Главная // Актуальные документы // ГОСТ (Государственный стандарт)СПРАВКА
Источник публикации
М.: Стандартинформ, 2013
Примечание к документу
Документ включен в
Перечень стандартов, содержащих правила и методы исследований (испытаний) и измерений, в том числе правила отбора образцов, необходимые для применения и исполнения требований технического
регламента Таможенного союза "Технический регламент на масложировую продукцию" (ТР ТС 024/2011) и осуществления оценки соответствия объектов технического регулирования (
Решение Комиссии Таможенного союза от 09.12.2011 N 883).
Документ
введен в действие с 1 июля 2013 года.
Название документа
"ГОСТ 31753-2012. Межгосударственный стандарт. Масла растительные. Методы определения фосфорсодержащих веществ"
(введен в действие Приказом Росстандарта от 29.11.2012 N 1678-ст)
"ГОСТ 31753-2012. Межгосударственный стандарт. Масла растительные. Методы определения фосфорсодержащих веществ"
(введен в действие Приказом Росстандарта от 29.11.2012 N 1678-ст)
агентства по техническому
регулированию и метрологии
от 29 ноября 2012 г. N 1678-ст
МЕЖГОСУДАРСТВЕННЫЙ СТАНДАРТ
МАСЛА РАСТИТЕЛЬНЫЕ
МЕТОДЫ ОПРЕДЕЛЕНИЯ ФОСФОРСОДЕРЖАЩИХ ВЕЩЕСТВ
Vegetable oils. Methods for determination
of phosphorated substances
(ISO 10540-1:2003, NEQ)
(ISO 10540-2:2003, NEQ)
ГОСТ 31753-2012
Дата введения
1 июля 2013 года
Цели, основные принципы и основной порядок проведения работ по межгосударственной стандартизации установлены
ГОСТ 1.0-92 "Межгосударственная система стандартизации. Основные положения" и
ГОСТ 1.2-2009 "Межгосударственная система стандартизации. Стандарты межгосударственные, правила и рекомендации по межгосударственной стандартизации. Правила разработки, принятия, применения, обновления и отмены".
1. Разработан Государственным научным учреждением "Всероссийский научно-исследовательский институт жиров" Российской академии сельскохозяйственных наук (ВНИИЖ) при участии ООО "ЛЮМЭКС".
2. Внесен Федеральным агентством по техническому регулированию и метрологии.
3. Принят Межгосударственным советом по стандартизации, метрологии и сертификации (протокол от 15 ноября 2012 г. N 42).
За принятие проголосовали:
Краткое наименование страны по МК (ИСО 3166) 004-97 | Код страны по МК (ИСО 3166) 004-97 | Сокращенное наименование национального органа по стандартизации |
Армения | AM | Минэкономики Республики Армения |
Казахстан | KZ | Госстандарт Республики Казахстан |
Кыргызстан | KG | Кыргызстандарт |
Российская Федерация | RU | Росстандарт |
Таджикистан | TJ | Таджикстандарт |
Узбекистан | UZ | Узстандарт |
4.
Приказом Федерального агентства по техническому регулированию и метрологии от 29 ноября 2012 г. N 1678-ст межгосударственный стандарт ГОСТ 31753-2012 введен в действие в качестве национального стандарта Российской Федерации с 1 июля 2013 г.
5. В настоящем стандарте учтены основные нормативные положения следующих международных стандартов:
ISO 10540-1:2003 "Animal and vegetable fats and oil - Determination of phosphorus content - Part 1: Colorimetric method" (Животные и растительные жиры и масла. Определение содержания фосфора. Часть 1. Колориметрический метод);
ISO 10540-2:2003 "Animal and vegetable fats and oil - Determination of phosphorus content - Part 2: Method using graphite furnace atomic absorption spectrometry" (Животные и растительные жиры и масла. Определение содержания фосфора. Часть 2. Метод атомной абсорбционной спектрометрии с применением графитовой кюветы).
Степень соответствия - неэквивалентная (NEQ).
6. Введен впервые.
Информация об изменениях к настоящему стандарту публикуется в ежегодно издаваемом информационном указателе "Национальные стандарты", а текст изменений и поправок - в ежемесячно издаваемом информационном указателе "Национальные стандарты". В случае пересмотра (замены) или отмены настоящего стандарта соответствующее уведомление будет опубликовано в ежемесячно издаваемом информационном указателе "Национальные стандарты". Соответствующая информация, уведомление и тексты размещаются также в информационной системе общего пользования - на официальном сайте Федерального агентства по техническому регулированию и метрологии в сети Интернет.
