Главная // Актуальные документы // ПриказСПРАВКА
Источник публикации
М.: Стандартинформ, 2012
Примечание к документу
Документ
введен в действие с 1 сентября 2012 года.
Название документа
"РМГ 61-2010. Рекомендации по межгосударственной стандартизации. Государственная система обеспечения единства измерений. Показатели точности, правильности, прецизионности методик количественного химического анализа. Методы оценки"
(введены в действие Приказом Росстандарта от 13.12.2011 N 1064-ст)
"РМГ 61-2010. Рекомендации по межгосударственной стандартизации. Государственная система обеспечения единства измерений. Показатели точности, правильности, прецизионности методик количественного химического анализа. Методы оценки"
(введены в действие Приказом Росстандарта от 13.12.2011 N 1064-ст)
агентства по техническому
регулированию и метрологии
от 13 декабря 2011 г. N 1064-ст
РЕКОМЕНДАЦИИ
ПО МЕЖГОСУДАРСТВЕННОЙ СТАНДАРТИЗАЦИИ
ГОСУДАРСТВЕННАЯ СИСТЕМА ОБЕСПЕЧЕНИЯ ЕДИНСТВА ИЗМЕРЕНИЙ
ПОКАЗАТЕЛИ ТОЧНОСТИ, ПРАВИЛЬНОСТИ, ПРЕЦИЗИОННОСТИ
МЕТОДИК КОЛИЧЕСТВЕННОГО ХИМИЧЕСКОГО АНАЛИЗА
МЕТОДЫ ОЦЕНКИ
State system for ensuring the uniformity of measurements.
Accuracy, trueness and precision measures of the procedures
for quantitative chemical analysis. Methods of evaluation
РМГ 61-2010
Группа Т80
Дата введения
1 сентября 2012 года
Цели, основные принципы и основной порядок проведения работ по межгосударственной стандартизации установлены
ГОСТ 1.0-92 "Межгосударственная система стандартизации. Основные положения" и
ГОСТ 1.2-2009 "Межгосударственная система стандартизации. Стандарты межгосударственные, правила и рекомендации по межгосударственной стандартизации. Правила разработки, принятия, применения, обновления и отмены"
1 РАЗРАБОТАНЫ Федеральным государственным унитарным предприятием "Уральский научно-исследовательский институт метрологии" (ФГУП "УНИИМ")
2 ВНЕСЕНЫ Управлением метрологии Федерального агентства по техническому регулированию и метрологии
3 ПРИНЯТЫ Межгосударственным советом по стандартизации, метрологии и сертификации (протокол от 25 ноября 2010 г. N 38)
За принятие проголосовали:
Краткое наименование страны по МК (ИСО 3166) 004-97 | Код страны по МК (ИСО 3166) 004-97 | Сокращенное наименование национального органа по стандартизации |
Грузия | GE | Грузстандарт |
Казахстан | KZ | Госстандарт Республики Казахстан |
Кыргызстан | KG | Кыргызстандарт |
Молдова | MD | Молдова-Стандарт |
Российская Федерация | RU | Росстандарт |
Узбекистан | UZ | Узстандарт |
Украина | UA | Госпотребстандарт Украины |
4 Приказом Федерального агентства по техническому регулированию и метрологии от 13 декабря 2011 г. N 1064-ст рекомендации по межгосударственной стандартизации РМГ 61-2010 введены в действие в качестве рекомендаций по метрологии Российской Федерации с 1 сентября 2012 г.
Информация о введении в действие (прекращении действия) настоящих рекомендаций, изменениях и поправках к ним, а также тексты изменений и поправок публикуются в информационном указателе "Национальные стандарты"
Настоящие рекомендации распространяются на методики количественного химического анализа (далее - методики анализа), разрабатываемые и пересматриваемые в соответствии с ГОСТ 8.010 <1>, и устанавливают показатели точности, правильности, прецизионности методик анализа и методы их оценки.
--------------------------------
<1> Здесь и далее: на территории Российской Федерации действует
ГОСТ Р 8.563-2009 "Государственная система обеспечения единства измерений. Методики выполнения измерений".
Настоящие рекомендации предназначены для применения при оценке показателей точности, правильности, прецизионности методик анализа. Оцененные в соответствии с настоящими рекомендациями показатели точности, правильности, прецизионности методик анализа используют в следующих случаях:
- при оформлении свидетельств об аттестации методик анализа;
- при оформлении соответствующих разделов документов, содержащих методики анализа;
- при оформлении протоколов испытаний (контроля) продукции, анализа объектов;
- при контроле качества результатов анализа.
Положения настоящих рекомендаций могут быть использованы для оценки показателей точности, правильности, прецизионности методик испытаний веществ и материалов, основанных на измерениях.
Рекомендации могут быть использованы при проведении оценки показателей качества методик количественного химического анализа гетерогенных объектов в случае учета фактора, связанного с неоднородностью объекта.
В настоящих рекомендациях использованы нормативные ссылки на следующие межгосударственные нормативные документы:
ГОСТ 8.010-99 Государственная система обеспечения единства измерений. Методики выполнения измерений. Основные положения
ГОСТ 8.315-97 Государственная система обеспечения единства измерений. Стандартные образцы состава и свойств веществ и материалов. Основные положения
ГОСТ 8.531-2002 Государственная система обеспечения единства измерений. Стандартные образцы состава монолитных и дисперсных материалов. Способы оценивания однородности
ГОСТ 12.1.016-79 Система стандартов безопасности труда. Воздух рабочей зоны. Требования к методикам измерения концентрации вредных веществ
ПМГ 96-2009 Государственная система обеспечения единства измерений. Результаты и характеристики качества измерений. Формы представления
РМГ 43-2001 Государственная система обеспечения единства измерений. Применение "Руководства по выражению неопределенности измерений"
РМГ 60-2003 Государственная система обеспечения единства измерений. Смеси аттестованные. Общие требования к разработке
РМГ 91-2009 Государственная система обеспечения единства измерений. Совместное использование понятий "погрешность измерения" и "неопределенность измерения". Общие принципы
РМГ 93-2009 Государственная система обеспечения единства измерений. Оценивание метрологических характеристик стандартных образцов
Примечание - При пользовании настоящими рекомендациями целесообразно проверить действие ссылочных межгосударственных нормативных документов на территории государства по соответствующему указателю стандартов, составленному по состоянию на 1 января текущего года, и по соответствующим информационным указателям, опубликованным в текущем году. Если ссылочный документ заменен (изменен), то при пользовании настоящими рекомендациями следует руководствоваться заменяющим (измененным) документом. Если ссылочный документ отменен без замены, то положение, в котором дана ссылка на него, применяется в части, не затрагивающей эту ссылку.
3. Термины, определения и обозначения
3.1 В настоящих рекомендациях применены термины "истинное значение величины", "погрешность", "систематическая погрешность", "случайная погрешность", "неопределенность", "стандартная неопределенность", "расширенная неопределенность", "коэффициент охвата", "точность", "правильность", "прецизионность", "повторяемость", "воспроизводимость" по руководству
[1], "условия повторяемости", "условия воспроизводимости", "среднее квадратическое (стандартное) отклонение повторяемости", "среднее квадратическое (стандартное) отклонение воспроизводимости" по международному стандарту
[2], а также следующие термины с соответствующими им определениями.
3.1.1 количественный химический анализ пробы вещества (материала); количественный химический анализ; анализ: Экспериментальное количественное определение содержания (массовой концентрации, массовой доли, объемной доли и т.д.) одного компонента или ряда компонентов в пробе химическими, физико-химическими, физическими методами.
3.1.2 методика количественного химического анализа; методика анализа: Совокупность операций, выполнение которых обеспечивает получение результатов количественного химического анализа (результатов анализа) с установленными показателями точности (неопределенностью или характеристикой погрешности).
1 Методика анализа представляет собой разновидность методики измерений.
2 В качестве измеряемой характеристики принимают содержание одного или ряда компонентов пробы.
3.1.3 результат анализа <1>: Среднее значение (среднее арифметическое значение или медиана) результатов единичного анализа.
--------------------------------
<1> Результат анализа по существу представляет собой среднее n результатов измерений y (по международному стандарту
[2]), полученных в условиях повторяемости при фиксированных значениях n. В самом простом случае (если методикой анализа не предусмотрено проведение параллельных определений) результат единичного анализа считают собственно результатом анализа.
3.1.4 результат единичного анализа; результат определения <2>: Значение содержания компонента в пробе вещества (материала), полученное при однократной реализации процедуры анализа.
--------------------------------
<2> "Результат единичного анализа" - аналог "результата измерений" по
[2].
Примечание к
3.1.3 и
3.1.4 - В документе на методику анализа устанавливают, сколько (один или более) результатов единичного анализа в одинаковых условиях и практически одновременно (результатов параллельных определений) должно быть получено, а также способы их усреднения и представления в качестве результата анализа.
3.1.5 промежуточная прецизионность: Прецизионность в условиях, в которых результаты анализа получают по одной и той же методике анализа, на идентичных пробах при вариации одного (например, время) или нескольких (например, исполнители и время) факторов, формирующих разброс результатов при применении методики анализа в конкретной лаборатории.
3.1.6 внутрилабораторная прецизионность: Промежуточная прецизионность в условиях, в которых результаты анализа получают при вариации всех факторов, формирующих разброс результатов при применении методики анализа в конкретной лаборатории.
3.1.7 межлабораторная вариация: Величина, характеризующая разброс результатов анализа, получаемых во всех лабораториях, применяющих данную методику анализа.
3.1.8 систематическая погрешность методики анализа: Разность между математическим ожиданием результатов анализа, полученных во всех лабораториях, применяющих данную методику, и истинным (действительным) значением измеряемой характеристики.
3.1.9 систематическая погрешность лаборатории (при реализации методики анализа): Разность между математическим ожиданием результатов анализа, полученных в отдельной лаборатории, и истинным (действительным) значением измеряемой характеристики.
3.1.10 смещение: Отклонение среднего значения, полученного на основе большой серии результатов анализа, от опорного значения.
3.1.11 показатели качества методики анализа: Значения неопределенности или приписанной характеристики погрешности методики анализа и составляющих неопределенности или характеристики погрешности.
Примечание - К показателям качества методики анализа относят показатели точности, правильности, повторяемости, воспроизводимости, внутрилабораторной прецизионности (если методика предназначена для применения в одной лаборатории), а также, при необходимости, другие показатели, характеризующие составляющие бюджета неопределенности или погрешности измерений, получаемые по методике анализа.
3.1.12 показатель точности методики анализа; значение неопределенности или приписанной характеристики погрешности методики анализа: Значение неопределенности или характеристики погрешности, установленное для любого результата анализа, полученного при соблюдении требований и правил данной методики.
Примечание - Значения показателя точности могут быть приписаны любому результату анализа, полученному при соблюдении требований и правил, установленных в документе на методику анализа.
3.1.13 показатель правильности методики анализа: Значение неопределенности смещения или приписанной характеристики систематической погрешности, полученное на основе результатов измерений разных лабораторий.
3.1.14 показатель воспроизводимости методики анализа: Значение неопределенности или приписанной характеристики случайной погрешности результатов анализа, полученных по методике в условиях воспроизводимости.
3.1.15 показатель повторяемости методики анализа: Значение неопределенности или приписанной характеристики случайной погрешности результатов единичного анализа, полученных по методике в условиях повторяемости.
3.1.16 показатель внутрилабораторной прецизионности: Значение неопределенности или приписанной характеристики случайной погрешности результатов анализа, полученных по методике в условиях внутрилабораторной прецизионности.
3.1.17 предел повторяемости: Допускаемое для принятой вероятности 95% расхождение между наибольшим и наименьшим из n результатов единичного анализа, полученных в условиях повторяемости <1>.
--------------------------------
<1> В международном стандарте
[2] термин "предел повторяемости" приведен для n = 2. С учетом того, что методиками анализа, как правило, предписано получение результата анализа как среднего из n параллельных определений, при этом

