53000 | 160 | 80 | 6,0 | 4,5 | 10,5 | 1,0 | 0,8 | 14700 | 26570 | 36330 | 44670 | 0,710 |
443 | 180 | 90 | 6,0 | 5,7 | 11,7 | 1,0 | 1,0 | 17230 | 29930 | 39240 | 46290 | 0,899 | |
444 | 225 | 112 | 6,5 | 7,1 | 13,6 | 1,2 | 1,3 | 19510 | 33010 | 42000 | 47990 | 1,526 | |
445 | 60000 | 100 | 40 | 6,0 | 2,2 | 8,2 | 0,8 | 0,4 | 13170 | 25570 | 37390 | 48820 | 0,311 |
446 | 140 | 60 | 6,0 | 4,0 | 10,0 | 1,0 | 0,7 | 14980 | 27540 | 38280 | 47810 | 0,592 | |
447 | 250 | 127 | 7,0 | 7,8 | 14,8 | 1,2 | 1,1 | 22340 | 37650 | 47690 | 54210 | 2,001 | |
448 | 67000 | 112 | 56 | 6,3 | 2,4 | 8,7 | 0,8 | 0,4 | 14660 | 28390 | 41430 | 54000 | 0,365 |
449 | 125 | 63 | 6,3 | 3,0 | 9,3 | 0,8 | 0,5 | 15490 | 29530 | 42480 | 54710 | 0,453 | |
450 | 160 | 63 | 6,7 | 4,4 | 11,1 | 1,0 | 0,7 | 16890 | 31110 | 43330 | 54210 | 0,893 | |
451 | 180 | 100 | 6,7 | 4,8 | 11,5 | 1,0 | 0,7 | 18050 | 32860 | 45230 | 55970 | 0,925 | |
452 | 200 | 100 | 6,7 | 6,3 | 13,0 | 1,2 | 0,9 | 21340 | 37150 | 48800 | 57690 | 1,239 | |
453 | 250 | 100 | 7,0 | 9,0 | 16,0 | 1,2 | 1,3 | 26840 | 43960 | 53790 | 58750 | 2,265 | |
454 | 75000 | 100 | 50 | 6,3 | 2,2 | 8,5 | 0,8 | 0,3 | 16700 | 32510 | 47640 | 62330 | 0,291 |
455 | 112 | 45 | 7,0 | 2,2 | 9,2 | 0,8 | 0,3 | 16230 | 31740 | 46710 | 61330 | 0,454 | |
456 | 125 | 71 | 6,3 | 3,1 | 9,4 | 0,8 | 0,5 | 17750 | 33740 | 48410 | 62210 | 0,411 | |
457 | 140 | 56 | 7,0 | 3,4 | 10,4 | 1,0 | 0,5 | 17510 | 33320 | 47860 | 61560 | 0,710 | |
458 | 160 | 70 | 7,0 | 4,5 | 11,5 | 1,0 | 0,6 | 20210 | 37320 | 52130 | 65380 | 0,893 | |
459 | 180 | 71 | 7,5 | 4,5 | 12,0 | 1,0 | 0,6 | 18320 | 34120 | 48040 | 60700 | 1,264 | |
460 | 200 | 100 | 7,1 | 6,0 | 13,1 | 1,2 | 1,4 | 22380 | 39690 | 53200 | 64180 | 1,313 | |
461 | 85000 | 112 | 56 | 7,0 | 2,2 | 9,2 | 0,8 | 0,3 | 17870 | 34950 | 51440 | 67530 | 0,406 |
462 | 125 | 63 | 7,0 | 2,8 | 9,8 | 0,8 | 0,4 | 19010 | 36710 | 53430 | 69500 | 0,503 | |
463 | 140 | 71 | 7,0 | 3,5 | 10,5 | 1,0 | 0,5 | 20260 | 38450 | 55110 | 70730 | 0,628 | |
464 | 180 | 90 | 7,5 | 4,7 | 12,2 | 1,0 | 0,6 | 21570 | 39970 | 55990 | 70430 | 1,123 | |
465 | 200 | 112 | 7,5 | 5,4 | 12,9 | 1,2 | 0,7 | 23400 | 42570 | 58550 | 72410 | 1,269 | |
466 | 95000 | 125 | 71 | 7,0 | 2,9 | 9,9 | 0,8 | 0,4 | 21790 | 41980 | 60980 | 79170 | 0,457 |
467 | 140 | 56 | 8,0 | 2,9 | 10,9 | 1,0 | 0,4 | 20860 | 40510 | 59270 | 77420 | 0,812 | |
468 | 200 | 80 | 8,0 | 6,0 | 14,0 | 1,2 | 0,8 | 26980 | 48770 | 66680 | 81990 | 1,656 | |
469 | 224 | 112 | 8,0 | 6,7 | 14,7 | 1,2 | 0,8 | 28120 | 49960 | 67070 | 81040 | 1,855 | |
470 | 100000 | 125 | 63 | 8,0 | 2,3 | 10,3 | 0,8 | 0,3 | 22150 | 43460 | 64160 | 84440 | 0,575 |
471 | 140 | 71 | 8,0 | 2,9 | 10,9 | 1,0 | 0,4 | 23240 | 45140 | 66040 | 86270 | 0,718 | |
472 | 160 | 80 | 8,0 | 4,0 | 12,0 | 1,0 | 0,5 | 26010 | 49380 | 70760 | 90820 | 0,947 | |
473 | 180 | 80 | 8,0 | 5,0 | 13,0 | 1,0 | 0,6 | 26150 | 48470 | 67920 | 85460 | 1,282 | |
474 | 224 | 112 | 8,5 | 6,2 | 14,7 | 1,2 | 0,7 | 28690 | 52080 | 71490 | 88260 | 1,971 | |
475 | 125000 | 125 | 71 | 8,0 | 2,4 | 10,4 | 0,8 | 0,3 | 25510 | 49980 | 73680 | 96860 | 0,521 |
476 | 140 | 80 | 8,0 | 3,0 | 11,0 | 1,0 | 0,4 | 26680 | 51720 | 75530 | 98530 | 0,651 | |
477 | 160 | 63 | 9,0 | 3,3 | 12,3 | 1,0 | 0,4 | 25690 | 49870 | 72920 | 95210 | 1,200 | |
778 | 180 | 71 | 9,0 | 4,1 | 13,1 | 1,0 | 0,5 | 26320 | 50360 | 72690 | 93880 | 1,517 | |
479 | 220 | 90 | 9,0 | 6,5 | 15,5 | 1,2 | 0,7 | 33780 | 61410 | 84430 | 104380 | 2,235 | |
480 | 132000 | 160 | 80 | 9,0 | 3,3 | 12,3 | 1,0 | 0,4 | 28400 | 55130 | 80600 | 105240 | 1,065 |
481 | 180 | 90 | 9,0 | 4,2 | 13,2 | 1,0 | 0,5 | 30040 | 57360 | 82650 | 106580 | 1,348 | |
482 | 200 | 90 | 9,0 | 5,5 | 14,5 | 1,2 | 0,6 | 33140 | 61600 | 86550 | 109160 | 1,769 | |
483 | 250 | 140 | 9,0 | 7,5 | 16,5 | 1,2 | 0,8 | 38820 | 69020 | 92750 | 112160 | 2,379 | |
484 | 150000 | 140 | 71 | 9,0 | 2,8 | 11,8 | 1,0 | 0,3 | 31220 | 61090 | 89940 | 118110 | 0,807 |
485 | 160 | 63 | 10,0 | 3,0 | 13,0 | 1,0 | 0,3 | 31110 | 60950 | 89850 | 118110 | 1,333 | |
486 | 180 | 90 | 9,0 | 4,7 | 13,7 | 1,0 | 0,5 | 34760 | 65720 | 93830 | 120030 | 1,348 | |
487 | 200 | 80 | 10,0 | 4,6 | 14,6 | 1,2 | 0,5 | 33130 | 63350 | 91370 | 117940 | 2,071 | |
488 | 250 | 100 | 10,5 | 6,3 | 16,8 | 1,2 | 0,6 | 36460 | 67920 | 95630 | 120830 | 3,397 | |
489 | 280 | 140 | 10,0 | 8,3 | 18,3 | 1,5 | 0,8 | 43290 | 77010 | 103550 | 125310 | 3,623 | |
490 | 170000 | 160 | 90 | 9,0 | 3,9 | 12,9 | 1,0 | 0,4 | 37950 | 72880 | 105560 | 136720 | 0,970 |
491 | 180 | 90 | 10,0 | 3,9 | 13,9 | 1,0 | 0,4 | 36700 | 70980 | 103450 | 134710 | 1,497 | |
492 | 200 | 100 | 10,0 | 5,0 | 14,9 | 1,2 | 0,5 | 40600 | 77070 | 110450 | 141760 | 1,849 | |
493 | 250 | 125 | 10,0 | 7,6 | 17,6 | 1,2 | 0,8 | 46950 | 84710 | 115580 | 141840 | 2,889 | |
494 | 315 | 125 | 11,5 | 8,7 | 20,2 | 1,5 | 0,8 | 46590 | 84120 | 114860 | 141050 | 5,924 | |
495 | 190000 | 160 | 90 | 10,0 | 3,2 | 13,2 | 1,0 | 0,3 | 40400 | 78950 | 116110 | 152350 | 1,078 |
