Главная // Актуальные документы // ГОСТ (Государственный стандарт)СПРАВКА
Источник публикации
М.: Издательство стандартов, 1995
Примечание к документу
С 1 июля 2003 года до вступления в силу технических регламентов акты федеральных органов исполнительной власти в сфере технического регулирования носят рекомендательный характер и подлежат обязательному исполнению только в части, соответствующей целям, указанным в
пункте 1 статьи 46 Федерального закона от 27.12.2002 N 184-ФЗ.
Документ
введен в действие с 1 января 1995 года.
Взамен ГОСТ 6718-86.
Название документа
"ГОСТ 6718-93 (ИСО 2120-72, ИСО 2121-72). Межгосударственный стандарт. Хлор жидкий. Технические условия"
(введен в действие Постановлением Госстандарта России от 02.06.1994 N 160)
"ГОСТ 6718-93 (ИСО 2120-72, ИСО 2121-72). Межгосударственный стандарт. Хлор жидкий. Технические условия"
(введен в действие Постановлением Госстандарта России от 02.06.1994 N 160)
Постановлением
Комитета Российской Федерации
по стандартизации,
метрологии и сертификации
от 2 июня 1994 г. N 160
МЕЖГОСУДАРСТВЕННЫЙ СТАНДАРТ
ХЛОР ЖИДКИЙ
ТЕХНИЧЕСКИЕ УСЛОВИЯ
Liquid chlorine. Specifications
ГОСТ 6718-93
(ИСО 2120-72, ИСО 2121-72)
Дата введения
1 января 1995 года
1. Разработан Госстандартом России.
Внесен Техническим секретариатом Межгосударственного совета по стандартизации, метрологии и сертификации.
2. Принят Межгосударственным советом по стандартизации, метрологии и сертификации 21 октября 1993 г.
За принятие проголосовали:
Наименование государства | Наименование национального органа по стандартизации |
Республика Беларусь | Белстандарт |
Республика Кыргызстан | Кыргызстандарт |
Республика Молдова | Молдовастандарт |
Российская Федерация | Госстандарт России |
Республика Таджикистан | Таджикстандарт |
Туркменистан | Туркменглавгосинспекция |
Украина | Госстандарт Украины |
3. Постановлением Комитета Российской Федерации по стандартизации, метрологии и сертификации от 02.06.94 N 160 межгосударственный стандарт ГОСТ 6718-93 введен в действие непосредственно в качестве государственного стандарта Российской Федерации с 01.01.95.
4. Взамен ГОСТ 6718-86.
Ссылочные нормативно-технические документы:
Обозначение НТД, на который дана ссылка | Номер пункта, подпункта, Приложения |
| |
| |
| | ИС МЕГАНОРМ: примечание. Взамен ГОСТ 12.4.026-76 Постановлением Госстандарта России от 19.09.2001 N 387-ст с 1 января 2003 года на территории Российской Федерации введен в действие ГОСТ Р 12.4.026-2001. | |
|
ГОСТ 12.4.026-76 | |
| |
| |
| |
| |
| |
| |
| |
| |
| |
| |
| |
| |
| |
| |
| |
| |
| |
| |
| |
| |
| |
| |
| |
ГОСТ 18617-83 | |
| |
| |
| |
|
|
ГОСТ 24104-88 | |
| |
| |
| |
| |
| |
ОСТ 95.419-76 | |
ТУ 25-1819.0021-90 | |
ТУ 25-1894.003-90 | |
ТУ 25-2021.003-88 | |
ТУ 302-07-435-89 | |
Настоящий стандарт распространяется на жидкий хлор, применяемый для производства отбеливающих средств, солей, хлорорганических соединений, а также для очистки и стерилизации питьевой воды.
Формула:

.
Относительная молекулярная масса (по международным относительным атомным массам 1987 г.) - 70,90.
1. ТЕХНИЧЕСКИЕ ТРЕБОВАНИЯ
1.1. Жидкий хлор должен изготовляться в соответствии с требованиями настоящего стандарта по технологическому регламенту, утвержденному в установленном порядке.
1.2. По физико-химическим показателям жидкий хлор должен соответствовать нормам, указанным в таблице.
На цистернах должны быть нанесены специальные трафареты в соответствии с правилами перевозки грузов, действующими на железнодорожном транспорте.
На специализированные контейнеры и баллоны наносят надписи "Хлор", "Ядовитый газ".
Наименование показателя | Норма |
Высший сорт ОКП 21 1431 0120 | Первый сорт ОКП 21 1431 0130 |
1. Объемная доля хлора, %, не менее | 99,8 | 99,6 |
2. Массовая доля воды, %, не более | 0,01 | 0,04 |
3. Массовая доля треххлористого азота, %, не более | 0,002 | 0,004 |
4. Массовая доля нелетучего остатка, %, не более | 0,015 | 0,10 |
Маркировка, характеризующая транспортную опасность груза, - по
ГОСТ 19433 с нанесением знака опасности (класс 2, подкласс 2.2, категория 4, номера чертежей знака опасности: основного -
6а, дополнительного -
5 и
8, классификационный шифр 2243), серийного номера 00Н 1017.
Жидкий хлор заливают в специализированные контейнеры вместимостью 800 дм3, баллоны малого и среднего объема по
ГОСТ 949.
На 1 дм3 вместимости баллона допускается наполнение не более 1,25 кг жидкого хлора, а на 1 дм3 вместимости контейнера - не более 1,20 кг жидкого хлора.
Подготовку и наполнение жидким хлором специализированных контейнеров и баллонов проводят в соответствии с правилами устройства и безопасной эксплуатации сосудов, работающих под давлением, утвержденными Госгортехнадзором и Правилами безопасности для производства, хранения и транспортировки хлора
ПБХ-83.
2. ТРЕБОВАНИЯ БЕЗОПАСНОСТИ
2.1. Жидкий хлор - жидкость янтарного цвета, обладающая раздражающим и удушающим действием.
Хлор относится к высокоопасным веществам. Глубоко проникая в дыхательные пути, хлор поражает легочную ткань и вызывает отек легких. Хлор вызывает острые дерматиты с потением, покраснением и отечностью.
Большую опасность для пораженного хлором представляют осложнения: воспаление легких и нарушение со стороны сердечно-сосудистой системы.
Предельно допустимая концентрация хлора в воздухе рабочей зоны производственных помещений - 1 мг/м3 (2-й класс опасности по
ГОСТ 12.1.007).
2.2. Хлор негорюч. Жидкий хлор является сильным окислителем, поддерживает горение многих органических веществ (масел, жиров, растворителей), пожароопасен при контакте с горючими веществами. Скипидар, титан и порошки металлов в атмосфере хлора способны самовозгораться при комнатной температуре. Хлор с водородом образует взрывоопасные смеси.
2.3. Для определения и регистрации содержания хлора в воздухе производственных помещений используют автоматические стационарные или переносные газоанализаторы.
2.4. Для защиты органов дыхания от паров газообразного хлора применяют промышленные фильтрующие противогазы марки В или БКФ
(ГОСТ 12.4.121), если объемная доля хлора в воздухе не будет превышать 0,5%, а объемная доля кислорода будет составлять не менее 18%.
При концентрациях, превышающих указанные, необходимо пользоваться кислородно-изолирующими приборами типа КИП-8, РВЛ-1, ИП-4 или АДИ-ГС, АСВ-2.
| | ИС МЕГАНОРМ: примечание. Взамен ГОСТ 12.4.026-76 Постановлением Госстандарта России от 19.09.2001 N 387-ст с 1 января 2003 года на территории Российской Федерации введен в действие ГОСТ Р 12.4.026-2001. | |
В помещениях для производства и хранения жидкого хлора на видном месте должен быть вывешен знак по ГОСТ 12.4.026 "Работать с применением средств защиты органов дыхания!".
2.5. Для профилактики отравления необходимы систематический контроль за герметичностью оборудования и бесперебойная эффективная вентиляция, а также применение средств защиты органов дыхания и кожи (специальная одежда и обувь) по нормативно-технической документации.
Эксплуатация баллонов, контейнеров, цистерн и хранилищ (танков) с жидким хлором - в соответствии с правилами устройства и безопасной эксплуатации сосудов, находящихся под давлением, утвержденными Госгортехнадзором, и Правилами безопасности для производства, хранения и транспортировки хлора
ПБХ-83.
2.6. При отравлении хлором пострадавшего необходимо вывести из зараженной атмосферы, освободить от затрудняющей дыхание одежды, вызвать врача, обеспечить покой, тепло, дать молоко с содой.
3.1. Жидкий хлор принимают партиями. Партией считают количество продукта, однородного по своим показателям и сопровождаемого одним документом о качестве.
Документ о качестве должен содержать:
товарный знак и (или) наименование предприятия-изготовителя;
наименование продукта, его сорт;
номер партии;
номера цистерн, контейнеров или баллонов, входящих в партию;
дату заполнения тары;
массу нетто и брутто;
количество тарных мест в партии;
результаты проведенных анализов или подтверждение соответствия качества продукта требованиям настоящего стандарта;
обозначение настоящего стандарта.
3.2. Для проверки качества жидкого хлора у изготовителя отбирают пробу из хранилища (танка), предназначенного для наполнения жидким хлором цистерн, контейнеров или баллонов.
Для проверки у потребителя качества жидкого хлора, транспортируемого в контейнерах, пробы отбирают из 5% контейнеров или из одного контейнера при партиях менее 20 контейнеров, при транспортировании жидкого хлора в баллонах - из 2% баллонов, но не менее двух или из одной цистерны каждой партии.
3.3. При получении неудовлетворительных результатов анализа хотя бы по одному из показателей проводят повторный анализ на удвоенной выборке или удвоенном количестве проб, взятых от той же партии.
Результаты повторного анализа распространяются на всю партию.
4.1. Отбор проб
4.1.1. Пробу жидкого хлора из хранилища (танка), цистерны, контейнера, баллона отбирают в баллоны по
ГОСТ 949 вместимостью до 5 дм3, оборудованные одним или двумя вентилями.
4.1.2. Перед отбором пробы баллон (с заглушкой) взвешивают и вакуумируют до остаточного давления