, в определении термина предусмотрено использование n, установленного методикой анализа.
3.1.18 предел воспроизводимости: Допускаемое для принятой вероятности 95% расхождение между двумя результатами анализа, полученными в условиях воспроизводимости.
3.1.19 предел внутрилабораторной прецизионности: Допускаемое для принятой вероятности 95% расхождение между двумя результатами анализа, полученными в условиях внутрилабораторной прецизионности.
3.1.20 норма точности: Значение показателя точности, допускаемое для определенных целей анализа.
3.1.21 показатель точности результатов анализа: Значение неопределенности или характеристики погрешности, установленное для любого результата анализа, полученного при соблюдении требований и правил данной методики при ее реализации в конкретной лаборатории.
Примечания
1 Значения показателя точности результатов анализа не должны превышать соответствующих значений показателя точности методики анализа.
2 Если методика анализа предназначена для применения в одной лаборатории, то значения показателя точности результатов анализа и показателя точности методики анализа совпадают.
3.1.22 опорное значение: Значение, используемое в качестве согласованного для сравнения.
Примечания
1 В методах оценки показателей качества методик анализа, рассмотренных в настоящих рекомендациях, в качестве опорного значения принимают аттестованное значение стандартного образца или аттестованной смеси.
2 Для эмпирических методик анализа (методик, результаты анализа по которым получают в условных единицах применительно к используемому методу анализа) в качестве опорного значения используют математическое ожидание измеряемой характеристики, т.е. среднее значение заданной совокупности результатов анализа.
3 В некоторых случаях в качестве опорного значения могут быть использованы данные лаборатории, получающей результаты анализа с максимальной точностью и выбранной на основе установленных обоснованных критериев.
3.2 Обозначения, используемые в настоящих рекомендациях, приведены в
приложении А.
4.1 Для подтверждения соответствия методик анализа установленным метрологическим требованиям к измерениям необходимо провести оценку значений показателя точности и проверку их соответствия установленным нормам точности (при наличии последних).
4.2 Формы представления показателя точности и других показателей качества методики анализа, формирующих показатель точности, а также их связь с качественными характеристиками анализа приведены в таблице 1.
Таблица 1
Номенклатура и формы представления показателей
качества методики анализа
Качественная характеристика анализа | Показатель качества (количественная характеристика) методики анализа | Формы представления показателей качества методики анализа | Форма оценки показателя качества |
Приписанная характеристика погрешности, характеристики составляющих погрешности <1> | Расширенная неопределенность <2>, составляющие расширенной неопределенности |
Точность | Показатель точности методики анализа - значение неопределенности (приписанной характеристики погрешности) методики анализа <3> | Границы  , в которых погрешность любого из совокупности результатов анализа, получаемых по данной методике, находится с принятой вероятностью P, или  , P, при  , где Z - квантиль распределения, зависящий от его типа и принятой вероятности P | Расширенная неопределенность U, принятая для любого результата из совокупности результатов анализа, получаемых по данной методике,  , где  - коэффициент охвата | Интервальная оценка показателя точности |
Среднее квадратическое отклонение -  погрешности результатов анализа, полученных во всех лабораториях, применяющих данную методику анализа |  - суммарная стандартная неопределенность, принятая для любого результата из совокупности результатов анализа, получаемых по данной методике | Точечная оценка показателя точности |
Правильность | Показатель правильности методики анализа - значение неопределенности смещения (приписанной характеристики систематической погрешности) методики анализа <3> | Границы  , в которых систематическая погрешность методики анализа находится с принятой вероятностью P, или  , P, где  | Расширенная неопределенность значения смещения  , принятая для любого из совокупности результатов анализа, получаемых по данной методике  | Интервальная оценка показателя правильности |
Среднее квадратическое отклонение неисключенной систематической погрешности методики анализа  | Стандартная неопределенность значения смещения  , принятая для любого из совокупности результатов анализа, получаемых по данной методике | Точечная оценка показателя правильности |
Повторяемость | Показатель повторяемости методики анализа - значение неопределенности (приписанной характеристики случайной погрешности) результатов единичного анализа, полученных в условиях повторяемости | Предел повторяемости -  для n результатов параллельных определений, установленных методикой анализа | Интервальная оценка показателя повторяемости |
Среднее квадратическое отклонение результатов единичного анализа, полученных по методике в условиях повторяемости -  | Стандартная неопределенность -  , характеризующая разброс результатов единичного анализа, полученных по методике в условиях повторяемости | Точечная оценка показателя повторяемости |
Воспроизводимость | Показатель воспроизводимости методики анализа - значение неопределенности (приписанной характеристики случайной погрешности) результатов анализа, полученных в условиях воспроизводимости | Предел воспроизводимости - R для двух результатов анализа | Интервальная оценка показателя воспроизводимости |
Среднее квадратическое отклонение всех результатов анализа, полученных по методике в условиях воспроизводимости, -  | Стандартная неопределенность -  , характеризующая разброс всех результатов анализа, полученных по методике в условиях воспроизводимости | Точечная оценка показателя воспроизводимости |
Внутрилабораторная прецизионность | Показатель внутрилабораторной прецизионности - значение неопределенности (приписанной характеристики случайной погрешности) результатов анализа, полученных в условиях внутрилабораторной прецизионности <4> | Предел внутрилабораторной прецизионности -  для двух результатов анализа | Интервальная оценка показателя внутрилабораторной прецизионности |
Среднее квадратическое отклонение всех результатов анализа, полученных по методике в условиях внутрилабораторной прецизионности, -  | Стандартная неопределенность -  , характеризующая разброс всех результатов анализа, полученных по методике в условиях внутрилабораторной прецизионности | Точечная оценка показателя внутрилабораторной прецизионности |
<1> Математическая модель характеристики погрешности результатов анализа представлена в приложении Б. <2> Расширенная неопределенность может быть сформирована с использованием не только приведенных в таблице показателей, но и других составляющих бюджета неопределенности, оцененных как по типу A, так и по типу B согласно руководству [3]. <3> Показатели точности и правильности допускается устанавливать с учетом значения смещения в случае значимости последнего. <4> Представляет собой показатель качества методики анализа, если методика предназначена для применения в одной лаборатории. |
4.3 Для проведения оценки значений показателя точности необходимо:
- установить факторы, которые могут влиять на формирование показателя точности;
- выбрать математическую модель, описывающую влияние различных факторов на результат измерений;
- выбрать алгоритмы проведения оценки показателей точности измерений;
- определить составляющие бюджета неопределенности или характеристики погрешности и оценить их значимость для формирования показателя точности;
- составить план экспериментальных исследований и провести эти исследования в соответствии с планом;
- оценить значения показателя точности (в виде расширенной неопределенности или характеристики погрешности).
4.4 В общем случае методики анализа включают в себя стадии подготовки пробы к анализу, измерений аналитических сигналов (промежуточных измерений) и их обработки, вычисления результата анализа, функционально связанного с результатами измерений аналитических сигналов. Каждая из этих стадий отягощена своей неопределенностью (погрешностью). При этом на формирование показателя точности могут оказывать влияние такие факторы, как:
- случайные различия между составами отобранных проб;
- матричные эффекты и взаимные влияния;
- неполнота извлечения, концентрирования;
- возможные изменения состава пробы вследствие ее хранения;
- метрологические характеристики используемых средств измерений, стандартных образцов (СО) или аттестованных смесей (АС), оборудования, а также чистота используемых реактивов;
- неадекватность математической модели, положенной в основу метода измерения;
- неадекватность образцов для градуировки анализируемым пробам;
- неопределенность значения поправки на холостую пробу;
- действия оператора;
- вариации параметров окружающей среды при проведении измерений (температура, влажность, загрязнение воздуха и т.д.);
- случайные эффекты.
Выбор факторов, влияющих на значения показателя точности, может быть реализован с учетом положений международного стандарта
[2]. При выборе факторов руководствуются принципами рациональности и значимости влияния факторов на результаты анализа.
4.5 При выборе математической модели, описывающей влияние различных факторов на результат измерений, учитывают функциональную зависимость результата измерений от входных параметров измеряемых величин, возможность одновременного (совместного) оценивания влияния на результат измерения большой совокупности факторов, возможность проведения оценки показателя точности путем определения общей эффективности метода с использованием многофакторного эксперимента.
4.6 Оценка показателя точности может быть проведена с использованием экспериментальных исследований, а также на основе априорной информации о составляющих бюджета неопределенности (характеристиках погрешности), влияющих на результат измерений.
Экспериментальные исследования проводят с использованием образцов веществ, материалов, объектов (в том числе стандартных образцов или аттестованных смесей) или образцов, имитирующих вещества, материалы, объекты, необходимых для установления показателей качества методики анализа (далее - образцы для оценивания).
На основе экспериментальных исследований может быть проведена оценка показателя воспроизводимости, показателя внутрилабораторной (или промежуточной) прецизионности, показателя повторяемости, показателя правильности (смещения и его неопределенности - неисключенных остатков систематической погрешности).
На основе априорной информации могут быть оценены вклады факторов, связанных с отличием образцов для оценивания от реальных проб, неопределенностью (погрешностью) используемого типа средств измерений, неопределенностью (погрешностью) определения содержания компонентов в используемых реактивах, материалах, стандартных образцах, установления используемых коэффициентов и т.п.
Примечание - При проведении оценки показателя точности учитывают факторы, оказывающие значимое влияние на результат измерений <1>.
--------------------------------
<1> При оценивании показателей качества методик анализа гетерогенных объектов к оцененным в результате эксперимента значениям показателя точности добавляют характеристику погрешности (неопределенность), связанную с неоднородностью проб (см. например, РМГ 93).
4.7 Оценка показателей прецизионности (повторяемости и воспроизводимости) может быть проведена на основе экспериментальных исследований с использованием либо однородных и стабильных рабочих проб анализируемого вещества (материала), либо СО по
ГОСТ 8.315, либо АС по
РМГ 60.
Примечание - Рабочие пробы должны быть однородны и стабильны по составу на все время проведения эксперимента.
4.8 Для проведения оценки показателя воспроизводимости может быть организован межлабораторный эксперимент, для проведения оценки показателя внутрилабораторной (промежуточной) прецизионности - эксперимент с варьированием соответствующих условий. Требования к организации и проведению эксперимента и обработке его результатов приведены в
разделе 5.
Примечания
1 При разработке и аттестации методики анализа, предназначенной для применения в одной конкретной лаборатории, оценивают показатель внутрилабораторной прецизионности (показатель воспроизводимости не подлежит оценке).
2 Допускается на основе имеющейся в нормативной и технической документации информации о соотношении показателей повторяемости и воспроизводимости для соответствующих объектов и методов анализа устанавливать предельные значения показателя воспроизводимости.
4.9 Оценка показателя правильности методики анализа может быть проведена на основе экспериментальных исследований одним из следующих способов - с применением:
- набора образцов для оценивания в виде СО или АС;
- однофакторных или многофакторных планов эксперимента;
- аттестованной методики анализа с известными (оцененными) значениями показателя точности (методики сравнения);
- метода добавок;
- метода добавок в сочетании с методом разбавления;
- метода варьирования навески.
Требования к организации и проведению эксперимента и обработке его результатов приведены в
разделах 5 -
10.
4.10 При невозможности или экономической нецелесообразности провести оценку показателя правильности методики анализа с целью получить оценку значения смещения и его неопределенности (характеристики систематической погрешности) на основе единого эксперимента оценивают факторы, которые могут влиять на смещение результатов измерений, с помощью отдельных экспериментов или с использованием априорной информации.
Примечания
1 Оцениваемые таким путем факторы, в зависимости от использованной математической модели, могут быть отнесены как к случайным, так и к систематическим.
2 Проведение оценки показателя правильности, а также показателя точности методики анализа на основе учета влияния на результат анализа отдельных факторов, их формирующих, может быть реализовано при оценивании в виде расширенной неопределенности - в соответствии с руководствами
[3],
[4], при оценивании в виде характеристики погрешности - в соответствии с расчетно-экспериментальным
методом по приложению В.
4.11 Значения показателя точности методики анализа устанавливают на основе суперпозиции показателей:
- воспроизводимости и правильности - для методик, предназначенных для применения в сети лабораторий;
- внутрилабораторной прецизионности и правильности - для методик, предназначенных для применения в одной лаборатории.
Примечание - Для эмпирических методик, предназначенных для применения в сети лабораторий, показатель точности методики анализа формируют только на основе показателя воспроизводимости.
4.12 Значения показателей качества методики анализа устанавливают для всего диапазона действия методики анализа для всех диапазонов изменения сопутствующих компонентов (далее - влияющие факторы пробы), а также условий выполнения измерений, указываемых в документе на методику анализа.
4.13 Способы выражения показателей качества методики анализа должны соответствовать принятым в исходных данных на разработку (пересмотр) конкретной методики анализа.
4.14 Значения показателя точности методики анализа указывают в единицах измеряемой величины (абсолютные) или в процентах (относительные) относительно результатов анализа. Допускается представлять значения показателя точности методики анализа в виде формул, таблиц, графиков.
4.15 Значения показателя точности методики анализа выражают числом, содержащим не более двух значащих цифр. Для промежуточных результатов расчета рекомендуется сохранять третью значащую цифру. При записи окончательного результата третью значащую цифру округляют в большую сторону. Допускается показатель точности представлять числом, содержащим одну значащую цифру. В этом случае вторую значащую цифру округляют в большую сторону, если цифра последующего, неуказываемого младшего, разряда равна или больше пяти, или в меньшую сторону, если эта цифра меньше пяти, - по
ПМГ 96.
4.16 Значения показателя точности методики анализа, рассчитанные в соответствии с настоящими рекомендациями, не должны превышать норм точности (при их наличии).
4.17 Полученные в соответствии с настоящими рекомендациями значения показателя точности приводят в документе на методику анализа и в свидетельстве об аттестации методики анализа.
4.18 Краткие сведения об оценках показателей качества методики анализа, полученных на основе экспериментальных данных, приводят в документе на методику анализа, например, в виде отдельного справочного приложения. Рекомендуемая
форма указания этих сведений - в соответствии с приложением Г.
4.19 При применении методик анализа с установленными показателями качества в конкретной лаборатории оценивают и контролируют внутрилабораторную прецизионность и систематическую погрешность лаборатории. Нормативы внутрилабораторного контроля устанавливают с учетом показателей качества методики анализа, нормативы внешнего контроля - на их основе.
Примечание - Оценки внутрилабораторной прецизионности и систематической погрешности лаборатории могут быть проведены с использованием алгоритмов, изложенных в настоящих рекомендациях, при реализации алгоритмов в конкретной лаборатории, а также на основе рекомендаций международных стандартов
[2],
[5] -
[8].
4.20 Результаты анализа, полученные по методике с установленными значениями показателей качества, в документах, их использующих, представляют в виде (при подтвержденном в лаборатории соответствии аналитической процедуры требованиям методики):

либо

,
где

- результат анализа;

- значение характеристики погрешности методики анализа, соответствующее результату анализа
<1>;
U - значение расширенной неопределенности при коэффициенте охвата k = 2, соответствующее результату анализа.
--------------------------------
<1> Интегральная оценка показателя точности - в соответствии с
таблицей 1.
Примечание - Допускается при выполнении условия

результат анализа представлять в виде:

либо

,
где

- значение показателя точности результатов анализа, установленное при реализации методики в конкретной лаборатории и обеспечиваемое контролем стабильности результатов анализа.
5. Метод оценки показателей качества методики анализа с помощью набора образцов для оценивания в условиях получения экспериментальных данных в одной или в нескольких лабораториях
5.1 Основные допущения и общие требования к проведению эксперимента
5.1.1 Распределение случайной погрешности результата анализа (распределение возможных значений результатов анализа) принимают нормальным
<2>.
5.1.2 Распределение неисключенной систематической погрешности методики анализа (распределение возможных значений смещения) принимают нормальным <2>.
--------------------------------
<2> На практике достаточно, чтобы распределение было симметричным и одномодальным.
5.1.3 Распределение погрешности аттестации (распределение возможных значений величины аттестованной характеристики) образцов для оценивания (в виде СО или АС) принимают равномерным.
5.1.4 Влияющие факторы пробы не оказывают значимого влияния на погрешность (неопределенность) измерений.
5.1.5 Образцы для оценивания (ОО) выбирают так, чтобы содержание определяемого компонента в ОО позволило охватить диапазон измерений, предусмотренных методикой анализа.
Примечание - В качестве ОО для оценки показателей прецизионности могут быть использованы как СО и АС, так и стабильные и однородные рабочие пробы. Для оценки показателя точности в соответствии с алгоритмом
раздела 5 используют СО или АС.
5.1.6 Общий состав ОО должен соответствовать области применения методики анализа.
5.1.7 В общем случае число ОО должно быть не менее пяти.
Примечания
1 Если в процессе разработки методики анализа установлено отсутствие значимой зависимости показателя точности методики анализа от измеряемого содержания (например, небольшой диапазон измерений) или получена информация о линейной зависимости показателя точности методики анализа от измеряемого содержания, то допускается использование одного или двух ОО соответственно.
2 Если для оценки показателей прецизионности используют стабильные и однородные рабочие пробы, то число ОО для оценки показателя правильности определяют с учетом числа поддиапазонов, на которые, после оценки показателей прецизионности, может быть разбит диапазон действия методики анализа
(5.5.2.2).
5.1.8 ОО должны быть стабильны во время проведения эксперимента. В противном случае нестабильность ОО будет одним из факторов, формирующих прецизионность анализа. Общие требования к стабильности ОО приведены в международных стандартах
[2],
[5].
5.1.9 ОО должны быть выбраны так, чтобы погрешность (неопределенность), связанная с изменением содержания компонента в навесках этого ОО, была пренебрежимо мала по сравнению с показателем повторяемости методики анализа. В противном случае она будет одним из факторов, формирующих прецизионность анализа.
5.1.10 Планирование эксперимента должно отвечать условиям воспроизводимости, если методика предназначена для применения в сети лабораторий, или внутрилабораторной прецизионности, если методика предназначена для применения в одной лаборатории.
5.1.10.1 При проведении эксперимента в условиях воспроизводимости ОО отсылают в L лабораторий <1>. Каждая из L лабораторий получает N результатов единичного анализа в условиях повторяемости. Выбор числа лабораторий и числа результатов единичного анализа каждого ОО осуществляют в соответствии с
приложением Д и международными стандартами
[2],
[5],
[7]. При выборе числа лабораторий и результатов единичного анализа необходимо учитывать погрешность (неопределенность) оценки среднего квадратического отклонения воспроизводимости.
--------------------------------
<1> В соответствии с международным стандартом
[5] под "лабораторией" подразумевают сочетание таких факторов, как "оператор", "оборудование" и "место измерений". Одна лаборатория в общепринятом значении этого слова представляет собой несколько "лабораторий" в том случае, если она может предусматривать наличие нескольких операторов, каждый из которых располагает своим рабочим местом с комплектом оборудования и условиями, в которых выполняют работу. На основании изложенного число лабораторий - участников эксперимента в общепринятом значении этих слов должно быть не менее двух.
5.1.10.2 При проведении эксперимента в условиях внутрилабораторной прецизионности экспериментальные данные получают в одной лаборатории, варьируя всеми факторами, формирующими внутрилабораторную прецизионность (серии результатов единичного анализа получают в разное время, разные операторы, используя разные партии реактивов одного типа, разные наборы мерной посуды и т.п.).
Результаты единичного анализа внутри каждой серии получают в одинаковых условиях и практически одновременно. При этом число серий результатов единичного анализа выбирают с учетом рекомендаций
5.1.10.1 для числа лабораторий при организации межлабораторного эксперимента.
Время проведения эксперимента занимает период, охватывающий такие процедуры и изменения, как градуировка средств измерений, смена реактивов одного типа, изменение условий окружающей среды и т.д.
Примечание - Для оценивания показателей прецизионности в диапазоне (поддиапазоне), в котором изменением соответствующих показателей допускается пренебречь, могут быть использованы разные рабочие пробы
(приложение Е).
5.1.11 Получение результатов единичного анализа с учетом положений международного стандарта
[5] организуют с соблюдением следующих рекомендаций
<2>:
а) применяют поверенные (калиброванные) средства измерений;
б) каждую группу из N
<3> результатов единичного анализа получают при соблюдении условий повторяемости, т.е. в пределах короткого интервала времени, с помощью одного и того же оператора, с использованием одной и той же мерной посуды, одних и тех же партий реактивов одного типа, одних и тех же средств измерений;
в) в каждой лаборатории (или для каждой серии результатов анализа) единичные анализы выполняют в соответствии с процедурой, описанной в методике анализа, независимым образом так, как если бы это были N результатов единичного анализа различных проб;
г) группы из N результатов единичного анализа разных ОО в одной лаборатории при проведении межлабораторного эксперимента могут быть получены в разные дни, но обязательно одним оператором. Если один оператор не может выполнить анализы всех ОО, допускается его замена другим оператором при анализе другого ОО, при этом N результатов единичного анализа одного ОО должны быть получены одним оператором.
--------------------------------
<2> Могут быть использованы результаты анализа ОО, полученные ранее в лабораториях (лаборатории).
<3> Число результатов параллельных определений, получаемых в соответствии с методикой анализа, обозначено n.
5.1.12 При организации проведения эксперимента по оценке показателей качества методики анализа подлежат учету рекомендации, приведенные в
приложении Ж.
5.1.13 Экспериментальные данные, полученные из лабораторий, представляют в виде таблицы (см. таблицу 2).
Таблица 2
Результаты единичного анализа образцов для оценивания
Номер ОО | Содержание определяемого компонента в ОО (аттестованное значение ОО) | Погрешность/ неопределенность аттестованного значения ОО | Номер лаборатории (или серии результатов анализа) | Номер результата единичного анализа, полученного в условиях повторяемости |
1 | ... | i | ... | N |
1 | | | 1 | | ... | | ... | |
... | ... | ... | ... | ... | ... |
L | | ... | | ... | |
... | ... | ... | ... | ... | ... | ... | ... | ... |
m | | | 1 | | ... | | ... | |
... | ... | ... | ... | ... | ... |
I | | ... | | ... | |
... | ... | ... | ... | ... | ... |
L | | ... | | ... | |
... | ... | ... | ... | ... | ... | ... | ... | ... |
M | | | 1 | | ... | | ... | |
... | ... | ... | ... | ... | ... |
L | | ... | | ... | |
Примечание - При представлении результатов анализа указывают условия получения результатов анализа (условия внутрилабораторной прецизионности или условия воспроизводимости), а также наименование лаборатории, исполнителя, дату (время) проведения анализа и другие условия (при необходимости). Аналогичную информацию представляют при использовании других методов оценки показателей качества методики анализа по настоящим рекомендациям. |
5.2 Оценка показателей прецизионности (повторяемости, воспроизводимости или внутрилабораторной прецизионности) методики анализа
5.2.1 Оценка показателя повторяемости методики анализа
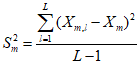
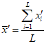
5.2.1.1 Рассчитывают среднее арифметическое

и выборочную дисперсию

результатов единичного анализа содержания компонента в m-м ОО, полученных в условиях повторяемости (параллельных определений):

, (1)

, (2)
m = 1,..., M; l = 1,..., L.
5.2.1.2 На основе полученных значений выборочных дисперсий

в m-м ОО проверяют гипотезу о равенстве генеральных дисперсий <1>, используя критерий Кохрена
<2>.
--------------------------------
<1> Дисперсии результатов единичного анализа, полученные в различных лабораториях, имеют различные значения. Предполагают, что для аттестованной методики анализа такие различия между лабораториями невелики и что допустимо установить одно общее (усредненное) значение дисперсии для всех лабораторий, применяющих данную методику.
<2> Целесообразно использование других критериев, например критерия Бартлетта, при получении разного числа результатов параллельных определений в разных лабораториях (разных сериях) и при числе результатов параллельных определений в каждой лаборатории (каждой серии) более трех.
Значение критерия Кохрена

рассчитывают по формуле

(3)
и сравнивают его с табличным значением этого критерия

для числа степеней свободы

, соответствующего максимальной дисперсии, и f = L, соответствующего числу суммируемых дисперсий, и принятой доверительной вероятности P = 0,95 (значения

приведены в
таблице И.1 [приложение И]).
Если

, то соответствующее

из дальнейших расчетов исключают и процедуру повторяют до следующего по значению

и т.д. до тех пор, пока

не станет меньше либо равно

.
Примечание - Целесообразно исключать из расчетов не более двух дисперсий, в противном случае необходимо проанализировать полученные данные.
5.2.1.3 Неисключенные из расчетов

считают однородными и по ним оценивают средние квадратические отклонения (далее - СКО), характеризующие повторяемость результатов единичного анализа (параллельных определений), полученных для содержания, соответствующего содержанию компонента в m-м ОО. Эти СКО -

рассчитывают по формуле

, (4)
где в числе слагаемых нет отброшенных значений и L' - число неотброшенных дисперсий.
5.2.1.4 Показатель повторяемости методики анализа в виде СКО
<1> -

