Главная // Актуальные документы // ГОСТ (Государственный стандарт)СПРАВКА
Источник публикации
М.: Стандартинформ, 2014
Примечание к документу
Текст данного документа приведен с учетом поправок, опубликованных в "ИУС",
N 6, 2015;
N 12, 2021.
Документ
введен в действие с 01.01.2015.
Взамен ГОСТ 23581.20-81 (СТ СЭВ 1227-78) в части разделов 2, 3 и 4.
Название документа
"ГОСТ 32599.2-2013 (ISO 4689-2:2004). Межгосударственный стандарт. Руды железные, концентраты, агломераты и окатыши. Методы определения содержания серы. Метод путем сжигания/титрования"
(введен в действие Приказом Росстандарта от 30.12.2013 N 2418-ст)
"ГОСТ 32599.2-2013 (ISO 4689-2:2004). Межгосударственный стандарт. Руды железные, концентраты, агломераты и окатыши. Методы определения содержания серы. Метод путем сжигания/титрования"
(введен в действие Приказом Росстандарта от 30.12.2013 N 2418-ст)
агентства по техническому
регулированию и метрологии
от 30 декабря 2013 г. N 2418-ст
МЕЖГОСУДАРСТВЕННЫЙ СТАНДАРТ
РУДЫ ЖЕЛЕЗНЫЕ, КОНЦЕНТРАТЫ, АГЛОМЕРАТЫ И ОКАТЫШИ
МЕТОДЫ ОПРЕДЕЛЕНИЯ СОДЕРЖАНИЯ СЕРЫ
МЕТОД ПУТЕМ СЖИГАНИЯ/ТИТРОВАНИЯ
Iron ores, concentrates, agglomerates and pellets.
Determination of sulfur content:
Combustion/titration c method
(ISO 4689-2:2004, MOD)
ГОСТ 32599.2-2013
(ISO 4689-2:2004)
Дата введения
1 января 2015 года
Цели, основные принципы и порядок проведения работ по межгосударственной стандартизации установлены
ГОСТ 1.0-92 "Межгосударственная система стандартизации. Основные положения" и
ГОСТ 1.2-2009 "Межгосударственная система стандартизации. Стандарты межгосударственные, правила и рекомендации по межгосударственной стандартизации. Порядок разработки, принятия, применения, обновления и отмены"
1 ПОДГОТОВЛЕН Федеральным государственным унитарным предприятием "Всероссийский научно-исследовательский центр стандартизации, информации и сертификации сырья, материалов и веществ" (ФГУП "ВНИЦСМВ") и Техническим комитетом по стандартизации ТК 378 "Руды железные, марганцевые и хромовые" на основе аутентичного перевода на русский язык международного стандарта, указанного в
пункте 4
2 ВНЕСЕН Федеральным агентством по техническому регулированию и метрологии
3 ПРИНЯТ Межгосударственным советом по стандартизации, метрологии и сертификации по переписке (протокол от 27 декабря 2013 г. N 63-п)
За принятие проголосовали:
Краткое наименование страны по МК (ИСО 3166) 004-97 | Код страны по МК (ИСО 3166) 004-97 | Сокращенное наименование национального органа по стандартизации |
Армения | AM | Минэкономики Республики Армения |
Беларусь | BY | Госстандарт Республики Беларусь |
Россия | RU | Росстандарт |
Туркмения | TM | Главгосслужба "Туркменстандартлары" |
Узбекистан | UZ | Узстандарт |
4 Настоящий стандарт является модифицированным по отношению к международному стандарту ISO 4689-2:2004 Iron ores - Determination of sulfur content - Part 2: Combustion/titration c method (Руды железные. Определение содержания серы. Часть 2. Метод путем сжигания/титрования) путем изменения отдельных фраз (слов, значений показателей, ссылок), которые выделены в тексте курсивом
Перевод с английского языка (en).