(0,2 кгс/см2). После вакуумирования баллон подсоединяют к штуцеру вентиля (ТУ 302-07-435) на линии слива из хранилища (танка, цистерны, либо к штуцеру вентиля контейнера или баллона. Открывают вентиль на линии слива хранилища (танка), цистерны, контейнера или баллона и постепенно открывают вентиль на баллоне для анализа.
После заполнения вентиль на линии слива из хранилища (танка), цистерны, контейнера или баллона закрывают, а затем закрывают вентиль на баллоне. Баллон отсоединяют, на штуцер ставят заглушку и баллон с пробой взвешивают.
Заполнение баллона с использованием двух вентилей проводят следующим образом. Вентиль, снабженный сифонной трубкой, присоединяют к вакуумной линии. Конец сифонной трубки должен быть расположен по длине корпуса баллона, соответствующей его заполнению примерно на 80% объема. Второй вентиль подсоединяют к штуцеру вентиля на линии слива из хранилища (танка), цистерны, либо к штуцеру вентиля контейнера или баллона. Открывают вентиль вакуумной линии и присоединенный к ней вентиль баллона и вакуумируют баллон до остаточного давления

(0,2 кгс/см2). Затем открывают вентиль на линии слива, постепенно открывают вентиль на баллоне для анализа и заполняют баллон жидким хлором. Баллон считают заполненным, если в смотровом окне вакуумной линии начинают появляться брызги жидкого хлора.
Допускается использование вентилей без сифонных трубок.
Допускаются другие безопасные способы заполнения баллонов.
На 1 дм3 вместимости баллона допускается наполнение не более 1,25 кг жидкого хлора.
4.1.3. На баллон с пробой жидкого хлора наклеивают этикетку с указанием:
наименования продукта;
номера партии;
даты отбора пробы;
фамилии лица, отобравшего пробу.
4.2. Общие указания по проведению анализа - по
ГОСТ 27025.
Допускается применение других средств измерений с метрологическими характеристиками и оборудования с техническими характеристиками не хуже, а также реактивов по качеству не ниже указанных.
Округление результатов анализа до того десятичного знака, который указан в таблице технических требований.
4.3. При подготовке и проведении анализов баллон с пробой жидкого хлора устанавливают на подставке.
К вентилю баллона присоединяют тройник, выполненный из коррозионностойкой стали по
ГОСТ 9941, внутренним диаметром 8 мм.
Длина отводов тройника - около 50 мм. Два отвода снабжены резьбой для присоединения игольчатых вентилей - для отбора пробы продукта и для подачи азота или воздуха. Игольчатые вентили должны быть изготовлены из коррозионностойкой стали с условным проходом трубопровода 6 мм.
К игольчатому вентилю для отбора пробы продукта присоединяют испаритель, помещенный в термостат, для испарения жидкого продукта.
Допускается проводить испарение жидкого продукта без использования испарителя и термостата (или термостата) при проведении анализа, как указано в
п. п. 4.4,
4.5 и
4.6.
Далее установку собирают в соответствии с указаниями для каждого метода анализа.
Перед сборкой тройник, игольчатые вентили, испаритель промывают ацетоном
(ГОСТ 2603) или четыреххлористым углеродом
(ГОСТ 20288) и высушивают азотом или воздухом массовой концентрации водяных паров не более 0,007 г/м3 при нормальных условиях в течение 5 - 10 мин. Методика осушки азота или воздуха приведена в
Приложении 1.
Все соединительные линии установки должны быть проверены на отсутствие утечки хлора с помощью ваты, смоченной водным аммиаком
(ГОСТ 9) или раствором йодистого калия с массовой долей 30% (готовят по
ГОСТ 4517).
При определении массовой доли воды, треххлористого азота и нелетучего остатка колбы для поглощения анализируемой пробы продукта охлаждают (водой со льдом или снегом) для предотвращения потери массы содержимого колбы.
4.4. Определение объемной доли хлора
Метод основан на измерении объема примесей в испаренном продукте, оставшихся после поглощения хлора раствором роданистого калия или тиосульфата натрия. Объемную долю хлора (в процентах) рассчитывают, вычитая из 100% объемную долю непоглощенных примесей.
4.4.1. Аппаратура, реактивы, растворы
Прибор для определения объема примесей в хлоре
(черт. 1). Цена деления бюретки 0,1 см3
(черт. 1а) и 0,2 см3
(черт. 1б), основные погрешности - не более +/- 0,1 см3 и 0,2 см3 соответственно.
1 - склянка со шлифом; 2 - кран; 3, 7, 9 - отростки крана 8;
4 - бюретка со шлифом (А - цена деления - 0,1 см3, Б - цена
деления - 0,2 см3); 5 - отросток бюретки; 6 - кран
бюретки; 8 - трехходовой кран
Весы лабораторные по ГОСТ 24104 4-го класса точности с наибольшим пределом взвешивания 500 г.
Термостат водяной, обеспечивающий температуру в пределах 15 - 40 °C.
Термометр ртутный лабораторный по ТУ 25-2021.003.
Термометр стеклянный ртутный электроконтактный по
ГОСТ 9871 с диапазоном измерений температур от 0 до 100 °C.
Секундомер по ТУ 25-1819.0021 и ТУ 25-1894.003.
Реометр стеклянный лабораторный капиллярный по
ГОСТ 9932, заполненный жидкостью М-1 по ОСТ 95.419 и отградуированный по хлору, азоту или воздуху на объемный расход (0,4 +/- 0,1) дм3/мин, или расходомер.
Цилиндр по
ГОСТ 1770 вместимостью 500 или 1000 см3.
Склянки для промывания газов по
ГОСТ 25336 любого типа.
Колба коническая типа Кн по
ГОСТ 25336 вместимостью 3000 см3.
Азот газообразный по
ГОСТ 9293 или воздух массовой концентрации водяных паров не более 0,007 г/м3 при нормальных условиях.
Натрий серноватистокислый (тиосульфат натрия) по
ГОСТ 27068.
Натр едкий технический по
ГОСТ 2263 или натр едкий очищенный по
ГОСТ 11078, раствор массовой концентрации 200 - 250 г/дм3.
Раствор для поглощения хлора готовят следующим образом: в 1 дм3 воды растворяют 25 г роданистого калия и 270 г хлористого натрия или в 1 дм3 воды растворяют 100 г тиосульфата натрия и 270 г хлористого натрия.
4.4.2. Подготовка к анализу
Для определения объемной доли хлора собирают установку, учитывая требования
п. 4.3. В качестве испарителя применяют змеевик, выполненный из коррозионностойкой стальной трубы по
ГОСТ 9941 диаметром 8 мм, диаметр витка - 60 мм, количество витков - два, высота испарителя - около 150 мм.
В склянку со шлифом 1
(черт. 1) наливают 90 см3 раствора для поглощения хлора, открывают кран 2 и тем же раствором путем засасывания его через отростки 5 и 7 заполняют бюретку и отросток 3. Раствор в склянке со шлифом 1 должен оставаться выше нижнего конца бюретки.
Затем прибор взвешивают. Результат взвешивания записывают в граммах с двумя десятичными знаками.
После этого к испарителю присоединяют реометр, склянку для промывания газов и трехходовой кран. Один отвод трехходового крана соединяют с линией сброса, другой - с отростком 7. Отросток 9 через склянку для промывания газов также соединяют с линией сброса.
4.4.3. Проведение анализа
После сборки установки продувают соединительные трубки испаренным анализируемым продуктом.
Для этого трехходовой кран ставят на соединение с отростками 7 и 9 и пропускают хлор в течение 2 - 3 мин при объемном расходе (0,4 +/- 0,1) дм3/мин в линию сброса.
После продувки поворачивают кран 8 на соединение с прибором, регулируя подачу испаренного продукта так, чтобы он поступал в бюретку отдельными пузырьками, примерно 1 пузырек в секунду.
Когда уровень жидкости в бюретке опустится до 15 - 20 см3, краном 8 переключают хлор на выпуск через отросток 9 в линию сброса и закрывают игольчатый вентиль.
Закрыв кран 2, осторожно встряхивают прибор до полного поглощения хлора. Полноту поглощения хлора определяют по прекращению подъема жидкости в бюретке при открытом кране 2.
Операцию пропускания газа через прибор повторяют несколько раз до тех пор, пока объем непоглощенных примесей в бюретке не достигнет 1,5 - 4,0 см3.
Затем отсчитывают объем примесей