для содержания, соответствующего содержанию компонента в m-м ОО, устанавливают, принимая равным


(5)
--------------------------------
<1> Стандартное отклонение повторяемости по международному стандарту
[2].
5.2.1.5 Показатель повторяемости методики анализа в виде предела повторяемости
<2> -

для содержания, соответствующего содержанию компонента в m-м ОО, рассчитывают по формуле

, (6)
где n - число параллельных определений, предусмотренных методикой анализа;
Q(P, n) = 2,77 при n = 2, P = 0,95;
Q(P, n) = 3,31 при n = 3, P = 0,95;
Q(P, n) = 3,63 при n = 4, P = 0,95;
Q(P, n) = 3,86 при n = 5, P = 0,95.
--------------------------------
<2> Значение предела повторяемости рассчитывают в случае, если методикой анализа предусмотрено проведение параллельных определений, и используют при проверке приемлемости результатов единичного анализа, полученных в условиях повторяемости.
5.2.2 Оценка показателя воспроизводимости методики анализа или показателя внутрилабораторной прецизионности
5.2.2.1 Проводят проверку средних значений, полученных в условиях повторяемости (или в условиях внутрилабораторной прецизионности),

на наличие выбросов по критерию Граббса.
а) Для результатов анализа каждого ОО

находят максимальное

и минимальное

значения.
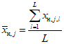
Рассчитывают

- общее среднее значение результатов анализа, полученных в условиях воспроизводимости (или внутрилабораторной прецизионности), и их средние квадратические отклонения

по формулам

(7)
б) Рассчитывают статистики Граббса:

и

и сравнивают их с критическим значением

для числа степеней свободы f = L, соответствующего числу лабораторий (или серий результатов анализа), и принятой доверительной вероятности P = 0,95 [значения

приведены в
таблице И.2 (приложение И)].
Если

или/и

, то соответствующие результаты

или/и

из дальнейших расчетов исключают.
в) Расчет по
а) и
б) продолжают до тех пор, пока не будут выполнены условия:

и

.
Примечания
1 Целесообразно исключать из расчетов не более двух результатов, в противном случае необходимо проанализировать полученные данные.
2 Допустима проверка на наличие выбросов с использованием других критериев.
5.2.2.2 Рассчитывают выборочное СКО результатов анализа m-го ОО, полученных в условиях воспроизводимости (или внутрилабораторной прецизионности),

по формуле

(8)
где среди результатов нет отброшенных;

- число неотброшенных результатов;

- среднее арифметическое неотброшенных результатов.
Примечание - В случае если методикой анализа не предусмотрено проведение параллельных определений (n = 1) и результат единичного анализа - это собственно результат анализа, выборочное СКО результатов анализа m-го ОО, полученных в условиях воспроизводимости (или внутрилабораторной прецизионности), рассчитывают по формуле

(9)
5.2.2.3 Показатель воспроизводимости методики анализа в виде СКО
<1> -

для содержания, соответствующего содержанию компонента в m-м ОО, устанавливают, принимая равным

:

(10)
--------------------------------
<1> Стандартное отклонение воспроизводимости - по международному стандарту
[2].
Показатель внутрилабораторной прецизионности в виде СКО

для содержаний, соответствующих содержанию компонента в m-м ОО, устанавливают, принимая равным СКО средних арифметических по серии

неисключенных (по
5.2.2.1) результатов анализа -

:

(11)
Примечания
1 Если методикой анализа не предусмотрено проведение параллельных определений для получения результата анализа, то показатель воспроизводимости или внутрилабораторной прецизионности рассчитывают по формуле
или

.
2 Если полученные значения показателя воспроизводимости (внутрилабораторной прецизионности) меньше соответствующих значений показателя повторяемости, то допускается значения показателя воспроизводимости (внутрилабораторной прецизионности) принимать равными значениям показателя повторяемости.
5.2.2.4 Показатель воспроизводимости методики анализа в виде предела воспроизводимости
<1> -

для содержания, соответствующего содержанию компонента в m-м ОО, рассчитывают по формуле

(12)
--------------------------------
<1> Значение предела воспроизводимости используют при проверке приемлемости результатов анализа, полученных в условиях воспроизводимости.
Показатель внутрилабораторной прецизионности в виде предела внутрилабораторной прецизионности

для содержания, соответствующего содержанию компонента в m-м ОО, рассчитывают по формуле

. (13)
5.2.3 Значения показателей прецизионности методики анализа для всего диапазона действия методики анализа могут быть определены в соответствии с
5.5.1.
5.3 Оценка показателя правильности методики анализа
5.3.1 Рассчитывают значение смещения -

как разность между средним значением результатов анализа

и аттестованным значением m-го ОО (СО или АС) -


. (14)
5.3.2 Проверяют значимость вычисленных значений

по критерию Стьюдента. Для этого рассчитывают значение t-критерия для m-го ОО -

:

, (15)
где

- дисперсия, характеризующая разброс средних арифметических результатов единичного анализа

относительно среднего значения результатов анализа

;

- погрешность аттестованного значения m-го ОО <2>.
--------------------------------
<2> При оценивании неопределенности при расчете показателя точности методики анализа используют неопределенность аттестованного значения m-го ОО -

.
5.3.3 Полученное значение

сравнивают с

при числе степеней свободы f = L - 1 для доверительной вероятности P = 0,95. Значения

приведены в
таблице И.3 (приложение И).
5.3.4 Если

, то оценка смещения незначима на фоне случайного разброса и в этом случае ее принимают равной нулю

.
5.3.5 Если

, то оценка значения смещения значима на фоне случайного разброса.
В этом случае может быть принято решение о введении в результаты анализа, получаемые при реализации данной методики анализа, поправки на значение

, т.е. значение

, соответствующее содержанию

, вычитают из любого результата анализа, полученного по методике.
5.3.6 При незначимости

или при принятом для методики анализа решении о введении в результаты анализа поправки показатель правильности методики анализа при получении экспериментальных данных в условиях воспроизводимости или внутрилабораторной прецизионности для содержания, соответствующего содержанию определяемого компонента в m-м ОО, для принятой вероятности P = 0,95 рассчитывают по формуле
или


. (16)
5.3.7 При значимости смещения на фоне случайного разброса и невозможности или нецелесообразности введения поправки в результаты анализа допускается проводить расчет показателя правильности методики анализа по формуле
<1>
или

(17)
при условии, что учет

не приведет к превышению показателя точности методики анализа над нормой точности. В противном случае методика подлежит доработке.
--------------------------------
<1> Неопределенность в этом случае допустимо рассчитывать по формуле

.
5.3.8 Если имеется информация о наличии значимых дополнительных факторов, влияющих на значение показателя правильности, но не учтенных при выполнении эксперимента, например информация о неадекватности используемых ОО объекту анализа, неоднородности объекта анализа по сравнению с ОО, то необходимо оценку степени влияния таких факторов провести с помощью отдельных экспериментов или с использованием априорной информации и расчет показателя правильности выполнить с учетом результатов проведенной оценки <2>.
--------------------------------
<2> Расчет показателя правильности при наличии неучтенных факторов при выполнении экспериментов по
разделам 6 -
10 проводят аналогично.
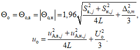
5.4. Оценка показателя точности методики анализа
5.4.1 Показатель точности методики анализа
<3> (для содержания, соответствующего содержанию определяемого компонента в m-м ОО) при получении экспериментальных данных в условиях воспроизводимости или внутрилабораторной прецизионности для принятой вероятности P = 0,95 рассчитывают по формуле

,

. (18)
--------------------------------
<3> Используют квантиль для нормального распределения в связи с близостью суперпозиционного распределения к нормальному.
Примечания
1 Здесь и далее: при выполнении условия
или

показатель точности может быть рассчитан по формуле
или

. (19.1)
Неопределенность при оценке показателя точности рассчитывают аналогично.
2 При значимости смещения на фоне случайного разброса и невозможности или нецелесообразности введения поправки в результаты анализа расчет показателя точности (приписанной характеристики погрешности) методики анализа допускается проводить по формуле

; (19.2)

рассчитывают аналогично.
5.4.2 В случае если показатель точности превышает норму точности, методика анализа подлежит доработке.
5.5 Установление показателей качества во всем диапазоне действия методики анализа
5.5.1 Установление показателей качества в виде функциональной зависимости для всего диапазона действия методики анализа
5.5.1.1 Устанавливают функциональную зависимость показателя точности методики анализа от содержания определяемого компонента по значениям

или

, проверяя при этом с использованием статистических критериев [например, r*-критерия, с применением
таблицы И.4 (приложение И) и
приложения К] адекватность устанавливаемой зависимости экспериментальным данным <1>.
--------------------------------
<1> Возможные виды зависимости и формулы расчета оценок коэффициентов этих зависимостей приведены в
приложении К.
Так, если установлена линейная зависимость показателя точности от содержания определяемого компонента, то для расчета значений показателя точности в любой точке диапазона, предусмотренного методикой анализа, используют выражение

(20)
где параметры

и

могут быть найдены методом наименьших квадратов <2> (например, по международному стандарту
[9]).
--------------------------------
<2> Если оценки погрешности (неопределенности) неравноточные, целесообразнее использовать взвешенный метод наименьших квадратов.
5.5.1.2. Установление вида зависимости показателей воспроизводимости -

, внутрилабораторной прецизионности -

от

проводят аналогично
5.5.1.1.
5.5.2 Установление показателей качества в виде постоянных значений для поддиапазонов диапазона действия методики анализа
5.5.2.1 Диапазон действия методики анализа (для практического удобства использования значений показателей качества методики анализа) может быть разбит на поддиапазоны, в пределах которых изменением значений показателей качества методики анализа в зависимости от содержания допускается пренебречь.
5.5.2.2 Разбивку на поддиапазоны осуществляют на основе показателя воспроизводимости или внутрилабораторной прецизионности -

или

:
- определяют во всем диапазоне измерений вид зависимости

или

от

по
5.5.1.2;
- устанавливают границы поддиапазонов, для которых значения

или

, соответствующие верхней и нижней границам поддиапазона, допускается признать однородными, т.е. отношение максимальной дисперсии к минимальной не превышает двух;
- на основе установленного вида зависимости

или

определяют значения

или

, соответствующие серединам поддиапазонов, на которые был разбит весь диапазон измерений;
- найденные значения принимают постоянными в пределах установленных поддиапазонов.
Примечание - Если оценка показателя воспроизводимости (или внутрилабораторной прецизионности) была проведена с использованием рабочих проб, то устанавливают значения показателя правильности для каждого поддиапазона (при использовании нескольких ОО в данном поддиапазоне) в соответствии с
5.5.1.1. Показатель точности для каждого поддиапазона устанавливают аналогично
5.4.
5.5.2.3 При отсутствии выявляемой зависимости

или

от

устанавливают одно значение показателя воспроизводимости или внутрилабораторной прецизионности для всего диапазона. В этом случае оценку показателя правильности допустимо проводить с использованием одного образца для оценивания.
6. Метод оценки показателей качества методики анализа с применением однофакторных планов эксперимента
6.1 Основные допущения
6.1.1 Распределение случайной погрешности результата анализа (распределение возможных значений результата анализа) принимают нормальным.
6.1.2 Применение метода однофакторных экспериментов позволяет оценить значение смещения, характеристику неисключенной систематической погрешности методики анализа (неопределенность смещения) при наличии влияющих факторов пробы, без учета их взаимного влияния.
Примечание - При взаимном влиянии друг на друга факторов пробы целесообразно проведение многофакторного эксперимента с применением дисперсионного анализа (ANOVA). Пример двухфакторного дисперсионного анализа приведен в
ГОСТ 8.531.
6.1.3 Характеристику неисключенной систематической погрешности методики анализа (неопределенность смещения) формируют из неисключенных остатков постоянной части и варьируемой части, обусловленной влияющими факторами пробы.
Характеристику неисключенной систематической погрешности методики анализа находят с использованием закона равномерного распределения ее составляющих (неопределенность смещения оценивают с учетом равномерного распределения возможных значений смещения).
6.1.4 Распределение погрешности аттестации образцов для оценивания (распределение возможных значений величины аттестованной характеристики образцов для оценивания) принимают равномерным.
6.1.5 Если методика анализа предназначена для применения в одной лаборатории, то эксперимент организуют в одной лаборатории аналогично условиям, изложенным в
5.1.
6.2 Оценка показателей прецизионности (повторяемости и воспроизводимости) методики анализа
6.2.1 Оценка показателей повторяемости и воспроизводимости методики анализа может быть проведена на рабочих пробах, СО или АС. Общие требования к организации эксперимента и методы оценки аналогичны рассмотренным в
5.1 -
5.2.
6.2.2 На основе установленной зависимости

от содержания определяемого компонента в соответствии с
5.5.1.2 и
5.5.2.2 диапазон измерений разбивают на поддиапазоны, в пределах которых допускается принимать постоянство

.
6.3 Требования к образцам для оценки показателя правильности методики анализа
6.3.1 Для учета влияния каждого j-го влияющего фактора пробы необходимо иметь два ОО (СО или АС) для каждого из поддиапазонов (m = 1, ..., M) с постоянным значением показателя воспроизводимости. Для каждой пары образцов содержание определяемого компонента должно быть одно и то же, но для одного образца значение j-го влияющего фактора должно находиться вблизи нижней границы его возможных значений, а для другого - вблизи верхней. Значения других влияющих факторов должны быть одними и теми же.
6.3.2 Организация проведения эксперимента по оценке показателя правильности конкретной методики анализа должна быть осуществлена в соответствии с
5.1.11 и
5.1.12 и
приложением Д. В общем случае для каждого из m поддиапазонов для каждого j-го влияющего фактора в соответствии с требованиями методики анализа получают L результатов анализа, максимально варьируя при этом условия проведения анализа: разные лаборатории, разное время, разные операторы, разные наборы мерной посуды и т.п.
Число L результатов анализа выбирают в соответствии с
приложением Д и международным стандартом
[7] в зависимости от возможной неопределенности оценки показателя правильности методики анализа.
Примечание - Если методикой анализа предусмотрено выполнение параллельных определений для получения результата анализа, то

и

представляют собой результаты анализа, средние арифметические результатов параллельных определений.
Экспериментальные данные для каждого из поддиапазонов (m = 1, ..., M) и для каждого j-го влияющего фактора представляют в виде таблицы 3.
Таблица 3
Результаты анализа ОО
Аттестованное значение ОО | Погрешность/ неопределенность аттестованного значения ОО | Значение j-го влияющего фактора | Номер результата анализа |
1 | ... | L |
C | | Вблизи нижней границы диапазона | | ... | |
Вблизи верхней границы диапазона | | ... | |
6.4 Оценка показателя правильности методики анализа
6.4.1 Для каждой точки диапазона действия методики анализа, соответствующей содержанию определяемого компонента в ОО, рассчитывают:
| - | среднее арифметическое значение L результатов анализа ОО с содержанием j-го влияющего фактора вблизи его нижней границы; | (21) |
| - | среднее значение L результатов анализа ОО с содержанием j-го влияющего фактора вблизи его верхней границы; | (22) |
| - | СКО, характеризующее случайный разброс результатов анализа  , | (23) |
или | | |
| - | стандартную неопределенность, оцененную по типу A, характеризующую случайный разброс результатов анализа  ; |
| - | СКО, характеризующее случайный разброс результатов анализа  , | (24) |
или | | |
| - | стандартную неопределенность, оцененную по типу A, характеризующую случайный разброс результатов анализа  . |
6.4.2 Оценка составляющей показателя правильности методики анализа, обусловленной влиянием факторов пробы
6.4.2.1 Границы, в которых с принятой вероятностью P = 0,95 находится составляющая систематической погрешности методики анализа, обусловленная влиянием j-го фактора пробы, рассчитывают по формулам [для каждого из поддиапазонов (m = 1, ..., M)]:

(25)
За эффект влияния j-го фактора

принимают величину

.
Примечание - Если число влияющих факторов J > 1, то составляющую систематической погрешности методики анализа, обусловленную влияющими факторами пробы, рассчитывают по формуле

, (26)
где J - число влияющих факторов пробы. При J = 1

.
6.4.2.2 Значение составляющей неопределенности смещения, обусловленной влиянием j-го фактора пробы, рассчитывают по формуле [для каждого из поддиапазонов (m = 1, ..., M)]

. (27)
Примечание - Если число влияющих факторов J > 1, то составляющую неопределенности смещения, обусловленную влияющими факторами пробы, рассчитывают по формуле

, (28)
где J - число влияющих факторов пробы. При J = 1

.
6.4.3 Значение смещения и оценку его значимости устанавливают, рассчитывая [для каждого из поддиапазонов (m = 1, ..., M)]:
| - | среднее арифметическое результатов анализа ОО с содержанием C (для данного поддиапазона m; при J > 1 расчеты выполняют по любой паре образцов); | (29) |
| - | значение смещения; | (30) |
 , | где  - погрешность аттестованного значения ОО | (31) |
 , | где  - неопределенность аттестованного значения ОО). | |
6.4.4 Полученное значение t сравнивают с

при числе степеней свободы f = L - 1. Значения

приведены в
таблице И.3 (приложение И).
6.4.5 Если

, то значение смещения незначимо, и в данном случае его принимают равным нулю

.
6.4.6 Если

, то значение смещения значимо, и в данном случае вводят поправки на значение смещения

.
Примечание - При невозможности или нецелесообразности введения поправки в результаты анализа допустимо значение смещения учесть при расчете значения показателя правильности методики с использованием
формул (32) вместо
формул (34):

(32)
или
при условии, что учет

не приведет к превышению показателя точности методики анализа над нормой точности. В противном случае методика подлежит доработке.
6.4.7 Показатель правильности методики анализа рассчитывают по формуле [для каждого из поддиапазонов (m = 1, ..., M)]

(33)
или
где

- границы, в которых с принятой вероятностью P = 0,95 находятся неисключенные остатки постоянной части систематической погрешности;

- значение постоянной части неопределенности смещения.

