Главная // Актуальные документы // ГОСТ (Государственный стандарт)СПРАВКА
Источник публикации
М.: Стандартинформ, 2018
Примечание к документу
Отдельные положения данного документа включены в
Перечень международных и региональных (межгосударственных) стандартов, а в случае их отсутствия - национальных (государственных) стандартов, содержащих правила и методы исследований (испытаний) и измерений, в том числе правила отбора образцов, необходимые для применения и исполнения требований технического
регламента Евразийского экономического союза "О безопасности продукции, предназначенной для гражданской обороны и защиты от чрезвычайных ситуаций природного и техногенного характера" (ТР ЕАЭС 050/2021) и осуществления оценки соответствия объектов технического регулирования (
Решение Коллегии Евразийской экономической комиссии от 30.05.2023 N 78).
Документ
введен в действие с 01.10.2018.
Название документа
"ГОСТ 12020-2018 (ISO 175:2010). Межгосударственный стандарт. Пластмассы. Методы определения стойкости к действию химических сред"
(введен в действие Приказом Росстандарта от 27.02.2018 N 108-ст)
"ГОСТ 12020-2018 (ISO 175:2010). Межгосударственный стандарт. Пластмассы. Методы определения стойкости к действию химических сред"
(введен в действие Приказом Росстандарта от 27.02.2018 N 108-ст)
по техническому регулированию
и метрологии
от 27 февраля 2018 г. N 108-ст
МЕЖГОСУДАРСТВЕННЫЙ СТАНДАРТ
ПЛАСТМАССЫ
МЕТОДЫ ОПРЕДЕЛЕНИЯ СТОЙКОСТИ К ДЕЙСТВИЮ ХИМИЧЕСКИХ СРЕД
Plastics. Testing methods of plastics resistance
to chemical substances
(ISO 175:2010,
Plastics - Methods of test for the determination
of the effects of immersion in liquid chemicals, MOD)
ГОСТ 12020-2018
(ISO 175:2010)
Дата введения
1 октября 2018 года
Цели, основные принципы и основной порядок проведения работ по межгосударственной стандартизации установлены в
ГОСТ 1.0-2015 "Межгосударственная система стандартизации. Основные положения" и
ГОСТ 1.2-2015 "Межгосударственная система стандартизации. Стандарты межгосударственные, правила, рекомендации по межгосударственной стандартизации. Правила разработки, принятия, обновления и отмены"
1 ПОДГОТОВЛЕН Акционерным обществом "Институт пластмасс имени Г.С. Петрова" на основе официального перевода на русский язык англоязычной версии указанного в
пункте 5 международного стандарта, который выполнен ТК 230
2 ВНЕСЕН Федеральным агентством по техническому регулированию и метрологии
3 ПРИНЯТ Межгосударственным советом по стандартизации, метрологии и сертификации (протокол от 30 января 2018 г. N 105-П)
За принятие проголосовали:
Краткое наименование страны по МК (ИСО 3166) 004-97 | Код страны по МК (ИСО 3166) 004-97 | Сокращенное наименование национального органа по стандартизации |
Беларусь | BY | Госстандарт Республики Беларусь |
Казахстан | KZ | Госстандарт Республики Казахстан |
Киргизия | KG | Кыргызстандарт |
Россия | RU | Росстандарт |
4
Приказом Федерального агентства по техническому регулированию и метрологии от 27 февраля 2018 г. N 108-ст межгосударственный стандарт ГОСТ 12020-2018 (ISO 175:2010) введен в действие в качестве национального стандарта Российской Федерации с 1 октября 2018 г.
5 Настоящий стандарт является модифицированным по отношению к международному стандарту ISO 175:2010 "Пластмассы. Методы определения влияния погружения в жидкие химикаты" ("Plastics - Methods of test for the determination of the effects of immersion in liquid chemicals").
Наименование настоящего стандарта изменено относительно наименования указанного международного стандарта для приведения в соответствие с ГОСТ 1.5-2001
(подраздел 3.6).
Дополнительные фразы, слова и ссылки, включенные в текст настоящего стандарта для учета особенностей межгосударственной стандартизации, выделены курсивом.
Ссылки на международные стандарты, которые не приняты в качестве межгосударственных стандартов, заменены на соответствующие межгосударственные стандарты.
Исключение международных стандартов ИСО 4582 и МЭК 60296 обусловлено тем, что в Российской Федерации на национальном уровне нет аналогичных стандартов, а также в связи с тем, что они носят справочный характер.
Сведения о соответствии ссылочных межгосударственных стандартов международным стандартам, использованным в качестве ссылочных в примененном международном стандарте, приведены в дополнительном
приложении ДА
Информация об изменениях к настоящему стандарту публикуется в ежегодном информационном указателе "Национальные стандарты", а текст изменений и поправок - в ежемесячном информационном указателе "Национальные стандарты". В случае пересмотра (замены) или отмены настоящего стандарта соответствующее уведомление будет опубликовано в ежемесячном информационном указателе "Национальные стандарты". Соответствующая информация, уведомление и тексты размещаются также в информационной системе общего пользования - на официальном сайте Федерального агентства по техническому регулированию и метрологии в сети Интернет (www.gost.ru)
1.1 Настоящий стандарт устанавливает методы определения изменений характеристик (массы, линейных размеров, внешнего вида, различных свойств) образцов пластмасс в ненапряженном состоянии после выдержки в жидких химических средах.
Стандарт устанавливает также метод определения растрескивания образцов пластмасс в напряженно-деформированном состоянии после выдержки в течение определенного периода времени в таких средах.
В настоящем стандарте не рассматриваются процессы образование трещин при воздействии напряжений, создаваемых внешней окружающей средой, которые рассматриваются в
стандартах [1] -
[6].
1.2 Настоящий стандарт предусматривает только испытания, при которых образец для испытания полностью погружен в жидкую химическую среду.
Примечания
1 Данный метод не применим для испытаний частично или плохо смачиваемых пластмасс.
2 Настоящий стандарт может также представлять интерес при работе с летучими жидкостями или жидкостями, образующими пар, при изучении воздействия на пластмассы только газовой фазы над жидкостью. В этом случае следует точно выполнять все требования стандарта, а образцы подвешивать над жидкостью.
1.3 Настоящий метод применим также к изделиям из пластмасс, полученным литьем под давлением или экструзией: плитам, трубам, стержням или листам толщиной более 0,1 мм.
Результаты испытаний, полученные по настоящему стандарту, позволяют:
- установить сравнительную стойкость различных пластмасс к воздействию данной химической среды;
- установить сравнительную стойкость испытуемой пластмассы к различным химическим средам;
- установить влияние введенных в пластмассу добавок на стойкость пластмассы к данной химической среде или к нескольким химическим средам.
Метод определения изменения массы образцов пластмасс после выдержки в химических средах применяют также для определения количества экстрагируемых из пластмасс веществ при воздействии на них химических сред.
Настоящий стандарт не распространяется на ячеистые пластмассы.