Официальные экземпляры международных стандартов, на основе которых подготовлен настоящий межгосударственный стандарт и на которые даны ссылки, имеются в Федеральном агентстве по техническому регулированию и метрологии.
Степень соответствия - модифицированная (MOD).
| | ИС МЕГАНОРМ: примечание. В официальном тексте документа, видимо, допущена опечатка: приложение ДА отсутствует. | |
Ссылки на международные стандарты, которые приняты в качестве межгосударственных стандартов, заменены в
разделе "Нормативные ссылки" и в тексте стандарта ссылками на соответствующие модифицированные межгосударственные стандарты. Информация о замене ссылок приведена в приложении ДА.
5
Приказом Федерального агентства по техническому регулированию и метрологии от 30 декабря 2013 г. N 2418-ст межгосударственный стандарт ГОСТ 32599.2-2013 (ISO 4689-2:2004) введен в действие непосредственно в качестве национального стандарта Российской Федерации с 1 января 2015 г.
6 ВЗАМЕН ГОСТ 23581.20-81 (СТ СЭВ 1227-78) в части разделов 2, 3 и 4.
Информация об изменениях к настоящему стандарту публикуется в ежегодном информационном указателе "Национальные стандарты", а текст изменений и поправок - в ежемесячном информационном указателе "Национальные стандарты". В случае пересмотра (замены) или отмены настоящего стандарта соответствующее уведомление будет опубликовано в ежемесячном информационном указателе "Национальные стандарты". Соответствующая информация, уведомление и тексты размещаются также в информационной системе общего пользования - на официальном сайте Федерального агентства по техническому регулированию и метрологии в сети Интернет
Настоящий стандарт распространяется на руды железные, концентраты, агломераты и окатыши и устанавливает титриметрический йодометрический метод определения серы при массовой доле от 0,005% до 1,0%, титриметрический алкалиметрический метод - от 0,1% до 5% и метод с использованием автоматических анализаторов - от 0,001% до 5%.
В настоящем стандарте использованы ссылки на следующие межгосударственные стандарты:
ГОСТ 8.315-97 Государственная система обеспечения единства измерений. Стандартные образцы состава и свойств веществ и материалов. Основные положения
ГОСТ 12.1.004-91 Система стандартов безопасности труда. Пожарная безопасность. Общие требования
ГОСТ 12.1.005-88 Система стандартов безопасности труда. Общие санитарно-гигиенические требования к воздуху рабочей зоны
ГОСТ 12.1.019-79 <1> Система стандартов безопасности труда. Электробезопасность. Общие требования и номенклатура видов защиты
--------------------------------
<1> На территории Российской Федерации действует
ГОСТ Р 12.1.019-2009 Система стандартов безопасности труда. Электробезопасность. Общие требования и номенклатура видов защиты.
ГОСТ 12.2.049-80 Система стандартов безопасности труда. Оборудование производственное. Общие эргономические требования
ГОСТ 12.3.002-75 Система стандартов безопасности труда. Процессы производственные. Общие требования безопасности
ГОСТ 12.4.021-75 Система стандартов безопасности труда. Системы вентиляционные. Общие требования
ГОСТ 450-77 Кальций хлористый технический. Технические условия
ГОСТ 435-77 Реактивы. Марганец (II) сернокислый 5-водный. Технические условия
ГОСТ 1770-74 (ИСО 1042-83, ИСО 4788-80) Посуда мерная лабораторная стеклянная. Цилиндры, мензурки, колбы, пробирки. Общие технические условия
ГОСТ 4202-75 Реактивы. Калий йодноватокислый. Технические условия
ГОСТ 4328-77 Реактивы. Натрия гидроокись. Технические условия
ГОСТ 5583-78 Кислород газообразный технический и медицинский. Технические условия
ГОСТ 5679-91 Вата хлопчатобумажная одежная и мебельная. Технические условия
ГОСТ 8050-85 Двуокись углерода газообразная и жидкая. Технические условия
ГОСТ 9147-80 Посуда и оборудование лабораторные фарфоровые. Технические условия
ГОСТ 9293-74 Азот газообразный и жидкий. Технические условия
ГОСТ 15054-80 Руды железные, концентраты, агломераты и окатыши. Методы отбора и подготовки проб для химического анализа и определения содержания влаги
ГОСТ 18300-87 Спирт этиловый ректификованный технический. Технические условия
ГОСТ 20490-75 Реактивы. Калий марганцовокислый. Технические условия
ГОСТ 23932-90 Посуда и оборудование лабораторные стеклянные. Общие технические условия
--------------------------------
<1> На территории Российской Федерации действует ГОСТ Р 53288-2008 Весы неавтоматического действия. Часть 1. Метрологические и технические требования. Испытания.