(34)
6.5 Оценка показателя точности методики анализа [для содержания, соответствующего содержанию определяемого компонента в ОО в каждом из поддиапазонов (m = 1, ..., M)]
6.5.1 Верхнюю

и нижнюю

границы, в которых погрешность результата анализа находится с принятой вероятностью P = 0,95, рассчитывают по формуле

. (35)
Примечания
1 Здесь и далее: при выполнении условия
показатель точности может быть рассчитан по формуле

. (36)
Неопределенность при оценке показателя точности рассчитывают аналогично.
2 В случае если показатель точности превышает норму точности, методика анализа подлежит доработке.
6.5.2 Расширенную неопределенность U (коэффициент охвата k = 2), принятую для любого из совокупности результатов анализа, получаемых по данной методике, рассчитывают по формуле

. (37)
6.5.3 При необходимости по найденным для каждого из поддиапазонов значениям

устанавливают функциональную зависимость

от содержания определяемого компонента для всего диапазона действия методики анализа с учетом рекомендаций
5.5.
7. Метод оценки показателей качества методики анализа с применением методики с известными (оцененными) значениями показателя точности (методики сравнения)
7.1 Основные допущения
7.1.1 Распределение случайной погрешности результатов анализа (распределение возможных значений результатов анализа), получаемых по методике, показатели качества которой оценивают (далее - исследуемая методика), принимают нормальным.
7.1.2 Распределение неисключенной систематической погрешности исследуемой методики (распределение возможных значений смещения для исследуемой методики) принимают нормальным.
7.1.3 Влияющие факторы пробы не оказывают значимого влияния на погрешность (неопределенность) измерений, выполняемых по исследуемой методике.
7.1.4 Область применения методики сравнения совпадает с областью применения исследуемой методики или перекрывает ее.
7.1.5 Значение показателя воспроизводимости методики сравнения не превышает значения показателя воспроизводимости исследуемой методики. При этом дисперсии воспроизводимости результатов анализа, получаемых по обеим методикам, должны быть однородны.
7.1.6 Показатель правильности методики сравнения незначим на фоне ее показателя воспроизводимости.
7.1.7 Распределение погрешности результатов анализа (распределение возможных значений результатов анализа), получаемых по методике сравнения, принимают нормальным.
7.1.8 Методика сравнения должна удовлетворять требованиям внутрилабораторного контроля точности ее результатов.
7.1.9 Если методика анализа предназначена для применения в одной лаборатории, то эксперимент организуют в одной лаборатории аналогично условиям, изложенным в
5.1.
7.2 Оценка показателей прецизионности (повторяемости и воспроизводимости) исследуемой методики анализа
7.2.1 Оценка показателей повторяемости и воспроизводимости исследуемой методики анализа может быть проведена с использованием рабочих проб <1>. Общие требования к организации эксперимента и методы оценки аналогичны рассмотренным в
5.1 -
5.2.
--------------------------------
<1> При этом используемые пробы должны быть однородными и стабильными во все время проведения эксперимента.
7.2.2 На основе установленной зависимости

от содержания определяемого компонента в соответствии с
5.5.1.2 и
5.5.2.2 диапазон измерений разбивают на поддиапазоны, в пределах которых допускается принять постоянство

.
7.3 Оценка показателя правильности методики анализа
7.3.1 Показатель правильности исследуемой методики анализа оценивают в каждом интервале (поддиапазоне) содержания определяемого компонента, для которого установлено постоянство показателей воспроизводимости исследуемой методики и методики сравнения.
7.3.2 Для оценки показателя правильности исследуемой методики в каждом поддиапазоне используют не менее одной пробы анализируемого вещества (материала) с содержанием определяемого компонента, соответствующим данному поддиапазону.
7.3.3 Организация проведения эксперимента по оценке показателя правильности исследуемой методики анализа должна быть осуществлена в соответствии с
5.1.11,
5.1.12 и
приложением Д.
В общем случае для каждого из m поддиапазонов в соответствии с требованиями исследуемой методики и методики сравнения получают по L результатов анализа, максимально варьируя при этом условия проведения анализа: разные лаборатории, разное время, разные операторы, разные наборы мерной посуды и т.п.
Анализ одной и той же пробы по исследуемой методике и методике сравнения проводят в одинаковых условиях, причем число L результатов анализа одной пробы, выполненных по исследуемой методике и методике сравнения, должно совпадать.
Число L результатов анализа выбирают в соответствии с
приложением Д и международным стандартом
[7] в зависимости от возможной неопределенности оценки показателя правильности исследуемой методики анализа.
Полученные результаты представляют в виде таблицы 4.
Таблица 4
Результаты анализа рабочих проб, полученные
по исследуемой методике и методике сравнения
Номер результата анализа l | Результаты анализа по исследуемой методике  | Результаты анализа с по методике сравнения  | |
1 | | | |
... | ... | ... | ... |
l | | | |
... | ... | ... | ... |
L | | | |
Примечание - Если исследуемой методикой анализа и/или методикой сравнения предусмотрено выполнение параллельных определений для получения результата анализа, то

и/или

представляют собой результаты анализа, средние из результатов параллельных определений.
7.3.4 Рассчитывают величины

, (38)
где

и

- результаты анализа проб, полученные по исследуемой методике и методике сравнения соответственно.
7.3.5 Рассчитывают СКО, характеризующее разброс результатов анализа, полученных по исследуемой методике и методике сравнения,

, (39)
где

. (40)
7.3.6 Проверяют значимость расхождения результатов анализа, полученных по исследуемой методике и методике сравнения, по t-критерию. Для этого рассчитывают значение t

, (41)
где

- установленная характеристика погрешности результатов анализа, полученных при соблюдении требований и правил методики сравнения <1>, и сравнивают полученное значение t с

при числе степеней свободы f = L - 1 для доверительной вероятности P = 0,95. Значения

приведены в
таблице И.3 (приложение И).
--------------------------------
<1> При оценивании неопределенности при расчете показателя точности исследуемой методики анализа используют показатель точности методики сравнения в форме расширенной неопределенности -

.
7.3.7 Если

, то делают вывод о незначимости расхождения результатов анализа, выполняемых по обеим методикам. В этом случае

принимают равным нулю

.
7.3.8 Если

, то делают вывод о значимости расхождения результатов анализа.
7.3.9 При незначимости

или при принятом для методики анализа решении о введении в результаты анализа поправки показатель правильности методики анализа для принятой вероятности P = 0,95 рассчитывают по формуле

(42)

.
Примечание - В случае значимости расхождения результатов анализа и невозможности или нецелесообразности введения поправки в результаты анализа допускается проводить расчет показателя правильности методики анализа по формуле
<2>

(43)
при условии, что учет

не приведет к превышению показателя точности исследуемой методики анализа над нормой точности. В противном случае методика анализа подлежит доработке.
--------------------------------
<2> Неопределенность в этом случае допускается рассчитывать по формуле

.
7.4 Оценка показателя точности методики анализа
7.4.1 Показатель точности методики анализа для принятой вероятности P = 0,95 рассчитывают по формуле

(44)
Примечания
1 Здесь и далее: при выполнении условия
показатель точности может быть рассчитан по формуле

. (45.1)
Неопределенность при оценке показателя точности рассчитывают аналогично.
2 В случае значимости расхождения результатов анализа и невозможности или нецелесообразности введения поправки в результаты анализа расчет показателя точности (приписанной характеристики погрешности) методики анализа допускается проводить по формуле

. (45.2)
3 В случае если показатель точности превышает норму точности, методика анализа подлежит доработке.
7.4.2 При необходимости по найденным для каждого из поддиапазонов значениям показателя точности устанавливают функциональную зависимость показателя точности от содержания определяемого компонента для всего диапазона действия методики анализа с учетом рекомендаций
5.5.
8. Метод оценки показателей качества методики анализа с применением метода добавок
8.1 Основные допущения
8.1.1 Распределение случайной погрешности результата анализа (распределение возможных значений результатов анализа) принимают нормальным <1>.
--------------------------------
<1> На практике достаточно, чтобы распределение было симметричным и одномодальным.
8.1.2 Распределение неисключенной систематической погрешности методики анализа (распределение возможных значений смещения) принимают нормальным
<2>.
8.1.3 Влияющие факторы пробы не оказывают значимого влияния на точность результатов анализа.
8.1.4 Применение метода добавок позволяет провести оценку мультипликативной (пропорционально изменяющейся) части показателя правильности методики анализа.
Примечание - Использование метода добавок допустимо, если на стадии предварительных исследований или по априорным данным установлено, что аддитивная (постоянная) часть показателя правильности статистически незначима на фоне показателя точности методики анализа <2>.
--------------------------------
<2> Проверка значимости аддитивной части показателя правильности может быть проведена с применением метода разбавления пробы по
разделу 9 либо метода варьирования навески по
разделу 10.
8.1.5 Образцами для оценивания служат рабочие пробы вещества (материала) и рабочие пробы вещества (материала) с известной величиной добавки
<3>. Специально приготовляемые пробы с известной добавкой должны быть однородными, соответствовать составу проб веществ (материалов), погрешность (неопределенность) их приготовления не должна вносить дополнительную статистически значимую погрешность (неопределенность) в значения показателя правильности методики анализа. Содержание определяемого компонента в пробе с добавкой не должно превышать верхней границы поддиапазона, в котором принято постоянство показателя воспроизводимости. Наименьшие допускаемые значения величины добавки в зависимости от значений показателя воспроизводимости в относительных единицах приведены во
втором столбце таблицы Л.1 (приложение Л) <1>.
Рекомендации по определению массы (объема) вещества (материала) добавки приведены в приложении М.
--------------------------------
<3> В качестве добавки используют СО или АС.
<1> Для методик, значение точечной оценки показателя воспроизводимости которых превышает 25% содержания компонента в исходной пробе, применение метода добавок для оценки показателя правильности не рекомендуется.
8.1.6 Распределение погрешности величины добавки (распределение возможных значений величины добавки) принимают равномерным.
8.1.7 Если методика анализа предназначена для применения в одной лаборатории, то эксперимент организуют в одной лаборатории аналогично условиям, изложенным в
5.1.
8.2 Оценка показателей прецизионности (повторяемости и воспроизводимости) методики анализа
8.2.1 Оценка показателей повторяемости и воспроизводимости методики анализа может быть проведена с использованием рабочих проб <2>. Общие требования к организации эксперимента и методы оценки аналогичны рассмотренным в
5.1 -
5.2.
--------------------------------
<2> При этом используемые пробы должны быть однородными и стабильными во все время проведения эксперимента. Подробнее - см. международный стандарт
[2].
8.2.2 На основе установленной зависимости показателя воспроизводимости от содержания определяемого компонента в соответствии с
5.5.1.2 и
5.5.2.2 диапазон измерений разбивают на поддиапазоны, в пределах которых допускается принять постоянство показателя воспроизводимости.
8.3 Оценка показателя правильности методики анализа
8.3.1 Организация проведения эксперимента по оценке показателя правильности методики анализа должна быть осуществлена в соответствии с
5.1.11,
5.1.12 и
приложением Д.
В общем случае объем (масса) каждой пробы, отобранной для приготовления образцов для оценивания, должен быть не менее 2L объема (массы), необходимого для получения одного результата анализа (L - предполагаемое число результатов анализа одного образца для оценивания). Каждую исходную пробу вещества (материала) делят на две равные части. Первую часть оставляют без изменения, а во вторую часть пробы вводят добавку определяемого компонента.
Необходимый для расчета массив экспериментальных данных для каждого m-го поддиапазона с принятым постоянным значением показателя воспроизводимости методики анализа получают в соответствии с методикой анализа в виде серии L результатов анализа определяемого компонента в пробе без добавки x и в пробе с добавкой x', максимально варьируя при этом условия проведения анализа: разные лаборатории, разное время, разные операторы, разные наборы мерной посуды и т.д.
Анализ пробы без добавки и пробы с добавкой проводят в одинаковых условиях, причем число L результатов анализа пробы и пробы с добавкой должно совпадать.
Выбор числа L результатов анализа осуществляют в соответствии с
приложением Д и международным стандартом
[7] в зависимости от возможной неопределенности оценки показателя правильности методики анализа.
Экспериментальные данные представляют в виде таблицы 5.
Таблица 5
Результаты анализа пробы и пробы с добавкой
при использовании метода добавок
Номер результата анализа l | Результаты анализа пробы без добавки  | Результаты анализа пробы с добавкой  | Значение экспериментально найденной величины добавки |
1 | | | |
... | ... | ... | ... |
l | | | |
... | ... | ... | ... |
L | | | |
Примечание - Если методикой анализа предусмотрено выполнение параллельных определений для получения результата анализа, то

и

представляют собой результаты анализа, средние из результатов параллельных определений.
8.3.2 Рассчитывают значения следующих величин:
| - | среднее значение результатов анализа пробы без добавки; | (46) |
| - | среднее значение результатов анализа пробы с добавкой; | (47) |
| - | среднее значение экспериментально найденной величины добавки; | (48) |
| - | СКО, характеризующее случайный разброс результатов анализа пробы без добавки; | (49) |
| - | СКО, характеризующее случайный разброс результатов анализа пробы с добавкой; | (50) |
| - | значение смещения, где  - величина добавки; | (51) |
| - | рассчитанное значение t-критерия, | (52) |
где

- погрешность величины добавки <1>.
--------------------------------
<1> При оценивании неопределенности при расчете показателя точности методики анализа используют расширенную неопределенность значения величины добавки -

.
8.3.3 Расчетное значение t сравнивают с

при числе степеней свободы f = L - 1 и доверительной вероятности P = 0,95 [значения

приведены в
таблице И.3 (приложение И)].
8.3.4 Если

, то значение смещения незначимо на фоне случайного разброса и в этом случае его принимают равным нулю

.
8.3.5 Если

, то значение смещения значимо на фоне случайного разброса. В этом случае может быть принято решение о введении в результаты анализа, получаемые при реализации данной методики, поправки на значение

(аналогично
5.3.5).
8.3.6 При незначимости

или при принятом для методики анализа решении о введении в результаты анализа поправки показатель правильности методики анализа для принятой вероятности P = 0,95 рассчитывают по формуле

(53)

.
Примечание - При значимости смещения на фоне случайного разброса и невозможности или нецелесообразности введения поправки в результаты анализа допускается проводить расчет показателя правильности методики анализа по формуле
<1>

(54)
при условии, что учет

не приведет к превышению показателя точности методики анализа над нормой точности. В противном случае методика анализа подлежит доработке.
--------------------------------
<1> Неопределенность в этом случае допускается рассчитывать по формуле

.
8.4 Оценка показателя точности методики анализа
8.4.1 Показатель точности методики анализа для принятой вероятности P = 0,95 рассчитывают по формуле

(55)

.
Примечания
1 Здесь и далее: при выполнении условия
показатель точности может быть рассчитан по формуле

. (56.1)
Неопределенность при оценке показателя точности рассчитывают аналогично.
2 При значимости смещения на фоне случайного разброса и невозможности или нецелесообразности введения поправки в результаты анализа расчет показателя точности (приписанной характеристики погрешности) методики анализа допускается проводить по формуле

. (56.2)
3 В случае если показатель точности превышает норму точности, методика анализа подлежит доработке.
8.4.2 При необходимости по найденным для каждого из поддиапазонов значениям показателя точности устанавливают функциональную зависимость показателя точности от содержания определяемого компонента для всего диапазона действия методики анализа с учетом рекомендаций
5.5.
9. Метод оценки показателей качества методики анализа с применением метода добавок в сочетании с методом разбавления <1>
--------------------------------
<1> Применение метода добавок в сочетании с методом разбавления позволяет провести оценивание аддитивной и мультипликативной частей систематической погрешности методики анализа.
9.1 Основные допущения
9.1.1 Распределение случайной погрешности результата анализа (распределение возможных значений результатов анализа) принимают нормальным
<2>.
9.1.2 Распределение неисключенной систематической погрешности методики анализа (распределение возможных значений смещения) принимают нормальным <2>.
--------------------------------
<2> На практике достаточно, чтобы распределение было симметричным и одномодальным.
9.1.3 Влияющие факторы пробы не оказывают значимого влияния на точность результатов анализа.
9.1.4 Образцами для оценивания служат рабочие пробы вещества (материала), разбавленные рабочие пробы и разбавленные рабочие пробы с известной величиной добавки <3>. Специально приготовленные пробы (разбавленные пробы и разбавленные пробы с известной величиной добавки) должны быть однородными, соответствовать составу анализируемых проб, погрешность (неопределенность) их приготовления не должна вносить дополнительную статистически значимую погрешность (неопределенность) в значения показателя правильности методики анализа. Наименьшие допускаемые значения величины добавки и коэффициента разбавления в зависимости от значения показателя воспроизводимости приведены в
приложении Л. Значение величины добавки и коэффициента разбавления определяют с учетом условия: содержание компонента в пробе, разбавленной пробе и разбавленной пробе с добавкой находится внутри поддиапазона постоянства показателя воспроизводимости <4>.
--------------------------------
<3> В качестве добавки используют СО или АС.
<4> Для методик, значение точечной оценки показателя воспроизводимости которых превышает 25% содержания компонента в исходной пробе, применение метода добавок в сочетании с методом разбавления для оценки показателя правильности не рекомендуется.
9.1.5 Распределение погрешности величины добавки (распределение возможных значений величины добавки) и погрешности (неопределенности), обусловленной процедурой разбавления пробы принимают равномерным.
9.1.6 Если методика анализа предназначена для применения в одной лаборатории, то эксперимент организуют в одной лаборатории аналогично условиям, изложенным в
5.1.
9.2 Оценка показателей прецизионности (повторяемости и воспроизводимости) методики анализа
9.2.1 Оценка показателей повторяемости и воспроизводимости методики анализа может быть проведена с использованием рабочих проб <5>. Общие требования к организации эксперимента и методы оценки аналогичны рассмотренным в
5.1 -
5.2.
--------------------------------
<5> При этом используемые пробы должны быть однородными и стабильными во все время проведения эксперимента. Подробнее - в международном стандарте
[2].
9.2.2 На основе установленной зависимости показателя воспроизводимости от содержания определяемого компонента в соответствии с
5.5.1.2 и
5.5.2.2 диапазон измерений разбивают на поддиапазоны, в пределах которых допускается принять постоянство показателя воспроизводимости.
9.3 Оценка показателя правильности методики анализа
9.3.1 Организация проведения эксперимента по оценке показателя правильности конкретной методики анализа должна быть осуществлена в соответствии с
5.1.11,
5.1.12 и
приложением Д.
Объем (масса) каждой пробы, отобранной для приготовления образцов для оценивания, должен быть достаточен для проведения эксперимента. Каждую исходную пробу вещества (материала) делят на две части. Первую часть оставляют без изменения, а вторую разбавляют в

