Главная // Актуальные документы // ГОСТ (Государственный стандарт)СПРАВКА
Источник публикации
М.: Стандартинформ, 2006
Примечание к документу
С 1 июля 2003 года до вступления в силу технических регламентов акты федеральных органов исполнительной власти в сфере технического регулирования носят рекомендательный характер и подлежат обязательному исполнению только в части, соответствующей целям, указанным в
пункте 1 статьи 46 Федерального закона от 27.12.2002 N 184-ФЗ.
Документ
введен в действие с 1 января 1982 года.
Взамен ГОСТ 13380-67.
Название документа
"ГОСТ 13380-81. Межгосударственный стандарт. Нефтепродукты. Метод определения микропримесей серы"
(утв. и введен в действие Постановлением Госстандарта СССР от 20.05.1981 N 2511)
(ред. от 01.03.1996)
"ГОСТ 13380-81. Межгосударственный стандарт. Нефтепродукты. Метод определения микропримесей серы"
(утв. и введен в действие Постановлением Госстандарта СССР от 20.05.1981 N 2511)
(ред. от 01.03.1996)
Утвержден и введен в действие
Постановлением Государственного
комитета СССР по стандартам
от 20 мая 1981 г. N 2511
МЕЖГОСУДАРСТВЕННЫЙ СТАНДАРТ
НЕФТЕПРОДУКТЫ
МЕТОД ОПРЕДЕЛЕНИЯ МИКРОПРИМЕСЕЙ СЕРЫ
Petroleum products. Method for determination
of sulphur microadmixtures
ГОСТ 13380-81
| | Список изменяющих документов (в ред. Изменения N 1, утв. в июле 1989 г. и Изменения N 2, утв. в марте 1996 г.) | |
Дата введения
1 января 1982 года
1. РАЗРАБОТАН И ВНЕСЕН Министерством нефтеперерабатывающей и нефтехимической промышленности СССР
РАЗРАБОТЧИКИ
Ю.И. Арчаков, Ф.В. Лисунов, Л.К. Вагина, А.П. Хянина, Т.В. Романов, Е.Г. Корчунова, М.М. Петрунин
2. УТВЕРЖДЕН И ВВЕДЕН В ДЕЙСТВИЕ Постановлением Государственного комитета СССР по стандартам от 20.05.81 N 2511
Изменение N 2 принято Межгосударственным советом по стандартизации, метрологии и сертификации (протокол N 8 от 12.10.95)
За принятие проголосовали:
Наименование государства | Наименование национального органа по стандартизации |
Республика Беларусь | Госстандарт Беларуси |
Республика Казахстан | Госстандарт Республики Казахстан |
Республика Молдова | Молдовастандарт |
Российская Федерация | Госстандарт России |
Республика Таджикистан | Таджикский государственный центр по стандартизации, метрологии и сертификации |
Туркменистан | Главная государственная инспекция Туркменистана |
Украина | Госстандарт Украины |
3. ВЗАМЕН ГОСТ 13380-67
4. ССЫЛОЧНЫЕ НОРМАТИВНО-ТЕХНИЧЕСКИЕ ДОКУМЕНТЫ
Обозначение НТД, на который дана ссылка | Номер раздела, пункта | Обозначение НТД, на который дана ссылка | Номер раздела, пункта |
| | | |
| | | |
| | | |
| | | |
| | | |
| | | |
| | | |
| | | |
|
|
ГОСТ 5230-74 | | ГОСТ 24104-88 | |
| | | |
| | | |
|
|
ГОСТ 7328-82 | | | |
| | | |
| | | |
5. Ограничение срока действия снято по протоколу N 4-93 Межгосударственного совета по стандартизации, метрологии и сертификации (ИУС 4-94)
6. ИЗДАНИЕ с Изменениями N 1, 2, утвержденными в июле 1989 г. и марте 1996 г. (ИУС 10-89, 6-96)
Настоящий стандарт устанавливает метод определения микропримесей серы, органически связанной в виде меркаптанов, сульфидов, дисульфидов, тиофена и его производных, а также элементарной серы и серы, входящей в состав сероводорода, в нефтепродуктах с бромным числом не более 10, не содержащих смолистых веществ.