В настоящем стандарте использованы нормативные ссылки на следующие межгосударственные стандарты:
ГОСТ 61-75 Реактивы. Кислота уксусная. Технические условия
ГОСТ 84-76 Реактивы. Натрий углекислый 10-водный. Технические условия
ГОСТ 701-89 Кислота азотная концентрированная. Технические условия
ГОСТ 982-80 Масла трансформаторные. Технические условия
ГОСТ 2548-77 Ангидрид хромовый технический. Технические условия
ГОСТ 3652-69 Реактивы. Кислота лимонная моногидрат и безводная. Технические условия
ГОСТ 4233-77 Реактивы. Натрий хлористый. Технические условия
ГОСТ 4328-77 Реактивы. Натрия гидроокись. Технические условия
ГОСТ 4650-2014 (ISO 62:2008) Пластмассы. Методы определения водопоглощения
ГОСТ 5632-2014 Легированные нержавеющие стали и сплавы коррозионно-стойкие, жаростойкие и жаропрочные. Марки
ГОСТ 8981-78 Эфиры этиловый и нормальный бутиловый уксусной кислоты технические. Технические условия
ГОСТ 9550-81 Пластмассы. Методы определения модуля упругости при растяжении, сжатии и изгибе
ГОСТ 10484-78 Реактивы. Кислота фтористоводородная. Технические условия
ГОСТ 12423-2013 (ISO 291:2008) Пластмассы. Условия кондиционирования и испытания образцов (проб)
ГОСТ 12015-66 Пластмассы. Изготовление образцов для испытания из реактопластов. Общие требования
ГОСТ 12019-66 Пластмассы. Изготовление образцов для испытания из термопластов. Общие требования
ГОСТ 23519-93 Фенол синтетический технический. Технические условия
ГОСТ 26277-84 Пластмассы. Общие требования к изготовлению образцов способом механической обработки
Примечание - При пользовании настоящим стандартом целесообразно проверить действие ссылочных стандартов в информационной системе общего пользования - на официальном сайте Федерального агентства по техническому регулированию и метрологии в сети Интернет или по ежегодному информационному указателю "Национальные стандарты", который опубликован по состоянию на 1 января текущего года, и по выпускам ежемесячного информационного указателя "Национальные стандарты" за текущий год. Если ссылочный стандарт заменен (изменен), то при пользовании настоящим стандартом следует руководствоваться заменяющим (измененным) стандартом. Если ссылочный стандарт отменен без замены, то положение, в котором дана ссылка на него, применяется в части, не затрагивающей эту ссылку.
Образцы для испытания полностью погружают в испытательную жидкость на заданное время и при заданной температуре.
Свойства образцов определяют перед погружением и после извлечения из испытательной жидкости, а также после сушки, если ее проводят. Определение свойств после сушки проводят последовательно на тех же образцах.
Примечание - Сравнение результатов испытаний различных пластмасс, испытанных данным методом, корректно, только если образцы для испытания имеют одинаковую форму и размеры (в первую очередь толщину) и, насколько это возможно, одинаковое состояние (внутренние напряжения, состояние поверхности и т.д.).
В стандарте установлены методы определения следующих свойств:
a) изменения массы, размеров и внешнего вида образцов немедленно после извлечения из испытательной жидкости и после последующей сушки;
b) изменения свойств (механических, термических, оптических и т.д.) немедленно после извлечения образца из испытательной жидкости и после последующей сушки;
c) количества поглощенной испытательной жидкости.
Измерения проводят немедленно после извлечения образца из испытательной жидкости, если это необходимо для оценки состояния материала, на который еще действует испытательная жидкость.
Измерения проводят после извлечения образца и сушки, если это необходимо для оценки состояния материала после того, как испытательная жидкость удалена, если она летучая. Это также позволяет определить влияние испытательной жидкости на растворимый компонент пластмассы.
4 Общие требования к проведению испытаний
4.1 Испытательные жидкости
4.1.1 Выбор испытательной жидкости
Испытательную жидкость выбирают в соответствии с условиями эксплуатации пластмассы, или по согласованию заинтересованных сторон, или в соответствии с нормативным документом или технической документацией на пластмассу.
Если требуется информация о влиянии на пластмассу конкретной жидкости, используют эту жидкость в качестве испытательной.
Следует использовать испытательную жидкость квалификации х.ч., если иное не согласовано заинтересованными сторонами или указано в нормативном документе или технической документации на пластмассу.
Состав технических химических жидкостей обычно непостоянен.
Испытания следует проводить, используя заданные испытательные жидкости, чистые или в составе смеси, являющиеся по возможности типичными с точки зрения их влияния на испытуемые пластмассы. Происхождение и качество используемых технических жидкостей должно быть известно, рекомендуется также использовать жидкость только одной партии.
Если серию испытаний выполняют с использованием испытательной жидкости сомнительного состава, следует брать эту жидкость из одной емкости.
4.1.2 Виды испытательных жидкостей
4.2 Условия испытания
4.2.1 Температуры испытания
Предпочтительные температуры испытания:
a) (23 +/- 2) °C;
b) (70 +/- 2) °C.
Если при испытаниях необходимо использовать различные значения температуры в зависимости от условий эксплуатации пластмассы, эти значения следует выбирать из следующего ряда:
минус 269 °C; минус 196 °C; минус 161 °C; минус 70 °C; минус 55 °C; минус 40 °C; минус 25 °C; минус 10 °C; 0 °C; 5 °C; 25 °C; 40 °C; 55 °C; 70 °C; 85 °C; 100 °C; 105 °C; 125 °C; 150 °C; 175 °C; 200 °C; 225 °C; 250 °C; 275 °C; 300 °C; 350 °C; 400 °C; 450 °C; 500 °C; 600 °C; 700 °C; 800 °C; 900 °C; 1000 °C.
Примечание - Значения температуры - в соответствии с
[7].
Рекомендуемые температуры: 0 °C; 20 °C; 27 °C; 40 °C; 55 °C; 85 °C; 95 °C; 100 °C; 125 °C; 150 °C, допускаемое отклонение +/- 2 °C при температурах до 100 °C включительно и +/- 3 °C при температурах свыше 105 до 200 °C включительно.
Допускается проводить испытания при других температурах, в том числе при пониженных, если это предусмотрено в нормативном документе или технической документации на конкретную продукцию.
При испытаний труб из пластмасс можно использовать температуру 60 °C, указанную в приложении к
[7].
Если испытания требуется провести при температуре, превышающей температуру окружающей среды, рекомендуется выдержать при этой температуре в течение времени, равного времени испытания, еще одну группу образцов, а затем определить изменение свойств этих образцов после такой выдержки с целью создания возможности отличить влияние температуры от влияния испытательной жидкости.
При длительных испытаниях свойства образцов, хранящихся на воздухе при температуре 23 °C, могут изменяться, поэтому для сравнения рекомендуется подготовить дополнительную серию образцов для испытания.
4.2.2 Температура измерения
Температура, при которой следует проводить определение изменения массы, размеров и свойств образцов - (23 +/- 2) °C. Если температура испытательной жидкости другая, доводят температуру образца до 23 °C в соответствии с
4.6.3.
4.3 Продолжительность испытания
Рекомендуемое время выдержки образцов в испытательной жидкости:
a) 24 ч - для кратковременных испытаний;
b) 1 неделя - для обычных испытаний (при температуре 23 °C);
c) 16 недель - для длительных испытаний;
d) период времени (не более 5 лет), необходимый для установления сорбционного равновесия или нестойкости образцов пластмасс (явное растворение или химическая деструкция) к действию испытательной среды, для более точной оценки поведения пластмассы в данной испытательной жидкости.