ГОСТ 29251-91 (ИСО 385-1-84) Посуда лабораторная стеклянная. Бюретки. Часть 1. Общие требования
ГОСТ 32520-2013 Руды железные, концентраты, агломераты и окатыши. Общие требования к методам химического анализа
ГОСТ 32279-2013 (ISO 2596:2006) Руды железные, концентраты, агломераты и окатыши. Методы определения гигроскопической влаги
Примечание - При пользовании настоящим стандартом целесообразно проверить действие ссылочных стандартов в информационной системе общего пользования - на официальном сайте Федерального агентства по техническому регулированию и метрологии в сети Интернет или по ежегодному информационному указателю "Национальные стандарты", который опубликован по состоянию на 1 января текущего года, и по выпускам ежемесячного информационного указателя "Национальные стандарты" за текущий год. Если ссылочный стандарт заменен (изменен), то при пользовании настоящим стандартом следует руководствоваться заменяющим (измененным) стандартом. Если ссылочный стандарт отменен без замены, то положение, в котором дана ссылка на него, применяется в части, не затрагивающей эту ссылку.
В настоящем стандарте применены термины по
[1] <2>.
--------------------------------
<2> На территории Российской Федерации действует
ГОСТ Р 52361-2005 Контроль объекта аналитический. Термины и определения и
ГОСТ Р ИСО 5725-1-2002 Точность (правильность и прецизионность) методов и результатов измерений:
4.1 Требования безопасности:
- к оборудованию производственному (общие требования) - по
ГОСТ 12.2.003;
- оборудованию производственному (эргономические требования) - по
ГОСТ 12.2.049;
4.2 Требования к квалификации исполнителей
К выполнению анализов и (или) обработке результатов допускаются лица, прошедшие профессиональную подготовку, владеющие техникой количественного химического анализа и основами его метрологического обеспечения.
5 Титриметрический йодометрический метод
5.1 Сущность метода
Метод основан на прокаливании навески в токе кислорода, углекислого газа или азота при температуре от 1250 °C до 1350 °C, поглощении образующегося оксида серы водой и титровании сернистой кислоты раствором йодид-йодата в присутствии индикатора крахмала.
5.2 Требования к средствам измерений, испытательному и вспомогательному оборудованию, материалам, реактивам и растворам
Для проведения анализа применяют:
- установку для определения массовой доли серы (показана на
рисунке 1);
- трубки огнеупорные муллито-кремнеземистые по нормативным и техническим документам длиной от 600 до 800 мм с внутренним диаметром от 180 до 200 мм;
- весы лабораторные по
ГОСТ 24104 [высокого (II) класса точности], обеспечивающие погрешность взвешивания не более +/- 0,0002 г;
- крючок из жаропрочной стали длиной от 600 до 700 мм;
- кислород газообразный технический и медицинский по
ГОСТ 5583;
- двуокись углерода газообразную и жидкую по
ГОСТ 8050;
- стекловату или вату хлопчатобумажную по
ГОСТ 5679;
- асбест для заполнения поглотительной колонки;
- оксид вольфрама (VI) по
[4];
- кальций хлористый по
ГОСТ 450, прокаленный при температуре от 700 °C до 800 °C для заполнения эксикатора;
- марганец (II) сернокислый 5-водный, по
ГОСТ 435;
- меди (II) оксид по
ГОСТ 16539, прокаленный при 850 °C в течение 2 ч, или медь по
ГОСТ 859 (в виде стружки или проволоки);
Примечание - Допускается применение других средств измерения, оборудования и реактивов, обеспечивающих проведение анализа с установленной погрешностью.