496 | 180 | 100 | 10,0 | 4,1 | 14,1 | 1,0 | 0,4 | 41970 | 80910 | 117590 | 152760 | 1,380 | |
497 | 224 | 90 | 11,0 | 5,6 | 16,6 | 1,2 | 0,5 | 43960 | 83310 | 119200 | 152790 | 2,852 | |
498 | 250 | 140 | 10,5 | 6,8 | 17,3 | 1,2 | 0,6 | 48520 | 89540 | 124930 | 156560 | 2,776 | |
499 | 315 | 160 | 11,0 | 10,0 | 21,0 | 1,5 | 0,9 | 58950 | 103240 | 136500 | 162490 | 4,990 | |
500 | 212000 | 180 | 90 | 11,0 | 3,7 | 14,7 | 1,0 | 0,3 | 45170 | 88060 | 129260 | 169320 | 1,647 |
501 | 200 | 100 | 11,0 | 4,5 | 15,5 | 1,2 | 0,4 | 46180 | 89060 | 129440 | 168160 | 2,034 | |
502 | 224 | 112 | 11,0 | 5,7 | 16,7 | 1,2 | 0,5 | 49320 | 93310 | 133300 | 170640 | 2,550 | |
503 | 250 | 100 | 12,0 | 6,0 | 18,0 | 1,2 | 0,5 | 48580 | 92210 | 132140 | 169600 | 3,882 | |
504 | 315 | 160 | 11,5 | 9,8 | 21,3 | 1,5 | 0,9 | 63020 | 111620 | 149400 | 179970 | 5,218 | |
505 | 236000 | 200 | 100 | 12,0 | 5,0 | 16,0 | 1,2 | 0,3 | 51370 | 100200 | 147130 | 192800 | 2,218 |
506 | 224 | 125 | 11,5 | 5,2 | 16,7 | 1,2 | 0,5 | 53620 | 102650 | 148250 | 191550 | 2,449 | |
507 | 250 | 100 | 13,0 | 5,3 | 18,3 | 1,2 | 0,4 | 51770 | 99840 | 145150 | 188620 | 4,205 | |
508 | 355 | 180 | 13,0 | 9,7 | 22,7 | 1,5 | 0,7 | 64930 | 117480 | 160730 | 197790 | 7,500 | |
509 | 265000 | 200 | 100 | 12,5 | 3,9 | 16,4 | 1,2 | 0,3 | 55620 | 108810 | 160170 | 210330 | 2,310 |
510 | 224 | 112 | 13,0 | 4,4 | 17,4 | 1,2 | 0,3 | 57002 | 111110 | 163040 | 213530 | 3,015 | |
511 | 250 | 125 | 13,0 | 5,4 | 18,4 | 1,2 | 0,4 | 57090 | 109970 | 159690 | 207320 | 3,755 | |
512 | 355 | 200 | 13,0 | 10,0 | 23,0 | 1,5 | 0,8 | 73860 | 133000 | 181120 | 221880 | 6,891 | |
513 | 300000 | 200 | 112 | 12,5 | 4,0 | 16,5 | 1,2 | 0,3 | 61550 | 120290 | 176900 | 232120 | 2,115 |
514 | 225 | 90 | 14,0 | 4,2 | 18,2 | 1,2 | 0,3 | 60360 | 118280 | 174360 | 229210 | 3,668 | |
515 | 280 | 122 | 14,0 | 6,5 | 20,5 | 1,5 | 0,5 | 67260 | 128500 | 185220 | 238930 | 5,480 | |
516 | 335000 | 224 | 112 | 14,0 | 4,4 | 18,4 | 1,2 | 0,3 | 70450 | 137780 | 202770 | 266200 | 3,246 |
517 | 250 | 125 | 14,0 | 5,5 | 19,5 | 1,2 | 0,4 | 73170 | 141460 | 206090 | 268290 | 4,044 | |
518 | 280 | 140 | 14,0 | 6,8 | 20,8 | 1,5 | 0,5 | 76100 | 144840 | 208050 | 267570 | 5,073 | |
519 | 375000 | 250 | 140 | 14,0 | 5,7 | 19,7 | 1,2 | 0,4 | 82880 | 159870 | 232440 | 302070 | 3,701 |
520 | 280 | 140 | 15,0 | 6,2 | 21,2 | 1,5 | 0,4 | 81920 | 157870 | 229320 | 297790 | 5,435 | |
521 | 425000 | 280 | 140 | 16,0 | 5,8 | 21,8 | 1,5 | 0,4 | 90660 | 176100 | 257610 | 336520 | 5,797 |
522 | 475000 | 250 | 140 | 16,0 | 4,8 | 20,8 | 1,2 | 0,3 | 99110 | 194190 | 286260 | 376320 | 4,230 |
523 | 315 | 125 | 18,0 | 6,4 | 24,4 | 1,5 | 0,4 | 101550 | 197460 | 289130 | 377980 | 9,273 | |
524 | 530000 | 280 | 140 | 18,0 | 5,1 | 23,1 | 1,5 | 0,3 | 109690 | 216380 | 318080 | 418770 | 6,522 |
525 | 315 | 160 | 18,0 | 6,4 | 24,4 | 1,5 | 0,4 | 113070 | 219860 | 321930 | 420850 | 8,166 | |
526 | 650000 | 315 | 160 | 20,0 | 5,9 | 25,9 | 1,5 | 0,3 | 139270 | 273070 | 402760 | 529720 | 9,074 |
527 | 400 | 200 | 20,0 | 9,6 | 29,6 | 1,5 | 0,5 | 151080 | 287830 | 413830 | 532660 | 14,789 | |
528 | 750000 | 315 | 180 | 20,0 | 6,1 | 26,1 | 1,5 | 0,3 | 158800 | 310960 | 458130 | 601970 | 8,236 |
529 | 400 | 224 | 20,0 | 10,0 | 30,0 | 1,5 | 0,5 | 173000 | 328400 | 470610 | 604020 | 13,535 | |
Толщина t (t'), мм | Допуск на толщину для групп точности | ||
1 | 2 | 3 | |
До 0,6 | - | - | IT11 |
Св. 0,6 до 1,0 | - | - | IT12 |
" 1,0 " 1,5 | - | IT11 | IT13 |
" 1,5 " 2,0 | - | IT12 | IT14 |
" 2,0 " 3,0 | - | IT13 | IT14 |
" 3,0 " 6,0 | IT12 | IT13 | IT15 |
" 6,0 " 10,0 | IT13 | IT14 | IT16 |
" 10,0 | IT13 | IT15 | IT16 |
Группа точности | Допуск | |
на наружный диаметр | на внутренний диаметр | |
1 | h13 | H13 |
2 | h14 | H14 |
3 | h15 | H15 |
Толщина t (t'), мм | Допуск по высоте l0 при отношении | |||||
от 0,3 до 0,6 | св. 0,6 | |||||
Группа точности | ||||||
1 | 2 | 3 | 1 | 2 | 3 | |
От 0,3 до 1,0 | - | - | js13 | - | - | js14 |
Св. 1,0 " 1,5 | - | js14 | js14 | - | js15 | js15 |
" 1,5 " 2,0 | - | js14 | js15 | - | js15 | js16 |
" 2,0 " 3,0 | - | js15 | js16 | - | js16 | js17 |
" 3,0 " 6,0 | js15 | js16 | js16 | js16 | js16 | js17 |
" 6,0 " 10,0 | js16 | js16 | js17 | js17 | js17 | +/- 1,10 |
" 10,0 | js16 | js16 | js17 | js17 | +/- 1,1 | +/- 1,35 |
Наименование параметра | Значение параметра для D1 (D2) | |||||||
до 10 | св. 10 до 30 | св. 30 до 50 | св. 50 до 80 | св. 80 до 125 | св. 125 до 180 | св. 180 до 250 | св. 250 | |
Ширина опорной плоскости <*>: | ||||||||
b min | - | 0,2 | 0,3 | 0,4 | 0,5 | 0,6 | 0,7 | 0,8 |
b max | - | 0,6 | 1,0 | 1,4 | 1,6 | 2,0 | 2,4 | 3,0 |
Допуск соосности диаметров D1 и D2, не более <*> | - | 0,2 | 0,3 | 0,3 | 0,4 | 0,5 | 0,6 | 0,7 |
Допуск параллельности опорных плоскостей, не более <**> | 0,1 | 0,2 | 0,3 | 0,4 | 0,5 | 0,5 | 0,5 | 0,5 |
Зазор между опорной плоскостью и контрольной плитой, не более <**> | - | 0,10 | 0,15 | 0,15 | 0,20 | 0,20 | 0,30 | 0,40 |
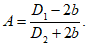
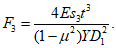
