Главная // Актуальные документы // ГОСТ (Государственный стандарт)СПРАВКА
Источник публикации
В данном виде документ опубликован не был.
Первоначальный текст документа опубликован в издании
М.: Стандартинформ, 2013.
Информацию о публикации документов, создающих данную редакцию, см. в справке к этим документам.
Примечание к документу
Документ включен в
Перечень стандартов, содержащих правила и методы исследований (испытаний) и измерений, в том числе правила отбора образцов, необходимые для применения и исполнения требований технического
регламента Таможенного союза "Технический регламент на масложировую продукцию" (ТР ТС 024/2011) и осуществления оценки соответствия объектов технического регулирования (
Решение Комиссии Таможенного союза от 09.12.2011 N 883).
Текст данного документа приведен с учетом поправок, опубликованных в "ИУС",
N 5, 2015;
N 3, 2016.
Изменение N 1 введено в действие с 1 июля 2016 года Приказом Росстандарта от 22.03.2016 N 202-ст.
Название документа
"ГОСТ 31762-2012. Межгосударственный стандарт. Майонезы и соусы майонезные. Правила приемки и методы испытаний"
(введен в действие Приказом Росстандарта от 29.11.2012 N 1692-ст)
(ред. от 22.03.2016)
"ГОСТ 31762-2012. Межгосударственный стандарт. Майонезы и соусы майонезные. Правила приемки и методы испытаний"
(введен в действие Приказом Росстандарта от 29.11.2012 N 1692-ст)
(ред. от 22.03.2016)
по техническому регулированию
и метрологии
от 29 ноября 2012 г. N 1692-ст
МЕЖГОСУДАРСТВЕННЫЙ СТАНДАРТ
МАЙОНЕЗЫ И СОУСЫ МАЙОНЕЗНЫЕ
ПРАВИЛА ПРИЕМКИ И МЕТОДЫ ИСПЫТАНИЙ
Mayonnaises and mayonnaise sauces. Sampling rules
and test methods
ГОСТ 31762-2012
| | Список изменяющих документов Росстандарта от 22.03.2016 N 202-ст) | |
Дата введения
1 июля 2013 года
Цели, основные принципы и основной порядок проведения работ по межгосударственной стандартизации установлены
ГОСТ 1.0-92 "Межгосударственная система стандартизации. Основные положения" и
ГОСТ 1.2-2009 "Межгосударственная система стандартизации. Стандарты межгосударственные, правила и рекомендации по межгосударственной стандартизации. Правила разработки, принятия, применения, обновления и отмены".
1. Подготовлен Государственным научным учреждением "Всероссийский научно-исследовательский институт жиров" Российской академии сельскохозяйственных наук (ГНУ "ВНИИЖ" Россельхозакадемии) при участии ООО "Брукер" и ООО "Экан".
2. Внесен Федеральным агентством по техническому регулированию и метрологии.
3. Принят Межгосударственным советом по стандартизации, метрологии и сертификации (Протокол от 15 ноября 2012 г. N 42).
За принятие проголосовали:
Краткое наименование страны по МК (ИСО 3166) 004-97 | Код страны по МК (ИСО 3166) 004-97 | Сокращенное наименование национального органа по стандартизации |
Армения | AM | Минэкономики Республики Армения |
Кыргызстан | KG | Кыргызстандарт |
Российская Федерация | RU | Росстандарт |
Таджикистан | TJ | Таджикстандарт |
Узбекистан | UZ | Узстандарт |
4.
Приказом Федерального агентства по техническому регулированию и метрологии от 29 ноября 2012 г. N 1692-ст межгосударственный стандарт ГОСТ 31762-2012 введен в действие в качестве национального стандарта Российской Федерации с 1 июля 2013 г.
5. Настоящий стандарт подготовлен на основе применения
ГОСТ Р 53595-2009 (с поправкой ИУС N 6-2012).
6. Введен впервые.
Информация о введении в действие (прекращении действия) настоящего стандарта публикуется в ежемесячно издаваемом информационном указателе "Национальные стандарты".
Информация об изменениях к настоящему стандарту публикуется в ежегодно издаваемом информационном указателе "Национальные стандарты", а текст изменений и поправок - в ежемесячно издаваемых информационных указателях "Национальные стандарты". В случае пересмотра или отмены настоящего стандарта соответствующая информация будет опубликована в ежемесячно издаваемом информационном указателе "Национальные стандарты".
Настоящий стандарт распространяется на майонезы и майонезные соусы (далее - продукт) и устанавливает правила приемки и методы испытаний органолептических и физико-химических показателей:
- определение консистенции, внешнего вида, цвета, запаха и вкуса;
- определение массовой доли влаги;
- определение массовой доли жира;
- определение массовой доли яичных продуктов в пересчете на сухой желток;
- определение кислотности;
- определение стойкости эмульсии;
- определение перекисного числа жировой фазы, выделенной из продукта;
- определение массовых долей консервантов;
- определение массовой доли белковых веществ;
- определение эффективной вязкости;
- определение pH.
В настоящем стандарте использованы нормативные ссылки на следующие стандарты:
ГОСТ 8.135-2004 Государственная система обеспечения единства измерений. Стандарт-титры для приготовления буферных растворов - рабочих эталонов pH 2-го и 3-го разрядов. Технические и метрологические характеристики. Методы их определения
ГОСТ 12.1.005-88 Система стандартов безопасности труда. Общие санитарно-гигиенические требования к воздуху рабочей зоны
ГОСТ 12.1.007-76 Система стандартов безопасности труда. Вредные вещества. Классификация и общие требования безопасности
ГОСТ 12.1.018-93 Система стандартов безопасности труда. Пожаровзрывобезопасность статического электричества. Общие требования
ГОСТ 12.1.019-79 Система стандартов безопасности труда. Электробезопасность. Общие требования и номенклатура видов защиты <*>
(в ред.
Изменения N 1, введенного Приказом Росстандарта от 22.03.2016 N 202-ст)
--------------------------------
(сноска введена
Изменением N 1, введенным Приказом Росстандарта от 22.03.2016 N 202-ст)
ГОСТ 12.2.007.0-75 Система стандартов безопасности труда. Изделия электротехнические. Общие требования безопасности
ГОСТ 1770-74 (ИСО 1042-83, ИСО 4788-80) Посуда мерная лабораторная стеклянная. Цилиндры, мензурки, колбы, пробирки. Общие технические условия
ГОСТ 4166-76 Реактивы. Натрий сернокислый. Технические условия
ГОСТ 4174-77 Реактивы. Цинк сернокислый 7-водный. Технические условия
ГОСТ 4198-75 Реактивы. Калий фосфорнокислый однозамещенный. Технические условия
ГОСТ 4207-75 Реактивы. Калий железистосинеродистый 3-водный. Технические условия
ГОСТ 4328-77 Реактивы. Натрия гидроокись. Технические условия
ГОСТ 4919.1-77 Реактивы и особо чистые вещества. Методы приготовления растворов индикаторов
ГОСТ 5556-81 Вата медицинская гигроскопическая. Технические условия
ГОСТ 5830-79 Реактивы. Спирт изоамиловый. Технические условия
ГОСТ 6552-80 Реактивы. Кислота ортофосфорная. Технические условия
ГОСТ 6859-72 Приборы для отмеривания и отбора жидкостей. Технические условия
| | ИС МЕГАНОРМ: примечание. Взамен ГОСТ 7031-75 Приказом Росстандарта от 26.08.2021 N 826-ст с 01.04.2022 введен в действие ГОСТ 7031-2021. | |
ГОСТ 7031-75 Песок кварцевый для тонкой керамики
ГОСТ 8756.1-79 Продукты пищевые консервированные. Методы определения органолептических показателей, массы нетто или объема и массовой доли составных частей
ГОСТ 9147-80 Посуда и оборудование лабораторные фарфоровые. Технические условия
ГОСТ 12026-76 Бумага фильтровальная лабораторная. Технические условия
ГОСТ 13496.4-93 Корма, комбикорма, комбикормовое сырье. Методы определения содержания азота и сырого протеина
ГОСТ 14919-83 Электроплиты, электроплитки и жарочные электрошкафы бытовые. Общие технические условия
Ссылка исключена с 1 июля 2016 года. -
Изменение N 1, введенное Приказом Росстандарта от 22.03.2016 N 202-ст.
ГОСТ OIML R 76-1-2011 ГСИ. Весы неавтоматического действия. Часть 1. Метрологические и технические требования. Испытания
(ссылка в ред.
Изменения N 1, введенного Приказом Росстандарта от 22.03.2016 N 202-ст)
ГОСТ 25336-82 Посуда и оборудование лабораторные стеклянные. Типы, основные параметры и размеры
ГОСТ 25794.1-83 Реактивы. Методы приготовления титрованных растворов для кислотно-основного титрования
ГОСТ 28498-90 Термометры жидкостные стеклянные. Общие технические требования. Методы испытаний
ГОСТ 29169-91 (ИСО 648-77) Посуда лабораторная стеклянная. Пипетки с одной меткой
ГОСТ 29227-91 (ИСО 835-1-81) Посуда лабораторная стеклянная. Пипетки градуированные. Часть 1. Общие требования
ГОСТ 29251-91 (ИСО 385-1-84) Посуда лабораторная стеклянная. Бюретки. Часть 1. Общие требования
ГОСТ 29252-91 (ИСО 385-2-84) Посуда лабораторная стеклянная. Бюретки. Часть 2. Бюретки без установленного времени ожидания
ГОСТ 31753-2012 Масла растительные. Методы определения фосфорсодержащих веществ
ГОСТ 61-75 Реактивы. Кислота уксусная. Технические условия
(ссылка введена
Изменением N 1, введенным Приказом Росстандарта от 22.03.2016 N 202-ст)
(ссылка введена
Изменением N 1, введенным Приказом Росстандарта от 22.03.2016 N 202-ст)
(ссылка введена
Изменением N 1, введенным Приказом Росстандарта от 22.03.2016 N 202-ст)
ГОСТ 19908-90 Тигли, чаши, стаканы, колбы, воронки, пробирки и наконечники из прозрачного кварцевого стекла. Общие технические условия
(ссылка введена
Изменением N 1, введенным Приказом Росстандарта от 22.03.2016 N 202-ст)
ГОСТ 25794.2-83 Реактивы. Методы приготовления титрованных растворов для окислительно-восстановительного титрования
(ссылка введена
Изменением N 1, введенным Приказом Росстандарта от 22.03.2016 N 202-ст)
ГОСТ 27068-86 Реактивы. Натрий серноватистокислый (натрия тиосульфат) 5-водный. Технические условия.
(ссылка введена
Изменением N 1, введенным Приказом Росстандарта от 22.03.2016 N 202-ст)
Примечание. При пользовании настоящим стандартом целесообразно проверить действие ссылочных стандартов в информационной системе общего пользования - на официальном сайте Федерального агентства по техническому регулированию и метрологии в сети Интернет или по ежегодно издаваемому информационному указателю "Национальные стандарты", который опубликован по состоянию на 1 января текущего года, и по соответствующим ежемесячно издаваемым информационным указателям, опубликованным в текущем году. Если ссылочный стандарт заменен (изменен), то при пользовании настоящим стандартом следует руководствоваться заменяющим (измененным) стандартом. Если ссылочный стандарт отменен без замены, то положение, в котором дана ссылка на него, применяется в части, не затрагивающей эту ссылку.
3.1. Продукт принимают партиями.
Партией считают любое количество продукта одного наименования, одной даты выработки, с одинаковыми органолептическими и физико-химическими показателями (массовая доля жира, массовая доля влаги, массовая доля яичных продуктов в пересчете на сухой желток, кислотность, стойкость эмульсии), предназначенное к одновременной сдаче-приемке и оформленное одним сопроводительным документом с указанием:
- наименования продукта;
- наименования и местонахождения изготовителя [юридический адрес, включая страну, и, при несовпадении с юридическим адресом, адрес(а) производств(а)];
- наименования организации на территории государства, принявшего стандарт, уполномоченной изготовителем на принятие претензий от потребителя на ее территории (при наличии);
- массы нетто и (или) объема;
- товарного знака изготовителя (при наличии);
- результатов испытаний;
- даты изготовления;
- номера партии и даты отгрузки;
- срока годности;
- условий хранения;
- обозначения национального стандарта или другой технической документации, которые содержат идентификационные признаки продукта;
- информации о подтверждении соответствия.
3.2. Для контроля качества и проверки соответствия упаковки и маркировки требованиям нормативного документа при приемке продукции составляют объединенную пробу, отобранную случайным образом, равномерно от всей партии. Из партии отбирают выборку продукции в транспортной упаковке в объеме, указанном в таблице 1.
Таблица 1
Число единиц транспортной упаковки в партии | Число единиц транспортной упаковки в выборке |
До 10 включ. | 1 |
От 11 до 100 включ. | 2 |
" 101 " 200 " | 3 |
" 201 " 500 " | 4 |
" 501 и более | 5 |
3.3. Из каждой единицы транспортной упаковки, включенной в выборку, отбирают одну или несколько потребительских упаковок продукта.
3.4. При получении неудовлетворительных результатов испытаний хотя бы по одному из показателей проводят повторные испытания на удвоенной объединенной пробе, т.е. объединенной пробе, отобранной в удвоенном по массе (или числу единиц) количестве, случайным образом, равномерно от всей партии. Повторные испытания проводят только по показателям, по которым получены неудовлетворительные результаты. Результаты повторных испытаний являются окончательными и распространяются на всю партию.
3.5. Проверку упаковки и маркировки проводят внешним осмотром.
3.6. Определение массы нетто или объема продукта в потребительской упаковке по
ГОСТ 8756.1.
4.1. Отбор проб
4.1.1. Для отбора проб в потребительской упаковке массой менее 1000 г содержимое одной или нескольких упаковок сливают в емкость и составляют объединенную пробу общей массой не менее 1000 г. Объединенную пробу тщательно перемешивают. Из объединенной пробы выделяют лабораторную пробу, предназначенную для лабораторных исследований массой (200 +/- 20) г.