1 - баллон с кислородом, двуокисью углерода или азотом,
снабженный редукционным вентилем; 2 - хлоркальциевая трубка;
3 - U-образная трубка, содержащая в первой половине
(по ходу газа) асбест, пропитанный оксидом марганца,
во второй - ангидрон или аскарит; 4 - ротаметр для измерения
расхода газа; 5 - огнеупорная трубка длиной от 750 до 800 мм
с внутренним диаметром от 18 до 20 мм; концы трубки должны
выступать из печи не менее чем на 180 мм с каждой стороны;
6 - фарфоровая лодочка; 7 - печь трубчатая горизонтальная
с силитовыми или карборундовыми нагревателями,
обеспечивающими нагрев до 1350 °C, с автоматическим
регулирующим устройством; 8 - трубка с расширением,
заполненная ватой для очистки смеси газов, выходящих
из печи, от механических примесей; 9 - сосуд с раствором
крахмала; 10 - бюретка с титрованным раствором йодид-йодата
калия; 11 - поглотительный сосуд; 12 - сосуд сравнения
(допускается титрование с применением сосудов другой формы
или без сосудов сравнения)
Примечание - При содержании серы более 0,01% для очистки газа допускается использовать только колонку с аскаритом.
Рисунок 1 - Установка для определения массовой доли серы
5.3 Подготовка к проведению анализа
5.3.1 Отбор и подготовка проб - по ГОСТ 15054.
5.3.2 Лодочки перед применением прокаливают в фарфоровой трубке при рабочей температуре до полного выгорания серы, как описано в
5.3.5. Хранят в эксикаторе.
5.3.3 Собирают прибор согласно
рисунку 1. Стеклянные части прибора соединяют плотно, встык, при помощи отрезков резиновых трубок так, чтобы продукты горения не находились в соприкосновении с резиновыми трубками. Фарфоровую трубку вставляют в печь и предварительно прокаливают при температуре от 1250 °C до 1350 °C в токе газа. Трубку с обеих сторон закрывают хорошо подогнанными резиновыми пробками со штуцером и металлической шайбой или используют специальное автоматическое запорное устройство.
5.3.4. Перед началом работы печь нагревают до температуры от 1250 °C до 1350 °C и проверяют установку на герметичность по положению поплавка ротаметра.
5.3.5 Полноту выжигания серы, органических и восстановительных веществ из фарфоровой трубки контролируют следующим образом: поглотительный сосуд и сосуд для сравнения наполняют на 1/3 высоты раствором крахмала, титруют раствором йодид-йодата до бледно-голубой окраски, пропуская кислород, двуокись углерода или азот. Если через 4 - 5 мин окраска раствора в поглотительном сосуде исчезнет, титруют раствором йодид-йодата калия до окрашивания раствора в бледно-голубой цвет, пропускают газ. Неизменяющийся бледно-голубой цвет раствора означает, что сера и летучие восстановительные вещества полностью выгорели из фарфоровой трубки.
5.3.6 Поглотительный сосуд и сосуд с раствором сравнения заполняют на 1/3 или 1/2 высоты (в зависимости от массовой доли серы в пробе) раствором крахмала, окрашенным в присутствии раствора йодид-йодата в бледно-голубой цвет.