Сущность метода заключается в восстановлении органически связанной и элементарной серы на активном никеле Ренея до сульфида никеля, разложении сульфида никеля соляной кислотой и определении выделившегося сероводорода титрованием раствором ацетата ртути (в щелочной среде в присутствии индикатора дитизона).
Метод предназначен для определения микропримесей серы в массовых долях от 0,2·10-4 до 25·10-3%.
При большем содержании серы пробы нефтепродукта соответственно разбавляют растворителями.
(Измененная редакция, Изм. N 1, 2).
Отбор проб проводят по
ГОСТ 2517. Пробу объемом не менее 100 см
3 помещают в чистую сухую склянку, плотно закрывают пробкой из материала, исключающего наличие серы.
Разд. 1а. (Введен дополнительно, Изм. N 1).
1. АППАРАТУРА, РЕАКТИВЫ И МАТЕРИАЛЫ
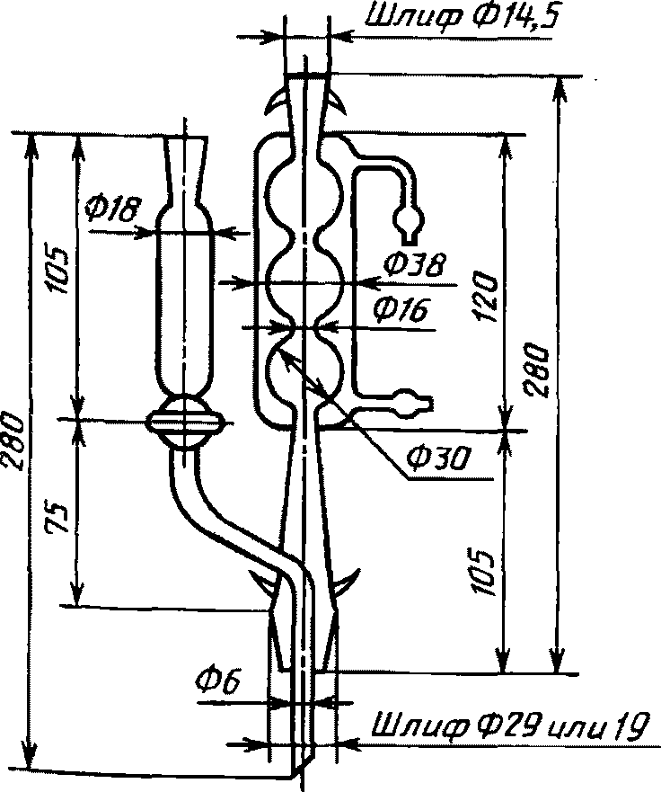
Аппарат для определения микропримесей серы (черт. 1 -
7). Предельные отклонения линейных размеров +/- 10 мм, диаметров +/- 1 мм.
5 - трубка
(черт. 4);
6 - соединительная трубка;
Черт. 1
Пипетка
1 - резиновый баллон; 2 - винтовой зажим
Черт. 2
Черт. 3
Черт. 4
Черт. 5
Черт. 6
Черт. 6а
Черт. 7
Вентиль точной регулировки
1 - ниппель; 2 - корпус; 3 - кольцо; 4 - набивка;
5 - нажимная втулка; 6 - нажимная гайка; 7 - фонарь;
8 - шпиндель; 9 - маховик; 10 - шайба;
11 - стопорный винт; 12 - винт
Черт. 8
Пипетка градуированная вместимостью 1 (2) см
3 по
ГОСТ 29227.
Колба двугорлая вместимостью 100 см
3 из тугоплавкого стекла круглодонная
(черт. 6) или с плоским дном
(черт. 6а) с патрубком для термометра или без него.
Бюретка вместимостью 5 см3 и ценой деления 0,02 см3.
Колбы 2-50-2, 2-100-2, 2-250-2, 2-500-2, 2-1000-2 по
ГОСТ 1770.
Цилиндр исполнения 1 (или 3)-25 и 1 (или 3)-100 по
ГОСТ 1770.
Термометр Тл-21-А4 или аналогичного типа.
Мешалка механическая стеклянная или магнитная с нагревом.
Колбонагреватель.
Автотрансформатор типа АОСН-8-220 У4.
Баня водяная.
Весы лабораторные общего назначения по ГОСТ 24104 <*>, 2-го класса точности с наибольшим пределом взвешивания 200 г и 3-го класса точности с наибольшим пределом взвешивания 500 г.
Гири Г-2-210 по ГОСТ 7328 <**>.
--------------------------------
Трубки из поливинилхлоридного пластика по
ГОСТ 19034 диаметром 6 - 8 мм или другие пластиковые трубки, не содержащие серу.
Никель-алюминиевый сплав порошкообразный с массовой долей никеля 45 - 53% и размерами частиц от 0,071 до 0,28 мм.
Спирт этиловый ректификованный технический по
ГОСТ 18300.
Спирт изопропиловый (абсолютированный) по
ГОСТ 9805.
Кислота соляная по
ГОСТ 14261, раствор 1,5:1 (по объему).
Ртути окись желтая по ГОСТ 5230, ч.д.а.
Кислота уксусная ледяная по
ГОСТ 61, х.ч.
Дитизон, ч.д.а.
Фенолфталеин.
Азот газообразный по
ГОСТ 9293 из баллона, газометра или системы, очищенный от кислорода пропусканием его через склянку с раствором 4 г гидроокиси калия в 10 см
3 этиленгликоля, если массовая доля азота ниже 99,8%.
Сера техническая по
ГОСТ 127.1 газовая или тиофен, чистоты 99,0%.
Секундомер.
Электропечь, обеспечивающая нагрев до 200 °C.
Допускается применение аппаратуры с аналогичными техническими и метрологическими характеристиками, а также реактивов и материалов, в том числе и импортных, по качеству не ниже указанных в стандарте.