Если необходимо использовать другое время выдержки, например если следует провести зависящие от времени испытания или построить кривую до достижения сорбционного равновесия, рекомендуется выбирать значения времени выдержки из следующего ряда:
a) 1 ч - 2 ч - 4 ч - 8 ч - 16 ч - 24 ч - 48 ч - 96 ч - 168 ч;
b) 1 неделя - 2 недели - 4 недели - 8 недель - 16 недель - 26 недель - 52 недели - 78 недель;
c) 1 год - 1,5 года - 2 года - 3 года - 4 года - 5 лет.
4.4 Образцы для испытания
В зависимости от определений, которые будут проводиться после извлечения образцов из испытательной жидкости (массы, линейных размеров, различных свойств, внешнего вида), и природы и формы испытуемых материалов (листы, пленка, стержни и т.д.), используют образцы различной формы и размеров.
Образцы могут быть изготовлены методом литья под давлением, прессования или способом механической обработки, при этом образец следует обработать так, чтобы он был гладким, без следов обугливания, связанного с механической обработкой.
Для материалов, указанных в
5.3.1 и
5.3.2, рекомендуются образцы в форме квадрата со стороной 60 мм, толщиной, определяемой природой пластмассы:
- для термопластов рекомендуемая толщина от 1,0 до 1,1 мм;
- для пластмасс, перерабатываемых методом литья под давлением, образцы - в соответствии с
[8];
- для полуфабрикатов и изделий из пластмасс образцы рекомендуется получать методом механической обработки по ГОСТ 26277, оставляя хотя бы одну необработанную поверхность;
- для композитов рекомендуемая толщина не менее 2 мм.
Примечание - На образцах толщиной на 1 мм более или менее рекомендуемой можно провести испытания для определения влияния толщины образцов на изменение массы, размеров, внешнего вида или количества поглощаемой жидкости.
Число испытуемых образцов указывают в нормативных документах или технической документации на пластмассу или метод испытания. При отсутствии таких указаний следует испытывать не менее трех образцов.
Образцы кондиционируют по
ГОСТ 12423 в стандартной атмосфере 23/50, класс 2.
Примечание - Для некоторых пластмасс, о которых известно, что они достигают равновесной температуры или равновесной влажности быстро или очень медленно, в нормативных документах или технической документации на пластмассу могут быть установлены более короткое или более длительное время кондиционирования (см.
приложение B).
4.6 Проведение испытания
4.6.1 Объем испытательной жидкости
Объем испытательной жидкости - не менее 8 см3 на 1 см2 общей площади поверхности образца с целью исключения слишком высокой концентрации любых экстрагируемых веществ в жидкости в течение испытания. Испытательная жидкость должна покрывать образцы полностью.
При испытании пластмасс, имеющих тенденцию к растворению или содержащих экстрагируемые вещества, следует использовать не менее 20 см3 на 1 см2 общей площади поверхности образца.
Примечание - В нормативных документах или технической документации на конкретную продукцию может быть установлен другой объем жидкости, например для жесткого поливинилхлорида и труб из полиолефинов, в которых количество экстрагируемых веществ, согласно имеющимся данным, очень мало, может быть использован меньший объем испытательной жидкости.
4.6.2 Размещение образцов
Каждую группу образцов помещают в сосуд (см.
5.2) так, чтобы они полностью были погружены в испытательную жидкость (при необходимости используют груз). Если испытывают несколько аналогичных пластмасс, допускается помещение нескольких групп образцов в один сосуд.
Проверяют, чтобы лишь незначительная часть поверхности каждого образца соприкасалась с поверхностями других образцов, со стенками сосуда или с грузом, который используется.
Рекомендуется, чтобы образцы не соприкасались друг с другом, а груз не использовался.
В процессе испытаний испытательную жидкость перемешивают при помощи мешалки не реже одного раза в сутки и периодически, но не реже двух раз в смену, визуально контролируют ее объем в сосуде. Вязкие жидкости перемешивают непрерывно.
Если испытания продолжаются более семи суток, заменяют испытательную жидкость равным объемом исходной жидкости через каждые семь дней (см.
4.6.3, примечание 2).
Если используют нестабильную жидкость (например, раствор гипохлорита натрия), ее заменяют чаще.
Если предполагается, что свет оказывает влияние на действие испытательной жидкости, рекомендуется выполнять испытания в темноте или при определенном освещении.
В некоторых случаях может оказаться необходимым установить высоту уровня испытательной жидкости над образцами (например, если существует риск окисления) или проводить измерения объема абсорбированной жидкости. Объем жидкости, абсорбированный образцами, определяют как разность начального и конечного объемов жидкости. Если необходимо определить эту величину, следует использовать аппаратуру, которая позволяет измерять только объем жидкости.
4.6.3 Промывка и протирка образцов
В конце времени выдержки температуру образцов доводят до температуры окружающей среды, в случае необходимости быстро перемещая их в свежую порцию испытательной жидкости, имеющей температуру окружающей среды, и оставляя их в ней на время от 15 до 30 мин.
Используют одну из следующих процедур промывки образцов после их извлечения из испытательной жидкости:
a) если образцы выдерживались в кислотном, щелочном или другом водном растворе, их промывают дистиллированной водой, масса которой не менее чем в 100 раз превышает массу образца для испытания. Гигроскопичные жидкости, например концентрированная серная кислота, могут оставаться адсорбированными на поверхности образцов даже после промывки, поэтому для исключения накопления влаги перед и во время взвешивания требуется немедленная специальная обработка - образцы дополнительно промывают проточной водой с последующей промывкой дистиллированной водой;
b) если образцы выдерживались в нелетучих, нерастворимых в воде органических жидкостях, их ополаскивают неагрессивным, но летучим растворителем, например лигроином.
Примечания
1 Для образцов, выдержанных в летучих жидкостях, например в ацетоне или спирте, при температуре окружающей среды, ополаскивание и протирку можно не проводить.
Образцы насухо протирают фильтровальной бумагой или не оставляющей ворса тканью.
2 Если требуется проверить испытательную жидкость в конце испытания, проверку осуществляют путем визуального осмотра, измерением объема или массы неабсорбированной жидкости или более тщательной проверки, включающей, например, титрование.
Если испытательная жидкость была заменена в процессе испытания, такую проверку не проводят.
4.7 Обработка результатов
4.7.1 Количественное выражение
В дополнение к результатам измерений, выполненных до и после выдержки в испытательной жидкости, значение свойства после выдержки (X2) можно выразить (за исключением частных случаев изменения массы) как долю, %, от значения свойства до выдержки (X1) по формуле

. (1)
4.7.2 Графическое выражение
Если определяют зависимость полученных результатов от времени выдержки, рекомендуется строить график. На ось ординат наносят результаты, полученные при измерении (включая исходный результат), или разности результатов, на ось абсцисс - значения времени выдержки t. Если необходимо сократить шкалу времени, можно использовать шкалу t0,5 или логарифмическую шкалу.
В
ГОСТ 4650 рекомендуется использовать двойной логарифмический график, например зависимости массы или объема поглощенной жидкости от времени выдержки, что позволяет определять равновесную концентрацию и коэффициент диффузии в течение кратковременной выдержки, если абсорбция коррелирует с законами Фика.
5 Определение изменений массы, размеров и внешнего вида
5.1 Общие положения
При необходимости измерения проводят на одних и тех же образцах.
Следует использовать не менее трех образцов.
5.2.1 Для определения всех показателей
5.2.1.1 Стеклянные
сосуды -
банки, химические стаканы соответствующих размеров с крышками, при использовании легколетучих и выделяющих пары испытательных жидкостей применяют сосуды с герметичными крышками или снабженные обратными холодильниками.