5.3.7 Асбест, пропитанный оксидом марганца, для заполнения поглотительной колонки: 13 г сернокислого марганца по
ГОСТ 435 растворяют в небольшом количестве воды и этим раствором пропитывают 90 г асбестового волокна, предварительно прокаленного при температуре от 800 °C до 1000 °C. Добавляют к нему 7 г марганцевокислого калия, растворенного в 200 см
3 воды, кипятят в течение нескольких минут и отфильтровывают асбест на воронку Бюхнера, промывают горячей водой до отсутствия в фильтрате сернокислых солей. Пропитанный оксидом марганца асбест сушат при (105 +/- 5) °C и наполняют им поглотительную колонку.
5.3.8 Крахмал, раствор с массовой концентрацией 0,5 г/дм3: 0,5 г крахмала смешивают с 50 см3 воды, полученную суспензию вливают в 950 см3 кипящей воды при перемешивании, приливают 15 см3 серной кислоты, кипятят в течение 1 - 2 мин и охлаждают;
5.3.9 Растворы йодид-йодата калия:
раствор А: 0,0862 г йодноватокислого калия растворяют в 300 см3 воды, добавляют 0,4 г гидроокиси калия, перемешивают, к полученному раствору добавляют 17 г йодистого калия, растворяют при перемешивании переливают в мерную колбу вместимостью 1000 см3, доводят водой до отмеченного объема и перемешивают. Раствор хранят в склянке из темного стекла;
растворы Б, В и Г готовят разбавлением раствора А водой в соотношении 1:2 (раствор Б), 1:4 (раствор В) и 1:6 (раствор Г), свежеприготовленные.
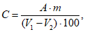
Массовую концентрацию (C) раствора йодид-йодата калия устанавливают по трем навескам стандартного образца железорудного сырья, близкого по химическому составу и массовой доле серы к анализируемой пробе, по методике проведения анализа.
Массовую концентрацию раствора йодид-йодата калия (C), выраженную в граммах серы на кубический сантиметр, рассчитывают по формуле

(1)
где A - массовая доля серы в стандартном образце, %;
m - масса навески стандартного образца, г;
V1 - объем раствора йодид-йодата калия, израсходованный на титрование раствора стандартного образца, см3;
V2 - объем раствора йодид-йодата калия, израсходованный на титрование раствора холостого опыта, см3.
5.4 Проведение анализа
5.4.1 Навеску руды, концентрата, агломерата или окатыша в соответствии с
таблицей 1, взвешенную с точностью до 0,0002 г, помещают в фарфоровую лодочку и покрывают оксидом меди или оксидом вольфрама массой 1 г. В случае легковыгораемых соединений серы в пробе допускается проведение определения без плавня.
Таблица 1
Массовая доля серы, % | Масса навески, г |
От 0,005 до 0,02 вкл. | 1,0 |
св. 0,02 " 0,20 " | 0,5 |
" 0,2 " 0,5 " | 0,25 |
" 0,5 " 1,0 " | 0,1 |
Лодочку с навеской и плавнем с помощью крючка помещают в горячую часть фарфоровой трубки, закрывают затвор и через 20 сек пропускают кислород, углекислый газ или азот со скоростью от 2,5 до 3 дм3/мин.
Когда сернистый газ, поступивший из печи в поглотительный сосуд, начнет обесцвечивать раствор, его титруют раствором йодид-йодата с такой скоростью, чтобы жидкость все время оставалась бледно-голубого цвета. Титрование считается законченным, когда интенсивность окраски в поглотительном растворе не изменяется или когда интенсивность окрасок в поглотительном растворе и растворе сравнения будет одинаковой.
При массовой доле серы от 0,005% до 0,01% используют раствор Г, при массовой доле серы от 0,01% до 0,02% - раствор В, при массовой доле серы от 0,02% до 0,08% - раствор Б, при массовой доле от 0,08% до 1% - раствор А.
Для проверки полноты выгорания серы из навески продолжают подавать газ еще в течение 1 - 2 мин. Если интенсивность окраски раствора не уменьшается, определение считают законченным.