, собранных в бюретке, прибор отсоединяют, взвешивают, результат взвешивания записывают в граммах с двумя десятичными знаками.
Допускается минимальный объем непоглощенных примесей 0,8 см3 при использовании бюретки с ценой деления 0,1 см3 (А,
черт. 1).
В случае разногласий в оценке качества продукта этот объем для обеих бюреток должен быть не менее 1,5 см3.
4.4.4. Обработка результатов
Объем анализируемой пробы в пересчете на хлор (V), см3, вычисляют по формуле
где

- масса прибора до поглощения пробы, г;

- масса прибора после поглощения пробы, г;

- плотность хлора при температуре 0 °C и давлении 101,3 кПа (760 мм рт. ст.), г/см3;
t - температура окружающей среды, °C.
Объемную долю хлора (X) в процентах вычисляют по формуле
где

- объем непоглощенных примесей, см3.
За результат анализа принимают среднее арифметическое результатов двух параллельных определений, абсолютное расхождение между которыми не превышает допускаемое расхождение, равное 0,05%, при доверительной вероятности P = 0,95.
Допускаемая абсолютная суммарная погрешность результата определения +/- 0,05% для продукта высшего сорта и +/- 0,09% для продукта первого сорта при доверительной вероятности P = 0,95.
Допускается определение объемной доли хлора в соответствии с методикой международного стандарта ИСО 2120, приведенной в
Приложении 3.
4.5. Определение массовой доли воды
Метод основан на абсорбции воды при пропускании испаренной пробы жидкого продукта через поглотители, содержащие ангидрон, и определении массы поглощенной воды взвешиванием.
4.5.1. Аппаратура, реактивы, растворы
Реометр стеклянный лабораторный капиллярный по
ГОСТ 9932, заполненный жидкостью М-1 по ОСТ 95.419 и отградуированный по хлору, азоту или воздуху на объемный расход (0,4 +/- 0,1) дм3/мин, или расходомер.
Термостат водяной, обеспечивающий температуру в пределах 15 - 80 °C.
Термометр стеклянный ртутный электроконтактный по
ГОСТ 9871 с диапазоном измерений температур от 0 до 100 °C.
Секундомер по ТУ 25-1819.0021 и ТУ 25-1894.003.
Цилиндр по
ГОСТ 1770 вместимостью 500 или 1000 см3.
Трубки соединительные хлоркальциевые типа TX-U по
ГОСТ 25336 исполнения 3 высотой 100 или 150 мм (поглотительные трубки).
Колбы конические типа Кн по
ГОСТ 25336 вместимостью 3000 см3.
Весы лабораторные по ГОСТ 24104 2-го и 4-го классов точности с наибольшими пределами взвешивания 200 г и 5 кг соответственно.
Фильтр газовый стеклянный типа ФГ-32 класса ПОР-40 по
ГОСТ 25336.
Волокно стеклянное супертонкое.
Смазка УПИ по ОСТ 95.419.
Азот газообразный по
ГОСТ 9293 или воздух массовой концентрации водяных паров не более 0,007 г/м3 при нормальных условиях.
Магний хлорнокислый (ангидрон) среднегранулированный с массовой долей воды не более 16% (определение по
Приложению 2); для работы используют гранулы размером 3 - 5 мм; препарат изолируют от воздействия атмосферной влаги.
Натр едкий технический по
ГОСТ 2263 или натр едкий очищенный по
ГОСТ 11078, раствор массовой концентрации 200 - 250 г/дм3.
4.5.2. Подготовка к анализу
Для определения массовой доли воды собирают установку, учитывая требования
п. 4.3.
При этом используют испаритель, описанный в
п. 4.4.2.
Испаритель через трехходовой кран (другой отвод которого соединяют с линией сброса), газовый фильтр и склянку для промывания газов соединяют с тремя поглотителями. Поглотители соединяют между собой последовательно встык соединительными трубками наименьшей длины. К последнему поглотителю подсоединяют реометр, склянку для промывания газов и через трехходовой кран (другой отвод которого соединяют с линией сброса) колбу с раствором едкого натра для поглощения анализируемой пробы продукта.
Поглотительные трубки, используемые для анализа впервые, моют водой, ацетоном, сушат азотом (воздухом), после чего заполняют на 2/3 высоты ангидроном. Заполнение поглотительных трубок ангидроном следует проводить в сухой камере любой конструкции (боксе), изолированной от воздействия атмосферной влаги. В выходное колено поглотителей помещают тампон из стекловолокна. Краны поглотителей смазывают смазкой УПИ и закрепляют с помощью резинового кольца.
Допускается заполнение ангидроном поглотительных трубок любым другим способом, гарантирующим содержание воды в ангидроне, находящемся в трубках, не более 16%.
При работе с ангидроном необходимо во избежание взрыва не допускать его контакта с органическими веществами, минеральными кислотами и аммонийными солями.
Если ангидрон используют впервые, его необходимо обработать хлором. Для этого испаритель соединяют через трехходовой кран с линией сброса, обеспечивая равномерное поступление газообразного продукта. Затем испаритель через трехходовой кран соединяют последовательно с газовым фильтром, склянкой для промывания газов, тремя поглотителями, реометром и через трехходовой кран с линией сброса. Пропускают испаренный продукт в течение 2 ч с объемным расходом (0,4 +/- 0,1) дм3/мин.
Затем через эту систему пропускают азот или воздух с объемным расходом (0,4 +/- 0,1) дм3/мин в течение 20 мин.
По окончании продувки закрывают краны поглотителей, разъединяют их, вытирают чистой фланелевой салфеткой, слегка смоченной ацетоном, выдерживают 10 - 15 мин в эксикаторе и взвешивают. Результат взвешивания записывают в граммах с четырьмя десятичными знаками. Взвешивание проводят с тарированием, используя для этого пустую U-образную закрытую трубку. С пустой трубкой, используемой для тарирования, проводят аналогичные процедуры (протирка, выдерживание в эксикаторе). Допускается способ взвешивания без тарирования.
В колбу для поглощения анализируемой пробы продукта наливают 2 дм3 раствора едкого натра, закрывают пробкой и взвешивают. Результат взвешивания в граммах записывают в целых числах. Колбу соединяют через трехходовой кран со склянкой для промывания газов и реометр с поглотителями.
4.5.3. Проведение анализа
Открывают игольчатый вентиль для отбора пробы и пропускают испаренный продукт через поглотители в колбу для поглощения анализируемой пробы в течение 2 ч.
Затем переключают трехходовой кран после испарителя на линию сброса.
Закрывают игольчатый вентиль, отсоединяют колбу для поглощения анализируемой пробы, закрывают ее пробкой и взвешивают. Результат взвешивания в граммах записывают в целых числах. Затем через поглотители пропускают азот (воздух) в линию сброса в течение 20 мин с объемным расходом (0,4 +/- 0,1) дм3/мин.
По окончании продувки закрывают краны поглотителей, разъединяют их, вытирают фланелевой салфеткой, смоченной ацетоном, выдерживают в эксикаторе 10 - 15 мин и взвешивают тем же способом, что в
п. 4.5.2. Результат взвешивания в граммах записывают с четырьмя десятичными знаками.
Если после проведения последующих анализов масса вещества, поглощенного во втором поглотителе, на 20% больше массы вещества, поглощенного в первом поглотителе, следует первый поглотитель заполнить свежим ангидроном. Наличие третьего поглотителя дает возможность установить (таким же образом) момент, когда следует заменить содержимое второго поглотителя. Третий поглотитель служит в качестве дополнительного контрольного сосуда.
При проведении последующих анализов поглотители подсоединяют к системе в одной и той же последовательности по отношению к точке отбора хлора.
4.5.4. Обработка результатов
Массовую долю воды