Сосуды должны быть стойкими к действию испытательных жидкостей. Сосуды с герметичными крышками следует использовать при проведении испытаний при температуре выше температуры окружающей среды для уменьшения испарения испытательной жидкости.
5.2.1.2 Термостат или жидкостная баня, в которых поддерживается заданная температура в пределах +/- 2 °C. Если испытания проводят при повышенных температурах с использованием летучих жидкостей, следует обеспечить вентиляцию.
5.2.1.3 Термометр с ценой деления 1 °C.
5.2.1.4 Термошкаф с вентилятором (при необходимости), позволяющий поддерживать заданную температуру сушки.
Если нет других указаний, используют термошкаф, обеспечивающий температуру (50 +/- 2) °C.
5.2.2 Для определения изменений массы
5.2.2.1 Стеклянный сосуд для взвешивания с крышкой.
5.2.2.2 Весы, обеспечивающие взвешивание в граммах с точностью до третьего десятичного знака образцов массой, равной 1 г и более, и с точностью до четвертого десятичного знака образцов с массой менее 1 г.
5.2.3 Для определения изменения размеров и объема
5.2.3.1 Микрометр, позволяющий выполнять измерения с точностью до 0,01 мм.
5.2.3.2 Штангенциркуль, позволяющий выполнять измерения с точностью до 0,1 мм.
5.2.3.3 Градуированная стеклянная трубка для определения начального объема образца.
5.2.3.4 Аппарат для выдержки образцов, позволяющий определять объем оставшейся жидкости, представляющий собой две герметичные стеклянные колбы, соединенные градуированной стеклянной трубкой (см.
рисунок 1 a). Чтобы начать погружение, аппарат поворачивают на 180° так, чтобы образцы в колбе
1 погрузились в испытательную жидкость (см.
рисунок 1 b). Для определения объема оставшейся испытательной жидкости аппарат поворачивают в первоначальное положение. Испытательная жидкость перетекает в колбу
2, и изменение ее объема определяют на шкале капилляра (см.
рисунок 1 c). После определения объема жидкости аппарат вновь поворачивают на 180° и продолжают погружение.
1 - колба 1; 2 - колба 2; 3 - испытательная жидкость;
4 - образец; Va - объем испытательной жидкости
перед погружением образца; Vb - объем испытательной
жидкости после погружения образца
Рисунок 1 - Аппарат для выдержки образцов
в испытательной жидкости
5.3 Образцы для испытания
5.3.1 Пластмассы, перерабатываемые методом литья под давлением и прессования
Используют образцы в форме квадрата со стороной (60 +/- 1) мм, толщиной от 1,0 до 1,1 мм. Образцы изготавливают по режимам, указанным в нормативных документах или технической документации на пластмассу (или при условиях, указанных изготовителем).
Примечания
1 Общие принципы изготовления образцов методами литья под давлением и прессования приведены в
ГОСТ 12019 и ГОСТ 12015.
2 По соглашению заинтересованных сторон используют образцы в форме квадрата со стороной 50 мм, толщиной 4 мм. При использование образцов толщиной 4 мм время, необходимое для достижения равновесия, увеличивается примерно в 16 раз по сравнению с образцами толщиной 1 мм.
3 Допускается использовать образцы в форме диска диаметром (50 +/- 1) мм, толщиной (3,0 +/- 0,2) мм.
5.3.2 Пластмассы, перерабатываемые методом экструзии
Используют образцы в форме квадрата со стороной (60 +/- 1) мм, толщиной от 1,0 до 1,1 мм. Образцы могут быть вырезаны, например, из листа требуемой толщины, изготовленного согласно нормативному документу или технической документации на соответствующий материал, или при условиях, указанных поставщиком материала.
По согласованию между заинтересованными сторонами используют образцы в форме квадрата со стороной (60 +/- 1) мм, толщиной (2,0 +/- 0,1) мм.
Допускается использовать образцы в форме диска диаметром (50 +/- 1) мм, толщиной (3,0 +/- 0,2) мм и в форме квадрата со стороной (50 +/- 1) мм, толщиной (4,0 +/- 0,2) мм.
5.3.3 Листы, плиты, пленочные и слоистые материалы
Используют образцы в форме квадрата со стороной (60 +/- 1) мм, которые изготавливают из листов или плит путем механической обработки по ГОСТ 26277, вырубают из пленочных материалов, вырезают из слоистого материала.
Допускается использовать образцы в форме квадрата со стороной (50 +/- 1) мм или диска диаметром (50 +/- 1) мм.
Если номинальная толщина листа или плиты менее или равна 25 мм, толщина образцов равна толщине листа или плиты.
Если номинальная толщина листа или плиты превышает 25 мм и если нет других указаний, толщину образцов следует уменьшить до размера от 1,0 до 1,1 мм или от 2,0 до 2,1 мм методом механической обработки только одной стороны.
Толщина образцов, изготовленных из пленочного или слоистого материала, равна толщине пленочного или слоистого материала. Торцевую часть образцов, изготовленных из слоистого материала, следует защищать связующим, состав которого соответствует составу слоистого материала.
Примечание - В случае диффузии, подчиняющейся закону Фика, время достижения равновесия увеличивается пропорционально квадрату толщины образца. Например, при использовании образцов толщиной 25 мм для достижения равновесия обычно требуется более пяти лет.
5.3.4 Трубы и стержни
5.3.4.1 Трубы
Если нет других указаний в нормативном документе или технической документации на трубы, используют образец, представляющий собой отрезок трубы длиной (60 +/- 1) мм, который отрезан от трубы под прямым углом к его продольной оси.
Для труб наружным диаметром более 60 мм из отрезка трубы длиной (60 +/- 1) мм вырезают образцы шириной (60 +/- 1) мм путем разрезания этого отрезка таким образом, чтобы, развернув разрезанный отрезок трубы, получить образец шириной (60 +/- 1) мм при измерении по наружной поверхности.
Допускается для труб с наружным диаметром менее 50 мм в качестве образца использовать отрезок трубы длиной (50 +/- 1) мм, а для труб с наружным диаметром, равным или большим 50 мм, вырезать образцы шириной и длиной (50 +/- 1) мм.
5.3.4.2 Стержни
Для стержней диаметром меньшим или равным 60 мм образцы представляют собой отрезки стержня длиной (60 +/- 1) мм, полученные путем отрезания под прямым углом к продольной оси стержня.
Для стержней диаметром более 60 мм используют образцы в виде отрезков стержня длиной (60 +/- 1) мм, диаметром, уменьшенным до (60 +/- 1) мм с помощью механической обработки.
Допускается использовать образцы, размер которых не превышает (50 +/- 1) мм в любом направлении, если диаметр стержня превышает (50 +/- 1) мм, следует уменьшить его путем механической обработки.
5.3.5 Профили
Если нет других указаний в нормативном документе или технической документации на профили, отрезают часть секции профиля длиной (60 +/- 1) мм и используют ее в качестве образца для испытаний. Обеспечивают толщину части секции, насколько это возможно, от 1,0 до 1,1 мм, при необходимости используя механическую обработку только с одной стороны. Значение необходимой толщины и условия механической обработки следует согласовывать между заинтересованными сторонами.
5.4 Определение изменений массы образцов
5.4.1 Проведение испытания
5.4.1.1 Кондиционирование
Кондиционирование образцов проводят по
4.5, условия испытаний выбирают в соответствии с
4.1 -
4.3.
