Главная // Актуальные документы // ГОСТ (Государственный стандарт)СПРАВКА
Источник публикации
М.: Стандартинформ, 2014
Примечание к документу
Документ
введен в действие с 01.01.2015.
Взамен ГОСТ 9385-77.
Название документа
"ГОСТ 9385-2013. Межгосударственный стандарт. Этилбензол технический. Технические условия"
(введен в действие Приказом Росстандарта от 22.11.2013 N 1839-ст)
"ГОСТ 9385-2013. Межгосударственный стандарт. Этилбензол технический. Технические условия"
(введен в действие Приказом Росстандарта от 22.11.2013 N 1839-ст)
агентства по техническому
регулированию и метрологии
от 22 ноября 2013 г. N 1839-ст
МЕЖГОСУДАРСТВЕННЫЙ СТАНДАРТ
ЭТИЛБЕНЗОЛ ТЕХНИЧЕСКИЙ
ТЕХНИЧЕСКИЕ УСЛОВИЯ
Technical ethyl benzene. Specifications
ГОСТ 9385-2013
Дата введения
1 января 2015 года
Цели, основные принципы и основной порядок проведения работ по межгосударственной стандартизации установлены
ГОСТ 1.0-92 "Межгосударственная система стандартизации. Основные положения" и
ГОСТ 1.2-2009 "Межгосударственная система стандартизации. Стандарты межгосударственные, правила и рекомендации по межгосударственной стандартизации. Правила разработки, принятия, применения, обновления и отмены".
1. Разработан Федеральным государственным унитарным предприятием "Всероссийский научно-исследовательский центр стандартизации, информации и сертификации сырья, материалов и веществ" (ФГУП "ВНИЦСМВ") и ЗАО "СИБУР Холдинг".
2. Внесен Межгосударственным техническим комитетом по стандартизации МТК 527 "Химия".
3. Принят Межгосударственным советом по стандартизации, метрологии и сертификации (протокол от 18 октября 2013 г N 60-П).
За принятие проголосовали:
Краткое наименование страны по МК (ИСО 3166) 004-97 | Код страны по МК (ИСО 3166) 004-97 | Сокращенное наименование национального органа по стандартизации |
Беларусь | BY | Госстандарт Республики Беларусь |
Киргизия | KG | Кыргызстандарт |
Молдова | MD | Молдова-стандарт |
Россия | RU | Росстандарт |
Таджикистан | TJ | Таджикстандарт |
Узбекистан | UZ | Узстандарт |
4.
Приказом Федерального агентства по техническому регулированию и метрологии от 22 ноября 2013 г. N 1839-ст межгосударственный стандарт ГОСТ 9385-2013 введен в действие в качестве национального стандарта Российской Федерации с 1 января 2015 г.
5. Взамен ГОСТ 9385-77.
Информация об изменениях к настоящему стандарту публикуется в ежегодном информационном указателе "Национальные стандарты", а текст изменений и поправок - в ежемесячном информационном указателе "Национальные стандарты". В случае пересмотра (замены) или отмены настоящего стандарта соответствующее уведомление будет опубликовано в ежемесячном информационном указателе "Национальные стандарты". Соответствующая информация, уведомление и тексты размещаются также в информационной системе общего пользования - на официальном сайте Федерального агентства по техническому регулированию и метрологии в сети Интернет.
Настоящий стандарт распространяется на технический этилбензол, получаемый при алкилировании бензола этиленом или этиленовой фракцией, предназначенный для синтеза стирола и окиси пропилена.
Формулы:
- эмпирическая:

- структурная:
Относительная молекулярная масса (по международным атомным массам 2011 г.) - 106,16 <*>.
--------------------------------
<*> В перечне международных атомных масс 2011 г., принятых Международным союзом теоретической и прикладной химии (IUPAC), атомные массы некоторых элементов указаны в виде интервалов. Для упрощения при расчете молекулярной атомной массы соединения были использованы средние значения из приведенных интервалов.
В настоящем стандарте использованы нормативные ссылки на следующие межгосударственные стандарты:
ГОСТ 12.1.005-88 Система стандартов безопасности труда. Общие санитарно-гигиенические требования к воздуху рабочей зоны
ГОСТ 12.1.007-76 Система стандартов безопасности труда. Вредные вещества. Классификация и общие требования безопасности
ГОСТ 12.1.011-78 Система стандартов безопасности труда. Смеси взрывоопасные. Классификация и методы испытаний
<**>
ГОСТ 12.1.018-93 Система стандартов безопасности труда. Пожаровзрывобезопасность статического электричества. Общие требования
ГОСТ 12.4.021-75 Система стандартов безопасности труда. Системы вентиляционные. Общие требования
ГОСТ 12.4.121-83 Система стандартов безопасности труда. Противогазы промышленные фильтрующие. Технические условия
ГОСТ 17.2.3.02-78 Охрана природы. Атмосфера. Правила установления допустимых выбросов вредных веществ промышленными предприятиями
ГОСТ 1277-75 Реактивы. Серебро азотнокислое. Технические условия
ГОСТ 1770-74 (ИСО 1042-83, ИСО 4788-80) Посуда мерная лабораторная стеклянная. Цилиндры, мензурки, колбы, пробирки. Общие технические условия
ГОСТ 3273-75 Натрий металлический технический. Технические условия
ГОСТ 4139-75 Реактивы. Калий роданистый. Технические условия
ГОСТ 4212-76 Реактивы. Методы приготовления растворов для колориметрического и нефелометрического анализа
ГОСТ 4233-77 Реактивы. Натрий хлористый. Технические условия
ГОСТ 4328-77 Реактивы. Натрия гидроокись. Технические условия
ГОСТ 4520-78 Реактивы. Ртуть (II) азотнокислая 1-водная. Технические условия
ГОСТ 4919.1-77 Реактивы и особо чистые вещества. Методы приготовления растворов-индикаторов
ГОСТ 6563-75 Изделия технические из благородных металлов и сплавов. Технические условия
ГОСТ 9147-80 Посуда и оборудование лабораторные фарфоровые. Технические условия
ГОСТ 9293-74 (ИСО 2435-73) Азот газообразный и жидкий. Технические условия
ГОСТ 10555-75 Реактивы и особо чистые вещества. Колориметрические методы определения содержания примеси железа
ГОСТ 12026-76 Бумага фильтровальная лабораторная. Технические условия
ГОСТ 13380-81 Нефтепродукты. Метод определения микропримесей серы
ГОСТ 14296-78 Смазка ВНИИ НП-279. Технические условия
ГОСТ 18300-87 Спирт этиловый ректификованный технический. Технические условия
ГОСТ 25336-82 Посуда и оборудование лабораторные стеклянные. Типы, основные параметры и размеры
ГОСТ 25706-83 Лупы. Типы, основные параметры. Общие технические требования
ГОСТ 25794.1-83 Реактивы. Методы приготовления титрованных растворов для кислотно-основного титрования
ГОСТ 29169-91 (ИСО 648-77) Посуда лабораторная стеклянная. Пипетки с одной отметкой
ГОСТ 29251-91 (ИСО 3851-1-84) Посуда лабораторная стеклянная. Бюретки. Часть 1. Общие требования
--------------------------------
Примечание. При пользовании настоящим стандартом целесообразно проверить действие ссылочных стандартов в информационной системе общего пользования - на официальном сайте Федерального агентства по техническому регулированию и метрологии в сети Интернет или по ежегодному информационному указателю "Национальные стандарты", который опубликован по состоянию на 1 января текущего года, и по выпускам ежемесячного информационного указателя "Национальные стандарты" за текущий год. Если ссылочный стандарт заменен (изменен), то при пользовании настоящим стандартом следует руководствоваться заменяющим (измененным) стандартом. Если ссылочный стандарт отменен без замены, то положение, в котором дана ссылка на него, применяется в части, не затрагивающей эту ссылку.
3. Технические требования
3.1. Технический этилбензол должен быть изготовлен в соответствии с требованиями настоящего стандарта по технологическому регламенту, утвержденному в установленном порядке.
3.2. По физико-химическим показателям технический этилбензол должен соответствовать требованиям и нормам, указанным в таблице 1.
Таблица 1
Наименование показателя | Норма | Метод анализа |
Высший сорт | 1-й сорт |
1. Внешний вид | Бесцветная прозрачная жидкость | По 7.3 настоящего стандарта |
2. Реакция водной вытяжки | Нейтральная | По 7.4 настоящего стандарта |
3. Плотность при 20 °C, г/см3 | 0,866 - 0,870 | |
4. Массовая доля этилбензола, %, не менее | 99,80 | 99,50 | По 7.5 настоящего стандарта |
5. Массовая доля диэтилбензола, %, не более | 0,0005 | 0,0005 | По 7.5 и 7.6 настоящего стандарта |
6. Массовая доля изопропилбензола, %, не более | 0,01 | 0,03 | По 7.5 настоящего стандарта |
7. Массовая доля серы, %, не более | 0,0003 | Не определяют | |
8. Массовая доля железа, %, не более | 0,00001 | Не определяют | |
9. Массовая доля хлора, %, не более | 0,0005 | 0,0010 | По 7.8 и 7.9 настоящего стандарта |
Примечание. Массовые доли серы и железа определяют только в этилбензоле, предназначенном для производства окиси пропилена.
3.3. Качество технического этилбензола, предназначенного для экспорта, должно соответствовать требованиям договора (контракта) с иностранным покупателем.
4. Требования безопасности
4.1. По степени воздействия на организм технический этилбензол относят к малоопасным веществам (4-й класс опасности по
ГОСТ 12.1.007). Этилбензол обладает общетоксическим, наркотическим и кожно-резорбтивным действием, сильной кумулятивностью. Оказывает раздражающее действие на кожу и слизистую оболочку глаз.
4.2. Предельно допустимая концентрация (ПДК) паров этилбензола в воздухе рабочей зоны - 50 мг/м3 по
ГОСТ 12.1.005. ПДК максимально разовая в воздухе рабочей зоны - 150 мг/м3, средне-сменная - 50 мг/м3 <*>. Превышение ПДК вызывает поражение крови и кроветворных органов, раздражение слизистых оболочек, головную боль, головокружение, боли в области сердца, раздражение кожи, першение в горле, кашель, нарушение ритма дыхания. При больших концентрациях - нарушение координации движений, клонико-тонические судороги, снижение болевой чувствительности, температуры тела, уменьшение частоты дыхания и сердечной деятельности. При высоких температурах этилбензол других токсичных соединений в воздушной среде не образует.
--------------------------------
<*>
Перечень нормативных документов, действующих в Российской Федерации, представлен в Приложении А.
При попадании этилбензола на кожу следует промыть подвергшийся воздействию участок кожи большим количеством воды, а затем смазать кожу смягчающим кремом.
Контроль за содержанием этилбензола в воздухе рабочей зоны проводят по методикам, утвержденным органами здравоохранения.
4.3. Технический этилбензол - легковоспламеняющаяся жидкость.
- температура вспышки в закрытом тигле - 20 °C;
- температура вспышки в открытом тигле - 24 °C;
- температура самовоспламенения - 430 °C.
Концентрационные пределы воспламенения паров смеси с воздухом при 100 °C, % об.:
- нижний - 1,0;
- верхний - 6,8.