в процентах вычисляют по формуле
где

и

- масса воды, поглощенная ангидроном соответственно в первом и втором поглотителях, г;
m - масса поглощенной пробы продукта, г.
За результат анализа принимают среднее арифметическое результатов двух параллельных определений, абсолютное расхождение между которыми не превышает допускаемое расхождение, равное 0,005% для продукта высшего сорта и 0,01% для продукта первого сорта, при доверительной вероятности P = 0,95.
Допускаемая абсолютная суммарная погрешность результата определения +/- 0,0035% для продукта высшего сорта и +/- 0,007% для продукта первого сорта при доверительной вероятности P = 0,95.
Допускается проводить определение массовой доли воды в соответствии с методикой международного стандарта ИСО 2121, приведенной в
Приложении 4.
4.6. Определение массовой доли треххлористого азота
Метод основан на разложении треххлористого азота в испаренном продукте соляной кислотой с последующим выделением аммиака из щелочного раствора дистилляцией и колориметрическим определением с реактивом Несслера.
4.6.1. Аппаратура, реактивы, растворы
Фотоэлектроколориметр или спектрофотометр.
Реометр стеклянный лабораторный капиллярный по
ГОСТ 9932, заполненный жидкостью М-1 по ОСТ 95.419 и отградуированный по хлору, азоту или воздуху на объемный расход 0,2 дм3/мин, или расходомер.
Весы лабораторные по ГОСТ 24104 2-го и 4-го классов точности с наибольшими пределами взвешивания 200 г и 1 кг соответственно.
Термостат водяной, обеспечивающий температуру в пределах 15 - 40 °C.
Склянки для промывания газов типа СН по
ГОСТ 25336 исполнения 2 вместимостью 100 см3.
Колбы типа Кн по
ГОСТ 25336 исполнения 1 вместимостью 500 см3 и исполнения 2 вместимостью 2000 см3.
Колба типа П по
ГОСТ 25336 исполнения 2 вместимостью 500 см3.
Колбы по
ГОСТ 1770 исполнения 2 вместимостью 50 и 100 см3.
Цилиндры по
ГОСТ 1770 исполнения 1 или 3 вместимостью 50, 100 и 250 см3, исполнения 3 вместимостью 25 см3.
Пипетки вместимостью 1, 5 и 25 см3.
Кислота соляная по
ГОСТ 14261 концентрированная, ос.ч. и раствор молярной концентрации 0,1 моль/дм3.
Натр едкий технический по
ГОСТ 2263 или натр едкий очищенный по
ГОСТ 11078, раствор массовой концентрации 200 - 250 г/дм3.
Натрия гидроокись по
ГОСТ 4328, раствор с массовой долей 40%, не содержащий аммония, готовят по
ГОСТ 4517 и раствор молярной концентрации 0,1 моль/дм3.
Аммоний хлористый по
ГОСТ 3773, раствор, содержащий аммоний массовой концентрации 1 мг/см3, готовят по
ГОСТ 4212 и раствор, содержащий аммоний массовой концентрации 0,1 мг/см3, готовят соответствующим разбавлением основного раствора.
Калия-натрия тартрат (калий-натрий виннокислый 4-водный), раствор с массовой долей 20%, готовят по
ГОСТ 4517.
Азот газообразный по
ГОСТ 9293 или воздух массовой концентрации водяных паров не более 0,007 г/м3 при нормальных условиях.
4.6.2. Установка для отделения аммиака дистилляцией
(черт. 2)
Установка для дистилляции
1 - колба; 2 - каплеуловитель; 3 - холодильник;
4 - мензурка
Перед началом работы установку для дистилляции очищают водяным паром, для чего в колбе кипятят воду до исчезновения в дистилляте следов солей аммония (проба с реактивом Несслера).
Все резиновые детали (трубки, пробки) установки для отделения аммиака дистилляцией кипятят в воде с добавлением углекислого натрия (5 г на 0,5 дм3 воды), после чего промывают водой.
Определение аммония необходимо проводить в комнате, изолированной от помещений, в которых работают с аммиаком и аммонийными солями.
4.6.2.1. Построение градуировочного графика
Для приготовления растворов сравнения в колбы вместимостью 500 см3 наливают 200 см3 воды и пипеткой вводят 0,8; 1,6; 2,4; 3,2; 4,0 см3 раствора, содержащего аммоний массовой концентрации 0,1 мг/см3, что соответствует содержанию аммония 0,08; 0,16; 0,24; 0,32; 0,40 мг.
Одновременно готовят контрольный раствор, не содержащий аммония.
В каждую колбу пипеткой прибавляют по 5 см3 раствора гидроокиси натрия с массовой долей 40%, перемешивают и быстро присоединяют к установке для дистилляции аммиака. В мензурки-приемники дистиллята прибавляют пипетками по 5 см3 воды и 5 см3 раствора соляной кислоты молярной концентрации 0,1 моль/дм3 и опускают в жидкость стеклянные отводные трубки холодильников.
Содержимое колб нагревают до кипения и из каждой отгоняют (70 +/- 5) см3 раствора.
По окончании отгонки растворы из мензурки переносят в мерные колбы вместимостью 100 см3, доводят объем водой до метки и тщательно перемешивают. Затем пипеткой отбирают по 25 см3 раствора из каждой колбы и переносят в мерные колбы вместимостью 50 см3, прибавляют пипеткой по 1 см3 раствора виннокислого калия-натрия, по 1 см3 раствора гидроокиси натрия молярной концентрации 0,1 моль/дм3 и по 1 см3 реактива Несслера. Объем раствора в колбе доводят водой до метки, перемешивают и через 20 мин измеряют оптическую плотность по отношению к воде в кюветах с толщиной поглощающего свет слоя 50 мм в диапазоне 400 - 450 нм.
Из оптической плотности растворов сравнения вычитают оптическую плотность контрольного раствора и по полученным данным строят градуировочный график зависимости оптической плотности раствора от концентрации аммония, откладывая по оси абсцисс концентрацию аммония, а по оси ординат - соответствующую им оптическую плотность растворов в масштабе: 0,08 мг - 4 см, 0,05 единиц оптической плотности - 1 см.
4.6.2.2. Подготовка к отбору пробы продукта
Для определения массовой доли треххлористого азота собирают установку, учитывая требования
п. 4.3. При этом используют испаритель, описанный в
п. 4.4.2.
Испаритель присоединяют к реометру, затем к трехходовому крану (другой отвод которого соединяют с линией сброса), последовательно к трем склянкам с насадками, двухходовому крану и двум колбам для поглощения анализируемой пробы продукта. В склянки с насадками наливают по 50 см3 концентрированной соляной кислоты.
В колбы для поглощения анализируемой пробы продукта (исполнения 1 вместимостью 500 см3) наливают по 0,4 дм3 раствора едкого натра массовой концентрации 200 - 250 г/дм3, закрывают пробками и взвешивают. Результат взвешивания записывают в граммах с двумя десятичными знаками.
4.6.3. Проведение анализа
Открывают игольчатый вентиль для отбора анализируемой пробы продукта и пропускают испаренный продукт через всю систему в течение 1 ч с объемным расходом около 0,2 дм3/мин.
Затем трехходовой кран переключают на линию сброса, закрывают двухходовой кран и отсоединяют склянки и колбы для поглощения анализируемой пробы. Закрывают вентиль баллона, полностью открывают игольчатый вентиль до прекращения выделения газа, после чего его закрывают.
Две колбы для поглощения анализируемой пробы продукта закрывают пробками и взвешивают. Результат взвешивания в граммах записывают с двумя десятичными знаками.
Содержимое склянок переносят в плоскодонную колбу вместимостью 500 см3 и упаривают при кипячении до объема 50 см3. Одновременно в тех же условиях упаривают контрольный раствор (150 см3 концентрированной соляной кислоты).
По окончании упаривания анализируемый и контрольный растворы охлаждают до комнатной температуры, добавляют в колбы по 200 см3 воды, 35 см3 раствора гидроокиси натрия с массовой долей 40% и быстро присоединяют к установкам для дистилляции аммиака.
Далее анализ проводят, как при построении градуировочного графика. Массу аммония в миллиграммах определяют, пользуясь градуировочным графиком.
4.6.4. Обработка результатов
Массовую долю треххлористого азота