Настоящий стандарт распространяется на растительные масла (далее - масла) и устанавливает следующие методы определения фосфорсодержащих веществ:
- фотометрический (колориметрический);
- атомно-абсорбционной спектрометрии с применением графитовой кюветы.
В настоящем стандарте использованы нормативные ссылки на следующие стандарты:
ГОСТ 12.1.007-76 Система стандартов безопасности труда. Вредные вещества. Классификация и общие требования безопасности
ГОСТ 12.1.018-93 Система стандартов безопасности труда. Пожаровзрывобезопасность статического электричества. Общие требования
ГОСТ 12.1.019-79 Система стандартов безопасности труда. Электробезопасность. Общие требования и номенклатура видов защиты
ГОСТ 1770-74 (ИСО 1042-83, ИСО 4788-80) Посуда мерная лабораторная стеклянная. Цилиндры, мензурки, колбы, пробирки. Общие технические условия
ГОСТ 3765-78 Реактивы. Аммоний молибденовокислый. Технические условия
ГОСТ 4198-75 Реактивы. Калий фосфорнокислый однозамещенный. Технические условия
ГОСТ 5471-83 Масла растительные. Правила приемки и методы отбора проб
<*>
ГОСТ ISO 5725-6-2002 Точность (правильность и прецизионность) методов и результатов измерений. Часть 6. Использование значений точности на практике
<**>
--------------------------------
| | ИС МЕГАНОРМ: примечание. В официальном тексте документа, видимо, допущена опечатка: стандарт имеет номер ГОСТ Р 52062-2003, а не ГОСТ Р 52062-2002. | |
<*> На территории Российской Федерации действует
ГОСТ Р 52062-2002 "Масла растительные. Правила приемки и методы отбора проб".
<**> На территории Российской Федерации действует
ГОСТ Р ИСО 5725-6-2002 "Точность (правильность и прецизионность) методов и результатов измерений. Часть 6. Использование значений точности на практике".
ГОСТ 9147-80 Посуда и оборудование лабораторные фарфоровые. Технические условия
ГОСТ 10931-74 Реактивы. Натрий молибденовокислый 2-водный. Технические условия
ГОСТ 12026-76 Бумага фильтровальная лабораторная. Технические условия
ГОСТ 14919-83 Электроплиты, электроплитки и жарочные электрошкафы бытовые. Общие технические условия
ГОСТ 19908-90 Тигли, чаши, стаканы, колбы, воронки, пробирки и наконечники из прозрачного кварцевого стекла. Общие технические условия
ГОСТ 25336-82 Посуда и оборудование лабораторные стеклянные. Типы, основные параметры и размеры
ГОСТ 28311-89 Дозаторы медицинские лабораторные. Общие технические требования и методы испытаний
ГОСТ 29227-91 (ИСО 835-1-81) Посуда лабораторная стеклянная. Пипетки градуированные. Часть 1. Общие требования
ГОСТ 29251-91 (ИСО 385-1-84) Посуда лабораторная стеклянная. Бюретки. Часть 1. Общие требования
Примечание. При пользовании настоящим стандартом целесообразно проверить действие ссылочных стандартов в информационной системе общего пользования - на официальном сайте Федерального агентства по техническому регулированию и метрологии в сети Интернет или по ежегодно издаваемому информационному указателю "Национальные стандарты", который опубликован по состоянию на 1 января текущего года, и по соответствующим ежемесячно издаваемым информационным указателям, опубликованным в текущем году. Если ссылочный стандарт заменен (изменен), то при пользовании настоящим стандартом следует руководствоваться заменяющим (измененным) стандартом. Если ссылочный стандарт отменен без замены, то положение, в котором дана ссылка на него, применяется в части, не затрагивающей эту ссылку.
Отбор проб - по ГОСТ 5471.
4. Фотометрический (колориметрический) метод
Метод позволяет определить содержание фосфора в диапазоне измерений от 2,0 до 2300 мг/кг (массовую долю фосфорсодержащих веществ в пересчете на стеароолеолецитин - от 0,005% до 6,0%, в пересчете на оксид фосфора