5.4.1.2 Определение начальной массы
Определяют массу каждого образца m1 путем взвешивания, результат взвешивания в граммах записывают с точностью до третьего десятичного знака для образцов массой большей или равной 1 г или с точностью до четвертого десятичного знака для образцов массой менее 1 г.
Помещают образцы в испытательную жидкость согласно
4.6.2.
5.4.1.3 Определение массы немедленно после извлечения из испытательной жидкости
После извлечения из испытательной жидкости промывают и протирают образцы согласно
4.6.3 и помещают каждый образец в тарированный сосуд для взвешивания, закрывают его и определяют массу образца
m2, результат взвешивания записывают с точностью, указанной в
5.4.1.2.
Если испытательная жидкость при температуре окружающей среды летучая, время, в течение которого образцы подвергаются воздействию воздуха, не должно превышать 30 с.
Если после взвешивания испытания следует продолжить (например, если определяют зависимость результатов испытания от времени), немедленно вновь помещают образцы в испытательную жидкость и устанавливают сосуды с образцами в термостат или жидкостную баню.
5.4.1.4 Определение массы немедленно после извлечения и после сушки
После взвешивания по
5.4.1.3 извлекают образцы из сосудов для взвешивания и сушат их в термошкафу при заданной температуре до достижения постоянной массы. Образцы толщиной 1 мм сушат при температуре (50 +/- 2) °C обычно в течение 2 ч.
Охлаждают образцы, если необходимо, повторно кондиционируют их по
4.5 и определяют массу
m3 каждого образца.
Примечание - По соглашению заинтересованных сторон повторное кондиционирование можно не проводить.
5.4.1.5 Определение массы только после сушки
Немедленно после извлечения из испытательной жидкости промывают и протирают образцы согласно
4.6.3, затем помещают их в термошкаф и выполняют операции
(сушат и взвешивают образцы) аналогично
5.4.1.4.
5.4.2 Обработка результатов
5.4.2.1 Для каждого образца записывают массу, мг:
a) перед выдержкой, m1;
b) немедленно после извлечения из испытательной жидкости, m2;
c) после извлечения из испытательной жидкости, сушки и повторного кондиционирования, m3.
При необходимости вычисляют значения (m2 - m1) и/или (m3 - m1) и записывают полученные значения с указанием знака.
5.4.2.2 Кроме того, вычисляют:
Изменение массы на единицу площади
Для каждого образца вычисляют увеличение или уменьшение массы на единицу площади, мг/см2, по формулам:
- немедленно после извлечения из жидкости (если необходимо)

; (2)
- после извлечения, сушки и повторного кондиционирования

, (3)
где A - начальная площадь поверхности образца, см2.
Изменение массы
Для каждого образца вычисляют увеличение или уменьшение массы, %, по формулам:
- немедленно после извлечения из жидкости (если необходимо)

; (4)
- после извлечения, сушки и повторного кондиционирования

. (5)
5.4.2.3 Для каждого показателя вычисляют среднеарифметическое значение результатов испытания образцов, взятых от одной и той же выборки.
5.5 Определение изменений размеров
5.5.1 Проведение испытания
5.5.1.1 Кондиционирование
Кондиционирование образцов проводят по
4.5, условия испытаний выбирают в соответствии с
4.1 -
4.3.
5.5.1.2 Определение начальных размеров
5.5.1.2.1 Образцы в форме квадрата или диска
Маркируют четыре стороны каждого образца в форме квадрата и, используя штангенциркуль, измеряют длину каждой стороны, записывая результат в миллиметрах с точностью до первого десятичного знака. Для образцов в форме диска измеряют два взаимно перпендикулярных диаметра. Вычисляют среднеарифметическое значение l1 или d1.
Используя микрометр, измеряют толщину образцов в четырех отмеченных точках, расположенных на расстоянии не менее 10 мм от краев образцов, записывая результат в миллиметрах с точностью до второго десятичного знака. Вычисляют среднеарифметическое значение h1.
5.5.1.2.2 Стержни и профили
Используя штангенциркуль, измеряют длину l1 образцов, записывая результат в миллиметрах с точностью до первого десятичного знака.
Используя микрометр, в четырех отмеченных точках измеряют толщину образцов, записывая результат в миллиметрах с точностью до второго десятичного знака. Вычисляют среднеарифметическое значение h1.
Если толщина профиля не одинакова, ее измеряют в двух зонах, имеющих различную толщину.
5.5.1.2.3 Трубы
Определяют среднеарифметические значения наружного диаметра
d1, длины
l1 и толщины стенки
h1, как указано в ГОСТ 18599,
8.3.
5.5.1.3 Определение начального объема
Измеряют объем образцов
V1 при температуре 23 °C, используя градуированную стеклянную трубку
(5.2.3.3).
5.5.1.4 Погружение образцов
Помещают образцы в испытательную жидкость согласно
4.6.2.
5.5.1.5 Определение размеров немедленно после извлечения из испытательной жидкости
После извлечения из испытательной жидкости промывают и протирают образцы согласно
4.6.3 и определяют размеры каждого образца, как указано в
5.5.1.2. Записывают среднеарифметические значения
d2,
l2 и
h2 или
V2.
Определение размеров следует проводить очень быстро.
5.5.1.6 Определение размеров немедленно после извлечения из испытательной жидкости и после просушивания
После определения размеров по
5.5.1.5 сушат образцы в термошкафу при заданной температуре в течение заданного времени, обычно в течение 2 ч при температуре (50 +/- 2) °C.
Охлаждают образцы, если необходимо, повторно кондиционируют их по
4.5 и определяют размеры каждого образца, как указано в
5.5.1.2.
Записывают среднеарифметические значения d3, l3 и h3 или V3.
Примечание - По соглашению заинтересованных сторон повторное кондиционирование можно не проводить.
5.5.1.7 Определение размеров только после сушки
Немедленно после извлечения из испытательной жидкости промывают и протирают образцы согласно
4.6.3, затем помещают их в термошкаф и выполняют операции (
сушат и взвешивают образцы) аналогично
5.5.1.6.
5.5.1.8 Измерение объема поглощенной испытательной жидкости
Определяют объем поглощенной испытательной жидкости согласно
5.2.3.4, то есть как разность между начальным объемом и объемом, остающимся после извлечения образцов.
5.5.2 Обработка результатов
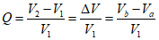
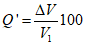
5.5.2.1 Вычисляют начальные и конечные размеры и/или объемы образцов, а также коэффициент набухания, Q, безразмерная величина или %, по формулам

; (6)

. (7)
Если коэффициент набухания равен нулю, это означает, что испытательная жидкость не оказывает влияние на образец.
5.5.2.2 Вычисляют среднеарифметическое значение результатов испытания образцов, взятых от одной и той же выборки.
5.5.2.3 При необходимости строят графики зависимости полученных результатов от времени выдержки (см.
4.7.2).
5.6 Определение изменения цвета и/или других характеристик внешнего вида
5.6.1 Общие положения
Определение изменения цвета и других характеристик внешнего вида можно проводить как совместно с другими испытаниями, приведенными в настоящем стандарте, так и отдельно. В любом случае готовят дополнительные образцы для сравнения.
5.6.2 Проведение испытания
5.6.2.1 Если изменение цвета или других характеристик внешнего вида определяют совместно с определением одного из приведенных в настоящем стандарте показателей, используют методику, установленную для определения этого показателя.