4.1.2. Для отбора проб в потребительской упаковке массой 1000 г и более продукт тщательно перемешивают в течение 1 мин. После перемешивания продукта отбирают мгновенные пробы, в зависимости от консистенции, металлической трубкой, черпаком или щупом. При отборе мгновенных проб металлической трубкой на нее надевают резиновое кольцо, при помощи которого снимают слой продукта с наружной поверхности трубки. Трубку погружают с такой скоростью, чтобы продукт поступал в нее одновременно с погружением.
Мгновенные пробы отбирают в одинаковом количестве от каждой единицы потребительской упаковки, перемешивают и составляют из них объединенную пробу массой не менее 1000 г, из которой выделяют лабораторную пробу, предназначенную для лабораторных исследований, массой (200 +/- 20) г.
4.1.3. Для определения органолептических и физико-химических показателей продукта перемешивают и доводят температуры (20 +/- 2) °C.
4.2. Методы определения органолептических показателей
Определение органолептических показателей проводят при температуре (20 +/- 2) °C не ранее чем через 12 ч после изготовления продукта.
Органолептические показатели определяют в следующей последовательности: консистенция, внешний вид, цвет, запах, вкус.
4.2.1. Определение консистенции
Определение проводят не ранее чем через 30 мин после составления объединенной пробы или перемешивания продукта.
4.2.1.1. Средства измерений, вспомогательное оборудование
Стаканы В-1-150(250) ТС или Н-2-150(250) ТС по
ГОСТ 25336.
Секундомер.
Шпатель шириной 20 - 30 мм.
Допускается применение других средств измерений и вспомогательного оборудования с метрологическими и техническими характеристиками не хуже указанных.
4.2.1.2. Проведение определения
Для определения консистенции слой продукта сдвигают шпателем в сторону. След от шпателя не должен заплывать ранее (25 +/- 5) с.
Примечание. Для майонезных соусов допускается более жидкая консистенция.
4.2.2. Определение внешнего вида и цвета
4.2.2.1. Материалы и вспомогательное оборудование
Стаканы В-1-50(100) ТС или Н-2-50(100) ТС по
ГОСТ 25336.
Бумага белая.
Допускается применение других материалов и вспомогательного оборудования с техническими характеристиками не хуже указанных.
4.2.2.2. Проведение определения
Пробу продукта массой не менее 30 г помещают в стеклянный стакан вместимостью 50 - 100 см
3 по
ГОСТ 25336. Стакан устанавливают на листе белой бумаги и рассматривают при рассеянном дневном свете, определяют внешний вид, цвет и отмечают отсутствие или наличие посторонних включений.
4.2.3. Определение запаха и вкуса
4.2.3.1. Вспомогательное оборудование
Стаканы В-1-150(250) ТС или Н-2-150(250) ТС по
ГОСТ 25336.
Шпатель.
Допускается применение другого вспомогательного оборудования с техническими характеристиками не хуже указанных.
4.2.3.2. Подготовка к определению
Анализируемую пробу перед определением предварительно перемешивают шпателем.
4.2.3.3. Проведение определения
Запах продукта определяют органолептически.
При определении вкуса количество продукта должно быть достаточным для распределения по всей полости рта - 3 - 10 г. Вкус оценивают в течение 5 - 30 с, не проглатывая.
4.3. Определение массовой доли влаги
Метод применяют при возникновении разногласий в оценке качества продукта.
Метод применим для измерения массовой доли влаги в диапазоне значений от 1,0% до 95,0%.
Границы абсолютной погрешности результатов измерений массовой доли влаги +/- 0,3% (абс.) при P = 0,95.
4.3.1. Средства измерений, вспомогательное оборудование, реактивы и материалы
Весы неавтоматического действия по
ГОСТ OIML R 76-1 с пределами допускаемой абсолютной погрешности +/- 0,0002 г и весы аналитические, прошедшие процедуру утверждения типа, с пределами допускаемой абсолютной погрешности +/- 0,2 мг, поверенные в установленном порядке.
(п. 4.3.1 в ред.
Изменения N 1, введенного Приказом Росстандарта от 22.03.2016 N 202-ст)
4.3.2. Подготовка к измерению
Песок просеивают через сито с диаметром отверстий 1,5 мм, затем через сито с диаметром отверстий 0,5 мм. Берут фракцию, которая осталась на сите с диаметром отверстий 0,5 мм, помещают в чашку по
ГОСТ 25336 и промывают питьевой водой. Промытый песок заливают раствором соляной кислоты по
ГОСТ 3118 и оставляют на (11 +/- 1) ч, периодически помешивая шпателем. Соляную кислоту сливают, промывают песок питьевой водой путем декантации до нейтральной реакции (проба на лакмус или метиловый оранжевый). Затем песок промывают дистиллированной водой по
ГОСТ 6709, просушивают в сушильном шкафу при температуре (130 +/- 5) °C и прокаливают в муфельной печи при температуре не ниже 500 °C до полного удаления органических веществ (через 10 мин после прекращения выделения дыма).
Подготовленный песок хранят в банке, плотно закрытой пробкой или крышкой.
4.3.3. Проведение измерения
В стаканчик для взвешивания по
ГОСТ 25336 со стеклянной палочкой помещают 5 - 15 г прокаленного песка или пемзы, сушат 2 ч в сушильном шкафу при температуре (120 +/- 5) °C, охлаждают в эксикаторе по
ГОСТ 25336 в течение 40 мин и взвешивают с записью результата до четвертого десятичного знака.
В стаканчик с прокаленным песком помещают 2 - 3 г продукта и взвешивают с записью результата до четвертого десятичного знака.
Открыв крышку стаканчика, тщательно и осторожно перемешивают продукт стеклянной палочкой, равномерно распределяя содержимое по дну стаканчика. Затем открытый стаканчик (с пробой продукта и стеклянной палочкой) и крышку помещают в сушильный шкаф и сушат в течение 1 ч при температуре (105 +/- 5) °C, после чего стаканчик закрывают крышкой, охлаждают в эксикаторе 40 мин и взвешивают с записью результата до четвертого десятичного знака. Содержимое стаканчика в процессе высушивания периодически осторожно перемешивают стеклянной палочкой для увеличения поверхности испарения и предотвращения его спекания.
Последующие взвешивания проводят через каждые 30 мин сушки.
Массу стаканчика с высушенной пробой считают постоянной, если разница между последующими взвешиваниями не будет превышать 0,001 г. При увеличении массы берут данные предыдущего взвешивания.
4.3.4. Обработка результатов
Массовую долю влаги X, %, вычисляют по формуле
где m1 - масса стаканчика с продуктом до высушивания, г;
m2 - масса стаканчика с продуктом после высушивания, г;
m - масса пробы продукта, г;
X7 - кислотность продукта в пересчете на уксусную кислоту, %, вычисленная по
4.13.3.
Вычисления проводят с точностью до второго десятичного знака с последующим округлением до первого десятичного знака.
За окончательный результат измерений принимают среднеарифметическое результатов двух параллельных измерений, выполненных в условиях повторяемости и удовлетворяющих условию приемлемости (4.3.5.1).
4.3.5. Метрологические характеристики метода
4.3.5.1. Приемлемость результатов измерений, полученных в условиях повторяемости
Расхождение между результатами двух измерений, выполненных одним методом, на идентичном анализируемом продукте, в одной и той же лаборатории, одним и тем же оператором, на одном и том же оборудовании, за короткий промежуток времени, не должно превышать 0,2% (абс.) при доверительной вероятности P = 0,95.
4.3.5.2. Приемлемость результатов измерений, полученных в условиях воспроизводимости
Расхождение между результатами двух единичных измерений, полученных в двух различных лабораториях, выполненных одним методом, на идентичном анализируемом продукте, разными операторами, с использованием различного оборудования, не должно превышать 0,4% (абс.) при доверительной вероятности P = 0,95.
4.4. Определение массовой доли влаги (ускоренный метод)
Метод применим для измерения массовой доли влаги в диапазоне значений от 5,0% до 95,0%.
Границы абсолютной погрешности результатов измерений массовой доли влаги +/- 0,7% (абс.) при P = 0,95.
4.4.1. Средства измерений, вспомогательное оборудование, реактивы и материалы
Весы неавтоматического действия по
ГОСТ OIML R 76-1 с пределами допускаемой абсолютной погрешности +/- 0,002 г.
(в ред.
Изменения N 1, введенного Приказом Росстандарта от 22.03.2016 N 202-ст)
Электроплитка бытовая по
ГОСТ 14919, закрытого типа, обеспечивающая нагрев в диапазоне 100 °C - 160 °C.
Баня песочная.
Шкаф сушильный лабораторный с терморегулятором, обеспечивающим поддержание температуры в рабочей камере (105 +/- 5) °C и (120 +/- 5) °C.
Термометр жидкостный стеклянный по
ГОСТ 28498, диапазоном измерения температуры от 100 °C до 200 °C, с ценой деления 1 °C - 2 °C.
Масло растительное рафинированное.
Палочки стеклянные, длина которых соответствует высоте стаканов.
| | ИС МЕГАНОРМ: примечание. Взамен ГОСТ 7031-75 Приказом Росстандарта от 26.08.2021 N 826-ст с 01.04.2022 введен в действие ГОСТ 7031-2021. | |
Песок кварцевый по ГОСТ 7031, очищенный, прокаленный по
4.3.2.
Штатив.
Допускается применение других средств измерений и вспомогательного оборудования с метрологическими и техническими характеристиками не хуже и реактивов по качеству не ниже указанных.
4.4.2. Подготовка к измерению
Для контроля температуры песочной бани или электроплитки устанавливают термометр, конец которого погружен в стакан с растительным рафинированным маслом, помещенный на песочную баню или электроплитку. Электроплитку или песочную баню предварительно нагревают до температуры (130 +/- 10) °C.
4.4.3. Проведение измерения
В стакане вместимостью 250 см
3 по
ГОСТ 25336 со стеклянной палочкой взвешивают 3 - 5 г продукта с записью результата до третьего десятичного знака.
Стакан ставят на песочную баню или на электроплитку по
ГОСТ 14919, предварительно нагретую до температуры (130 +/- 10) °C. Содержимое стакана непрерывно помешивают стеклянной палочкой, равномерно распределяя по дну стакана, не допуская разбрызгивания, прилипания и пригорания продукта. Об удалении влаги судят по отсутствию запотевания стенок стакана, прекращению потрескивания и по изменению цвета продукта до светло-коричневого. Затем стакан досушивают 30 мин в сушильном шкафу при температуре (105 +/- 5) °C.
Стакан с содержимым охлаждают на столе при комнатной температуре в течение 10 мин и взвешивают с записью результата до третьего десятичного знака.
В случае интенсивного разбрызгивания или прилипания продукта к стакану и стеклянной палочке в процессе удаления влаги рекомендуется перед взвешиванием пробы предварительно поместить в стакан 5 - 20 г прокаленного песка или пемзы.
4.4.4. Обработка результатов
Массовую долю влаги
X, %, вычисляют по
формуле (1) (4.3.4).
4.4.5. Метрологические характеристики метода
4.4.5.1. Приемлемость результатов измерений, полученных в условиях повторяемости
Расхождение между результатами двух измерений, выполненных одним методом, на идентичном анализируемом продукте, в одной и той же лаборатории, одним и тем же оператором, на одном и том же оборудовании, за короткий промежуток времени, не должно превышать 0,5% (абс.) при доверительной вероятности P = 0,95.
4.4.5.2. Приемлемость результатов измерений, полученных в условиях воспроизводимости
Расхождение между результатами двух единичных измерений, полученных в двух различных лабораториях, выполненных одним методом, на идентичном анализируемом продукте, разными операторами, с использованием различного оборудования, не должно превышать 1,0% (абс.) при доверительной вероятности P = 0,95.
4.5. Определение массовой доли влаги методом спектроскопии в ближней инфракрасной области - по
4.19.
4.6. Определение массовой доли жира с применением аппарата Сокслета
Метод применяют при возникновении разногласий в оценке качества продукта.
Метод применим для измерения массовой доли жира в диапазоне значений от 5,0% до 95,0%.
Границы абсолютной погрешности результатов измерений массовой доли жира +/- 0,6% (абс.) при P = 0,95.
4.6.1. Средства измерений, вспомогательное оборудование, реактивы и материалы
Весы неавтоматического действия по
ГОСТ OIML R 76-1 с пределами допускаемой абсолютной погрешности +/- 0,0002 г и весы аналитические, прошедшие процедуру утверждения типа, с пределами допускаемой абсолютной погрешности +/- 0,2 мг, поверенные в установленном порядке.
(п. 4.6.1 в ред.
Изменения N 1, введенного Приказом Росстандарта от 22.03.2016 N 202-ст)
4.6.2. Подготовка к измерению
4.6.2.1. Обезжиривание фильтровальной бумаги и гигроскопической ваты осуществляется в аппарате Сокслета с применением того же растворителя, что и для анализа.
4.6.2.2. Патрон для аппарата Сокслета готовят из листа обезжиренной фильтровальной бумаги размером примерно 10 x 48 см следующим образом: на деревянную болванку навертывают фильтровальную бумагу; выступающий над концом болванки край бумаги подворачивают по мере навертывания ее на болванку, затем патрон снимают с болванки, кладут на дно обезжиренный кусочек ваты.
4.6.2.3. Диэтиловый эфир сушат над сернокислым натрием по
ГОСТ 4166 или хлористым кальцием и перегоняют при температуре (35 +/- 1) °C.
4.6.2.4. Колбу от аппарата Сокслета сушат 2 ч в сушильном шкафу при температуре (120 +/- 5) °C, охлаждают в эксикаторе в течение 40 мин и взвешивают с записью результата до четвертого десятичного знака.
4.6.3. Проведение измерения
В стакане взвешивают 3 - 5 г продукта с записью результата до четвертого десятичного знака, тщательно смешивают с 15 - 30 г прокаленного сернокислого натрия по
ГОСТ 4166. Допускается использовать для анализа остаток продукта после определения массовой доли влаги (по
4.3 или
4.4). В этом случае не требуется добавление сернокислого натрия.
Пробу шпателем переносят в патрон из фильтровальной бумаги. Стакан и шпатель с помощью пинцета протирают несколько раз обезжиренной ватой, сначала сухой, а затем смоченной эфиром. Вату помещают в тот же патрон, сверху кладут еще небольшой слой ваты, затем заворачивают края патрона и помещают его в насадку для экстрагирования аппарата Сокслета.