Разд. 1. (Измененная редакция, Изм. N 1, 2).
2. ПОДГОТОВКА К ВЫПОЛНЕНИЮ ИЗМЕРЕНИЙ
2.1. Приготовление активного никеля Ренея
В стакан вместимостью 250 см3, помещенный в баню со льдом, наливают 100 см3 раствора гидроокиси натрия 2,5 моль/дм3. В охлажденный раствор в течение 5 - 7 мин высыпают (10,0 +/- 0,1) г никель-алюминиевого сплава при непрерывном перемешивании стеклянной мешалкой или вручную. При этом не должно быть бурного вспенивания и разогревания реакционной смеси выше 50 °C. Не вынимая стакана из ледяной бани, смесь перемешивают в течение 15 мин. Затем, оставив баню, продолжают перемешивание суспензии в течение 45 мин при комнатной температуре. Смесь отстаивают в течение 1,0 - 1,5 мин, раствор щелочи сливают и активный никель Ренея быстро промывают свежеперегнанной и охлажденной до комнатной температуры дистиллированной водой методом декантации до нейтральной реакции по фенолфталеину (для этого требуется 20 - 25-кратное промывание водой порциями по 50 см3). Далее активный никель Ренея дважды промывают 10 см3 этилового и 10 см3 изопропилового спирта и заливают изопропиловым спиртом для хранения. При сливании щелочи и промывании необходимо следить, чтобы не происходило соприкосновение активного никеля Ренея с воздухом. Хранят активный никель Ренея при 0 °C - 10 °C в склянке с притертой пробкой под слоем изопропилового спирта до полного использования.
Активность никеля Ренея контролируют по его пирофорности. Для этого каплю суспендированного никеля Ренея помещают на фильтровальную бумагу. Если никель Ренея активен, то после высыхания происходит его самовозгорание на воздухе. Не допускается применять непирофорный никель Ренея.
(Измененная редакция, Изм. N 1).
2.1а. Очистка изопропилового спирта, бензола и изооктана
В колбу вместимостью 500 см3 с обратным холодильником помещают 250 см3 очищаемого реактива и 1,5 - 2,0 см3 суспензии активного никеля Ренея. Смесь нагревают для слабого кипения и выдерживают в течение 45 - 50 мин. Затем смесь охлаждают и фильтруют.
Очищенные реактивы применяют для приготовления контрольных растворов серы по п. 2.2 и
табл. 2 приложения.
(Измененная редакция, Изм. N 2).
2.2. Приготовление контрольного раствора серы
2.2.1. Контрольный раствор серы готовят из серы и бензола или тиофена и одного из растворителей: изооктана, изопропилового спирта или бензола.
В мерную колбу вместимостью 500 см3 вносят 200 - 250 см3 растворителя и 0,17 - 0,19 г измельченной в ступке серы или 0,23 - 0,24 г тиофена (результаты записывают в граммах с точностью до четвертого десятичного знака), доводят до метки растворителем и перемешивают.
Для приготовления контрольного раствора пипеткой переносят 25 см3 полученного раствора серы в мерную колбу вместимостью 500 см3 и 25 см3 раствора тиофена в мерную колбу вместимостью 250 см3, доводят до метки растворителем и перемешивают.
2.2.2. Массовую долю серы (Xк) в процентах в контрольном растворе вычисляют по формуле
где m - масса серы или тиофена, г;
32,06 - атомная масса серы;
25 - объем раствора серы или тиофена, взятый для приготовления контрольного раствора, см3;