в процентах вычисляют по формуле
где

- масса аммония, найденная по градуировочному графику, мг;
m - масса поглощенной пробы продукта, г;
6,675 - коэффициент пересчета аммония на треххлористый азот.
За результат анализа принимают среднее арифметическое результатов двух параллельных определений, абсолютное расхождение между которыми не превышает допускаемое расхождение, равное 0,0005%, при доверительной вероятности P = 0,95.
Допускаемая абсолютная суммарная погрешность результата определения +/- 0,00035% для продукта высшего сорта и +/- 0,0004% для продукта 1-го сорта при доверительной вероятности P = 0,95.
4.7. Определение массовой доли нелетучего остатка
Метод основан на испарении анализируемой пробы жидкого продукта и поглощения его раствором едкого натра. Массу нелетучего остатка определяют взвешиванием.
4.7.1. Аппаратура, реактивы, растворы
Весы лабораторные по ГОСТ 24104 2-го и 4-го классов точности с наибольшими пределами взвешивания 200 г и 1 кг соответственно.
Термометр ртутный лабораторный по ТУ 25-2021.003 с диапазоном измерений температуры от минус 30 до плюс 25 °C.
Цилиндры по
ГОСТ 1770 вместимостью 50 и 500 см3.
Колбы типа Кн по
ГОСТ 25336 исполнения 1 вместимостью 100 и 500 см3 с взаимозаменяемым конусом 29/32.
Насадка от склянки для промывания газов типа СН по
ГОСТ 25336 исполнения 1 с взаимозаменяемым конусом 29/32.
Трубку насадки обрезают таким образом, чтобы ее нижний конец для колбы вместимостью 100 см3 выступал над верхней риской, отмечающей объем 55 см3, на 1,5 - 2,0 см, а для колбы вместимостью 500 см3 ее нижний конец не доставал дна колбы 1,5 - 2,0 см.
Азот газообразный по
ГОСТ 9293 или воздух массовой концентрации водяных паров не более 0,007 г/м3 при нормальных условиях.
Натр едкий технический по
ГОСТ 2263 или натр едкий очищенный по
ГОСТ 11078, раствор массовой концентрации 200 - 250 г/дм3.
4.7.2. Подготовка к анализу
При определении массовой доли нелетучего остатка собирают установку, учитывая требования
п. 4.3.
В качестве испарителя и колбы для промывания линии отбора используют коническую колбу вместимостью 100 см3 с взаимозаменяемым конусом 29/32, снабженную насадкой с обрезанной трубкой, с нанесенными рисками, соответствующими объемам 45 и 55 см3.
Для нанесения рисок в цилиндр вместимостью 50 см3 наливают 45 см3 воды комнатной температуры, переливают ее в коническую колбу вместимостью 100 см3 и наносят риску. В тот же цилиндр наливают 10 см3 воды, переливают в ту же колбу и наносят вторую риску.
Тройник и игольчатый вентиль промывают 45 - 55 см3 жидкого продукта. Для этого игольчатый вентиль соединяют встык через насадку с колбой для промывания линии отбора и линией сброса.
Чистую сухую колбу-испаритель продувают азотом (воздухом), закрывают стеклянной пробкой и взвешивают. Результат взвешивания записывают в граммах с четырьмя десятичными знаками. Колбу-испаритель помещают в термостат с охлаждающей смесью, обеспечивающей температуру не выше минус 20 °C.
В две конические колбы вместимостью 500 см3 наливают по 400 см3 раствора едкого натра, закрывают стеклянными пробками и взвешивают. Результаты взвешивания записывают в граммах с двумя десятичными знаками.
4.7.3. Проведение анализа
К игольчатому вентилю через насадку присоединяют колбу-испаритель и последовательно три конические колбы вместимостью 500 см3. Первая колба по ходу тока газа - пустая, две следующие - с раствором едкого натра.
Открывают игольчатый вентиль для отбора пробы жидкого продукта и в колбу-испаритель наливают 45 - 55 см3 жидкого продукта. Закрывают вентиль баллона, снимают охлаждение колбы-испарителя и испаряют пробу продукта в свободном режиме, поглощая его в двух колбах с раствором едкого натра.
После окончания испарения пробы продукта закрывают вентиль баллона, открывают игольчатый вентиль для подачи азота (воздуха) и продувают установку до исчезновения хлора в колбе-испарителе и пустой колбе. После окончания продувки разбирают установку. Колбу-испаритель отсоединяют, закрывают стеклянной пробкой, вытирают досуха снаружи фильтровальной бумагой, выдерживают в эксикаторе 10 мин и взвешивают. Результат взвешивания записывают в граммах с четырьмя десятичными знаками.
Колбы с раствором едкого натра закрывают стеклянными пробками, вытирают снаружи фильтровальной бумагой, охлаждают до комнатной температуры и взвешивают. Результаты взвешивания записывают в граммах с двумя десятичными знаками.
4.7.4. Обработка результатов
Массовую долю нелетучего остатка

в процентах вычисляют по формуле
где m - масса поглощенной пробы продукта, г;

- масса остатка после испарения пробы жидкого продукта, г.
За результат анализа принимают среднее арифметическое результатов двух параллельных определений, абсолютное расхождение между которыми не превышает допускаемое расхождение, равное 0,005% для продукта высшего сорта и 0,01% для продукта первого сорта при доверительной вероятности P = 0,95.
Допускаемая абсолютная суммарная погрешность результата определения +/- 0,004% для продукта высшего сорта и +/- 0,007% для продукта первого сорта при доверительной вероятности P = 0,95.
5. ТРАНСПОРТИРОВАНИЕ И ХРАНЕНИЕ
5.1. Жидкий хлор транспортируют в специальных цистернах грузоотправителя (грузополучателя), рассчитанных на давление и оборудованных теневым кожухом.
На 1 дм3 вместимости цистерны допускается наполнение не более 1,25 кг жидкого хлора.
5.2. Подготовку цистерн к наполнению жидким хлором и наполнение проводят в соответствии с правилами устройства и безопасной эксплуатации сосудов, работающих под давлением, утвержденными Госгортехнадзором и Правилами безопасности для производства, хранения и транспортировки хлора
ПБХ-83.
5.3. Жидкий хлор в баллонах и контейнерах транспортируют железнодорожным, водным и автомобильным транспортом в соответствии с правилами перевозки грузов, действующими на данном виде транспорта.
Железнодорожным транспортом баллоны с хлором транспортируют в крытых вагонах повагонными отправками и в универсальных контейнерах. Универсальные и специализированные контейнеры с жидким хлором должны перевозиться на открытом подвижном составе в соответствии с условиями погрузки и крепления грузов, действующими на железнодорожном транспорте.
5.4. При транспортировании баллоны малого объема с хлором должны быть упакованы в деревянные ящики по
ГОСТ 15623 типа II-1 или по ГОСТ 18617 типа II-1 или III-1 и III-2. Масса груза в каждом ящике не должна превышать 65 кг.
Ящики в количестве двух и более грузовых мест по железной дороге транспортируют пакетами на поддонах по
ГОСТ 9557. Формирование пакетов на плоских поддонах - по
ГОСТ 26663, габаритные размеры - по
ГОСТ 24597, средства скрепления - по
ГОСТ 21650.
Речным транспортом баллоны с жидким хлором транспортируют с сопровождающим грузовладельца.
5.5. Специализированные контейнеры и баллоны с жидким хлором хранят в соответствии с правилами устройства и безопасной эксплуатации сосудов, работающих под давлением, утвержденными Госгортехнадзором, и Правилами безопасности для производства, хранения и транспортировки хлора
ПБХ-83.
Не допускается совместное хранение баллонов и контейнеров с жидким хлором и органических веществ, порошков металлов, горючих жидкостей и газов.
6.1. Изготовитель гарантирует соответствие жидкого хлора требованиям настоящего стандарта при соблюдении условий транспортирования и хранения.
6.2. Гарантийный срок хранения - 1 год со дня изготовления.
Обязательное
МЕТОДИКА СУШКИ ГАЗООБРАЗНОГО АЗОТА ИЛИ ВОЗДУХА
1. Для сушки азота или воздуха до массовой концентрации водяных паров не более 0,007 г/м3 при нормальных условиях используют систему склянок для промывания газов типа СПТ по
ГОСТ 25336 и U-образных хлоркальциевых трубок по
ГОСТ 25336, заполненных ангидроном или цеолитом, прокаленным при температуре 400 - 500 °C в течение 4 ч.
2. Массовую концентрацию водяных паров в азоте или воздухе определяют с помощью кулонометрического измерителя микроконцентрации влаги в газах типа "Байкал" и "Сибирь".
Обязательное
МЕТОДИКА ОПРЕДЕЛЕНИЯ МАССОВОЙ ДОЛИ ВОДЫ В АНГИДРОНЕ
Массовую долю воды в ангидроне определяют по
ГОСТ 14870 с реактивом Фишера или методом, основанным на измерении теплоты растворения.
Метод, основанный на измерении теплоты растворения
1. Аппаратура
Сосуд Дьюара внутренним диаметром 60 мм и высотой 100 мм, снабженный пробкой с отверстием для термометра.
Термометр ртутный лабораторный по ТУ 25-2021.003 с ценой деления 1 °C.
Цилиндр из фильтровальной бумаги диаметром 40 мм и высотой 75 мм, изготовленный из листа размером 150 x 100 мм, навернутого на форму соответствующего размера.
2. Проведение анализа
В сосуд Дьюара наливают 75 см3 дистиллированной воды, закрывают пробкой с термометром и по достижении равновесия измеряют температуру воды