Температурные пределы воспламенения, °C:
- нижний - 20;
- верхний - 59.
4.4. Индивидуальные средства защиты: фильтрующий противогаз марки А или БКФ по
ГОСТ 12.4.121 или с комбинированным фильтром ДОТ 600 марки А2В2Е2К2Р3 <*> и специальная одежда.
--------------------------------
<*> На территории Российской Федерации действует
ГОСТ Р 12.4.251-2009 (ЕН 14387:2008) "Система стандартов безопасности труда. Средства индивидуальной защиты органов дыхания. Фильтры противогазовые и комбинированные. Общие технические требования. Методы испытаний. Маркировка".
4.5. В производственных условиях должна быть предусмотрена герметизация производственного оборудования, приточно-вытяжная вентиляция. В закрытых помещениях места отбора технологических проб должны быть оборудованы вытяжной вентиляцией по
ГОСТ 12.4.021.
4.6. Не допускается применение открытого огня и источников искрообразования.
Электрооборудование и освещение должны быть во взрывобезопасном исполнении, оборудование и трубопроводы - заземлены. Запрещается применение сжатого воздуха при сливе и перекачке этилбензола. Для предотвращения электростатического искрообразования при производстве этилбензола следует выполнять требования
ГОСТ 12.1.018.
4.7. При возгорании небольших количеств этилбензола в качестве первичных средств тушения следует применять пенные, углекислотные, хладоновые и порошковые огнетушители, песок.
Для тушения пожаров этилбензола в резервуарах и производственных помещениях следует использовать воздушно-механическую пену средней кратности.
4.8. При розливе этилбензола его убирают, посыпая место розлива песком. Пропитанный этилбензолом песок выносят в специально выделенное место.
4.9. Размещение и обезвреживание производственных отходов проводят на полигонах промышленных отходов и шламохранилищах. Ликвидация - сжиганием <**>.
--------------------------------
<**>
Перечень нормативных документов, действующих в Российской Федерации, представлен в Приложении А.
5. Требования охраны окружающей среды
5.1. ПДК этилбензола в воде водоемов хозяйственно-питьевого и культурно-бытового назначения - 0,002 мг/л. Лимитирующий показатель вредности - органолептический (по запаху), класс опасности - 1
<*>.
5.2. Предельно допустимая концентрация этилбензола в воде водоемов рыбохозяйственного назначения - 0,001 мг/дм3. Лимитирующий показатель вредности - токсикологический, класс опасности - 3
<*>.
5.3. С целью охраны окружающей среды от загрязнений сточными водами должен быть организован производственный экологический контроль за соблюдением установленных нормативов ПДК загрязняющих веществ в сточных водах.
Правила установления нормативов ПДК загрязняющих веществ в сточных водах и контроль за их соблюдением осуществляют в порядке, установленном нормативно-правовыми актами страны-изготовителя.
5.4. Максимально разовая ПДК этилбензола в атмосферном воздухе населенных мест - 0,02 мг/м3. Лимитирующий показатель вредности - рефлекторный, класс опасности - 3 <*>.
--------------------------------
<*> На территории Российской Федерации действует
ГОСТ Р 12.4.251-2009 (ЕН 14387:2008) "Система стандартов безопасности труда. Средства индивидуальной защиты органов дыхания. Фильтры противогазовые и комбинированные. Общие технические требования. Методы испытаний. Маркировка".
5.5. С целью охраны атмосферного воздуха от загрязнений выбросами вредных веществ должен быть организован контроль за соблюдением нормативов выбросов загрязняющих веществ в атмосферный воздух.
Правила установления допустимых выбросов в атмосферу и контроль за их соблюдением - по
ГОСТ 17.2.3.02.
6.1. Партией считают количество однородного по показателям качества продукта, сопровождаемое одним документом о качестве.
6.2. Документ о качестве должен содержать:
- наименование страны-изготовителя;
- наименование предприятия-изготовителя, его товарный знак и юридический адрес;
- наименование продукта и его сорт;
- номер партии, количество мест в партии;
- дату изготовления;
- массу нетто;
- предупредительную надпись: "Огнеопасно";
- результаты проведенных анализов;
- обозначение настоящего стандарта;
- подпись и штамп службы контроля качества.
6.3. Для проверки качества технического этилбензола на соответствие его показателей требованиям настоящего стандарта от партии отбирают каждую четвертую цистерну, но не менее двух цистерн.
Допускается у изготовителя отбирать пробу этилбензола из резервуара-хранилища перед разливом его по цистернам.
6.4. Показатели "массовая доля серы" и "массовая доля железа" изготовитель определяет по требованию потребителя.
6.5. При получении неудовлетворительных результатов анализа хотя бы по одному из показателей проводят повторный анализ пробы, отобранной от удвоенной выборки той же партии. Результаты повторного анализа распространяют на всю партию. При получении неудовлетворительных результатов периодических испытаний их переводят в приемо-сдаточные до получения положительных результатов на пяти партиях подряд.
7.1. Отбор проб
Пробы отбирают по
ГОСТ 2517. Объем объединенной пробы должен быть не менее 0,5 дм3.
7.2. Общие указания
7.2.1. Допускается применение других приборов, посуды и средств измерения с метрологическими характеристиками и оборудования с техническими характеристиками не хуже, а также реактивов по качеству не ниже указанных в настоящем стандарте.
7.2.2. Допускается применять другие методы анализа, обеспечивающие требуемую точность и достоверность результатов определения.
При разногласиях в оценке качества продукта анализ проводят методами, указанными в настоящем стандарте, с применением средств измерений, оборудования и реактивов, предусмотренных этими методами.
7.2.3. При разногласиях в оценке плотности определение проводят по стандарту
[1].
7.2.4. Результаты определения округляют до того количества значащих цифр, которому соответствует норма по данному показателю.
7.2.5. Все применяемые средства измерения должны быть поверены, испытательное оборудование - аттестовано.
7.3. Внешний вид определяют сравнением этилбензола и дистиллированной воды
(ГОСТ 6709), налитых в одинаковые цилиндры из бесцветного стекла диаметром 30 - 40 мм, в проходящем свете при температуре 15 °C - 30 °C.
7.4. Определение реакции водной вытяжки
7.4.1. Посуда, реактивы, растворы
Спирт этиловый ректификованный технический по
ГОСТ 18300.
Фенолфталеин (индикатор), спиртовой раствор с массовой долей фенолфталеина 1%; готовят по
ГОСТ 4919.1.
Метиловый оранжевый (индикатор), ч.д.а., раствор с массовой долей 0,1%; готовят по
ГОСТ 4919.1.
7.4.2. Проведение анализа
25 см3 анализируемого этилбензола помещают в делительную воронку, добавляют 50 см3 воды и энергично взбалтывают в течение 1 - 3 мин. После отстаивания водного слоя его сливают в два стакана.
В первый стакан добавляют 2 - 3 капли раствора фенолфталеина, во второй - 2 - 3 капли раствора метилового оранжевого.
Этилбензол соответствует требованиям настоящего стандарта, если содержимое первого стакана не окрасилось в малиновый цвет, второго стакана - в красный цвет.
7.5. Определение массовой доли этилбензола, изопропилбензола и диэтилбензола
7.5.1. Аппаратура, посуда, реактивы