- от 0,0005% до 0,53%).
Метод применяют при возникновении разногласий в оценке качества продукции.
Метод основан на переводе фосфора, входящего в состав фосфолипидов растительных масел, в водорастворимое состояние путем озоления и последующем его определении фотометрическим методом по голубому молибденовому комплексу.
4.3. Условия проведения определения
При подготовке и проведении определения должны быть соблюдены следующие условия:
- температура окружающей среды ..................... от 10 °C до 40 °C;
- относительная влажность воздуха .................. от 40% до 95%.
4.4. Средства измерений, вспомогательное оборудование, реактивы и материалы
4.4.1. Спектрофотометр, фотоэлектроколориметр или аналогичные приборы, обеспечивающие проведение измерений в диапазоне длин волн от 630 до 750 нм с прилагаемым комплектом кювет.
4.4.2. Весы лабораторные по
ГОСТ 24104 с пределом допускаемой абсолютной погрешности однократного взвешивания не более +/- 0,0002 г и не более +/- 0,02 г.
4.4.3. Плитка электрическая по
ГОСТ 14919 закрытого типа, обеспечивающая нагрев в диапазоне 160 °C - 180 °C.
4.4.4. Шкаф сушильный лабораторный с терморегулятором, обеспечивающим поддержание температуры в рабочей камере (105 +/- 2) °C.
4.4.5. Печь муфельная, обеспечивающая поддержание температуры в рабочей камере в диапазоне 800 °C - 1000 °C.
4.4.6. Эксикатор 2-190 или 2-250 по
ГОСТ 25336 с эффективным осушителем (например, кальций хлористый, безводный).
4.4.7. Аппарат Сокслета, состоящий из:
4.4.8. Колбы 2-100-2 и 2-1000-2 по
ГОСТ 1770.
4.4.10. Пипетки 1(2, 3)-1(2)-1(2,5, 10, 25) по
ГОСТ 29227.
4.4.11. Цилиндры 1(3)-25 и 1(3)-100 по
ГОСТ 1770.
4.4.14. Баня водяная.
4.4.15. Фильтр беззольный.
4.4.16. Магний оксид по
ГОСТ 4526 свежепрокаленный, не содержащий солей фосфорной кислоты.
4.4.18. Калий фосфорнокислый однозамещенный по
ГОСТ 4198, х.ч.
4.4.20. Кислота серная по
ГОСТ 14262 плотностью 1,84 г/см3.
4.4.23. Этоксиэтан (эфир диэтиловый).
4.4.24. Государственный стандартный образец (ГСО) состава раствора фосфат-ионов.
Допускается использование других средств измерений, вспомогательного оборудования, по метрологическим, техническим характеристикам не хуже указанных в настоящем стандарте.
Допускается использование других реактивов, по качеству и чистоте не ниже вышеуказанных.
4.5. Подготовка к определению
4.5.1. Приготовление молибденового реагента (раствора молибденовокислого натрия или молибденовокислого аммония)
В стакане по
ГОСТ 25336 взвешивают 6,85 г молибденовокислого натрия по
ГОСТ 10931 или молибденовокислого аммония по
ГОСТ 3765, записывают результат до второго десятичного знака. В другом стакане взвешивают 0,40 г гидразина сернокислого по
ГОСТ 5841, записывают результат до второго десятичного знака. Содержимое обоих стаканов с помощью дистиллированной воды по
ГОСТ 6709 количественно переносят в мерную колбу по
ГОСТ 1770 вместимостью 1000 см3. При постоянном охлаждении постепенно добавляют 100 см3 концентрированной серной кислоты по
ГОСТ 14262 плотностью 1,84 г/см3. Образующийся темно-синий раствор при постоянном перемешивании охлаждают до (20 +/- 3) °C, доводят объем до метки дистиллированной водой и вновь перемешивают. Раствор перед началом использования выдерживают в темном месте в течение 10 ч. Полученный светло-коричневый раствор хранят не более 30 сут в темном месте.
4.5.2. Приготовление раствора серной кислоты молярной концентрацией