Насадку соединяют с приемной колбой, подготовленной по
4.6.2.4, и наливают в нее диэтиловый эфир в таком объеме, чтобы он через сифонную трубку перелился в колбу. Затем добавляют еще небольшой избыток эфира и соединяют насадку с укрепленным в штативе холодильником. Собранный аппарат ставят на нагретую баню, обеспечивающую равномерное, не слишком сильное кипение эфира (пять - шесть сифонирований эфира в течение 1 ч).
Через 5 - 6 ч проверяют полноту экстракции. Для этого, после очередного слива растворителя из насадки в колбу через сифонную трубку, быстро отсоединяют насадку от колбы и несколько капель растворителя наносят на сухое чистое часовое стекло или на кусочек фильтровальной бумаги. Экстракцию считают законченной, если после испарения эфира на стекле или бумаге не остается масляного пятна.
После окончания экстракции аппарат разбирают, вынимают патрон, присоединяют насадку снова и отгоняют эфир из колбы в насадку.
Колбу с жиром после отгонки растворителя сушат в течение 1 ч в сушильном шкафу при температуре (105 +/- 5) °C, охлаждают 40 мин в эксикаторе и взвешивают. Последующие взвешивания проводят через каждые 30 мин сушки. Массу колбы с продуктом считают постоянной, если разница между последующими взвешиваниями не будет превышать 0,001 г. При увеличении разницы массы берут данные предыдущего взвешивания.
Сушка по длительности не должна превышать 2,5 часа.
4.6.4. Обработка результатов
Массовую долю жира X1, %, вычисляют по формуле
где m1 - масса колбы с высушенным жиром, г;
m2 - масса пустой колбы, г;
m - масса пробы продукта, г.
Вычисления проводят до второго десятичного знака с последующим округлением результата до первого десятичного знака.
За окончательный результат измерения принимают среднеарифметическое результатов двух параллельных измерений, выполненных в условиях повторяемости и удовлетворяющих условию приемлемости (4.6.5.1).
4.6.5. Метрологические характеристики метода
4.6.5.1. Приемлемость результатов измерений, полученных в условиях повторяемости
Расхождение между результатами двух измерений, выполненных одним методом, на идентичном анализируемом продукте, в одной и той же лаборатории, одним и тем же оператором, на одном и том же оборудовании, за короткий промежуток времени, не должно превышать 0,4% (абс.) при доверительной вероятности P = 0,95.
4.6.5.2. Приемлемость результатов измерений, полученных в условиях воспроизводимости
Расхождение между результатами двух единичных измерений, полученных в двух различных лабораториях, выполненных одним методом, на идентичных анализируемых объектах, разными операторами, с использованием различного оборудования, не должно превышать 0,8% (абс.) при доверительной вероятности P = 0,95.
4.7. Определение массовой доли жира (ускоренный метод)
Метод основан на определении массовой доли сухого обезжиренного остатка с последующим определением массовой доли жира расчетным путем с использованием значений массовых долей сухого обезжиренного остатка, влаги и кислотности.
Метод применим для измерения массовой доли жира в диапазоне значений от 5,0% до 95,0%.
Границы абсолютной погрешности результатов измерений массовой доли жира +/- 0,7% (абс.) при P = 0,95.
4.7.1. Средства измерений, вспомогательное оборудование, реактивы и материалы
Весы неавтоматического действия по
ГОСТ OIML R 76-1 с пределами допускаемой абсолютной погрешности +/- 0,002 г.
(в ред.
Изменения N 1, введенного Приказом Росстандарта от 22.03.2016 N 202-ст)
Эфир диэтиловый, перегнанный.
Допускается использование других средств измерений, вспомогательного оборудования по метрологическим, техническим характеристикам не хуже указанных в настоящем стандарте.
Допускается использование других реактивов по качеству и чистоте не ниже вышеуказанных.
4.7.2. Подготовка к измерению
Из фильтровальной бумаги вырезают фильтр по размеру воронки и взвешивают, записывая результат до третьего десятичного знака.
4.7.3. Проведение измерения
Из остатка пробы после определения массовой доли влаги по
4.4 экстрагируют жир. Для этого в стакан по стенкам приливают 50 см
3 диэтилового эфира, содержимое стакана хорошо перемешивают и оставляют до полного отстаивания.
Отстоявшийся прозрачный раствор осторожно сливают через воронку с фильтром в колбу, оставляя небольшое количество эфира над остатком.
Остаток промывают три-четыре раза, каждый раз сливая эфирный слой через фильтр после отстаивания. Для каждого промывания берут 30 - 35 см3 эфира. При наличии следов жира на фильтре последний промывают эфиром до полного обезжиривания. Затем фильтр переносят в стакан с обезжиренным остатком и сушат в сушильном шкафу при температуре (105 +/- 5) °C в течение 30 мин, охлаждают на столе при комнатной температуре в течение 10 мин и взвешивают, записывая результат до третьего десятичного знака.
4.7.4. Обработка результатов
4.7.4.1. Массовую долю сухого обезжиренного остатка
X2, %, вычисляют по формуле
где m1 - масса стакана с сухим обезжиренным остатком и фильтром, г;
m2 - масса стакана без пробы продукта, г;
m3 - масса фильтра, г;
m - масса пробы продукта, г.
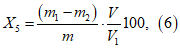
4.7.4.2. Массовую долю жира X3, %, вычисляют по формуле
где
X - массовая доля влаги по
4.4, %;
X2 - массовая доля сухого обезжиренного остатка по
4.7.4.1, %;
X7 - кислотность продукта по
4.13.3, %.
Вычисления производят до второго десятичного знака с последующим округлением результата до первого десятичного знака.
За окончательный результат измерения принимают среднеарифметическое результатов двух параллельных измерений, выполненных в условиях повторяемости и удовлетворяющих условию приемлемости (4.7.5.1).
4.7.5. Метрологические характеристики метода
4.7.5.1. Приемлемость результатов измерений, полученных в условиях повторяемости
Расхождение между результатами двух измерений, выполненных одним методом, на идентичном анализируемом продукте, в одной и той же лаборатории, одним и тем же оператором, на одном и том же оборудовании, за короткий промежуток времени, не должно превышать 0,5% (абс.) при доверительной вероятности P = 0,95.
4.7.5.2. Приемлемость результатов измерений, полученных в условиях воспроизводимости
Расхождение между результатами двух единичных измерений, полученных в двух различных лабораториях, выполненных одним методом, на идентичном анализируемом продукте, разными операторами, с использованием различного оборудования, не должно превышать 1,0% (абс.) при доверительной вероятности P = 0,95.
4.8. Определение массовой доли жира методом центрифугирования (ускоренный метод)
Метод применим для измерения массовой доли жира в диапазоне значений от 5,0% до 80,0%.
Границы абсолютной погрешности результатов измерений массовой доли жира +/- 1,3% (абс.) при P = 0,95.
4.8.1. Средства измерений, вспомогательное оборудование, реактивы и материалы
Весы неавтоматического действия по
ГОСТ OIML R 76-1 с пределами допускаемой абсолютной погрешности +/- 0,002 г.
(в ред.
Изменения N 1, введенного Приказом Росстандарта от 22.03.2016 N 202-ст)
Термометр жидкостный стеклянный по
ГОСТ 28498, диапазоном измерения температуры от 50 °C до 100 °C, с ценой деления 1 °C - 2 °C.
Жиромер (бутирометр) стеклянный для сливок 0% - 40% по документу, в соответствии с которым он изготовлен.
Пробка резиновая для бутирометра по документу, в соответствии с которым она изготовлена.
Прибор для отмеривания изоамилового спирта по
ГОСТ 6859, тип 2.
Центрифуга.
Воронки В-25-38 ХС, В-36-50 ХС, В-36-80 ХС по
ГОСТ 25336.
Баня водяная.
Часы песочные на 5 мин по документу, в соответствии с которым они изготовлены.
Кислота серная по
ГОСТ 4204, х.ч., плотностью 1,5 г/см
3.
Допускается применение других средств измерений и вспомогательного оборудования с метрологическими и техническими характеристиками не хуже и реактивов по качеству не ниже указанных.
4.8.2. Проведение измерения
В жиромере взвешивают 1,5 - 5,0 г предварительно перемешанного продукта с записью результата до второго десятичного знака. Затем в жиромер из бюретки по
ГОСТ 29252 приливают (18 +/- 2) см
3 серной кислоты по
ГОСТ 4204 так, чтобы уровень жидкости был ниже основания горловины жиромера на 4 - 6 мм, добавляют 1 см
3 изоамилового спирта по
ГОСТ 5830, закрывают жиромер сухой пробкой и нагревают на водяной бане при температуре (67 +/- 2) °C, периодически встряхивая до полного растворения белковых веществ. После этого жиромер ставят пробкой вниз на 5 мин в водяную баню температурой (67 +/- 2) °C. Жиромеры вынимают из бани, вставляют в патроны (стаканы) центрифуги рабочей частью к центру, располагая их симметрично один против другого. При нечетном числе жиромеров в центрифугу помещают жиромер, наполненный водой. Закрыв крышку центрифуги, жиромеры центрифугируют 5 мин со скоростью вращения 25 об/с. Затем жиромеры вынимают из центрифуги и движением резиновой пробки регулируют столбик жира в жиромере так, чтобы он находился в трубке со шкалой. Жиромеры погружают пробками вниз в водяную баню. Уровень воды в бане должен быть несколько выше уровня жира в жиромере. Температура воды в бане должна быть (67 +/- 2) °C. Через 5 мин жиромеры вынимают из водяной бани и проводят отсчет жира. При отсчете жиромер держат вертикально; граница жира должна находиться на уровне глаз. Движением пробки вверх и вниз устанавливают нижнюю границу столбика жира на целом делении шкалы жиромера и от него отсчитывают число делений до нижней точки мениска столбика жира. Граница раздела жира и кислоты должна быть резкой, а столбик жира - прозрачным. При наличии кольца (пробки) буроватого или темно-желтого цвета, а также различных примесей в жировом столбике определение повторяют.
4.8.3. Обработка результатов
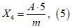
Массовую долю жира X4, %, вычисляют по формуле
где A - число делений шкалы жиромера, заполненных жиром;
5 - коэффициент пересчета показаний жиромера в проценты;
m - масса пробы продукта, г.
Вычисления проводят до второго десятичного знака с последующим округлением результата до первого десятичного знака.
За окончательный результат измерения принимают среднеарифметическое результатов двух параллельных измерений, выполненных в условиях повторяемости и удовлетворяющих условию приемлемости (4.8.4.1).
4.8.4. Метрологические характеристики метода
4.8.4.1. Приемлемость результатов измерений, полученных в условиях повторяемости
Расхождение между результатами двух измерений, выполненных одним методом, на идентичном анализируемом продукте, в одной и той же лаборатории, одним и тем же оператором, на одном и том же оборудовании, за короткий промежуток времени, не должно превышать 0,9% (абс.) при доверительной вероятности P = 0,95.
4.8.4.2. Приемлемость результатов измерений, полученных в условиях воспроизводимости
Расхождение между результатами двух единичных измерений, полученных в двух различных лабораториях, выполненных одним методом, на идентичном анализируемом продукте, разными операторами, с использованием различного оборудования, не должно превышать 1,8% (абс.) при доверительной вероятности P = 0,95.
4.9. Определение массовой доли жира методом экстракции смесью растворителей
Метод применим для измерения массовой доли жира в диапазоне значений от 5,0% до 95,0%.
Границы абсолютной погрешности результатов измерений массовой доли жира +/- 0,7% (абс.) при P = 0,95.
4.9.1. Средства измерений, вспомогательное оборудование, реактивы и материалы
Весы неавтоматического действия по
ГОСТ OIML R 76-1 с пределами допускаемой абсолютной погрешности +/- 0,002 г.
(в ред.
Изменения N 1, введенного Приказом Росстандарта от 22.03.2016 N 202-ст)
Термометр жидкостный стеклянный по
ГОСТ 28498, диапазоном измерения температуры от 100 °C до 200 °C, с ценой деления 1 °C - 2 °C.
Шкаф сушильный лабораторный с терморегулятором, обеспечивающим поддержание температуры в рабочей камере (105 +/- 5) °C.
Баня песочная.
Воронки В-25-38 ХС, В-36-50 ХС, В-36-80 ХС по
ГОСТ 25336.
Стаканчики СН-45/13 и СН-60/14 по
ГОСТ 25336 или бюксы стеклянные цилиндрические вместимостью 50 см
3 по документу, в соответствии с которым они изготовлены.
Палочки стеклянные, длина которых соответствует высоте стаканов.
Цилиндры 1(3)-25-1, 1(3)-50-1, 1(3)-100-1 по
ГОСТ 1770.
Груша резиновая по документу, в соответствии с которым она изготовлена, вместимостью 50 - 100 см3.
Масло растительное рафинированное.
Хлороформ по
ГОСТ 20015, свежеперегнанный, не содержащий кислорода.
| | ИС МЕГАНОРМ: примечание. Взамен ГОСТ 7031-75 Приказом Росстандарта от 26.08.2021 N 826-ст с 01.04.2022 введен в действие ГОСТ 7031-2021. | |
Песок кварцевый по ГОСТ 7031, очищенный, прокаленный по
4.3.2.
Спирт этиловый ректификованный технический с объемной долей не менее 96%.
(в ред.
Изменения N 1, введенного Приказом Росстандарта от 22.03.2016 N 202-ст)
Допускается использование других средств измерений, вспомогательного оборудования по метрологическим, техническим характеристикам не хуже указанных в настоящем стандарте.
Допускается использование других реактивов по качеству и чистоте не ниже вышеуказанных.
4.9.3. Проведение измерения
В стакан вместимостью 250 см
3 по
ГОСТ 25336 со стеклянной палочкой помещают 5 - 20 г прокаленного песка и взвешивают 5 - 10 г продукта с записью результата до третьего десятичного знака.