Хроматограф газовый с пламенно-ионизационным детектором или аппаратно-хроматографический комплекс, оснащенный блоком управления хроматографом и блоком обработки хроматографической информации с программным обеспечением.
При использовании хроматографа с программным обеспечением все измерения проводят согласно руководству пользователя программно-аппаратного комплекса для сбора и обработки хроматографических данных.
Колонки газохроматографические (насадочные длиной 1 и 3 м, внутренним диаметром 3 мм, микронасадочные, капиллярные), обеспечивающие четкое (удовлетворительное) разделение компонентов пробы продукта.
Весы неавтоматического действия с наибольшим пределом взвешивания 200 г и погрешностью +/- 0,2 мг и весы неавтоматического действия с наибольшим пределом взвешивания 500 г и погрешностью +/- 100 мг.
Шкаф сушильный любого типа, обеспечивающий нагрев до 200 °C - 250 °C.
Баня водяная.
Насос вакуумный или водоструйный.
Микрошприц типа МШ-10 вместимостью 10 мм3.
Линейка измерительная с ценой деления 1 мм.
Лупа измерительная по
ГОСТ 25706 или другие оптические устройства с ценой деления 0,1 мм.
Набор сит "Физприбор" или сита аналогичного типа.
Носитель твердый для насадочной колонки: хроматон N-AW или другой диатомитовый носитель, обеспечивающий аналогичное разделение; любая фракция с частицами размером в пределах 0,125 - 0,315 мм.
Фаза жидкая насадочной колонки: эфир ди-2-этилгексиловый себациновой кислоты, ч.д.а., для хроматографии.
Спирт этиловый ректификованный технический по
ГОСТ 18300.
н-Гексан, ч. или х.ч., для хроматографии.
н-Гептан, х.ч., для хроматографии.
н-Октан, ч. или х.ч., для хроматографии.
н-Нонан, ч. или х.ч., для хроматографии.
м-Этил-изопропилбензол, ч.
Додекан, х.ч., для хроматографии.
Гексадекан, ч.
Этилбензол, ч.д.а. или х.ч., для хроматографии.
о-Ксилол, ч. или х.ч., для хроматографии.
Изопропилбензол, ч. или х.ч., для хроматографии.
Диэтилбензол, ч. (любой из изомеров).
Водород технический марки А или Б по
ГОСТ 3022.
Воздух сжатый для питания приборов.
7.5.2. Подготовка к анализу
7.5.2.1. Приготовление неподвижной фазы для насадочной колонки
Твердый носитель сушат в сушильном шкафу при температуре 120 °C - 150 °C в течение 3 - 4 ч.
Для приготовления неподвижной фазы взвешивают в стакане ди-2-этилгексиловый эфир себациновой кислоты в количестве 10% массы твердого носителя (результат взвешивания в граммах записывают с точностью до второго десятичного знака) и растворяют в этиловом спирте (80% объема твердого носителя).
Приготовленный раствор помещают в круглодонную колбу и добавляют к нему предварительно взвешенный твердый носитель (результат взвешивания в граммах записывают с точностью до второго десятичного знака). Колбу закрывают пробкой с двумя отверстиями и содержимое ее перемешивают, осторожно встряхивая в течение 30 мин. Затем, продувая колбу инертным газом, испаряют растворитель на водяной бане при температуре 60 °C - 65 °C, периодически встряхивая до сыпучего состояния насадки. Для полного удаления растворителя колбу с насадкой подсоединяют к водоструйному или вакуумному насосу на 30 мин.
Приготовленной неподвижной фазой заполняют колонки, помещают их в термостат хроматографа и, не присоединяя к детектору, продувают газом-носителем со скоростью 30 - 50 см3/мин при температуре 100 °C в течение не менее 25 ч.
Монтаж, наладку и вывод хроматографа на рабочий режим осуществляют в соответствии с инструкцией, прилагаемой к прибору. Хроматографические колонки могут входить в комплект поставки и быть установлены непосредственно в хроматограф на предприятии-изготовителе.
При определении диэтилбензола предварительно определяют чувствительность прибора к нему. Для этого готовят искусственную смесь, состоящую из диэтилбензола и бензола, с таким расчетом, чтобы массовая доля диэтилбензола в смеси составляла примерно 0,0005%. С целью более точного приготовления искусственной смеси вначале готовят смесь с массовой долей 0,5% диэтилбензола в бензоле. Затем 0,1 см3 приготовленной смеси вводят в мерную колбу вместимостью 100 см3 с бензолом. Смесь тщательно перемешивают и анализируют при условиях, указанных в 7.5.2.2.
7.5.2.2. Условия проведения анализа
Анализ этилбензола проводят на двух колонках насадочного типа длиной 1 и 3 м или других колонках, обеспечивающих четкое разделение компонентов пробы продукта. Хроматограмму на колонке длиной 3 м снимают для определения всех примесей, содержащихся в техническом этилбензоле, за исключением примеси диэтилбензола, определяемой на колонке длиной 1 м. Хроматограмму на капиллярной колонке снимают для определения всех примесей, содержащихся в этилбензоле, включая примесь диэтилбензола.
При использовании других типов хроматографов условия проведения анализа должны быть подобраны с учетом особенностей прибора. При этом степень разделения компонентов должна быть не хуже чем на типовых хроматограммах.
Условия градуировки и работы хроматографа указаны в таблице 2.
Таблица 2
Условия градуировки и работы хроматографа
Параметр | Длина колонки, м |
3 | 1 |
Температура термостата, °C | 95 - 100 |
Температура испарителя, °C | 200 - 220 |
Объемный расход газа-носителя, см3/мин | 25 - 30 | 20 - 30 |
Объем вводимой пробы, мм3 | Не более 2 | Не менее 2 |
Скорость движения диаграммной ленты, мм/ч | 200 - 240 |
Продолжительность анализа, мин | 30 | 25 - 40 |
Входное сопротивление, А | | |
Метод количественной интерпретации | Внутренний эталон | Внутренний эталон или абсолютная калибровка |
Внутренний эталон | н-Гексан или н-гептан, или н-октан, или н-нонан | м-Этилизопропилбензол или додекан, или гексадекан |
В качестве внутреннего эталона при определении всех примесей, за исключением примеси диэтилбензола, применяют н-гексан или любой другой парафиновый углеводород, который не должен входить в состав примесей анализируемого продукта. При использовании в качестве внутреннего эталона н-гексана пик его фиксируют при скорости движения диаграммой ленты 720 мм/ч с последующим учетом соотношения скоростей при обсчете хроматограмм.
7.5.2.3. Градуировка прибора
Количественное содержание примесей в этилбензоле определяют методом внутреннего эталона с учетом градуировочных коэффициентов.
Для градуировки прибора готовят не менее трех искусственных смесей, близких по составу к анализируемому этилбензолу. Для этого в колбу с резиновым уплотнением или с притертой пробкой помещают этилбензол, затем микрошприцем вводят примеси, указанные на хроматограмме (рисунок 1), кроме примесей парафиновых углеводородов, и внутренний эталон. Массовая доля каждой вводимой примеси и внутреннего эталона должна составлять 0,01% - 0,05%. После введения каждого компонента колбу взвешивают. Все результаты взвешивания в граммах записывают с точностью до четвертого десятичного знака.
1 - н-гексан (внутренний эталон); 2 - бензол;
3, 5, 6 - парафиновые углеводороды; 4 - толуол;
7 - этилбензол; 8 - о-ксилол; 9 - изопропилбензол
Рисунок 1. Хроматограмма этилбензола
Снимают не менее трех хроматограмм для каждой искусственной смеси при условиях, указанных в
7.5.2.2.
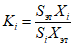
Градуировочный коэффициент определяют для каждой примеси, кроме примесей парафиновых углеводородов и диэтилбензола, для которых значение градуировочного коэффициента принимают равным 1,0.
Градуировочный коэффициент