5.6.2.2 Если изменение цвета или других характеристик внешнего вида определяют отдельно, используют общую методику (см.
раздел 4), которую заинтересованные стороны
при необходимости уточняют между собой.
5.6.2.3 Осматривают каждый образец, сравнивая его с образцом, не подвергавшимся испытанию, и отмечают все изменения следующих свойств, используя оценки, приведенные в
таблице 1.
a) цвет:
- с помощью инструментальных методов;
- методом визуальной оценки, используя серую шкалу;
b) другие характеристики внешнего вида:
- с помощью инструментальных методов (блеск, прозрачность);
- методом визуальной оценки изменений характеристик внешнего вида:
- появление микротрещин и крупных трещин;
- появление пузырей, точечных дефектов и других аналогичных дефектов;
- наличие областей, легко поддающихся истиранию;
- проявление липкости;
- отслоение, коробление или другие дефекты;
- частичное разрушение.
Качественная оценка изменений |
Без изменений |
Почти незаметные изменения |
Незначительные изменения |
Умеренные изменения |
Значительные изменения |
5.6.3 Обработка результатов
Визуальную оценку изменения внешнего вида обозначают согласно данным, приведенные в
таблице 1.
В протоколе отдельно записывают результаты испытаний образцов, которые были выдержаны в испытательной жидкости, а затем извлечены и протерты насухо, и тех образцов, которые сушили в термошкафу и подвергали повторному кондиционированию.
6 Определение изменений других свойств
6.1 Общие положения
Можно определять изменение механических, электрических, термических и оптических свойств
пластмасс в ненапряженном состоянии (см. 6.2 - 6.6), а также изменение механических свойств пластмасс в напряженно-деформированном состоянии (см. 6.7).
6.2.1 Аппаратура, указанная в
5.2, кроме весов, если они не требуются в специальных случаях.
6.2.2 Дополнительная аппаратура, приведенная в стандартах на соответствующие методы испытаний.
6.3 Образцы для испытания
6.3.1 Форма и размеры
Для испытания применяют образцы, форма и размеры которых указаны в соответствующих стандартах на методы испытаний.
Если в стандартах допускается использование образцов для испытания различных размеров, рекомендуется выбирать образец, имеющий толщину наиболее близкую к 4 мм (см.
примечание в разделе 3).
6.3.2 Изготовление образцов
Образцы изготавливают согласно нормативным документам или технической документации на материал.
Значения некоторых показателей зависят от наличия внутренних напряжений в образцах для испытания, поэтому при оценке готовых изделий рекомендуется получать образцы для испытаний из этих изделий методом механической обработки по ГОСТ 26277, а не изготавливать их методами литья под давлением или экструзии.
6.3.3 Количество образцов
Количество образцов - в соответствии с требованиями стандарта на соответствующий метод испытания. Если при испытании образец изменяется, например разрушается, предусматривают подготовку дополнительных образцов.
6.4 Проведение испытания
6.4.1 Кондиционирование и измерение начальных значений определяемых показателей
Кондиционирование образцов проводят по
4.5, условия испытаний выбирают в соответствии с
4.1 -
4.3.
Определяют начальные значения выбранных показателей согласно соответствующему методу испытаний.
Погружают образцы в испытательную жидкость согласно
4.6.2.
6.4.2 Определение показателей немедленно после извлечения из испытательной жидкости
После извлечения из испытательной жидкости промывают и вытирают образцы согласно
4.6.3 и вновь определяют значения показателей согласно
6.4.1.
Если при испытаниях используется испытательная жидкость, летучая при температуре окружающей среды, определение показателей следует проводить в течение 2 - 3 мин после извлечения образцов из испытательной жидкости.
6.4.3 Определение показателей после извлечения из испытательной жидкости и после просушивания
После выполнения действий в соответствии с
6.4.2 сушат образцы в термошкафу, в котором поддерживается заданная температура в течение заданного времени, если какие-либо указания отсутствуют - при температуре (50 +/- 2) °C в течение (120 +/- 15) мин.
Охлаждают образцы и, если необходимо, повторно кондиционируют их по
4.5, а затем определяют показатели согласно соответствующим стандартам на методы испытаний.
Примечание - По соглашению заинтересованных сторон повторное кондиционирование можно не проводить.
6.4.4 Определение показателей только после сушки
Немедленно после извлечения из испытательной жидкости промывают и вытирают образцы согласно
4.6.3, затем помещают их в термошкаф и выполняют действия согласно
6.4.3.
6.5 Обработка результатов
6.5.1 Вычисляют значения показателей согласно соответствующим стандартам на методы испытаний.
При необходимости вычисляют среднеарифметические значения указанных ниже величин:
Y1 - значение показателя каждого образца перед погружением (или для контрольного образца);
Y2 - значение показателя каждого образца немедленно после извлечения из жидкости;
Y3 - значение показателя каждого образца после извлечения из жидкости, сушки и повторного кондиционирования.
6.5.2 В случае прогнозируемых характеристик (то есть тех, которые изменяются в соответствии с известным законом), вычисляют отношение значения каждого показателя к его начальному значению, %, по формулам:

, (8)

. (9)
Полученные данные могут быть больше, равны или меньше 100%. Значение, точно равное 100%, показывает, что испытательная жидкость не оказывает никакого влияния.
6.5.3 При необходимости строят графики зависимости полученных результатов от времени погружения.
6.6 При необходимости проводят предварительную оценку стойкости пластмасс к действию химических сред по изменению механических показателей.
6.6.1 Изменение механического показателя (увеличение или уменьшение его по сравнению с начальным значением) после пребывания образцов в испытательной жидкости
, %, вычисляют по формуле

, (10)
где G4 - среднеарифметическое значение определяемого механического показателя после выдержки образца в испытательной жидкости;
G3 - среднеарифметическое значение определяемого механического показателя в исходном состоянии до погружения в испытательную жидкость.
6.6.2 Изменение механического показателя после сушки и повторного кондиционирования
, %, вычисляют по формуле

, (11)
где G5 - среднеарифметическое значение определяемого механического показателя после сушки и повторного кондиционирования.
6.6.3 Результаты всех вычислений округляют до целых чисел.
6.6.4 Предварительную оценку стойкости пластмасс к действию испытательной жидкости проводят по изменению механических показателей пластмассы в соответствии с таблицей 2.
Тип пластмассы | Оценка стойкости | Изменение показателя |
Термопласты | Хорошая | От 0 до 10 |
Удовлетворительная | Св. 10 до 15 |
Плохая | Св. 15 |
Реактопласты | Хорошая | От 0 до 15 |
Удовлетворительная | Св. 15 до 25 |
Плохая | Св. 25 |
6.7 Определение растрескивания образцов пластмасс
(Испытания в напряженно-деформированном состоянии)
6.7.1 Аппаратура
| | ИС МЕГАНОРМ: примечание. В официальном тексте документа, видимо, допущена опечатка: имеется в виду рисунок 2, а не 1. | |
Приспособление для создания напряженно-деформированного состояния (эллипс), с помощью которого достигаются переменные по длине образца нормальные напряжения и деформации (см. рисунок 1).
1 - эллипс; 2 - винт; 3 - прижимная планка;
4 - шкала отсчета
Рисунок 2 - Приспособление для создания
напряженно-деформированного состояния
Приспособление изготавливают из стали 12 x
18Н10Т по ГОСТ 5632 или другого материала, стойкого к воздействию испытательной жидкости, по размерам, указанным в таблице 3.