- плотность растворителя, г/см
3;
A - массовая доля основного вещества в исходном реагенте, %;
500 - объем растворителя, см3;
M - атомная масса серы или молекулярная масса тиофена;
V2 - объем контрольного раствора серы или тиофена, см3.
2.3. Приготовление растворов уксуснокислой ртути
2.3.1. Приготовление раствора А
2.3.1.1. В мерную колбу вместимостью 1000 см3 помещают 0,2030 г желтой окиси ртути (результат взвешивания в граммах записывают с точностью до четвертого десятичного знака) и 25 см3 дистиллированной воды, подкисляют 1 см3 ледяной уксусной кислоты. Содержимое взбалтывают до полного растворения окиси ртути, доводят объем дистиллированной водой до метки и тщательно перемешивают. 1 см3 приготовленного раствора должен соответствовать (30 +/- 2) мкг серы. Раствор стабилен не более 6 мес.
Концентрацию приготовленного раствора уксуснокислой ртути (
C1) проверяют по контрольному раствору серы, приготовленному по
п. 2.2.1. Массу контрольного раствора около 5 г записывают с точностью до четвертого десятичного знака.
Аналогично проводят контрольный опыт, для которого берут около 5 г растворителя.
(Измененная редакция, Изм. N 2).
2.3.1.2. Концентрацию раствора уксуснокислой ртути (C1) в мкг серы/см3 вычисляют по формуле
где m1 - масса контрольного раствора серы, взятого на анализ, г;
Vк - объем раствора уксуснокислой ртути, израсходованный на титрование контрольного раствора, см3;
Vо - объем раствора уксуснокислой ртути, израсходованный на титрование в контрольном опыте, см3.
Раствор применяют для титрования пробы с массовой долей серы более 0,5·10-4%.
2.3.2. Приготовление раствора Б
2.3.2.1. 100 см
3 раствора А уксуснокислой ртути, приготовленного по
п. 2.3.1, переносят в мерную колбу вместимостью 250 см
3, доводят до метки дистиллированной водой и хорошо перемешивают.
Концентрацию приготовленного раствора (
C2) определяют по контрольному раствору серы, приготовленному по
п. 2.2.1 (массу контрольного раствора 0,5 - 0,6 г записывают с точностью до четвертого десятичного знака).
Аналогично проводят контрольный опыт.
2.3.2.2. Концентрацию раствора уксуснокислой ртути (C2) в мкг серы/см3 вычисляют по формуле
где m' - масса контрольного раствора серы, взятого на анализ, г;