Стакан ставят на песочную баню, предварительно нагретую до температуры (130 +/- 10) °C. Содержимое стакана непрерывно помешивают стеклянной палочкой, равномерно распределяя его по дну стакана, не допуская разбрызгивания, прилипания и пригорания продукта. Об удалении влаги судят по отсутствию запотевания стенок стакана и прекращению потрескивания. Затем стакан досушивают 30 мин в сушильном шкафу при температуре (105 +/- 5) °C.
Стакан с содержимым охлаждают на столе при комнатной температуре в течение 10 мин и, если необходимо определить массовую долю влаги, взвешивают с записью результата до третьего десятичного знака и вычисляют массовую долю влаги
X, %, по
4.3.4.
Допускается использовать для анализа остаток продукта после определения массовой доли влаги по
4.4.
В стакан с обезвоженной пробой продукта по стенкам приливают 20 - 30 см3 смеси растворителей: хлороформ и спирт этиловый ректификованный в соотношении 2:1. Содержимое стакана хорошо перемешивают и оставляют до полного отстаивания.
Фильтр на воронке предварительно смачивают смесью растворителей. Отстоявшийся прозрачный раствор осторожно сливают из стакана в мерную колбу по
ГОСТ 1770 через бумажный фильтр, помещенный в стеклянную воронку, оставляя небольшое количество экстракта над остатком.
Остаток промывают три-четыре раза, каждый раз сливая экстракт через фильтр после отстаивания. Для каждого промывания берут 15 - 20 см
3 смеси растворителей. При наличии следов жира на фильтре последний промывают до полного обезжиривания. Содержимое мерной колбы доводят до метки смесью растворителей, перемешивают и затем пипеткой по
ГОСТ 29169 отбирают аликвотную часть объемом 10 см
3 или 20 см
3 в предварительно взвешенный стаканчик вместимостью 50 см
3. Растворители удаляют сначала выпариванием на песочной бане, затем досушивают в сушильном шкафу в течение 30 мин при температуре (105 +/- 5) °C. Охлаждают 10 мин на столе при комнатной температуре и взвешивают с записью результата до третьего десятичного знака.
4.9.4. Обработка результатов
Массовую долю жира X5, %, вычисляют по формуле
где m1 - масса стаканчика с жиром (из аликвотной части), г;
m2 - масса пустого стаканчика, г;
V - объем мерной колбы, см3;
m - масса пробы продукта, г;
V1 объем аликвотной части, см3.
Вычисления производят до второго десятичного знака.
За окончательный результат измерения принимают среднеарифметическое результатов двух параллельных измерений с последующим округлением результата до первого десятичного знака, выполненных в условиях повторяемости и удовлетворяющих условию приемлемости (4.9.5.1).
4.9.5. Метрологические характеристики метода
4.9.5.1. Приемлемость результатов измерений, полученных в условиях повторяемости
Расхождение между результатами двух измерений, выполненных одним методом, на идентичном анализируемом продукте, в одной и той же лаборатории, одним и тем же оператором, на одном и том же оборудовании, за короткий промежуток времени, не должно превышать 0,5% (абс.) при доверительной вероятности P = 0,95.
4.9.5.2. Приемлемость результатов измерений, полученных в условиях воспроизводимости
Расхождение между результатами двух единичных измерений, полученных в двух различных лабораториях, выполненных одним методом, на идентичном анализируемом продукте, разными операторами, с использованием различного оборудования, не должно превышать 1,0% (абс.) при доверительной вероятности P = 0,95.
4.10. Определение массовой доли жира методом спектроскопии в ближней инфракрасной области - по
4.19.
4.11. Определение массовой доли яичных продуктов в пересчете на сухой желток
Метод применяют при возникновении разногласий в оценке качества майонеза.
Метод применим для измерения массовой доли сухого яичного желтка в диапазоне значений от 0,5% до 5,0%.
Границы абсолютной погрешности результатов измерений массовой доли сухого яичного желтка +/- 0,3% (абс.) при P = 0,95.
4.11.1. Средства измерений, вспомогательное оборудование, реактивы и материалы
Весы неавтоматического действия по
ГОСТ OIML R 76-1 с пределами допускаемой абсолютной погрешности +/- 0,002 г.
(в ред.
Изменения N 1, введенного Приказом Росстандарта от 22.03.2016 N 202-ст)
Электроплитка бытовая по
ГОСТ 14919, закрытого типа, обеспечивающая нагрев в диапазоне 100 °C - 160 °C.
Мешалка магнитная по документу, в соответствии с которым она изготовлена.
Баня песочная.
Баня водяная или баня воздушная с паровым обогревом.
Шкаф сушильный лабораторный с терморегулятором, обеспечивающим поддержание температуры в рабочей камере (105 +/- 5) °C, (120 +/- 5) °C.
Термометр жидкостный стеклянный по
ГОСТ 28498, диапазоном измерения температуры от 100 °C до 200 °C, с ценой деления 1 °C - 2 °C.
Эксикатор 2-190 или 2-250 по
ГОСТ 25336 с эффективным осушителем (например, кальций хлористый безводный).
Печь муфельная, обеспечивающая поддержание температуры в рабочей камере в диапазоне 800 °C - 1000 °C.
Холодильник обратный, обеспечивающий возврат конденсата в колбу.
(в ред.
Изменения N 1, введенного Приказом Росстандарта от 22.03.2016 N 202-ст)
Воронки В-25-38 ХС или В-36-50, В-36-80 ХС по
ГОСТ 25336.
Стаканы ВН(ВБН)-100 или стаканы НН(НБН)-100, или тигли Н-100 по
ГОСТ 19908.
(в ред.
Изменения N 1, введенного Приказом Росстандарта от 22.03.2016 N 202-ст)
Бумага фильтровальная лабораторная по
ГОСТ 12026 или фильтры бумажные.
(в ред.
Изменения N 1, введенного Приказом Росстандарта от 22.03.2016 N 202-ст)
Груша резиновая вместимостью от 50 до 100 см3.
(в ред.
Изменения N 1, введенного Приказом Росстандарта от 22.03.2016 N 202-ст)
(в ред.
Изменения N 1, введенного Приказом Росстандарта от 22.03.2016 N 202-ст)
Спирт этиловый ректификованный по документу, в соответствии с которым он изготовлен.
(в ред.
Изменения N 1, введенного Приказом Росстандарта от 22.03.2016 N 202-ст)
Палочки стеклянные оплавленные.
(абзац введен
Изменением N 1, введенным Приказом Росстандарта от 22.03.2016 N 202-ст)
Стекло часовое.
(абзац введен
Изменением N 1, введенным Приказом Росстандарта от 22.03.2016 N 202-ст)
(абзац введен
Изменением N 1, введенным Приказом Росстандарта от 22.03.2016 N 202-ст)
Другие средства измерений, вспомогательное оборудование, реактивы и материалы для определения массовой доли фосфора - по ГОСТ 31753
(подраздел 4.4).
Допускается использование других средств измерений, вспомогательного оборудования по метрологическим, техническим характеристикам не хуже указанных в настоящем стандарте.
Допускается использование других реактивов по качеству и чистоте не ниже вышеуказанных.
4.11.2. Подготовка к проведению измерений
4.11.2.1. Приготовление экстрагирующей смеси растворителей
Экстрагирующую смесь готовят, смешивая хлороформ с этиловым спиртом в соотношении 2:1.
4.11.2.2. Приготовление реагентов, градуировка прибора, подготовка лабораторной посуды - по ГОСТ 31753 (
4.5.1 -
4.5.5,
4.5.7).
(п. 4.11.2 в ред.
Изменения N 1, введенного Приказом Росстандарта от 22.03.2016 N 202-ст)
4.11.3. Проведение измерения
4.11.3.1. Выделение жировой фазы из майонеза
В коническую колбу со шлифом вместимостью 250 см3 помещают пробу продукта массой от 5 г до 15 г с учетом массовой доли жира в майонезе и предполагаемого содержания в нем яичного желтка. Масса пробы должна обеспечивать получение экстрагированного жира для последующего анализа в количестве от 0,5 г до 1,5 г. К пробе продукта добавляют 15 см3 этилового спирта и перемешивают стеклянной палочкой до получения однородной творожистой суспензии. Для более эффективного разрушения эмульсии спирт добавляют небольшими порциями, постепенно смешивая с пробой продукта. Затем в колбу при перемешивании добавляют 30 см3 хлороформа, ополаскивая при этом стеклянную палочку, которую затем удаляют из колбы на время кипячения. Присоединяют к колбе обратный холодильник, устанавливают на водяную баню и кипятят в течение 1 ч при периодическом помешивании осторожными круговыми движениями.
Колбу отсоединяют от холодильника, закрывают пробкой и оставляют охлаждаться до комнатной температуры. Затем содержимое колбы фильтруют через стеклянную воронку с вложенным в нее фильтром, предварительно смоченным экстрагирующей смесью по
4.11.2.1, в коническую колбу со шлифом вместимостью 250 см
3. Для уменьшения потерь экстракт переносят на фильтр по стеклянной палочке, стараясь при этом удержать остатки пробы в колбе.
Колбу с остатками пробы несколько раз ополаскивают экстрагирующей смесью, каждый раз сливая экстракт через фильтр после отстаивания. Для каждого промывания берут от 5 см3 до 10 см3 экстрагирующей смеси. Для определения полноты экстракции каплю экстракта из конической колбы стеклянной палочкой наносят на сухое чистое часовое стекло или на кусочек фильтровальной бумаги. Экстракцию считают законченной, если после испарения растворителя на стекле или бумаге не остается масляного пятна. При наличии следов жира на фильтре его дополнительно промывают экстрагирующей смесью до полного обезжиривания. Экстракт перемешивают, затем пипеткой отбирают аликвотную часть экстракта объемом от 10 см3 до 30 см3 и помещают в сухой, предварительно взвешенный тигель или стакан из кварцевого стекла. Растворители удаляют сначала выпариванием на бане, затем в сушильном шкафу в течение 30 мин при температуре (105 +/- 5) °C.
Тигель с жиром охлаждают на столе при комнатной температуре в течение (20 +/- 5) мин и взвешивают для определения массы жира с записью результата до третьего десятичного знака.
4.11.3.2. Определение массовой доли фосфора в жире, выделенном из майонеза
В тигель с жиром добавляют (0,75 +/- 0,02) г оксида магния. Тигель помещают в сушильный шкаф и нагревают в течение 10 мин при температуре (105 +/- 2) °C для того, чтобы жир адсорбировался оксидом магния. Затем тигель нагревают на электроплитке, медленно повышая температуру нагрева и избегая интенсивного выделения дыма, до обугливания содержимого и прекращения выделения дыма. Тигель с остатком помещают в муфельную печь, включают ее, поднимают температуру со скоростью 7 - 10 °C/мин до 800 °C - 1000 °C и выдерживают не менее 20 мин при 1000 °C или до 1 ч при 800 °C.
После охлаждения тигля к остатку приливают от 10 см3 до 20 см3 дистиллированной воды, 20 см3 серной кислоты концентрацией 1 моль/дм3 и нагревают на электроплитке до полного растворения оксида магния, не допуская кипения раствора.
Примечание. Если оксид магния не растворяется после нагревания на электроплитке в течение 1 - 1,5 ч, то в тигель, не снимая его с плитки, добавляют порциями по 0,5 - 1,0 см3 серной кислоты (1 моль/дм3), выдерживая интервал между добавлениями не менее 30 мин.
Полученный раствор количественно переносят в мерную колбу вместимостью 100 см3, трижды ополаскивая тигель небольшими порциями дистиллированной воды. Доводят до метки дистиллированной водой и перемешивают.
Из мерной колбы с растворенным остатком в другую мерную колбу вместимостью 100 см3 отбирают аликвотную часть объемом от 10 см3 до 40 см3 в зависимости от предполагаемого содержания фосфора. К аликвотной части добавляют оксид магния и серную кислоту молярной концентрацией 1 моль/дм3 в соответствии с таблицей 2а и нагревают до полного растворения оксида магния.
Таблица 2а
Объем аликвотной части, см3 | Масса оксида магния, г | Объем серной кислоты, см3 | Коэффициент, учитывающий степень разведения |
10 | 0,675 | 18 | 10 |
20 | 0,60 | 16 | 5 |
25 | 0,525 | 15 | 4 |
40 | 0,45 | 12 | 2,5 |
Дальнейшую процедуру выполняют по ГОСТ 31753 (
4.6.4,
4.6.5).
(п. 4.11.3 в ред.
Изменения N 1, введенного Приказом Росстандарта от 22.03.2016 N 202-ст)
4.11.4. Обработка результатов
4.11.4.1. Массовую долю фосфора в жире, выделенном из майонеза,
Xфосф, млн
-1 (мг/кг), вычисляют по ГОСТ 31753
(4.7), с учетом коэффициента разведения.
4.11.4.2. Массовую долю яичных продуктов в пересчете на сухой желток X6, %, вычисляют по формуле

, (7)
где
Xфосф - массовая доля фосфора по
4.11.4.1, млн
-1 (мг/кг);
M - массовая доля жира в майонезе по
4.6 -
4.9, %;
1000 - коэффициент пересчета;
7,5 - среднее количество фосфора, извлекаемое из 1 г сухого яичного желтка, входящего в состав майонеза, в условиях измерения, мг.
Вычисления производят до второго десятичного знака.
За окончательный результат измерения принимают среднеарифметическое значение результатов двух параллельных измерений с последующим округлением результата до первого десятичного знака.
(п. 4.11.4 в ред.
Изменения N 1, введенного Приказом Росстандарта от 22.03.2016 N 202-ст)
4.11.5. Метрологические характеристики метода
4.11.5.1. Приемлемость результатов измерений, полученных в условиях повторяемости
Расхождение между результатами двух измерений, выполненных одним методом, на идентичном анализируемом продукте, в одной и той же лаборатории, одним и тем же оператором, на одном и том же оборудовании, за короткий промежуток времени, не должно превышать 0,2% (абс.) при доверительной вероятности P = 0,95.
4.11.5.2. Приемлемость результатов измерений, полученных в условиях воспроизводимости
Расхождение между результатами двух единичных измерений, полученных в двух различных лабораториях, выполненных одним методом, на идентичном анализируемом продукте, разными операторами, с использованием различного оборудования, не должно превышать 0,4% (абс.) при доверительной вероятности P = 0,95.