В мерную колбу вместимостью 1000 см3 наливают 300 - 350 см3 дистиллированной воды, постепенно добавляют при постоянном охлаждении 53 см3 серной кислоты плотностью 1,84 г/см3, доводят объем до метки дистиллированной водой и перемешивают.
4.5.3. Приготовление градуировочных растворов
4.5.3.1. Приготовление основного раствора массовой концентрацией фосфора 100 мкг/см3 (раствор 1)
Взвешивают в стакане 0,4392 - 0,4394 г однозамещенного фосфорнокислого калия, высушенного до постоянной массы при температуре (105 +/- 2) °C, с помощью дистиллированной воды количественно переносят в мерную колбу вместимостью 1000 см3 при температуре (20 +/- 3) °C и доводят объем дистиллированной водой до метки.
Приготовленный раствор хранят не более 30 сут в плотно закрытой колбе.
При наличии государственного стандартного образца (ГСО) состава раствора фосфат-ионов по
4.4.24 основной раствор (раствор 1) готовят из указанного ГСО разведением до концентрации 100 мкг/см3.
4.5.3.2. Приготовление раствора массовой концентрацией фосфора 10 мкг/см3 (раствор 2)
В мерную колбу вместимостью 1000 см3 отбирают пипеткой 100 см3 раствора 1 при температуре (20 +/- 3) °C и доводят объем дистиллированной водой до метки.
Для градуировки используемого для анализа прибора раствор 2 каждый раз готовят заново.
4.5.3.3. Градуировочные растворы
Для получения градуировочных растворов массовой концентрацией фосфора 0,025; 0,05; 0,1; 0,15; 0,2; 0,3; 0,4; 0,5; 0,6; 0,7; 0,8; 1,0; 1,2; 1,4; 1,6; 1,8; 2,0 мкг/см3 в мерные колбы вместимостью по 100 см3 отбирают с помощью пипеток или бюреток 0,25; 0,5; 1,0; 1,5; 2,0; 3,0; 4,0; 5,0; 6,0; 7,0; 8,0; 10,0; 12,0; 14,0; 16,0; 18,0; 20,0 см3 раствора 2 соответственно и доводят объем в каждой колбе дистиллированной водой до 20 см3 (суммарный объем раствора 2 и воды). В каждую колбу приливают по 20 см3 серной кислоты молярной концентрацией 1 моль/дм3 и добавляют (0,75 +/- 0,02) г оксида магния по
ГОСТ 4526. Колбы со смесью помещают в кипящую водяную баню до полного растворения оксида магния. Затем в каждую колбу приливают по 20 см3 молибденового реагента, приготовленного по
4.5.1. Растворы хорошо перемешивают, выдерживают 30 мин в кипящей водяной бане, охлаждают до (20 +/- 3) °C и доводят дистиллированной водой до метки.
4.5.3.4. Раствор сравнения готовят по
4.5.3.3 без добавления раствора 2.
4.5.3.5. Измеряют оптическую плотность градуировочных растворов (см.
4.5.3.3) относительно раствора сравнения (см.
4.5.3.4), используя один из приборов, указанных в
4.4.1. Измерения проводят последовательно в кюветах разной рабочей длины. Результаты измерений представляют в виде таблицы и графика. Для каждой кюветы строят отдельный градуировочный график, выбирая диапазон массовых концентраций фосфора таким образом, чтобы значения оптической плотности укладывались в диапазон измерений прибора.
При работе на спектрометре с автосемплером используют функцию автоматической градуировки.
4.5.4. Построение градуировочных графиков
Для построения градуировочных графиков по оси абсцисс откладывают массовую концентрацию фосфора в градуировочных растворах в мкг/см3, по оси ординат - оптическую плотность. Градуировочные графики представляют собой прямые линии, проходящие через начало координат.