вычисляют по формуле

, (1)
где

- площадь пика внутреннего эталона, мм2;

- массовая доля определяемой примеси в искусственной смеси, %;

- площадь пика определяемой примеси, мм2;

- массовая доля внутреннего эталона в искусственной смеси, %.
Площадь пика вычисляют как произведение высоты пика на его ширину, измеренную на середине высоты. Градуировочный коэффициент для каждой примеси определяют как среднеарифметическое значение полученных результатов.
7.5.3. Проведение анализа
Не менее 10 г (или не менее 50 г при определении примеси диэтилбензола) анализируемого этилбензола взвешивают в колбе с резиновым уплотнением или с притертой пробкой, затем добавляют 5 - 7 мм3 внутреннего эталона и снова взвешивают. Все результаты взвешивания в граммах записывают с точностью до четвертого десятичного знака. Смесь тщательно перемешивают и вводят в испаритель хроматографа.
Хроматограммы товарного этилбензола приведены на
рисунках 1 и 2.
1 - этилбензол; 2 - диэтилбензол; 3 - м-этилизопропилбензол;
4 - додекан; 5 - гексадекан (3, 4, 5 - внутренний эталон,
используют любой из указанных углеводородов)
Рисунок 2. Хроматограмма определения
диэтилбензола в этилбензоле
7.5.4. Обработка результатов
Массовую долю каждой примеси в этилбензоле

, %, вычисляют по формуле

, (2)
где

- градуировочный коэффициент определяемой примеси;

- площадь пика определяемой примеси, мм2;

- масса внутреннего эталона, г;

- площадь пика внутреннего эталона, мм2;
m - масса анализируемой пробы, г.
При наличии в анализируемом этилбензоле о-ксилола массовую долю м- и п-ксилолов вычисляют косвенно, так как они на хроматограмме не фиксируются. Массовая доля м- и п-ксилолов равна пятикратной массовой доле о-ксилола.
Массовую долю диэтилбензола вычисляют по хроматограмме, изображенной на
рисунке 2.
Результат вычислений массовых долей примесей записывают с точностью до четвертого десятичного знака.
Массовую долю этилбензола X, %, вычисляют по формуле

, (3)
где

- сумма массовых долей всех примесей, определяемых хроматографическим методом.
Результат округляют до второго десятичного знака.
Метрологические характеристики указаны в таблице 3.
Таблица 3
Метрологические характеристики метода (P = 0,95)
(В процентах)
Массовая доля определяемого компонента | Стандартное отклонение повторяемости | Предел повторяемости r |
От 99,50 до 99,80 | 0,015 | 0,05 |
От 0,01 до 0,03 | 0,001 | 0,003 |
От 0,0005 | 0,0001 | 0,0002 |
7.5.5. Определение массовой доли диэтилбензола в этилбензоле допускается проводить методом абсолютной калибровки в соответствии с
7.6.
При возникновении разногласий в оценке массовой доли диэтилбензола определение проводят по 7.5.
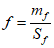
7.6. Определение массовой доли диэтилбензола в этилбензоле методом абсолютной калибровки
7.6.1. Количественное содержание примеси диэтилбензола определяют методом абсолютной калибровки. Для вывода градуировочного фактора готовят не менее трех искусственных смесей, состоящих из диэтилбензола и бензола (приготовление и анализ - по
7.5.2).
Градуировочный фактор f, мг/мм2, вычисляют по формуле

, (4)
где

- масса диэтилбензола в искусственной смеси, мг;

- площадь пика диэтилбензола, мм2.
Градуировочный фактор определяют как среднеарифметическое значение полученных результатов для каждой смеси.
Проверку градуировочного фактора проводят не реже 1 раза в две недели. Искусственные смеси хранят в холодильнике не более 2 мес.
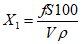
Массовую долю диэтилбензола

, %, вычисляют по формуле

, (5)
где f - градуировочный фактор для диэтилбензола, мг/мм2;
S - площадь пика диэтилбензола, мм2;
V - объем вводимой пробы, мм3;