Наименование параметра | Обозначение | Расчетная формула или значение | ||||
Сила пружины при рабочей деформации, Н | F | Для пружин без опорной плоскости (1)Для пружин с опорной плоскостью Для пружин с радиусным скруглением кромок где R - радиус скругления кромок | ||||
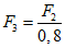
Сила пружины при максимальной деформации, Н | F3 | Для пружин без опорной плоскости (4)Для пружин с опорной плоскостью (5) | ||||
Сила пружины при максимальной деформации, Н | F3 | Для пружин с радиусным скруглением кромок | ||||
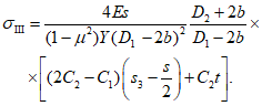
Напряжение сжатия в кромке I (черт. 5), МПа | Для пружин без опорной плоскости (7)Для пружин с опорной плоскостью (8)Для пружин с радиусным скруглением кромок (9) | |||||
Напряжение растяжения в кромке II (черт. 5), МПа | Для пружин без опорной плоскости (10)Для пружин с опорной плоскостью (11)Для пружин с радиусным скруглением кромок (12) | |||||
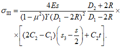
Напряжение растяжения в кромке III (черт. 5), МПа | Для пружин без опорной плоскости (13)Для пружин с опорной плоскостью (14)Для пружин с радиусным скруглением кромок (15) | |||||
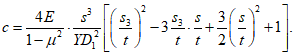
Модуль упругости, МПа | E | E = 2,06·105 | ||||
Предварительная деформация пружины, мм | s1 | s1 = (0,2 ... 0,4)s3 | ||||
Рабочая деформация пружины, мм | s2 | s2 = (0,3 ... 0,6)s3 - для пружин I класса; s2 = (0,6 ... 0,8)s3 - для пружин II класса | ||||
Максимальная деформация пружины, мм | s3 | |||||
Толщина пружины, мм | t | |||||
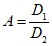
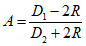
Наружный диаметр пружины, мм | D1 | |||||
Внутренний диаметр пружины, мм | D2 | |||||
Коэффициент Пуассона | ![]() | |||||
Ширина опорной плоскости, мм | b | Выбирают по табл. 7. Номинальная ширина опорной плоскости bном = 0,5bmax | ||||
| ||||||
Расчетные коэффициенты | Y <*> | (16) | ||||
C1 <*> | (17) | |||||
C2 <*> | (18) | |||||
A | Для пружин без опорной плоскости (19)Для пружин с опорной плоскостью (20)Для пружин с радиусным скруглением кромок (21) | |||||
Жесткость пружины, Н/мм | c | Для пружин без опорной плоскости (22)Для пружин с опорной плоскостью (23)Для пружин с радиусным скруглением кромок (24) | ||||
Масса пружины, кг | m | (25)где ![]() | ||||


; 2 -
; 3 - 

A | Y | C1 | C2 | A | Y | C1 | C2 |
1,30 | 0,388 | 1,044 | 1,092 | 2,16 | 0,715 | 1,256 | 1,438 |
1,32 | 0,404 | 1,050 | 1,101 | 2,18 | 0,718 | 1,260 | 1,446 |
1,34 | 0,420 | 1,055 | 1,109 | 2,20 | 0,721 | 1,264 | 1,453 |
1,36 | 0,435 | 1,061 | 1,118 | 2,22 | 0,723 | 1,269 | 1,461 |
1,38 | 0,450 | 1,066 | 1,127 | 2,24 | 0,726 | 1,273 | 1,468 |
1,40 | 0,463 | 1,072 | 1,135 | 2,26 | 0,728 | 1,277 | 1,476 |
1,42 | 0,476 | 1,077 | 1,144 | 2,28 | 0,730 | 1,282 | 1,483 |
1,44 | 0,489 | 1,082 | 1,152 | 2,30 | 0,733 | 1,286 | 1,490 |
1,46 | 0,501 | 1,088 | 1,161 | 2,32 | 0,735 | 1,290 | 1,498 |
1,48 | 0,512 | 1,093 | 1,169 | 2,34 | 0,737 | 1,294 | 1,505 |
1,50 | 0,523 | 1,098 | 1,178 | 2,36 | 0,739 | 1,299 | 1,512 |
1,52 | 0,534 | 1,103 | 1,186 | 2,38 | 0,741 | 1,303 | 1,520 |
1,54 | 0,544 | 1,109 | 1,194 | 2,40 | 0,742 | 1,307 | 1,527 |
1,56 | 0,553 | 1,114 | 1,203 | 2,42 | 0,744 | 1,311 | 1,534 |
1,58 | 0,563 | 1,119 | 1,211 | 2,44 | 0,746 | 1,315 | 1,542 |
1,60 | 0,571 | 1,124 | 1,219 | 2,46 | 0,747 | 1,320 | 1,549 |
1,62 | 0,580 | 1,129 | 1,227 | 2,48 | 0,749 | 1,324 | 1,556 |
1,64 | 0,588 | 1,134 | 1,235 | 2,50 | 0,750 | 1,328 | 1,563 |
1,66 | 0,596 | 1,139 | 1,244 | 2,52 | 0,752 | 1,332 | 1,570 |
1,68 | 0,603 | 1,144 | 1,252 | 2,54 | 0,753 | 1,336 | 1,578 |
1,70 | 0,610 | 1,149 | 1,260 | 2,56 | 0,754 | 1,340 | 1,585 |
1,72 | 0,617 | 1,154 | 1,268 | 2,58 | 0,756 | 1,344 | 1,592 |
1,74 | 0,624 | 1,159 | 1,276 | 2,60 | 0,757 | 1,348 | 1,599 |
1,76 | 0,630 | 1,163 | 1,284 | 2,62 | 0,758 | 1,352 | 1,606 |
1,78 | 0,636 | 1,168 | 1,292 | 2,64 | 0,759 | 1,356 | 1,613 |
1,80 | 0,642 | 1,173 | 1,300 | 2,66 | 0,760 | 1,360 | 1,620 |
1,82 | 0,647 | 1,178 | 1,308 | 2,68 | 0,761 | 1,364 | 1,627 |
1,84 | 0,653 | 1,183 | 1,315 | 2,70 | 0,762 | 1,368 | 1,634 |
1,86 | 0,658 | 1,187 | 1,323 | 2,72 | 0,763 | 1,372 | 1,641 |
1,88 | 0,663 | 1,192 | 1,331 | 2,74 | 0,764 | 1,376 | 1,648 |
1,90 | 0,668 | 1,197 | 1,339 | 2,76 | 0,765 | 1,380 | 1,655 |
1,92 | 0,672 | 1,201 | 1,347 | 2,78 | 0,766 | 1,384 | 1,662 |
1,94 | 0,677 | 1,206 | 1,355 | 2,80 | 0,767 | 1,388 | 1,669 |
1,96 | 0,681 | 1,211 | 1,362 | 2,82 | 0,767 | 1,392 | 1,676 |
1,98 | 0,685 | 1,215 | 1,370 | 2,84 | 0,768 | 1,396 | 1,683 |
2,00 | 0,689 | 1,220 | 1,378 | 2,86 | 0,769 | 1,400 | 1,690 |
2,02 | 0,693 | 1,224 | 1,385 | 2,88 | 0,769 | 1,403 | 1,697 |
2,04 | 0,696 | 1,229 | 1,393 | 2,90 | 0,770 | 1,407 | 1,704 |
2,06 | 0,700 | 1,233 | 1,408 | 2,92 | 0,771 | 1,411 | 1,711 |
2,08 | 0,703 | 1,238 | 1,416 | 2,94 | 0,771 | 1,415 | 1,718 |
2,10 | 0,706 | 1,242 | 1,423 | 2,96 | 0,772 | 1,419 | 1,725 |
2,12 | 0,709 | 1,247 | 1,401 | 2,98 | 0,772 | 1,423 | 1,732 |
2,14 | 0,712 | 1,251 | 1,431 | 3,00 | 0,773 | 1,426 | 1,738 |
,
.