5.4.2 Раствор холостого опыта получают согласно
5.4.1, прокаливая лодочку с плавнем.
6 Титриметрический алкалиметрический метод
6.1 Сущность метода
Метод основан на прокаливании навески пробы в токе кислорода или углекислого газа при температуре от 1250 °C до 1350 °C, поглощении образующегося оксида серы раствором пероксида водорода и титровании серной кислоты раствором гидроокиси натрия в присутствии смеси индикаторов (метилового красного и метиленового голубого).
6.2 Требования к средствам измерений, испытательному и вспомогательному оборудованию, материалам, реактивам и растворам
Для проведения анализа применяют:
- установку для определения массовой доли серы (показана на
рисунке 1);
- трубки огнеупорные муллито-кремнеземистые по нормативно-технической документации длиной от 600 до 800 мм с внутренним диаметром от 180 до 200 мм;
- крючок из жаропрочной стали длиной от 600 до 700 мм;
- кислород газообразный технический и медицинский по
ГОСТ 5583;
- двуокись углерода газообразную и жидкую по
ГОСТ 8050;
- стекловату или вату хлопчатобумажную по
ГОСТ 5679;
- асбест, пропитанный оксидом марганца, как описано в
5.3.7, для заполнения поглотительной колонки;
- марганец (II) сернокислый 5-водный, по
ГОСТ 435;
- меди (II) оксид по
ГОСТ 16539, прокаленный при 850 °C в течение 2 ч, или медь по
ГОСТ 849 (в виде стружки или проволоки);
- водорода пероксид по
ГОСТ 10929, раствор с массовой долей 3%;
- спирт этиловый ректификованный технический по
ГОСТ 18300;
- метиленовый голубой (N,N,N'N'-тетраметилтионин хлористый) 3-водный по
[5];
- метиловый красный по
[6];
Примечание - Допускается применение других средств измерения, оборудования и реактивов, обеспечивающих проведение анализа с установленной погрешностью.
6.3 Подготовка к проведению анализа
6.3.1 Отбор и подготовка проб - по ГОСТ 15054.
6.3.2 Подготовку к анализу проводят, как указано в
5.3.2 -
5.3.4.
6.3.3 Полноту выжигания серы из фарфоровой трубки контролируют следующим образом: в поглотительный сосуд наливают 50 см3 раствора пероксида водорода, 3 - 4 капли смеси индикаторов и пропускают кислород или двуокись углерода. Если окраска в поглотительном сосуде остается зеленой, это означает, что сера полностью выгорела из фарфоровой трубки. Затем в поглотительный сосуд снова наливают 50 см3 раствора пероксида водорода и 3 - 4 капли смеси индикаторов, а в бюретку наливают раствор гидроокиси натрия.
6.3.4 Смесь индикаторов метилового красного и метиленового голубого: 0,1 г метилового красного и 0,1 г метиленового голубого растворяют в 100 см3 этилового спирта.
6.3.5 Растворы натрия гидроокиси с молярной концентрацией 0,005; 0,01 и 0,025 моль/дм3
Помещают в стакан вместимость 250 см3 соответственно 0,2 г, 0,4 г или 1,0 г гидроокиси натрия, растворяют в 100 см3 воды при перемешивании, переливают в мерную колбу вместимостью 1000 см3 доводят водой до отмеченного объема и перемешивают.
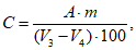
Массовую концентрацию (C) раствора гидроокиси натрия, выраженную в граммах серы на кубический сантиметр, устанавливают по трем навескам стандартного образца железорудного сырья, близкого по химическому составу и массовой доле серы к анализируемой пробе, по методике проведения анализа.
Массовую концентрацию (C), выраженную в граммах серы на кубический сантиметр, рассчитывают по формуле

(2)
где A - массовая доля серы в стандартном образце, %;
m - масса навески стандартного образца, г;
V3 - объем раствора гидроокиси натрия, израсходованный на титрование раствора стандартного образца, см3;
V4 - объем раствора гидроокиси натрия, израсходованный на титрование раствора холостого опыта, см3.