Таблица 3
Размеры полуосей приспособления для определения
растрескивания пластмасс в зависимости
от их модуля упругости при изгибе
Модуль упругости при изгибе, МПа | Размеры полуосей, см |
Большая - a | Малая - b |
Менее или равен (10 - 15)·102 | 8 | 4,0 |
8 | 2,7 |
5 | 1,0 |
Более (10 - 15)·102 | 16 | 5,5 |
16 | 4,0 |
Микроскоп с увеличением в 50x.
Испытательные жидкости по 4.1.2.
6.7.2 Подготовка к испытанию
6.7.2.1 Для испытания применяют образцы пластмасс в форме полосок толщиной от 1 до 2 мм и шириной 20 мм, изготовленные прессованием, литьем под давлением или механической обработкой из листового или слоистого материала. Размеры приспособления для испытания (см. рисунки 2 и 3 и таблицу 3).
a - большая полуось; b - малая полуось
Рисунок 3 - Схема приспособления (эллипс)
6.7.2.2 Количество образцов для испытания - не менее трех.
6.7.2.3 На поверхности образцов для испытания до погружения их в испытательную жидкость не должно быть загрязнений, царапин и других дефектов.
6.7.3 Проведение испытания
6.7.3.1 Перед испытанием измеряют толщину образца не менее чем в пяти различных точках с точностью до 0,001 мм.
Образец закрепляют на приспособлении и погружают в сосуд с испытательной жидкостью.
6.7.3.2 Объем взятой испытательной жидкости согласно 4.1.
В процессе испытаний испытательную жидкость перемешивают при помощи мешалки не реже одного раза в сутки и периодически, но не реже двух раз в смену, визуально контролируют ее объем в сосуде. Вязкие испытательные жидкости перемешивают непрерывно.
Если при испытаниях необходимо использовать различные значения температуры в зависимости от условий эксплуатации пластмассы, эти значения следует выбирать из следующего ряда:
20 °C; 23 °C; 27 °C; 40 °C; 50 °C; 55 °C; 60 °C; 70 °C; 80 °C; 85 °C; 100 °C; 125 °C; далее с интервалом 25 °C, допускаемое отклонение +/- 2 °C.
Допускается проводить испытания при других температурах, в том числе при пониженных, если это предусмотрено в нормативном документе или технической документации на конкретную продукцию.
Продолжительность проведения испытания согласно 4.3, если нет других указаний.
6.7.3.3 Одновременно проводят испытания контрольных образцов при той же температуре без воздействия испытательной жидкости.
6.7.3.4 Приспособление помещают под микроскоп и определяют на образце по шкале отсчета (см. рисунок 3) длину участка растрескивания, z, см. За результат испытания принимают среднеарифметическое значение трех определений.
При промежуточных определениях длины участка растрескивания после осмотра образцов для испытания приспособление с образцами немедленно погружают в сосуд с испытательной жидкостью.
6.7.4 Обработка результатов
6.7.4.1 Деформацию растрескивания,
, вычисляют по формуле

, (12)
где a - длина большой полуоси эллипса, см;
b - длина малой полуоси эллипса, см;
- толщина образца, см;
y - эксцентриситет, равный
;
z - длина участка растрескивания, см.
6.7.4.2 Условное напряжение растрескивания, 
,
МПа, вычисляют по формуле

, (13)
где
- деформация растрескивания;
Eизг - модуль упругости при изгибе по ГОСТ 9550, МПа.
6.7.5 Результаты испытания оформляют протоколом.
Протокол испытания должен содержать:
- обозначение настоящего стандарта;
- наименование испытанной пластмассы, метод и режим изготовления образцов для испытания;
- толщину образца;
- наименование испытательной жидкости, температуру и продолжительность испытания;
- деформацию растрескивания;
- модуль упругости при изгибе;
- условное напряжение растрескивания;
- дату проведения испытания.
В настоящее время данные по прецизионности настоящего метода отсутствуют. Когда данные межлабораторных испытаний будут получены, к настоящему стандарту будет подготовлено изменение.
Протокол испытания должен содержать:
a) ссылку на настоящий стандарт;
b) всю информацию, необходимую для идентификации испытуемого материала или изделия;
c) форму и размеры образца, метод его изготовления, состояние поверхности и т.д.;
d) режим кондиционирования;
e) используемую испытательную жидкость, температуру и время выдержки образца, любые другие применяемые условия (освещается образец или находится в темноте, воздействие паров и т.д.);
f) температуру и время сушки;
g) используемые методы визуального контроля;
h) определяемые показатели и использованные методы испытаний;
i) результаты, полученные согласно
4.7,
5.4.2,
5.5.2,
5.6.3 и/или
6.5,
6.6, а также графические данные и функциональные зависимости от времени, если они были получены;
j) если требуется, результаты проверки испытательной жидкости после испытаний;
k) любые обстоятельства, которые могли бы повлиять на результаты.
(обязательное)
ТИПЫ ИСПЫТАТЕЛЬНЫХ ЖИДКОСТЕЙ
A.1 В
таблицах A.1 и
A.2 приведены данные о химических реагентах и различных продуктах, которые могут быть использованы в качестве испытательных жидкостей по соглашению между заинтересованными сторонами.
Все применяемые химические реагенты должны иметь квалификацию х.ч. или ч.д.а., если иное не согласовано заинтересованными сторонами.
ПРЕДОСТЕРЕЖЕНИЕ - Подготовка некоторых из этих жидкостей путем растворения концентрированных веществ может представлять опасность и должна выполняться согласно соответствующим инструкциям.
A.2 Опасности, связанные с работой с этими продуктами, а также необходимые меры предосторожности обозначены следующим образом:
A - продукты, имеющие коррозионные свойства различной степени, которые никогда не должны контактировать с кожей или одеждой. Используют только безопасные пипетки.
B - горючие продукты, работа с которыми вблизи источника зажигания не допускается.
C - продукты, выделяющие раздражающие или токсичные пары, с которыми следует работать только в вытяжном шкафу с эффективной вентиляцией.