зависимость "сила-деформация" практически линейна. При отношении
зависимость "сила-деформация" нелинейна.
и
(черт. 6), которые соответствуют принятым рабочей s2 и предварительной s1 деформациям.
- линия предварительного напряжения;
- линии рабочего напряжения при толщине пружины:
(26)
(27)
(28)
(29)
.

Номер пружины | Сила F3, Н | Наружный диаметр пружины D1 | Внутренний диаметр пружины D2 | Толщина пружины t | Максимальная деформация s3 | Высота пружины l0 | Толщина пружины с опорной плоскостью t' | Сила F, Н, при деформации | Масса, кг | ||||
0,2s3 | 0,4s3 | 0,6s3 | 0,8s3 | ||||||||||
600 | 400 | 10,0 | 4,65 | 0,50 | 0,25 | 0,75 | 0,5 | 88 | 177 | 260 | 333 | 0,0003 | |
601 | 450 | 12,0 | 6,30 | 0,70 | 0,15 | 0,85 | 0,6 | 98 | 196 | 284 | 382 | 0,0004 | |
602 | 500 | 8,0 | 3,75 | 0,50 | 0,20 | 0,70 | 0,4 | 107 | 208 | 315 | 400 | 0,0003 | |
603 | 1000 | 12,5 | 6,30 | 0,70 | 0,30 | 1,00 | 0,5 | 236 | 440 | 646 | 833 | 0,0004 | |
604 | 1250 | 28,0 | 11,0 | 1,05 | 0,70 | 1,75 | 0,7 | 325 | 610 | 843 | 1050 | 0,0046 | |
605 | 1400 | 8,0 | 4,3 | 0,80 | 0,13 | 0,93 | 0,2 | 294 | 578 | 862 | 1146 | 0,0003 | |
606 | 12,5 | 6,3 | 0,80 | 0,30 | 1,10 | 0,4 | 284 | 548 | 803 | 1050 | 0,0005 | ||
607 | 19,5 | 10,2 | 0,90 | 0,55 | 1,45 | 0,6 | 284 | 568 | 858 | 1146 | 0,0015 | ||
608 | 30,0 | 15,0 | 1,00 | 1,00 | 2,00 | 1,0 | 490 | 862 | 1117 | 1303 | 0,0040 | ||
609 | 1600 | 8,0 | 4,5 | 0,80 | 0,13 | 0,93 | 0,1 | 284 | 578 | 862 | 1146 | 0,0002 | |
610 | 20,0 | 8,0 | 1,00 | 0,50 | 1,50 | 0,4 | 294 | 597 | 901 | 1205 | 0,0010 | ||
611 | 2000 | 14,0 | 7,1 | 1,00 | 0,30 | 1,30 | 0,3 | 432 | 847 | 1248 | 1641 | 0,0009 | |
612 | 2500 | 9,0 | 5,3 | 1,00 | 0,13 | 1,13 | 0,1 | 482 | 960 | 1431 | 1909 | 0,0004 | |
613 | 2800 | 19,0 | 8,4 | 1,25 | 0,40 | 1,65 | 0,4 | 578 | 1127 | 1656 | 2156 | 0,0020 | |
614 | 3150 | 16,0 | 8,4 | 1,25 | 0,30 | 1,55 | 0,2 | 647 | 1274 | 1882 | 2528 | 0,0040 | |
615 | 3550 | 16,0 | 8,4 | 1,50 | 0,20 | 1,70 | 0,1 | 725 | 1440 | 2146 | 2861 | 0,0017 | |
616 | 21,0 | 10,5 | 1,40 | 0,45 | 1,85 | 0,3 | 784 | 1538 | 2263 | 2969 | 0,0028 | ||
617 | 4000 | 12,5 | 6,3 | 1,50 | 0,15 | 1,65 | 0,1 | 793 | 1715 | 2567 | 3420 | 0,0010 | |
618 | 19,0 | 10,5 | 1,40 | 0,40 | 1,80 | 0,3 | 862 | 1715 | 2577 | 3439 | 0,0021 | ||
619 | 20,0 | 10,5 | 1,40 | 0,45 | 1,85 | 0,3 | 892 | 1754 | 2577 | 3381 | 0,0025 | ||
620 | 4500 | 12,5 | 6,4 | 1,55 | 0,15 | 1,70 | 0,1 | 960 | 1911 | 2860 | 3802 | 0,0090 | |
621 | 55,0 | 16,0 | 2,00 | 1,50 | 3,50 | 0,8 | 1293 | 2342 | 3194 | 3929 | 0,0340 | ||
622 | 5000 | 12,0 | 6,4 | 1,55 | 1,15 | 1,70 | 0,1 | 1067 | 2130 | 3189 | 4245 | 0,0090 | |
623 | 35,5 | 10,0 | 2,00 | 0,70 | 2,70 | 0,3 | 1117 | 2185 | 3214 | 4184 | 0,0140 | ||
624 | 55,0 | 25,0 | 2,00 | 1,50 | 3,50 | 0,8 | 1391 | 2518 | 3475 | 4243 | 0,0300 | ||
625 | 70,0 | 30,0 | 2,00 | 2,50 | 4,50 | 1,3 | 2126 | 3508 | 4310 | 4762 | 0,0490 | ||
626 | 6300 | 20,0 | 10,5 | 2,00 | 0,25 | 2,25 | 0,1 | 1362 | 2714 | 4067 | 5409 | 0,0035 | |
627 | 31,5 | 10,5 | 2,00 | 0,70 | 2,70 | 0,3 | 1430 | 2783 | 4076 | 5341 | 0,0300 | ||
628 | 32,0 | 10,0 | 2,00 | 0,70 | 2,70 | 0,3 | 1381 | 2695 | 3952 | 5164 | 0,0120 | ||
629 | 50,0 | 20,0 | 2,10 | 1,40 | 3,50 | 0,7 | 1670 | 3040 | 4220 | 5300 | 0,0210 | ||
630 | 80,0 | 40,0 | 2,20 | 3,00 | 5,20 | 1,3 | 3057 | 4958 | 5978 | 6409 | 0,0600 | ||
631 | 7100 | 26,0 | 15,0 | 1,80 | 0,55 | 2,35 | 0,3 | 1470 | 2881 | 4243 | 5600 | 0,029 | |
632 | 28,0 | 17,0 | 2,00 | 0,50 | 2,50 | 0,2 | 1626 | 3214 | 4762 | 6291 | 0,027 | ||
633 | 30,0 | 15,0 | 2,00 | 0,60 | 2,60 | 0,3 | 1489 | 2920 | 4302 | 5654 | 0,028 | ||
634 | 35,0 | 20,0 | 2,00 | 0,80 | 2,80 | 0,4 | 1675 | 3243 | 4723 | 6134 | 0,019 | ||
635 | 60,0 | 20,0 | 2,50 | 1,50 | 4,00 | 0,6 | 1911 | 3567 | 5027 | 6350 | 0,048 | ||
636 | 8000 | 16,0 | 8,5 | 2,00 | 0,20 | 2,20 | 0,1 | 1715 | 3420 | 5115 | 6820 | 0,022 | |
637 | 20,0 | 11,5 | 2,00 | 0,30 | 2,30 | 0,1 | 1765 | 3231 | 5252 | 6977 | 0,032 | ||
638 | 25,0 | 16,0 | 2,00 | 0,40 | 2,40 | 0,2 | 1715 | 3400 | 5056 | 6703 | 0,028 | ||
639 | 90,0 | 40,0 | 2,50 | 3,50 | 6,00 | 1,3 | 4047 | 6517 | 7800 | 8290 | 0,100 | ||
640 | 9000 | 16,0 | 8,4 | 2,05 | 0,20 | 2,25 | 0,1 | 1815 | 3655 | 5468 | 7281 | 0,023 | |