°C.
20,0 или 10,0 г ангидрона взвешивают в цилиндре из фильтровальной бумаги, записывая результат взвешивания в граммах с одним десятичным знаком. Цилиндр с навеской помещают в сосуд Дьюара с водой, закрывают его пробкой и растворяют навеску.
По достижении равновесия измеряют температуру раствора

°C.
3. Обработка результатов
По разности температур

, пользуясь графиком
(черт. 3), находят массовую долю воды в ангидроне. При этом имеют в виду, что массе навески ангидрона 20,0 г на оси ординат соответствуют разности температур от 16 до 40 °C, а массе навески 10,0 г - от 8 до 18 °C.
Зависимость изменения температуры от массовой доли воды
в ангидроне
Обязательное
ХЛОР ЖИДКИЙ ТЕХНИЧЕСКИЙ. ОБЪЕМНЫЙ МЕТОД ОПРЕДЕЛЕНИЯ
СОДЕРЖАНИЯ ХЛОРА В ВЫПАРЕННОМ ПРОДУКТЕ
ИСО 2120-72
1. НАЗНАЧЕНИЕ И ОБЛАСТЬ ПРИМЕНЕНИЯ
Настоящий стандарт устанавливает метод определения содержания хлора (по объему) в жидком техническом хлоре после выпаривания продукта.
От хлора отбирают образцы, полученные газификацией жидкого хлора, объемом около 100 мл. Затем абсорбируют хлор 2%-ной жидкой цинковой амальгамой в присутствии 1 мл насыщенного раствора хлористого натрия.
Измеряют объем остаточных неконденсирующихся газов таких как,

,

,

, CO,

и т.д. Затем рассчитывают объем хлора на 100 мл выпаренного образца вычитанием из общего объема.
3.1. Цинковая амальгама.
Предупреждение. При транспортировании ртути и цинковой амальгамы следует соблюдать необходимые меры предосторожности, обусловленные токсичностью этих химических продуктов. Работать с этими веществами следует под хорошо вентилируемым вытяжным колпаком. Следует избегать попадания этих веществ на кожу.
В фарфоровую чашку вместимостью 1 л помещают 4 кг чистой ртути, добавляют 80 г гранулированного цинка и наливают 0,01 н. раствор серной кислоты. Смесь нагревают до 80 °C, выдерживают при этой температуре до полной амальгамации цинка, время от времени помешивая стеклянной мешалкой, и затем охлаждают. Хранят амальгаму в 0,01 н. серной кислоте во избежание ее окисления на воздухе.
3.2. Хлористый натрий, раствор, насыщенный при температуре окружающей среды.
3.3. Гидроокись натрия, 20%-ный раствор (по массе), плотностью 1,22 г/мл.
3.4. Серная кислота, приблизительно 2 н. раствор.
3.5. Метиловый спирт технический.
3.6. Консистентная смазка, стойкая к действию хлора. Используются консистентные смазки, основанные на фторированных и хлорфторированных продуктах.
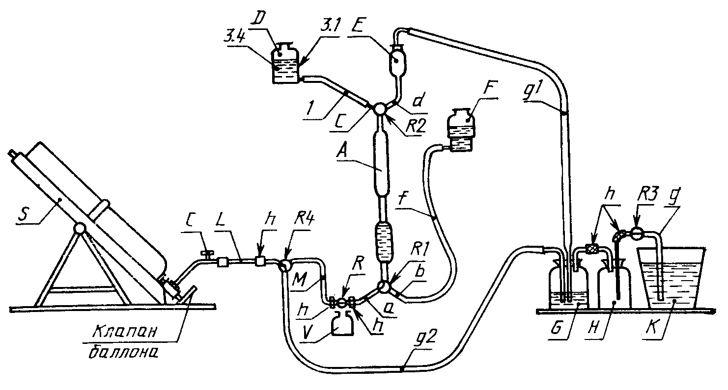
Аппарат
(черт. 4), состоящий из следующих частей:
газовой бюретки A вместимостью приблизительно 100 мл. Ее верхняя часть находится под краном и состоит из трубки диаметром 7 мм и вместимостью приблизительно 2 мл. Нижняя часть трубки отградуирована с ценой деления 0,05 мл;
стального игольчатого клапана C;
колбы D (с боковой насадкой) вместимостью 250 мл, содержащей 150 мл цинковой амальгамы;
верхнего резервуара E газовой бюретки;
склянки F для приведения уровня вместимостью 250 мл, содержащей 150 мл цинковой амальгамы;
барботера G, содержащего воду для регулирования газового потока и имеющего погруженные трубки внутренним диаметром 5 мм;
предохранительной склянки H;
приемника K вместимостью 2 л, содержащего 1 л раствора гидроокиси натрия для абсорбции избыточного хлора;
фильтра L, состоящего из стальной резьбовой трубки внутренним диаметром около 6 мм и длиной 150 мм, заполненного стекловатой;
стеклянной трубки M внутренним диаметром 6 мм;
Т-образного крана R;
трех U-образных кранов R1, R2 и R4;
прямоугольного крана R3;
наклонной подставки S для склянки с хлором;
сосуда для стока жидкости V;
соединительных частей a, b, c, d;
резиновой трубки f;
трубок из эластомера g,

,

, стойких к воздействию хлора;
соединительных частей из эластомера h, стойких к воздействию хлора.
Схематическое изображение аппарата для определения
содержания хлора по объему
Меры предосторожности. Для персонала, работающего с хлором, должен быть проведен инструктаж об опасности работы с данным продуктом. Следует соблюдать соответствующие меры предосторожности.
Хлор - это газ нарывного, раздражающего и удушающего действия. Концентрация хлора в атмосфере не должна превышать