4.5.5. Контроль стабильности градуировочной характеристики проводят периодически, но не реже одного раза в месяц, а также при приготовлении новых порций молибденового реагента. Образцами для контроля являются два заново приготовленных градуировочных раствора. Измеряют оптическую плотность приготовленных растворов и по действующему градуировочному графику вычисляют содержание фосфора. Градуировочная характеристика признается стабильной, если отклонение измеренных значений массовой концентрации фосфора от исходных не превышает +/- 5%.
Если это условие не выполняется, градуировочный график строят заново, используя новый молибденовый реагент.
4.5.6. Подготовка пробы
Пробу анализируемого масла хорошо перемешивают, нагревают до температуры 70 °C - 75 °C и отфильтровывают через беззольный фильтр (белая или желтая лента) при той же температуре. Допускается использовать фильтровальную бумагу по
ГОСТ 12026, предварительно обезжиренную диэтиловым эфиром в течение 3 ч в аппарате Сокслета.
4.5.7. Подготовка лабораторной посуды
Лабораторную посуду, используемую для определения фосфорсодержащих веществ, не рекомендуется мыть бытовыми моющими средствами, так как они содержат соединения фосфора. Для мытья посуды можно применять раствор серной кислоты или воду. Рекомендуется использовать отдельный набор лабораторной посуды.
4.6. Проведение определения
4.6.1. Навеску анализируемого масла берут в зависимости от его вида в соответствии с таблицей 1.
Вид масла | Масса навески, г |
Нерафинированное | От 0,2 до 0,4 |
Гидратированное | " 0,5 " 0,9 |
Рафинированное | " 1,0 " 1,5 |
4.6.2. К навеске анализируемого масла, взятой в соответствии с
таблицей 1 и взвешенной в чаше или тигле по
ГОСТ 19908 с записью результата до четвертого десятичного знака, добавляют (0,75 +/- 0,02) г оксида магния и нагревают 10 мин в сушильном шкафу при температуре (105 +/- 2) °C для того, чтобы анализируемое масло адсорбировалось оксидом магния. Затем тигель или чашу нагревают на электроплитке по
ГОСТ 14919 до обугливания содержимого, а остаток прокаливают добела (озоляют) в муфельной печи при температуре 800 °C - 1000 °C (длительность озоления зависит от массы навески анализируемого масла и температуры муфельной печи и составляет от 20 мин до 1 ч).
4.6.3. При использовании кварцевых тиглей после их охлаждения приливают к осадку 10 - 20 см3 дистиллированной воды, 20 см3 серной кислоты молярной концентрацией 1 моль/дм3 и нагревают до полного растворения оксида магния. Полученный раствор количественно переносят в мерную колбу вместимостью 100 см3, трижды ополаскивая тигель небольшими порциями дистиллированной воды.
При использовании фарфоровых тиглей по
ГОСТ 9147 осадок количественно переносят в мерную колбу вместимостью 100 см3 с помощью трех порций дистиллированной воды общим объемом 20 см3, приливают 20 см3 серной кислоты молярной концентрацией 1 моль/дм3 и нагревают колбу до полного растворения оксида магния.
4.6.4. К раствору, полученному по
4.6.3, добавляют 20 см3 молибденового реагента и нагревают в течение 30 мин в кипящей водяной бане. После охлаждения содержимого до температуры (20 +/- 3) °C доводят объем дистиллированной водой до метки.
4.6.5. Измеряют оптическую плотность раствора, приготовленного по
4.6.4, относительно раствора сравнения, приготовленного по
4.5.3.4.
Длину кюветы подбирают так, чтобы значение оптической плотности было в пределах 0,1 - 0,8. При анализе рафинированных масел рекомендуется применять кювету максимальной длины. Используя градуировочный график, построенный для соответствующей кюветы, по измеренной оптической плотности определяют массовую концентрацию фосфора в анализируемом растворе, мкг/см3.
4.7. Обработка результатов
4.7.1. Содержание фосфора X, мг/кг, вычисляют по формуле