раз. Разбавленную пробу снова делят на две части, первую часть разбавленной пробы оставляют без изменения, а во вторую часть разбавленной пробы вводят добавку определяемого компонента.
Необходимый для расчета массив экспериментальных данных для каждого m поддиапазона с принятым постоянным значением показателя воспроизводимости методики анализа получают в соответствии с методикой анализа как серию L результатов анализа каждой пробы: рабочей пробы x, разбавленной пробы x' и разбавленной пробы с добавкой x", максимально варьируя при этом условия проведения анализа: разные лаборатории, разное время, разные операторы, разные наборы мерной посуды и т.п. Анализ пробы, разбавленной пробы и разбавленной пробы с добавкой проводят в одинаковых условиях.
Число L результатов анализа выбирают в соответствии с
приложением Д и международным стандартом
[7] в зависимости от неопределенности оценки показателя правильности методики анализа.
Экспериментальные данные представляют в виде таблицы 6.
Таблица 6
Результаты анализа пробы, разбавленной пробы
и разбавленной пробы с добавкой
Номер результата анализа l | Результаты анализа пробы  | Результаты анализа разбавленной пробы  | Результаты анализа разбавленной пробы с добавкой  |
1 | | | |
... | ... | ... | ... |
l | | | |
... | ... | ... | ... |
L | | | |
Примечание - Если методикой анализа предусмотрено выполнение параллельных определений для получения результата анализа, то x, x' и x" представляют собой результаты анализа, средние из результатов параллельных определений.
9.3.2 Для каждого результата анализа рассчитывают:
- значения величин разности "введено - найдено" -

и разности между результатами анализа определяемого компонента в рабочей пробе и разбавленной рабочей пробе с учетом коэффициента разбавления -


, (57)
(

- величина добавки, введенной в разбавленную пробу),

; (58)
- средние арифметические значения разностей


, (59)

; (60)
- СКО разностей


, (61)

. (62)
9.3.3 Определяют значимость полученных величин

и

на фоне случайного разброса.
Для этого рассчитывают:

, (63)

, (64)
где

- погрешность величины добавки
<1>;

- погрешность, обусловленная процедурой разбавления.
--------------------------------
<1> При оценивании неопределенности при расчете показателя точности методики анализа используют неопределенность значения величины добавки -

и неопределенность, связанную с процедурой разбавления, -

.
Полученные значения сравнивают с

для P = 0,95 и числа степеней свободы f = L - 1. [Значения

приведены в
таблице И.3 (приложение И)].
Если

, то соответствующее

незначимо на фоне случайного разброса и его исключают из дальнейших расчетов.
Если

, то соответствующее

значимо на фоне случайного разброса. В этом случае может быть принято решение о введении в результаты анализа, получаемые при реализации данной методики, поправки на значение

(аналогично
5.3.5).
9.3.4 При незначимости

или при принятом для методики анализа решении о введении в результаты анализа поправки показатель правильности методики анализа для принятой вероятности P = 0,95 рассчитывают по формуле

(65)
Примечание - В случае значимости

и невозможности или нецелесообразности введения поправки в результаты анализа допускается рассчитывать показатель правильности методики анализа по формуле
<2>

(66)
при условии, что учет

не приведет к превышению показателя точности методики анализа над нормой точности. В противном случае методика анализа подлежит доработке.
--------------------------------
<2> Неопределенность в этом случае допускается рассчитывать по формуле

.
9.4 Оценка показателя точности методики анализа
9.4.1 Показатель точности методики анализа для принятой вероятности P = 0,95 рассчитывают по формуле

(67)
Примечания
1 Здесь и далее: при выполнении условия
показатель точности может быть рассчитан по формуле

. (68.1)
Неопределенность при оценке показателя точности рассчитывают аналогично.
2 В случае значимости

и нецелесообразности введения поправки в результаты анализа показатель точности (приписанную характеристику погрешности) методики анализа допускается рассчитывать по формуле

. (68.2)
3 В случае если показатель точности превышает норму точности, методика анализа подлежит доработке.
9.4.2 При необходимости по найденным для каждого из поддиапазонов значениям показателя точности устанавливают функциональную зависимость показателя точности от содержания определяемого компонента для всего диапазона действия методики анализа с учетом рекомендаций
5.5.
10. Метод оценки показателей качества методики анализа с применением метода варьирования навески
10.1 Основные допущения
10.1.1 Распределение случайной погрешности результата анализа (распределение возможных значений результатов анализа) принимают нормальным
<1>.
10.1.2 Распределение неисключенной систематической погрешности методики анализа (распределение возможных значений смещения) принимают нормальным <1>.
--------------------------------
<1> На практике достаточно, чтобы распределение было симметричным и одномодальным.
10.1.3 Влияющие факторы пробы не оказывают значимого влияния на точность результатов анализа.
10.1.4 Образцами для оценивания служат рабочие пробы вещества (материала) <2> и рабочие пробы вещества (материала) с измененной навеской. Изменение навески пробы должно быть проведено таким образом, чтобы содержание (масса) определяемого компонента соответствовало диапазону измерений по аттестуемой методике. Отношение массы пробы к массе "пробы с измененной навеской" должно соответствовать требованиям к коэффициенту разбавления
(приложение Л).
--------------------------------
<2> С использованием навески, предусмотренной методикой.
Примечания
1 Допускается увеличение навески пробы, предусмотренной методикой, в этом случае отношение массы "пробы с измененной навеской" к массе пробы должно соответствовать требованиям к коэффициенту разбавления
(приложение Л).
2 Метод может быть применен в случае варьирования объема пробы, при этом предъявляют аналогичные требования к отношению объема пробы и измененного объема пробы.
10.1.5 Если методика анализа предназначена для применения в одной лаборатории, то эксперимент организуют в одной лаборатории аналогично условиям, изложенным в
разделе 5.1.
10.2 Оценка показателей прецизионности (повторяемости и воспроизводимости) методики анализа
10.2.1 Оценка показателей повторяемости и воспроизводимости методики анализа может быть проведена с использованием рабочих проб <3>. Общие требования к организации эксперимента и методы оценки аналогичны рассмотренным в
5.1 -
5.2.
--------------------------------
<3> При этом используемые пробы должны быть однородными и стабильными во все время проведения эксперимента. Подробнее - см. в международном стандарте
[2].
10.2.2 На основе установленной зависимости показателя воспроизводимости от содержания определяемого компонента в соответствии с
5.5.1.2 и
5.5.2.2 диапазон измерений разбивают на поддиапазоны, в пределах которых допускается принять постоянство показателя воспроизводимости.
10.3 Оценка показателя правильности методики анализа
10.3.1 Организация проведения эксперимента по оценке показателя правильности методики анализа должна быть осуществлена в соответствии с
5.1.11,
5.1.12 и
приложением Д.
В общем случае необходимый для расчета массив экспериментальных данных для каждого m поддиапазона с принятым постоянным значением показателя воспроизводимости методики анализа получают в соответствии с методикой анализа в виде серии L результатов анализа определяемого компонента в пробе x и в "пробе с измененной навеской" x', максимально варьируя при этом условия проведения анализа: разные лаборатории, разное время, разные операторы, разные наборы мерной посуды и т.д. Анализ каждой пары (пробы и "пробы с измененной навеской") проводят в одинаковых условиях, причем число L результатов анализа пробы и "пробы с измененной навеской" должно совпадать.
Число L результатов анализа выбирают в соответствии с
приложением Д и международным стандартом
[7] в зависимости от неопределенности оценки показателя правильности методики анализа.
Экспериментальные данные представляют в виде таблицы 7.
Таблица 7
Результаты анализа проб и "проб с измененной навеской"
при использовании метода варьирования навески
Номер результата анализа l | Результаты анализа пробы  | Результаты анализа "пробы с измененной навеской"  |
1 | | |
... | ... | ... |
... | ... | ... |
l | | |
... | ... | ... |
... | ... | ... |
L | | |
Примечание - Если методикой предусмотрено выполнение параллельных определений для получения результата анализа, то

и

представляют собой результаты анализа, средние из результатов параллельных определений.
10.3.2 Рассчитывают значения следующих величин:
| - | среднее значение результатов анализа пробы; | (69) |
| - | среднее значение результатов "анализа пробы с измененной навеской"; | (70) |
| - | СКО, характеризующие случайный разброс результатов анализа пробы и "пробы с измененной навеской" соответственно; | (71) |
| - | значение смещения; | (72) |
| - | рассчитанное значение t-критерия. | (73) |
10.3.3 Расчетное значение t сравнивают с

при числе степеней свободы f = L - 1 и доверительной вероятности P = 0,95 [значения

приведены в
таблице И.3 (приложение И)].
10.3.4 Если

, то значение смещения незначимо на фоне случайного разброса, и в этом случае его принимают равным нулю

.
10.3.5 Если

, то значение смещения значимо на фоне случайного разброса. В этом случае может быть принято решение о введении в результаты анализа, получаемые при реализации данной методики, поправки на значение

(аналогично
5.3.5).
10.3.6 При незначимости

или при принятом для методики анализа решении о введении в результаты анализа поправки показатель правильности методики анализа для принятой вероятности P = 0,95 рассчитывают по формуле

(74)
Примечание - При значимости смещения на фоне случайного разброса и невозможности или нецелесообразности введения поправки в результаты анализа допускается рассчитывать показатель правильности методики анализа по формуле
<1>

(75)
при условии, что учет

не приведет к превышению показателя точности методики анализа над нормой точности. В противном случае методика анализа подлежит доработке.
--------------------------------
<1> Неопределенность в этом случае допускается рассчитывать по формуле

.
10.4 Оценка показателя точности методики анализа
10.4.1 Показатель точности методики анализа для принятой вероятности P = 0,95 рассчитывают по формуле

(76)
Примечания
1 Здесь и далее: при выполнении условия
показатель точности может быть рассчитан по формуле

. (77)
Неопределенность при оценке показателя точности рассчитывают аналогично.
2 При значимости смещения на фоне случайного разброса и невозможности или нецелесообразности введения поправки в результаты анализа показатель точности (приписанную характеристику погрешности) методики анализа допускается рассчитывать по формуле

. (78)
3 В случае если показатель точности превышает норму точности, методика анализа подлежит доработке.
10.4.2 При необходимости по найденным для каждого из поддиапазонов значениям показателя точности устанавливают функциональную зависимость показателя точности от содержания определяемого компонента для всего диапазона действия методики анализа с учетом рекомендаций
5.5.
11. Метод оценки показателей качества методики анализа с применением набора образцов для оценивания в виде однородных и стабильных по составу рабочих проб
11.1 Основные допущения
11.1.1 Распределение случайной погрешности результата анализа (распределение возможных значений результатов анализа) принимают нормальным <1>.
--------------------------------
<1> На практике достаточно, чтобы распределение было симметричным и одномодальным.
11.1.2 Образцами для оценивания служат пробы вещества (материала), однородные и стабильные во все время проведения эксперимента.
11.1.3 Эксперимент организуют для эмпирических методик, предназначенных для применения в сети лабораторий. Для таких методик показатель точности формируют только на основе показателя воспроизводимости.
Примечание - Математическое ожидание измеряемой характеристики, полученное по результатам данного межлабораторного эксперимента, может быть использовано в качестве опорного значения ОО при контроле показателей качества методики при ее реализации в лабораториях.
11.2 Оценка показателей прецизионности (повторяемости и воспроизводимости) методики анализа
11.2.1 Оценка показателей повторяемости и воспроизводимости методики анализа может быть проведена с использованием ОО (по
11.1.2). Общие требования к организации эксперимента и методы оценки аналогичны рассмотренным в
5.1 -
5.2.
11.2.2 Устанавливают зависимость показателя воспроизводимости от содержания определяемого компонента в соответствии с
5.5.1.2. При необходимости диапазон измерений разбивают на поддиапазоны, в пределах которых допускается принять постоянство показателя воспроизводимости по
5.5.2.2.
11.3 Оценка показателя точности методики анализа
11.3.1 Показатель точности методики анализа для принятой вероятности P = 0,95 рассчитывают по формуле