4.12. Определение массовой доли яичных продуктов в пересчете на сухой желток методом спектроскопии в ближней инфракрасной области - по
4.19.
4.13. Определение кислотности
Метод применяют при возникновении разногласий в оценке качества продукта.
Метод применим для измерения кислотности в диапазоне значений от 0,05% до 10,0%.
Границы абсолютной погрешности результатов измерений кислотности +/- 0,10% (абс.) при P = 0,95.
4.13.1. Средства измерений, вспомогательное оборудование, реактивы и материалы
Весы неавтоматического действия по
ГОСТ OIML R 76-1 с пределами допускаемой абсолютной погрешности +/- 0,02 г.
(в ред.
Изменения N 1, введенного Приказом Росстандарта от 22.03.2016 N 202-ст)
Бюретка 3-2-25-0,1; 3-2-25-0,05 или 3-2-50-0,1 по
ГОСТ 29252.
Фенолфталеин, спиртовой раствор с массовой долей индикатора 1%; готовят по
ГОСТ 4919.1.
Калия гидроокись по
ГОСТ 24363, х.ч. или ч.д.а., раствор концентрации c (KOH) = 0,1 моль/дм
3 (0,1 н.) или натрия гидроокись по
ГОСТ 4328, х.ч. или ч.д.а., раствор концентрации c (NaOH) = 0,1 моль/дм
3 (0,1 н.); готовят по
ГОСТ 25794.1.
Допускается применение других средств измерений и вспомогательного оборудования с метрологическими и техническими характеристиками не хуже и реактивов по качеству не ниже указанных.
4.13.2. Проведение измерения
В колбе вместимостью 250 см
3 взвешивают 2 - 3 г продукта с записью результата до второго десятичного знака и приливают 50 см
3 дистиллированной воды. Содержимое колбы круговыми движениями перемешивают для равномерного распределения продукта и титруют раствором гидроокиси калия по
ГОСТ 24363 или гидроокиси натрия по
ГОСТ 4328 в присутствии индикатора фенолфталеина до появления слабо-розовой окраски, не исчезающей в течение 1 мин.
Для продуктов, содержащих окрашенные наполнители (томатная паста и т.п.), количество приливаемой дистиллированной воды увеличивают до 100 см3. Одновременно с анализируемой пробой готовят при тех же условиях контрольную пробу, используемую в дальнейшем для визуального сравнения при титровании и более точного установления конца титрования этих продуктов.
4.13.3. Обработка результатов
Кислотность продукта в пересчете на уксусную кислоту X7, %, вычисляют по формуле
где V - объем раствора гидроокиси калия или гидроокиси натрия, израсходованный на титрование, см3;
K - поправка к титру раствора гидроокиси калия или гидроокиси натрия;
0,006 - коэффициент для пересчета на уксусную кислоту;
m - масса пробы продукта, г.
Вычисления проводят до третьего десятичного знака с последующим округлением результата до второго десятичного знака.
За окончательный результат определения принимают среднеарифметическое результатов двух параллельных определений, выполненных в условиях повторяемости и удовлетворяющих условию приемлемости (4.13.4.1).
4.13.4. Метрологические характеристики метода
4.13.4.1. Приемлемость результатов измерений, полученных в условиях повторяемости
Расхождение между результатами двух измерений, выполненных одним методом, на идентичном анализируемом продукте, в одной и той же лаборатории, одним и тем же оператором, на одном и том же оборудовании, за короткий промежуток времени, не должно превышать 0,05% (абс.) при доверительной вероятности P = 0,95.
4.13.4.2. Приемлемость результатов измерений, полученных в условиях воспроизводимости
Расхождение между результатами двух единичных измерений, полученных в двух различных лабораториях, выполненных одним методом, на идентичном анализируемом продукте, разными операторами, с использованием различного оборудования, не должно превышать 0,10% (абс.) при доверительной вероятности P = 0,95.
4.14. Определение кислотности методом спектроскопии в ближней инфракрасной области - по
4.19.
4.15. Определение стойкости эмульсии
Границы абсолютной погрешности результатов измерений стойкости эмульсии +/- 3% (абс.) при P = 0,95.
4.15.1. Средства измерений, вспомогательное оборудование, реактивы и материалы
Центрифуга по документу, в соответствии с которым она изготовлена, со скоростью вращения не менее 1500 об/мин.
Часы песочные по документу, в соответствии с которым они изготовлены, на 3 и 5 мин.
Допускается использование других средств измерений, вспомогательного оборудования по метрологическим, техническим характеристикам не хуже указанных в настоящем стандарте.
Допускается использование других реактивов по качеству и чистоте не ниже вышеуказанных.
4.15.2. Проведение измерения
Необходимое количество пробирок по
ГОСТ 1770 заполняют до верхнего деления продуктом, помещают в центрифугу и центрифугируют 5 мин со скоростью вращения 1500 об/мин. Затем пробирки помещают в стакан с кипящей водой, уровень которой должен совпадать с уровнем продукта в пробирке, выдерживают 3 мин, не допуская интенсивного кипения воды, и снова центрифугируют 5 мин со скоростью вращения 1500 об/мин, после чего подсчитывают число делений пробирки с выделившейся водной или жировой фазой и таким образом определяют объем неразрушенной эмульсии.
4.15.3. Обработка результатов
Стойкость эмульсии X8, % неразрушенной эмульсии по объему, вычисляют по формуле
где V - объем неразрушенной эмульсии, см3;
10 - объем пробы продукта, см3.
Вычисления проводят до первого десятичного знака с последующим округлением результата до целого числа.
За окончательный результат измерения принимают среднеарифметическое результатов двух параллельных измерений, выполненных в условиях повторяемости и удовлетворяющих условию приемлемости (4.15.4.1).
4.15.4. Метрологические характеристики метода
4.15.4.1. Приемлемость результатов измерений, полученных в условиях повторяемости
Расхождение между результатами двух измерений, выполненных одним методом, на идентичных анализируемых объектах, в одной лаборатории, одним оператором, с использованием одного оборудования, за короткий промежуток времени, не должно превышать 2,0% (абс.) при доверительной вероятности P = 0,95.
4.15.4.2. Приемлемость результатов измерений, полученных в условиях воспроизводимости
Расхождение между результатами измерений, полученными в двух различных лабораториях, выполненных одним методом, на идентичных анализируемых объектах, разными операторами, с использованием различного оборудования, не должно превышать 4,0% (абс.) при доверительной вероятности P = 0,95.
4.16. Определение показателя окислительной порчи продукта - перекисного числа
4.16.1. Сущность метода
Метод включает в себя выделение жировой фазы из продукта, определение перекисного числа жировой фазы йодометрическим методом и расчет показателя окислительной порчи продукта.
4.16.2. Средства измерений, вспомогательное оборудование, реактивы и материалы
Весы неавтоматического действия по
ГОСТ OIML R 76-1 с пределами допускаемой абсолютной погрешности +/- 0,0002 г.
Центрифуга, обеспечивающая требуемое разделение на фазы.
Электроплитка бытовая по
ГОСТ 14919, закрытого типа, обеспечивающая нагрев в диапазоне от 100 °C до 160 °C.
Баня песочная или водяная или баня воздушная с паровым обогревом.
Шкаф сушильный лабораторный с терморегулятором, обеспечивающим поддержание температуры в рабочей камере (105 +/- 5) °C, (120 +/- 5) °C.
Таймер или часы песочные на 1 мин, 3 мин, 5 мин.
Секундомер.
Эксикатор 2-190 или 2-250 по
ГОСТ 25336 с эффективным осушителем (например, кальций хлористый безводный).
Колбы Кн-1-100-29/32 ТХС, Кн-1-250-29/32 ТХС по
ГОСТ 25336.
Палочки стеклянные оплавленные.
Пипетки 2-1(2)-10, 2-1(2)-50, 2-2-1(2)-1 по
ГОСТ 29227.
Воронки В-25-38 ХС, В-36-50, В-36-80 ХС по
ГОСТ 25336.
Бюретки 1-1(2,3)-1(2)-5-0,02; 1-1(2,3)-1(2)-10-0,05 по
ГОСТ 29251.
Бумага фильтровальная лабораторная по
ГОСТ 12026 или фильтры бумажные.
Груша резиновая вместимостью от 50 до 100 см3.
Спирт этиловый ректификованный по документу, в соответствии с которым он изготовлен.
Кислота уксусная по
ГОСТ 61, х.ч., ледяная.
Калий йодистый по
ГОСТ 4232, х.ч., раствор массовой долей 50% - 55%, свежеприготовленный или проверенный по 4.16.3.1.
Смесь уксусной кислоты с хлороформом в соотношении 60:40 по объему.
Натрий серноватистокислый (тиосульфат натрия) 5-водный по
ГОСТ 27068 или стандарт-титр тиосульфата натрия молярной концентрации 0,1 моль/дм
3 по нормативному документу.
Крахмал растворимый по
ГОСТ 10163, раствор массовой долей 1%.
Допускается применение других средств измерений и вспомогательного оборудования с метрологическими и техническими характеристиками не ниже и реактивов по качеству не ниже указанных.
4.16.3. Подготовка к выполнению измерений
4.16.3.1. Приготовление раствора йодистого калия концентрацией 50% - 55%
50 г - 55 г (n) йодистого калия взвешивают с записью результата до второго десятичного знака в колбе вместимостью 100 см3 и растворяют в (100 - n) см3 дистиллированной воды. Раствор хранят в сосуде из темного стекла в темном месте.
Если раствор не используют свежеприготовленным, то его перед использованием проверяют. Для этого к 0,5 см3 раствора йодистого калия в 30 см3 смеси уксусной кислоты и хлороформа добавляют 2 капли раствора крахмала.
Если образуется голубая окраска, для обесцвечивания которой требуется более 1 капли раствора тиосульфата натрия молярной концентрации 0,01 моль/дм3, то раствор йодистого калия не используют и готовят свежий раствор.
4.16.3.2. Приготовление раствора тиосульфата натрия молярной концентрации c(Na2S2O3·5H2O) = 0,1 моль/дм3
Раствор тиосульфата натрия молярной концентрации 0,1 моль/дм3 готовят двумя способами:
- из стандарт-титров (фиксаналов) серноватистокислого натрия.
Раствор тиосульфата натрия хранят в склянке из темного стекла. Раствор годен к применению через 10 - 14 сут.
4.16.3.3. Определение поправки к номинальной концентрации раствора тиосульфата натрия - по
ГОСТ 25794.2.
По истечении 1 мес. хранения раствора поправку к номинальной концентрации определяют заново. Если величина поправки составляет не менее 0,9, раствор может быть использован. Если при хранении появляются хлопья или осадок, раствор не используют.
4.16.3.4. Для получения растворов тиосульфата натрия концентраций 0,002 моль/дм3 и 0,01 моль/дм3 раствор молярной концентрации 0,1 моль/дм3 разбавляют соответственно в 50 и 10 раз. Разбавление проводят непосредственно перед использованием раствора.
4.16.3.5. Приготовление раствора крахмала массовой долей 1%
Смешивают 0,5 г растворимого крахмала с небольшим количеством холодной воды и при помешивании добавляют к 50 см3 кипящей воды. Кипятят несколько секунд и немедленно охлаждают.
Раствор используют свежеприготовленным.
4.16.4. Выполнение измерений
4.16.4.1. Выделение жировой фазы из продукта
Пробу продукта перед определением тщательно перемешивают, избегая интенсивного взбалтывания и нагрева.
Определение проводят при искусственном освещении или при рассеянном дневном свете, избегая прямого солнечного света.
В коническую колбу со шлифом вместимостью 100 см3 или 250 см3 помещают пробу продукта массой от 10 г до 30 г в зависимости от массовой доли жира в продукте. Рекомендации по соотношению массы пробы продукта и количества растворителей для экстракции, приведенные в таблице 2б, являются ориентировочными.
Таблица 2б
Массовая доля жира в продукте, % | Масса пробы продукта, г | Объемный состав экстрагирующей смеси, см3 |
спирт | хлороформ |
67 | 10 - 15 | 10 - 15 | 20 - 30 |
55 | 15 - 20 | 12 - 15 | 25 - 30 |
50 | 15 - 20 | 15 - 20 | 30 - 35 |
45 | 15 - 20 | 15 - 20 | 30 - 35 |
40 | 20 - 25 | 15 - 25 | 30 - 35 |
35 - 25 | 20 - 25 | 20 - 25 | 30 - 35 |
20 - 15 | 25 - 30 | 25 - 30 | 30 - 35 |
В колбу с пробой продукта добавляют от 10 см3 до 30 см3 этилового спирта. Спирт добавляют небольшими порциями, перемешивают стеклянной палочкой, стараясь как можно равномернее распределить спирт в продукте. В процессе добавления порций спирта и перемешивания пробы должно наблюдаться постепенное разрушение эмульсии с образованием мелких хлопьевидных или творожистых частиц и выделение капель масла <*>.
--------------------------------
<*> Если в процессе диспергирования пробы в спирте произошло объединение частиц и образовался сгусток, допускается его отделить от жидкой фракции. Для этого рекомендуется перенести жидкую фракцию в чистую колбу, а колбу со сгустком промыть несколькими порциями хлороформа, каждый раз разминая сгусток палочкой для лучшего извлечения жира. Общий объем используемого хлороформа должен быть от 20 см3 до 35 см3. Все порции хлороформного экстракта объединяют со спиртовой фракцией, переносят в стакан для центрифугирования и центрифугируют, минуя стадию выдержки в холодильнике.
В колбу добавляют от 20 см3 до 35 см3 хлороформа. Хлороформ добавляют порциями, перемешивают стеклянной палочкой, которую затем, после ополаскивания последней порцией хлороформа, удаляют из колбы. Колбу закрывают пробкой, содержимое аккуратно перемешивают круговыми движениями и помещают в морозильную камеру бытового холодильника на (35 +/- 5) мин. Для улучшения экстракции жира содержимое колбы периодически перемешивают.
Затем содержимое колбы переносят в стакан для центрифугирования <**> и центрифугируют до полного расслоения на три фазы: верхний слой (преимущественно водная фаза), разделяющая "пробка" (слой белковых и углеводных компонентов эмульсии) и спирто-хлороформный экстракт жира.