Таблица A.1
Перечень испытательных жидкостей
Наименование испытательной жидкости | Раствор, массовая доля, % | Примечание | Меры предосторожности, см. A.1 и A.2 |
| 5 100 | - | A + C |
| 100 | - | B |
| 25 10 | Получают, разбавляя раствор с массовой долей 25% по ГОСТ 3760 дистиллированной водой | A + C |
| 100 | | A + C |
Хромовая кислота | 40 | Получают, используя хромовый технический ангидрид по ГОСТ 2548 и серную кислоту по ГОСТ 4204 | A + C |
| 10 | | |
Диэтиловый эфир | 100 | | B + C |
| | | |
Спирт этиловый ректификованный технический | 96 | | B |
50 | Получают, разбавляя раствор с массовой долей 96% дистиллированной водой |
| 100 | | B + C |
| 100 | | B |
| 35 - 38 | | |
10 | Получают, разбавляя раствор с массовой долей от 35 до 38% по ГОСТ 3118 дистиллированной водой | A + C |
| 40 | | A + C |
| 3 | | A |
30 |
Молочная кислота | 10 | | |
| 100 | | B + C |
Азотная кислота | 70 | Получают разбавлением азотной концентрированной кислоты по ГОСТ 701 дистиллированной водой | A |
40 10 | Получают разбавлением азотной кислоты по ГОСТ 4461 дистиллированной водой |
Олеиновая кислота | 100 | | |
Фенол по ГОСТ 23519 | 5 | | A |
Натрий углекислый | 20 2 | Получают растворением натрия углекислого по ГОСТ 84 в дистиллированной воде | A |
Натрий хлористый | 10 | Получают растворением хлористого натрия по ГОСТ 4233 в дистиллированной воде | A |
Гидроокись натрия | 40 1 | Получают растворением гидроокиси натрия по ГОСТ 4328 в дистиллированной воде | A |
Гипохлорит натрия | 10 | Получают растворением технического гипохлорита натрия | A + C |
Серная кислота | 98 | Получают, укрепляя серную кислоту по ГОСТ 4204 олеумом | A |
75 30 10 5 3 | Получают, разбавляя серную кислоту по ГОСТ 4204 дистиллированной водой |
| 100 | | B |
2,2,4-триметилпентан (изооктан) | 100 | | B |
Примечание - Если во время использования фтористоводородная кислота попадет на кожу, следует немедленно обработать кожу раствором или гелем глюконата кальция. |
Таблица A.2
Различные продукты
(испытательные жидкости)
Наименование продукта | Примечание | Меры предосторожности, см. A.1 и A.2 |
| | B |
Оливковое масло | Качество по согласованию заинтересованных сторон | |
Хлопковое масло | |
Растворители | B |
Мыльный раствор | Раствор с массовой долей 1% | |
Керосин | Качество по согласованию заинтересованных сторон | B |
Нефрас | B |
(справочное)
ПОГЛОЩЕНИЕ ВЛАГИ ОБРАЗЦАМИ ПЛАСТМАСС В РАВНОВЕСНОМ СОСТОЯНИИ
С АТМОСФЕРОЙ КОНДИЦИОНИРОВАНИЯ
B.1 Количество и скорость поглощения влаги образцами, подвергающимися кондиционированию во влажной атмосфере, значительно меняются в зависимости от типа пластмассы.
B.2 Процедуры кондиционирования, установленные в настоящем стандарте (см.
4.5), обычно являются удовлетворительными, кроме следующих исключений:
a) материалы, о которых известно, что равновесное состояние достигается только через очень длительный период времени (например, некоторые полиамиды);
b) новые материалы или материалы с неизвестной структурой, для которых невозможно сделать первоначальный прогноз их способности поглощать влагу или времени, необходимого для достижения равновесия.
B.3 Для материалов, указанных в
B.2, можно использовать одну из следующих процедур:
a) просушивание материала при повышенной температуре. Недостаток этой процедуры в том, что некоторые показатели пластмассы, например механические, после просушивания отличаются от получаемых после кондиционирования при температуре (23 +/- 2) °C и относительной влажности (50 +/- 10)%;
b) кондиционирование образцов в атмосфере 23/50, класс 2 по
ГОСТ 12423 до достижения равновесия. В этом случае критерием может быть постоянство массы в пределах 0,1% при двух определениях, разделенных по времени интервалом
h2 недель (
h - толщина образца, в миллиметрах).
Для некоторых пластмасс достаточно построить график зависимости массы от времени с интервалами времени значительно меньшими, чем величина h2 недель; для использования в практических целях равновесие будет считаться достигнутым, когда наклон графика, выраженный в процентах, эквивалентен 0,1% за h2 недель.
(справочное)
СВЕДЕНИЯ О СООТВЕТСТВИИ ССЫЛОЧНЫХ МЕЖГОСУДАРСТВЕННЫХ
СТАНДАРТОВ МЕЖДУНАРОДНЫМ СТАНДАРТАМ, ИСПОЛЬЗОВАННЫМ
В КАЧЕСТВЕ ССЫЛОЧНЫХ В ПРИМЕНЕННОМ МЕЖДУНАРОДНОМ СТАНДАРТЕ
| | ИС МЕГАНОРМ: примечание. Нумерация таблицы дана в соответствии с официальным текстом документа. | |
Таблица А.1
Обозначение ссылочного межгосударственного стандарта | Степень соответствия | Обозначение и наименование ссылочного международного стандарта |
ГОСТ 12015-66 | NEQ | ISO 295 "Пластмассы. Изготовление образцов из термореактивных материалов методом прямого прессования" |
| NEQ | ISO 294-3 "Пластмассы. Литье под давлением образцов для испытаний термопластичных материалов. Часть 3. Пластины небольших размеров" |
| MOD | ISO 291 "Пластмассы. Стандартные атмосферы для кондиционирования и испытания" |
| NEQ | ISO 3126 "Трубопроводы из пластмасс. Пластмассовые элементы трубопровода. Определение размеров" |
|
|
ГОСТ 26277-84 | NEQ | ISO 2818 "Пластмассы. Приготовление образцов для испытаний с помощью механической обработки" |
Примечание - В настоящей таблице использованы следующие условные обозначения степени соответствия стандартов: - MOD - модифицированные стандарты; - NEQ - неэквивалентные стандарты. |
| ИСО 22088-1:2006 | Пластмассы. Определение сопротивления растрескиванию под воздействием окружающей среды (ESC). Часть 1. Общее руководство |
(ISO 22088-1:2006) | Plastics - Determination of resistance to environmental stress cracking (ESC) - Part 1: General guidance |
[2] | ИСО 22088-2:2006 | Пластмассы. Определение сопротивления растрескиванию под воздействием окружающей среды (ESC). Часть 2. Метод применения постоянной растягивающей нагрузки |
(ISO 22088-2:2006) | Plastics - Determination of resistance to environmental stress cracking (ESC) - Part 2: Constant tensile load method |
[3] | | Пластмассы. Определение сопротивления растрескиванию под воздействием окружающей среды. Часть 3. Метод изогнутой полоски |
[4] | ИСО 22088-4:2006 | Пластмассы. Определение сопротивления растрескиванию под воздействием окружающей среды (ESC). Часть 4. Метод вдавливания шарика или штифта |
(ISO 22088-4:2006) | Plastics - Determination of resistance to environmental stress cracking (ESC) - Part 4: Ball or pin impression method |
[5] | ИСО 22088-5:2006 | Пластмассы. Определение сопротивления растрескиванию под воздействием окружающей среды (ESC). Часть 5. Метод постоянной деформации растяжения |
(ISO 22088-5:2006) | Plastics - Determination of resistance to environmental stress cracking (ESC) - Part 5: Constant tensile deformation method |
| ИСО 22088-6:2006 | Пластмассы. Определение сопротивления растрескиванию под воздействием окружающей среды (ESC). Часть 6. Метод медленного увеличения деформации |
(ISO 22088-6:2006) | Plastics - Determination of resistance to environmental stress cracking (ESC) - Part 6: Slow strain rate method |
| ИСО 3205 | Температуры, предпочтительные для проведения испытаний |
(ISO 3205) | (Preferred test temperatures) |
| ИСО 294-3 | Пластмассы. Литье под давлением образцов для испытаний термопластичных материалов. Часть 3. Пластины небольших размеров |
(ISO 294-3) | (Plastics. Injection moulding of test specimens of thermoplastic materials. Part 3. Small plates) |
УДК 678.5:536.421.2:006.354 | | MOD |
Ключевые слова: пластмассы, эбонит, высокопрочные термореактивные слоистые пластики, пластмассы, упрочненные длинными волокнами, нагрузка, температура изгиба под нагрузкой, изгибающее напряжение, заданная величина прогиба |