, (1)
где a - массовая концентрация фосфора, найденная по
4.6.4, мкг/см3;
m - масса навески масла, г;
100 - объем анализируемого раствора, см3.
Результат можно также выразить как массовую долю стеароолеолецитина или оксида фосфора, %, используя формулы пересчета:

, (2)

, (3)
где

- массовая доля фосфорсодержащих веществ в пересчете на стеароолеолецитин, %;

- массовая доля фосфорсодержащих веществ в пересчете на оксид фосфора, %;
X - содержание фосфора, мг/кг, вычисленное по
формуле (1).
4.7.2. За окончательный результат определения принимают среднеарифметическое значение двух параллельных определений, удовлетворяющих условию повторяемости (см.
4.8.1).
При возникновении разногласий в оценке качества продукции за окончательный результат принимают среднеарифметическое значение не менее четырех параллельных определений по ГОСТ ISO 5725-6.
Результат определения вычисляют:
- при выражении результатов в мг/кг фосфора:
для значений в диапазоне от 2,0 до 10,0 мг/кг включительно - до второго и округляют до первого десятичного знака;
для значений свыше 10,0 мг/кг - до первого десятичного знака и округляют до целого числа;
- при выражении результатов в процентах оксида фосфора - до четвертого и округляют до третьего десятичного знака;
- при выражении результатов в процентах в пересчете на стеароолеолецитин - до третьего и округляют до второго десятичного знака.
4.8. Метрологические характеристики метода
4.8.1. Предел повторяемости
Расхождение между результатами двух независимых единичных определений, выполненных одним методом, на идентичном анализируемом материале, в одной лаборатории, одним аналитиком, на одном оборудовании, за короткий промежуток времени, при доверительной вероятности P = 0,95, не должно превышать значений пределов повторяемости r, указанных в
таблице 2.
4.8.2. Предел воспроизводимости
Расхождение между результатами двух единичных определений, выполненных одним методом, на идентичном анализируемом материале, в разных лабораториях, разными аналитиками, на различном оборудовании, при доверительной вероятности P = 0,95, не должно превышать значений пределов воспроизводимости R, указанных в
таблице 2.
4.8.3. Показатель точности
Границы относительной погрешности метода 5 при P = 0,95 приведены в таблице 2.
Интервалы значений массовой концентрации фосфора, мг/кг | Границы относительной погрешности  | Предел повторяемости r | Предел воспроизводимости R |
абс. | % отн. | абс. | % отн. |
От 2,0 до 10,0 включ. | 80 | 1,2 | - | 2,4 | - |
Св. 10,0 до 20,0 включ. | 40 | - | 30 | - | 60 |
Св. 20,0 до 2300 включ. | 10 | - | 8 | - | 16 |
Примечания. 1. Учитывая, что в действующих стандартах на растительные масла показатель "фосфорсодержащие вещества" в некоторых случаях нормируется как "отсутствие" (что объясняется меньшей чувствительностью действовавших ранее методов анализа), до пересмотра указанных стандартов норму "отсутствие" следует интерпретировать как "менее 20 мг/кг в пересчете на фосфор". 2. При необходимости выражения результата как массовой доли стеароолеолецитина или оксида фосфора абсолютные значения пределов повторяемости и воспроизводимости рассчитывают, используя формулы (2) и (3). |
5. Метод атомно-абсорбционной спектрометрии
с применением графитовой кюветы
Метод позволяет определить содержание фосфора в диапазоне измерений от 2,0 до 2300 мг/кг (массовую долю фосфорсодержащих веществ в пересчете на стеароолеолецитин - от 0,005% до 6,0%, в пересчете на оксид фосфора