641 | 20,0 | 12,5 | 2,00 | 0,30 | 2,30 | 0,1 | 1920 | 3831 | 5723 | 7614 | 0,030 | ||
642 | 55,0 | 25,0 | 2,50 | 1,50 | 4,00 | 0,6 | 2440 | 4557 | 6419 | 8104 | 0,037 | ||
643 | 65,0 | 30,0 | 2,50 | 2,00 | 4,50 | 0,8 | 2724 | 4880 | 6605 | 8036 | 0,051 | ||
644 | 67,0 | 31,5 | 2,50 | 2,00 | 4,50 | 0,8 | 2587 | 4625 | 6272 | 7634 | 0,028 | ||
645 | 10000 | 80,0 | 40,0 | 2,50 | 3,00 | 5,50 | 1,2 | 3910 | 6497 | 8094 | 9016 | 0,080 | |
646 | 11200 | 20,0 | 10,5 | 2,20 | 0,30 | 2,50 | 0,1 | 2185 | 4338 | 6482 | 8618 | 0,039 | |
647 | 22,4 | 13,0 | 2,25 | 0,35 | 2,60 | 0,2 | 2361 | 4694 | 7016 | 9319 | 0,032 | ||
648 | 35,5 | 21,0 | 2,50 | 0,60 | 3,10 | 0,2 | 2303 | 4547 | 6752 | 8918 | 0,013 | ||
649 | 60,0 | 30,0 | 2,50 | 1,95 | 4,45 | 0,8 | 2230 | 4458 | 6686 | 8915 | 0,050 | ||
650 | 12500 | 22,0 | 13,0 | 2,25 | 0,35 | 2,60 | 0,2 | 2499 | 4969 | 7417 | 9852 | 0,043 | |
651 | 25,0 | 13,0 | 2,45 | 0,40 | 2,85 | 0,2 | 2585 | 5138 | 7666 | 10179 | 0,031 | ||
652 | 28,0 | 13,0 | 2,50 | 0,50 | 3,00 | 0,2 | 2605 | 5162 | 7682 | 10177 | 0,032 | ||
653 | 65,0 | 32,0 | 3,00 | 1,50 | 4,50 | 0,50 | 2940 | 5600 | 8006 | 10300 | 0,058 | ||
654 | 16000 | 32,0 | 10,0 | 3,00 | 0,50 | 3,50 | 0,2 | 3126 | 6223 | 9280 | 12328 | 0,017 | |
655 | 55,0 | 24,0 | 3,00 | 1,40 | 4,40 | 0,5 | 3567 | 6820 | 9829 | 12671 | 0,028 | ||
656 | 60,0 | 30,0 | 3,00 | 1,50 | 4,50 | 0,5 | 3474 | 6615 | 9476 | 12161 | 0,050 | ||
657 | 18000 | 32,0 | 14,0 | 3,00 | 0,55 | 3,55 | 0,2 | 3396 | 7193 | 10789 | 14396 | 0,015 | |
658 | 35,5 | 16,0 | 3,00 | 0,65 | 3,65 | 0,2 | 3606 | 7114 | 10584 | 14025 | 0,018 | ||
659 | 20000 | 28,0 | 17,0 | 2,95 | 0,40 | 3,35 | 3,40 | 0,2 | 4057 | 8085 | 12083 | 16062 | 0,009 |
660 | 35,5 | 17,0 | 3,00 | 0,65 | 3,65 | 0,2 | 3700 | 7320 | 10870 | 14390 | 0,018 | ||
661 | 45,0 | 25,0 | 3,00 | 1,00 | 4,00 | 0,3 | 4049 | 7908 | 11613 | 15219 | 0,026 | ||
662 | 65,0 | 35,0 | 3,50 | 1,50 | 5,00 | 0,4 | 4733 | 9114 | 13210 | 17120 | 0,065 | ||
663 | 22400 | 60,0 | 30,0 | 3,50 | 1,50 | 5,00 | 3,4 | 0,4 | 5301 | 10201 | 14788 | 19168 | 0,058 |
664 | 63,0 | 25,0 | 3,80 | 1,40 | 5,20 | 3,7 | 0,4 | 5105 | 99170 | 14494 | 18923 | 0,030 | |
665 | 70,0 | 28,0 | 3,80 | 1,80 | 5,60 | 3,7 | 0,5 | 5635 | 10760 | 15484 | 19952 | 0,098 | |
666 | 120,0 | 60,0 | 4,00 | 4,00 | 8,00 | 3,9 | 1,0 | 8026 | 13808 | 17914 | 20903 | 0,266 | |
667 | 25000 | 35,5 | 21,0 | 3,3 | 0,60 | 3,90 | 3,0 | 0,2 | 5213 | 10348 | 15490 | 20472 | 0,016 |
668 | 60,0 | 26,0 | 3,8 | 1,40 | 5,20 | 3,7 | 0,5 | 5772 | 11201 | 16375 | 21383 | 0,067 | |
669 | 80,0 | 26,0 | 4,3 | 1,80 | 6,10 | 4,2 | 0,5 | 5880 | 11319 | 16434 | 21324 | 0,151 | |
670 | 110,0 | 60,0 | 4,0 | 3,50 | 7,50 | 3,9 | 0,8 | 7967 | 14063 | 18727 | 22457 | 0,210 | |
671 | 28000 | 40,0 | 25,0 | 3,5 | 0,65 | 4,15 | 3,3 | 0,2 | 5644 | 11201 | 16689 | 22138 | 0,021 |
672 | 70,0 | 40,0 | 4,0 | 1,50 | 5,50 | 3,9 | 0,4 | 6223 | 12000 | 17600 | 22981 | 0,084 | |
673 | 90,0 | 26,0 | 4,5 | 2,20 | 6,70 | 4,3 | 0,5 | 5752 | 11505 | 17267 | 23020 | 0,206 | |
674 | 130,0 | 38,0 | 5,0 | 3,40 | 8,40 | 4,5 | 0,7 | 7791 | 14288 | 19805 | 24686 | 0,475 | |
675 | 31500 | 70,0 | 26,0 | 5,0 | 1,10 | 6,10 | 4,8 | 0,2 | 6889 | 13622 | 20246 | 26793 | 0,130 |
676 | 35500 | 40,0 | 25,0 | 3,8 | 0,65 | 4,45 | 3,5 | 0,2 | 7238 | 14298 | 21334 | 28312 | 0,023 |
677 | 80,0 | 28,0 | 5,0 | 1,50 | 6,50 | 4,9 | 0,3 | 6919 | 13839 | 20759 | 27678 | 0,176 | |
678 | 90,0 | 25,0 | 5,0 | 2,00 | 7,00 | 4,8 | 0,4 | 7996 | 15494 | 22491 | 29253 | 0,231 | |
679 | 90,0 | 40,0 | 4,5 | 2,5 | 7,0 | 4,4 | 0,5 | 8545 | 16062 | 22794 | 29200 | 0,181 | |
680 | 120,0 | 50,0 | 5,0 | 3,5 | 8,5 | 4,9 | 0,7 | 10005 | 18277 | 25244 | 31340 | 0,367 | |
681 | 40000 | 50,0 | 31,0 | 4,15 | 0,9 | 5,15 | 3,8 | 0,2 | 8330 | 16600 | 24509 | 32340 | 0,037 |
682 | 110,0 | 50,0 | 5,0 | 3,0 | 8,0 | 4,9 | 0,6 | 9700 | 18237 | 25676 | 32447 | 0,296 | |
683 | 45000 | 80,0 | 50,0 | 5,0 | 1,5 | 6,5 | 4,84 | 0,3 | 10000 | 19330 | 28508 | 37485 | 0,122 |
684 | 150,0 | 50,0 | 6,0 | 4,0 | 10,0 | 5,9 | 0,6 | 11858 | 21805 | 30311 | 37857 | 0,442 | |
685 | 50000 | 120,0 | 40,0 | 6,0 | 2,8 | 8,8 | 5,9 | 0,5 | 11368 | 21707 | 31281 | 40346 | 0,474 |