--------------------------------
<**> Если объем содержимого колбы превышает объем стакана для центрифугирования, содержимое разливают в два стакана, а после центрифугирования и удаления верхнего слоя фильтруют в одну и ту же колбу.
Примечание. При использовании центрифуги со скоростью вращения 3000 об/мин время центрифугирования составляет 3 мин. При других скоростях вращения время центрифугирования может быть другим, и его следует определить на практике.
Верхний слой осторожно декантируют с помощью пипетки и отбрасывают. Для отделения экстракта жира от слоя белково-углеводных компонентов содержимое фильтруют в коническую колбу вместимостью 250 см3 через бумажный фильтр, помещенный в стеклянную воронку и предварительно смоченный хлороформом. Для уменьшения потерь экстракта при переносе его на фильтр и удержания "пробки" от резкого выплескивания рекомендуется пользоваться стеклянной палочкой. Выход жира, особенно для соусов пониженной жирности, может быть увеличен, если "пробку" несколько раз промыть небольшими порциями хлороформа (общим объемом не более 10 см3), добавляя его либо в стакан для центрифугирования, либо на фильтр, слегка разминая "пробку" палочкой. Дополнительные порции экстракта также фильтруют в колбу.
Фильтрат перемешивают и отбирают пипеткой 2 пробы экстракта:
- для определения массы жира одну аликвотную часть объемом 10 см3 помещают в стаканчик с крышкой, предварительно высушенный до постоянной массы и взвешенный с точностью до третьего десятичного знака;
- для определения перекисного числа несколько аликвотных частей объемом по 10 см3 помещают в колбу для титрования вместимостью 250 см3. Колбу с экстрактом до начала титрования следует закрыть пробкой и убрать в темное место. Число аликвотных частей (n) определяют в зависимости от предполагаемой массы жира в одной аликвотной части и предполагаемого значения перекисного числа. Для продуктов пониженной жирности и низких предполагаемых значений перекисного числа следует использовать максимально возможное количество экстракта. Даже в случае высоких значений перекисного числа масса жира в пробе для титрования должна быть не менее 1,5 г, в противном случае результат титрования может быть завышен.
4.16.4.2. Для определения массы жира в одной аликвотной части стаканчик с пробой помещают на баню, предварительно нагретую до температуры (120 +/- 10) °C, и выдерживают до выпаривания растворителя.
Затем открытый стаканчик и крышку помещают в сушильный шкаф и сушат в течение 30 мин при температуре (105 +/- 5) °C, после чего стаканчик закрывают крышкой, охлаждают в эксикаторе в течение 40 мин и взвешивают. Последующие взвешивания проводят через каждые 30 мин сушки с записью результата в граммах до третьего десятичного знака. Массу считают постоянной, если разница между последующими взвешиваниями не будет превышать 0,001 г. При увеличении массы берут данные предыдущего взвешивания.
4.16.4.3. Определение перекисного числа
К пробе экстракта жира добавляют 15 см3 уксусной кислоты и 1 см3 50% - 55%-ного раствора йодистого калия, после чего колбу сразу же закрывают, перемешивают содержимое без взбалтывания в течение (60 +/- 1) с и оставляют на 5 мин в темном месте при температуре 15 °C - 25 °C. Приливают в колбу 75 см3 воды, перемешивают и добавляют раствор крахмала до появления слабой однородной фиолетово-синей окраски. Выделившийся йод титруют раствором тиосульфата натрия до молочно-белой окраски, устойчивой в течение 5 с.
Если предполагаемое значение перекисного числа менее 6 мэкв активного кислорода/кг, используют раствор тиосульфата натрия концентрации c(Na2S2O3) = 0,002 моль/дм3.
Если предполагаемое значение перекисного числа 6 мэкв активного кислорода/кг и более, после добавления воды и перемешивания выделившийся йод титруют раствором концентрации c(Na2S2O3) = 0,01 моль/дм3 до заметного снижения интенсивности окраски раствора. Осторожно добавляют раствор крахмала до появления слабой однородной фиолетово-синей окраски. Оставшийся йод титруют раствором тиосульфата натрия до молочно-белой окраски в конце титрования. Допускается наличие различных оттенков окраски в соответствии со специфическими особенностями состава и окраски жировых фаз испытуемых эмульсионных продуктов.
Если предполагается значение перекисного числа более 45 мэкв активного кислорода/кг, о чем свидетельствует насыщенность окраски экстракта после добавления раствора крахмала, допускается использование раствора тиосульфата натрия концентрации c(Na2S2O3) = 0,1 моль/дм3.
4.16.4.4. Холостое определение
Для холостого определения используют смесь растворителей спирт-хлороформ в том же соотношении, что и для экстракции жира. Объем смеси должен соответствовать объему титруемого экстракта.
Если на холостое определение требуется более 0,05 см3 раствора тиосульфата натрия молярной концентрации c(Na2S2O3) = 0,002 моль/дм3, проверяют соответствие реактивов требованиям стандарта и в случае несоответствия готовят новые реактивы и повторяют определение.
4.16.5. Обработка результатов
4.16.5.1. Перекисное число жировой фазы, выделенной из продукта, X9, мэкв активного кислорода/кг, вычисляют по формуле

, (10)
где V - объем раствора тиосульфата натрия, использованный при определении, см3;
V0 - объем раствора тиосульфата натрия, использованный при холостом определении, см3;
c - фактическая концентрация использованного раствора тиосульфата натрия, вычисленная с учетом поправки к номинальной молярной концентрации <***>, моль/дм3;
--------------------------------
<***> Молярная масса Na2S2O3·5H2O равна массе его грамм-эквивалента и составляет 248,17 г.
m - масса жира в одной аликвотной части, определенная по
4.16.4.2, г;
n - число аликвотных частей, взятых для анализа.
4.16.5.2. За окончательный результат измерения принимают среднеарифметическое значение результатов двух параллельных измерений.
Вычисление выполняют с точностью до второго десятичного знака с последующим округлением до первого десятичного знака.
4.16.5.3. Значение показателя окислительной порчи продукта (перекисное число) П, мэкв активного кислорода/кг, рассчитывают по формуле

, (10 а)
где
M - массовая доля жира в продукте по
4.6,
4.7,
4.8,
4.9, %.
4.16.6. Метрологические характеристики метода
4.16.6.1. Границы относительной погрешности результатов измерений, установленные для внутрилабораторной практики, при доверительной вероятности P = 0,95 составляют:
+/- 30% для перекисного числа жировой фазы менее 2 мэкв активного кислорода/кг;
+/- 20% для перекисного числа жировой фазы от 2 до 10 мэкв активного кислорода/кг;
+/- 10% для перекисного числа жировой фазы свыше 10 мэкв активного кислорода/кг.
4.16.6.2. Приемлемость результатов измерений, полученных в условиях повторяемости
Расхождение между результатами двух независимых единичных определений, выполненных одним методом, на идентичном анализируемом материале, в одной лаборатории, одним аналитиком, на одном оборудовании, за короткий промежуток времени, при доверительной вероятности P = 0,95 не должно превышать значений пределов повторяемости r, равных:
42% (по отношению к среднему значению перекисного числа жировой фазы) для перекисного числа жировой фазы менее 2 мэкв активного кислорода/кг;
28% (по отношению к среднему значению перекисного числа жировой фазы) для перекисного числа жировой фазы от 2 до 10 мэкв активного кислорода/кг включительно;
14% (по отношению к среднему значению перекисного числа жировой фазы) для перекисного числа жировой фазы свыше 10 мэкв активного кислорода/кг.
4.16.6.3. Приемлемость результатов измерений, полученных в условиях воспроизводимости
Расхождение между результатами двух единичных определений, выполненных одним методом, на идентичном анализируемом материале, в разных лабораториях, разными аналитиками, на различном оборудовании, при доверительной вероятности P = 0,95 не должно превышать значений пределов воспроизводимости R, равных:
95% (по отношению к среднему значению перекисного числа жировой фазы) для перекисного числа жировой фазы менее 2 мэкв активного кислорода/кг;
70% (по отношению к среднему значению перекисного числа жировой фазы) для перекисного числа жировой фазы от 2 до 10 мэкв активного кислорода/кг включительно;
42% (по отношению к среднему значению перекисного числа жировой фазы) для перекисного числа жировой фазы свыше 10 мэкв активного кислорода/кг.
(п. 4.16 в ред.
Изменения N 1, введенного Приказом Росстандарта от 22.03.2016 N 202-ст)
4.17. Определение массовых долей консервантов (солей сорбиновой и бензойной кислот) при их совместном присутствии методом высокоэффективной жидкостной хроматографии
Метод применим в диапазоне измеряемых массовых долей:
для бензоатов в пересчете на бензойную кислоту 30 - 10000 млн-1 (мг/кг);
для сорбатов в пересчете на сорбиновую кислоту 20 - 4200 млн-1 (мг/кг).
4.17.1. Сущность метода
Метод основан на разделении солей сорбиновой и бензойной кислот (сорбатов и бензоатов) и их количественном определении с помощью обращенно-фазной высокоэффективной жидкостной хроматографии.
4.17.2. Средства измерений, вспомогательное оборудование, реактивы и материалы
Весы неавтоматического действия по
ГОСТ OIML R 76-1 с пределами допускаемой абсолютной погрешности +/- 0,0002 г и весы аналитические, прошедшие процедуру утверждения типа, с пределами допускаемой абсолютной погрешности +/- 0,2 мг, поверенные в установленном порядке.
(п. 4.17.2 в ред.
Изменения N 1, введенного Приказом Росстандарта от 22.03.2016 N 202-ст)
4.17.3. Подготовка к выполнению измерений
4.17.3.1. Подготовка хроматографа к работе
Хроматограф устанавливают, включают и выводят на рабочий режим в соответствии с инструкцией по эксплуатации.
4.17.3.2. Приготовление растворов
а) Приготовление раствора сернокислого цинка с массовой долей 30%
30 г сернокислого цинка по
ГОСТ 4174 взвешивают с записью результата до первого десятичного знака и добавляют 70 см
3 дистиллированной воды по
ГОСТ 6709.
б) Приготовление раствора железистосинеродистого калия с массовой долей 15%
15 г железистосинеродистого калия (желтая кровяная соль) по
ГОСТ 4207 взвешивают с записью результата до первого десятичного знака и добавляют 85 см
3 дистиллированной воды по
ГОСТ 6709.
в) Приготовление раствора гидроокиси натрия
10 г гидроокиси натрия по
ГОСТ 24363 взвешивают с записью результата до первого десятичного знака и добавляют 90 см
3 дистиллированной воды по
ГОСТ 6709.
4.17.3.3. Приготовление подвижной фазы
Для получения фосфатного буфера в мерной колбе вместимостью 500 см
3 по
ГОСТ 1770 взвешивают (0,85 +/- 0,02) г однозамещенного фосфорнокислого калия по
ГОСТ 4198, приливают 100 см
3 деионизированной воды, растворяют и доводят до метки. Определяют pH полученного раствора на pH-метре и доводят его значение до 2,4 добавлением (0,5 +/- 0,1) см
3 концентрированной ортофосфорной кислоты.
Смешивают ацетонитрил и фосфатный буфер в соотношении 1:9 (по объему), фильтруют под вакуумом через мембранный фильтр. Полученную смесь используют в качестве подвижной фазы. Смесь пригодна для использования в течение суток.
4.17.3.4. Подготовка хроматографической системы
Для подготовки хроматографической системы через колонку пропускают 35 объемов подвижной фазы (40 - 50 см3).
4.17.3.5. Приготовление раствора рабочего стандартного образца (РСО) [массовой концентрацией солей бензойной и сорбиновой кислот (10 +/- 1) мкг/см
3]
В мерную колбу вместимостью 100 см
3 по
ГОСТ 1770 взвешивают по 0,025 г солей сорбиновой или бензойной кислот, с записью результата до четвертого десятичного знака, растворяют в 30 см
3 деионизированной воды и доводят объем раствора до метки деионизированной водой (раствор 1).
Из полученного раствора в мерную колбу вместимостью 25 см
3 по
ГОСТ 1770 пипеткой по
ГОСТ 29227 отбирают 1 см
3 и доводят объем до метки деионизированной водой (раствор 2).
4.17.3.6. Подготовка пробы
а) Для продуктов, не содержащих крахмал
В коническую колбу вместимостью 250 см
3 по
ГОСТ 25336 взвешивают (10 +/- 0,5) г продукта, с записью результата до четвертого десятичного знака, добавляют 100 см
3 деионизированной воды температурой 80 °C - 90 °C, перемешивают в течение минуты, переносят в делительную воронку вместимостью 250 см
3 по
ГОСТ 25336 и дают отстояться. После разделения нижний слой сливают в коническую колбу вместимостью 500 см
3, верхний слой возвращают в ту же колбу, где проводилась экстракция. Экстракцию повторяют еще три раза, водные экстракты объединяют.
| | ИС МЕГАНОРМ: примечание. В официальном тексте документа, видимо, допущена опечатка: пункт [9] в Библиографии отсутствует. | |
Объединенные водные экстракты охлаждают до комнатной температуры и проводят осаждение. Для этого пипеткой по
ГОСТ 29227 приливают 1,2 см
3 раствора сернокислого цинка и 1,0 см
3 раствора железистосинеродистого калия. Полученный раствор оставляют для формирования осадка не менее чем на 1 ч. Затем раствор фильтруют в мерную колбу на 500 см
3 через бумажный фильтр [9], помещенный в стеклянную воронку по
ГОСТ 25336. Колбу, в которой происходило осаждение, промывают дважды по 50 см
3 деионизированной водой, фильтруют в ту же колбу и доводят объем до метки деионизированной водой. Перед вводом пробы в хроматограф раствор еще раз фильтруют через бумажный или мембранный фильтр, отбрасывая первые 25 см
3 фильтрата.