- от 0,0005% до 0,53%).
Метод основан на испарении анализируемой пробы масла, смешанной с модификатором, в графитовой кювете атомно-абсорбционного спектрометра и последующем измерении резонансного поглощения свободными атомами фосфора на длине волны 213,5 нм. Содержание фосфора определяется величиной интегрального аналитического сигнала и рассчитывается по предварительно установленной градуировочной зависимости.
5.3. Условия проведения измерений
При подготовке и проведении измерений должны быть соблюдены следующие условия:
- температура окружающей среды ..................... от 10 °C до 40 °C;
- относительная влажность воздуха .................. от 40% до 95%.
5.4. Средства измерений, вспомогательное оборудование, реактивы и материалы
5.4.1. Спектрометр атомно-абсорбционный "МГА-915" с электротермическим атомизатором.
5.4.2. Кюветы графитовые с пиропокрытием, с платформой или без нее.
5.4.3. Шкаф сушильный лабораторный с терморегулятором, обеспечивающим поддержание температуры в рабочей камере (60 +/- 2) °C.
5.4.4. Микродозатор одноканальный вместимостью 10 мм3 или дозатор одноканальный переменного объема 5 - 50 мм3 по
ГОСТ 28311.
5.4.5. Наконечники для микродозатора (входят в комплект микродозатора).
5.4.6. Весы лабораторные по
ГОСТ 24104 с пределом допускаемой абсолютной погрешности однократного взвешивания не более +/- 0,002 г.
5.4.8. Циклогексан.
5.4.9. Лантан-органометаллический стандарт по
[1] с содержанием лантана 5000 мг/кг.
5.4.10. Контрольный образец масла: масло растительное рафинированное жидкое пищевое с содержанием фосфора менее 2,0 мг/кг для разбавления градуировочных растворов и анализируемых проб. Содержание фосфора в контрольном образце масла определяют фотометрическим методом в соответствии с
разделом 4.
5.4.11. Лецитин соевый, очищенный, массовой долей фосфора около 2%.
5.4.12. Аргон по
ГОСТ 10157 с содержанием основного вещества не менее 99,98%.
Допускается использование других средств измерений, вспомогательного оборудования по метрологическим, техническим характеристикам не хуже указанных в настоящем стандарте.
Допускается использование других реактивов по качеству и чистоте не ниже вышеуказанных.
5.5. Подготовка к измерению
5.5.1. Подготовка спектрометра - в соответствии с инструкцией по эксплуатации. Температурная
программа для спектрометра - в соответствии с Приложением А.
5.5.2. Приготовление матричного модификатора
Растворяют 1,00 г лантан-органометаллического стандарта по
[1] с содержанием лантана 5000 мг/кг в 10 см3 циклогексана. Добавление лантана необходимо для получения достоверных результатов определения общего содержания фосфора. В противном случае результат анализа будет зависеть от типа фосфатидов, присутствующих в анализируемой пробе.
5.5.3. Приготовление градуировочных растворов
5.5.3.1. Приготовление основного градуировочного раствора с содержанием фосфора 400 мг/кг
Растворяют 1,00 г соевого лецитина в 4,00 г циклогексана и добавляют 45,00 г контрольного образца масла по
5.4.10. Определяют содержание фосфора фотометрическим методом в соответствии с
разделом 4.
5.5.3.2. Приготовление рабочих градуировочных растворов с содержанием фосфора 10, 20, 40 мг/кг
Разбавляют 1,00; 2,00 и 4,00 г основного раствора с содержанием фосфора 400 мг/кг до 40 г, добавляя 39,00; 38,00 и 36,00 г контрольного образца масла соответственно. Если содержание фосфора в основном растворе, определенное по
разделу 4, не составляет точно 400 мг/кг, вычисляют точное содержание фосфора в рабочих растворах или соотношение масс основного раствора и контрольного образца масла корректируют так, чтобы получить рабочие градуировочные растворы с указанным содержанием фосфора.
5.5.4. Предварительная подготовка пробы анализируемого масла, контрольного образца масла и градуировочных рабочих растворов
Не менее чем за 15 мин до начала определения помещают пробу анализируемого масла, контрольный образец масла и градуировочные рабочие растворы в термостат при температуре (60 +/- 2) °C.
Непосредственно перед измерением пробу анализируемого масла, контрольный образец масла и градуировочные рабочие растворы хорошо перемешивают. Если предполагается содержание фосфора более 40 мг/кг, то пробу анализируемого масла разбавляют контрольным образцом масла. В этом случае полученный результат умножают на коэффициент разбавления.
5.5.5. Выполнение измерений
Перед каждым вводом раствора пробы предварительно обрабатывают наконечник микродозатора, набирая и спуская 10 мм3 циклогексана. Образовавшаяся пленка циклогексана на стенках наконечника облегчает воспроизводимый перенос раствора пробы в кювету.
5.5.5.1. Подготовка графитовой кюветы
Регистрируют аналитический сигнал от графитовой кюветы без введения анализируемой пробы до снижения сигнала до предельного значения (в
Приложении А указано значение предельного аналитического сигнала для спектрометра МГА-915).
5.5.5.2. Проведение измерения контрольного образца масла
Взвешивают в пробирке 1,00 г предварительно подготовленного контрольного образца масла. Добавляют 1,00 г матричного модификатора, приготовленного по
5.5.2, и тщательно перемешивают. Вводят 10 мм3 этой смеси в графитовую кювету, используя микродозатор. Проводят измерение и фиксируют аналитический сигнал. Повторяют ввод смеси до получения постоянного аналитического сигнала. Критерием постоянного аналитического сигнала является выполнение неравенства
S <= 6%, (4)
где

, (5)
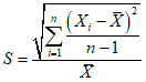
где S - среднеквадратическое отклонение;

- пять последовательно полученных значений аналитического сигнала;

- среднее арифметическое пяти последовательных значений аналитического сигнала;
n - число последовательных измерений, равное 5.
5.5.5.3. Градуировка спектрометра
Взвешивают по 1,00 г каждого из трех предварительно подготовленных рабочих градуировочных растворов по
5.5.3.2 в три пробирки. В каждую из них добавляют по 1,00 г матричного модификатора и тщательно перемешивают. Вводят 10 мм3 этой смеси микродозатором в графитовую кювету. Проводят измерение и фиксируют аналитический сигнал. Повторяют ввод смеси пять раз до получения постоянного аналитического сигнала (см.
5.5.5.2).
Строят градуировочный график зависимости аналитического сигнала трех смесей с поправкой на величину аналитического сигнала контрольного образца масла от содержания в них фосфора.
При работе на спектрометре с автосемплером используют функцию автоматической градуировки.
5.5.5.4. Контроль стабильности градуировочной характеристики
| | ИС МЕГАНОРМ: примечание. В официальном тексте документа, видимо, допущена опечатка: имеется в виду пункт 5.5.3, а не пункт 5.4.3. | |
Контроль стабильности градуировочной характеристики проводят перед началом рабочего дня и через каждые 10 - 15 анализируемых проб. Эта процедура заключается в проведении не менее двух параллельных измерений одного из градуировочных растворов, приготовленных по
5.4.3. При каждом измерении определяют содержание фосфора по действующей градуировочной характеристике (