- плотность пробы, мг/мм3 (0,87 мг/мм3).
За результат анализа принимают среднеарифметическое значение результатов двух параллельных определений, абсолютное допускаемое расхождение между которыми не должно превышать 0,0002% при доверительной вероятности P = 0,95. Результат вычисления округляют до четвертого десятичного знака.
7.7. Определение массовой доли железа
7.7.1. Определение массовой доли железа проводят по
ГОСТ 10555, 2,2'-дипиридиловым или 1,10-фенантролиновым методом или сульфосалициловым методом. Подготовку пробы осуществляют в соответствии с 7.7.2.
7.7.2. 100 г анализируемого этилбензола, отфильтрованного от механических примесей, выпаривают досуха в платиновой чашке вместимостью 100 - 225 см3
(ГОСТ 6563) на водяной бане. Чашку помещают в муфельную печь и выдерживают 15 мин при 500 °C - 550 °C. После охлаждения к сухому остатку добавляют 1 см3 соляной кислоты
(ГОСТ 3118), прикрывают чашку часовым стеклом и выпаривают на водяной бане в течение 30 мин. Затем водой смывают часовое стекло в чашку, выпаривают раствор до одной капли, туда же добавляют 5 - 10 см3 воды и количественно переносят содержимое чашки в мерный цилиндр, доводя его объем до 20 см3 водой.
7.8. Определение массовой доли хлора (метод А)
7.8.1. Сущность метода
Метод основан на сжигании этилбензола ламповым методом и образовании опалесценции хлористого серебра при взаимодействии азотнокислого серебра с ионами хлора.
7.8.2. Приборы, реактивы и растворы
Прибор для сжигания (рисунок 3), состоящий из колбочки вместимостью 30 - 50 см3, в пробку которой впаяно сопло диаметром 5 - 7 мм, лампового стекла, поглотителя со стеклянной пористой пластинкой N 1 и брызгоулавливателя с такой же пористой пластинкой.
1 - колбочка с фитилем; 2 - ламповое стекло; 3 - поглотитель
с пористой пластинкой; 4 - брызгоулавливатель
Рисунок 3. Прибор для сжигания
Допускается использовать автоматический анализатор, обеспечивающий правильность проведения анализа и точность измерения результатов.
Прибор и посуду перед анализом тщательно моют и ополаскивают дистиллированной водой.
Насос вакуумный или водоструйный.
Колориметр фотоэлектрический или спектрофотометр с комплектом стеклянных кювет с толщиной поглощающего свет слоя 50 мм.
Весы неавтоматического действия с наибольшим пределом взвешивания 200 г и погрешностью +/- 0,2 мг.
Кислота азотная по
ГОСТ 4461, х.ч., раствор с массовой долей 25%.
Натрий хлористый по
ГОСТ 4233; раствор, содержащий 1 мг хлора в 1 см3, готовят по
ГОСТ 4212; раствор, содержащий 0,01 мг хлора в 1 см3, готовят разбавлением в 100 раз. Раствор применяют свежеприготовленным.
Спирт этиловый ректификованный технический по
ГОСТ 18300.
7.8.3. Подготовка к анализу
7.8.3.1. Построение градуировочного графика
Для построения градуировочного графика растворы сравнения готовят следующим образом: в мерные колбы вместимостью 25 см3 вносят 1, 2, 3, 4 и 5 см3 раствора хлористого натрия и доводят объем до 15 см3 дистиллированной водой. В каждую колбу добавляют по 1 см3 растворов азотной кислоты и азотнокислого серебра, доводят объемы растворов водой до метки, тщательно перемешивают и оставляют на 20 мин в темноте для полного выделения хлористого серебра.
Затем помещают растворы сравнения в кюветы с толщиной поглощающего свет слоя 50 мм и измеряют оптическую плотность по отношению к контрольному раствору, не содержащему хлористый натрий, при синем светофильтре [длина волны - (400 +/- 10) нм].
Строят градуировочный график, откладывая по оси ординат оптическую плотность растворов сравнения, а по оси абсцисс - соответствующую массу хлора в миллиграммах.
7.8.4. Проведение анализа
В поглотитель вносят 10 см3 раствора щелочи, закрывают его брызгоулавливателем, в который предварительно наливают 1 - 2 см3 дистиллированной воды. Брызгоулавливатель закрывают пришлифованной пробкой со вставленной стеклянной трубкой, соединяющейся с вакуумным насосом. Включают вакуумный насос и регулируют скорость подачи воздуха таким образом, чтобы через раствор щелочи проходили частые пузырьки, но не было сильного разбрызгивания раствора.
В колбу, предназначенную для сжигания этилбензола, вносят 2 - 5 г этилбензола и 7 - 16 см3 этилового спирта (соотношение этилбензола к спирту - 1:3). Закрывают колбу пришлифованной пробкой со вставленным в нее фитилем из хлопчатобумажных ниток, которые предварительно обрабатывают раствором азотной кислоты с массовой долей 5% в течение 5 - 10 мин, промывают дистиллированной водой и высушивают.
Фитиль поджигают и подставляют колбу под ламповое стекло. Количество ниток в фитиле и скорость подачи воздуха подбирают так, чтобы образец горел спокойным некоптящим пламенем. Во время сжигания пробы фитиль должен быть на 1 - 3 мм ниже края сопла горелки. Между ламповым стеклом и горлом колбы должен быть зазор 5 - 8 мм. После того, как содержимое колбы сгорит, добавляют в нее 1 - 2 см3 этилового спирта, зажигают фитиль и снова подставляют колбу под ламповое стекло. По окончании сгорания этилового спирта содержимое поглотителя и брызгоулавливателя сливают в мерный цилиндр вместимостью 50 см3.
Обмывают поглотитель и брызгоулавливатель 3 - 4 см3 дистиллированной воды, сливая промывные воды в тот же цилиндр. Поглотительный раствор после сжигания должен быть прозрачным.
Если объем раствора в цилиндре превышает 20 см3, его упаривают до 20 см3. Весь раствор помещают в мерную колбу вместимостью 25 см3, добавляют по 1 см3 растворов азотной кислоты и азотнокислого серебра, перемешивают и поступают далее, как при построении градуировочного графика, измеряя оптическую плотность по отношению к дистиллированной воде.
Аналогично проводят контрольный опыт, взяв для сжигания такое же количество этилового спирта, какое израсходовано на анализ. При этом оптическую плотность измеряют также по отношению к дистиллированной воде. К одному вакуумному насосу можно одновременно подсоединить несколько установок через распределительную гребенку.
По разности оптической плотности результатов, полученных в анализируемом растворе и контрольном опыте, находят по графику массовую долю хлора в миллиграммах.
7.8.5. Обработка результатов
Массовую долю хлора

, %, вычисляют по формуле

, (5)
где m - масса хлора, найденная по градуировочному графику, мг;
V - объем этилбензола, взятый для анализа, см3;