- объем раствора уксуснокислой ртути, израсходованный на титрование контрольного раствора, см
3;

- объем раствора уксуснокислой ртути, израсходованный на титрование в контрольном опыте, см
3.
Раствор применяют для титрования пробы с массовой долей серы от 0,2·10-4% до 0,5·10-4%.
2.3.2.3. За концентрацию растворов принимают среднее значение трех параллельных определений, расхождения между которыми не превышают 2 мкг серы/см3 для раствора А и 1, 5 мкг/см3 для раствора Б. Результат округляют до трех значащих цифр. Если расхождения превысят допустимые значения, проверяют герметичность аппарата, правильность приготовления растворов и активного никеля Ренея.
(Измененная редакция, Изм. N 2).
2.3.2.4. Определяют концентрации растворов А и Б в соответствии с условиями, указанными в
разд. 3.
(Введен дополнительно, Изм. N 2).
2.4. Приготовление раствора дитизона
0,05 г дитизона растворяют в 50 см3 ацетона. Раствор хранят в темном прохладном месте. Если при хранении раствор меняет зеленую окраску на коричневую, то следует приготовить свежий раствор.
2.5. Подготовка прибора
Новые приборы, применяемые для анализа, необходимо тщательно промыть горячей дистиллированной водой и высушить в сушильном шкафу.
После каждого анализа прибор также тщательно промывают горячей дистиллированной водой и высушивают.
При сборке прибора шлифы слегка смачивают водой и хорошо притирают.
3.1. В реакционную колбу пипеткой с резиновым баллоном помещают 0,18 - 0,20 см
3 никеля Ренея, суспендированного в 2 см
3 изопропилового спирта. При этом не допускается соприкосновение никеля Ренея с воздухом. Колбу закрывают пришлифованными пробками и взвешивают. Затем, в зависимости от предполагаемой массовой доли серы (см. табл. 1), в колбу вносят от 1 до 20 г анализируемой пробы, взвешенной с погрешностью не более 0,002 г.
Таблица 1
Массовая доля серы, % | Масса навески нефтепродукта, г | Бромное число, г брома на 100 см3 продукта |
От 0,03 до 0,005 | От 1 до 2 | 10 - 5 |
" 0,005 " 0,0005 | " 2 " 5 | 5 - 2 |
" 0,0005 " 0,0001 | " 5 " 10 | 2 - 1 |
" 0,0001 " 0,00002 | " 10 " 20 | 1 - 0,5 |
Примечание. Если бромное число меньше 1, то его определяют по
ГОСТ 2706.11, если больше 1, определяют йодное число по
ГОСТ 2070 и пересчитывают на бромное число.
При маленькой навеске пробы добавляют в реакционную колбу 3 - 5 см3 изопропилового спирта, чтобы исключить соприкосновение никеля Ренея с воздухом.
Собирают аппарат (см.
черт. 1), открывают кран для подачи в холодильник воды, температура которой не должна быть выше 12 - 15 °C, в абсорбер наливают 10 см
3 ацетона, 10 см
3 1,0 моль/дм
3 раствора гидроокиси натрия, 3 - 5 капель дитизона и 1 - 2 капли раствора уксуснокислой ртути (до появления розовой окраски).
Баллон с азотом присоединяют через вентиль точной регулировки или зажимной винт, а газометр через кран к стеклянному штуцеру трубкой из полиэтилена или бессернистой резины. Регулируют скорость подачи азота до 1 - 2 пузырьков в секунду. Ставят колбу на колбонагреватель, который может быть предварительно нагрет, и проводят восстановление.