6.4 Проведение анализа
6.4.1 Навеску руды, концентрата, агломерата или окатыша, в соответствии с
таблицей 2, взвешенную с точностью до 0,0002 г, помещают в фарфоровую лодочку и покрывают оксидом меди или оксидом вольфрама массой 1 г. В случае легковыгораемых соединений серы в пробе допускается проведение определения без плавня.
Таблица 2
Массовая доля серы, % | Масса навески, г |
От 0,1 до 0,5 вкл. | 0,25 |
св. 0,5 " 3,0 " | 0,25 |
" 3,0 " 5,0 " | 0,1 |
Лодочку с навеской и плавнем с помощью крючка помещают в горячую часть фарфоровой трубки, закрывают затвор и пропускают газ со скоростью от 2,5 до 3 дм3/мин.
По мере поступления сернистого газа из печи в поглотительный сосуд раствор приобретает фиолетовую окраску, после чего его титруют до перехода фиолетовой окраски в зеленую. Титрование считается законченным, если зеленый цвет раствора не изменяется в течение 1 мин.
При массовой доле серы до 0,5% для титрования используют раствор с молярной концентрацией гидроокиси натрия 0,005 моль/дм3, при массовой доле серы более 0,5% - раствор с молярной концентрацией гидроокиси натрия 0,01 моль/дм3 и при массовой доле серы более 1% - раствор с молярной концентрацией гидроокиси натрия 0,025 моль/дм3.
6.4.2 Раствор холостого опыта получают согласно
6.4.1, прокаливая лодочку с плавнем.
7 Метод с использованием автоматических анализаторов
7.1 Сущность метода
Метод основан на сжигании навески руды, концентрата, агломерата или окатыша в токе кислорода в присутствии плавней при температуре от 1350 °C до 1700 °C и регистрации выделившегося сернистого газа методами кулонометрического титрования или ИК-абсорбции с использованием автоматических анализаторов. Интервал определяемых концентраций указывается в инструкции к прибору.
7.2 Требования к средствам измерений, испытательному и вспомогательному оборудованию, материалам, реактивам и растворам:
- анализатор любого типа, принцип работы которого основан на одном из указанных методов.
7.3 Подготовка к проведению анализа
7.3.1 Отбор и подготовка проб - по ГОСТ 15054.
7.3.2 Подготовку анализатора проводят в соответствии с инструкцией по его эксплуатации. Для градуировки используют стандартные образцы железорудного сырья, близкого по составу и содержанию серы к анализируемой пробе.
7.4 Проведение анализа
Анализ проводят по рабочей инструкции соответствующего анализатора.
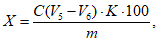
8.1 Массовую долю серы (
X) в процентах, полученную титриметрическим методом по
пунктам 5 и
6, вычисляют по формуле

(3)
где C - массовая концентрация раствора йодид-йодата калия (или гидроокиси натрия), выраженная в г/см3 серы, г/см3;
V5 - объем раствора йодид-йодата калия (или гидроокиси натрия), израсходованный на титрование раствора анализируемой пробы, см3;
V6 - объем раствора йодид-йодата калия (или гидроокиси натрия), израсходованный на титрование раствора холостого опыта, см3;
m - масса пробы, г;
K - коэффициент пересчета массовой доли серы на массовую долю ее в сухом материале, вычисленный по формуле

(4)
где
Wr - массовая доля гигроскопической влаги в анализируемой пробе, определяемая по
ГОСТ 32279.
8.2 Массовую долю серы в процентах, полученную с использованием автоматических анализаторов по
пункту 7, определяют по цифровому табло анализатора за вычетом массовой доли серы в холостом опыте и с учетом массовой доли гигроскопической влаги в анализируемой пробе.