686 | 150,0 | 60,0 | 6,0 | 4,5 | 10,5 | 5,9 | 0,7 | 14621 | 26440 | 36142 | 44452 | 0,699 | |
687 | 56000 | 130,0 | 60,0 | 6,0 | 3,5 | 9,5 | 5,9 | 0,4 | 11328 | 22667 | 34004 | 45344 | 0,492 |
688 | 63000 | 63,0 | 37,0 | 5,2 | 1,2 | 6,4 | 4,9 | 0,2 | 13063 | 25803 | 38298 | 50636 | 0,033 |
689 | 80,0 | 32,0 | 7,0 | 1,0 | 8,0 | 6,7 | 0,2 | 13102 | 26077 | 38964 | 51783 | 0,232 | |
690 | 120,0 | 60,0 | 6,0 | 3,0 | 9,0 | 5,9 | 0,5 | 13935 | 26460 | 37916 | 48666 | 0,400 | |
691 | 140,0 | 36,0 | 7,0 | 3,0 | 10,0 | 6,7 | 0,4 | 13847 | 26616 | 38242 | 50009 | 0,865 | |
692 | 160,0 | 55,0 | 7,0 | 4,0 | 11,0 | 6,9 | 0,6 | 15572 | 29164 | 41287 | 52410 | 0,970 | |
693 | 71000 | 90,0 | 50,0 | 6,0 | 2,00 | 8,00 | 5,8 | 0,3 | 16219 | 31360 | 46500 | 60907 | 0,208 |
694 | 100,0 | 50,0 | 6,0 | 2,50 | 8,50 | 5,9 | 0,4 | 15944 | 30713 | 44590 | 44590 | 0,277 | |
695 | 150,0 | 70,0 | 7,0 | 4,00 | 11,00 | 6,9 | 0,5 | 19100 | 35800 | 51000 | 63807 | 0,761 | |
696 | 160,0 | 90,0 | 6,7 | 4,20 | 10,90 | 6,6 | 0,6 | 18010 | 33400 | 46800 | 58800 | 0,717 | |
697 | 165,0 | 45,0 | 8,0 | 3,50 | 11,50 | 7,5 | 0,4 | 15317 | 30644 | 45971 | 61308 | 1,240 | |
698 | 80000 | 85,0 | 31,0 | 7,0 | 1,45 | 8,45 | 6,6 | 0,2 | 16317 | 32645 | 48970 | 65291 | 0,272 |
699 | 95,0 | 37,0 | 7,0 | 1,80 | 8,80 | 6,6 | 0,2 | 16437 | 32873 | 49310 | 65747 | 0,327 | |
700 | 120,0 | 70,0 | 7,0 | 2,50 | 9,50 | 6,9 | 0,35 | 19110 | 37152 | 54000 | 71089 | 0,410 | |
701 | 170,0 | 45,0 | 8,0 | 4,20 | 12,20 | 7,5 | 0,52 | 20756 | 39219 | 55600 | 71569 | 0,332 | |
702 | 100000 | 100,0 | 60,0 | 7,0 | 2,0 | 9,0 | 6,8 | 0,3 | 21952 | 43090 | 63631 | 83760 | 0,277 |
703 | 110,0 | 60,0 | 7,0 | 2,5 | 9,5 | 6,9 | 0,4 | 21150 | 41600 | 61300 | 79938 | 0,368 | |
704 | 125000 | 130,0 | 70,0 | 8,0 | 3,00 | 11,00 | 7,8 | 0,37 | 27400 | 53390 | 77968 | 101714 | 0,591 |
705 | 140000 | 120,0 | 70,0 | 8,0 | 2,5 | 10,5 | 7,8 | 0,3 | 27900 | 54703 | 80526 | 105742 | 0,468 |
706 | 180,0 | 60,0 | 10,0 | 3,80 | 13,80 | 9,9 | 0,3 | 30300 | 58800 | 85671 | 111700 | 1,780 | |
707 | 250,0 | 100,0 | 10,0 | 7,50 | 17,50 | 9,9 | 0,7 | 28508 | 57888 | 86828 | 115730 | 3,240 | |
708 | 160000 | 150,0 | 60,0 | 10,0 | 3,00 | 13,00 | 9,9 | 0,3 | 34211 | 67032 | 98823 | 129908 | 1,170 |
709 | 150,0 | 80,0 | 9,0 | 3,50 | 12,50 | 8,8 | 0,4 | 34358 | 66483 | 96912 | 126214 | 0,893 | |
710 | 220,0 | 100,0 | 10,0 | 6,00 | 16,00 | 9,9 | 0,6 | 39160 | 72961 | 102704 | 131614 | 2,370 | |
711 | 180000 | 120,0 | 44,0 | 10,0 | 2,2 | 12,2 | 9,4 | 0,2 | 37436 | 76489 | 110014 | 145588 | 0,768 |
712 | 200000 | 160,0 | 90,0 | 10,0 | 3,50 | 13,50 | 9,8 | 0,3 | 42600 | 82398 | 120736 | 157936 | 1,080 |
713 | 200,0 | 60,0 | 12,0 | 4,00 | 16,00 | 11,5 | 0,3 | 43300 | 84320 | 124352 | 162944 | 2,700 | |
714 | 224000 | 250,0 | 70,0 | 13,0 | 5,50 | 18,50 | 12,3 | 0,4 | 50520 | 97060 | 141530 | 183400 | 4,680 |
715 | 280000 | 280,0 | 112,0 | 14,0 | 6,60 | 20,60 | 13,8 | 0,5 | 64600 | 124500 | 177900 | 230000 | 5,650 |
716 | 315000 | 250,0 | 100,0 | 14,0 | 6,00 | 20,00 | 13,9 | 0,5 | 71873 | 138150 | 200243 | 259523 | 4,530 |
717 | 355000 | 280,0 | 80,0 | 16,0 | 5,50 | 21,5 | 15,3 | 0,4 | 72480 | 141178 | 207132 | 270999 | 7,100 |
718 | 280,0 | 85,0 | 17,0 | 5,30 | 22,30 | 16,3 | 0,3 | 82702 | 161798 | 235758 | 312786 | 7,450 | |
719 | 400000 | 280,0 | 122,0 | 16,0 | 6,50 | 22,50 | 15,8 | 0,4 | 93854 | 181064 | 263296 | 342206 | 6,150 |
720 | 450000 | 280,0 | 112,0 | 18,0 | 5,00 | 23,00 | 17,8 | 0,3 | 94609 | 185906 | 274703 | 361855 | 7,300 |
721 | 300,0 | 122,0 | 18,0 | 6,00 | 24,00 | 17,8 | 0,3 | 101606 | 198205 | 291040 | 381259 | 9,33 | |
722 | 500000 | 300,0 | 100,0 | 20,0 | 5,00 | 25,00 | 19,0 | 0,25 | 108691 | 207691 | 317520 | 419195 | 9,86 |
723 | 300,0 | 112,0 | 20,0 | 5,00 | 25,00 | 19,0 | 0,25 | 110328 | 217491 | 315827 | 425476 | 9,55 | |
724 | 630000 | 300,0 | 122,0 | 20,0 | 6,00 | 26,00 | 18,8 | 0,3 | 137425 | 269275 | 396939 | 521820 | 9,32 |
Номер пружины | Наружный диаметр пружины D1 | Внутренний диаметр пружины D2 | Толщина пружины t | Максимальная деформация s3 | Высота пружины l0 | Сила F, кгс, при деформации | Масса, кг | ||
s3 | 0,8s3 | 0,65s3 | |||||||
Пружины с линейной характеристикой "сила-деформация" | |||||||||