(по объему) или 3 мг/м3.
В связи с этим рекомендуется носить защитную одежду и защитные очки, хорошо проветривать рабочее помещение, учитывая, что этот газ тяжелее воздуха и концентрируется в низких местах.
При значительной утечке только персонал, имеющий специальные маски, должен оставаться на зараженных участках. Утечки можно обнаружить при помощи тряпки, смоченной в аммиаке.
Лица, получившие отравление газом, должны быть немедленно удалены из зоны заражения. Они должны находиться в состоянии покоя, вдали от холодных мест, и им в случае необходимости до прибытия врача должна быть оказана первая помощь. Если дыхание пострадавшего останавливается, следует немедленно сделать искусственное дыхание.
5.1. Определение
Склянку, содержащую образец анализируемого жидкого хлора, помещают на наклонную подставку отверстием вниз так, чтобы выделяющийся хлор немедленно испарялся
(черт. 4).
После очистки и сушки отдельных частей аппарата их соединяют и покрывают краны R, R1, R2, R3 и R4 тонким слоем консистентной смазки. Краны R1, R2 и R4 закрывают. В каждую из склянок D и F помещают 150 мл амальгамы для создания одинаковых уровней амальгамы. Дают возможность амальгаме стечь в бюретку A из склянки F в направлении соединительной части b. С этой целью поворачивают кран R1, вынимают притертую пробку из контейнера E и поворачивают кран R2 для соединения этого контейнера с бюреткой.
Повторным встряхиванием (вверх и вниз) склянки F полностью удаляют воздух, который может скапливаться в трубке, расположенной между склянкой F и бюреткой A, а также в соединительной части b. Затем опускают склянку F так, что в бюретке остается небольшое количество амальгамы.
Поворачивают кран R1, соединив бюретку A с соединительной частью a, поворачивают кран R для присоединения соединительной части a к небольшому сосуду V для стока жидкости и поворачивают кран R2 с тем, чтобы дать возможность амальгаме, содержащейся в склянке D, стекать через трубку f до тех пор, пока не заполнится соединительная часть c. Затем поворачивают кран R2, соединив бюретку A с верхним контейнером E. Амальгама, оставшаяся в бюретке, в дальнейшем стекает в небольшой сосуд V (для стока жидкости) по соединительной части a и через кран R.
Быстро поворачивают кран R4, соединив соединительную часть a с бюреткой, закрывают контейнер E притертой пробкой и регулируют поворот крана R3 таким образом, чтобы предохранительная склянка H сообщалась с приемником K, содержащим раствор гидроокиси натрия. Затем поворачивают кран R4 для соединения игольчатого клапана C с барботером G через трубку

.
Открывают главный клапан на склянке, содержащей образец, осторожно открывают клапан C и пропускают анализируемый хлор в аппарат со скоростью 5 пузырьков в секунду (число которых подсчитывается при прохождении хлора через барботер G). Кран R4 поворачивают, пропуская хлор в бюретку A с той же скоростью в течение 15 мин и возвращают кран R4 в прежнее положение. Затем закрывают краны R1 и R2 бюретки A и клапан склянки, содержащей хлор, и ожидают прекращения барботирования в барботере G, после чего закрывают клапан C и кран R3. Притертую пробку вынимают из контейнера E, затем поворачивают краны R и R4, соединив трубку

и сосуд V для стока жидкости (с воздухом). В течение 10 мин ожидают, пока температура хлора, охлаждающегося за счет увеличения объема, не достигнет комнатной температуры.
В контейнер E помещают несколько миллилитров раствора хлористого натрия, затем открывают кран R2 и быстро закрывают его с тем, чтобы в течение краткого времени бюретка A и контейнер E сообщались между собой через соединительную часть d, которая дает возможность повторного установления атмосферного давления в бюретке A посредством утечки небольшого количества избыточного хлора.
Снова открывают кран R2 и наливают в бюретку около 1 мл раствора хлористого натрия, несколько уменьшая давление через соединительную часть b склянкой F, затем открывают кран R1. Раствор хлористого натрия обеспечивает растворение хлористого цинка в результате действия хлора на амальгаму. Затем поворачивают кран R2, соединив бюретку A со склянкой D, содержащей цинковую амальгаму. В то время как последняя стекает вниз в бюретку, склянку медленно поднимают с тем, чтобы вакуум, создавшийся в бюретке, не был слишком значительным.
После абсорбции хлора закрывают кран R2, оставляют открытым кран R1, помещают склянку F рядом с бюреткой A и отпускают ее для создания разности (около 20 см) уровней жидкостей в обоих сосудах для дегазирования раствора хлористого натрия. Через 3 мин медленно поднимают склянку F для создания одинаковых уровней амальгамы в обоих сосудах и определяют объем неабсорбированного газа по делениям на бюретке на уровне мениска раствора хлористого натрия.
5.2. Подготовка аппарата для выполнения следующего определения
Кран R2 поворачивают для соединения бюретки A со склянкой D и перегоняют в нее амальгаму до тех пор, пока она не достигнет первоначального уровня, подняв склянку с контейнером E через соединительную часть d, вынимают из этого контейнера стеклянную притертую пробку и пропускают остальную часть амальгамы из бюретки в склянку F, опуская последнюю. При этом следует избегать попадания воздуха в соединительную часть b. Затем поворачивают кран R1 в направлении соединительной части a, а кран R - в направлении небольшого сосуда V для стока жидкости. Бюретку очищают через контейнер E сначала раствором серной кислоты, а затем дистиллированной водой и метиловым спиртом. Затем сушат бюретку в воздушном потоке.
Содержание хлора в выпаренном образце в объемных процентах определяют по формуле
где

- вместимость бюретки A, мл;

- объем остаточного газа, мл.
Обязательное
ХЛОР ЖИДКИЙ ТЕХНИЧЕСКИЙ. ВЕСОВОЙ МЕТОД ОПРЕДЕЛЕНИЯ
СОДЕРЖАНИЯ ВОДЫ
ИСО 2121-72
Настоящий стандарт устанавливает весовой метод определения содержания "летучей воды", т.е. воды, которая улетучивается одновременно с хлором, получаемым из жидкого технического хлора.
Метод предназначен для анализа продуктов с содержанием воды более

(0,0005 %).
Примечание. Данный метод не следует применять для анализа образцов, хранящихся в сосудах, подверженных коррозии. В этом случае при определении содержания воды может появиться ошибка, обусловленная присутствием гигроскопического хлорида железа.
Абсорбция воды путем пропускания превращенного в газ образца через тарированные поглотители, содержащие фосфорный ангидрид или перхлорат магния.
Удаление газообразного хлора и летучих примесей (за исключением воды) путем продува поглотителей воздухом или сухим азотом, нагретыми до 80 °C.
Поглощение хлора, поступающего из поглотителей воды, раствором гидроокиси натрия, содержащимся в тарированном сосуде.
Взвешивание поглотителей и сосуда, содержащего раствор гидроокиси натрия, с целью определения (по разности первоначальных масс) массы обнаруженной воды и массы первоначально отобранного образца.
4.1. Абсорбент.
Выбирают один из реактивов:
4.1.1. Фосфорный ангидрид.
4.1.2. Перхлорат магния в виде таблеток или гранул размером 3 - 5 мм (во избежание потери массы материала в процессе поглощения воды). Данный реактив не должен содержать более двух молекул гидратной воды (13,9%). Реактив нельзя применять, если анализируемый хлор содержит органическое вещество.
4.2. Сухой воздух или сухой азот.
Осушение этих газов можно осуществлять путем пропускания через башню, содержащую абсорбент (п. 4.1.1 или п. 4.1.2).
4.3. Гидроокись натрия 200 г/л, приблизительно 5 н. раствор.
4.4. Йодистый крахмал, раствор, содержащий 5 г/л крахмала и 150 г/л йодистого калия.
4.5. Ацетон.
4.6. Консистентная смазка, стойкая к действию хлора. Рекомендуются смазки на основе фторированных продуктов.
На
черт. 5 приведена схема аппарата, предназначенного для определения содержания воды в хлоре. Аппарат включает следующие части:
сосуд A, содержащий 2 л раствора гидроокиси натрия для абсорбирования образца хлора;
барботер C, содержащий раствор йодистого крахмала, предназначенный для регулирования степени абсорбции хлора;
капиллярный расходомер D и дифференциальный манометр M, содержащий тетрахлорметан и обеспечивающий пропускную способность газообразного хлора 25 л/ч. Вместо этих приборов можно применять соответствующий поплавковый расходомер;
U-образная трубка E со стеклянными шлифами, наполненная минеральной шерстью, предварительно высушенной в печи при температуре 110 °C в течение 1 ч;
фильтр F, представляющий собой стальную трубку с резьбой внутренним диаметром около 6 мм, длиной 150 мм, заполненную стекловолокном;
предохранительный сосуд G;
электронагреватель H;
стеклянный затвор P, заполненный тетрахлорметаном;
трехходовой запорный кран R1;
проходной запорный кран R2;
стальной змеевик S, погруженный в резервуар с водой, нагретой до 80 °C;
три U-образные трубки (T1, T2, T3) с притертыми стеклянными пробками, содержащие фосфорный ангидрид или перхлорат магния, покрытые стекловолокном. Поглотительные трубки следует заполнять фосфорным ангидридом в потоке сухого азота, изолированном от воздействия атмосферной влаги.
Схема аппарата для определения содержания воды в хлоре
1 - трубка для хлора; 2 - сухой воздух или сухой азот;
3 - раствор гидроокиси натрия; 4 - место отбора образца
Чтобы убедиться в герметичности собранного аппарата, проводят тщательную регулировку соответствующих резьбовых соединений. Масса каждой заполненной трубки, взвешенной отдельно, не должна превышать 100 г. После каждого взвешивания трубки возвращают на прежнее место так, чтобы обеспечить пропускание газа в той же последовательности;
клапан V1;
стальной игольчатый клапан V2;
гибкие соединения из резины, стойкой к воздействию хлора.
Меры предосторожности.
Персонал, работающий с хлором, должен быть ознакомлен с токсическими свойствами хлора и правилами безопасности, которые необходимо соблюдать.
Хлор - газ нарывного, раздражающего и удушающего действия. Концентрация хлора в атмосфере не должна превышать