8.3 Оформление и контроль качества результатов измерений в соответствии с
ГОСТ 32520.
Значения показателя точности методики измерений и нормативов контроля точности результатов измерений массовой доли серы приведены в
таблице 3.
Таблица 3
Значения показателя точности методики и нормативов
контроля точности результатов измерений
В процентах
Массовая доля серы, C | Предел повторяемости, r при P = 0,95 | Предел воспроизводимости, R при P = 0,95 | Предел внутрилабораторной прецизионности, Rп при P = 0,95 | Показатель точности, доверительные границы погрешности  при P = 0,95 | Норматив контроля процедуры выполнения измерений, Kт при P = 0,90 |
От 0,001 до 0,005 вкл. | 0,23C + 0,00056 | 0,33C + 0,00080 | 0,28C + 0,00068 | 0,24C + 0,00057 | 0,17C + 0,00040 |
" 0,005 " 0,010 " | 0,0025 | 0,0036 | 0,0030 | 0,0025 | 0,0018 |
" 0,010 " 0,02 " | 0,004 | 0,006 | 0,005 | 0,004 | 0,003 |
" 0,02 " 0,05 " | 0,007 | 0,010 | 0,008 | 0,007 | 0,005 |
" 0,05 " 0,10 " | 0,010 | 0,015 | 0,013 | 0,011 | 0,007 |
" 0,10 " 0,20 " | 0,016 | 0,022 | 0,019 | 0,016 | 0,011 |
" 0,20 " 0,50 " | 0,025 | 0,036 | 0,030 | 0,025 | 0,018 |
" 0,50 " 1,0 " | 0,06 | 0,08 | 0,07 | 0,06 | 0,04 |
" 1,0 " 2,0 " | 0,12 | 0,14 | 0,13 | 0,10 | 0,08 |
" 2,0 " 5,0 " | 0,20 | 0,24 | 0,22 | 0,17 | 0,13 |
Процедуру проверки приемлемости результатов анализа проводят в соответствии со стандартом
[7] и ГОСТ 32520
(п. 10.2).
8.4 Результат анализа оформляют протоколом или записью в журнале в соответствии с ГОСТ 32520
(п. 11).
9 Контроль качества результатов измерений
Оперативный контроль точности и контроль внутрилабораторной прецизионности проводят в соответствии с
ГОСТ 32520 (п. 10.3 и п. 12), рекомендациями
[8] и
[9] с учетом требований
[7].
Значения показателя точности методики и нормативов контроля точности результатов измерений, оцененные в соответствии с
[7] и
[9], приведены в
таблице 3.
| ИСО 5725-1-2002 | Точность (правильность и прецизионность) методов и результатов измерений. Часть 1. Основные положения и определения |
| Технические условия ТУ 6-09-4128-88 | Аскарит чистый |
| Технические условия ТУ 6-09-3880-75 | Ангидрон |
| Технические условия ТУ 6-09-17-250-88 | Вольфрам (VI) оксид (Вольфрам (VI) окись, вольфрамовый ангидрид), чистый |
| Технические условия ТУ 6-09-29-76 | Метиленовый голубой (N,N,N'N'-тетраметилтионин хлористый) 3-водный |
| Технические условия ТУ 6-09-5169-84 | Метиловый красный, индикатор |
| ИСО 5725-6-2002 | Точность (правильность и прецизионность) методов и результатов измерений. Часть 6. Использование значений точности на практике |
| Рекомендации по межгосударственной стандартизации | Государственная система обеспечения единства измерений. Внутренний контроль качества результатов количественного химического анализа |
| Рекомендации по межгосударственной стандартизации | Государственная система обеспечения единства измерений. Показатели точности, правильности прецизионности методик количественного химического анализа. Методы оценки |
УДК 622.341.1:546.712-31.06:006.354 | | MOD |
Ключевые слова: руды железные, концентраты железорудные, агломераты, железорудные, окатыши железорудные, сера, испытание |