850 | 28 | 12 | 1,5 | 0,8 | 2,3 | 500 | 410 | 350 | 0,006 |
851 | 30 | 15 | 2,0 | 0,6 | 2,6 | 830 | 670 | 550 | 0,008 |
852 | 32 | 10 | 2,0 | 0,9 | 2,9 | 910 | 750 | 610 | 0,011 |
853 | 10 | 3,0 | 0,7 | 3,7 | 2400 | 1900 | 1550 | 0,017 | |
854 | 14 | 3,0 | 0,7 | 3,7 | 2600 | 2100 | 1700 | 0,015 | |
855 | 35 | 20 | 2,0 | 0,8 | 2,8 | 900 | 720 | 600 | 0,010 |
856 | 40 | 20 | 2,0 | 1,0 | 3,0 | 730 | 620 | 520 | 0,015 |
857 | 25 | 2,5 | 0,8 | 3,3 | 1500 | 1200 | 990 | 0,015 | |
858 | 45 | 20 | 2,2 | 1,1 | 3,3 | 770 | 650 | 540 | 0,022 |
859 | 25 | 2,5 | 1,0 | 3,5 | 1250 | 1000 | 840 | 0,022 | |
860 | 25 | 3,0 | 1,0 | 4,0 | 2200 | 1750 | 1450 | 0,026 | |
861 | 50 | 20 | 2,2 | 1,3 | 3,5 | 730 | 610 | 510 | 0,029 |
862 | 30 | 3,0 | 1,0 | 4,0 | 1850 | 1500 | 1250 | 0,030 | |
863 | 55 | 24 | 3,0 | 1,4 | 4,4 | 1700 | 1400 | 1150 | 0,045 |
864 | 25 | 2,5 | 1,5 | 4,0 | 1050 | 900 | 760 | 0,037 | |
865 | 60 | 20 | 2,5 | 1,5 | 4,0 | 830 | 700 | 580 | 0,048 |
866 | 26 | 3,8 | 1,4 | 5,2 | 2900 | 2300 | 1900 | 0,067 | |
867 | 30 | 3,0 | 1,5 | 4,5 | 1600 | 1350 | 1150 | 0,050 | |
868 | 30 | 3,5 | 1,5 | 5,0 | 2600 | 2100 | 1750 | 0,058 | |
869 | 65 | 32 | 3,0 | 1,5 | 4,5 | 1400 | 1100 | 950 | 0,058 |
870 | 35 | 3,5 | 1,5 | 5,0 | 2300 | 1900 | 1550 | 0,065 | |
871 | 70 | 26 | 5,0 | 1,1 | 6,1 | 3500 | 2800 | 2300 | 0,130 |
872 | 28 | 3,8 | 1,8 | 5,6 | 2600 | 2100 | 1750 | 0,098 | |
873 | 40 | 4,0 | 1,5 | 5,5 | 3100 | 2500 | 2100 | 0,084 | |
874 | 80 | 26 | 4,3 | 1,8 | 6,1 | 2800 | 2300 | 1900 | 0,151 |
875 | 28 | 5,0 | 1,5 | 6,5 | 3700 | 2900 | 2400 | 0,176 | |
876 | 32 | 7,0 | 1,0 | 8,0 | 6900 | 5500 | 4500 | 0,232 | |
877 | 36 | 3,7 | 2,0 | 5,7 | 2100 | 1750 | 1500 | 0,117 | |
878 | 40 | 4,0 | 2,0 | 6,0 | 2800 | 2300 | 1950 | 0,119 | |
879 | 50 | 5,0 | 1,5 | 6,5 | 5100 | 4100 | 3400 | 0,120 | |
880 | 90 | 25 | 5,0 | 2,0 | 7,0 | 3800 | 3100 | 2500 | 0,231 |
881 | 26 | 4,5 | 2,2 | 6,7 | 3000 | 2500 | 2100 | 0,206 | |
882 | 32 | 4,0 | 2,3 | 6,3 | 2300 | 1900 | 1600 | 0,175 | |
883 | 40 | 4,5 | 2,5 | 7,0 | 3800 | 3100 | 2600 | 0,181 | |
884 | 50 | 5,0 | 2,0 | 7,0 | 4800 | 3900 | 3200 | 0,172 | |
885 | 50 | 6,0 | 2,0 | 8,0 | 8300 | 6700 | 5500 | 0,208 | |
886 | 100 | 36 | 4,8 | 2,5 | 7,3 | 3500 | 2800 | 2400 | 0,258 |
887 | 40 | 6,0 | 2,2 | 8,2 | 6100 | 4900 | 4100 | 0,312 | |
888 | 50 | 5,0 | 2,5 | 7,5 | 4500 | 3600 | 3000 | 0,232 | |
889 | 50 | 6,0 | 2,5 | 8,5 | 7600 | 6200 | 5200 | 0,277 | |
890 | 60 | 7,0 | 2,0 | 9,0 | 11500 | 9200 | 7500 | 0,277 | |
891 | 110 | 50 | 5,0 | 3,0 | 8,0 | 4200 | 3400 | 2900 | 0,296 |
892 | 60 | 7,0 | 2,5 | 9,5 | 10500 | 8600 | 7100 | 0,368 | |
893 | 120 | 40 | 6,0 | 2,8 | 8,8 | 5100 | 4200 | 3500 | 0,474 |
894 | 44 | 10,0 | 2,2 | 12,0 | 19000 | 15500 | 12500 | 0,768 | |
895 | 60 | 6,0 | 3,0 | 9,0 | 6300 | 5200 | 4400 | 0,400 | |
896 | 70 | 7,0 | 2,5 | 9,5 | 9500 | 7700 | 6400 | 0,410 | |
897 | 70 | 8,0 | 2,5 | 10,5 | 14500 | 11500 | 9400 | 0,468 | |
898 | 130 | 36 | 10,0 | 2,5 | 12,5 | 18000 | 14500 | 12000 | 0,985 |
899 | 40 | 10,0 | 2,5 | 12,5 | 18000 | 14500 | 12000 | 0,938 | |
900 | 60 | 6,0 | 3,5 | 9,5 | 6000 | 5000 | 4200 | 0,492 | |
901 | 70 | 8,0 | 3,0 | 11,0 | 13500 | 11000 | 9100 | 0,591 | |
902 | 140 | 36 | 7,0 | 3,0 | 10,0 | 6400 | 5200 | 4300 | 0,865 |
903 | 70 | 7,0 | 3,5 | 10,5 | 8700 | 7100 | 5900 | 0,635 | |
904 | 80 | 8,0 | 3,0 | 11,0 | 12500 | 9900 | 8200 | 0,641 | |
905 | 150 | 60 | 10,0 | 3,0 | 13,0 | 16500 | 13500 | 11500 | 1,170 |
906 | 70 | 7,0 | 4,0 | 11,0 | 8200 | 6800 | 5700 | 0,761 | |
907 | 80 | 9,0 | 3,5 | 12,5 | 16500 | 13500 | 11000 | 0,893 | |
908 | 160 | 55 | 7,0 | 4,0 | 11,0 | 6600 | 5400 | 4500 | 0,970 |
909 | 80 | 8,0 | 4,0 | 12,0 | 11000 | 9200 | 7700 | 0,947 | |
910 | 90 | 10,0 | 3,5 | 13,5 | 21000 | 17000 | 14000 | 1,080 | |
911 | 165 | 45 | 8,0 | 4,2 | 12,2 | 9500 | 7800 | 6600 | 1,240 |
912 | 180 | 36 | 17,0 | 2,5 | 19,5 | 47000 | 37000 | 30000 | 3,260 |
913 | 60 | 10,0 | 3,8 | 13,8 | 14000 | 11500 | 9600 | 1,780 | |
914 | 90 | 9,0 | 4,5 | 13,5 | 14000 | 11500 | 9700 | 1,350 | |
915 | 100 | 10,0 | 4,0 | 14,0 | 18500 | 15000 | 12500 | 1,380 | |
916 | 200 | 55 | 10,0 | 5,0 | 15,0 | 15000 | 12500 | 10500 | 2,290 |
917 | 60 | 12,0 | 4,0 | 16,0 | 21000 | 17000 | 14000 | 2,700 | |