и

соответственно) и вычисляют среднеарифметическое значение

.
Расхождение между результатами параллельных измерений признается приемлемым, если выполняется неравенство

. (6)
Градуировка признается стабильной, если выполняется условие

, (7)
где

- содержание фосфора в градуировочном растворе, приготовленном по
5.5.3.2, мг/кг.
При несоответствии полученных результатов указанному нормативу градуировку спектрометра повторяют.
5.5.5.5. Проведение измерения анализируемой пробы
Взвешивают в пробирке 1,00 г предварительно подготовленного анализируемого масла. Добавляют 1,00 г матричного модификатора и тщательно перемешивают. Вводят микродозатором 10 мм3 смеси в графитовую кювету. Проводят измерение и фиксируют аналитический сигнал. Повторяют ввод смеси до получения постоянного аналитического сигнала (см.
5.5.5.2).
5.5.6. Обработка результатов
5.5.6.1. Содержание фосфора в анализируемой пробе определяют по градуировочному графику. Результат выражают в мг/кг. При необходимости результат выражают как массовую долю стеароолеолецитина или оксида фосфора, используя формулы пересчета
(2) и
(3).
Запись результатов измерения и округление результатов - по
4.7.2.
За окончательный результат измерения принимают среднеарифметическое значение результатов двух параллельных измерений, удовлетворяющих условию повторяемости (см.
5.5.7.1).
5.5.7. Метрологические характеристики метода
5.5.7.1. Предел повторяемости
Расхождение между результатами двух независимых единичных определений, выполненных одним методом, на идентичном анализируемом материале, в одной лаборатории, одним аналитиком, на одном оборудовании, за короткий промежуток времени, при доверительной вероятности P = 0,95, не должно превышать значений пределов повторяемости r, указанных в
таблице 3.
5.5.7.2. Предел воспроизводимости
Расхождение между результатами двух единичных определений, выполненных одним методом, на идентичном анализируемом материале, в разных лабораториях, разными аналитиками, на различном оборудовании, при доверительной вероятности P = 0,95, не должно превышать значений воспроизводимости R, указанных в
таблице 3.
5.5.7.3. Показатель точности
Границы относительной погрешности метода 5 при P = 0,95 приведены в таблице 3.
Интервалы значений массовой концентрации фосфора, мг/кг | Границы относительной погрешности  , % | Предел повторяемости r, % отн. | Предел воспроизводимости R, % отн. |
От 2,0 до 10,0 включ. | 35 | 25 | 50 |
Св. 10,0 до 30,0 включ. | 30 | 20 | 40 |
Св. 30,0 | 20 | 15 | 30 |
|
6. Требования безопасности при проведении определения
При выполнении определения необходимо соблюдать требования техники безопасности при работе с химическими реактивами по
ГОСТ 12.1.007, требования пожарной безопасности по
ГОСТ 12.1.018 и электробезопасности при работе с электроустановками по
ГОСТ 12.1.019.
Помещение, в котором проводят работы, должно быть снабжено приточно-вытяжной вентиляцией. Работы с растворителями необходимо проводить в вытяжном шкафу.
7. Требования к квалификации оператора
К выполнению определений допускаются специалисты, изучившие методики и прошедшие инструктаж по технике безопасности.
(справочное)
ТЕМПЕРАТУРНАЯ ПРОГРАММА ДЛЯ СПЕКТРОМЕТРА "МГА-915"
А.1. Температурная программа для спектрометра "МГА-915" приведена в таблице А.1.
Таблица А.1
Стадия | Температура, °C | Время нагрева, с | Малый клапан |
Сушка | 100 | 20 | Вкл. |
Пиролиз 1 | 600 | 30 | Вкл. |
Пиролиз 2 | 1600 | 40 | Вкл. |
Атомизация | 2800 | 2 | Откл. |
Очистка | 2800 | 3 | Вкл. |
Значение предельного аналитического сигнала - 0,004 у. е.
| Фирмы Continental Oil Company, Ponca City, Oklahoma, USA (Conostan, 5000 мг/кг) или Merk, D-1600 Darmstadt, Germany (металл в стандарте масла 1000 мг/кг) | Лантан-органометаллические стандарты |