(79)
Примечания
1 В случае если показатель точности превышает норму точности, методика анализа подлежит доработке.
2 Допускается использование данного алгоритма не для эмпирических методик, однако в этом случае имеется в виду единообразие измерений, а не их единство.
(обязательное)
ОБОЗНАЧЕНИЯ, ИСПОЛЬЗУЕМЫЕ В НАСТОЯЩИХ РЕКОМЕНДАЦИЯХ
n | - | число параллельных определений, предусмотренное (установленное) методикой анализа. |
 ,  | - | нижняя, верхняя границы, в которых погрешность любого из совокупности результатов анализа, получаемых по данной методике, находится с принятой вероятностью P. |
P | - | доверительная вероятность. |
| - | границы, в которых погрешность любого из совокупности результатов анализа, получаемых по данной методике, находится с принятой вероятностью P, при этом  |
| - | среднее квадратическое отклонение погрешности результатов анализа, полученных во всех лабораториях, применяющих данную методику анализа (среднее квадратическое отклонение погрешности методики анализа). |
Z | - | квантиль распределения, зависящий от его типа и принятой вероятности P. |
U | - | расширенная неопределенность, принятая для любого результата из совокупности результатов анализа, получаемых по данной методике. |
| - | суммарная стандартная неопределенность, принятая для любого результата из совокупности результатов анализа, получаемых по данной методике. |
| - | коэффициент охвата. |
 ,  | - | нижняя, верхняя границы, в которых систематическая погрешность методики анализа находится с принятой вероятностью P. |
| - | границы, в которых систематическая погрешность методики анализа находится с принятой вероятностью P, при этом  . |
| - | среднее квадратическое отклонение неисключенной систематической погрешности методики анализа. |
| - | расширенная неопределенность значения смещения, принятая для любого из совокупности результатов анализа, получаемых по данной методике. |
| - | стандартная неопределенность значения смещения, принятая для любого из совокупности результатов анализа, получаемых по данной методике. |
| - | предел повторяемости для n результатов параллельных определений, установленных методикой анализа. |
| - | среднее квадратическое отклонение результатов единичного анализа, полученных по методике в условиях повторяемости (среднее квадратическое отклонение повторяемости). |
| - | стандартная неопределенность, характеризующая разброс результатов единичного анализа, полученных по методике в условиях повторяемости. |
R | - | предел воспроизводимости. |
| - | среднее квадратическое отклонение всех результатов анализа, полученных по методике в условиях воспроизводимости (среднее квадратическое отклонение воспроизводимости). |
| - | стандартная неопределенность, характеризующая разброс всех результатов анализа, полученных по методике в условиях воспроизводимости. |
| - | предел внутрилабораторной прецизионности. |
| - | среднее квадратическое отклонение всех результатов анализа, полученных по методике в условиях внутрилабораторной прецизионности (среднее квадратическое отклонение внутрилабораторной прецизионности). |
| - | стандартная неопределенность, характеризующая разброс всех результатов анализа, полученных по методике в условиях внутрилабораторной прецизионности. |
| - | результат анализа. |
| - | значение показателя точности результатов анализа, установленное при реализации методики в конкретной лаборатории и обеспечиваемое контролем стабильности результатов анализа. |
L | - | число лабораторий, принимающих участие в эксперименте; общее число серий результатов анализа; общее число результатов анализа. |
l | - | номер лаборатории; номер серии результатов анализа; номер результата анализа. |
N | - | число результатов единичного анализа (параллельных определений), полученных в одной лаборатории при проведении эксперимента. |
i | - | номер результата единичного анализа, полученного в условиях повторяемости. |
m | - | номер образца для оценивания; номер поддиапазона действия методики анализа. |
M | - | общее число образцов для оценивания; общее число поддиапазонов действия методики анализа. |
| - | аттестованное значение образца для оценивания под номером m. |
| - | погрешность аттестованного значения образца для оценивания под номером m. |
| - | неопределенность аттестованного значения образца для оценивания под номером m. |
| - | i-й результат единичного анализа, полученный при анализе образца для оценивания под номером m в лаборатории l. |
| - | среднее арифметическое результатов единичного анализа, полученное при анализе образца для оценивания под номером m в лаборатории l. |
| - | выборочная дисперсия результатов единичного анализа, полученных при анализе образца для оценивания под номером m в лаборатории l. |
| - | максимальная выборочная дисперсия результатов единичного анализа, полученных при анализе образцов для оценивания в лаборатории l. |
| - | расчетное значение критерия Кохрена. |
| - | табличное значение критерия Кохрена. |
L' | - | число неотброшенных дисперсий; число неотброшенных результатов анализа. |
| - | выборочная дисперсия, характеризующая повторяемость результатов единичного анализа, полученных для содержания, соответствующего содержанию компонента в образце для оценивания под номером m. |
| - | среднее квадратическое отклонение, характеризующее повторяемость результатов единичного анализа, полученных для содержания, соответствующего содержанию компонента в образце для оценивания под номером m. |
| - | среднее квадратическое отклонение результатов единичного анализа, полученных по методике в условиях повторяемости, для содержания, соответствующего содержанию компонента в образце для оценивания под номером m. |
| - | стандартная неопределенность, характеризующая разброс результатов единичного анализа, полученных по методике в условиях повторяемости, для содержания, соответствующего содержанию компонента в образце для оценивания под номером m. |
| - | предел повторяемости для содержания, соответствующего содержанию компонента в образце для оценивания под номером m. |
| - | квантиль нормального распределения для вероятности P и числа n параллельных определений, предусмотренных (установленных) методикой анализа. |
| - | максимальное значение из результатов анализа, полученных при анализе образца для оценивания под номером m во всех лабораториях. |
| - | минимальное значение из результатов анализа, полученных при анализе образца для оценивания под номером m во всех лабораториях. |
| - | общее среднее значение результатов анализа, полученных в условиях воспроизводимости (или внутрилабораторной прецизионности) при анализе образца для оценивания под номером m. |
| - | среднее квадратическое отклонение результатов анализа, полученных в условиях воспроизводимости (или внутрилабораторной прецизионности) при анализе образца для оценивания под номером m. |
| - | расчетное значение статистики Граббса, соответствующее  . |
| - | расчетное значение статистики Граббса, соответствующее  . |
| - | табличное значение статистики Граббса. |
| - | среднее арифметическое неотброшенных результатов анализа, полученных при анализе образца для оценивания под номером m. |
| - | среднее квадратическое отклонение результатов анализа образца для оценивания под номером m, полученных в условиях воспроизводимости (или внутрилабораторной прецизионности). |
| - | среднее квадратическое отклонение всех результатов анализа, полученных по методике в условиях воспроизводимости, для содержания, соответствующего содержанию компонента в образце для оценивания под номером m. |
| - | стандартная неопределенность, характеризующая разброс всех результатов анализа, полученных по методике в условиях воспроизводимости, для содержания, соответствующего содержанию компонента в образце для оценивания под номером m. |
| - | среднее квадратическое отклонение всех результатов анализа, полученных по методике в условиях внутрилабораторной прецизионности, для содержаний, соответствующих содержанию компонента в образце для оценивания под номером m. |
| - | стандартная неопределенность, характеризующая разброс всех результатов анализа, полученных по методике в условиях внутрилабораторной прецизионности, для содержаний, соответствующих содержанию компонента в образце для оценивания под номером m. |
| - | предел воспроизводимости для содержания, соответствующего содержанию компонента в образце для оценивания под номером m. |
| - | предел внутрилабораторной прецизионности для содержания, соответствующего содержанию компонента в образце для оценивания под номером m. |
| - | значение смещения, оцененное при анализе образца для оценивания под номером m. |
| - | расчетное значение t-критерия для образца для оценивания под номером m. |
| - | табличное значение t-критерия. |
| - | значение смещения. |
| - | среднее квадратическое отклонение неисключенной систематической погрешности методики анализа для содержания, соответствующего содержанию компонента в образце для оценивания под номером m. |
| - | границы, в которых систематическая погрешность методики анализа находится с принятой вероятностью P, для содержания, соответствующего содержанию компонента в образце для оценивания под номером m. |
| - | среднее квадратическое отклонение неисключенной систематической погрешности методики анализа, предназначенной для использования в одной лаборатории, для содержания, соответствующего содержанию компонента в образце для оценивания под номером m. |
| - | границы, в которых систематическая погрешность методики анализа, предназначенной для использования в одной лаборатории, находится с принятой вероятностью P, для содержания, соответствующего содержанию компонента в образце для оценивания под номером m. |
| - | стандартная неопределенность значения смещения, принятая для любого из совокупности результатов анализа, получаемых по методике анализа, для содержания, соответствующего содержанию компонента в образце для оценивания под номером m. |
| - | расширенная неопределенность (коэффициент охвата 2) значения смещения, для содержания, соответствующего содержанию компонента в образце для оценивания под номером m. |
| - | стандартная неопределенность значения смещения, принятая для любого из совокупности результатов анализа, получаемых по методике анализа, предназначенной для использования в одной лаборатории, для содержания, соответствующего содержанию компонента в образце для оценивания под номером m. |
| - | расширенная неопределенность (коэффициент охвата 2) значения смещения, принятая для любого из совокупности результатов анализа, получаемых по методике анализа, предназначенной для использования в одной лаборатории, для содержания, соответствующего содержанию компонента в образце для оценивания под номером m. |
| - | среднее квадратическое отклонение погрешности методики анализа, для содержания, соответствующего содержанию компонента в образце для оценивания под номером m. |
| - | границы, в которых погрешность любого из совокупности результатов анализа, получаемых по методике анализа, находится с принятой вероятностью P, для содержания, соответствующего содержанию компонента в образце для оценивания под номером m. |
| - | суммарная стандартная неопределенность, принятая для любого результата из совокупности результатов анализа, получаемых по методике анализа, для содержания, соответствующего содержанию компонента в образце для оценивания под номером m. |
| - | расширенная неопределенность (коэффициент охвата k = 2), для содержания, соответствующего содержанию компонента в образце для оценивания под номером m. |
| - | среднее квадратическое отклонение погрешности методики анализа, предназначенной для использования в одной лаборатории, для содержания, соответствующего содержанию компонента в образце для оценивания под номером m. |
| - | границы, в которых погрешность любого из совокупности результатов анализа, получаемых по методике анализа, предназначенной для использования в одной лаборатории, находится с принятой вероятностью P, для содержания, соответствующего содержанию компонента в образце для оценивания под номером m. |
| - | суммарная стандартная неопределенность, принятая для любого результата из совокупности результатов анализа, получаемых по методике анализа, предназначенной для использования в одной лаборатории, для содержания, соответствующего содержанию компонента в образце для оценивания под номером m. |
| - | расширенная неопределенность (коэффициент охвата k = 2), принятая для любого результата из совокупности результатов анализа, получаемых по методике анализа, предназначенной для использования в одной лаборатории, для содержания, соответствующего содержанию компонента в образце для оценивания под номером m. |
 ,  | - | коэффициенты зависимости показателя точности от содержания определяемого компонента. |
j | - | номер влияющего фактора пробы. |
J | - | общее число влияющих факторов пробы. |
| - | l-й результат анализа образца для оценивания с содержанием влияющего фактора под номером j вблизи его нижней границы. |
| - | l-й результат анализа образца для оценивания с содержанием влияющего фактора под номером j вблизи его верхней границы. |
| - | среднее арифметическое значение L результатов анализа образца для оценивания с содержанием влияющего фактора под номером j вблизи его нижней границы. |
| - | среднее арифметическое значение L результатов анализа образца для оценивания с содержанием влияющего фактора под номером j вблизи его верхней границы. |
| - | среднее квадратическое отклонение, характеризующее случайный разброс результатов анализа  |
| - | среднее квадратическое отклонение, характеризующее случайный разброс результатов анализа  |
| - | стандартная неопределенность, оцененная по типу A, характеризующая случайный разброс результатов анализа  |
| - | стандартная неопределенность, оцененная по типу A, характеризующая случайный разброс результатов анализа  |
 ,  | - | нижняя, верхняя границы составляющей систематической погрешности методики анализа, обусловленной влиянием фактора пробы под номером j для принятой вероятности P = 0,95. |
| - | эффект влияния фактора пробы под номером j. |
| - | значение составляющей неопределенности смещения, обусловленной влиянием пробы под номером j. |
| - | значение составляющей неопределенности смещения, обусловленной всеми влияющими факторами пробы. |
| - | среднее арифметическое результатов анализа образца для оценивания для влияющего фактора пробы под номером j. |
| - | погрешность аттестованного значения образца для оценивания. |
| - | неопределенность аттестованного значения образца для оценивания. |
t | - | расчетное значение t-критерия. |
| - | границы, в которых с принятой вероятностью P = 0,95 находятся неисключенные остатки постоянной части систематической погрешности. |
| - | значение постоянной части неопределенности смещения. |
| - | l-й результат анализа. |
| - | l-й результат анализа, полученный по методике сравнения. |
| - | смещение между l-ми результатами анализа, полученными по разным методикам анализа. |
| - | среднее квадратическое отклонение, характеризующее разброс результатов анализа, полученных по исследуемой методике и по методике сравнения. |
| - | характеристика погрешности методики сравнения. |
| - | расширенная неопределенность результатов анализа, полученных по методике сравнения. |
| - | результат анализа пробы с добавкой (l-й результат анализа пробы с добавкой); результат анализа "пробы с измененной навеской" (l-й результат "пробы с измененной навеской"); результат анализа разбавленной пробы (l-й результат анализа разбавленной пробы). |
| - | среднее значение результатов анализа пробы. |
| - | среднее значение результатов анализа пробы с добавкой; среднее значение результатов анализа "пробы с измененной навеской". |
| - | среднее значение экспериментально найденной величины добавки. |
| - | величина добавки. |
| - | среднее квадратическое отклонение, характеризующее разброс результатов анализа пробы. |
| - | среднее квадратическое отклонение, характеризующее разброс результатов анализа пробы с добавкой; среднее квадратическое отклонение, характеризующее разброс результатов анализа "пробы с измененной навеской". |
| - | коэффициент разбавления пробы. |
| - | l-й результат анализа разбавленной пробы с добавкой. |
| - | значение величины разности "введено - найдено". |
| - | значение величины разности между результатами анализа определяемого компонента в рабочей пробе и разбавленной рабочей пробе с учетом коэффициента разбавления. |
| - | средние арифметические значений разностей  ,  . |
| - | средние квадратические отклонения значений разностей  ,  . |
| - | расчетные значения критерия Стьюдента (t-критерия). |
| - | погрешность величины добавки. |
| - | погрешность, обусловленная процедурой разбавления. |
| - | расширенная неопределенность значения величины добавки. |
| - | расширенная неопределенность, связанная с процедурой разбавления. |
X | - | результат единичного анализа. |
| - | погрешность результата единичного анализа X. |
| - | межлабораторная вариация. |
| - | случайная погрешность результатов анализа, полученных в условиях воспроизводимости. |
| - | случайная погрешность результата единичного анализа, полученного в условиях повторяемости. |
| - | математическое ожидание результатов анализа, полученных в условиях воспроизводимости. |
| - | граница симметричного относительно нуля интервала, в котором находится i-я неисключенная составляющая систематической погрешности. |
K | - | коэффициент, определяемый принятой доверительной вероятностью. |
| - | значение отношения показателей воспроизводимости и повторяемости. |
w | - | номер рабочей пробы. |
W | - | общее число рабочих проб. |
| - | i-й результат анализа рабочей пробы под номером w. |
| - | коэффициенты зависимости показателя воспроизводимости от содержания определяемого компонента. |
| - | содержание определяемого компонента в веществе (материале) добавки. |
| - | содержание определяемого компонента в пробе без добавки. |
| - | увеличение содержания определяемого компонента в пробе с добавкой по отношению к содержанию определяемого компонента в пробе без добавки, %. |
| - | объем добавки. |
| - | объем пробы без добавки. |
C | - | аттестованное значение стандартного образца или аттестованной смеси; массовая доля основного вещества в реактиве. |
| - | плотность жидкого стандартного образца (аттестованной смеси); плотность реактива. |
| - | содержание компонента в пробе с добавкой. |
| - | масса добавки. |
| - | масса пробы. |
(справочное)
МАТЕМАТИЧЕСКАЯ МОДЕЛЬ ХАРАКТЕРИСТИКИ ПОГРЕШНОСТИ РЕЗУЛЬТАТОВ
ЕДИНИЧНОГО АНАЛИЗА
Б.1 Каждый результат единичного анализа X и его погрешность
<1> могут быть представлены в виде:

, (Б.1)

, (Б.2)

, (Б.3)
где C - истинное значение;

- систематическая погрешность методики анализа
<2>;

- межлабораторная вариация;

- случайная погрешность результатов анализа, полученных в условиях воспроизводимости
<3>,
<4>;

- случайная погрешность результата единичного анализа, полученного в условиях повторяемости
<5>.
--------------------------------
<1> На практике оценивают характеристику погрешности - показатель точности методики анализа.
<2> На практике оценивают характеристику систематической погрешности - показатель правильности методики анализа.
<3> На практике оценивают характеристику случайной погрешности результатов анализа, полученных в условиях воспроизводимости, - показатель воспроизводимости методики анализа.
<4> Для методик, предназначенных для применения в одной лаборатории, - случайная погрешность результатов анализа, полученных в условиях внутрилабораторной прецизионности.
<5> На практике оценивают характеристику случайной погрешности результатов анализа, полученных в условиях повторяемости, - показатель повторяемости методики анализа.
Б.2 Каждый результат единичного анализа X и приписанная характеристика его погрешности

для эмпирических методик могут быть представлены в виде:

, (Б.4)

, (Б.5)
где

- математическое ожидание результатов анализа, полученных в условиях воспроизводимости.
(рекомендуемое)
РАСЧЕТНО-ЭКСПЕРИМЕНТАЛЬНЫЙ МЕТОД ОЦЕНКИ ПОКАЗАТЕЛЕЙ
КАЧЕСТВА МЕТОДИКИ АНАЛИЗА (В ВИДЕ ХАРАКТЕРИСТИКИ
ПОГРЕШНОСТИ И ЕЕ СОСТАВЛЯЮЩИХ)
В.1 Основные допущения
В.1.1 Распределение случайной погрешности результата анализа принимают нормальным.
В.1.2 Распределение составляющих систематической погрешности принимают равномерным.
В.1.3 Приписанная характеристика случайной погрешности представляет собой СКО результатов единичного анализа, полученных в условиях повторяемости.
В.1.4 Приписанную характеристику систематической погрешности методики анализа рассчитывают как сумму составляющих систематической погрешности.
В.1.5 К факторам, которые формируют систематическую погрешность методики анализа, могут быть отнесены все факторы, перечисленные в
4.4, за исключением случайных эффектов, количественную оценку влияния которых учитывают при расчете СКО результатов единичного анализа, полученных в условиях повторяемости.
Примечания
1 Расчетно-экспериментальный метод допускается применять для методик анализа, для которых может быть выявлено и оценено влияние факторов, формирующих систематическую погрешность методики анализа. При этом не обязательно количественно оценивать каждую составляющую погрешности, так как при определенных обстоятельствах возможна оценка суммарного влияния нескольких факторов.
2 Экспериментальная оценка значений влияния отдельных факторов, формирующих систематическую погрешность, может быть проведена с использованием методов, указанных в
разделах 5 -
10.
В.2 Оценка показателя повторяемости методики анализа
В.2.1 Оценка показателя повторяемости методики анализа может быть проведена с использованием рабочих проб <1>. Общие требования к организации эксперимента и методы оценки аналогичны рассмотренным в
5.1.
--------------------------------
<1> При этом используемые пробы должны быть однородны и стабильны во время проведения эксперимента (см. международный стандарт
[2]).
В.2.2 Планирование эксперимента по оценке показателя повторяемости осуществляют в соответствии с
5.1. Оценку показателя повторяемости методики анализа проводят в соответствии с
5.2.1.
В.3 Оценка показателя правильности методики анализа
В.3.1 Выявляют факторы, формирующие систематическую погрешность.
В.3.2 Расчетным или экспериментальным путем оценивают характеристику каждой составляющей систематической погрешности.
В.3.3 Показатель правильности методики анализа (границы симметричного относительно нуля интервала, в котором находится систематическая погрешность методики анализа) рассчитывают по формуле

, (В.1)
где

- граница симметричного относительно нуля интервала, в котором находится i-я неисключенная составляющая систематической погрешности;
K - коэффициент, определяемый принятой доверительной вероятностью. Коэффициент K принимают равным 1,1 при доверительной вероятности P = 0,95.
Примечание - Примером оценивания показателя правильности расчетно-экспериментальным способом может служить алгоритм, приведенный в
ГОСТ 12.1.016.
В.4 Оценка показателя точности методики анализа
В.4.1 Показатель точности методики анализа для принятой вероятности P = 0,95 рассчитывают по формуле