- плотность этилбензола, г/см3.
За результат анализа принимают среднеарифметическое значение двух параллельных определений, абсолютное допускаемое расхождение между которыми не должно превышать 0,0002% при доверительной вероятности P = 0,95.
7.9. Определение массовой доли хлора в этилбензоле (метод Б)
7.9.1. Сущность метода
Метод основан на разложении хлорорганических соединений дифенилом натрия с выделением хлора в ионной форме, экстракции хлорида натрия водой с последующим фотоколориметрическим определением его с роданидом ртути и солью трехвалентного железа.
7.9.2. Аппаратура, посуда, реактивы и растворы
Колориметр фотоэлектрический или спектрофотометр с комплектом стеклянных кювет с толщиной поглощающего свет слоя 50 мм.
Весы неавтоматического действия с наибольшим пределом взвешивания 200 г и погрешностью +/- 0,2 мг.
Шкаф сушильный.
Бюретка 1-1-10-0,02 по
ГОСТ 29251 или поверенные бюретки импортного производства, обеспечивающие точность измерения.
Пипетки 1-1-(1, 2, 5); 2-2-(5, 10, 25) по
ГОСТ 29169.
Воронка ВД-1-100 ХС или ВД-1-250 ХС по
ГОСТ 25336; кран смазывают смазкой, не содержащей хлорорганических соединений. Рекомендуется смазка типа ВНИИНП-279 по ГОСТ 14296.
Натрий металлический по ГОСТ 3273.
Дифенил, ч.д.а.
Диметиловый эфир диэтиленгликоля или диметиловый эфир этиленгликоля, очищенные в соответствии с
7.9.3.
Спирт этиловый ректификованный технический по
ГОСТ 18300.
Кислота азотная по
ГОСТ 4461, ч.д.а., концентрированная.
Квасцы железоаммонийные, х.ч., раствор в азотной кислоте; готовят следующим образом: 12,05 г железоаммонийных квасцов растворяют в 10 см3 воды, прибавляют 28,1 см3 концентрированной азотной кислоты. Если раствор получается мутным, его фильтруют через бумажный фильтр, предварительно промытый 100 см3 воды, и доводят объем раствора водой до 100 см3.
Ртуть роданистая, получают по
7.9.3.3; насыщенный раствор в этиловом спирте; готовят следующим образом: 0,3 г роданистой ртути встряхивают со 100 см3 этилового спирта до полного растворения, дают отстояться в течение суток и сливают прозрачный раствор. Полученный раствор хранят в темной стеклянной посуде с пришлифованной пробкой.
Натрий хлористый по
ГОСТ 4233, предварительно высушенный в течение 3 ч при температуре 100 °C - 105 °C. Раствор, содержащий 0,03 мг хлор-ионов в 1 см3, готовят следующим образом: в мерную колбу вместимостью 1000 см3 помещают 0,06 г хлористого натрия (результат взвешивания в граммах записывают с точностью до четвертого десятичного знака), доводят объем раствора водой до метки и перемешивают.
Вода дистиллированная по
ГОСТ 6709 или деионизированная.
Азот газообразный по
ГОСТ 9293 или другой инертный газ.
7.9.3. Подготовка к анализу
7.9.3.1. Очистка диметилового эфира диэтиленгликоля и диметилового эфира этиленгликоля
Диметиловый эфир диэтиленгликоля перегоняют с дефлегматором, собирая фракцию, отгоняемую при температуре 160 °C - 164 °C. В круглодонную колбу вместимостью 1000 см3 помещают 600 см3 перегнанного эфира, прибавляют около 2 г измельченного металлического натрия и кипятят с обратным холодильником 3 - 4 ч. При этом происходит очистка эфира от воды и гидроксилсодержащих соединений. Если значительная часть натрия вступает в реакцию с этими примесями, то эфир сливают, отделяя от выпавших солей, добавляют свежую порцию металлического натрия и кипятят еще 1 - 2 ч. Охлажденный эфир фильтруют через фильтрующую воронку и переиспаряют. Окончательную очистку проводят дифенилом натрия. Для этого в токе азота добавляют около 15 г дифенила и 3 г измельченного металлического натрия или 10 см3 готового реактива дифенила натрия, приготовленного в соответствии с
7.9.3.2. Раствор приобретает зеленую окраску. Выдерживают раствор 1 - 2 ч и переиспаряют, собирая фракцию, отгоняемую при температуре 161 °C - 162 °C. Очищенный эфир хранят в склянке из темного стекла под азотной подушкой над металлическим натрием. Если в эфире образовалась муть, эфир перед использованием следует переиспарить.
Очистку диметилового эфира этиленгликоля проводят аналогично, собирая фракцию, отгоняемую при температуре 83 °C - 85 °C. О степени очистки растворителя судят по оптической плотности контрольного опыта, проведенного, как указано в
7.9.4.4. Она должна быть не более 0,35.
7.9.3.2. Приготовление раствора дифенила натрия и установление его активности
В банки из темного стекла вместимостью 100 см3, высушенные в сушильном шкафу в течение 2 ч при температуре 100 °C - 105 °C и продутые в течение 5 мин азотом, помещают по 50 см3 очищенного диметилового эфира и по 13 г дифенила. Затем в каждую банку в слабом токе азота прибавляют по 1,95 г металлического натрия в виде проволоки или мелких стружек. Образующийся дифенил натрия окрашивает раствор в черно-синий или черно-зеленый цвет. Банки закрывают притертыми или двойными пробками, которые затем заливают парафином. Хранят их в холодильнике при температуре не выше 10 °C. Реактив готов к употреблению через 12 ч. Перед проведением анализа банку с раствором дифенила натрия вскрывают и определяют содержание в нем активного натрия. Для этого 5 см3 раствора дифенила натрия сухой пипеткой помещают в сухую коническую колбу вместимостью 25 см3 и титруют в токе азота из бюретки вместимостью 10 см3 спирто-бензольным раствором до полного обесцвечивания смеси. Спирто-бензольный раствор с молярной концентрацией спирта 1 моль/дм3 готовят путем разбавления 16 г метилового спирта или 37 г бутанола-1 до 500 см3 бензолом.
Концентрацию активного натрия

, моль/дм3, вычисляют по формуле

, (6)
где

- объем спирто-бензольного раствора, израсходованного на титрование, см3;
c - концентрация спирто-бензольного раствора, моль/дм3;