918 | 100 | 10,0 | 5,0 | 15,0 | 17500 | 14500 | 12000 | 1,850 | |
919 | 100 | 12,0 | 4,0 | 16,0 | 24000 | 19500 | 16000 | 2,220 | |
920 | 220 | 60 | 11,0 | 5,4 | 16,4 | 18000 | 14500 | 12000 | 3,03 |
921 | 100 | 10,0 | 6,0 | 16,0 | 16500 | 13500 | 11500 | 2,37 | |
922 | 250 | 70 | 13,0 | 5,5 | 18,5 | 23000 | 19000 | 16000 | 4,68 |
923 | 100 | 12,0 | 6,0 | 18,0 | 21000 | 17000 | 14500 | 3,88 | |
924 | 100 | 14,0 | 6,0 | 20,0 | 33000 | 27000 | 22500 | 4,53 | |
925 | 280 | 80 | 16,0 | 5,5 | 21,5 | 35000 | 28000 | 23000 | 7,10 |
926 | 85 | 17,0 | 5,3 | 22,3 | 40000 | 32000 | 26000 | 7,45 | |
927 | 112 | 18,0 | 5,0 | 23,0 | 47000 | 38000 | 31000 | 7,30 | |
928 | 122 | 16,0 | 6,5 | 22,5 | 44000 | 36000 | 30000 | 6,15 | |
929 | 122 | 14,0 | 6,5 | 20,5 | 29000 | 24000 | 20000 | 5,38 | |
930 | 300 | 100 | 20,0 | 5,0 | 25,0 | 54000 | 44000 | 36000 | 9,86 |
931 | 112 | 20,0 | 5,0 | 25,0 | 55000 | 44000 | 36000 | 9,55 | |
932 | 122 | 18,0 | 6,0 | 24,0 | 49000 | 39000 | 33000 | 8,33 | |
933 | 122 | 20,0 | 6,0 | 26,0 | 67000 | 54000 | 45000 | 9,32 | |
Пружины с нелинейной характеристикой "сила-деформация" | |||||||||
934 | 30 | 15 | 1,0 | 1,0 | 2,0 | 170 | 150 | 140 | 0,004 |
935 | 35 | 15 | 1,5 | 1,0 | 2,5 | 380 | 330 | 280 | 0,009 |
936 | 40 | 20 | 1,0 | 1,5 | 2,5 | 140 | 140 | 130 | 0,008 |
937 | 45 | 25 | 1,5 | 1,5 | 3,0 | 400 | 350 | 320 | 0,013 |
938 | 50 | 20 | 2,0 | 1,5 | 3,5 | 630 | 530 | 460 | 0,026 |
939 | 25 | 1,5 | 1,5 | 3,0 | 300 | 260 | 240 | 0,017 | |
940 | 55 | 16 | 2,0 | 1,5 | 3,5 | 490 | 420 | 360 | 0,034 |
941 | 25 | 2,0 | 1,5 | 3,5 | 550 | 480 | 410 | 0,030 | |
942 | 60 | 25 | 2,0 | 2,0 | 4,0 | 590 | 530 | 480 | 0,036 |
943 | 30 | 1,5 | 2,0 | 3,5 | 270 | 270 | 250 | 0,025 | |
944 | 65 | 30 | 2,5 | 2,0 | 4,5 | 1020 | 880 | 760 | 0,051 |
945 | 70 | 25 | 3,0 | 2,4 | 5,4 | 1650 | 1450 | 1250 | 0,079 |
946 | 30 | 2,0 | 2,5 | 4,5 | 540 | 510 | 480 | 0,049 | |
947 | 30 | 3,0 | 2,0 | 5,0 | 1450 | 1250 | 1050 | 0,074 | |
948 | 80 | 35 | 3,0 | 2,5 | 5,5 | 1400 | 1200 | 1050 | 0,096 |
949 | 40 | 2,0 | 3,0 | 5,0 | 550 | 550 | 530 | 0,059 | |
950 | 90 | 40 | 2,5 | 3,5 | 6,0 | 900 | 890 | 860 | 0,100 |
951 | 100 | 40 | 4,0 | 3,0 | 7,0 | 2450 | 2100 | 1850 | 0,207 |
952 | 50 | 2,5 | 3,5 | 6,0 | 780 | 740 | 740 | 0,111 | |
953 | 110 | 50 | 3,0 | 4,0 | 7,0 | 1200 | 1150 | 1100 | 0,178 |
954 | 60 | 4,0 | 3,5 | 7,5 | 2800 | 2400 | 2100 | 0,210 | |
955 | 120 | 50 | 5,0 | 3,5 | 8,5 | 3900 | 3300 | 2800 | 0,367 |
956 | 60 | 3,0 | 4,5 | 7,5 | 1200 | 1200 | 1200 | 0,200 | |
957 | 60 | 4,0 | 4,0 | 8,0 | 2500 | 2200 | 2000 | 0,266 | |
958 | 130 | 38 | 5,0 | 3,4 | 8,4 | 3100 | 2600 | 2200 | 0,475 |
959 | 60 | 3,5 | 5,0 | 8,5 | 1700 | 1700 | 1650 | 0,287 | |
960 | 140 | 60 | 6,0 | 4,0 | 10,0 | 5700 | 4800 | 4100 | 0,582 |
961 | 70 | 3,5 | 5,0 | 8,5 | 1550 | 1550 | 1500 | 0,317 | |
962 | 150 | 50 | 6,0 | 4,0 | 10,0 | 4700 | 3900 | 3400 | 0,739 |
963 | 60 | 6,0 | 4,5 | 10,5 | 5500 | 4700 | 4100 | 0,699 | |
964 | 70 | 4,0 | 5,5 | 9,5 | 2200 | 2100 | 2000 | 0,434 | |
965 | 160 | 70 | 7,0 | 4,5 | 11,5 | 7900 | 6600 | 5600 | 0,894 |
966 | 80 | 4,0 | 6,0 | 10,0 | 2100 | 2100 | 2100 | 0,473 | |
967 | 180 | 80 | 8,0 | 5,0 | 13,0 | 10500 | 8600 | 7300 | 1,280 |
968 | 90 | 5,0 | 7,0 | 12,0 | 3800 | 3700 | 3600 | 0,743 | |
969 | 200 | 80 | 8,0 | 6,0 | 14,0 | 9700 | 8300 | 7200 | 1,660 |
970 | 90 | 9,0 | 5,5 | 14,5 | 13500 | 11000 | 9400 | 1,770 | |
971 | 100 | 5,0 | 7,5 | 12,5 | 3200 | 3200 | 3200 | 0,924 | |
972 | 220 | 90 | 9,0 | 6,5 | 15,5 | 12500 | 10500 | 9100 | 2,240 |
973 | 100 | 6,0 | 8,0 | 14,0 | 4700 | 4500 | 4400 | 1,420 | |
974 | 250 | 100 | 7,0 | 9,0 | 16,0 | 6200 | 5900 | 5600 | 2,260 |
975 | 100 | 10,0 | 7,5 | 17,5 | 15000 | 13000 | 11000 | 3,240 | |
Схема сборки | Параметр пакета пружин | Вид характеристики |
Одиночная ![]() | F3 s3 l0 | ![]() |
Последовательная ![]() | Fп3 = F3 Sп3 = nS3 L0 = l0n ![]() | ![]() |
Параллельная 1. двухпараллельная ![]() | Fп3 = KF3n1 Sп3 = s3 L0 = l0 + (n1 - 1)t | ![]() |
2. трехпараллельная ![]() | ![]() | |
Параллельно-последовательная ![]() | Fп3 = KF3n1 Sп3 = ns3 L0 = n[l0 + (n1 - 1)t] ![]() | ![]() |
Пружины различной толщины ![]() | Fп3 = F3 ![]() ![]() ![]() | ![]() |