. (В.2)
Примечание - Рассчитанное значение показателя точности методики по существу представляет собой эквивалент расширенной неопределенности измерений.
В.4.2 При необходимости по найденным для каждого из поддиапазонов измерений значениям показателя точности устанавливают функциональную зависимость показателя точности от содержания определяемого компонента для всего диапазона действия методики анализа с учетом рекомендаций
5.5.
(рекомендуемое)
СВЕДЕНИЯ ОБ ОЦЕНКАХ ПОКАЗАТЕЛЕЙ ТОЧНОСТИ, ПРАВИЛЬНОСТИ,
ПРЕЦИЗИОННОСТИ МЕТОДИКИ АНАЛИЗА, ПОЛУЧЕННЫХ НА ОСНОВЕ
ЭКСПЕРИМЕНТАЛЬНЫХ ДАННЫХ
Номер образца m = 1,..., M | | Число результатов единичного анализа N | Принятое опорное значение  | Среднее арифметическое значение результатов анализа  | Оценка СКО повторяемости | Оценка СКО воспроизводимости | Метод оценки показателя правильности | Оценка показателя правильности | Оценка показателя точности |
| | | | | | | | | |
| | | | | | | | | |
<1> В случае если экспериментальные данные были получены в одной лаборатории в условиях внутрилабораторной прецизионности, в данной графе указывают число серий результатов единичного анализа. |
(справочное)
ОБЩИЕ ТРЕБОВАНИЯ К ПОСТАНОВКЕ ЭКСПЕРИМЕНТА ПО ОЦЕНКЕ
ПОКАЗАТЕЛЕЙ КАЧЕСТВА МЕТОДИКИ АНАЛИЗА
Эксперимент по оценке показателей качества методики анализа планирует совет экспертов, в состав которого входят специалисты (аналитики и метрологи), имеющие достаточный опыт разработки и аттестации методик анализа. Эти специалисты должны знать следующее:
- формы представления и способы выражения показателей качества методик анализа;
- формы представления результатов анализа;
- номенклатуру показателей качества методик и результатов анализа и формы их представления для всех возможных случаев применения;
- расчетные и экспериментально-расчетные методы оценки показателей качества методик анализа;
- основные методы измерений, положенные в основу методик анализа;
- методологию планирования и проведения метрологических исследований при разработке методики анализа.
Основные этапы планирования эксперимента:
- составление структурной схемы методики анализа и выявление факторов, которые могут влиять на формирование показателя точности методики анализа;
- анализ состава исходных проб веществ и материалов, изучение возможного влияния матриц проб на результаты анализа;
- уточнение диапазона и области применения методики анализа на основе проведенного анализа состава исходных проб;
- определение числа точек диапазона, для которых будет проведена оценка показателей качества методики анализа;
- установление наличия стандартных образцов, адекватных по составу анализируемым пробам, методики сравнения, возможности внесения добавки в анализируемую пробу и т.д.;
- выбор метода оценки показателей качества методики анализа;
- определение числа лабораторий, которые должны быть вовлечены в совместный оценочный эксперимент;
- назначение числа параллельных определений, которое должно быть получено каждой лабораторией;
- определение сроков проведения оценочного эксперимента.
Документ (проект документа) на методику анализа должен содержать подробное и четкое описание всех деталей подготовки, проведения анализа, вычисления результата анализа, требования к числу результатов параллельных определений, а также требования к условиям проведения анализа, оборудованию, средствам измерений, реактивам и материалам.
Лаборатории, участвующие в эксперименте по оценке показателей качества методики анализа, должны быть выбраны случайным образом из числа лабораторий, применяющих данную методику анализа. Если к эксперименту привлекают лабораторию, не применяющую данную методику анализа, то этой лаборатории необходимо заранее освоить процедуру выполнения анализа в соответствии с методикой анализа. При выборе лабораторий необходимо учитывать возможность привлечения лабораторий, находящихся в разных регионах страны или в различных климатических зонах. Лаборатории должны иметь необходимые средства измерений, оборудование, реактивы и материалы. Применяемые средства измерений должны быть поверены (калиброваны). Стандартные образцы должны соответствовать
ГОСТ 8.315, аттестованные смеси -
РМГ 60. При этом как при получении текущих результатов анализа, так и при получении результатов в ходе оценочного эксперимента в лаборатории должна быть внедрена система менеджмента в соответствии с международным стандартом
[10], включая систему контроля качества результатов анализа.
В каждой лаборатории должен быть назначен ответственный за организацию фактического выполнения эксперимента. Результаты анализа, полученные в ходе оценочного эксперимента, должны содержать, по меньшей мере, на одну значащую цифру больше числа значащих цифр, установленного в методике анализа для результата анализа.
Выбор числа лабораторий, принимающих участие в межлабораторном эксперименте, осуществляют в соответствии с таблицами Д.1 и
Д.2, а также в соответствии с международными стандартами
[2],
[7].
Таблица Д.1
Значения неопределенности оценки СКО воспроизводимости
Число лабораторий L | | 1,2 | 1,4 |
N | 2 | 3 | 4 | 5 | 6 | 7 | 8 | 9 | 10 | 2 | 3 | 4 | 5 | 6 | 7 | 8 | 9 | 10 |
5 | 0,50 | 0,42 | 0,38 | 0,35 | 0,33 | 0,32 | 0,31 | - | - | 0,54 | 0,48 | 0,45 | 0,43 | 0,42 | 0,41 | 0,40 | 0,39 | 0,39 |
6 | 0,45 | 0,38 | 0,34 | 0,32 | - | - | - | - | - | 0,48 | 0,43 | 0,40 | 0,38 | 0,37 | 0,36 | 0,36 | 0,35 | 0,35 |
7 | 0,41 | 0,35 | 0,31 | - | - | - | - | - | - | 0,44 | 0,39 | 0,37 | 0,35 | 0,34 | 0,33 | 0,33 | 0,32 | 0,32 |
8 | 0,38 | 0,32 | - | - | - | - | - | - | - | 0,41 | 0,37 | 0,34 | 0,33 | 0,32 | 0,31 | - | - | - |
9 | 0,36 | - | - | - | - | - | - | - | - | 0,38 | 0,34 | 0,32 | - | - | - | - | - | - |
10 | 0,34 | - | - | - | - | - | - | - | - | 0,36 | 0,32 | - | - | - | - | - | - | - |
11 | 0,32 | - | - | - | - | - | - | - | - | 0,34 | 0,31 | - | - | - | - | - | - | - |
12 | 0,31 | - | - | - | - | - | - | - | - | 0,33 | - | - | - | - | - | - | - | - |
Число лабораторий L | | 1,6 | 1,8 |
N | 2 | 3 | 4 | 5 | 6 | 7 | 8 | 9 | 10 | 2 | 3 | 4 | 5 | 6 | 7 | 8 | 9 | 10 |
6 | 0,51 | 0,47 | 0,45 | 0,44 | 0,43 | 0,42 | 0,41 | 0,41 | 0,41 | 0,53 | 0,50 | 0,48 | 0,47 | 0,46 | 0,46 | 0,46 | 0,45 | 0,45 |
7 | 0,47 | 0,43 | 0,41 | 0,40 | 0,39 | 0,38 | 0,38 | 0,37 | 0,37 | 0,49 | 0,46 | 0,44 | 0,43 | 0,42 | 0,42 | 0,42 | 0,41 | 0,41 |
8 | 0,43 | 0,40 | 0,38 | 0,37 | 0,36 | 0,35 | 0,35 | 0,35 | 0,34 | 0,45 | 0,42 | 0,41 | 0,40 | 0,39 | 0,39 | 0,39 | 0,38 | 0,38 |
9 | 0,40 | 0,37 | 0,36 | 0,34 | 0,34 | 0,33 | 0,33 | 0,32 | 0,32 | 0,42 | 0,39 | 0,38 | 0,37 | 0,37 | 0,36 | 0,36 | 0,36 | 0,36 |
10 | 0,38 | 0,35 | 0,33 | 0,32 | 0,32 | 0,31 | 0,31 | 0,31 | - | 0,40 | 0,37 | 0,36 | 0,35 | 0,35 | 0,34 | 0,34 | 0,34 | 0,34 |
11 | 0,36 | 0,33 | 0,32 | 0,31 | - | - | - | - | - | 0,38 | 0,35 | 0,34 | 0,33 | 0,33 | 0,33 | 0,32 | 0,32 | 0,32 |
12 | 0,35 | 0,32 | - | - | - | - | - | - | - | 0,36 | 0,34 | 0,33 | 0,32 | 0,31 | 0,31 | 0,31 | 0,31 | - |
13 | 0,33 | - | - | - | - | - | - | - | - | 0,34 | 0,32 | 0,31 | 0,31 | - | - | - | - | - |
14 | 0,32 | - | - | - | - | - | - | - | - | 0,33 | 0,31 | - | - | - | - | - | - | - |
Число лабораторий L | | 2,0 | 2,2 |
N | 2 | 3 | 4 | 5 | 6 | 7 | 8 | 9 | 10 | 2 | 3 | 4 | 5 | 6 | 7 | 8 | 9 | 10 |
7 | 0,50 | 0,48 | 0,46 | 0,46 | 0,45 | 0,45 | 0,44 | 0,44 | 0,44 | 0,51 | 0,49 | 0,48 | 0,47 | 0,47 | 0,47 | 0,46 | 0,46 | 0,46 |
8 | 0,46 | 0,44 | 0,43 | 0,42 | 0,42 | 0,41 | 0,41 | 0,41 | 0,41 | 0,47 | 0,45 | 0,44 | 0,44 | 0,44 | 0,43 | 0,43 | 0,43 | 0,43 |
9 | 0,43 | 0,41 | 0,40 | 0,39 | 0,39 | 0,39 | 0,38 | 0,38 | 0,38 | 0,44 | 0,42 | 0,42 | 0,41 | 0,41 | 0,40 | 0,40 | 0,40 | 0,40 |
10 | 0,41 | 0,39 | 0,38 | 0,37 | 0,37 | 0,37 | 0,36 | 0,36 | 0,36 | 0,42 | 0,40 | 0,39 | 0,39 | 0,38 | 0,38 | 0,38 | 0,38 | 0,38 |
11 | 0,39 | 0,37 | 0,36 | 0,35 | 0,35 | 0,35 | 0,34 | 0,34 | 0,34 | 0,40 | 0,38 | 0,37 | 0,37 | 0,36 | 0,36 | 0,36 | 0,36 | 0,36 |
12 | 0,37 | 0,35 | 0,34 | 0,34 | 0,33 | 0,33 | 0,33 | 0,33 | 0,33 | 0,38 | 0,36 | 0,35 | 0,35 | 0,35 | 0,35 | 0,34 | 0,34 | 0,34 |
13 | 0,35 | 0,34 | 0,33 | 0,32 | 0,32 | 0,32 | 0,31 | 0,31 | 0,31 | 0,36 | 0,35 | 0,34 | 0,34 | 0,33 | 0,33 | 0,33 | 0,33 | 0,33 |
14 | 0,34 | 0,32 | 0,31 | 0,31 | 0,31 | - | - | - | - | 0,35 | 0,33 | 0,33 | 0,32 | 0,32 | 0,32 | 0,32 | 0,31 | 0,31 |
15 | 0,33 | 0,31 | - | - | - | - | - | - | - | 0,33 | 0,32 | 0,31 | 0,31 | 0,31 | 0,31 | - | - | - |
Таблица Д.2
Значения неопределенности оценки показателя правильности
методики анализа
Число лабораторий L | | 1,2 | Число лабораторий L | | 1,4 |
N | 2 | 3 | 4 | 5 | 6 | 7 | 8 | 9 | 10 | N | 2 | 3 | 4 | 5 | 6 | 7 | 8 | 9 | 10 |
13 | 0,44 | 0,40 | 0,38 | 0,36 | 0,35 | 0,35 | 0,34 | 0,34 | 0,33 | 18 | 0,40 | 0,38 | 0,36 | 0,36 | 0,35 | 0,35 | 0,34 | 0,34 | 0,34 |
14 | 0,42 | 0,38 | 0,36 | 0,35 | 0,34 | 0,33 | 0,33 | 0,32 | 0,32 | 19 | 0,39 | 0,37 | 0,35 | 0,35 | 0,34 | 0,34 | 0,33 | 0,33 | 0,33 |
15 | 0,41 | 0,37 | 0,35 | 0,34 | 0,33 | 0,32 | 0,32 | 0,31 | 0,31 | 20 | 0,38 | 0,36 | 0,34 | 0,34 | 0,33 | 0,33 | 0,33 | 0,32 | 0,32 |
16 | 0,40 | 0,36 | 0,34 | 0,33 | 0,32 | 0,31 | 0,31 | - | - | 21 | 0,37 | 0,35 | 0,34 | 0,33 | 0,32 | 0,32 | 0,32 | 0,32 | 0,31 |
17 | 0,38 | 0,35 | 0,33 | 0,32 | 0,31 | - | - | - | - | 22 | 0,36 | 0,34 | 0,33 | 0,32 | 0,32 | 0,31 | 0,31 | 0,31 | 0,31 |
18 | 0,37 | 0,34 | 0,32 | 0,31 | - | - | - | - | - | 23 | 0,35 | 0,33 | 0,32 | 0,31 | 0,31 | 0,31 | - | - | - |
19 | 0,36 | 0,33 | 0,31 | - | - | - | - | - | - | 24 | 0,35 | 0,32 | 0,31 | 0,31 | - | - | - | - | - |
20 | 0,35 | 0,32 | - | - | - | - | - | - | - | 25 | 0,34 | 0,32 | 0,31 | - | - | - | - | - | - |
21 | 0,35 | 0,31 | - | - | - | - | - | - | - | 26 | 0,33 | 0,31 | - | - | - | - | - | - | - |
22 | 0,34 | 0,31 | - | - | - | - | - | - | - | 27 | 0,33 | 0,31 | - | - | - | - | - | - | - |
23 | 0,33 | - | - | - | - | - | - | - | - | 28 | 0,32 | - | - | - | - | - | - | - | - |
Число лабораторий L | | 1,6 | Число лабораторий L | | 1,8 |
N | 2 | 3 | 4 | 5 | 6 | 7 | 8 | 9 | 10 | N | 2 | 3 | 4 | 5 | 6 | 7 | 8 | 9 | 10 |
21 | 0,38 | 0,37 | 0,36 | 0,35 | 0,35 | 0,35 | 0,35 | 0,35 | 0,34 | 24 | 0,37 | 0,36 | 0,35 | 0,35 | 0,34 | 0,34 | 0,34 | 0,34 | 0,34 |
22 | 0,37 | 0,36 | 0,35 | 0,35 | 0,34 | 0,34 | 0,34 | 0,34 | 0,34 | 25 | 0,36 | 0,35 | 0,34 | 0,34 | 0,34 | 0,34 | 0,33 | 0,33 | 0,33 |
23 | 0,37 | 0,35 | 0,34 | 0,34 | 0,34 | 0,33 | 0,33 | 0,33 | 0,33 | 26 | 0,35 | 0,34 | 0,34 | 0,33 | 0,33 | 0,33 | 0,33 | 0,33 | 0,33 |
24 | 0,36 | 0,34 | 0,34 | 0,33 | 0,33 | 0,33 | 0,32 | 0,32 | 0,32 | 27 | 0,35 | 0,34 | 0,33 | 0,33 | 0,33 | 0,32 | 0,32 | 0,32 | 0,32 |
25 | 0,35 | 0,34 | 0,33 | 0,33 | 0,32 | 0,32 | 0,32 | 0,32 | 0,32 | 28 | 0,34 | 0,33 | 0,32 | 0,32 | 0,32 | 0,32 | 0,32 | 0,32 | 0,31 |
26 | 0,34 | 0,33 | 0,32 | 0,32 | 0,32 | 0,31 | 0,31 | 0,31 | 0,31 | 29 | 0,33 | 0,32 | 0,32 | 0,32 | 0,31 | 0,31 | 0,31 | 0,31 | 0,31 |
27 | 0,34 | 0,32 | 0,32 | 0,31 | 0,31 | 0,31 | 0,31 | - | - | 30 | 0,33 | 0,32 | 0,31 | 0,31 | 0,31 | 0,31 | 0,31 | - | - |
28 | 0,33 | 0,32 | 0,31 | 0,31 | - | - | - | - | - | 31 | 0,32 | 0,31 | 0,31 | 0,31 | - | - | - | - | - |
Число лабораторий L | | 2,0 | Число лабораторий L | | 2,2 |
N | 2 | 3 | 4 | 5 | 6 | 7 | 8 | 9 | 10 | N | 2 | 3 | 4 | 5 | 6 | 7 | 8 | 9 | 10 |
24 | 0,37 | 0,37 | 0,36 | 0,36 | 0,36 | 0,35 | 0,35 | 0,35 | 0,35 | 26 | 0,36 | 0,36 | 0,35 | 0,35 | 0,35 | 0,35 | 0,35 | 0,35 | 0,35 |
25 | 0,37 | 0,36 | 0,35 | 0,35 | 0,35 | 0,35 | 0,35 | 0,35 | 0,35 | 27 | 0,36 | 0,35 | 0,35 | 0,34 | 0,34 | 0,34 | 0,34 | 0,34 | 0,34 |
26 | 0,36 | 0,35 | 0,35 | 0,34 | 0,34 | 0,34 | 0,34 | 0,34 | 0,34 | 28 | 0,35 | 0,34 | 0,34 | 0,34 | 0,34 | 0,34 | 0,34 | 0,33 | 0,33 |
27 | 0,35 | 0,34 | 0,34 | 0,34 | 0,34 | 0,33 | 0,33 | 0,33 | 0,33 | 29 | 0,34 | 0,34 | 0,33 | 0,33 | 0,33 | 0,33 | 0,33 | 0,33 | 0,33 |
28 | 0,35 | 0,34 | 0,33 | 0,33 | 0,33 | 0,33 | 0,33 | 0,33 | 0,33 | 30 | 0,34 | 0,33 | 0,33 | 0,33 | 0,33 | 0,32 | 0,32 | 0,32 | 0,32 |
29 | 0,34 | 0,33 | 0,33 | 0,33 | 0,32 | 0,32 | 0,32 | 0,32 | 0,32 | 31 | 0,33 | 0,33 | 0,32 | 0,32 | 0,32 | 0,32 | 0,32 | 0,32 | 0,32 |
30 | 0,33 | 0,33 | 0,32 | 0,32 | 0,32 | 0,32 | 0,32 | 0,32 | 0,32 | 32 | 0,33 | 0,32 | 0,32 | 0,32 | 0,32 | - | - | - | - |
31 | 0,33 | 0,32 | 0,32 | - | - | - | - | - | - | 33 | 0,32 | 0,32 | - | - | - | - | - | - | - |
1

,
где

- СКО повторяемости методики анализа;

- СКО воспроизводимости методики анализа;
N - число результатов единичных определений в условиях повторяемости, получаемых в эксперименте;
L - число лабораторий, участвующих в эксперименте.
2 При других значениях

и числе лабораторий L расчет неопределенности оценки проводят по формулам, приведенным в международных стандартах
[2] и
[7].
3 Число лабораторий, меньшее числа, указанного в таблицах, приводит к худшим значениям неопределенности оценок показателей воспроизводимости и правильности.
4 Число лабораторий, превышающее число, указанное в таблицах, приводит к лучшим значениям неопределенности оценок показателей воспроизводимости и правильности.
Примечание - Для определения показателя точности вновь разрабатываемой методики, в случае когда

,

не установлены, эксперимент может быть организован следующим образом:
1) выбирают методику с установленными значениями показателей качества, имеющую аналогичную область применения и использующую тот же метод измерений;
2) на основании показателей качества выбранной методики рассчитывают ориентировочное значение

;
3) на основании ориентировочного значения

выбирают значения N и L, необходимые для достоверной оценки показателей качества вновь разрабатываемой методики;
4) рассылают образцы для оценивания в L лабораторий;
5) по мере поступления результаты из лабораторий обрабатывают для нахождения значений

и вносят корректировки по числу лабораторий участников эксперимента (например, привлекают к эксперименту дополнительные лаборатории).
(рекомендуемое)
ОЦЕНКА ПОКАЗАТЕЛЕЙ ПРЕЦИЗИОННОСТИ (ПОВТОРЯЕМОСТИ,
ВНУТРИЛАБОРАТОРНОЙ ПРЕЦИЗИОННОСТИ) МЕТОДИКИ АНАЛИЗА
С ИСПОЛЬЗОВАНИЕМ РАБОЧИХ ПРОБ
Е.1 Проводят оценку значений показателей прецизионности (повторяемости, внутрилабораторной прецизионности) методики анализа для каждого поддиапазона, в котором изменением соответствующих показателей допускается пренебречь.
Е.2 Измерения проводят в пределах одной лаборатории.
Е.3 В качестве ОО используют W рабочих проб с содержанием определяемого компонента из соответствующего поддиапазона.
Е.4 Для каждой рабочей пробы получают N результатов анализа в условиях повторяемости или в условиях внутрилабораторной прецизионности.
Е.5 Число рабочих проб W, необходимое для достоверной оценки показателей прецизионности, определяют по Приложению Д, в соответствии с
таблицей Д.1, а также в соответствии с международными стандартами
[2],
[7], при этом вместо числа лабораторий L применяют число рабочих проб W. Кроме того, должно быть выполнено следующее условие:

. (Е.1)
Е.6 Экспериментальные данные, полученные в лаборатории, представляют в виде таблицы Е.1.
Таблица Е.1
Результаты анализа рабочих проб, полученные в условиях
повторяемости или в условиях внутрилабораторной
прецизионности
Номер рабочей пробы | Номер результата анализа рабочей пробы, полученного в условиях повторяемости или в условиях внутрилабораторной прецизионности |
1 | ... | i | ... | N |
1 | | ... | | ... | |
... | ... | ... | ... | ... | ... |
W | | ... | | ... | |
Е.7 Рассчитывают среднее арифметическое значение

по результатам анализа каждой рабочей пробы по формуле

. (Е.2)
Е.8 Проводят
<1> проверку результатов анализа каждой рабочей пробы, полученных в условиях повторяемости (или в условиях внутрилабораторной прецизионности)

, на наличие выбросов по критерию Граббса (аналогично
5.2.2.1).
--------------------------------
Е.9 Оценку стандартного отклонения повторяемости или внутрилабораторной прецизионности (

или

) определяют по формуле

, (Е.3)
где

- число неотброшенных результатов.
Примечание - Для N = 2 оценку стандартного отклонения повторяемости или внутрилабораторной прецизионности (