При анализе углеводородных смесей с температурой кипения ниже 40 °C восстановление ведут при комнатной температуре в течение 1 ч. Если анализируют продукт с температурой кипения 40 - 90 °С, то реакционную смесь доводят до кипения и выдерживают в течение 45 мин, следя за тем, чтобы испаряющиеся компоненты полностью конденсировались в холодильнике. Восстановление бензола проводят при 70 - 75 °C в течение 75 мин при постоянном перемешивании. Реакционную колбу обертывают асбестовым полотном.
Продукты с температурой кипения выше 90 °C нагревают до 85 - 90 °C и выдерживают при этой температуре 45 мин.
Во время восстановления содержимое колбы перемешивают через каждые 3 - 5 мин осторожным встряхиванием, отвинчивая предварительно винт лапки, зажимающей холодильник, или включают магнитную мешалку.
По окончании восстановления прекращают подачу азота, наливают в капельную воронку 10 см3 соляной кислоты и по каплям подают в реакционную смесь 9 см3 соляной кислоты в течение 5 - 7 мин так, чтобы не засасывало жидкость из абсорбера. В случае необходимости периодически открывают подачу азота. В воронке оставляют слой кислоты около 1 см3. После подачи кислоты продолжают подачу азота и повышают температуру до кипения смеси.
Образующийся сероводород увлекается потоком азота в абсорбер, о чем свидетельствует пожелтение раствора в абсорбере.
Раствор в абсорбере титруют по мере выделения сероводорода до изменения окраски от желтой до розовой. Температуру реакционной смеси не снижают до конца испытания. После выделения сероводорода прекращают подачу азота, опускают колбонагреватель или приподнимают колбу, охлаждают ее мокрым полотенцем или струей воздуха. При этом поглотительный раствор из абсорбера засасывается в соединительную трубку. Когда трубка наполнится раствором, быстро открывают подачу азота и ставят колбу на колбонагреватель. Содержимое в колбе нагревается, и раствор из трубки стекает в абсорбер. Промывают трубку несколько раз до тех пор, пока не перестанет изменяться цвет поглотительного раствора. При промывке не допускается попадание раствора в колено трубки над холодильником. Отмечают суммарный объем раствора уксуснокислой ртути, израсходованный на титрование.
(Измененная редакция, Изм. N 1).
3.2. Для определения объема растворов уксуснокислой ртути, соответствующего массе серы, содержащейся в реагентах, катализаторе и изопропиловом спирте, проводят контрольный опыт с соблюдением всех условий испытания. Контрольный опыт проводят при смене катализатора, реактивов или растворов.
4.1. Массовую долю серы (Xс) в процентах вычисляют по формуле
где V - объем раствора уксусной ртути, израсходованный на титрование испытуемого продукта, см3;
V1 - объем раствора уксуснокислой ртути, израсходованный на титрование в контрольном опыте, см3 (V1 обычно около 0,1 см3);
C - концентрация раствора уксуснокислой ртути, выраженная в мкг серы/см3;
m2 - масса навески испытуемого продукта, г.
Вычисленные значения определений округляют до трех значащих цифр.
За результат измерения принимают среднеарифметическое