- объем раствора дифенила натрия, взятый для титрования, см3.
Дифенил натрия пригоден для работы при показателе активности более 0,5. Вскрытую банку хранят в холодильнике под азотной подушкой и проверяют концентрацию активного натрия один раз в три дня.
7.9.3.3. Получение роданистой ртути
В воде растворяют 7 г азотнокислой ртути (II), в раствор для предупреждения гидролиза прибавляют 1 - 2 см3 концентрированной азотной кислоты и 10 см3 раствора роданистого калия с массовой долей 20%. Раствор перемешивают. Образующийся белый мелкокристаллический осадок роданистой ртути отделяют на воронке Бюхнера, промывают 2 - 3 раза небольшими порциями воды и высушивают при температуре 50 °C - 60 °C. Реактив хранят в посуде из темного стекла с притертой пробкой.
7.9.3.4. Построение градуировочного графика
В 4 мерные колбы вместимостью 25 см3 каждая последовательно вносят 0,2; 0,5; 1,0; 2,0 см3 раствора хлористого натрия, добавляют 2 см3 раствора железоаммонийных квасцов, 2 см3 раствора роданистой ртути, доводят объем раствора водой до метки и перемешивают. Окраска устойчива в течение 30 мин.
Одновременно в тех же условиях и с теми же количествами реактивов, но без стандартного раствора хлористого натрия проводят холостой опыт.
На фотоэлектроколориметре или спектрофотометре определяют оптическую плотность приготовленных растворов и холостого опыта. Оптическая плотность холостого опыта не должна превышать 0,3, в противном случае меняют железоаммонийные квасцы.
Строят градуировочный график, откладывая по оси абсцисс массу хлор-иона в градуировочных растворах в миллиграммах, а по оси ординат - разность между оптическими плотностями приготовленных растворов и холостого опыта.
7.9.4. Проведение анализа
7.9.4.1. Приготовление рабочего раствора
В сухую продутую азотом делительную воронку вносят 10 см3 этилбензола с массовой долей хлора около 0,0010% или 30 см3 этилбензола с массовой долей хлора около 0,0005%, продувают азотом и добавляют 5 см3 раствора дифенила натрия. Воронку закрывают пришлифованной стеклянной пробкой, осторожно перемешивают круговыми движениями и оставляют на 5 мин. Цвет раствора должен быть черно-зеленым или черно-синим, что указывает на необходимый избыток реагента. Если происходит обесцвечивание раствора, то анализ прекращают и повторяют снова, пока не появится черно-зеленая или черно-синяя окраска. Избыток раствора дифенила натрия разлагают добавлением 2 см3 бутанола-1, встряхивая смесь до ее обесцвечивания и растворения частичек натрия. Образовавшийся хлорид натрия экстрагируют, добавляя в делительную воронку 30 см3 воды, подкисленной 1 см3 концентрированной азотной кислоты, энергично перемешивая слои в течение 2 мин. После расслаивания (не менее 10 мин) прозрачный водный экстракт сливают в мерную колбу вместимостью 50 см3, доводят объем раствора водой до метки и перемешивают.
Затем в мерную колбу помещают 20 см3 водного экстракта, 2 см3 раствора железоаммонийных квасцов, 2 см3 раствора роданистой ртути, доводят объем раствора водой до метки и перемешивают.
Этилбензол, свободный от хлора, собирают и используют для приготовления контрольного раствора.
7.9.4.2. Приготовление контрольного раствора
В сухую продутую азотом делительную воронку помещают 5 см3 дифенила натрия и 2 см3 бутанола-1, встряхивают до обесцвечивания, добавляют 20 см3 этилбензола, свободного от хлора, и 30 см3 воды, подкисленной 1 см3 концентрированной азотной кислоты. Раствор энергично перемешивают. Контрольный раствор готовят для каждой новой партии дифенила натрия.
7.9.4.3. Приготовление раствора сравнения
В мерную колбу вместимостью 25 см3 помещают 20 см3 водного экстракта, доводят объем раствора водой до метки и перемешивают.
7.9.4.4. На фотоэлектроколориметре или спектрофотометре измеряют оптическую плотность рабочего и контрольного растворов по отношению к раствору сравнения в кюветах с толщиной поглощающего свет слоя 50 мм при длине волны 430 - 450 нм.
По разности оптических плотностей в рабочем и контрольном растворах находят по градуировочному графику массу хлор-иона в миллиграммах в 20 см3 анализируемого водного экстракта.
7.9.4.5. Обработка результатов
Массовую долю хлора

, %, вычисляют по формуле

, (7)
где m - масса хлор-иона, найденная по градуировочному графику, мг;
50 - объем полученного водного экстракта, см3;
20 - объем водного экстракта, взятый для колориметрирования, см3;
V - объем пробы, взятый на реакцию с дифенилом натрия, см3;

- плотность этилбензола, г/см3.
За результат анализа принимают среднеарифметическое значение результатов двух параллельных определений, абсолютное допускаемое расхождение между которыми не должно превышать 0,00015% при доверительной вероятности P = 0,95.
7.9.5. При разногласиях в оценке массовой доли хлора определение проводят по методу А.
8. Транспортирование и хранение
8.1. Технический этилбензол заливают и транспортируют в железнодорожных цистернах в соответствии с
правилами перевозок жидких грузов наливом в вагонах-цистернах
[2].
В соответствии с правилами
[3] (приложение 2) технический этилбензол относится к классу 3, классификационный шифр - 3012, классификационный код - F1, номер аварийной карточки - 314, номер ООН-1175.
8.2. Технический этилбензол хранят в стальных резервуарах вдали от нагрева и источников возгорания.
9.1. Изготовитель гарантирует соответствие технического этилбензола требованиям настоящего стандарта при соблюдении условий транспортирования и хранения.
9.2. Гарантийный срок хранения технического этилбензола - 1 год со дня изготовления.
(справочное)
НОРМАТИВНЫХ ДОКУМЕНТОВ, ДЕЙСТВУЮЩИХ В РОССИЙСКОЙ ФЕДЕРАЦИИ
| Предельно допустимые концентрации (ПДК) вредных веществ в воздухе рабочей зоны |
| Гигиенические требования к размещению и обезвреживанию отходов производства и потребления |
| Предельно допустимые концентрации (ПДК) химических веществ в воде водных объектов хозяйственно-питьевого и культурно-бытового водопользования. Дополнения и изменения 1 к ГН 2.1.5.1315-03 |
4. Нормативы качества воды водных объектов рыбохозяйственного значения, в том числе нормативы предельно допустимых концентраций вредных веществ в водах водных объектах рыбохозяйственного значения. Утв. Приказом Росрыболовства от 18.01.2010 N 20 |
| Предельно допустимые концентрации (ПДК) загрязняющих веществ в атмосферном воздухе населенных мест |
| АСТМ Д 4052-11 | Стандартный метод определения плотности, относительной плотности, плотности в градусах API жидкостей с помощью цифрового денситометра |
ASTM D 4052-11 | Standard Test Method for Density, Relative Density, and API Gravity of Liquids by Digital Density Meter <*> |
| Правила перевозки жидких грузов наливом в вагонах-цистернах и вагонах бункерного типа для перевозки нефтебитума. Утв. Советом по железнодорожному транспорту государств - участников Содружества, Протокол от 21 - 22 мая 2009 г. N 50 |
| Правила перевозки опасных грузов по железным дорогам. Утв. Советом по железнодорожному транспорту государств - участников Содружества, Протокол от 05.04.1996 N 15 с изменениями и дополнениями от 23.11.2007, 30.05.2008, 22.05.2009; в ред. протоколов от 14.05.2010, от 21.10.2010 |
--------------------------------
<*> Официальный перевод этого стандарта находится в Федеральном информационном фонде технических регламентов и стандартов.