или

) допускается определять по формуле

. (Е.4)
Е.10 Значения показателей прецизионности (повторяемости, внутрилабораторной прецизионности) методики анализа для каждого поддиапазона устанавливают в соответствии с
5.2.1.4,
5.2.1.5,
5.2.2.3 и
5.2.2.4.
(рекомендуемое)
ФОРМА ПРЕДСТАВЛЕНИЯ РЕЗУЛЬТАТОВ ЕДИНИЧНОГО АНАЛИЗА
ОБРАЗЦОВ ДЛЯ ОЦЕНИВАНИЯ
┌─────────────────────────────────────────────────────────────────────────┐
│ Информационные данные - │
│ │
│_________________________________________________________________________│
│ наименование организации (предприятия) │
│_________________________________________________________________________│
│ наименование лаборатории │
│_________________________________________________________________________│
│ адрес, телефон │
│_________________________________________________________________________│
│ руководитель организации (предприятия) │
│_________________________________________________________________________│
│ руководитель лаборатории │
├─────────────────────────────────────────────────────────────────────────┤
│Сведения об аттестатах аккредитации лаборатории (номер, дата выдачи, кем│
│выданы, срок действия) │
├─────────────────────────────────────────────────────────────────────────┤
│Наименование методики анализа │
├─────────────────────────────────────────────────────────────────────────┤
│Сведения о поверке (калибровке) средств измерений, используемых в│
│методике анализа (дата и номер свидетельства о поверке, место поверки,│
│наименование организации, осуществившей поверку) │
├─────────────────────────────────────────────────────────────────────────┤
│Сведения об аттестации вспомогательного оборудования │
├─────────────────────────────────────────────────────────────────────────┤
│Дата начала эксперимента │
├─────────────────────────────────────────────────────────────────────────┤
│Дата окончания эксперимента │
├─────────────────────────────────────────────────────────────────────────┤
│Квалификация операторов, выполнивших анализы ОО │
└─────────────────────────────────────────────────────────────────────────┘
Таблица Ж.1
Результаты анализа образцов для оценивания
Номер образца для оценивания |
1 | ... | M |
Номер результата единичного анализа | Дата проведения анализа | Оператор | Результат единичного анализа | ... | Номер результата единичного анализа | Дата проведения анализа | Оператор | Результат единичного анализа |
1 | | | | ... | 1 | | | |
2 | | | | ... | 2 | | | |
3 | | | | ... | 3 | | | |
4 | | | | ... | 4 | | | |
... | ... | ... | ... | ... | ... | ... | ... | ... |
N | | | | ... | N | | | |
(справочное)
СТАТИСТИЧЕСКИЕ ТАБЛИЦЫ
Таблица И.1
Критерий Кохрена. Критические значения

для доверительной вероятности P = 0,95
f | |
| 1 | 2 | 3 | 4 | 5 |
2 | 0,999 | 0,975 | 0,939 | 0,906 | 0,877 |
3 | 0,967 | 0,871 | 0,798 | 0,746 | 0,707 |
4 | 0,906 | 0,768 | 0,684 | 0,629 | 0,590 |
5 | 0,841 | 0,684 | 0,598 | 0,544 | 0,506 |
6 | 0,781 | 0,616 | 0,532 | 0,480 | 0,445 |
7 | 0,727 | 0,561 | 0,480 | 0,431 | 0,397 |
8 | 0,680 | 0,516 | 0,438 | 0,391 | 0,360 |
9 | 0,638 | 0,478 | 0,403 | 0,358 | 0,329 |
10 | 0,602 | 0,445 | 0,373 | 0,331 | 0,303 |
11 | 0,570 | 0,417 | 0,348 | 0,308 | 0,281 |
12 | 0,541 | 0,392 | 0,326 | 0,288 | 0,262 |
13 | 0,515 | 0,371 | 0,307 | 0,271 | 0,243 |
14 | 0,492 | 0,352 | 0,291 | 0,255 | 0,232 |
15 | 0,471 | 0,335 | 0,276 | 0,242 | 0,220 |
16 | 0,452 | 0,319 | 0,262 | 0,230 | 0,208 |
17 | 0,434 | 0,305 | 0,250 | 0,219 | 0,198 |
18 | 0,418 | 0,293 | 0,240 | 0,209 | 0,189 |
19 | 0,403 | 0,281 | 0,230 | 0,200 | 0,181 |
20 | 0,389 | 0,270 | 0,220 | 0,192 | 0,174 |
21 | 0,377 | 0,261 | 0,212 | 0,185 | 0,167 |
22 | 0,365 | 0,252 | 0,204 | 0,178 | 0,160 |
23 | 0,354 | 0,243 | 0,197 | 0,172 | 0,155 |
24 | 0,343 | 0,235 | 0,191 | 0,166 | 0,149 |
25 | 0,334 | 0,228 | 0,185 | 0,160 | 0,144 |
26 | 0,325 | 0,221 | 0,179 | 0,155 | 0,140 |
27 | 0,316 | 0,215 | 0,173 | 0,150 | 0,135 |
28 | 0,308 | 0,209 | 0,168 | 0,146 | 0,131 |
29 | 0,300 | 0,203 | 0,164 | 0,142 | 0,127 |
30 | 0,293 | 0,198 | 0,159 | 0,138 | 0,124 |
31 | 0,286 | 0,193 | 0,155 | 0,134 | 0,120 |
32 | 0,280 | 0,188 | 0,151 | 0,131 | 0,117 |
33 | 0,273 | 0,184 | 0,147 | 0,127 | 0,114 |
34 | 0,267 | 0,179 | 0,144 | 0,124 | 0,111 |
35 | 0,262 | 0,175 | 0,140 | 0,121 | 0,108 |
36 | 0,256 | 0,172 | 0,137 | 0,118 | 0,106 |
37 | 0,251 | 0,168 | 0,134 | 0,116 | 0,103 |
38 | 0,246 | 0,164 | 0,131 | 0,113 | 0,101 |
39 | 0,242 | 0,161 | 0,129 | 0,111 | 0,099 |
40 | 0,237 | 0,158 | 0,126 | 0,108 | 0,097 |
Таблица И.2
Критерий Граббса. Критические значения для доверительной
вероятности P = 0,95
f | |
3 | 1,155 |
4 | 1,481 |
5 | 1,715 |
6 | 1,887 |
7 | 2,020 |
8 | 2,126 |
9 | 2,215 |
10 | 2,290 |
11 | 2,355 |
12 | 2,412 |
13 | 2,462 |
14 | 2,507 |
15 | 2,549 |
16 | 2,585 |
17 | 2,620 |
18 | 2,651 |
19 | 2,681 |
20 | 2,709 |
21 | 2,733 |
22 | 2,758 |
23 | 2,781 |
24 | 2,802 |
25 | 2,822 |
26 | 2,841 |
27 | 2,859 |
28 | 2,876 |
29 | 2,893 |
30 | 2,908 |
31 | 2,924 |
32 | 2,938 |
33 | 2,952 |
34 | 2,965 |
35 | 2,979 |
36 | 2,991 |
37 | 3,003 |
38 | 3,014 |
39 | 3,025 |
40 | 3,036 |
Таблица И.3
Процентные точки распределения Стьюдента Q = 2,5%
(двусторонний критерий)
f | t(f) |
1 | 12,71 |
2 | 4,30 |
3 | 3,18 |
4 | 2,78 |
5 | 2,57 |
6 | 2,45 |
7 | 2,37 |
8 | 2,31 |
9 | 2,26 |
10 | 2,23 |
11 | 2,20 |
12 | 2,18 |
13 | 2,16 |
14 | 2,15 |
15 | 2,14 |
16 | 2,12 |
17 | 2,11 |
18 | 2,10 |
19 | 2,09 |
20 | 2,09 |
21 | 2,08 |
22 | 2,07 |
23 | 2,07 |
24 | 2,06 |
25 | 2,06 |
26 | 2,06 |
27 | 2,05 |
28 | 2,05 |
29 | 2,04 |
30 | 2,04 |
40 | 2,02 |
60 | 2,00 |
120 | 1,98 |
Таблица И.4
Процентные точки выборочного коэффициента корреляции (r*)
Q = 2,5% (двусторонний критерий)
f | r* |
1 | 0,997 |
2 | 0,950 |
3 | 0,878 |
4 | 0,811 |
5 | 0,754 |
6 | 0,707 |
7 | 0,666 |
8 | 0,632 |
9 | 0,602 |
10 | 0,576 |
11 | 0,553 |
12 | 0,532 |
13 | 0,514 |
14 | 0,497 |
15 | 0,482 |
16 | 0,468 |
17 | 0,456 |
18 | 0,444 |
19 | 0,433 |
20 | 0,423 |
25 | 0,381 |
30 | 0,349 |
35 | 0,325 |
40 | 0,304 |
45 | 0,287 |
50 | 0,273 |
60 | 0,250 |
(справочное)
ВИДЫ ЗАВИСИМОСТЕЙ И ФОРМУЛЫ ДЛЯ РАСЧЕТА ОЦЕНОК
КОЭФФИЦИЕНТОВ ЭТИХ ЗАВИСИМОСТЕЙ
В качестве предполагаемых зависимостей показателя воспроизводимости от анализируемого содержания рассматривают зависимости следующих видов:
I

;
II

;
III

;
IV

.
Коэффициенты перечисленных зависимостей оценивают методом наименьших квадратов.
Формулы для расчета оценок коэффициентов зависимостей вида:
I
II
III
IV
Адекватность экспериментальных данных выбранному виду зависимости проверяют путем сравнения выборочного коэффициента корреляции r*, вычисленного для зависимости соответствующего вида, с табличным значением

[см.
таблицу И.4 (приложение И)] при числе степеней свободы f = M - 2.
Значение выборочного коэффициента корреляции рассчитывают по формуле для зависимостей вида:
I

;
II

;
III

;
IV

.
Если

, то экспериментальные данные не противоречат предполагаемой зависимости. Если r* не превосходит

, то экспериментальные данные противоречат зависимости выбранного вида. В этом случае рекомендуется выбрать другой вид зависимости из числа приведенных выше.
Если для всего диапазона измерений не удается установить один вид зависимости показателя точности от измеряемого содержания, то целесообразно:
- либо разбить диапазон измерений на поддиапазоны, для каждого из которых установить свой вид зависимости;
- либо, если это приведет к превышению значения показателя точности над допускаемым значением, в качестве показателя воспроизводимости в диапазоне измерений принять максимальное значение показателя воспроизводимости, соответствующее содержанию определяемого компонента в образцах для оценивания, т.е.

.
Примечание - Аналогично может быть проведен расчет зависимости показателей качества методики анализа от измеряемого содержания в случае их представления с использованием понятия "неопределенность".
(рекомендуемое)
ДОБАВКА К ПРОБЕ (РАЗБАВЛЕННОЙ ПРОБЕ) И КОЭФФИЦИЕНТ
РАЗБАВЛЕНИЯ В ЗАВИСИМОСТИ ОТ ПОКАЗАТЕЛЯ ВОСПРОИЗВОДИМОСТИ
Таблица Л.1
Значения величины добавки к пробе (разбавленной пробе)
и коэффициента разбавления в зависимости от показателя
воспроизводимости
Показатель воспроизводимости  , % содержания компонента в пробе | Значение величины добавки  , % содержания компонента в пробе, не менее | Коэффициент разбавления пробы  , не менее |
5 | 22 | 1,2 |
6 | 27 | 1,3 |
7 | 33 | 1,3 |
8 | 38 | 1,4 |
9 | 44 | 1,4 |
10 | 50 | 1,5 |
11 | 56 | 1,6 |
12 | 63 | 1,6 |
13 | 70 | 1,7 |
14 | 78 | 1,8 |
15 | 86 | 1,9 |
16 | 94 | 1,9 |
17 | 100 | 2,0 |
18 | 110 | 2,1 |
19 | 120 | 2,2 |
20 | 130 | 2,3 |
21 | 140 | 2,4 |
22 | 160 | 2,6 |
23 | 170 | 2,7 |
24 | 180 | 2,8 |
25 | 200 | 3,0 |
(рекомендуемое)
РЕКОМЕНДАЦИИ ПО ОПРЕДЕЛЕНИЮ МАССЫ (ОБЪЕМА)
ВЕЩЕСТВА (МАТЕРИАЛА) ДОБАВКИ
М.1 В качестве добавки могут быть использованы твердые или жидкие СО или АС. Содержание определяемого компонента в веществе (материале) добавки должно быть таким, чтобы изменением объема (массы) пробы с добавкой по отношению к объему (массе) пробы без добавки можно было пренебречь.
Примечание - Допустимо использование твердых или жидких референтных материалов, реактивов с известным содержанием основного вещества (определяемого компонента).
М.2 Определение объема вещества (материала) добавки в случае, если проба и добавка представляют собой растворы
М.2.1 Вещество (материал) добавки должно быть более концентрированным по определяемому компоненту, чем проба. В общем случае должно быть выполнено следующее условие:

,
где

- содержание определяемого компонента в веществе (материале) добавки (например, массовая концентрация, мг/дм
3);

- содержание определяемого компонента в пробе без добавки (например, массовая концентрация, мг/дм
3);

- увеличение содержания определяемого компонента в пробе с добавкой, % содержания определяемого компонента в пробе без добавки (в соответствии с
приложением Л).
М.2.2 Объем добавки

, см
3, рассчитывают по формуле

, (М.1)
где

- объем пробы без добавки, см
3.
Примечание -
Формулу М.1 используют для расчета объема добавки в случае, если содержание компонента в пробе без добавки и в веществе (материале) добавки представлено в одних и тех же единицах величин: массовой концентрации, молярной концентрации, объемной доли.
М.2.3 В случае если в качестве вещества (материала) добавки используют жидкость (СО, АС, реактив) с известными значениями плотности и массовой доли основного вещества, то объем добавки рассчитывают по формуле

, (М.2)
где C - аттестованное значение (массовая доля) СО или АС, массовая доля основного вещества в реактиве, %;

- плотность жидкого СО или АС (реактива), г/см
3;

- массовая концентрация определяемого компонента в пробе без добавки, мг/дм
3.
М.2.4 Содержание определяемого компонента в пробе с добавкой

рассчитывают по формуле

. (М.3)
М.3 Определение массы вещества (материала) добавки в случае, если проба представляет собой раствор, добавка - твердый СО (реактив) с известным содержанием основного вещества (определяемого компонента)
М.3.1 Массу добавки

, мг, рассчитывают по формуле

, (М.4)
где

- массовая концентрация определяемого компонента в пробе без добавки, мг/дм
3;

- объем пробы без добавки, см
3.
М.3.2 Содержание компонента в пробе с добавкой

может быть рассчитано по
формуле (М.3).
М.4 Определение массы вещества (материала) добавки в случае, если проба представляет собой твердое вещество, добавка - твердый СО (реактив) с известным содержанием основного вещества (определяемого компонента) или жидкий раствор определяемого компонента (СО или АС)
М.4.1 Проба представляет собой твердое вещество, добавка - твердый СО (реактив) с известным содержанием основного вещества (определяемого компонента).
Массу добавки

, мг, рассчитывают по формуле

, (М.5)
где

- масса пробы, мг.
Примечание -
Формулу М.5 используют для расчета массы добавки, только если содержание компонента в пробе без добавки и в веществе (материале) добавки представлено в одних и тех же единицах величины - единицах массовой доли.
М.4.2 Содержание компонента в пробе с добавкой

может быть рассчитано по
формуле (М.3).
М.4.3 Проба представляет собой твердое вещество, добавка - жидкий раствор определяемого компонента (СО или АС).
Объем добавки

, дм
3, рассчитывают по формуле

, (М.6)
где

- массовая доля определяемого компонента в пробе без добавки, %;

- массовая концентрация определяемого компонента в веществе (материале) добавки, мг/дм
3.
М.4.4 Содержание определяемого компонента в пробе с добавкой

может быть рассчитано по
формуле (М.3).
| Руководство ИСО/МЭК 99:2007 (ISO/IEC GUIDE 99:2007) | Международный словарь по метрологии. Основные и общие понятия и соответствующие термины (VIM) (International vocabulary of metrology - Basic and general concepts and associated terms (VIM)) |
| Международный стандарт ИСО 5725-1-1994 (ISO 5725-1-1994) | Точность (правильность и прецизионность) методов и результатов измерений. Часть 1. Основные положения и определения (Accuracy (trueness and precision) of measurement methods and results. Part 1. General principles and definitions) |
| Руководство по выражению неопределенности измерений (ISO/IEC Guide 98:1995) | Руководство по выражению неопределенности измерений. - Пер. с англ. - С-Петербург: ВНИИМ им. Д.И. Менделеева, 1999 (Guide to the expression of uncertainty in measurement (GUM)) |
| Руководство Еврохим/СИТАК (EURACHEM/CITAC Guide) | Количественное описание неопределенности в аналитических измерениях. - 2-е изд., 2000. - Пер. с англ. - С-Петербург: ВНИИМ им. Д.И. Менделеева, 2002 (Quantifying Uncertainty in Analytical Measurement (Second Edition)) |
| Международный стандарт ИСО 5725-2-1994 (ISO 5725-2-1994) | Точность (правильность и прецизионность) методов и результатов измерений. Часть 2. Основной метод определения повторяемости и воспроизводимости стандартного метода измерений (Accuracy (trueness and precision) of measurement methods and results. Part 2. Basic method for the determination of repeatability and reproducibility of a standard measurement method) |
[6] | Международный стандарт ИСО 5725-3-1994 (ISO 5725-3-1994) | Точность (правильность и прецизионность) методов и результатов измерений. Часть 3. Промежуточные показатели прецизионности стандартного метода измерений (Accuracy (trueness and precision) of measurement methods and results. Part 3. Intermediate measures of the precision of a standard measurement method) |
| Международный стандарт ИСО 5725-4-1994 (ISO 5725-4-1994) | Точность (правильность и прецизионность) методов и результатов измерений. Часть 4. Основные методы определения правильности стандартного метода измерений (Accuracy (trueness and precision) of measurement methods and results. Part 4. Basic methods for the determination of the trueness of a standard measurement method) |
| Международный стандарт ИСО 5725-5-1998 (ISO 5725-5-1998) | Точность (правильность и прецизионность) методов и результатов измерений. Часть 5. Альтернативные методы определения прецизионности стандартного метода измерений (Accuracy (trueness and precision) of measurement methods and results. Part 5. Alternative methods for the determination of the precision of a standard measurement method) |
| Международный стандарт ИСО 11095:1996 (ISO 11095:1996) | Линейная калибровка с использованием референтных материалов (Linear calibration using reference materials) |
| Международный стандарт ИСО 17025:2005 (ISO 17025:2005) | Общие требования к компетентности испытательных и калибровочных лабораторий (General requirements for the competence of testing and calibration laboratories) |