б) Для продуктов, содержащих крахмал
| | ИС МЕГАНОРМ: примечание. В официальном тексте документа, видимо, допущена опечатка: пункт [8] в Библиографии отсутствует. | |
В стакане вместимостью 250 см
3 по
ГОСТ 25336 взвешивают (10,0 +/- 0,5) г продукта, с записью результата до четвертого десятичного знака. Добавляют 100 см
3 деионизированной воды температурой 80 °C - 90 °C и перемешивают до получения однородной консистенции. К полученному раствору приливают раствор гидроокиси натрия до розовой окраски по фенолфталеину по [8], 6 см
3 раствора сернокислого цинка и 5 см
3 раствора железистосинеродистого калия и тщательно перемешивают стеклянной палочкой. Полученный раствор фильтруют через складчатый бумажный фильтр из фильтровальной бумаги по
ГОСТ 12026, помещенный в стеклянную воронку по
ГОСТ 25336, в мерную колбу на 500 см
3 по
ГОСТ 1770. Фильтр с осадком переносят в стакан, в котором проводили осаждение, добавляют 100 см
3 деионизированной воды температурой (80 - 90) °C и перемешивают, при этом бумажный фильтр разрушается. Содержимое стакана фильтруют через новый бумажный фильтр. Экстракцию повторяют еще три раза. Для последней экстракции используют 50 см
3 деионизированной воды. Объем объединенных фильтратов доводят до метки деионизированной водой. Перед вводом пробы в хроматограф раствор еще раз фильтруют через бумажный или мембранный фильтр, отбрасывая первые 25 см
3 фильтрата.
4.17.4. Выполнение измерений
4.17.4.1. При выполнении измерений должны быть соблюдены следующие условия:
режим элюирования - изократический;
длина волны - 254 нм (для детектирования сорбата) и 225 нм (для детектирования бензоата);
скорость потока подвижной фазы - 1,0 см3/мин;
температура термостата - 25 °C;
объем вводимой пробы - 20 мкл.
4.17.4.2. Анализ раствора рабочего стандартного образца
В инжектор вводят 20 мкл раствора 2
(4.17.3.5). Регистрируют пики определяемых веществ.
Измерение повторяют три раза. Определяют средние времена удерживания и площади пиков определяемых веществ.
4.17.4.3. Параметры пригодности хроматографической системы
В приведенных условиях коэффициент разрешения (коэффициент разделения) пиков сорбата и бензоата должен составлять не менее 3,0.
Фактор асимметрии пиков сорбата и бензоата - не более 1,8.
Эффективность колонки, рассчитанная по пикам сорбата и бензоата, должна составлять не менее 4000 теоретических тарелок.
При повторных вводах проб величина относительного стандартного отклонения времен удерживания и площадей измеряемых пиков не должна превышать 2%.
4.17.4.4. Анализ испытуемой пробы
В инжектор вводят 20 мкл пробы, подготовленной по
4.17.3.6. Учитывая время удерживания определяемого вещества по
4.17.4.2, регистрируют пики и рассчитывают их площади.
Измерение повторяют три раза.
4.17.5. Обработка результатов
4.17.5.1. Массовую долю бензоата X10, млн-1 (мг/кг), в пересчете на бензойную кислоту, вычисляют по формуле
где Sбенз.пр - площадь пика бензоата на хроматограмме испытуемой пробы, мм2 (мВс);
500 - значение разведения, см3;
P - чистота бензоата в соответствии с данными аналитического паспорта, %;
mбенз - масса бензоата, для приготовления РСО, г;
1 - объем раствора РСО (раствор 1, по
4.17.3.5), см
3;
Sбенз.ст - площадь пика бензоата на хроматограмме РСО, мм2 (мВс);
100, 25 - значение разведения, см3;
mпр - масса пробы продукта, г;
122,12 - молекулярная масса бензойной кислоты, г;
Mсоли - молекулярная масса бензоата (использованного при производстве продукта), г;
104 - коэффициент пересчета для выражения результата в млн-1 (мг/кг).
4.17.5.2. Массовую долю сорбата X11, млн-1 (мг/кг), в пересчете на сорбиновую кислоту, вычисляют по формуле
где Sсорб.пр - площадь пика сорбата на хроматограмме испытуемой пробы продукта, мм (мВс);
500 - значение разведения, см3;
P - чистота сорбата в соответствии с данными аналитического паспорта, %;
mсобр - масса сорбата, для приготовления РСО, г;
1 - объем раствора РСО (раствор 1, по
4.17.3.5), см
3;
Sсорб.ст - площадь пика сорбата на хроматограмме РСО, мм2 (мВс);
100, 25 - значение разведения, см3;
mпр - масса пробы продукта, г;
112,13 - молекулярная масса сорбиновой кислоты, г;
Mсоли - молекулярная масса сорбата (использованного при производстве продукта), г;
104 - коэффициент пересчета для выражения результата в млн-1 (мг/кг).
4.17.5.3. Обработку результатов измерения проводят, используя программное обеспечение хроматографа.
4.17.5.4. За окончательный результат измерения принимают среднеарифметическое трех параллельных определений, выполненных в условиях повторяемости и удовлетворяющих условию приемлемости (4.17.6.1).
Полученный результат округляют до целого числа.
4.17.6. Метрологические характеристики метода
4.17.6.1. Приемлемость результатов измерений, полученных в условиях повторяемости
Расхождение между максимальным и минимальным результатами трех измерений, выполненных одним методом, на идентичном анализируемом продукте, в одной лаборатории, одним оператором, с использованием одного и того же оборудования, за короткий промежуток времени, при доверительной вероятности P = 0,95 не должно превышать значений критических диапазонов для n = 3, CR0,95 (3), приведенных в таблице 2.
В процентах
Наименование показателя | Границы относительной погрешности  | Критический диапазон CR0,95 (3) (отн.) (n = 3) | Критическая разность CD0,95 (отн.) (n1 = n2 = 3) |
Массовая доля бензоата, в пересчете на бензойную кислоту, млн-1 (мг/кг) | 9,0 | 7,5 | 15,0 |
Массовая доля сорбата, в пересчете на сорбиновую кислоту, млн-1 (мг/кг) | 8,0 | 7,0 | 14,0 |
4.17.6.2. Приемлемость результатов измерений, полученных в условиях воспроизводимости
Расхождение между средними значениями результатов измерений, полученными в двух различных лабораториях, выполненных одним методом, на идентичных анализируемых объектах, разными операторами, с использованием различного оборудования, при доверительной вероятности
P = 0,95 не должно превышать значений критических разностей
CD0,95, приведенных в
таблице 2.
4.17.6.3. Показатели точности и прецизионности
Показатели точности и прецизионности измерений массовой доли контролируемых показателей при
P = 0,95 приведены в
таблице 2.
4.18. Определение массовой доли белковых веществ титриметрическим методом по Кьельдалю
Метод применим для измерения массовой доли белковых веществ в диапазоне значений от 0,1% до 10,0%.
4.18.1. Сущность метода
Сущность метода заключается в разложении органического вещества пробы продукта кипящей концентрированной серной кислотой в присутствии катализатора с образованием солей аммония, переведения аммония в аммиак щелочью, отгонки аммиака в емкость с поглощающим раствором с последующим титрованием кислотой.
Примечание. Метод не делает различий между белковым (аминным) и небелковым азотом. Если требуется определить массовую долю небелкового азота, должны быть использованы другие методы.
4.18.2. Средства измерений, вспомогательное оборудование, реактивы и материалы
Весы неавтоматического действия по
ГОСТ OIML R 76-1 с пределами допускаемой абсолютной погрешности +/- 0,0002 г и весы аналитические, прошедшие процедуру утверждения типа, с пределами допускаемой абсолютной погрешности +/- 0,2 мг, поверенные в установленном порядке.
(п. 4.18.2 в ред.
Изменения N 1, введенного Приказом Росстандарта от 22.03.2016 N 202-ст)
4.18.3. Подготовка к измерению
4.18.3.1. Подготовка проб
Из продуктов с массовой долей жира более 50% рекомендуется предварительно удалить основную часть жировой фазы.
Для этого пробу продукта
(4.18.3.2) взвешивают в фарфоровой чашке по
ГОСТ 9147 или стеклянном стакане по
ГОСТ 25336, с записью результата до четвертого десятичного знака. Пробу экстрагируют диэтиловым эфиром на водяной бане при температуре 30 °C - 35 °C порциями по 20 см
3, тщательно перемешивая стеклянной палочкой, и дают отстояться до разделения слоев. Верхний слой, представляющий собой раствор масла в диэтиловом эфире, декантируют через бумажный фильтр, помещенный в стеклянную воронку по
ГОСТ 25336, в коническую колбу вместимостью 250 см
3 по
ГОСТ 25336, следя за тем, чтобы на фильтр не попадал нижний водный слой. Экстракцию и декантацию повторяют 5 - 6 раз.
Оставшийся водный слой и осадок на фильтре используют для анализа.
Для продукта с массовой долей жира 50% и менее пробу анализируют без удаления жира.
4.18.3.2. Выбор массы пробы для анализа
В зависимости от предполагаемой массовой доли белка выбирают массу пробы для анализа в соответствии с таблицей 3.
Таблица 3
Предполагаемая массовая доля белка, % | Масса пробы для анализа, г |
3,0 | 8 - 10 |
1,0 | 10 - 15 |
0,5 | 20 - 25 |
Примечание. При взвешивании пробы рекомендуется закрывать фарфоровую чашку крышкой, так как продукт содержит в своем составе легколетучие ингредиенты. |
4.18.3.3. Подготовка реактивов и растворов - по ГОСТ 13496.4
(раздел 2).
При проведении измерения с помощью автоматических или полуавтоматических установок подготовку реактивов и растворов проводят в соответствии с инструкцией к прибору.
4.18.4. Выполнение измерений
4.18.4.1. Приготовление минерализата (сжигание)
а) Для проб с предварительным обезжириванием
Фильтр с осадком и водный слой из фарфоровой чашки по
4.18.3.1 переносят в сосуд для сжигания (колба Кьельдаля или пробирка прибора). Обтирают фарфоровую чашку кусочком ваты массой (0,30 +/- 0,02) г и его также помещают в сосуд для сжигания. Фарфоровую чашку ополаскивают 10 см
3 концентрированной серной кислоты и выливают в сосуд для сжигания. Содержимое сосуда перемешивают круговыми движениями, добавляют 2 г катализатора по ГОСТ 13496.4
(подпункт 2.2.2.1) и еще 10 см
3 концентрированной серной кислоты.
б) Для проб без предварительного обезжиривания
Пробу продукта по
4.18.3.2 взвешивают в сосуде для сжигания с записью результата до четвертого десятичного знака. Добавляют 2 г катализатора по ГОСТ 13496.4
(подпункт 2.2.2.1) и 20 см
3 концентрированной серной кислоты.
Сжигание выполняют по ГОСТ 13496.4
(пункт 2.3.1). В случае проведения измерения на автоматических или полуавтоматических установках сжигание выполняют в соответствии с инструкцией к прибору.
Примечание. В процессе сжигания происходит бурное вспенивание, поэтому необходимо начинать нагрев с минимальной температуры, а также контролировать процесс минерализации и наличие кислоты в сосуде для сжигания.
При отсутствии кислоты необходимо добавлять ее по 5 - 10 см3 в предварительно охлажденный сосуд для сжигания.
В случае использования автоматических или полуавтоматических установок необходимо также следить за тем, чтобы отводные пути для паров серной кислоты были свободны. В противном случае необходимо срочно прекратить нагревание и очистить отводную систему, а затем продолжить сжигание.
4.18.4.2. Контрольное сжигание
Контрольное сжигание пустого фильтра и кусочка ваты массой (0,30 +/- 0,02) г, для определения массовой доли азота, привносимой фильтром и ватой, выполняют параллельно с основным при тех же условиях.
4.18.4.3. Отгонка аммиака и титрование
Отгонка аммиака и титрование - по ГОСТ 13496.4
(пункт 2.3.2) или в соответствии с инструкцией к прибору.
4.18.5. Обработка результатов
4.18.6. Метрологические характеристики метода
Метрологические характеристики метода - по ГОСТ 13496.4
(пункт 2.4.3).
4.19. Определение массовых долей сухого яичного желтка, влаги, жира и кислотности методом спектроскопии в ближней инфракрасной области
Метод применим для измерения в диапазоне значений:
- массовой доли сухого яичного желтка - от 0,5% до 5,0%;
- массовой доли влаги - от 1,0% до 95,0%;
- массовой доли жира - от 5,0% до 95,0%;
- кислотности - от 0,05% до 10,0%.
4.19.1. Сущность метода
Метод основан на регистрации спектров отражения анализируемых проб в ближней инфракрасной области 12500 - 4000 см-1 и определении в них массовой доли фосфора (с дальнейшим пересчетом на массовую долю сухого яичного желтка), массовых долей влаги, жира и кислотности. Расчет значений показателей производится по заранее созданным градуировочным моделям.
4.19.2. Условия проведения измерений
При подготовке и проведении измерений в помещении лаборатории должны быть соблюдены следующие условия:
температура окружающей среды ....................... от 15 °C до 35 °C;
относительная влажность воздуха, не более .......... 90%;
напряжение питающей сети ........................... (220 +/- 15) В;
частота переменного тока ........................... (50 +/- 2) Гц.
4.19.3. Средства измерений, вспомогательное оборудование, реактивы и материалы
ИК-анализатор для регистрации спектров отражения в ближней инфракрасной области (12500 - 4000) см
-1 с индикацией результатов на экране персонального компьютера или дисплее прибора и с предусмотренной в некоторых моделях распечаткой результатов на встроенном принтере. Основные нормируемые метрологические характеристики ИК-анализаторов - в
Приложении А.
Допускается применение других средств измерений с метрологическими и техническими характеристиками не хуже указанных.
4.19.4. Подготовка к измерению
4.19.4.1. Подготовка ИК-анализатора к работе
Прибор устанавливают, включают и выводят на режим в соответствии с инструкцией по эксплуатации.
Перед проведением измерений поверхность кюветы или защитного стекла интегрирующей сферы (далее - кюветы) прибора должна быть чистой.
4.19.4.2. Градуировка ИК-анализатора
Градуировочные модели рассчитывают с помощью многофакторного анализа по спектрам градуировочных образцов с известными значениями определяемых параметров в соответствии с руководством по эксплуатации ИК-анализатора и программного обеспечения.