(по объему) или 3 мг/м3. Рекомендуется применять защитную одежду и защитные очки, тщательно проветривать рабочее помещение, имея в виду, что хлор тяжелее воздуха и накапливается в нижней части помещения.
При значительной утечке газа на зараженном участке должен оставаться лишь персонал, имеющий защитные маски. Утечку можно обнаружить при помощи тряпки, смоченной в аммиаке. Пострадавшие должны быть как можно быстрее выведены из зараженной зоны без малейшего физического напряжения с их стороны. Они должны находиться в теплом помещении в состоянии покоя. До прибытия врача им должна быть оказана первая помощь.
В случае прекращения дыхания пострадавшему делают искусственное дыхание.
6.1. Проба для анализа
В соответствии с рекомендуемой методикой аппарат, содержащий взвешенные и готовые для проведения определения поглотители, соединяют непосредственно с местом отбора проб
(черт. 6). Проба для анализа, взятая таким способом из цистерны во время ее наполнения или освобождения, является представительной для данной поставки. При необходимости (если проведение данной операции невозможно) пробы отбирают чистыми сосудами из нержавеющей стали при условии, что определение проводят немедленно. Сосуды после освобождения тщательно очищают, продувая сухим горячим азотом, и используют для дальнейшего отбора проб.
Схема отбора проб
1 - место отбора проб; 2 - клапан (V1); 3 - подающая
или выпускная труба
6.2. Предварительные операции
Перед наполнением абсорбентом U-образные трубки (T1, T2 и T3) промывают сначала водой, затем ацетоном, после чего высушивают. После наполнения поглотительные трубки закрывают пробками, смазанными небольшим количеством смазки, и помещают в аппарат.
Если абсорбент используется впервые, то подготавливают трубки, помещая их на 2 ч в поток газообразного хлора, движущегося со скоростью 25 л/ч, чтобы дать возможность некоторым примесям, содержащимся в реактиве, прореагировать с хлором. Без выполнения этой предварительной операции первоначальный результат будет превышать истинное значение.
Затем открывают краны R1 и R2, чтобы обеспечить доступ сухого воздуха или сухого азота в аппарат, и закрывают клапаны V1 и V2 для прекращения подачи хлора, продувают поглотительные трубки (10 мин со скоростью 25 л/ч) воздухом или азотом при температуре 80 °C для устранения возможных летучих примесей, за исключением воды, оставшейся в поглотительных трубках. Затем удаляют ванну с горячей водой и продолжают продувание тем же газом при комнатной температуре еще 10 мин. После этого закрывают краны R1 и R2, отсоединяют поглотительные трубки T1 и T2, протирают их тканью, слегка смоченной в ацетоне, для снятия статического электричества. Через 2 - 3 мин каждую трубку взвешивают с точностью до 0,1 мг.
В сосуд A наливают 2 л раствора гидроокиси натрия, взвешивают с точностью до 0,5 г и соединяют различные части аппарата.
6.3. Проведение определения
Поочередно открывают клапаны V1 и V2, поворачивают кран R1 так, чтобы отфильтрованный газообразный хлор поступал в направлении затвора P. Через 10 мин открывают проходной кран R2, чтобы поток хлора мог поступать в поглотительные трубки со скоростью 25 л/ч. Скорость потока хлора определяют по разности уровней n тетрахлорметана, находящегося в двух отводах дифференциального манометра M, расходомера D или по высоте шарика поплавкового расходомера. Поток хлора обеспечивают регулированием зазора (ширины проходного отверстия) клапанов и высоты h тетрахлорметана в затворе P.
В поглотители должно поступить около 100 л хлора. Точную массу поступившего хлора определяют взвешиванием сосуда A до и после определения.
В конце определения (приблизительно через 4 ч) проверяют, произошло ли полное поглощение хлора. При полном поглощении хлора раствор йодистого крахмала в барботере не должен иметь интенсивную синюю окраску. Когда обнаружено, что количество поглощенного хлора является достаточным, закрывают клапан V1, ждут прекращения потока хлора, регистрируемого манометром M, и закрывают клапан V2. Затем устанавливают запорный кран R1, чтобы обеспечить доступ сухого воздуха или сухого азота в аппарат.
Поглотительные трубки продувают 10 мин (со скоростью 25 л/ч) воздухом или азотом, нагретыми до температуры 80 °C, для устранения хлора и возможных летучих примесей, за исключением воды из хлора, остающейся в поглотительных трубках. Затем убирают ванну с горячей водой и продолжают продувание тем же газом при комнатной температуре еще 10 мин. После этого закрывают краны R1 и R2, отсоединяют поглотительные трубки T1 и T2 и протирают их тканью, слегка смоченной в ацетоне для снятия статического электричества. Через 2 - 3 мин каждую трубку взвешивают с точностью до 0,1 мг. Обычно вода полностью поглощается в трубке T1. Если увеличение массы вещества в трубке T2 на 20% больше массы вещества, поглощенной в трубке T1, следует провести повторное определение после вторичного заполнения трубки T1 и кондиционирования ее в соответствии с
п. 6.2.
Наличие трубки T3 дает возможность установить (таким же образом) момент, когда следует заменить содержимое трубки T2. Она служит в качестве дополнительного, контрольного сосуда.
Содержание воды в граммах на килограмм определяют по формуле
где

- масса взвешенной воды (разность масс вещества в поглотительных трубках T1 + T2 до и после прохождения хлора), г;

- масса пробы для анализа (разность масс вещества в сосуде A до и после определения), г.
Результаты выражают с точностью до второго десятичного знака.
МЕТОД ПРОВЕРКИ СТЕПЕНИ ГИДРАТАЦИИ ПЕРХЛОРАТА МАГНИЯ,
ИСПОЛЬЗУЕМОГО В КАЧЕСТВЕ СУШИТЕЛЯ ПРИ ОПРЕДЕЛЕНИИ
СОДЕРЖАНИЯ ВОДЫ В ХЛОРЕ
Измеряют прирост (повышение) температуры в результате растворения перхлората магния в воде и определяют соответствующее содержание воды по калибровочной кривой
(черт. 7).
Градуировочная кривая, указывающая содержание воды
в перхлорате магния в зависимости от повышения температуры,
обусловленного его растворением
2.1. Посеребренный сосуд Дьюара вместимостью 300 мл внутренним диаметром приблизительно 60 мм и высотой 100 мм.
2.2. Термометр для измерений от 0 до 100 °C с ценой деления 1 °C.
2.3. Парафинированная корковая пробка с отверстием для термометра, предназначенная для сосуда Дьюара.
2.4. Цилиндр из фильтровальной бумаги диаметром 40 мм, высотой 75 мм, открытый в верхней части. Цилиндр изготовлен из прямоугольного листа фильтровальной бумаги размером 100 x 150 мм. Нижняя кромка цилиндра отогнута внутрь, образуя основание. Форма цилиндра сохраняется при помощи липкой бумаги.
2.5. Градуированный цилиндр вместимостью 100 мл.
3.1. Проба для анализа
Непосредственно перед испытанием в цилиндр из фильтровальной бумаги отвешивают 20 г перхлората магния (с точностью до 0,1 г) и закрывают его, перегибая фильтровальную бумагу.
3.2. Проведение определения
В сосуд Дьюара наливают 75 мл дистиллированной воды. Сосуд закрывают парафинированной корковой пробкой с вставленным в нее термометром и регистрируют температуру воды (в момент достижения равновесия).
В сосуд Дьюара помещают цилиндр из фильтровальной бумаги с пробой для анализа и вынимают пробку. Сосуд встряхивают осторожным круговым движением для ускорения растворения продукта и измеряют температуру в момент достижения равновесия (через 20 - 25 с).
По графику, приведенному на
черт. 7, определяют содержимое воды в продукте (в процентах по массе) в соответствии с повышением температуры, наблюдаемым в процессе растворения.