результатов двух параллельных определений, расхождение между которыми не должно превышать величины

, % серы.
Результат до 1·10-4% серы округляют до одной значащей цифры, свыше 1·10-4 - до двух значащих цифр.
Результат до 0,2·10-4% серы принимают за ее отсутствие.
(Измененная редакция, Изм. N 1, 2).
5.1. Погрешность результата измерения (при доверительной вероятности 0,95) не должна превышать:

, % серы.
5.2. Сходимость
Два результата измерений, полученные одним исполнителем в одной лаборатории, признаются достоверными (при доверительной вероятности 0,95), если расхождение между ними не превышает погрешности

большего из этих результатов.
5.3. Воспроизводимость
Два результата измерений, полученные в разных лабораториях, признаются достоверными (при доверительной вероятности 0,95), если расхождение между ними не превышает

, % серы, где

- больший из сопоставляемых результатов.
Результаты округляют в большую сторону не более чем до двух значащих цифр.
Показатели точности в отдельных точках диапазона приведены в табл. 1а.
Таблица 1а
Показатели точности, %·10-4
Результат,  | B2 | | R |
0,2 | 0,09 | 0,06 | 0,12 |
0,5 | 0,11 | 0,08 | 0,15 |
1,0 | 0,14 | 0,1 | 0,2 |
1,5 | 0,18 | 0,13 | 0,25 |
5,0 | 0,5 | 0,3 | 0,6 |
10 | 0,8 | 0,6 | 1,1 |
5.4. При несоответствии значений сходимости и воспроизводимости выполняют контроль точности в соответствии с
приложением.
Разд. 5. (Измененная редакция, Изм. N 2).
Протокол измерения должен включать:
наименование анализируемого продукта;
ссылку на настоящий стандарт;
любое отклонение от указанного метода измерения;
результат измерения;
дату проведения измерения.
Разд. 6. (Введен дополнительно, Изм. N 2).
Рекомендуемое
КОНТРОЛЬ ТОЧНОСТИ ОПРЕДЕЛЕНИЯ МАССОВОЙ ДОЛИ
СЕРЫ В НЕФТЕПРОДУКТАХ
1. Для контроля точности используют одну или несколько смесей, приведенных в
табл. 2. Смесь (смеси) выбирают таким образом, чтобы аттестованное (по процедуре приготовления) значение массовой доли серы (
Xn) входило в рабочий диапазон.
Таблица 2
Смеси для контроля точности определения массовой доли серы
Номер смеси для контроля | Диапазон определения массовой доли серы, % | Состав смеси для контроля точности | Аттестованное значение массовой доли серы в смеси для контроля точности, Xn, % | Рекомендуемый объем смеси для проведения определения, см3 | Абсолютная погрешность аттестации смеси для контроля точности, % |
0 | - | Растворитель - 250 см3 0,10 - 0,25 г серы или 0,35 - 0,65 г тиофена | | | |
1 | (100 - 300)·10-4 | Смесь 0 - 10 см3, растворитель до 50 см3 | X1 = 0,2X0 | 1 | (1 - 3)·10-4 |
2 | (50 - 100)·10-4 | Смесь 0 - 5 см3, растворитель до 50 см3 | X2 = 0,1X0 | 2 | (0,3 - 1)·10-4 |
3 | (10 - 50)·10-4 | Смесь 2 - 10 см3, растворитель до 50 см3 | X3 = 0,2X2 | 5 | (0,06 - 0,3)·10-4 |
4 | (5 - 10)·10-4 | Смесь 2 - 10 см3, растворитель до 100 см3 | X4 = 0,1X2 | 10 | (0,03 - 0,06)·10-4 |
5 | (1 - 5)·10-4 | Смесь 2 - 2 см3, растворитель до 100 см3 | X5 = 0,02X2 | 20 | (0,006 - 0,03)·10-4 |
6 | (0,5 - 1,0)·10-4 | Смесь 4 - 10 см3, растворитель до 100 см3 | X6 = 0,1X4 | 40 | (0,003 - 0,006)·10-4 |
7 | (0,2 - 0,5)·10-4 | Смесь 4 - 5 см3, растворитель до 100 см3 | X7 = 0,05X4 | 50 | (0,001 - 0,003)·10-4 |
--------------------------------
<*>

где A - массовая доля основного вещества в исходном реагенте, %;
m3 - масса серы или тиофена, г;
32,06 - атомная масса серы;
V3 - объем смеси, см3;

- плотность растворителя, г/см
3;
M - атомная масса серы или молекулярная масса тиофена.
3. При контроле точности выполняют два параллельных определения массовой доли серы в выбранной для контроля смеси (смесях). Массовую долю определяют с требуемой точностью, если выполняются условия:
где
Xс1,
Xс2 и

- два параллельных и среднее значения массовой доли серы, %;
Xn - аттестованное значение массовой доли серы в выбранной смеси для контроля, %;
B2 - предел допускаемого значения расхождения двух параллельных определений, %;

- предел допускаемого значения погрешности результата двух параллельных определений, %.
4. Если условия
пп. 2 или
3 не выполняются, выявляют и устраняют источники ошибок.
Приложение. (Измененная редакция, Изм. N 1, 2).