Градуировочные образцы представляют собой образцы продукта с известными значениями массовых долей фосфора, массовых долей влаги, жира и кислотности, установленных следующими методами:
- определение массовой доли влаги - по
4.3;
- определение массовой доли жира - по
4.6;
- определение кислотности - по
4.13;
- определение массовой доли фосфора в соответствии с
Приложением Б.
Подготовка образцов к проведению градуировки выполняется в соответствии с
4.19.4.4.
4.19.4.3. Проверка правильности градуировки
Проверку правильности градуировки осуществляют по 10 контрольным образцам, не использовавшимся в построении градуировки с известными значениями анализируемых показателей, установленными стандартными методами. Рассчитывают расхождение между показаниями ИК-анализатора и значением, определенным стандартным методом. Вычисляют среднее значение отклонения

по формуле
где XИК - значение показателя, полученное методом ИК-спектроскопии;
Xст - значение показателя, полученное стандартным методом;
n - количество образцов, использованных для проверки градуировки (10).
Значение

не должно превышать погрешности стандартного метода по ГОСТ 31753
(подраздел 4.8). Если это условие не соблюдается, то градуировку дополняют новыми образцами или делают заново.
Проверку правильности градуировки проводят непосредственно после выполнения градуировки, а в дальнейшем - периодически, в соответствии с программой производственного контроля.
4.19.4.4. Подготовка проб к измерению
Температура пробы должна соответствовать температуре окружающей среды, указанной в
4.19.2. В случае если температура пробы отличается от допустимой, пробу выдерживают при температуре 15 °C - 35 °C в течение не менее 1 ч и перемешивают. Перемешанную пробу помещают в кювету в соответствии с инструкцией к прибору. Анализируемую пробу необходимо помещать в кювету таким же образом, как это делалось при регистрации градуировочных спектров.
4.19.5. Выполнение измерения
Измерения производят сразу после заполнения измерительной ячейки в соответствии с инструкцией по эксплуатации ИК-анализатора. Для повышения степени достоверности полученного результата выполняют три измерения на каждой пробе. Каждую порцию анализируемой пробы загружают в прибор для измерений однократно.
4.19.6. Обработка результатов
Обработка результатов измерений производится автоматически.
За окончательный результат измерения принимают среднеарифметическое трех параллельных измерений, выполненных в условиях повторяемости и удовлетворяющих условию приемлемости
(4.19.7.1).
Полученный результат округляют до первого десятичного знака.
Массовую долю яичного желтка X12, %, рассчитывают по формуле
где 0,009 - коэффициент пересчета, учитывающий среднее количество фосфора, извлекаемого из 1 г сухого яичного желтка в условиях измерения, с приведением результата определения в проценты;

- массовая доля фосфора в продукте, полученная с помощью градуировочной модели, млн
-1 (мг/кг).
4.19.7. Метрологические характеристики метода
4.19.7.1. Приемлемость результатов измерений, полученных в условиях повторяемости
Расхождение между максимальным и минимальным результатами трех измерений, выполненных одним методом, на идентичных анализируемых объектах, в одной лаборатории, одним оператором, с использованием одного оборудования, за короткий промежуток времени, при доверительной вероятности P = 0,95 не должно превышать значений критических диапазонов для n = 3, CR0,95 (3), приведенных в таблице 4.
В процентах
Наименование показателя | Границы абсолютной погрешности,  | Критический диапазон CR0,95 (3) (n = 3) | Критическая разность CD0,95 (n1 = n2 = 3) |
Массовая доля яичного желтка (фосфорсодержащих веществ) | 0,3 | 0,2 | 0,4 |
Массовая доля влаги | 0,7 | 0,5 | 1,0 |
Массовая доля жира | 1,0 | 0,7 | 1,4 |
Кислотность | 0,06 | 0,04 | 0,08 |
4.19.7.2. Приемлемость результатов измерений, полученных в условиях воспроизводимости
Расхождение между средними значениями результатов измерений, полученными в двух различных лабораториях, выполненных одним методом, на идентичных анализируемых объектах, разными операторами, с использованием различного оборудования, при доверительной вероятности
P = 0,95 не должно превышать значений критических разностей
CD0,95, приведенных в
таблице 4.
4.19.7.3. Показатели точности и прецизионности
Показатели точности и прецизионности измерений массовой доли контролируемых показателей при
P = 0,95 приведены в
таблице 4.
4.20. Определение эффективной вязкости
Эффективная вязкость - реологический показатель консистенции эмульсионных продуктов, проявляющих свойства неньютоновских жидкостей.
Эффективную вязкость определяют с помощью ротационного вискозиметра, обеспечивающего измерение в диапазоне 1 - 1,8·108 мПа·c с относительной погрешностью не более 3 - 4%, в соответствии с методикой, изложенной в инструкции, прилагаемой к прибору.
Допускается использование других приборов, пригодных для инструментальной оценки консистенции эмульсионных жировых продуктов и обеспечивающих контроль необходимых структурно-механических характеристик продукта.
4.21. Определение pH
Границы абсолютной погрешности результатов измерений +/- 0,3 единиц pH при P = 0,95.
4.21.1. Средства измерений, вспомогательное оборудование, реактивы и материалы
pH-метр лабораторный (иономер), с пределами измерения 0 - 14 единиц pH и ценой деления шкалы 0,01 или 0,05 единиц pH.
Баня водяная.
Термометр жидкостный стеклянный по
ГОСТ 28498, диапазоном измерения температуры от 0 °C до 50 °C, с ценой деления 1 °C - 2 °C.
Электроды стеклянные ЭСЛ-41 Г-04, ЭСЛ-11 Г-04, ЭСЛ-41 Г-05, ЭСЛ-11 Г-05 по документу, в соответствии с которым они изготовлены.
Электрод хлорсеребряный ЭВЛ-1 по документу, в соответствии с которым он изготовлен.
Стандарт-титры pH: 3,56; 4,01; 6,86 единиц pH по
ГОСТ 8.135.
Лед.
Калий хлористый, х.ч., по
ГОСТ 4234, раствор, насыщенный при комнатной температуре.
Допускается использование других средств измерений, вспомогательного оборудования по метрологическим, техническим характеристикам не хуже указанных в настоящем стандарте.
Допускается использование других реактивов по качеству и чистоте не ниже вышеуказанных.
4.21.2. Условия проведения измерений
Температура в помещении должна быть (20 +/- 2) °C.
Эксплуатация pH-метров должна осуществляться с применением двух электродов - стеклянного и хлорсеребряного, заполненных насыщенным раствором хлористого калия по
ГОСТ 4234.
В нерабочем состоянии электроды хранят в дистиллированной воде.
Хлорсеребряный электрод заполняют и периодически дополняют насыщенным водным раствором хлористого калия.
Необходимо следить за тем, чтобы кристаллы хлористого калия при испарении раствора не осаждались внутри тонкого капилляра хлорсеребряного электрода.
4.21.3. Подготовка к измерению
Общую подготовку pH-метра к эксплуатации проводят в соответствии с порядком, изложенным в инструкции по эксплуатации лабораторных pH-метров.
Для проверки и настройки прибора рекомендуется применять буферные растворы 3,56; 4,01 и 6,86 единицы pH по
ГОСТ 8.135. Перед измерением резиновую пробку из хлорсеребряного электрода вынимают.
Перед измерением pH пробу продукта доводят до температуры (20 +/- 2) °C, используя для этой цели теплую или охлажденную льдом воду в водяной бане.
4.21.4. Проведение измерений
Стеклянный стакан вместимостью 50 см3 на 3/4 заполняют продуктом и устанавливают на подвижной столик pH-метра. Электроды и термометр погружают в анализируемую пробу. Ручку на лицевой панели прибора с наименованием "температура раствора" устанавливают на значение температуры продукта, соответствующее показаниям термометра.
Отчет по шкале pH-метра следует проводить после того, как показания примут постоянное значение. Время установления - около 5 мин.
По окончании измерения электроды промывают дистиллированной водой и удаляют с них остатки воды фильтровальной бумагой.
За окончательный результат измерения принимают среднеарифметическое результатов двух параллельных измерений, выполненных в условиях повторяемости и удовлетворяющих условию приемлемости (4.21.5.1).
Результат измерения округляют до первого десятичного знака.
4.21.5. Метрологические характеристики метода
4.21.5.1. Приемлемость результатов измерений, полученных в условиях повторяемости
Расхождение между результатами двух измерений, выполненных одним методом, на идентичных анализируемых объектах, в одной лаборатории, одним оператором, с использованием одного оборудования, за короткий промежуток времени, не должно превышать 0,2 единицы pH при доверительной вероятности P = 0,95.
4.21.5.2. Приемлемость результатов измерений, полученных в условиях воспроизводимости
Расхождение между результатами измерений, полученными в двух различных лабораториях, выполненных одним методом, на идентичных анализируемых объектах, разными операторами, с использованием различного оборудования, не должно превышать 0,4 единицы pH при доверительной вероятности P = 0,95.
5. ТРЕБОВАНИЯ БЕЗОПАСНОСТИ ПРИ ПРОВЕДЕНИИ РАБОТ
При выполнении измерений необходимо соблюдать требования техники безопасности при работе с химическими реактивами по
ГОСТ 12.1.007, требования электробезопасности при работе с приборами - по
ГОСТ 12.2.007.0, требования пожарной безопасности - по
ГОСТ 12.1.018 и электробезопасности при работе с электроустановками - по
ГОСТ 12.1.019.
Помещение, в котором проводят работы, должно быть снабжено приточно-вытяжной вентиляцией. Работы с растворителями необходимо проводить в вытяжном шкафу. Контроль содержания вредных веществ в воздухе рабочей зоны проводят в соответствии с требованиями
ГОСТ 12.1.005.
6. ТРЕБОВАНИЯ К КВАЛИФИКАЦИИ ОПЕРАТОРА
К выполнению измерений допускаются специалисты, изучившие методики и прошедшие обучение работе на приборах и инструктаж по технике безопасности.
(справочное)
ОСНОВНЫЕ ТЕХНИЧЕСКИЕ ХАРАКТЕРИСТИКИ ИК-АНАЛИЗАТОРОВ,
С ПОМОЩЬЮ КОТОРЫХ ПРОВОДИЛИСЬ ИСПЫТАНИЯ И ОЦЕНКА
МЕТРОЛОГИЧЕСКИХ ХАРАКТЕРИСТИК
А.1. Основные технические характеристики ИК-анализаторов, с помощью которых проводились испытания и оценка метрологических характеристик, приведены в таблице А.1.
Таблица А.1
N п/п | Наименование средства измерений | Основные нормируемые метрологические характеристики | Номер по Госреестру |
1 | Анализатор инфракрасный ИНФРАСКАН ООО "Экан" | Диапазон длин волн 1400 - 2400 нм; | 30434-05 |
монохроматор - дифракционная решетка; |
абсолютная погрешность измерения коэффициентов диффузного отражения +/- 5 %; |
абсолютная погрешность установки длин волн +/- 5 нм; |
СКО случайной составляющей измерения коэффициента диффузного отражения 0,5%; |
СКО случайной составляющей погрешности установки длин волн 1 нм |
2 | ИК Фурье- спектрометр МРА (или ИК Фурье спектрометры серии MATRIX) Bruker Optics | Спектральный диапазон, интегрирующая сфера, детектор PbS 12800 - 3600 см-1 (780 - 2770 нм); | 24470-08 |
максимальное спектральное разрешение 2,0 см-1; |
воспроизводимость волнового числа (по парам воды атмосферы) 0,05 см-1; |
пределы допускаемой абсолютной погрешности измерений по шкале волновых чисел: |
- по парам воды атмосферы +/- 0,1 см-1; |
- по специальному стеклянному фильтру BRM 2065 +/- 0,6 см-1; |
пределы допускаемой абсолютной погрешности измерений по фотометрической шкале +/- 0,5%; |
максимальная скорость сканирования 1,4 - 25,5 мм/с |
(обязательное)
ОПРЕДЕЛЕНИЕ МАССОВОЙ ДОЛИ ФОСФОРА ДЛЯ ЦЕЛЕЙ ГРАДУИРОВКИ
ИК-СПЕКТРОМЕТРА
Градуировка ИК-спектрометра выполняется с помощью модельных образцов продукта, приготовленных с использованием яичного желтка в широком диапазоне дозировок. Не допускается ввод в состав модельных образцов других фосфорсодержащих компонентов (сливки, молоко, лецитин и т.д.).
Анализ модельных образцов продукта проводится по Б.1 -
Б.6.
Б.1. Средства измерения, вспомогательное оборудование, реактивы и материалы - по ГОСТ 31753
(подраздел 4.4).
Б.3. Проведение определения
Взвешивают в чаше или тигле (2 - 3) г анализируемого продукта, с записью результата до четвертого десятичного знака, добавляют (1,5 +/- 0,02) г оксида магния и нагревают в течение 60 мин в сушильном шкафу при температуре (105 +/- 2) °C. Затем тигель или чашу нагревают на электроплитке до обугливания содержимого, а остаток прокаливают добела (озоляют) в муфельной печи при температуре 800 °C - 1000 °C (длительность озоления зависит от температуры муфельной печи и составляет от 20 мин до 1 ч).
Б.4. Обработка и растворение осадка - по ГОСТ 31753
(пункт 4.6.3) со следующим дополнением.
В мерную колбу вместимостью 100 см3 помещают в зависимости от предполагаемой массовой доли фосфора аликвотную часть полученного раствора объемом 10 или 20 см3. Предварительно в колбу помещают реактивы в соответствии с таблицей Б.1.
Таблица Б.1
Объем аликвотной части, см3 | Окись магния, г | Раствор серной кислоты, см3 |
10 | 0,6 | 16 |
20 | 0,45 | 12 |
Б.5. Развитие колориметрической реакции и измерение оптической плотности - по ГОСТ 31753 (
пункты 4.6.4 и
4.6.5).
Б.7. Метрологические характеристики метода - по ГОСТ 31753
(подраздел 4.8).
[1] | ИСО 3960:2007 | Жиры и масла животные и растительные. Определение пероксидного числа. Йодометрическое (визуальное) определение по конечной точке |